Zum Inhalt

A clotting time longer than 226 s in the INTEM channel of the thromboelastometer is an independent risk factor for mortality during bleeding

  • Open Access
  • 10.11.2025
  • Originalien
Erschienen in:

Abstract

Background and objective

During bleeding the prolongation of the clotting time (CTINTEM) measured by rotational thromboelastometry (ROTEM) can detect alterations in the intrinsic pathway; however, the significance of a prolonged CTINTEM for risk stratification in patients with bleeding and the treatment with fresh frozen plasma remains unclear.

Material and methods

A total of 2197 consecutive patients between 2014 and 2020 were retrospectively investigated. All patients were tested by ROTEM during bleeding at the Saarland University Hospital. The CTINTEM values were compared to mortality at 30 days. Discrimination was assessed with C statistic. Adjusted hazard ratios (adjHR, 95% confidence interval, CI) were calculated with multivariable Cox models.

Results

The results of the C‑statistic showed that CTINTEM (C statistic 0.62, optimal threshold > 226 s) had a predictive power for 30-day mortality. The determined threshold value of CTINTEM > 226 s remained an independent risk predictor for 30-day mortality even after adjustment for confounding factors (adjHR 2.6, 95% CI 2.1–3.2, p < 0.001). The 30-day mortality rate was significantly increased in the group with CTINTEM > 226 s (29% versus 15%, p < 0.001). A multivariable analysis showed that treatment with fresh frozen plasma was not associated with increased 30-day mortality in patients with CTINTEM > 226 s, in contrast to all patients.

Conclusion

Our results indicate that CTINTEM > 226s detected alterations in the intrinsic pathway might be an independent predictor for 30-day mortality in patients with bleeding and could be useful for decision making regarding treatment with fresh frozen plasma.

Supplementary Information

The online version of this article (https://doi.org/10.1007/s00101-025-01602-w) contains supplementary material, which is available to authorized users.

Treten Sie in den Austausch

Diese Arbeit wurde für Die Anaesthesiologie in Englisch eingereicht und angenommen. Die deutsche Zusammenfassung wurde daher etwas ausführlicher gestaltet. Wenn Sie über diese Zusammenfassung hinaus Fragen haben und mehr wissen wollen, nehmen Sie gern in Deutsch über die Korrespondenzadresse am Ende des Beitrags Kontakt auf. Die Autor*innen freuen sich auf den Austausch mit Ihnen.
Supplementary material online – scan QR code

Publisher’s Note

Springer Nature remains neutral with regard to jurisdictional claims in published maps and institutional affiliations.

Introduction

Bleeding can result in complex coagulation disorders and hemostatic failure. Rotational thromboelastometry (ROTEM) is a point-of-care method using whole blood samples for the diagnosis of hemostatic disorders [1, 2].
All ROTEM analyses could be performed with single use reagents consisting of three tissue factor-activated assays, EXTEM (extrinsic pathway), FIBTEM (fibrin contribution to clot firmness), APTEM (inhibition of fibrinolysis) and two contact-activated assays INTEM (intrinsic pathway without heparin neutralization) and HEPTEM (intrinsic pathway with heparin neutralization). All assays estimate clotting time (CT), clot formation time (CFT), clot firmness and fibrinolytic processes [3].
Prolongation of clotting time in INTEM (CTINTEM) in trauma patients was significantly associated with death [4, 5]. A CTINTEM over 240 s was found in 11/22 nonsurvivors after severe traumatic brain injury in an analysis by Schöchl et al. [5]. A therapeutic approach for patients with CTINTEM over 240 s is the administration of fresh frozen plasma [2, 68].
Our aim was therefore to investigate the relationship between CTINTEM, 30-day mortality and fresh frozen plasma treatment. Our primary hypothesis was that there is an independent association between CTINTEM and 30-day mortality in patients with bleeding. Second, we hypothesized that fresh frozen plasma might be associated with 30-day mortality in patients with elevated CTINTEM.

Material and methods

The study was registered in German Clinical Trials registration (registration number DRKS00026153) on September 2021 (principal investigator: PD Dr. med. Sven Oliver Schneider, Saarland University, Department of Anesthesiology, Intensive Care Medicine and Pain Medicine, Homburg/Saar, Germany). After approval by the ethics committee (Ärztekammer Saarland; number 93/20), the data were retrospectively collected. The requirement for written informed consent was waived by the ethics committee.

Inclusion and exclusion criteria

All patients tested in the Saarland University Hospital by ROTEM between 2014 to 2020 were included and is available for all patients with bleeding and/or coagulation disorders in the Saarland University Hospital. Bleeding is defined as patients suffering from blood loss determined at the discretion of the treating physician. Exclusion criteria for the study population were missing information about CTINTEM measurement, implausible data and missing information on the variables listed in Tables 1 and 2.
Table 1
Population characteristics and comorbidities of patients before rotational thromboelastometry (ROTEM) analysis
 
CTINTEM226s
CTINTEM >226s
p‑value
(n=1496)
(n=701)
 
Age (years)
63
±17
62
±17
0.1
Male (%)
942
(63)
465
(66)
0.1
Body mass index (kg/m2)
27
±6
27
±6
0.4
Emergency
492
(33)
201
(29)
0.05
Department
General surgery (without liver)
414
(28)
124
(18)
<0.001
Liver surgery
126
(8)
49
(7)
0.3
Cardiothoracic and vascular surgery with CPB
414
(28)
409
(58)
<0.001
Traumatology and orthopedic surgery
276
(18)
38
(5)
<0.001
Cardiology and pulmonology
327
(22)
181
(26)
0.05
Other departments
422
(28)
152
(22)
0.001
Reoperation after postoperative bleeding
346
(23)
165
(24)
0.8
Comorbidities
Coronary heart disease
375
(25)
223
(32)
0.001
Cardiac insufficiency (EF<45%)
98
(7)
59
(8)
0.1
Chronic obstructive pulmonary disease
142
(9)
60
(9)
0.5
Insulin-dependent diabetes mellitus
103
(7)
48
(7)
1
Liver disease child C
62
(4)
41
(6)
0.1
Coagulation disorders
179
(12)
81
(12)
0.8
Anticoagulation prior to ROTEM analysis
Aspirin 100mg
333
(22)
198
(28)
0.003
High molecular weight heparin
248
(17)
88
(13)
0.02
Low molecular weight heparin
177
(12)
30
(4)
<0.001
Other anticoagulation
88
(6)
72
(10)
<0.001
Continuous variables are expressed as mean and standard deviation. Categorical variables are presented as numbers (column percentages) and were compared with χ2 tests. Emergency at hospital admission is defined as surgical intervention necessary within 6 h after hospital admission. Other departments: pediatric, eye, anesthesia. thoracic surgery without CPB, vascular surgery without CPB, gynecology, obstetrics, urology, neurosurgery, ear, nose, throat and maxillofacial surgery. Coagulation disorders: known bleeding coagulation disorder, e.g. thrombocytopenia, factor deficiency, von Willebrand disease. Anticoagulation prior to the ROTEM analysis includes anticoagulation on the hospital ward or at home. Other anticoagulation: argatroban, phenprocoumon, factor Xa inhibitor, dabigatran and P2Y12 inhibitors. Traumatology and orthopedic surgery also include multiple injury/polytraumatized patients
CTINTEM clotting time in seconds (s), CPB cardiopulmonary bypass, EF ejection fraction, ROTEM rotational thromboelastometry
Table 2
Outcome related to CTINTEM (clotting time) in seconds (s)
 
Before ROTEM analysis
 
After ROTEM analysis
CTINTEM226s
CTINTEM > 226s
p-value
CTINTEM ≤ 226s
CTINTEM > 226s
p-value
(n = 1496)
(n = 701)
 
(n = 1496)
(n = 701)
 
Mechanically ventilated (h)
18
±96
33
±165
0.007
60
±166
67
±178
0.4
Renal replacement therapy (%)
141
(9)
130
(19)
<0.001
233
(16)
213
(30)
<0.001
Length of stay (days)
In ICU
3
±9
3
±10
0.04
9
±16
11
±21
0.05
In hospital
7
±13
8
±17
0.03
23
±32
19
±30
0.1
30-day mortality (%)
224
(15)
200
(29)
<0.001
Packed red blood cells (n)
2
±5
3
±7
0.001
4
±5
4
±6
0.2
Platelet concentrate (n)
0.8
±2.1
1.2
±3.3
<0.001
1
±2
2
±2
<0.001
Fresh frozen plasma (n)
0.3
±1.8
0.9
±6
0.001
1
±20
2
±9
0.2
Prothrombin concentrate (IU)
390
±1480
1042
±5464
<0.001
383
±1411
938
±1819
<0.001
Fibrinogen (g)
0.5
±2.3
1.1
±5.3
<0.001
0.6
±2
1.1
±3
<0.001
Recombinant factor VIIa (IU)
1.7
±40
4.4
±61
0.2
3
±45
13
±151
0.03
Antithrombin III (IU)
98
±671
248
±1514
0.001
72
±708
112
±915
0.3
Factor XIII (IU)
31
±359
41
±439
0.6
73
±1090
34
±234
0.4
Adverse events
Pneumonia (%)
129
(9)
69
(10)
0.4
131
(9)
98
(14)
<0.001
Pulmonary embolism (%)
31
(2)
15
(2)
1
13
(1)
7
(1)
0.8
Acute myocardial infarction (%)
55
(4)
37
(5)
0.1
9
(1)
5
(1)
0.8
Embolic apoplexy (%)
37
(2)
33
(5)
0.009
16
(1)
21
(3)
0.002
Peripheral arterial embolism and thrombosis (%)
44
(3)
32
(5)
0.1
6
(0.4)
9
(1)
0.03
Gastrointestinal ischemia (%)
40
(3)
46
(7)
<0.001
28
(2)
35
(5)
<0.001
Gastrointestinal bleeding (%)
101
(7)
33
(5)
0.1
12
(1)
8
(1)
0.5
The outcome was split into the time before and after the ROTEM analysis. Continuous variables are expressed as mean and standard deviation. Categorical variables are presented as numbers (percentages)
ICU intensive care unit, ROTEM rotational thromboelastometry. Packed red blood cells (450 ml), platelet concentrate (270 ml), fresh frozen plasma (300 ml)

Data source

Rotational thromboelastometry data are recorded during patient care and stored in the hospital’s medical reports and the bleeding database. These include patients with and without surgery. Detailed information about the medical conditions of patients along with the procedure were extracted from the hospital database (Tables 1 and 2).

Rotational thromboelastometry analyses

The ROTEM (ROTEM delta®, Tem Innovations, Munich, Germany) analyses in this study include only measurements of two contact-activated assays (INTEM intrinsic pathway without heparin neutralization). All assays estimate clotting time (CT). Each patient was considered only once. If more than one ROTEM analysis was done in one patient, only the first analysis was considered.

Proof of plausibility

Data integrity was evaluated according to specific rules to delete erroneously entered data and cases with missing information (proof of plausibility, Appendix 1).

Missing data handling/sensitivity analyses

Patients with missing data were excluded from the analysis. Several sensitivity analyses were performed.

Definition of the outcomes

The primary outcome was overall survival with follow-up period of 30 days.
The secondary outcomes were severe adverse events defined by the occurrence of pneumonia, pulmonary embolism, acute myocardial infarction, embolic apoplexy, peripheral arterial embolism and thrombosis, gastrointestinal ischemia (measured by angiography, computed tomography or intraoperative finding) and gastrointestinal bleeding.

Data analysis

Receiver operating characteristic curves were constructed (C statistic) to evaluate the predictive power of CTINTEM for the occurrence of 30-day mortality. The Youden Index was used to calculate the optimal threshold for CTINTEM in prediction of 30-day mortality.
Continuous variables are expressed as means ± standard deviations and were compared using Student’s t‑test. Categorical variables are presented as absolute and relative frequencies and were compared with χ2 tests.
The number needed to screen was calculated to measure how many patients must be screened with values CTINTEM > 226s to avoid 1 death. The positive predictive value was defined as number of true positives/(number of true positives + number of false positives). The negative predictive value was defined as number of true negatives/(number of true negatives + number of false negatives).
Survival rates were estimated using the Kaplan-Meier method and compared using the log-rank test. Cox proportional hazards models were used to adjust for confounding factors including all variables from Table 1 with p ≤ 0.05. Pairwise dependent variable constellations with Pearson or Spearman correlation coefficients exceeding +0.4 or less than −0.4 were a priori specified as interaction terms in multivariable analyses to account for the issue of multicollinearity.
Sensitivity analyses were performed including confounding factors listed in Tables 1 and 2. In an additional sensitivity analysis, the data were randomly split into two groups based on the month they underwent ROTEM analysis in an alternating manner. To avoid any bias associated with the month of ROTEM analysis, we started each year with another group, also alternating.
Data analysis was performed using SPSS Statistics 19™ (IBM, Ehningen, Germany) and two-sided p values ≤ 0.05 were considered statistically significant.

Results

During the study period 2656 patients had documented index ROTEM analyses. Among these 459 patients did not meet the inclusion criteria by virtue of missing information about CTINTEM analysis, comorbidities or outcome. The final study population includes 2197 patients.
The results of the C‑statistic showed that CTINTEM had a discrimination for prediction of 30-day mortality (optimal threshold > 226 s, C‑statistic 0.62, sensitivity 47% and specificity 72%; Fig. 1). The number needed to screen (NNS), the positive predictive value (PPV), and the negative predictive value (NPV) were calculated for 30-day mortality using the optimal threshold of CTINTEM > 226 s (NNS: 7, PPV: 0.29, NPV: 0.85).
Fig. 1
CTINTEM (clotting time) and ROC analysis for mortality (left graph). Box and whisker plot with the 10th and 90th percentiles (right graph). Solid line in the box: median values of CTINTEM. The plus symbol in the box: mean values of CTINTEM. Blue line: optimal threshold for CTINTEM in prediction of 30-day mortality. Receiver operating characteristic curves (ROC) were constructed (C-statistic) to evaluate the predictive power of CTINTEM for 30-day mortality. AUC area-under-the-curve. The Youden Index was used to calculate optimal threshold for CTINTEM in prediction of 30-day mortality. Data were collected in real-time by the attending physician or nurse in parallel to the patient treatment. Each patient was considered only once. If more than one Rotem (rotational thromboelastometry) analysis was done in one patient, only the first Rotem analysis was considered
Bild vergrößern
Patients with CTINTEM > 226s had less orthopedic or general surgery and more surgery with cardiopulmonary bypass (Table 1). Interestingly, the comorbidities during hospital admission were not significantly different except for coronary heart disease. The outcome was split into the time before and after the ROTEM analysis. Patients with CTINTEM > 226s required more blood transfusions, had more renal replacement therapy and required more coagulation factors (Table 2).
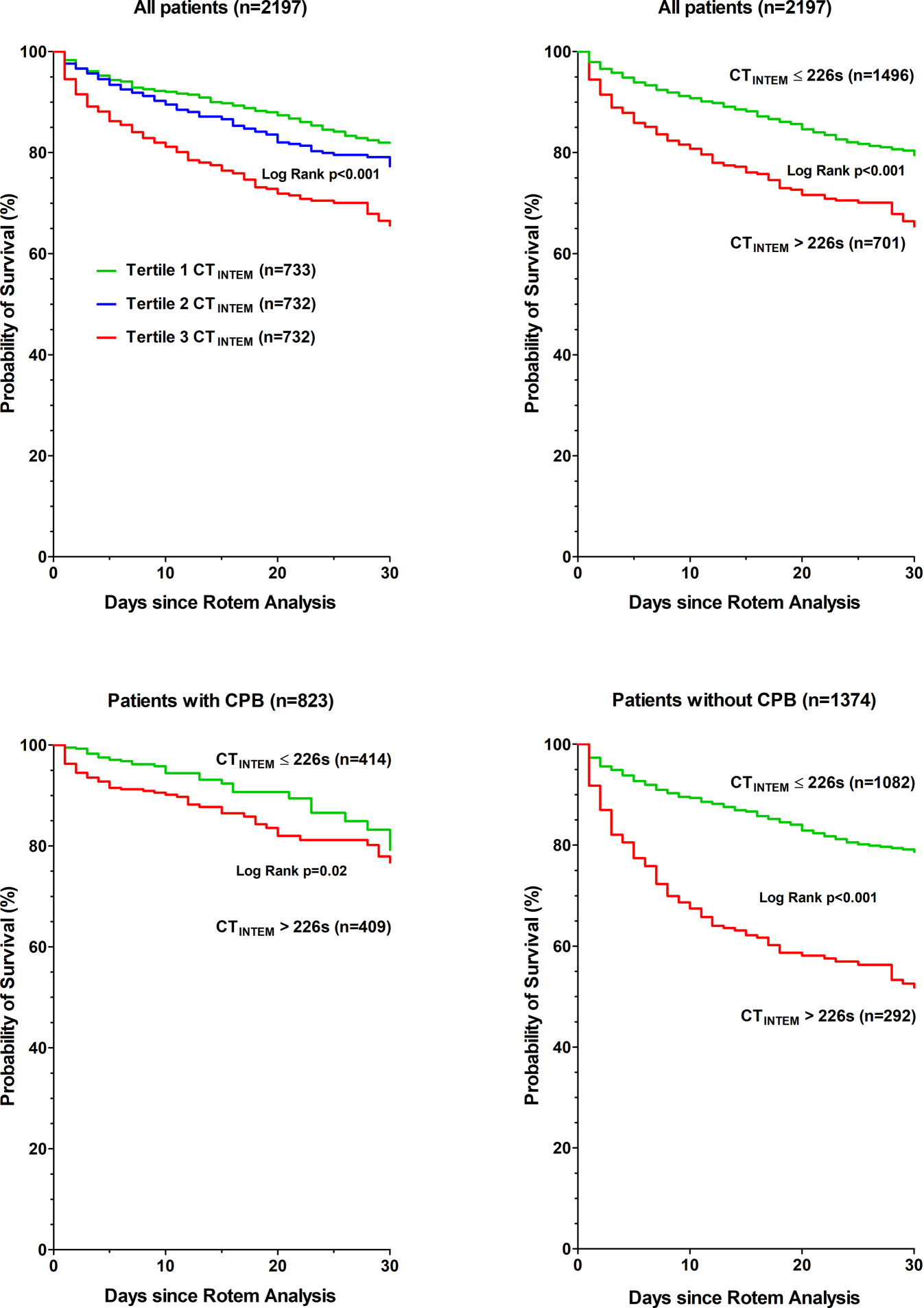
Patients with CTINTEM > 226s had an increased 30-day mortality compared to patients with CTINTEM ≤ 226s (29% versus 15%, p < 0.001; Table 2; Fig. 2). Even after adjustment for confounding factors CTINTEM > 226s remained an independent risk factor for 30-day mortality. This remained true in sensitivity analyses (Table 3a). We compared survival versus nonsurvival in patients suffering from CTINTEM over 226 s. Acute myocardial infarction, gastrointestinal bleeding, gastrointestinal ischemia, renal replacement therapy and therapy with prothrombin concentrate and fibrinogen were seen significantly more often in nonsurvivors (Appendix 2).
Fig. 2
All patients (n = 2197) and subgroups analyses in patients with (n = 823) or without (n = 1374) cardiopulmonary bypass. Kaplan-Meier survival plots for terciles of clotting time (CTINTEM), CTINTEM > 226 s versus CTINTEM ≤ 226s for 30 days follow-up. ROTEM rotational thromboelastometry, CPB cardiopulmonary bypass
Bild vergrößern
Table 3
A: Primary model, sensitivity and subgroup analyses. B: Does fresh frozen plasma have an impact on 30-day mortality after a ROTEM analysis?
Table 3A Cox proportional hazard models: CTINTEM >226s a risk factor for 30-day mortality
Model
HR (95% CI)
p‑value
Crude in all patients (n=2197)
2.1 (1.8–2.6)
<0.001
Primary model in all patients (n=2197)
Adjusted all variables from table 1 with p ≤ 0.05
2.6 (2.1–3.2)
<0.001
Sensitivity analyses in all patients (n=2197)
Adjusted all variables from table 1
2.7 (2.2–3.3)
<0.001
Adjusted all variables from table 1 and all variables before ROTEM analysis from table 2
2.0 (1.6–2.5)
<0.001
Sensitivity analyses in randomly split group 1a (n=1106)
Crude
2.5 (1.9–3.2)
<0.001
Adjusted all variables from table 1 with p0.05
3.1 (2.3–4.1)
<0.001
Adjusted all variables from table 1 and all variables before ROTEM analysis from table 2
2.5 (1.8–3.5)
<0.001
Sensitivity analyses in randomly split group 2a (n=1091)
Crude
1.9 (1.4–2.4)
<0.001
Adjusted all variables from table 1 with p0.05
2.3 (1.7–3.0)
<0.001
Adjusted all variables from table 1 and all variables before ROTEM analysis from table 2
1.6 (1.2–2.2)
0.004
Subgroup analyses in patients who underwent cardiothoracic and vascular surgery with cardiopulmonary bypass (n=823)
Crude
1.8 (1.2–2.7)
0.007
Adjusted all variables from table 1 with p0.05
1.8 (1.2–2.7)
0.008
Adjusted all variables from table 1 and all variables before ROTEM analysis from table 2
1.5 (0.9–2.4)
0.1
Subgroup analyses in patients without cardiopulmonary bypass (n=1374)
Crude
3.1 (2.5–3.9)
<0.001
Adjusted all variables from table 1 with p0.05
2.9 (2.3–3.6)
<0.001
Adjusted all variables from table 1 and all variables before ROTEM analysis from table 2
2.2 (1.7–2.9)
<0.001
Table 3B Cox proportional hazards models: does fresh frozen plasma have an impact on 30-day mortality?
Model
HR (95% CI)
p‑value
All patients (n=2197)
Crude
1.0 (0.8–1.3)
0.9
Adjusted all variables from table 1 with p0.05
1.1 (0.9–1.5)
0.3
Adjusted all variables from table 1 and all variables before ROTEM analysis from table 2
1.1 (0.8–1.4)
0.6
Patients with CTINTEM >226s (n=701)
Crude
0.7 (0.5–0.9)
0.04
Adjusted all variables from table 1 with p0.05
0.9 (0.6–1.2)
0.3
Adjusted all variables from table 1 and all variables before ROTEM analysis from table 2
0.8 (0.5–1.1)
0.1
Data are expressed as hazard ratios (HR) with 95% confidence interval (CI). Hazard ratios of CTINTEM (clotting time) in seconds (s) adjusted for confounders. Cox proportional hazards models were used to adjust for confounding factors
ROTEM rotational thromboelastometry
aSensitivity analyses in randomly split group: The data were randomly split into two groups based on the month they underwent ROTEM analysis in an alternating manner. To avoid any bias associated with the month of ROTEM analysis, we started each year with another group, also alternating
Patients with CTINTEM > 226s had more cardiothoracic and vascular surgery with cardiopulmonary bypass (Table 1). Cardiopulmonary bypass requires anticoagulation, which typically prolongs CTINTEM. Therefore, two subgroup analyses were done in patients with and without cardiopulmonary bypass. A CTINTEM > 226s was associated with a significantly increased 30-day mortality only in patients without cardiopulmonary bypass (adjusted HR: 2.2; 95% CI 1.7–2.9, p < 0.001; Table 3a; Fig. 2; NNS: 3, PPV: 0.47, NPV: 0.82). In contrast, a CTINTEM > 226s in patients with cardiopulmonary bypass was not significant in the second adjusted analysis (adjusted HR: 1.5; 95% CI 0.9–2.4, p = 0.1; Table 3a; NNS: 13, PPV: 0.16, NPV: 0.92).
A therapeutic approach for patients with CTINTEM > 226s is the administration of fresh frozen plasma. The 30-day mortality rate seems lower in patients with CTINTEM > 226s treated with fresh frozen plasma than in patients without treatment (Fig. 3). After adjustment for confounding factors, however, the risk reduction is not significant (Table 3b).
Fig. 3
Kaplan-Meier survival plots for treatment with fresh frozen plasma versus no treatment with fresh frozen plasma during 30-day follow-up. The fresh frozen plasma treatment followed after the ROTEM analysis. The left graph includes all patients, the right graph only patients with CTINTEM > 226s. CTINTEM clotting time, ROTEM rotational thromboelastometry
Bild vergrößern

Discussion

Patients with CTINTEM over 226 s had a significantly increased independent risk for 30-day mortality. The overall mortality was 19%. This is consistent with previous reports in trauma patients with bleeding [9, 10]. In our study the definition of bleeding is determined at the discretion of the treating physician. The literature shows no uniform definition for major bleeding [11]. The International Society on Thrombosis and Haemostasis provides a clear definition for nonsurgical patients and a proposed definition for surgical patients, the latter being less objective and partly subjective [12, 13]. While management principles are generally similar, the underlying pathophysiology of major bleeding differs across contexts. Multiple factors contribute to the complex causes of bleeding in trauma and in surgical patients that include blood loss, hemodilution, acquired platelet dysfunction, coagulation factor consumption in extracorporeal circuits, activation of fibrinolytic, fibrinogenolytic and inflammatory pathways and hypothermia [14].
However, early mortality is caused by continued hemorrhage, hemorrhagic shock, trauma-induced coagulopathy and incomplete resuscitation. Numerous factors are known to be associated with a higher complication risk including death after bleeding. These factors include, e.g., age, acute kidney injury, acute lung injury, emergency at hospital admission, bleeding, coagulation disorders and gastrointestinal ischemia [10, 1519]. Moreover, in patients undergoing cardiopulmonary bypass residual heparin effect or protamine overdose can be one reason for prolongation of CTINTEM [20]. This is consistent with our findings that CTINTEM > 226s were associated with higher 30-day mortality only in patients without cardiopulmonary bypass. There are limited investigations regarding clotting time CTINTEM in the context of bleeding and patient outcome; however, a prolongation of CTINTEM has been observed in nonsurviving trauma patients [4, 5]. Interestingly, we observed the highest difference in nonsurvivors versus survivors, with the exception of a greatly increased need for coagulation factors in the presence of gastrointestinal ischemia (Appendix 2). Gastrointestinal ischemia might be a result of shock during bleeding and a result of the catecholamine treatment in hypovolemic patients and may be a sign for uncontrolled hemorrhage; however, in cardiac surgery gastrointestinal ischemia could be also a potential risk for abnormal hemostatics [21]. To avoid that gastrointestinal ischemia or any other adverse event is a confounder in our analysis, we split the outcome in the time before and after ROTEM analysis (Table 2). The occurrence of all adverse events before ROTEM analysis was adjusted in our sensitive analysis as confounders. This includes also the occurrence of gastrointestinal ischemia. Nevertheless, CTINTEM over 226 s remained an independent risk factor for 30-day mortality (Table 3a).
We speculate that the leading cause of death in patients with CTINTEM over 226 s is a hemostatic dysfunction in the intrinsic pathway. The intrinsic pathway begins with factor XII (Hageman factor XII), which activates factor XI. Patients deficient in factor XII do not exhibit bleeding complications, while factor XI deficient patients (hemophilia C or Rosenthal syndrome) sometimes experience bleeding, suggesting factor XI plays a role in hemostasis independent of the contact pathway [22, 23]; however, the reasons for the prolongation might be highly speculative. Different reasons resulting in a prolonged CTINTEM are heparin and release of endogenous heparinoids from the microcirculation due to glycocalyx shedding [24], heparin-like effect (trauma, cardiopulmonary bypass and liver disease e.g. cirrhosis) [2428], protamine overdose (results in factor V inhibition) [29], direct oral anticoagulants [3032], fibrinogen deficiency, factor XII deficiency (consumption due to hyperfibrinolysis) [33], other factor deficiencies in the intrinsic pathway (VIII, IX and XI) or the common pathway (II, V and X).
This abnormal parameter during bleeding requires a differentiated treatment strategy including protamine, tranexamic acid, treatment of platelet dysfunction with desmopressin or platelet concentrates, treatment of factor XIII deficiency, and treatment of factor deficiencies of the extrinsic and intrinsic pathway [2]. Following the recommendations of Weber et al., we performed CTEXTEM to identify and correct extrinsic pathway abnormalities using factor concentrates and fibrinogen. CTINTEM was assessed to address intrinsic pathway deficits, with the addition of fresh frozen plasma considered as advised [2, 68, 34].
The use of fresh frozen plasma is controversial. Patients without a coagulopathy, bleeding indication or need for massive transfusion have been shown to experience higher mortality when given fresh frozen plasma. Therefore, careful evaluation of the indications for the use of fresh frozen plasma is vital as inappropriate administration may increase the risk of death [35].
In Europe a coagulation disorder resulting in massive bleeding is generally managed first by the addition of coagulation factor concentrates. Studies have shown that goal-directed coagulation management is associated with a reduced incidence of massive transfusion and lower requirements for red blood cells and fresh frozen plasma [36, 37]. Studies have shown that prothrombin complex concentrate reverses coagulopathy faster and more effectively than fresh frozen plasma, achieves higher clotting factor concentrations with smaller infusion volumes [8, 11, 38, 39]. In contrast, in the USA fresh frozen plasma is often used to maintain the red blood cell-plasma ratio and to replace losses due to bleeding and even serves as a volume expander [40, 41]. Nevertheless, studies have shown a better efficacy when both prothrombin complex concentrate and fresh frozen plasma are used together [42].
This coagulation treatment supports the relevance of other coagulation factors not included in prothrombin complex concentrates and fibrinogen to treat bleeding in massive hemorrhage which might affect 4–6% of patients with trauma-induced coagulopathy [36, 37]. This is consistent with our findings and a previous study that fresh frozen plasma does not increase 30-day mortality during bleeding and coagulation deficits [43]; however, the effects of correcting abnormal clotting with fresh frozen plasma on morbidity and mortality need to be further investigated [36, 44].
The most important limitation of this study is the lack of CTHEPTEM results as the INTEM/HEPTEM CT ratio is the key to differentiate heparin-like effects from factor deficiencies. In the absence of HEPTEM measurements, our interpretation of CTINTEM prolongation remains uncertain as it may be influenced not only by residual heparin or heparin-like substances, but also by endogenous anticoagulants (e.g., increased antithrombin activity), impaired synthesis or consumption of clotting factors, or other coagulopathies. In addition, we did not have systematic data on other relevant laboratory values (e.g., pH, base excess, hemoglobin) or vital parameters, which limits our ability to assess whether patients with prolonged CTINTEM suffered more from severe shock. Another limitation of our study is that although the majority of patients presented with hemorrhagic shock, we cannot fully exclude the contribution of other mechanisms, such as cardiogenic or septic shock, to the observed coagulation changes. Our dataset only included information on adverse events, as listed in Table 2. To address this, we performed a sensitivity analysis by randomly dividing the cohort into two groups to confirm our results. Therefore, while our adjusted analyses and moderate ROC-AUC suggest that CTINTEM has some discriminatory value, the findings should be interpreted with caution and always in conjunction with other clinical information. A larger multicenter study, including HEPTEM is needed to clarify these mechanisms in a more precise population and confirm our findings.
In summary, in our study CTINTEM over 226 s might be an independent risk factor for 30-day mortality in patients with bleeding and could be useful for decision making regarding treatment with fresh frozen plasma.

Funding

The study was funded by departmental resources.

Declarations

Conflict of interest

K. Görlinger works as the Medical Director, Tem Innovations GmbH, Munich, Germany. H. Bomberg, S. Wagenpfeil, T. Volk and S.O. Schneider declare that they have no competing interests.

Ethical standards

This retrospective study was performed after consultation with the institutional ethics committee and in accordance with national legal requirements. All studies mentioned were in accordance with the ethical standards indicated in each case.
Open Access Dieser Artikel wird unter der Creative Commons Namensnennung 4.0 International Lizenz veröffentlicht, welche die Nutzung, Vervielfältigung, Bearbeitung, Verbreitung und Wiedergabe in jeglichem Medium und Format erlaubt, sofern Sie den/die ursprünglichen Autor(en) und die Quelle ordnungsgemäß nennen, einen Link zur Creative Commons Lizenz beifügen und angeben, ob Änderungen vorgenommen wurden. Die in diesem Artikel enthaltenen Bilder und sonstiges Drittmaterial unterliegen ebenfalls der genannten Creative Commons Lizenz, sofern sich aus der Abbildungslegende nichts anderes ergibt. Sofern das betreffende Material nicht unter der genannten Creative Commons Lizenz steht und die betreffende Handlung nicht nach gesetzlichen Vorschriften erlaubt ist, ist für die oben aufgeführten Weiterverwendungen des Materials die Einwilligung des jeweiligen Rechteinhabers einzuholen. Weitere Details zur Lizenz entnehmen Sie bitte der Lizenzinformation auf http://creativecommons.org/licenses/by/4.0/deed.de.

Publisher’s Note

Springer Nature remains neutral with regard to jurisdictional claims in published maps and institutional affiliations.

Unsere Produktempfehlungen

Die Anaesthesiologie

Print-Titel

  • Hintergrundwissen mit konkreten Handlungsempfehlungen
  • Ein Leitthema in jeder Ausgabe
  • Praxisnahe Übersichten, Fallberichte, Leitlinien und Empfehlungen

e.Med Interdisziplinär

Kombi-Abonnement

Für Ihren Erfolg in Klinik und Praxis - Die beste Hilfe in Ihrem Arbeitsalltag

Mit e.Med Interdisziplinär erhalten Sie Zugang zu allen CME-Fortbildungen und Fachzeitschriften auf SpringerMedizin.de.

Jetzt bestellen und im ersten Jahr 100 € sparen!

© Springer Medizin


e.Dent – Das Online-Abo der Zahnmedizin

Online-Abonnement

Mit e.Dent erhalten Sie Zugang zu allen zahnmedizinischen Fortbildungen und unseren zahnmedizinischen und ausgesuchten medizinischen Zeitschriften.

Weitere Produktempfehlungen anzeigen
download
DOWNLOAD
print
DRUCKEN
Titel
A clotting time longer than 226 s in the INTEM channel of the thromboelastometer is an independent risk factor for mortality during bleeding
Verfasst von
Hagen Bomberg, MD
Klaus Görlinger, MD
Stefan Wagenpfeil, PhD
Thomas Volk, MD
Sven Oliver Schneider, MD
Publikationsdatum
10.11.2025
Verlag
Springer Medizin
Erschienen in
Die Anaesthesiologie / Ausgabe 12/2025
Print ISSN: 2731-6858
Elektronische ISSN: 2731-6866
DOI
https://doi.org/10.1007/s00101-025-01602-w

Supplementary Information

1.
Zurück zum Zitat Drotarova M et al (2023) Basic principles of rotational thromboelastometry (ROTEM(®)) and the role of ROTEM-guided fibrinogen replacement therapy in the management of coagulopathies. Diagnostics 13(20)
2.
Zurück zum Zitat Weber CF et al (2013) Basic algorithm for point-of-care based hemotherapy: perioperative treatment of coagulopathic patients. Anaesthesist 62(6):464–472PubMedCrossRef
3.
Zurück zum Zitat Abdelfattah K, Cripps MW (2016) Thromboelastography and rotational Thromboelastometry use in trauma. Int J Surg 33(Pt B):196–201PubMedCrossRef
4.
Zurück zum Zitat Schöchl H et al (2011) FIBTEM provides early prediction of massive transfusion in trauma. Crit Care 15(6):R265PubMedPubMedCentralCrossRef
5.
Zurück zum Zitat Schöchl H et al (2011) Thromboelastometric (ROTEM) findings in patients suffering from isolated severe traumatic brain injury. J Neurotrauma 28(10):2033–2041PubMedCrossRef
6.
Zurück zum Zitat Görlinger K et al (2019) The role of evidence-based algorithms for rotational thromboelastometry-guided bleeding management. Korean J Anesthesiol 72(4):297–322PubMedPubMedCentralCrossRef
7.
Zurück zum Zitat Schmitt FCF et al (2024) Update on point-of-care-based coagulation treatment : systems, reagents, device-specific treatment algorithms. Anaesthesiologie 73(2):110–123PubMedPubMedCentralCrossRef
8.
Zurück zum Zitat Schneider SO et al (2025) Diagnostics and management of perioperative bleeding disorders. Anaesthesiologie 74(4):244–260PubMedCrossRef
9.
Zurück zum Zitat Abuzeid AM, O’Keeffe T (2019) Review of massive transfusion protocols in the injured, bleeding patient. Curr Opin Crit Care 25(6):661–667PubMed
10.
Zurück zum Zitat Kauvar DS, Lefering R, Wade CE (2006) Impact of hemorrhage on trauma outcome: an overview of epidemiology, clinical presentations, and therapeutic considerations. J Trauma 60(6):S3–S11PubMed
11.
Zurück zum Zitat Shah A et al (2023) Major haemorrhage: past, present and future. Anaesthesia 78(1):93–104PubMedCrossRef
12.
Zurück zum Zitat Schulman S et al (2010) Definition of major bleeding in clinical investigations of antihemostatic medicinal products in surgical patients. J Thromb Haemost 8(1):202–204PubMedCrossRef
13.
Zurück zum Zitat Schulman S et al (2005) Definition of major bleeding in clinical investigations of antihemostatic medicinal products in non-surgical patients. J Thromb Haemost 3(4):692–694PubMedCrossRef
14.
Zurück zum Zitat Ghadimi K, Levy JH, Welsby IJ (2016) Perioperative management of the bleeding patient. Br J Anaesth 117(3):iii18–iii30PubMedPubMedCentralCrossRef
15.
Zurück zum Zitat Dixon A et al (2023) Acute respiratory distress syndrome, acute kidney injury, and mortality after trauma are associated with increased circulation of syndecan‑1, soluble thrombomodulin, and receptor for advanced glycation end products. J Trauma Acute Care Surg
16.
Zurück zum Zitat Duchesne JC et al (2009) Hemostatic resuscitation during surgery improves survival in patients with traumatic-induced coagulopathy. J Trauma 67(1):33–37PubMed
17.
Zurück zum Zitat Dyke C et al (2014) Universal definition of perioperative bleeding in adult cardiac surgery. J Thorac Cardiovasc Surg 147(5):1458–1463.e1PubMedCrossRef
18.
Zurück zum Zitat Maani CV, DeSocio PA, Holcomb JB (2009) Coagulopathy in trauma patients: what are the main influence factors? Curr Opin Anaesthesiol 22(2):255–260PubMedCrossRef
19.
Zurück zum Zitat Ahmed N et al (2021) Risk of in-hospital mortality in severe acute kidney injury after traumatic injuries: a national trauma quality program study. Trauma Surg Acute Care Open 6(1):e635PubMedPubMedCentralCrossRef
20.
Zurück zum Zitat Agarwal S, Abdelmotieleb M (2020) Viscoelastic testing in cardiac surgery. Transfusion 60(6):S52–s60PubMed
21.
Zurück zum Zitat Bomberg H et al (2019) Establishment of predictive models for nonocclusive mesenteric ischemia comparing 8,296 control with 452 study patients. J Cardiothorac Vasc Anesth 33(5):1290–1297PubMedCrossRef
22.
Zurück zum Zitat Puy C, Rigg RA, McCarty OJ (2016) The hemostatic role of factor XI. Thromb Res 141(2):S8–S11PubMedPubMedCentralCrossRef
23.
Zurück zum Zitat Wheeler AP, Gailani D (2016) Why factor XI deficiency is a clinical concern. Expert Rev Hematol 9(7):629–637PubMedPubMedCentralCrossRef
24.
Zurück zum Zitat Yassen KA et al (2023) Detection and quantification of perioperative heparin-like effects by rotational thromboelastometry in living-donor liver transplant recipients: a prospective observational study. J Anaesthesiol Clin Pharmacol 39(2):285–291PubMedCrossRef
25.
Zurück zum Zitat Ichikawa J et al (2014) Reappearance of circulating heparin in whole blood heparin concentration-based management does not correlate with postoperative bleeding after cardiac surgery. J Cardiothorac Vasc Anesth 28(4):1003–1007PubMedCrossRef
26.
Zurück zum Zitat Mittermayr M et al (2005) Effects of protamine and heparin can be detected and easily differentiated by modified thrombelastography (Rotem): an in vitro study. Br J Anaesth 95(3):310–316PubMedCrossRef
27.
Zurück zum Zitat Mittermayr M et al (2009) Detection of protamine and heparin after termination of cardiopulmonary bypass by thrombelastometry (ROTEM): results of a pilot study. Anesth Analg 108(3):743–750PubMedCrossRef
28.
Zurück zum Zitat Shalaby S et al (2020) Endothelial damage of the portal vein is associated with heparin-like effect in advanced stages of cirrhosis. Thromb Haemost 120(8):1173–1181PubMedCrossRef
29.
Zurück zum Zitat Ni Ainle F et al (2009) Protamine sulfate down-regulates thrombin generation by inhibiting factor V activation. Blood 114(8):1658–1665PubMedCrossRef
30.
Zurück zum Zitat Fontana P et al (2017) Impact of rivaroxaban on point-of-care assays. Thromb Res 153:65–70PubMedCrossRef
31.
Zurück zum Zitat Klages M et al (2021) Direct oral anticoagulants in point-of-care monitoring: an ex-vivo study. Minerva Anestesiol 87(5):514–522PubMedCrossRef
32.
Zurück zum Zitat Seyve L et al (2018) Impact of four direct oral anticoagulants on rotational thromboelastometry (ROTEM). Int J Lab Hematol 40(1):84–93PubMedCrossRef
33.
Zurück zum Zitat Mishra L, Lee D, Ho KM (2023) Incidence of factor XII deficiency in critically ill patients with a prolonged activated partial thromboplastin time: a prospective observational study. Blood Coagul Fibrinolysis 34(6):364–369PubMedCrossRef
34.
Zurück zum Zitat Wheeler AP, Hemingway C, Gailani D (2020) The clinical management of factor XI deficiency in pregnant women. Expert Rev Hematol 13(7):719–729PubMedPubMedCentralCrossRef
35.
Zurück zum Zitat Xu X et al (2023) Association between perioperative plasma transfusion and in-hospital mortality in patients undergoing surgeries without massive transfusion: a nationwide retrospective cohort study. Front Med 10:1130359CrossRef
36.
Zurück zum Zitat Innerhofer P et al (2017) Reversal of trauma-induced coagulopathy using first-line coagulation factor concentrates or fresh frozen plasma (RETIC): a single-centre, parallel-group, open-label, randomised trial. Lancet Haematol 4(6):e258–e271PubMedCrossRef
37.
Zurück zum Zitat Stein P et al (2017) Change of transfusion and treatment paradigm in major trauma patients. Anaesthesia 72(11):1317–1326PubMedCrossRef
38.
Zurück zum Zitat Erdoes G et al (2021) A European consensus statement on the use of four-factor prothrombin complex concentrate for cardiac and non-cardiac surgical patients. Anaesthesia 76(3):381–392PubMedCrossRef
39.
Zurück zum Zitat Karkouti K et al (2025) Prothrombin complex concentrate vs frozen plasma for coagulopathic bleeding in cardiac surgery: the FARES-II multicenter randomized clinical trial. JAMA 333(20):1781–1792PubMedPubMedCentralCrossRef
40.
Zurück zum Zitat Jehan F et al (2024) Is there a need for fresh frozen plasma and platelet transfusion in trauma patients receiving submassive transfusion? Trauma Surg Acute Care Open 9(1):e1310PubMedPubMedCentralCrossRef
41.
Zurück zum Zitat van den Brink DP et al (2021) Plasma as a resuscitation fluid for volume-depleted shock: potential benefits and risks. Transfusion 61(1):S301–s312PubMedPubMedCentral
42.
Zurück zum Zitat Kao TW, Lee YC, Chang HT (2021) Prothrombin complex concentrate for trauma induced coagulopathy: a systematic review and meta-analysis. J Acute Med 11(3):81–89PubMedPubMedCentral
43.
Zurück zum Zitat Tucker H et al (2023) Association of red blood cells and plasma transfusion versus red blood cell transfusion only with survival for treatment of major traumatic hemorrhage in prehospital setting in england: a multicenter study. Crit Care 27(1):25PubMedPubMedCentralCrossRef
44.
Zurück zum Zitat Kozek-Langenecker S (2016) Clinical efficacy of fresh frozen plasma compared with coagulation factor concentrates for treating coagulopathy in patients with massive bleeding. Med Intensiva 40(6):371–373PubMedCrossRef

Neu im Fachgebiet AINS

Kurze Strapazen für den Rücken schaden auf lange Sicht wahrscheinlich nicht

Soll man aus Angst vor Rückenschmerzen darauf verzichten, den Enkel auf den Arm zu nehmen? In einer US-Studie konnten Aktivitäten wie Heben, Bücken oder In-die-Hocke-Gehen zwar kurzfristig Schmerzen triggern; zu langfristigen Funktionseinbußen kam es dadurch aber nicht.

Zahl der Schocks sagt nichts über KHK-Last

Die Annahme, dass beim außerklinischen Kreislaufstillstand (OHCA) die Zahl der notwendigen Defibrillationen den Schweregrad einer zugrunde liegenden KHK widerspiegelt, trifft wohl nicht zu. Als Selektionskriterium für eine Koronarangiografie taugt sie daher nicht.

Metaanalyse spricht für Nutzen von Kortikosteroiden bei schwerer CAP

Geht es nach einer aktuellen Metaanalyse, ist die kurzzeitige Verabreichung von niedrigdosierten systemischen Kortikosteroiden bei schweren Nicht-COVID-19-Pneumonien bzw. ARDS (Akutes Atemnotsyndrom) mit Blick auf das Überleben eher vorteilhaft. Die Sicherheit der Evidenz ist allerdings ausbaufähig.

Unspezifischer und später Beginn einer Autoimmunerkrankung

Hinter Gelenkschmerzen, Gewichtsverlust und intermittierendem Fieber bei einer über 70-Jährigen steht eine schwere Erkrankung, die eigentlich eher mit einem Beginn in jüngeren Jahren und anderen Symptomen in Verbindung gebracht wird.


Update AINS

Bestellen Sie unseren Fach-Newsletter und bleiben Sie gut informiert.

Bildnachweise
Enkel hilft seinen Großeltern im Garten/© eclipse_images / Getty Images / iStock (Symbolbild mit Fotomodellen), Defibrillation Herzkreislaufstillstand/© Pixel_away / Getty Images / iStock (Symbolbild mit Fotomodellen), Acute Respiratory Distress Syndrome (ARDS)/© Thomas Staudinger / all rights reserved Springer Medizin Verlag GmbH, Ältere Frau mit schmerzender Hand/© Evrymmnt / stock.adobe.com (Symbolbild mit Fotomodell)