Zum Inhalt

A Physiologically Based Pharmacokinetic Model for the Prediction of Plasma and Bone Tissue Exposure after Prophylactic Administration of Ampicillin/Sulbactam in Patients with Osteonecrosis of the Jaw

  • Open Access
  • 27.09.2025
  • Original Research Article
Erschienen in:

Abstract

Background and Objective

The combination of ampicillin (AMP) together with sulbactam (SBC) is a widely used choice for infection prophylaxis in the context of numerous surgical procedures, especially those performed in the field of maxillofacial surgery. Since the pharmacokinetic behavior of these two substances in body tissues is not known in detail owing to sparse tissue data in the literature, the aim of this work was to develop a physiologically based pharmacokinetic (PBPK) model that can predict the concentration versus time courses of AMP and SBC after intravenous administration in plasma, especially bone tissue. Furthermore, the effectiveness of an established prophylaxis regimen based on the developed PBPK model was to be evaluated.

Methods

A PBPK model for middle-aged and elderly populations was created using PK-Sim® software. A total of nine human clinical studies which included data from plasma, lung, skin, and bone tissue were utilized to verify the model. In addition to the physicochemical properties and ADME (Absorption, Distribution, Metabolism, and Excretion) characteristics of AMP and SBC, the measured drug concentrations from the clinical studies were used for development and validation. The performance of the model was evaluated on the basis of established fold error acceptance criteria for selected pharmacokinetic parameters. Here, the model predictions were compared with the observed values.

Results

The final PBPK model for AMP and SBC could well describe the measured mean concentrations in plasma and in the different body tissues, as these fell within the predicted 5th-95th percentile range for the most part. This applies to 97% of the AMP and 88% of the SBC measurements. Exactly 81% of the fold error values of the pharmacokinetic parameters are within the twofold acceptance criterion. Overall, the average fold errors for the evaluated pharmacokinetic parameters were within the range of 1.01–1.43.

Conclusions

In this work, we present the first PBPK model that simultaneously predicts AMP and SBC in plasma and various tissues. In addition to observed plasma data, the model was also developed and verified with experimentally measured data from the above-mentioned tissues. This allowed a significant limitation of previous PBPK models to be overcome. The effectiveness of established prophylaxis regimes is demonstrated through our model, whereby it must be assumed, owing to measured data for bone tissue, that some individuals do not reach the target values for adequate prophylaxis.

Supplementary Information

The online version contains supplementary material available at https://doi.org/10.1007/s40262-025-01582-5.
Key Points
A physiologically based pharmacokinetic model of ampicillin and sulbactam exploiting plasma, bone, lung, and skin tissue data from different studies was successfully developed and verified.
The simulations within the model satisfactorily reproduce the clinically measured concentration versus time courses.
The generated model allows statements to be made about whether prophylactic regimens such as those typically used in maxillofacial surgery can provide effective protection against infection of the surgical site.

1 Introduction

Β-lactam antibiotics, especially aminopenicillins such as amoxicillin (AMX) and ampicillin (AMP), represent a frequently used class of antibiotics in the field of antimicrobial prophylaxis concerning all types of surgical procedures [1]. Aminopenicillins are often combined with β-lactamase inhibitors such as clavulanic acid (CLA) or sulbactam (SBC) to broaden the antimicrobial spectrum of activity, particularly in the gram-negative range. Especially in the field of dentistry as well as oral and maxillofacial surgery, these combinations are the first-line choice in the context of surgical antimicrobial prophylaxis [2, 3]. Since AMP and especially AMP/SBC have a broad activity against bacteria that are commonly found in the oral microbiome and/or are often involved in infections in the head and neck area [4, 5], this combination of agents is a suitable choice for both the treatment of present infections as recommended in the prescribing information [6] and as prophylactic agent to prevent surgical site infections (SSI). Clindamycin is often used as an alternative if the patient is allergic to penicillin antibiotics [7, 8].
For effective control of an infection, and presumably also for effective SSI prophylaxis, a sufficiently high proportion of the dosing interval, the unbound concentration in plasma and especially in the tissue in question must exceed the minimum inhibitory concentration (MIC) of the relevant pathogens due to the time-dependent killing characteristic of β-lactam antibiotics [9].
To date, a specific pharmacokinetic/pharmacodynamic (PK/PD) target is not defined for prophylactic use because the pathogens are not known a priori and thus an optimal prophylactic dosage scheme for the prevention of SSI in maxillofacial surgery, as practiced in the wake of osteonecrosis of the jaw (ONJ) due to treatment with antiresorptives or radiation to the jaw, is not established. Looking at β-lactam antibiotics such as AMP, different PK/PD targets can be found in the literature, which vary in rigor depending on the therapeutic purpose, the population affected, and the severity of the disease. These usually lie between 40% ƒT>MIC up to 100% ƒT>4xMIC in critically ill patients or to treat severe infections [1013]. The PK of both AMP and SBC is strongly characterized by rapid elimination from plasma, which manifests itself in a plasma half-life of 1–2 h, dependent on the age of individuals [6]. Since AMP and SBC are excreted unchanged by the kidneys for the most part, the total clearance of the two substances is largely dependent on kidney function. Both glomerular filtration and active tubular secretion contribute to excretion and only a very small fraction is eliminated via the bile [9, 14].
The use of physiologically based pharmacokinetic (PBPK) models for the quantitative description of drug concentration versus time profiles in plasma and in various target tissues is garnering increasing interest in general pharmacokinetic research, as well as in preclinical and clinical drug development [15, 16], which is also confirmed by the increasing number of publications on this subject from year to year. A search in the PubMed® database with the term “physiologically based pharmacokinetics” (Title/Abstract) yields an exponentially increasing number of publications from 2003 to 2022, with a minimal decrease (429 in 2023 versus 446 in 2022) in the last year.
PBPK modeling represents an important tool for predicting tissue concentration versus time profiles, especially when clinically observed data on those concentration profiles in the tissue of interest are lacking or are only sparsely available in the literature or difficult to determine (often due to ethical objections or unjustifiable from a clinical point of view). For this purpose, existing knowledge of the drug substances, such as physicochemical parameters (i.e., lipophilicity, pKa, molecular weight, fraction unbound, etc.) and ADME characteristics, as well as physiological and anatomical conditions of the population (organism parameters, especially organ volumes, and associated blood flow rates), is used to predict tissue deposition of the drugs during PBPK model development. In addition, general demographic information such as age, gender, and body weight are required. Experimental PK data of the drugs of interest is then used to optimize the PBPK model [17, 18].
Owing to the limited availability of exploitable data on the concentrations of AMP and especially SBC in body tissues and particularly in bone tissue, the aim of this work was to develop a PBPK model that would enable the description of plasma and bone concentrations after prophylactic administration of AMP/SBC. For this purpose, it may also be valuable to use available data from other body tissues and perform corresponding simulations for further model development and verification to obtain a more comprehensive picture of the PK of the individual substances and a more in-depth data basis for model optimization. Furthermore, the present study aimed to generate information on whether a clinically established prophylaxis regimen consisting of AMP/SBC can effectively protect against infection with common germs that occur in SSI in patients with ONJ after undergoing maxillofacial surgery.

2 Materials and Methods

2.1 Clinical Data and Software

Eight human PK studies [1926] that examined both AMP and SBC simultaneously were used for model development and validation. A further study which only determined AMP without SBC was used additionally [27] (see Table 1). The studies used for the present PBPK model mainly examined single-dose administrations as infusions or intravenous bolus where different drug doses were delivered over diverging infusion time periods. One study used for model building was supervised and conducted by the authors of the present paper, along with other authors [24], whereas a multiple-dosing regimen was applied to the study participants in contrast to the other studies used for model development and validation. This study was used to incorporate concentration versus time data in bone tissue into the PBPK model. The studies by Frank et al. [25], and Wenzel et al. [26] yielded PK data in lung and skin tissue, respectively, and were therefore used for PBPK model development. The input data for the PBPK model was extracted and digitized from the published concentration versus time graphs of the above-mentioned studies using WebPlotDigitizer (version 4.8 https://automeris.io/WebPlotDigitizer). To ensure compatibility of the tissue concentrations with the PK-Sim® workflow, they were converted to µg/mL after digitization, as PK-Sim® does not allow the selection of mass-related concentrations for the visualizations. For this purpose, the densities of 1.99 g/mL (cortical bone), 0.34 g/mL (lung tissue), and 1.05 g/mL (skin tissue) were used [2830]. The converted tissue data as well as plasma data was divided into two data sets for each substance. One set per substance was used as a training dataset, the other was used for model validation. The training dataset was used to develop the PBPK model and optimize single parameters.
Table 1
Datasets from clinical studies used for model development and validation
Study (investigated specimens)
Administration protocol (duration of infusion)
Sex (m/f)
Age (y)
Body weight (kg)
Height (cm)
Dataset
Rho et al. (serum)
2 g/1 g AMP/SBC single infusion (30 min)
1 g/0.5 g AMP/SBC single infusion (30 min)
9/3
80 (65–93)a
67 (53–93)a
171 (152–191)a
Training and validation
Triggs et al. (plasma)
0.5 g AMP single iv bolus
2/4
73 (67–84)a
n.r.
n.r.
Training
Meyers et al. (serum)
2 g/1 g AMP/SBC single infusion (30 min)
n.r.
8*
74 (65–85)a
74 (18)b
n.r.
Training
Blum et al. (serum)
2 g/1 g AMP/SBC single infusion (15 min)
n.r.
6*
59 (7)b
75 (15)b
n.r.
Training and validation
Wildfeuer et al. (serum)
1 g/0.5 g AMP/SBC single infusion (15 min)
11/29
63 (29–84)a
n.r.
n.r.
Validation
Yokoyama et al. (plasma)
1 g/0.5 g AMP/SBC single infusion (15 min)
33/7
72 (39–90)a
60 (40–76)a
n.r.
Validation
Straub et al. (jawbone)
2 g/1 g AMP/SBC four infusions q8h (10 min)
11/10
68 (55–85)a
74 (52–100)a
170 (158–185)a
Training
Frank et al. (lung tissue)
2 g/1 g AMP/SBC single infusion (15 min)
12/3
60 (n.r.)
73 (n.r.)
n.r.
Training
Wenzel et al. (skin tissue)
2 g/1 g AMP/SBC single infusion (15 min)
12*
n.r.
n.r.
n.r.
Training
*Gender distribution not explicitly listed, n.r., not reported
aMin–max range is reported
bStandard deviation is reported
The characteristics of the individual populations from the PK studies together with the corresponding dose regimens applied, the investigated specimens, and the assignment as either training or validation dataset are presented in Table 1. The PBPK model for AMP and SBC was created using PK-Sim® (Version 11.3; part of the Open Systems Pharmacology Suite, www.open-systems-pharmacology.com). Statistical calculations regarding the PK parameter evaluation such as calculating the fold error (FE) and the average fold error (AFE) were performed using Microsoft Excel for Microsoft 365 Version 2408 (Microsoft Corporation, Redmond, WA, USA). Figures were created using PK-Sim® (Version 11.3; part of the Open Systems Pharmacology Suite, www.open-systems-pharmacology.com), BioRender.com, CorelDRAW 2022 (Corel Corporation, Ottawa, Canada), OriginPro 2021 (OriginLab Corporation, Northhampton, MA, USA), and Microsoft PowerPoint for Microsoft 365 Version 2408 (Microsoft Corporation, Redmond, WA, USA).
The PubMed® (https://pubmed.ncbi.nlm.nih.gov/) and Google Scholar (https://scholar.google.com/) databases were used to examine the literature for clinical PK studies. Therefore, the keywords “ampicillin,” “sulbactam,” “pharmacokinetic,” and “tissue” were used. For the PBPK model, studies were included that administered AMP/SBC or AMP alone intravenously and that were suitable regarding the demographics of typical subjects undergoing surgery due to ONJ [3133]. Accordingly, PK studies were selected that presented concentration versus time data from middle age and elderly healthy volunteers and patients (mean age > 55 years). The nine studies (see section 2.1) used for model development and validation quantified AMP and SBC in the different matrices via bioanalytical high-performance liquid chromatography (HPLC) assay, fluorometric assay, microbiological assay, gas chromatography–mass spectrometry (GC–MS) and liquid chromatography–tandem mass spectrometry (LC–MS/MS), with quantification via HPLC assay predominating.

2.3 Workflow and PBPK Model Development

A whole-body intravenous PBPK model for the two substances AMP and SBC, which are usually administered together, was generated in PK-Sim®. A schematic workflow for the development process of the AMP/SBC model is shown in Fig. 1. The necessary substance-specific physicochemical properties as well as their general pharmacokinetic characteristics were collected through an intensive literature search. If the required information was available in the literature, these were implemented in the PBPK model. For other essential parameters that could not be found in the literature, the parameter identification tool from PK-Sim® was used (see also below in this section). This prior knowledge was used when model building was started. Virtual mean human individuals were then generated, which corresponded to the respective mean demographics from the nine individual human PK studies used (see Table 1).
Fig. 1
Workflow illustrating the physiologically based pharmacokinetic (PBPK) model building steps performed
(adapted from [17, 63]). Created with BioRender.com
Bild vergrößern
Within the individuals building block in PK-Sim® it is possible to select different ethnicities, whereby existing physiological differences between the real populations in the clinical studies are also considered in the simulation or the model. European, Japanese, and White American populations were included in this work. After creating the individual simulations, virtual populations of 100 individuals each were generated for further development and evaluation. The anthropometric parameters were varied within defined ranges (age, sex distribution, weight, height, and body mass index (BMI) corresponding to the population data of the clinical PK studies, if available) using a software algorithm within PK-Sim®, which involves certain steps until the desired number of individuals is achieved. For more details on how this algorithm is composed, please refer to the Open Systems Pharmacology Manual [34].
Pharmacokinetically, only the aspects of distribution, metabolism, and elimination (referring to ADME logic) are relevant in the present model, since only intravenous administration protocols with AMP/SBC or AMP alone are used in the setting of interest. For describing the distribution phase after intravenous administration, tissue-to-plasma partition coefficients (Kp) and cellular permeability were used and calculated via the in silico method according to Rodgers and Rowland [35, 36] and the PK-Sim® standard method, respectively. AMP and SBC are hardly metabolized and for the most part, excreted unchanged in the urine. For this reason, no hepatic clearance or metabolizing enzymes were integrated into the present PBPK model. For both substances, a proportion of < 3% of the applied dose is assumed to be excreted via the biliary system in the case of normal liver function [9, 14, 37]. The renal clearance of the substances was modeled as glomerular filtration and as first-order active tubular secretion. Glomerular filtration is described in PK-Sim® as a first-order process, which delineates the passive filtration of an unbound component in the plasma compartment of the renal blood into the primary urine. Tubular secretion describes the directed transport of a substance from the kidney into the primary urine.
Within the PK-Sim® software, two Kp are calculated for each organ/tissue on the basis of the previously defined physicochemical properties (usually obtained from literature data). For detailed descriptions of the calculation and the corresponding underlying mathematical formulas, please refer to the Open Systems Pharmacology Manual [34]. One Kp describes the ratio between the interstitial space and plasma, the other Kp describes the ratio between intracellular space and plasma. Within the presented PBPK model, the Kp (intracellular/plasma) for AMP and SBC was manually set to 0.01 by default for all tissues and organs, respectively.
The Parameter Identification Module implemented in PK-Sim® was used to optimize individual parameters or for missing parameters due to a lack of literature data. Individual mean PBPK models were fitted from the training dataset with the corresponding observed concentration versus time data (plasma, lung tissue, skin tissue, jawbone tissue). During execution, residuals between measured data and simulation are minimized by varying selected parameters within a fixed range until a local optimum is reached. This optimization was performed here for the parameters lipophilicity, tubular secretion, and for the Kp (interstitial/plasma) of the tissues for which experimentally measured concentration versus time data was available (see Table 1) in accordance with existing recommendations [17], whereby the usage of the Levenberg–Marquardt algorithm resulted in the best agreement of the simulations with the experimental data. Model parameters, physicochemical characteristics of AMP and SBC as well as further input values used for the population PBPK models are shown in Supplementary Table S1 and Table S2.

2.4 Evaluation of the PBPK Model

The generated PBPK model for AMP and SBC was initially assessed by visual inspection of the concentration versus time profiles in relation to the measured concentrations from the clinical PK studies. The model was considered adequate if the measured concentration was within the 5th–95th percentile of the prediction. In addition, the predictions of the PBPK model were evaluated using diagnostic plots such as the goodness-of-fit plot. In the goodness-of-fit plot, observed values were compared with the simulated plasma or tissue concentrations. Values of simulated PK parameters were compared with those from the corresponding clinical PK study. In the evaluation, the area under the drug concentration-time curve from first to last data point (AUCtEnd), the maximum concentration (Cmax), and the half-life (t1/2) of the substances were considered. The simulated PK parameters were then evaluated numerically by calculating the FE and the AFE according to the Eqs. (1) and (2). The acceptable range for the predicted/observed ratio for FE and AFE is generally considered to be within a twofold limit (predicted/observed ratio between 0.5 and 2) [38, 39].
$$ {\text{FE}}_{i} = \frac{{{\text{Predicted}}\;{\text{value}}\;{\text{of}}\,{\text{PK}}\;{\text{parameter}}_{i} }}{{{\text{Observed}}\;{\text{value}}\;{\text{of}}\;{\text{PK}}\;{\text{parameter}}_{i} }} $$
(1)
$$ {\text{AFE}} = 10^{{\frac{1}{n } \cdot \sum \log \left( {{\text{FE}}_{i} } \right)}} . $$
(2)

2.5 Selection of Pharmacokinetic/Pharmacodynamic Indices for Infection Prophylaxis

The pharmacokinetic/pharmacodynamic (PK/PD) target values were determined on the basis of the bacteria most frequently involved in surgical site infections in the course of maxillofacial surgery. These include gram-positive cocci of the genera Streptococcus spp. and Staphylococcus spp., whereas gram-negative bacteria such as Prevotella spp. or Haemophilus spp. also occur, albeit less frequently [40]. The MICs for the genera Streptococcus and Staphylococcus lie between 0.25–0.5mg/L with respect to AMP, depending on the specific species [41, 42]. Furthermore, a MIC for the combination of AMP/SBC has also been published in the literature for another bacterium relevant here, namely methicillin-susceptible Staphylococcus aureus (MSSA) (MIC = 2 mg/L) [43]. For the general evaluation, a MIC susceptibility break point of 0.5 mg/L was assumed on the basis of the frequency ratios of the other cocci within the Streptococcus and Staphylococcus genera. Since only the unbound antimicrobial substance can be effective, this MIC must be corrected upwards by a further 20% as the fraction unbound of AMP is 80% (see Supplementary Table S1 of the Supplementary Material), whereby a value of 0.6 mg/L was set accordingly. Owing to the time-dependent killing of β-lactam antibiotics, the antibacterial activity of AMP/SBC is related to the proportion of time within a dose interval at which the unbound drug concentration exceeds the MIC of a specific microorganism. Although PK/PD indices now exist for some β-lactamase inhibitors, as well as for their combinations with a β-lactam antibiotic, there is currently no reported PK/PD index for SBC together with a combination partner (e.g. AMP). Since SBC has intrinsic antibacterial activity against Acinetobacter baumannii, PK/PD indices for SBC alone have been evaluated in mouse models in the past. Here, as with the β-lactam antibiotics, the activity was best correlated with ƒT>MIC. Specific targets were given here as 60% ƒT>MIC and 40% ƒT>MIC. It was suggested that the efficacy of the combination of β-lactam antibiotic and SBC is maintained if the concentration of SBC remains above the enzyme inhibitory concentration of the corresponding β-lactamase enzyme [44]. Owing to the uncertain influence in combination with AMP on the pathogens of interest here, SBC is neglected in the determination. A target PK/PD index of 50% ƒT>MIC was selected in the present evaluation.

2.6 Investigations of AMP/SBC Concentration Ratios in Tissue within the Dosing Interval

To gain a better understanding of the concentration ratios between AMP and SBC over the course of the dosing interval, the AMP/SBC concentration ratios were determined at tmax, 1 h, 2 h, and 4 h after the start of the infusion.

3 Results

3.1 Development and Evaluation of a PBPK Model in Elderly Populations

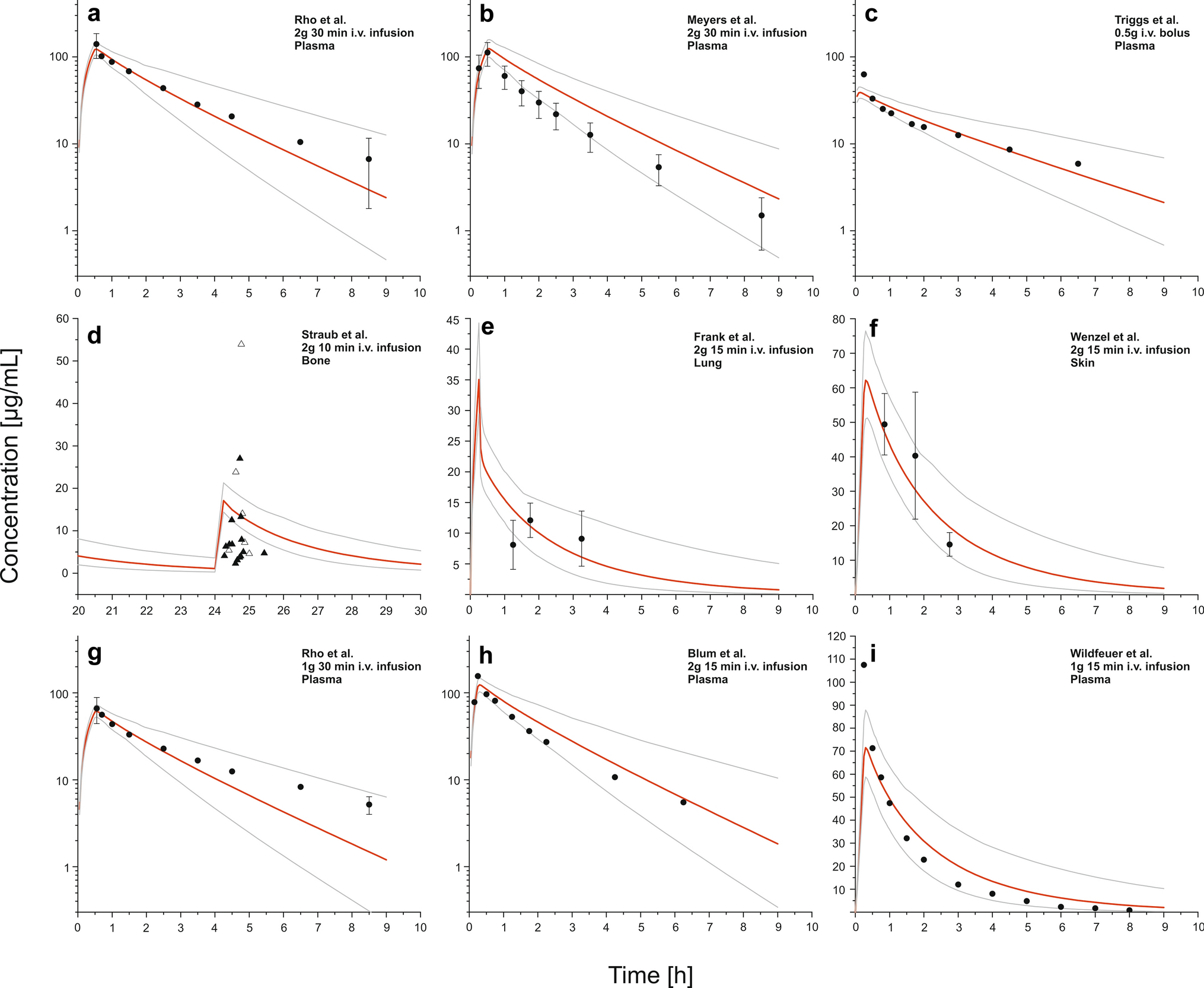
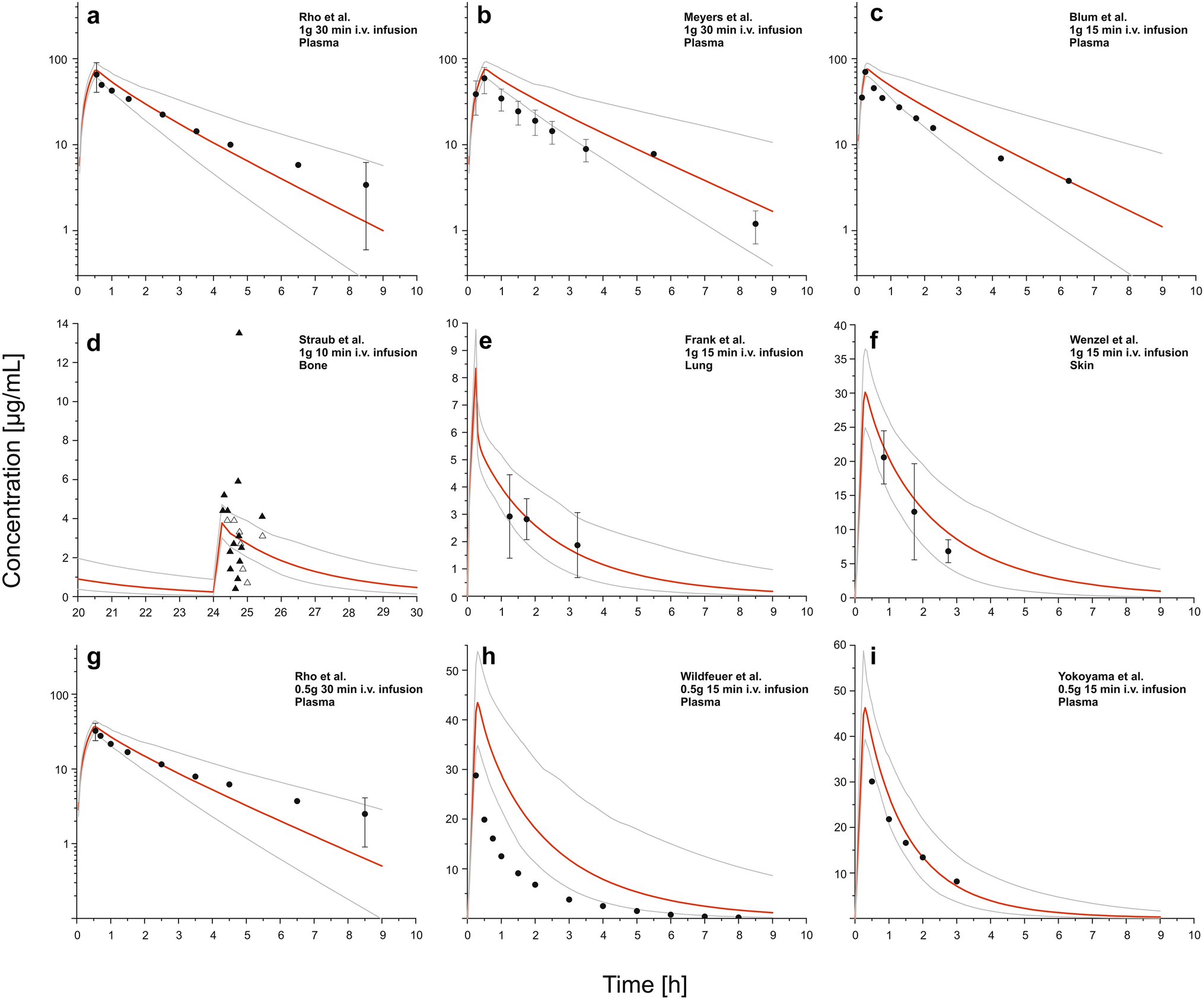
A whole-body PBPK model for the coadministered substances AMP and SBC was generated in PK-Sim® using clinical PK data from plasma, jawbone tissue, lung tissue, and skin tissue. A further four studies or different dosing regimens within the same studies that were used for the training dataset were used for external validation (see Table 1). The concentration versus time course of AMP and SBC after intravenous administration was simulated in the single populations with partly different doses and duration of infusions. The simulations were subsequently superimposed with the measured data from the corresponding clinical studies (Figs. 2, 3), which enables a first visual comparison of simulated and observed data as well as initial performance evaluation.
Fig. 2
Collection of predicted versus observed concentration-time profiles after intravenous administration of ampicillin (AMP) in plasma and different tissues in elderly populations. The filled black circles (with error bar) are the mean values (± standard deviation) of the observed concentrations. The filled black triangles in Fig. 2d represent individual measurements of necrotic bone samples. The empty black triangles in Fig. 2d represent individual measurements of vital bone samples. The solid red line represents the geometric mean value of the predicted concentration for a certain time. The solid gray lines represent the boundaries of the simulated 5th–95th percentile range
Bild vergrößern
Fig. 3
Collection of predicted versus observed concentration-time profiles after intravenous administration of sulbactam (SBC) in plasma and different tissues in elderly populations. The filled black circles (with error bar) are the mean values (± standard deviation) of the observed concentrations. The filled black triangles in Fig. 3d represent individual measurements of necrotic bone samples. The empty black triangles in Fig. 3d represent individual measurements of vital bone samples. The solid red line represents the geometric mean value of the predicted concentration for a certain time. The solid gray lines represent the boundaries of the simulated 5th–95th percentile range
Bild vergrößern
As can be seen from Figs. 2 and 3, most of the mean values of the measured concentrations lie within the simulated 5th–95th percentile range. For AMP, all mean values except the measured Cmax values in the simulations corresponding to Wildfeuer et al. [22] and Triggs et al. [27] are within the 5th–95th percentile, or the standard deviation of the measured mean values clearly intersects the 5th–95th range. For SBC, most of the mean values are within the 5th–95th range. The simulation for SBC based on Wildfeuer et al. [22] apparently overestimates the measured data. When reviewing the measured concentrations of the bone samples (only individual measurements per patient; mean values were not calculated), Figs. 2 and 3 show that most of these lie outside the simulated 5th–95th percentile range for both AMP and SBC. This applies equally to necrotic and vital samples.
Overall, 97% (61 out of 63 observed concentrations) of the observed values for AMP are within the 5th–95th percentile range, or the corresponding standard deviation clearly intersects this range. For SBC, this applies to 88% of the observed values (52 out of 59 observed concentrations), since it must be assumed that at least the last five measured mean values from Wildfeuer et al. [22] have a standard deviation that intersects the simulated 5th–95th percentile range. The underlying study does not provide any information on this aspect. Furthermore, the study by Straub et al. [24] (jawbone tissue) was not included in the calculation of the percentages just listed.
Goodness-of-fit plots for the predicted versus observed AMP and SBC plasma and tissue concentrations of the training dataset are shown in Fig. 4a and b. Here, 85% for AMP as well as 85% for SBC of all the predicted plasma and tissue concentrations fall within the acceptable twofold deviation range.
Fig. 4
a Goodness-of-fit plot showing predicted versus observed AMP plasma and tissue concentrations. The central solid black line indicates the line of identity, while the other solid gray lines represent the twofold range for acceptability; b Goodness-of-fit plot showing predicted versus observed SBC plasma and tissue concentrations. The central solid black line indicates the line of identity, while the other solid gray lines represent the twofold range for acceptability
Bild vergrößern
Supplementary Tables S3 and S4 compares the predicted PK parameters AUCtEND, Cmax, and t1/2 with the observed parameters from the clinical studies. Wherever calculable, all but eight FEs (equivalent to 81%) of the corresponding PK parameters from the clinical studies were within the twofold limits (see Supplementary Tables S3 and S4). In this analysis, all but one of the FEs outside the twofold limits came from tissue concentration studies. The AFEs for the PK parameters AUCtEND, Cmax, and t1/2 were 1.43, 1.01, and 1.22, respectively.

3.2 PBPK Simulations and PK/PD Targets for Prophylactic Purposes

As can be seen from Figs. 2 and 3, the predicted plasma concentrations versus time profiles were in good agreement with the experimental data. Measured concentrations in skin and lung tissues show high standard deviations at the individual sampling times but are almost exclusively within the 5th–95th prediction interval. Furthermore, the selected MIC of 0.6 mg/L for AMP in the simulations in plasma with corresponding dose regimes is cut by the 5th–95th prediction interval after 8 h at the earliest, as can be seen in Fig. 2. The predictions in skin and lung tissue suggest that the MIC is exceeded at least 6 h after application, which is supported by the measured concentrations. Exceeding 50% ƒT>MIC is therefore given with an administration of 2 g AMP for plasma, skin, and lung tissue, provided that the usual applied scheme in maxillofacial surgery of 2 g AMP or 2 g/1g AMP/SBC as a single-shot or q8h [2, 8, 24] is considered. The simulation of bone tissue concentrations including the clinical data will be discussed in detail in Sect. 4.

3.3 PBPK Simulations for Patient Populations with Renal Impairment

Using the developed PBPK model, simulations of concentration versus time profiles in populations with renal impairment were performed on the basis of the population of Straub et al. (see Table 1). An eGFR of 30–60 mL/min/1.73 m2 was assumed, which includes the classification “mildly to moderately decreased” and “moderately to severely decreased” for chronic kidney disease (CKD). The simulations were performed for plasma and bone tissue. The dosing regimens 2 g/1g AMP/SBC as well as 1 g/0.5 g AMP/SBC as single infusion or as an infusion q8h were simulated. The predictions in plasma and bone tissue indicate that the MIC of 0.6 mg/L for AMP is exceeded throughout the entire dosing interval for all regimens tested. Exceeding 50% ƒT>MIC is therefore given in any case.

3.4 AMP/SBC Concentration Ratios in Various Tissues

Investigations of the concentration ratios of AMP/SBC over time during the dosing interval demonstrated that, based on the simulations in the present PBPK model, an AMP/SBC ratio of 4.40–4.52 is achieved in bone tissue in the time interval between Cmax and 4 h after the start of infusion. For lung tissue, the ratio in the same time interval is between 3.86 and 4.20, and for skin tissue between 2.02 and 2.13.

4 Discussion

The developed PBPK model focuses on the PK profiles of AMP/SBC in plasma and especially in jawbone tissue in the mentioned population in order to evaluate prophylactic treatment in maxillofacial surgery.
As far as we know, this work is the first to present a PBPK model for both AMP and SBC simultaneously in plasma as well as in tissue. The simulations within the model satisfactorily reproduce the clinically measured concentration versus time courses, particularly those in plasma, as can already be seen from visual inspection. This is objectively confirmed by the calculated FEs and AFEs for the PK parameters AUCtEND, Cmax, and t1/2 in the plasma data used, since these are all (with one exception) within the twofold criterion (see Supplementary Table S3 and S4).

4.1 Model Structure and Underlying Processes

Compared with other published PBPK models on aminopenicillins [14, 45], we did not include any hepatic metabolism process in our model, since this excretion, as already mentioned in Sect. 2.3, makes up only a very small part of the overall elimination process. In the PBPK model by Li et al. [14], which was developed using the Simcyp® population-based simulator, the authors deal with the exposure of AMP in fetuses and neonates. In the underlying adult PBPK model for AMP, drug elimination was modeled via additional processes compared with those in the approach presented here. In addition to glomerular filtration and the tubular secretion characterized there in more detail, they also included a bile clearance process and a hepatic metabolism process. As in our model, the Kp of the individual tissues was predicted using the in silico method according to Rodgers and Rowland.
In a sensitivity analysis carried out during PBPK model development via PK-Sim®, the hepatic elimination process was identified as having little influence on various PK parameters, as well as on the magnitude and dynamic shape of the concentration versus time curves of the individual simulations. This observation confirmed our decision to omit the hepatic process for the sake of simplicity. Accordingly, the elimination of the two substances in the present PBPK model consists of the passive process of glomerular filtration and the active process of tubular secretion, in accordance with the known PK properties of AMP/SBC [9, 46].
Published data [47, 48] show that AMP, as a typical representative of β-lactam antibiotics, does not or only negligibly diffuse into tissue intracellular spaces. Owing to the hydrophilic character of the substance, it cannot naturally penetrate plasma membranes. Investigations on the Kp of AMP and other β-lactam antibiotics between plasma and erythrocytes in rats confirm the inability to passively penetrate eukaryotic cells [49]. Therefore, the Kp (intracellular/plasma) was set to 0.01 in our PBPK model (see Sect. 2.3). Owing to the very similar PK behavior of SBC, the same proceeding was used here.

4.2 Tissue Concentrations and Model Performance

When looking at the generated concentration versus time profiles of the individual tissues (skin, lung, bone), which were part of the development process of the present PBPK model, it is noticeable that the measured mean tissue concentrations show a very high variability. In line with requests for better verification of PBPK models designed to predict tissue concentrations [50], the Kp values of tissues for which measured data were also available were optimized using a fitting tool (Parameter Identification Module of PK-Sim®) as a function of plasma and tissue concentrations. Not just on the basis of plasma measurements. The high variability between the individual measurements (between-subject variability) is probably due to the differences in the quantitative constitution of the individual tissue samples. For example, the skin samples (Wenzel et al. [26]) always contain a certain amount of subcutaneous fat, although the exact amount is not known, since the exact anatomical location of the sample is also unknown. This results in variability with respect to the histological composition between the samples of the individual subjects, which is more pronounced than in plasma samples. In contrast, the tissue sample can be contaminated by adhering blood, which ultimately leads to less accurate and less precise analysis results and predictions of tissue concentration. Contamination of the sample with blood residues usually leads to higher total tissue concentration measurements than actually existent. Furthermore, there are fewer sampling times than in regular PK studies with plasma as the specimen of interest and, in contrast to plasma measurements, the single measurement points in tissue all come from different subjects. Multiple tissue sampling from the same patient is very unusual.
To assess the effectiveness of antimicrobial therapy in the tissue of interest, a concentration versus time profile is inevitably necessary for antibiosis with β-lactams including AMP/SBC, as statements on effectiveness are based on the proportion of time within a dose interval at which the unbound drug concentration exceeds the MIC of a specific microorganism (ƒT>MIC). Although the profiles could be predicted in the present PBPK model for the three tissue types mentioned, it could only be verified with a single time measurement (often taken shortly after application) per subject in contrast to plasma profiles. This increases the uncertainty of the prediction of tissue concentrations, especially regarding the magnitude and shape of the concentration versus time curve in both the initial distribution phase and the elimination phase [50]. Therefore, it remains inconclusive whether the simulated tissue concentration versus time profiles actually resemble thatsuggested by Figs. 2d–f and 3d–f.
When focusing on the bone samples, it must also be noted that these do not represent a homogenous matrix. The differences in the exact composition between the subjects can vary considerably, since the samples consist of a certain proportion of cancellous bone and a certain proportion of cortical bone with different densities and bone penetration properties regarding the antibiotic substances. Since we only used jawbone samples from our own clinical study [24] to develop the model, it can be assumed that cortical bone was present for the most part, since the outer region of the mandible, where most of the samples come from, consists mainly of this type of bone [51]. Therefore, the density of cortical bone was also assumed for the model evaluation (see Sect. 2.1). A much greater variability of the measurements is most likely because both necrotic and vital mandibular tissue were analyzed and incorporated into the PBPK model building. The investigations carried out [24] showed that the antibiotic concentrations between necrotic and neighboring vital bone did not differ significantly from each other, but no distinctions were made with regard to the extent of necrosis (larger or smaller proportion of dead tissue in the sample). The sample was simply denoted as “necrotic” without further subclassification. This could probably have contributed to the high variability, since the exact proportions of necrotic bone in the sample differ between subjects, ultimately resulting in a large number of individual jawbone tissue matrices that are more or less well perfused, depending on the severity of the necrosis. Accordingly, anti-infective agents can be deposited to a greater or lesser extent and subsequently quantified via bioanalysis [52].
Of the tissue studies, PK parameter predictions could only be compared with observed PK parameters and FEs calculated for Wetzel et al. (skin) and Frank et al. (lung). The jawbone study (Straub et al.) did not allow for a reasonable estimation of the PK parameters considered (see Supplementary Table S3 and S4) owing to the tissue sampling over a very short period of time (7–75 min after the end of the infusion administered before incision). Furthermore, the study of Straub et al. was originally designed only to evaluate the concentrations of AMP/SBC in the jawbone at the time of surgery to assess whether sufficiently high jawbone concentrations for effective prophylaxis could be achieved with an established antibiotic regimen.
As can be seen from Supplementary Tables S3 and S4, the predicted-to-observed PK parameter ratios of the tissue examinations mostly fall outside the twofold acceptance range, which may presumably be due to the high inter-individual variability of the measured concentrations in the tissue, as just discussed. Thus far, there is little agreement in the literature on which acceptance range is appropriate. As van der Heijden et al. suggest [38], it may be appropriate to assume a wider range than the commonly applied twofold range. In particular, a less narrow range should be considered for drug exposure scenarios in which a high inter-individual variability prevails, as is also the case with tissue exposures to AMP/SBC considered here.
The goodness-of-fit plots (Fig. 4a, b) indicate that all plasma data have a good fit (within the twofold deviation lines). Furthermore, all predicted lung and skin concentrations are within the twofold limits. All other predictions outside the set limits refer to the concentration measurements in jawbone. It should be noted that the jawbone data points are individual, whereas the other tissues and plasma data points are mean data.
As can be seen in Figs. 2d and 3d, the individual bone samples were taken within a single time interval after the end of the last infusion (point cloud), and not at one point in time. Thus, we did not consider it appropriate to combine the individual measurements into one or more mean values here. Even though this might have led to the predictions of the bone tissue concentrations being within the twofold range. Similar to a previous PBPK study by Garreau et al. [53], which examined the exposure of skin and bone tissue to the reserve antibiotic daptomycin, our study also showed that the largest deviation from the prediction exists for bone tissue. In a further PBPK analysis by de Sutter et al. [50], the predictive performance of a model developed by them was evaluated for cefuroxime exposure in bone in relation to observed bone concentrations from Tottrup et al. [54]. In both the daptomycin and cefuroxime studies, the biological samples were obtained in the form of microdialysis samples. Therefore, the samples represented the interstitial fluid of the corresponding bone tissue, which was examined. As with the other study, the authors observed a higher deviation from the usually applied twofold criterion. This raises the question of whether the twofold criterion might be too strict for predictions for bone tissue and whether, as suggested by de Stutter et al. [50], a threefold range could be acceptable for PBPK predicted bone tissue exposure.

4.3 PK/PD Target Selection and Attainment

The simulations in plasma show that the selected PK/PD target of 50% ƒT>MIC is exceeded by far with the usual 2 g application of AMP given as a short infusion. Applying the dosing regimen used in clinical routine (2 g/1g AMP/SBC as a single infusion or as an infusion q8h), it can be assumed that even a more conservative target of 100% ƒT>MIC is achieved in all populations. This would also apply to a 1g AMP application over a 15-min infusion period, as suggested by the population simulation for Wildfeuer et al. [22] (see Fig. 2i). However, there is a lack of real-world human data from tissue samples that could support the thesis for the 1 g AMP dosing. The selected PK/PD target of 50% ƒT>MIC is set relatively low compared with other targets proposed in the literature. However, in terms of perioperative infection prophylaxis, it seemed appropriate to the authors, since stricter targets are rather applied for therapeutic/curative purposes, in critically ill patients, or in generally critical patient populations, e.g. populations with low immune system functionality. Furthermore, owing to the prophylactic nature of antibiotic administration in this case, we have chosen a target that is close to the lowest target available in the literature for the treatment of a manifest infection. Since there was no infection in the surgical area at the time of the ONJ surgery, or at least not necessarily, and since we do not consider the ONJ surgical population to be critically ill (intensive care patients), this reinforced our decision to set the target value of 50% ƒT>MIC [12, 13].
If the prediction of AMP in bone tissue is consulted, an exceedance of the MIC for at least 6 h in the population can be safely assumed on this basis alone. The target of 50% ƒT>MIC is achieved in any case. As mentioned earlier in this section, observed data to verify bone tissue concentration predictions are only available over a limited period of time at the beginning of the dosing interval and the simulated courses at later time points are therefore subject to greater uncertainty. Based on the observed data, it is clear that some individuals or a small proportion of the population may not reach the PK/PD target with respect to bone tissue. This holds particularly true if surgery times are extended due to complications or in the presence of extensive necrotic areas. In this case, it may be appropriate to administer an additional dose intraoperatively. The study by Straub et al. [24] used in the present PBPK model only includes concentration measurements from patients whose bone sample was obtained no later than 90 min after administration of the last infusion of 2 g/1g AMP/BSC. Therefore, there were no lengthy surgeries, which is why intraoperative redosing was not necessary. As described elsewhere [55, 56], continuous infusion could possibly provide more consistent plasma levels and thus more stable concentrations in the target tissue, which would lower the risk of not reaching the PK/PD target values. However, it should be noted that this approach is difficult to implement in routine clinical practice, where treatment of ONJ is predominantly provided on an outpatient basis.
Looking at the simulations carried out with populations with renal impairment, it can be deduced from this prediction alone that a less excessive dosing regimen than that commonly used in clinical practice (namely 2 g/1g AMP/SBC as an infusion q8h) will most likely be sufficient to exceed the selected PK/PD target of 50% ƒT>MIC in both plasma and bone tissue. For this reason, the authors recommend a reduced AMP/SBC dose of 1 g/0.5 g, administered as a single infusion or q8h, especially in patients with an eGFR of 30–60 mL/min/1.73 m2. This recommendation is consistent with the results of previous studies [10, 57] that have proposed dosage recommendations on the basis of population pharmacokinetic models. However, when interpreting the results, we would like to point out that the simulations could not be verified with observed data and may therefore be subject to considerable uncertainty.

4.4 Strengths, Limitations, and Future Challenges

To the best of our knowledge, the reported work is the first PBPK model to present simultaneous predictions for both of the usually coadministered substances AMP and SBC in plasma and in various tissues. Within this study we were able to circumvent to some extent one of the major criticisms and limitations of previous PBPK models dealing with the prediction of tissue exposure after antibiotic administration by verifying all model predictions with corresponding observed human data from the associated tissue (jawbone, skin, lung). Many of the tissue predictions from previous PBPK models were only verified with human plasma data or animal tissue data [39, 49, 5860], which, however, is largely due to the lack of pharmacometrically exploitable tissue concentration data. Likewise, the observed data from the tissue concentration studies [2426] were also used in model development in addition to the plasma concentrations to optimize corresponding Kp values using the PK-Sim® Parameter Identification module. In previous PBPK models, this was only done with plasma concentrations as input data [50]. The PBPK model developed here should help clinicians to assess whether effective antibiotic prophylaxis with AMP/SBC can be achieved in typical patients undergoing maxillofacial surgery using the conventional administration modalities employed in clinical practice. This is determined on the basis of the model predictions in plasma and especially bone tissue.
Despite some improvements in the modeling process in terms of verification, there are still some limitations, and some questions of interest remain in whole or in part unanswered. Firstly, our PBPK model also assumes that the PK/PD targets associated with the microbial outcomes are valid for both plasma and the tissue types discussed, which is not necessarily the case. In addition, it remains unclear how intensively the investigated substances AMP/SBC bind to bone tissue, since only unbound drugs can have an antimicrobial effect, whereby studies suggest that β-lactam antibiotics hardly bind to bone powder [61]. Data from microdialysis samples, which would represent the unbound substance concentrations in the interstitial fluid, are missing. However, it should be mentioned here that the microdialysis technique for sampling bone tissue also has its disadvantages, such as the necessary hole that must be inserted into the bone. This, can in turn, fill with blood and extracellular fluid, so that measured concentrations can be falsified, since they reflect concentrations in the resulting dead space or the concentration of interstitial fluid from the neighboring distinct tissue [52]. The PBPK model presented here is designed for populations undergoing maxillofacial surgery due to ONJ. Since these patients are almost exclusively middle-aged or elderly, the model was developed using PK data from appropriate studies with compatible demographics. Given that the elimination of AMP/SBC depends largely on renal clearance, elimination in the considered population is naturally reduced when compared with young, healthy populations. Accordingly, the half-life of the substances increases with age [6]. The formulated PK/PD targets are thus already achieved at a lower dose, especially in the elderly population. In young patients, who are rarely treated in the wake of ONJ in practice, there might be a risk that plasma or tissue levels will be below the decisive MIC for a comparatively longer period of time due to the shorter half-life of AMP and SBC. In this case, a shorter dosing interval could be reasonable in the event of longer surgery duration.
The dosing interval would also have to be shortened with regard to the simulated bone tissue concentrations if other, less sensitive germs than the most common SSI germs in the course of maxillofacial surgery, such as Streptococcus spp. and Staphylococcus spp. (with MICs ≤ 0.5mg/L) are involved (e.g. Haemophilus species where the susceptibility MIC break point is ≤ 1mg/L, or in the presence of MSSA with a MIC break point of 2 mg/L) [42, 43]. It is also largely unclear whether a PK/PD target for SBC should be defined, since it is not known at which concentration the antimicrobial spectrum-expanding properties of SBC are lost in vivo in the context of prophylaxis. Assuming a minimal critical concentration (MCC) threshold of 4 mg/L (the value is based on the fact that this concentration is currently used as a break point concentration in susceptibility testing), as in a population PK study by Reeder et al. [10], it becomes apparent (see Fig. 3d) that this concentration is hardly ever reached in bone tissue, regardless of the time after administration of 2 g/1g AMP/SBC. Furthermore, as our investigations of AMP/SBC concentration ratios in tissue demonstrate (see Sect. 3.4), a ratio of 1.0–2.0 between the two substances, which previous studies indicate as the most effective antibacterial activity [57], is only achieved in skin tissue. The ratios are clearly shifted towards AMP, particularly in bone, which raises the question of whether this deviation in concentration ratios can lead to a reduction in prophylactic effectiveness and consequently to a higher susceptibility to SSIs.
What remains at the end, however, is the question of actual, measured concentrations in the (jaw)bone tissue in the middle and terminal part of the dosing interval. It would be desirable to have further measured data available at later time points after the end of the last preoperative infusion. An obvious consideration would be to start the surgery at a later time after the end of the last infusion in order to generate more data in the terminal phase of the profile. Since the operations often take place in an outpatient clinical setting, this is difficult to implement in practice, and artificially prolonging the time between the end of the last preoperative infusion and the end of the surgery is unreasonable for the patient and cannot be justified from a medical and ethical point of view. Thus, the determination of concentration data in the middle and terminal part of the dosing interval will probably also not be possible in the future. Here, PBPK models such as the one presented within this work, can provide valuable assistance. However, the question and the necessity of PK/PD target implementations in the context of perioperative infection prophylaxis [61] is paramount to be able to make reliable statements about the effectiveness of applied prophylaxis schemes with the help of models. With regard to the first question it seems justified to re-dose early when in doubt in order to ensure sufficiently high tissue levels, given the wide therapeutic index and good safety profile of beta-lactam antibiotics even at high doses [62]. This is particularly the case if the start of the operation is delayed or the duration of the operation is extended, for example in the case of extensive necrotic bone areas or large-scale resections. Finally, it is not entirely clear which compartment concentrations are actually relevant for effective infection prophylaxis in ONJ surgery. However, the authors of this manuscript are convinced that plasma concentration, bone concentration, and, to a lesser extent, concentration in skin tissue will be of particular importance here. Since we do not know exactly how the active substances behave in bone (binding to bone tissue/bone components), how high the unbound concentration will be as a result, and which PD effects could be limited as a result, it remains difficult to assess whether falling below the MIC in bone automatically indicates ineffective prophylaxis with the AMP/SBC combination.

5 Conclusions

In this study, we introduce the first PBPK model capable of simultaneously predicting the concentrations of AMP and SBC in human plasma as well as in human bone, lung, and skin tissue. Unlike previous PBPK models, which often relied solely on plasma data, our model was developed and validated using not only observed plasma concentrations but also experimentally obtained data from the relevant tissues. This comprehensive approach allowed us to address and overcome a significant limitation of earlier models, which typically lacked the ability to accurately reflect tissue-specific drug distribution. By incorporating tissue-level data, our model provides a more realistic and reliable representation of the pharmacokinetics of AMP and SBC, thereby improving its predictive power. Furthermore, we applied the model to evaluate the effectiveness of existing prophylactic treatment regimens. The simulation results demonstrate that these established regimens are generally effective; however, the analysis also reveals an important caveat: based on the experimentally measured drug concentrations in bone tissue, it appears that certain individuals may fail to achieve the target levels required for adequate prophylactic protection.

Acknowledgements

We would like to thank Fritz Sörgel, Martina Kinzig, as well as all co-workers from the Institute for Biomedical and Pharmaceutical Research (Nürnberg-Heroldsberg, Germany) for kindly providing the cryogenic mill. We also thank Margit Schleyer from the Department of Oral and Maxillofacial Plastic Surgery of the University Hospital in Würzburg for organizing the storage and transfer of patient samples.

Declarations

Conflict of interest

The authors have no competing interests to declare that are relevant to the content of this article.
The study was conducted in accordance with the Declaration of Helsinki and approved by the Institutional Review Board of the University of Würzburg (protocol code 51/20-me and 143/20-me, 2020) for studies involving humans.
All patients have provided written informed consent to publish this paper.

Data availability

Data will be made available upon reasonable and justified request.

Code availability

The PBPK model described in the following work will be made available open source on Open Systems Pharmacology GitHub (https://github.com/Open-Systems-Pharmacology).

Author contributions

Conceptualization: Maximilian Stapf, Oliver Scherf-Clavel; Methodology: Maximilian Stapf; Investigation and data acquisition: Maximilian Stapf, Anton Straub, Valentin Steinacker, Stefan Hartmann; Formal analysis: Maximilian Stapf; Writing—original draft preparation: Maximilian Stapf; Writing—review and editing: Anton Straub, Valentin Steinacker, Stefan Hartmann, Oliver Scherf-Clavel; Funding acquisition: Oliver Scherf-Clavel; Resources: Anton Straub, Stefan Hartmann, Valentin Steinacker, Oliver Scherf-Clavel; Project administration: Stefan Hartmann, Oliver Scherf-Clavel; Supervision: Oliver Scherf-Clavel.
Open Access This article is licensed under a Creative Commons Attribution-NonCommercial 4.0 International License, which permits any non-commercial use, sharing, adaptation, distribution and reproduction in any medium or format, as long as you give appropriate credit to the original author(s) and the source, provide a link to the Creative Commons licence, and indicate if changes were made. The images or other third party material in this article are included in the article's Creative Commons licence, unless indicated otherwise in a credit line to the material. If material is not included in the article's Creative Commons licence and your intended use is not permitted by statutory regulation or exceeds the permitted use, you will need to obtain permission directly from the copyright holder. To view a copy of this licence, visit http://creativecommons.org/licenses/by-nc/4.0/.
Download
Titel
A Physiologically Based Pharmacokinetic Model for the Prediction of Plasma and Bone Tissue Exposure after Prophylactic Administration of Ampicillin/Sulbactam in Patients with Osteonecrosis of the Jaw
Verfasst von
Maximilian Stapf
Anton Straub
Valentin Steinacker
Stefan Hartmann
Oliver Scherf-Clavel
Publikationsdatum
27.09.2025
Verlag
Springer International Publishing
Erschienen in
Clinical Pharmacokinetics / Ausgabe 12/2025
Print ISSN: 0312-5963
Elektronische ISSN: 1179-1926
DOI
https://doi.org/10.1007/s40262-025-01582-5

Supplementary Information

Below is the link to the electronic supplementary material.
1.
Zurück zum Zitat Bratzler DW, Dellinger EP, Olsen KM, Perl TM, Auwaerter PG, Bolon MK, et al. Clinical practice guidelines for antimicrobial prophylaxis in surgery. Am J Health Syst Pharm. 2013;70(3):195–283. https://doi.org/10.2146/ajhp120568.CrossRefPubMed
2.
Zurück zum Zitat Schiegnitz E A-NB, Hoefert S, Otto S, Pautke C, Ristow O, Voss P, Grötz KA: S3 Leitlinie Antiresorptiva-assoziierte Kiefernekrosen (AR-ONJ). AWMF-Register-Nr. 007-091. https://www.awmf.org/uploads/tx_szleitlinien/007-091l_S3_Antiresorptiva-assoziierte-Kiefernekrosen-AR-ONJ_2018-12.pdf. Accessed 24 Sept 2024.
3.
Zurück zum Zitat French Society of Stomatology M-FS, Oral Surgery. French good practice guidelines regarding third molar removal: Indications, techniques, methods. J Stomatol Oral Maxillofac Surg. 2020;121(4):418–29. https://doi.org/10.1016/j.jormas.2020.05.026.CrossRef
4.
Zurück zum Zitat Li X, Liu Y, Yang X, Li C, Song Z. The oral microbiota: community composition, influencing factors, pathogenesis, and interventions. Front Microbiol. 2022;13:895537. https://doi.org/10.3389/fmicb.2022.895537.CrossRefPubMedPubMedCentral
5.
Zurück zum Zitat Norder Grusell E, Dahlen G, Ruth M, Ny L, Quiding-Jarbrink M, Bergquist H, et al. Bacterial flora of the human oral cavity, and the upper and lower esophagus. Dis Esophagus. 2013;26(1):84–90. https://doi.org/10.1111/j.1442-2050.2012.01328.x.CrossRefPubMed
6.
Zurück zum Zitat Pfizer Pharma GmbH. Unacid: Prescribing Information. 2024. https://figi.pfizer.de/sites/default/files/FI-23383.pdf. Accessed 24 Sept 2024.
7.
Zurück zum Zitat Roistacher DM, Heller JA, Ferraro NF, August M. Is penicillin allergy a risk factor for surgical site infection after oral and maxillofacial surgery? J Oral Maxillofac Surg. 2022;80(1):93–100. https://doi.org/10.1016/j.joms.2021.08.147.CrossRefPubMed
8.
Zurück zum Zitat Bartella AK, Kamal M, Teichmann J, Kloss-Brandstatter A, Steiner T, Holzle F, et al. Prospective comparison of perioperative antibiotic management protocols in oncological head and neck surgery. J Craniomaxillofac Surg. 2017;45(7):1078–82. https://doi.org/10.1016/j.jcms.2017.04.001.CrossRefPubMed
9.
Zurück zum Zitat Adnan S, Paterson DL, Lipman J, Roberts JA. Ampicillin/sulbactam: its potential use in treating infections in critically ill patients. Int J Antimicrob Agents. 2013;42(5):384–9. https://doi.org/10.1016/j.ijantimicag.2013.07.012.CrossRefPubMed
10.
Zurück zum Zitat Reeder JA, O’Sullivan CT, Xu M, Wu N, Ince D, Rogers WK, et al. Model-informed clinical practice—determining an appropriate ampicillin-sulbactam redosing regimen in surgical patients by utilizing population pharmacokinetics and target attainment analysis. Antimicrob Agents Chemother. 2023;67(4):e0124822. https://doi.org/10.1128/aac.01248-22.CrossRefPubMed
11.
Zurück zum Zitat Shah S, Barton G, Fischer A. Pharmacokinetic considerations and dosing strategies of antibiotics in the critically ill patient. J Intensive Care Soc. 2015;16(2):147–53. https://doi.org/10.1177/1751143714564816.CrossRefPubMedPubMedCentral
12.
Zurück zum Zitat Wicha SG, Martson AG, Nielsen EI, Koch BCP, Friberg LE, Alffenaar JW, et al. International Society of Anti-Infective Pharmacology tPKPDsgotESoCMID: from therapeutic drug monitoring to model-informed precision dosing for antibiotics. Clin Pharmacol Ther. 2021;109(4):928–41. https://doi.org/10.1002/cpt.2202.CrossRefPubMed
13.
Zurück zum Zitat Roberts JA, Abdul-Aziz MH, Lipman J, Mouton JW, Vinks AA, Felton TW, et al. Individualised antibiotic dosing for patients who are critically ill: challenges and potential solutions. Lancet Infect Dis. 2014;14(6):498–509. https://doi.org/10.1016/S1473-3099(14)70036-2.CrossRefPubMedPubMedCentral
14.
Zurück zum Zitat Li S, Xie F. Foetal and neonatal exposure prediction and dosing evaluation for ampicillin using a physiologically-based pharmacokinetic modelling approach. Br J Clin Pharmacol. 2023;89(4):1402–12. https://doi.org/10.1111/bcp.15589.CrossRefPubMed
15.
Zurück zum Zitat Jones HM, Chen Y, Gibson C, Heimbach T, Parrott N, Peters SA, et al. Physiologically based pharmacokinetic modeling in drug discovery and development: a pharmaceutical industry perspective. Clin Pharmacol Ther. 2015;97(3):247–62. https://doi.org/10.1002/cpt.37.CrossRefPubMed
16.
Zurück zum Zitat Peters SA, Dolgos H. Requirements to establishing confidence in physiologically based pharmacokinetic (PBPK) models and overcoming some of the challenges to meeting them. Clin Pharmacokinet. 2019;58(11):1355–71. https://doi.org/10.1007/s40262-019-00790-0.CrossRefPubMedPubMedCentral
17.
Zurück zum Zitat Kuepfer L, Niederalt C, Wendl T, Schlender JF, Willmann S, Lippert J, et al. Applied concepts in PBPK modeling: how to build a PBPK/PD model. CPT Pharmacomet Syst Pharmacol. 2016;5(10):516–31. https://doi.org/10.1002/psp4.12134.CrossRef
18.
Zurück zum Zitat Jones H, Rowland-Yeo K. Basic concepts in physiologically based pharmacokinetic modeling in drug discovery and development. CPT Pharmacomet Syst Pharmacol. 2013;2(8):e63. https://doi.org/10.1038/psp.2013.41.CrossRef
19.
Zurück zum Zitat Rho JP, Jones A, Woo M, Castle S, Smith K, Bawdon RE, et al. Single-dose pharmacokinetics of intravenous ampicillin plus sulbactam in healthy elderly and young adult subjects. J Antimicrob Chemother. 1989;24(4):573–80. https://doi.org/10.1093/jac/24.4.573.CrossRefPubMed
20.
Zurück zum Zitat Meyers BR, Wilkinson P, Mendelson MH, Walsh S, Bournazos C, Hirschman SZ. Pharmacokinetics of ampicillin-sulbactam in healthy elderly and young volunteers. Antimicrob Agents Chemother. 1991;35(10):2098–101. https://doi.org/10.1128/AAC.35.10.2098.CrossRefPubMedPubMedCentral
21.
Zurück zum Zitat Blum RA, Kohli RK, Harrison NJ, Schentag JJ. Pharmacokinetics of ampicillin (2.0 grams) and sulbactam (1.0 gram) coadministered to subjects with normal and abnormal renal function and with end-stage renal disease on hemodialysis. Antimicrob Agents Chemother. 1989;33(9):1470–6. https://doi.org/10.1128/AAC.33.9.1470.CrossRefPubMedPubMedCentral
22.
Zurück zum Zitat Wildfeuer A, Mallwitz J, Gotthardt H, Hille E, Gruber H, Dahmen G, et al. Pharmacokinetics of ampicillin, sulbactam and cefotiam in patients undergoing orthopedic surgery. Infection. 1997;25(4):258–62. https://doi.org/10.1007/BF01713160.CrossRefPubMed
23.
Zurück zum Zitat Yokoyama Y, Matsumoto K, Yamamoto H, Iguro Y, Imoto Y, Ikawa K, et al. Pharmacokinetics of ampicillin-sulbactam and the renal function-based optimization of dosing regimens for prophylaxis in patients undergoing cardiovascular surgery. J Infect Chemother. 2012;18(6):878–82. https://doi.org/10.1007/s10156-012-0431-6.CrossRefPubMed
24.
Zurück zum Zitat Straub A, Stapf M, Fischer M, Vollmer A, Linz C, Lam TT, et al. Bone concentration of ampicillin/sulbactam: a pilot study in patients with osteonecrosis of the jaw. Int J Environ Res Public Health. 2022. https://doi.org/10.3390/ijerph192214917.CrossRefPubMedPubMedCentral
25.
Zurück zum Zitat Frank U, Schmidt-Eisenlohr E, Joos-Wurttemberger A, Hasse J, Daschner F. Concentrations of sulbactam/ampicillin in serum and lung tissue. Infection. 1990;18(5):307–9. https://doi.org/10.1007/BF01647016.CrossRefPubMed
26.
Zurück zum Zitat Wenzel M, Wildfeuer A, Gutsche F. Pharmacokinetics of ampicillin/sulbactam in patients undergoing colorectal surgery: measurements in serum, the colonic wall and in tissue at the incision site. Int J Antimicrob Agents. 1996;6(Suppl):S35-39. https://doi.org/10.1016/S0924-8579(96)80006-9.CrossRefPubMed
27.
Zurück zum Zitat Triggs EJ, Johnson JM, Learoyd B. Absorption and disposition of ampicillin in the elderly. Eur J Clin Pharmacol. 1980;18(2):195–8. https://doi.org/10.1007/BF00561590.CrossRefPubMed
28.
Zurück zum Zitat Landersdorfer CB, Kinzig M, Hohl R, Kempf P, Nation RL, Sorgel F. Physiologically based population pharmacokinetic modeling approach for ciprofloxacin in bone of patients undergoing orthopedic surgery. ACS Pharmacol Transl Sci. 2020;3(3):444–54. https://doi.org/10.1021/acsptsci.0c00045.CrossRefPubMedPubMedCentral
29.
Zurück zum Zitat Tawhai MH, Nash MP, Lin CL, Hoffman EA. Supine and prone differences in regional lung density and pleural pressure gradients in the human lung with constant shape. J Appl Physiol (1985). 2009;107(3):912–20. https://doi.org/10.1152/japplphysiol.00324.2009.CrossRefPubMed
30.
Zurück zum Zitat Li C, Guan G, Reif R, Huang Z, Wang RK. Determining elastic properties of skin by measuring surface waves from an impulse mechanical stimulus using phase-sensitive optical coherence tomography. J R Soc Interface. 2012;9(70):831–41. https://doi.org/10.1098/rsif.2011.0583.CrossRefPubMed
31.
Zurück zum Zitat Poxleitner P, Ermer MA, Trittler R, Feuerstein CL, Otten J-E, Schmelzeisen R, et al. Concentration of penicillin G in jawbone affected by antiresorptive agent-related osteonecrosis following a single preoperative dose. Antibiotics. 2020;10(1):17. https://doi.org/10.3390/antibiotics10010017.CrossRefPubMedPubMedCentral
32.
Zurück zum Zitat Ristow O, Birgel JL, Ruckschloss T, Held T, Lang K, Smielowski M, et al. Osteoradionecrosis of the jaw-comparison between bone and soft tissue injury and their influence on surgical outcomes-a retrospective cohort study. Diagnostics (Basel). 2023. https://doi.org/10.3390/diagnostics13030366.CrossRefPubMed
33.
Zurück zum Zitat Ewald F, Wuesthoff F, Koehnke R, Friedrich RE, Gosau M, Smeets R, et al. Retrospective analysis of bacterial colonization of necrotic bone and antibiotic resistance in 98 patients with medication-related osteonecrosis of the jaw (MRONJ). Clin Oral Investig. 2021;25(5):2801–9. https://doi.org/10.1007/s00784-020-03595-9.CrossRefPubMed
34.
Zurück zum Zitat Open Systems Pharmacology Manual. https://docs.open-systems-pharmacology.org. Accessed 24 Sept 2024.
35.
Zurück zum Zitat Rodgers T, Leahy D, Rowland M. Physiologically based pharmacokinetic modeling 1: predicting the tissue distribution of moderate-to-strong bases. J Pharm Sci. 2005;94(6):1259–76. https://doi.org/10.1002/jps.20322.CrossRefPubMed
36.
Zurück zum Zitat Rodgers T, Rowland M. Physiologically based pharmacokinetic modelling 2: predicting the tissue distribution of acids, very weak bases, neutrals and zwitterions. J Pharm Sci. 2006;95(6):1238–57. https://doi.org/10.1002/jps.20502.CrossRefPubMed
37.
Zurück zum Zitat Campoli-Richards DM, Brogden RN. Sulbactam/ampicillin. A review of its antibacterial activity, pharmacokinetic properties, and therapeutic use. Drugs. 1987;33(6):577–609. https://doi.org/10.2165/00003495-198733060-00003.CrossRefPubMed
38.
Zurück zum Zitat van der Heijden JEM, Freriksen JJM, de Hoop-Sommen MA, Greupink R, de Wildt SN. Physiologically-based pharmacokinetic modeling for drug dosing in pediatric patients: a tutorial for a pragmatic approach in clinical care. Clin Pharmacol Ther. 2023;114(5):960–71. https://doi.org/10.1002/cpt.3023.CrossRefPubMed
39.
Zurück zum Zitat Zhu S, Zhang J, Lv Z, Zhu P, Oo C, Yu M, et al. Prediction of tissue exposures of meropenem, colistin, and sulbactam in pediatrics using physiologically based pharmacokinetic modeling. Clin Pharmacokinet. 2022;61(10):1427–41. https://doi.org/10.1007/s40262-022-01161-y.CrossRefPubMed
40.
Zurück zum Zitat Rega AJ, Aziz SR, Ziccardi VB. Microbiology and antibiotic sensitivities of head and neck space infections of odontogenic origin. J Oral Maxillofac Surg. 2006;64(9):1377–80. https://doi.org/10.1016/j.joms.2006.05.023.CrossRefPubMed
41.
Zurück zum Zitat Heibel H, Scheer M, Reuther T, Hahn M, Trittler R, Egle H, et al. Ampicillin and sulbactam concentrations in the irradiated mandible after oral squamous cell cancer. Mund Kiefer Gesichtschir. 2005;9(4):214–9. https://doi.org/10.1007/s10006-005-0615-7.CrossRefPubMed
42.
Zurück zum Zitat European Committee on Antimicrobial Susceptibility Testing. Data from the EUCAST MIC distribution website, https://mic.eucast.org/search/. Accessed 24 Sept 2024.
43.
Zurück zum Zitat Four Academic Societies Joint Antimicrobial Susceptibility Surveillance Program. Data from website, https://www.3ssp.jp/database/surgical/mic-5090/. Accessed 04 Sept 2025.
44.
Zurück zum Zitat Assefa GM, Roberts JA, Mohammed SA, Sime FB. What are the optimal pharmacokinetic/pharmacodynamic targets for β-lactamase inhibitors? A systematic review. J Antimicrob Chemother. 2024;79(5):946–58. https://doi.org/10.1093/jac/dkae058.CrossRefPubMedPubMedCentral
45.
Zurück zum Zitat Dallmann A, Himstedt A, Solodenko J, Ince I, Hempel G, Eissing T. Integration of physiological changes during the postpartum period into a PBPK framework and prediction of amoxicillin disposition before and shortly after delivery. J Pharmacokinet Pharmacodyn. 2020;47(4):341–59. https://doi.org/10.1007/s10928-020-09706-z.CrossRefPubMed
46.
Zurück zum Zitat Foulds G. Pharmacokinetics of sulbactam/ampicillin in humans: a review. Rev Infect Dis. 1986;8(Suppl 5):S503-511. https://doi.org/10.1093/clinids/8.supplement_5.503.CrossRefPubMed
47.
Zurück zum Zitat Pea F, Viale P, Furlanut M. Antimicrobial therapy in critically ill patients: a review of pathophysiological conditions responsible for altered disposition and pharmacokinetic variability. Clin Pharmacokinet. 2005;44(10):1009–34. https://doi.org/10.2165/00003088-200544100-00002.CrossRefPubMed
48.
Zurück zum Zitat Ehrnebo M, Nilsson SO, Boreus LO. Pharmacokinetics of ampicillin and its prodrugs bacampicillin and pivampicillin in man. J Pharmacokinet Biopharm. 1979;7(5):429–51. https://doi.org/10.1007/BF01062386.CrossRefPubMed
49.
Zurück zum Zitat Tsuji A, Yoshikawa T, Nishide K, Minami H, Kimura M, Nakashima E, et al. Physiologically based pharmacokinetic model for beta-lactam antibiotics I: tissue distribution and elimination in rats. J Pharm Sci. 1983;72(11):1239–52. https://doi.org/10.1002/jps.2600721103.CrossRefPubMed
50.
Zurück zum Zitat De Sutter P-J, De Cock P, Johnson TN, Musther H, Gasthuys E, Vermeulen A. Predictive performance of physiologically based pharmacokinetic modelling of beta-lactam antibiotic concentrations in adipose, bone, and muscle tissues. Drug Metab Disposit. 2023;51(4):499–508. https://doi.org/10.1124/dmd.122.001129.CrossRef
51.
Zurück zum Zitat Sugiura T, Yamamoto K, Horita S, Murakami K, Tsutsumi S, Kirita T. The effects of bone density and crestal cortical bone thickness on micromotion and peri-implant bone strain distribution in an immediately loaded implant: a nonlinear finite element analysis. J Periodontal Implant Sci. 2016;46(3):152–65. https://doi.org/10.5051/jpis.2016.46.3.152.CrossRefPubMedPubMedCentral
52.
Zurück zum Zitat Koch BCP, Zhao Q, Oosterhoff M, van Oldenrijk J, Abdulla A, de Winter BCM, et al. The mysteries of target site concentrations of antibiotics in bone and joint infections: what is known? A narrative review. Expert Opin Drug Metab Toxicol. 2022;18(9):587–600. https://doi.org/10.1080/17425255.2022.2117607.CrossRefPubMed
53.
Zurück zum Zitat Garreau R, Montange D, Grillon A, Jehl F, Ferry T, Bourguignon L, et al. Daptomycin physiology-based pharmacokinetic modeling to predict drug exposure and pharmacodynamics in skin and bone tissues. Clin Pharmacokinet. 2022;61(10):1443–56. https://doi.org/10.1007/s40262-022-01168-5.CrossRefPubMed
54.
Zurück zum Zitat Tottrup M, Soballe K, Bibby BM, Hardlei TF, Hansen P, Fuursted K, et al. Bone, subcutaneous tissue and plasma pharmacokinetics of cefuroxime in total knee replacement patients—a randomized controlled trial comparing continuous and short-term infusion. APMIS. 2019;127(12):779–88. https://doi.org/10.1111/apm.12996.CrossRefPubMed
55.
Zurück zum Zitat Zeller V, Dzeing-Ella A, Kitzis MD, Ziza JM, Mamoudy P, Desplaces N. Continuous clindamycin infusion, an innovative approach to treating bone and joint infections. Antimicrob Agents Chemother. 2010;54(1):88–92. https://doi.org/10.1128/AAC.01081-09.CrossRefPubMed
56.
Zurück zum Zitat Ogawa T, Kasahara K, Ikawa K, Shigeta J, Komatsu Y, Kuruno N, et al. Continuous ampicillin infusion as an alternative to intermittent infusion for adult inpatients: a case series. J Infect Chemother. 2014;20(10):653–5. https://doi.org/10.1016/j.jiac.2014.05.006.CrossRefPubMed
57.
Zurück zum Zitat Onita T, Ikawa K, Nakamura K, Nishikawa G, Kobayashi I, Ishihara N, et al. Prostatic pharmacokinetic/pharmacodynamic evaluation of ampicillin-sulbactam for bacterial prostatitis and preoperative prophylaxis. J Clin Pharmacol. 2021;61(6):820–31. https://doi.org/10.1002/jcph.1800.CrossRefPubMed
58.
Zurück zum Zitat Tan Z, Zhang Y, Wang C, Sun L. Physiologically based pharmacokinetic modeling of cefadroxil in mouse, rat, and human to predict concentration-time profile at infected tissue. Front Pharmacol. 2021;12:692741. https://doi.org/10.3389/fphar.2021.692741.CrossRefPubMedPubMedCentral
59.
Zurück zum Zitat Sadiq MW, Nielsen EI, Khachman D, Conil JM, Georges B, Houin G, et al. A whole-body physiologically based pharmacokinetic (WB-PBPK) model of ciprofloxacin: a step towards predicting bacterial killing at sites of infection. J Pharmacokinet Pharmacodyn. 2017;44(2):69–79. https://doi.org/10.1007/s10928-016-9486-9.CrossRefPubMed
60.
Zurück zum Zitat Wu M, Feng K, Wu X, Liu C, Zhu S, Martins FS, et al. Prediction of tissue exposures of polymyxin-B, amikacin and sulbactam using physiologically-based pharmacokinetic modeling. Front Microbiol. 2024;15:1435906. https://doi.org/10.3389/fmicb.2024.1435906.CrossRefPubMedPubMedCentral
61.
Zurück zum Zitat Landersdorfer CB, Kinzig M, Bulitta JB, Hennig FF, Holzgrabe U, Sorgel F, et al. Bone penetration of amoxicillin and clavulanic acid evaluated by population pharmacokinetics and Monte Carlo simulation. Antimicrob Agents Chemother. 2009;53(6):2569–78. https://doi.org/10.1128/AAC.01119-08.CrossRefPubMedPubMedCentral
62.
Zurück zum Zitat Pai Mangalore R, Peel TN, Udy AA, Peleg AY. The clinical application of beta-lactam antibiotic therapeutic drug monitoring in the critical care setting. J Antimicrob Chemother. 2023;78(10):2395–405. https://doi.org/10.1093/jac/dkad223.CrossRefPubMedPubMedCentral
63.
Zurück zum Zitat Li Q, Guan Y, Xia C, Wu L, Zhang H, Wang Y. Physiologically-based pharmacokinetic modeling and dosing optimization of cefotaxime in preterm and term neonates. J Pharm Sci. 2024;113(8):2605–15. https://doi.org/10.1016/j.xphs.2024.03.002.CrossRefPubMed