Zum Inhalt

Association of daily step counts and step intensity with mortality among US adults: a cross–sectional study of NHANES 2005–2006

  • Open Access
  • 01.12.2025
  • Research
Erschienen in:

Abstract

Background & aims

We aimed to describe the dose–response relationship between daily step counts and intensity with respect to all–cause mortality among US adults diagnosed with metabolic dysfunction–associated steatotic liver disease (MASLD).

Methods

Using data from the National Health and Nutrition Examination Survey (NHANES) database spanning from 2005 to 2006, a cross–sectional study included 1,108 participants was performed to assess the relationship between daily step counts and step intensity with mortality.

Results

A total of 1,108 participants from the NHANES study were included, with a mean age of 49.5 ± 0.9 years. The sample consisted of 533 (48.1%) women, 809(73%) non–Hispanic whites, 122 (10.8%) non–Hispanic blacks, 133 (12.0%) Hispanic, and 44 (4.2%) individuals of other racial backgrounds. Using multivariable–adjusted Cox proportional hazards models, we found that compared to participants in the light–step group, there was significantly lower risk of mortality in the moderate (hazard ratio [HR], 0.47 [95% CI, 0.32–0.69]), high (HR, 0.35 [95% CI, 0.21–0.61]) and vigorous (HR,0.45 [95% CI, 0.22–0.93]) step groups. Sensitivity and subgroup analyses confirmed that the association between step count and mortality remained robust. However, after adjusting for all covariates, greater step intensity was not significantly associated with lower mortality. Further analysis revealed that age, BMI, and self–rated health could have confounded the relationship between step intensity and survival, potentially obscuring any direct effect of step intensity on mortality.

Conclusions

Accumulating a higher number of daily steps, rather than focusing on step intensity, was associated with a lower risk of all–cause mortality in individuals with MASLD. Our findings suggest that achieving 10,000 steps per day may be optimal for reducing the risk of all–cause mortality risk in this population.

Supplementary Information

The online version contains supplementary material available at https://doi.org/10.1186/s12876-025-03606-7.
Tianzhou Peng and Changhao Liu these authors share the first authorship.

Publisher’s Note

Springer Nature remains neutral with regard to jurisdictional claims in published maps and institutional affiliations.
MASLD
Metabolic dysfunction–associated steatotic liver disease
NHANES
National Health and Nutrition Examination Survey
FLI
Fatty Liver Index
BMI
Body mass index
WC
Waist circumference
GGT
Gamma glutamyl transpeptidase
HDL–C
High–density lipoprotein cholesterol
IRB
Institutional Review Board
peak 60 cadences
Peak 60–minute cadences
peak 30 cadences
Peak 30–minute cadences
peak 1 cadences
Peak 1–minute cadences
ORs
Odds ratios

Introduction

Metabolic dysfunction–associated steatotic liver disease (MASLD), characterized by hepatic steatosis along with at least one cardiometabolic risk factor (CMRF) and no other known cause, is estimated to affect approximately 30% of adult worldwide [1, 2]. MASLD is not only a liver–related condition but also a multi–system disease associated with cardiovascular disease (CVD) and extrahepatic cancers [3, 4]. Previous studies have shown that MASLD is associated with an increased risk of all–cause mortality [5].Currently, no pharmacological treatments are approved specifically for MASLD, making lifestyle interventions, including physical activity, the primary approach for managing the disease [5, 6].
Among physical activities, walking is one of the most accessible and popular options for the general population [7]. Over the past decade, the use of consumer–grade wearable activity monitors has increased substantially. These devices provide real–time feedback on both step counts and step intensity, allowing individuals to track their physical activity more effectively. Several studies leveraging this technology have shown that step–based recommendations are key to reducing mortality risk, with evidence drawn from diverse populations, including US adults [8], older women [9] and young adults [10]. However, to date, research focused on individuals with MASLD remains limited. Given the high prevalence of MASLD, the prevalence of MASLD underscores the urgency of developing specialized, evidence–based guidelines for this population [11]. Despite the importance of physical activity, no public health guidelines currently specify the optimal number of steps MASLD patients should take daily to reduce their mortality risk. Moreover, walking can be performed at different intensity levels, adding complexity to assessing its effects on health outcomes [9, 12, 13]. However, the relationship between step intensity and mortality remains unclear.
The National Health and Nutrition Examination Survey (NHANES) (www.cdc.gov/nchs/nhanes) is designed to assess the health and nutritional status of adults and children in the United States [8]. The survey is distinctive in that it incorporates both physical examinations and interviews. Several cross–sectional, nationally representative health examination surveys are part of the NHANES program. Questions about demographics, health insurance status, dietary habits, acute and chronic medical issues, mental health, and prescription drug use are all included in the health interview. Exam components can change between survey cycles but typically include blood pressure, dental exams, vision, hearing, dermatology, fitness, balance and strength testing, respiratory testing, taste and smell, and body measurements (weight, height, skin folds, body composition scans). Hematology, organ and endocrine function (e.g., thyroid, kidney), environmental exposure, dietary biomarkers, metabolic and cardiovascular health, and infectious disease are some laboratory components. In this study, we present data from NHANES to examine the associations of daily step counts and step intensity with mortality in individuals with MASLD. Additionally, our secondary objective was to explore whether step intensity is independently associated with mortality.

Methods

Study population

Data from 10,348 participants in the 2005–2006 NHANES cycle were linked to the National Death Index through 2019. As outlined in previous studies [1, 5], MASLD was defined based on the presence of hepatic steatosis in conjunction with at least one of the following five cardiometabolic risk factors: (1) body mass index (BMI) > 25 kg/m2 or waist circumference (WC) > 94 cm in men and > 80 in women [14]; (2) fasting serum glucose ≥ 100 mg/dL (≥ 5.6 mmol/L), 2–hour post–load glucose level ≥ 140 mg/dL (≥ 7.8 mmol/L), glycated hemoglobin (HbA1c) ≥ 5.7%, or on specific drug treatment [15]; (3) blood pressure ≥ 130/85 mmHg or on specific drug treatment [16]; (4) plasma triglycerides ≥ 150 mg/dL (≥ 1.70 mmol/L) or on specific drug treatment [17]; (5) plasma high–density lipoprotein cholesterol (HDL –C) < 40 mg/dL (< 1.0 mmol/L) for men and < 50 mg/dL (< 1.3 mmol/L) for women or on specific drug treatment [17]. Furthermore, the definition of MASLD continues to limit alcohol intake in the context of steatosis, with an average weekly intake of 140 g for women and 210 g for men [1]. The exclusion criteria were set forth as follows: (1) loss of ActiGraph data, (2) fewer than one valid day (with wearing time ≥ 10 h) for step counts data, (3) age below 18 years, (4) missing data for BMI, WC, triacylglycerol levels, gamma glutamyl transpeptidase (GGT) levels, or survival status, (5) pregnancy or breastfeeding, (6) presence of hepatitis B/C virus, (7) heavy drinking(weekly alcohol intake ≥ 140 g in women, ≥ 210 g in men), and (8) fatty liver index (FLI) ≤ 60. This cohort study was approved by the Institutional Review Board (IRB) at each participating field center [18]. The flowchart detailing participant selection from the 2005 to 2006 NHANES cycle is illustrated (Fig. 1). All participants provided written informed consent, and the final cohort included 1,108 participants.
Fig. 1
Flow chart of study inclusion legend: flowchart of the participants’ selection from NHANES 20005–2006. BMI, body mass index; FLI, fatty liver index; HDL–C, high–density lipoprotein cholesterol; GGT, Gamma Glutamyl Transpeptidase; NHANES, National Health, and Nutrition Examination Survey; WC, waist circumference
Bild vergrößern

Stepping amount and intensity

During the 2005-2006 NHANES cycle, participants wore an accelerometer (ActiGraph, model 7164) at the waist for 7 consecutive days during waking hours [19, 20]. To assess weekly step consistency, we included only participants who wore the accelerometer for at least 10 h on one day with recorded step counts [8]. Total daily step counts were calculated by summing steps on valid days and determining the median for each participant. Participants were categorized into four groups based on their average daily steps: light (< 4,000 steps/day), moderate (4,000 to 7,999 steps/day), high (8,000 to 11,999 steps/day), and vigorous (≥ 12,000 steps/day) [8]. Additionally, we calculated peak 60-min (peak 60 cadences), peak 30-min (peak 30 cadences), and peak 1-min (peak 1 cadences) cadences [21]. For peak 60 cadences and peak 30 cadences, the average was calculated by selecting the highest 60 and 30 cadences values each day, respectively, computing their daily mean, and averaging across all valid days. For peak 1 cadences, the highest cadences value each day was selected, and its mean was calculated across all days.

Mortality ascertainment

To ascertain participants’ vital status, participants or their designated proxies were contacted semi–annually; furthermore, systematic searches of the National Death Index were conducted on a 5–year cycle [22]. Staff requested death certificates, hospital records for deaths, and autopsy reports. For this analysis, participants were followed up for death through December 31, 2019.

Statistical analysis

To account for the complex multi-stage cluster design, NHANES sample weights were applied. Categorical data are presented as numbers (percentages) and compared using chi-squared tests, while continuous variables are reported as means with standard errors (SE) and compared using Student’s t-tests.
After verifying the proportional hazards (PH) assumption, Cox proportional hazards regression models were used to calculate hazard ratios (HRs) and 95% confidence intervals (CIs) for the association between step volume groups and all–cause mortality. These analyses were sequentially refined through tiered model adjustments: Model 1 adjusted for basic variables such as age and gender; Model 2 was further refined by including race, poverty–income ratio, education, BMI, waist circumference (WC), marital status, smoking status, comorbidities, diet, and alcohol consumption; and Model 3 was augmented by integrating cardiometabolic risk factors—central obesity, impaired glucose metabolism, hypertension, HDL–C, and elevated triglycerides. Additionally, restricted cubic splines, with four knots strategically positioned at the 5th, 35th, 65th, and 95th percentiles of the daily step counts distribution, were used to examine the dose–response association with mortality. Cox proportional hazard model was then conducted to explore the relationship between step intensity and all-cause mortality using a similar modeling approach.
Several sensitivity analyses were conducted. First, to reduce reverse causality, participants who died within the first two years were excluded. Next, to assess the influence of self-reported general health, analyses were conducted for participants with MASLD, excluding those who rated their health as “fair” or “poor.” Finally, analyses were adjusted for subgroups based on age, gender, and race. Statistical significance was defined as a two–sided P–value below 0.05. All statistical analyses were performed using SAS version 9.4 (SAS Institute).

Results

In the study, a total of 1,108 subjects were enrolled, and their initial baseline characteristics are presented (Table 1). The mean age at baseline was 49.5 years, with a standard deviation of 0.9 years. Of these individuals, 533 (48.1%) were women and 575 (51.9%) were men. Racially, 809 (73%) were non-Hispanic whites, 122 (10.8%) were non-Hispanic blacks, 133 (12.0%) were Hispanic, and 44 (4.2%) were from other racial backgrounds. The median follow–up duration for participants was 13.8 years. Participants with MASLD who engaged in higher levels of physical activity, as measured by step counts, were younger, had lower BMI and smaller waist circumferences, and were more likely to be cohabiting and identified as moderate drinkers. They also had a lower prevalence of cardiometabolic risk factors, such as hypertension and impaired glucose metabolism, and were less likely to rate their general health as fair or poor.
Table 1
Characteristics of steps per day of participants in the study
Baseline demographics
<4,000 (n = 127)
4,000–7,999 (n = 372)
8,000–11,999 (n = 386)
≥12,000 (n = 223)
Total (N = 1,108)
Test of significance
Age, y, means (SE)
63.9(1.6)
53.1(1.3)
46.0(1.0)
43.8(0.8)
49.5 (0.9)
< 0.001(T–test)
Gender, n (%)
 Male
52(41.2)
139(37.4)
205(53.2)
179(80.4)
575(51.9)
< 0.001(Chi–square test)
 Female
75(58.8)
233(62.6)
181(46.8)
44(19.6)
533(48.1)
Race, n (%)
 Non–Hispanic whites
96(76.1)
281(75.6)
284(73.6)
148(66.4)
809(73)
< 0.001(Chi–square test)
 Non–Hispanic blacks
17(13.0)
41(11.1)
42(10.9)
22(9.8)
122(10.8)
 Hispanic
6(4.5)
33(8.8)
47(12.2)
45(20.3)
133(12.0)
 Other Races
8(6.4)
17(4.6)
13(3.3)
8(3.5)
44(4.2)
BMI, kg/m2, means (SE)
36.7(1.0)
35.1(0.4)
33.9(0.5)
31.8(0.3)
34.1(0.3)
< 0.001(T–test)
WC, cm, means (SE)
118.5(1.8)
112.9(0.9)
110.6(1.2)
107.2(0.6)
111.4 (0.7)
< 0.001(T–test)
Folate intake, mcg, means (SE)
147.2(12.0)
174.2(8.4)
171.4(7.9)
173.7(9.6)
170.4(4.6)
0.0383(T–test)
Lowcarb and lowfat diets,n(%)
 Yes
83(65.4)
224(60.2)
234(60.6)
112(50.2)
653(58.9)
0.020(Chi–square test)
 No
44(34.6)
148(39.8)
152(39.4)
111(49.8)
455(41.1)
Marital status, n (%)
 Cohabitation
59(46.5)
229(61.6)
265(68.7)
175(78.5)
728(65.7)
< 0.001(Chi–square test)
 Solitude
68(53.5)
143(38.4)
121(31.3)
48(21.5)
380(34.3)
Educational level, n (%)
 Less than high school
10(7.5)
20(5.4)
21(5.5)
16(7.3)
67(6.0)
0.102(Chi–square test)
 High school
18(14.6)
32(8.6)
33(8.6)
32(14.2)
115(10.3)
 More than high school
99(77.9)
320(86)
332(85.9)
175(78.5)
926(83.7)
Povertyincome ratio, n (%)
 <1.3
35(27.0)
50(13.5)
46(11.8)
33(14.6)
164(14.4)
0.010(Chi–square test)
 1.3–3.5
56(44.3)
148(39.7)
135(35.0)
89(40.1)
428(38.4)
 >3.5
32(25.3)
161(43.2)
197(51.0)
98(44.1)
488(44.7)
 Unknown
4(3.3)
13(3.5)
8(2.1)
3(1.1)
28(2.5)
Cardiometabolic risk factor (yes), n (%)
 Central obesity
127(100.0)
371(99.9)
378(99.0)
220(98.9)
1096(98.9)
0.407(Chi–square test)
 Impaired glucose metabolism
88(69.3)
209(56.3)
183(47.5)
91(40.6)
571(51.5)
0.006(Chi–square test)
 Hypertension
97(76.8)
247(66.5)
216(55.9)
95(42.7)
655(59.1)
< 0.001(Chi–square test)
 Low HDL–C
95(75.1)
227(61.1)
230(59.6)
120(53.9)
672(60.6)
0.036(Chi–square test)
 High triglycerides
101(79.3)
248(66.7)
259(67.2)
155(69.5)
763(68.9)
0.265(Chi–square test)
Alcohol consumption, %
 Never
72(56.4)
156(41.9)
112(29.1)
54(24.0)
394(34.8)
< 0.001(Chi–square test)
 Moderate
55(43.6)
216(58.1)
274(70.9)
169(76.0)
714(65.2)
Smoking status, %
 Never
62(49.2)
202(54.2)
224(58.1)
111(49.9)
599(54.3)
0.019(Chi–square test)
 Former
45(35.1)
113(30.4)
94(24.3)
56(25.2)
308(27.4)
 Current
13(10.6)
31(8.4)
38(9.8)
23(10.1)
105(9.5)
 Unknown
7(5.2)
26(6.9)
30(7.9)
33(14.8)
96(8.7)
Selfrated health
 Excellent
6(4.5)
17(4.6)
20(5.2)
20(8.8)
63(5.7)
0.001(Chi–square test)
 Very good
18(14.2)
113(30.3)
131(33.9)
86(38.5)
348(31.8)
 Good
43(33.8)
154(41.4)
174(45.0)
93(41.9)
464(42.2)
 Fair or poor
37(29.0)
48(13.0)
29(7.5)
11(5.1)
125(10.8)
 Unknown
23(18.5)
40(10.6)
32(8.4)
13(5.7)
108(9.5)
Comorbidities
 Coronary heart disease
  Yes
15(11.8)
22(5.9)
14(3.6)
3(1.3)
54(4.9)
< 0.001(Chi–square test)
  No
111(87.4)
347(93.3)
372(96.4)
220(98.7)
1050(94.7)
  Unknown
1(0.8)
3(0.8)
0(0)
0
4(0.4)
Stroke
 Yes
21(16.5)
13(3.5)
9(2.3)
2(0.9)
45(4.1)
< 0.001(Chi–square test)
 No
105(82.7)
358(96.2)
377(97.7)
221(99.1)
1061(95.8)
 Unknown
1(0.8)
1(0.3)
0(0)
0(0)
2(0.1)
Diabetes mellitus
 Yes
44(34.6)
62(16.7)
54(14.0)
13(5.8)
173(15.6)
< 0.001(Chi–square test)
 No
76(59.8)
300(80.6)
318(82.4)
208(93.2)
902(81.4)
 Unknown
7(5.6)
10(2.7)
14(3.6)
2(1.0)
33(3.0)
BMI Body mass index, HDL–C High–density lipoprotein cholesterol, SE Standard Error, WC Waist circumference
Data are presented as means and standard error (SE) for continuous variables, number and proportions for categorical variables

Step counts and all–cause mortality

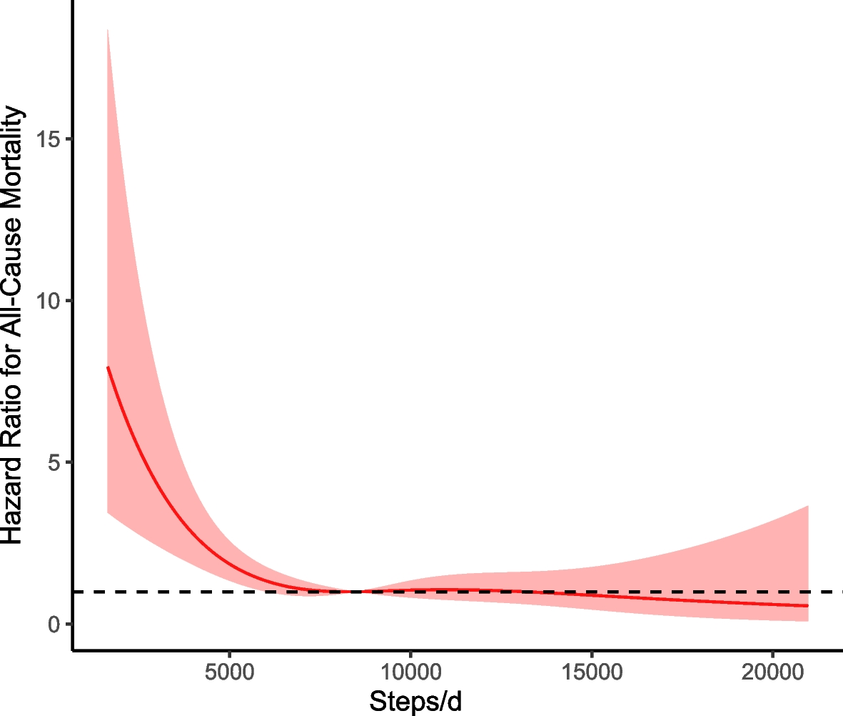
Preliminary analysis revealed a considerable attenuation in the association between daily step counts and mortality with incremental adjustment for various covariates (Table 2). Therefore, we present results from models that account for all these covariates. In the fully adjusted analysis, taking 4,000 to 7,999 steps per day was significantly associated with lower all-cause mortality compared to the reference group (< 4,000 steps/day) (HR, 0.47 [95% CI, 0.32–0.69]). Similarly, individuals taking 8,000 to 11,999 steps per day had a significantly lower mortality risk (HR, 0.35 [95% CI, 0.21–0.61]). Taking 12,000 steps or more per day was associated with a substantial reduction in all-cause mortality (HR, 0.45 [95% CI, 0.22–0.93]). Restricted cubic splines revealed a decline in mortality risk across the step-count distribution, leveling off around 10,000 steps per day (Fig. 2).
Table 2
Multivariable hazard ratios of steps per day and all–cause mortality in participants with MASLD
Steps/d
Model 1
Model 2
Model 3
HR (95% CI)
Wald Test
HR (95% CI)
Wald Test
HR (95% CI)
Wald Test
 < 4,000
Reference
 
Reference
 
Reference
 
4,000–7,999
0.39(0.28–0.53)
< 0.001
0.44(0.31–0.63)
< 0.001
0.47(0.32–0.69)
< 0.001
8,000–11,999
0.22(0.14–0.36)
< 0.001
0.35(0.21–0.58)
< 0.001
0.35(0.21–0.61)
< 0.001
 ≥ 12,000
0.24(0.09–0.64)
0.007
0.42(0.21–0.87)
0.018
0.45(0.22–0.93)
0.032
Model 1 was adjusted for age, gender; Model 2 was adjusted for model 1 + race, poverty–income ratio, education, BMI, WC, marital status, smoking status, alcohol consumption; self–rated health, complications(stroke, diabetes mellitus, coronary heart disease), diets, folate intake; Model 3 was adjusted for model 2 + components of the cardiometabolic risk factor (central obesity, impaired glucose metabolism, hypertension, low HDL–C and high triglycerides)
BMI Body mass index, HDL–C High–density lipoprotein cholesterol, HR Hazard ratio, MASLD Metabolic dysfunction–associated steatotic liver disease, WC Waist circumference
Fig. 2
Restricted cubic spline (RCS) plots of adjusted dose–response relationships for steps perday and hazard ratio for all–cause mortality in participants with MASLD. The Restricted cubic spline (RCS) plots was adjusted for various factors, including age, gender, race, poverty–income ratio, education, BMI, WC, marital status, smoking status, alcohol consumption, self–rated health, complications(stroke, diabetes mellitus, coronary heart disease), diets, folate intake as well as components of the cardiometabolic risk factors such as central obesity, impaired glucose metabolism, hypertension, low HDL–C, and high triglycerides. BMI, body mass index; HDL–C, high–density lipoprotein cholesterol; HR, hazard ratio; MASLD, metabolic dysfunction–associated steatotic liver disease; WC, waist circumference
Bild vergrößern

Step intensity and all–cause mortality

Our findings indicate that higher step intensity (78.0 to 107.0 steps per minute) was significantly associated with lower all-cause mortality for peak 1 cadences, compared to low step intensity (< 78.0 steps per minute), after adjusting for age and gender (Table 3). However, the highest step intensity group (> 107.0 steps per minute) did not show a significant reduction in mortality after similar adjustments (HR, 0.53 [95% CI, 0.23–1.24]). Cox proportional hazard model (Supplementary Table 1) revealed age as a significant confounder. Individuals with higher walking intensity tended to be younger, while older individuals were more likely to engage in lower-intensity activities (Fig. 3A). Mortality risk for peak 30 and peak 60 cadences decreased when adjusted for just age and gender but became statistically insignificant after adjusting for all covariates. After accounting for all confounding factors (Supplementary Tables 2–4), the association between step intensity and mortality was no longer statistically significant, primarily due to the older age, higher BMIs, and poorer health in individuals with lower step intensity (Fig. 3A–I).
Table 3
Multivariable hazard ratios of stepping intensity and all–cause mortality in participants with MASLD
Step intensity
Model 1
Model 2
Model 3
Peak 1 cadences (steps per minute)
HR (95% CI)
Wald Test
HR (95% CI)
Wald Test
HR (95% CI)
Wald Test
Quartiles 1 (< 77.9)
Reference
 
Reference
 
Reference
 
Quartiles 2 (78.0–96.5)
0.61(0.43–0.86)
0.008
0.75(0.50–1.12)
0.157
0.78(0.52–1.17)
0.222
Quartiles 3 (96.6–107.0)
0.44(0.24–0.82)
0.013
0.85(0.52–1.37)
0.497
0.84(0.52–1.38)
0.496
Quartiles 4 (≥ 107.1)
0.53(0.23–1.24)
0.133
0.65(0.34–1.26)
0.206
0.65(0.33–1.27)
0.210
Peak 30 cadences (steps per minute)
 Quartiles 1 (< 46.3)
Reference
 
Reference
 
Reference
 
 Quartiles 2 (46.4–64.2)
0.52(0.37–0.75)
0.001
0.73(0.48–1.12)
0.151
0.71(0.46–1.10)
0.129
 Quartiles 3 (64.3–76.2)
0.42(0.27–0.65)
0.001
0.71(0.41–1.23)
0.223
0.73(0.42–1.28)
0.277
 Quartiles 4 (≥ 76.3)
0.37(0.21–0.67)
0.003
0.71(0.38–1.32)
0.275
0.65(0.34–1.24)
0.195
Peak 60 cadences (steps per minute)
 Quartiles 1 (< 37.0)
Reference
 
Reference
 
Reference
 
 Quartiles 2 (37.1–52.4)
0.55(0.29–1.04)
0.064
0.76(0.50–1.14)
0.186
0.75(0.49–1.13)
0.171
 Quartiles 3 (52.5–63.7)
0.34(0.19–0.6)
0.001
0.73(0.41–1.32)
0.302
0.77(0.42–1.40)
0.391
 Quartiles 4 (≥ 63.8)
0.4(0.19–0.87)
0.024
0.65(0.34–1.25)
0.199
0.61(0.31–1.19)
0.144
Model 1 was adjusted for age, gender; Model 2 was adjusted for model 1 + race, poverty–income ratio, education, BMI, WC, marital status, smoking status, alcohol consumption, self–rated health, complications(stroke, diabetes mellitus, coronary heart disease), diets, folate intake; Model 3 was adjusted for model 2 + components of the cardiometabolic risk factor (central obesity, impaired glucose metabolism, hypertension, low HDL–C and high triglycerides)
BMI Body mass index, HDL–C High–density lipoprotein cholesterol, HR Hazard ratio, MASLD Metabolic dysfunction–associated steatotic liver disease, WC Waist circumference
Fig. 3
Histogram of Self–Rated Health Proportion, Age, and BMI in Different Step Intensity. BMI, body mass index; peak 60 cadences, peak 60–minute cadences; peak 30 cadences, peak 30–minute cadences; peak 1 cadences, peak 1–minute cadences
Bild vergrößern

Sensitivity analysis

Given the significant association we found between step counts and all–cause mortality, we conducted several sensitivity analyses to assess the robustness of our findings. The pattern remained consistent after excluding participants who died within the first two years (Table 4) and those who rated their health as fair or poor (Table 5). Subgroup analyses also showed no significant interactions between step count and variables such as age, gender, race, BMI, alcohol consumption, marital status, self-rated health, smoking status, coronary heart disease, stroke, and diabetes mellitus (Figs. 4, 5 and 6).
Table 4
Multivariable hazard ratios of steps per day and all–cause mortality in participants with MASLD excluding participants who died within the first 2 years of follow–up
Steps/d
Model 1
Model 2
Model 3
HR (95% CI)
Wald Test
HR (95% CI)
Wald Test
HR (95% CI)
Wald Test
 < 4,000
Reference
 
Reference
 
Reference
 
4,000–7,999
0.4(0.29–0.56)
< 0.001
0.46(0.32–0.67)
< 0.001
0.50(0.34–0.75)
< 0.001
8,000–11,999
0.21(0.13–0.35)
< 0.001
0.34(0.20–0.58)
< 0.001
0.36(0.21–0.62)
< 0.001
 ≥ 12,000
0.24(0.08–0.71)
0.013
0.44(0.21–0.92)
0.028
0.46(0.22–0.99)
0.047
Model 1 was adjusted for age, gender; Model 2 was adjusted for model 1 + race, poverty–income ratio, education, BMI, WC, marital status, smoking status, alcohol consumption, self–rated health, complications(stroke, diabetes mellitus, coronary heart disease), diets, folate intake; Model 3 was adjusted for model 2 + components of the cardiometabolic risk factor (central obesity, impaired glucose metabolism, hypertension, low HDL–C and high triglycerides)
BMI Body mass index, HDL–C High–density lipoprotein cholesterol, HR Hazard ratio, MASLD Metabolic dysfunction–associated steatotic liver disease, WC Waist circumference
Table 5
Multivariable hazard ratios of steps per day and all–cause mortality in participants with MASLD excluding participants self–reporting their health as fair/poor
Steps/d
Model 1
Model 2
Model 3
HR (95% CI)
Wald Test
HR (95% CI)
Wald Test
HR (95% CI)
Wald Test
 < 4,000
Reference
 
Reference
 
Reference
 
4,000–7,999
0.39(0.26–0.58)
 < 0.001
0.43(0.30–0.61)
 < 0.001
0.46(0.31–0.67)
 < 0.001
8,000–11,999
0.22(0.13–0.37)
 < 0.001
0.34(0.21–0.56)
 < 0.001
0.34(0.20–0.58)
 < 0.001
 ≥ 12,000
0.26(0.09–0.70)
0.011
0.40(0.20–0.81)
0.010
0.42(0.20–0.87)
0.019
Model 1 was adjusted for age, gender; Model 2 was adjusted for model 1 + race, poverty–income ratio, education, BMI, WC, marital status, smoking status, alcohol consumption, self–rated health, complications(stroke, diabetes mellitus, coronary heart disease), diets, folate intake; Model 3 was adjusted for model 2 + components of the cardiometabolic risk factor (central obesity, impaired glucose metabolism, hypertension, low HDL–C and high triglycerides)
BMI Body mass index, HDL–C High–density lipoprotein cholesterol, HR Hazard ratio, MASLD Metabolic dysfunction–associated steatotic liver disease, WC Waist circumference
Fig. 4
Forest Plot of the Association Between Daily Steps and All–Cause Mortality in MASLD Participants by Gender, Age, Race and BMI Subgroups. BMI, body mass index; OR, odds ratios; 95% CI, confidence intervals MASLD, metabolic dysfunction–associated steatotic liver disease
Bild vergrößern
Fig. 5
Forest Plot of the Association Between Daily Steps and All–Cause Mortality in MASLD Participants by Alcohol consumption, Marital status and Self–rated health Subgroups. OR, odds ratios; 95% CI, confidence intervals; MASLD, metabolic dysfunction–associated steatotic liver disease
Bild vergrößern
Fig. 6
Forest Plot of the Association Between Daily Steps and All–Cause Mortality in MASLD Participants by Smoking status and Complications (Stroke, Diabetes mellitus, Coronary heart disease) Subgroups. OR, odds ratios; 95% CI, confidence intervals; MASLD, metabolic dysfunction–associated steatotic liver disease
Bild vergrößern

Discussion

To our knowledge, this is the first study to link daily step counts and intensity to all-cause mortality in individuals with MASLD. Several key findings emerged from our results. First, even minimal levels of stepping activity (i.e., just above the 10th percentile of the exposure distribution, 3,800 steps per day for participants with MASLD) is associated with a roughly 30% reduction in all-cause mortality risk compared to those with 500 steps per day. Second, increasing daily steps is linked to a consistent decrease in mortality risk up to around 10,000 steps, beyond which the risk plateaus. Finally, we found no significant association between step intensity and all-cause mortality in the MASLD population.
While previous research has established the beneficial effects of increased step count on mortality in general and older populations, our study highlights the unique relevance of this relationship in MASLD [8, 23]. Several studies have explored the relationships between daily step counts and health outcomes, including cardiovascular disease, dementia, and all–cause mortality. For example, Cruz et al. [24] found that up to 10,000 steps per day may be linked to a decreased incidence of cardiovascular disease. Similarly, another study suggested that a number of steps fewer than 10,000 per day may be optimally associated with a lower risk of dementia [25]. However, a meta-analysis suggests that 8,000 steps per day may be the ideal threshold for reducing all-cause mortality risk, beyond which no further risk reduction is observed [26]. In this study, we found J-shaped nonlinear associations between daily step count and all-cause mortality. Notably, once the step count exceeds 10,000, the reduction in mortality risk seems to plateau, suggesting that higher step counts may not offer additional benefits for individuals with MASLD. Recent studies suggest that higher levels of exercise may increase the risks of adverse health outcomes. For example, DeFina et al. [27] demonstrated that strenuous joggers appeared to have higher mortality. Similarly, two studies [28, 29] found that higher levels of physical activity, such as marathon running, are linked to increased coronary artery calcification. These findings align with ours, emphasizing the need for step-count guidelines tailored to MASLD patients.
Studies of self-reported walking speed have found that higher walking speeds are associated with lower mortality risk [13]. However, the present study provides limited evidence that step intensity is associated with lower mortality, similar to findings from a study among older women [9]. One possible explanation for this inconsistency is that self-reported walking speed is subjective, while our study used an objective monitor to measure walking speed. After adjusting for age and gender confounders, peak 1 cadences showed that the highest intensity was not linked to reduced mortality, mainly due to individuals with lower step intensity being older. After adjusting for all included confounders factors, step intensity was no longer associated with mortality. Several factors may account for this finding. Firstly, adjustment for BMI and age is essential, as both are significant predictors of both physical activity levels and mortality in individuals with metabolic diseases [30, 31]. Particularly, age is a well–established factor influencing both the likelihood of engaging in physical activity and overall health outcomes. Older age is frequently associated with a decline in physical function, comorbid conditions, and increased mortality risk [32]. When adjusted for age and BMI, the independent effect of walking intensity on mortality may be attenuated, suggesting that the influence of physical activity on mortality could be mediated by these age–related factors. Additionally, including self-reported health status in our models may have further reduced the impact of walking intensity. Self–reported health serves as a proxy for various unmeasured factors, such as underlying comorbidities, physical function, and psychological health, all of which can influence both physical activity participation and mortality risk [33]. These factors may have confounded the relationship between walking intensity and survival, obscuring any potential direct effect of walking intensity on mortality. The cadences estimates (steps/min) used here should be interpreted with caution, as they reflect the steps accumulated per minute of accelerometer observation, not the steps taken during a full minute of walking [34]. Therefore, further studies using more accurate measures of walking speed are needed to confirm these findings.
This study has important practical implications for public health interventions targeting individuals with MASLD. Our findings suggest that achieving higher daily step counts, rather than focusing solely on step intensity, can significantly reduce the risk of all–cause mortality in this population. Given the simplicity and feasibility of increasing daily physical activity, healthcare providers may consider incorporating step count monitoring into routine care for MASLD patients to track progress and encourage sustained physical activity. By setting clear, measurable step goals, clinicians can improve patient compliance and potentially reduce long-term health risks associated with MASLD.
Future research should explore the combined effects of daily step counts and intensity on mortality in MASLD patients. Longitudinal studies using modern accelerometers could help clarify these associations, particularly in diverse MASLD populations with varying disease severities. Additionally, incorporating other lifestyle factors, such as diet and comorbid conditions, could provide a more comprehensive understanding of the impact of physical activity on mortality. Subgroup analyses based on disease stages (e.g., simple steatosis vs. steatohepatitis) could offer valuable insights into how physical activity interventions can be better tailored to enhance outcomes in MASLD patients.
Our study has several strengths. First, it was conducted using the NHANES database, which offers a population-based design and a large sample size, thus enhancing the robustness of our findings. Second, with a mean follow-up of 13.8 years, this study benefits from one of the longest durations exploring the association between step counts and mortality in MASLD patients.
However, the present study also has several limitations. First, the data presented are observational, precluding causal claims, even though we reanalyzed the data after excluding participants who experienced the event within the first two years of follow–up. Second, missing data and residual confounding may still affect the results. Third, the association between low step counts and mortality should be interpreted with caution due to the lack of data at low levels of exposure. Fourth, while data from a 7-day monitor are informative, they may not capture longer-term variations in step counts. Fifth, self-reported measures, although common in large-scale epidemiological studies, are prone to biases such as recall and social desirability bias. Sixth, cultural differences in reporting disease status and physical activity may influence results. Additionally, age-period-cohort (APC) effects may be present but were not assessed. The use of accelerometer data from 2005–2006, based on older technology, is another limitation. Finally, MASLD diagnosis relied on the FLI rather than liver biopsy.

Conclusion

Our findings suggest that achieving 10,000 steps per day may be optimal to lower the risk of all-cause mortality among individuals with MASLD.

Acknowledgements

We acknowledge the investigators and participants of the National Health and Nutrition Examination Survey.

Disclaimer

This article does not necessarily represent the views and policies of the National Institutes of Health.

Declarations

The study analyzed data downloaded from the National Health and Nutrition Examination Survey (NHANES) public database. The National Center for Health Statistics Ethics Review Committee granted ethics approval. The methods involved in this study were conducted in accordance with relevant guidelines and regulations (Declaration of Helsinki). The study was deemed exempt from further review because the data used is deidentified and publicly accessible.
Not applicable.

Competing interests

The authors declare no competing interests.
Open Access This article is licensed under a Creative Commons Attribution 4.0 International License, which permits use, sharing, adaptation, distribution and reproduction in any medium or format, as long as you give appropriate credit to the original author(s) and the source, provide a link to the Creative Commons licence, and indicate if changes were made. The images or other third party material in this article are included in the article's Creative Commons licence, unless indicated otherwise in a credit line to the material. If material is not included in the article's Creative Commons licence and your intended use is not permitted by statutory regulation or exceeds the permitted use, you will need to obtain permission directly from the copyright holder. To view a copy of this licence, visit http://creativecommons.org/licenses/by/4.0/.

Publisher’s Note

Springer Nature remains neutral with regard to jurisdictional claims in published maps and institutional affiliations.
Download
Titel
Association of daily step counts and step intensity with mortality among US adults: a cross–sectional study of NHANES 2005–2006
Verfasst von
Tianzhou Peng
Changhao Liu
Ti Yang
Leyi Liao
Qingping Li
Hanbiao Liang
Jiapeng Zhang
Chen Xie
Kai Wang
Chuanjiang Li
Publikationsdatum
01.12.2025
Verlag
BioMed Central
Erschienen in
BMC Gastroenterology / Ausgabe 1/2025
Elektronische ISSN: 1471-230X
DOI
https://doi.org/10.1186/s12876-025-03606-7

Supplementary Information

1.
Zurück zum Zitat Rinella ME, Lazarus JV, Ratziu V, et al. A multisociety Delphi consensus statement on new fatty liver disease nomenclature. J Hepatol. 2023;79(6):1542–56.CrossRefPubMed
2.
Zurück zum Zitat Zhang Z, Wang H, Chen Y. Association between composite dietary antioxidant index and metabolic dysfunction associated steatotic liver disease: result from NHANES, 2017–2020. Front Nutr. 2024;11:1412516.CrossRefPubMedPubMedCentral
3.
Zurück zum Zitat Miwa T, Tajirika S, Imamura N, et al. Prevalence of steatotic liver disease based on a new nomenclature in the Japanese population: a health checkup-based cross-sectional study. J Clin Med. 2024;13(4):1158.
4.
Zurück zum Zitat Jeong BK, Choi WI, Choi W, et al. A male mouse model for metabolic dysfunction-associated steatotic liver disease and hepatocellular carcinoma. Nat Commun. 2024;15(1):6506.CrossRefPubMedPubMedCentral
5.
Zurück zum Zitat Curci R, Bonfiglio C, Franco I, et al. Leisure-time physical activity in subjects with metabolic-dysfunction-associated steatotic liver disease: an all-cause mortality study. J Clin Med. 2024;13(13):3772.
6.
Zurück zum Zitat Cuthbertson D J, Keating S E, Pugh C, et al. Exercise improves surrogate measures of liver histological response in metabolic dysfunction-associated steatotic liver disease. Liver Int. 2024;44(9):2368–81.
7.
Zurück zum Zitat Bassett DJ, Toth LP, LaMunion SR, et al. Step counting: a review of measurement considerations and health-related applications. Sports Med. 2017;47(7):1303–15.CrossRefPubMed
8.
Zurück zum Zitat Saint-Maurice PF, Troiano RP, Bassett DJ, et al. Association of daily step count and step intensity with mortality among US adults. JAMA. 2020;323(12):1151–60.CrossRefPubMedPubMedCentral
9.
Zurück zum Zitat Lee IM, Shiroma EJ, Kamada M, et al. Association of step volume and intensity with all-cause mortality in older women. JAMA Intern Med. 2019;179(8):1105–12.CrossRefPubMedPubMedCentral
10.
Zurück zum Zitat Paluch AE, Gabriel KP, Fulton JE, et al. Steps per day and all-cause mortality in middle-aged adults in the coronary artery risk development in young adults study. JAMA Netw Open. 2021;4(9):e2124516.CrossRefPubMedPubMedCentral
11.
Zurück zum Zitat Zelber-Sagi S, Carrieri P, Pericas J M, et al. Food inequity and insecurity and MASLD: burden, challenges, and interventions. Nat Rev Gastroenterol Hepatol. 2024;21(10):668–86.
12.
Zurück zum Zitat Kline CE, Hillman CH, Bloodgood SB, et al. Physical activity and sleep: an updated umbrella review of the 2018 physical activity guidelines advisory committee report. Sleep Med Rev. 2021;58:101489.CrossRefPubMedPubMedCentral
13.
Zurück zum Zitat Yates T, Zaccardi F, Dhalwani NN, et al. Association of walking pace and handgrip strength with all-cause, cardiovascular, and cancer mortality: a UK Biobank observational study. Eur Heart J. 2017;38(43):3232–40.CrossRefPubMedPubMedCentral
14.
Zurück zum Zitat Wong M, Huang J, Wang J, et al. Global, regional and time-trend prevalence of central obesity: a systematic review and meta-analysis of 13.2 million subjects. Eur J Epidemiol. 2020;35(7):673–83.CrossRefPubMedPubMedCentral
15.
Zurück zum Zitat American Diabetes Association Professional Practice Committee. 2. Classification and Diagnosis of Diabetes: Standards of Medical Care in Diabetes-2022. Diabetes Care. 2022;45(Suppl 1):S17–S38. https://doi.org/10.2337/dc22-S002.
16.
Zurück zum Zitat Whelton PK, Carey RM, Aronow WS, et al. 2017 ACC/AHA/AAPA/ABC/ACPM/AGS/APhA/ASH/ASPC/NMA/PCNA guideline for the prevention, detection, evaluation, and management of high blood pressure in adults: executive summary: a report of the American college of cardiology/American heart association task force on clinical practice guidelines. Hypertension. 2018;71(6):1269–324.CrossRefPubMed
17.
Zurück zum Zitat Akdim F, Tribble DL, Flaim JD, et al. Efficacy of apolipoprotein B synthesis inhibition in subjects with mild-to-moderate hyperlipidaemia. Eur Heart J. 2011;32(21):2650–9.CrossRefPubMed
18.
Zurück zum Zitat Inoue K, Tsugawa Y, Mayeda ER, et al. Association of daily step patterns with mortality in US adults. JAMA Netw Open. 2023;6(3):e235174.CrossRefPubMedPubMedCentral
19.
Zurück zum Zitat Troiano RP, Berrigan D, Dodd KW, et al. Physical activity in the United States measured by accelerometer. Med Sci Sports Exerc. 2008;40(1):181–8.CrossRefPubMed
20.
Zurück zum Zitat Feito Y, Bassett DR, Thompson DL. Evaluation of activity monitors in controlled and free-living environments. Med Sci Sports Exerc. 2012;44(4):733–41.CrossRefPubMed
21.
Zurück zum Zitat Tudor-Locke C, Han H, Aguiar EJ, et al. How fast is fast enough? Walking cadence (steps/min) as a practical estimate of intensity in adults: a narrative review. Br J Sports Med. 2018;52(12):776–88.CrossRefPubMed
22.
Zurück zum Zitat Pettee GK, Whitaker KM, Duprez D, et al. Clinical importance of non-participation in a maximal graded exercise test on risk of non-fatal and fatal cardiovascular events and all-cause mortality: CARDIA study. Prev Med. 2018;106:137–44.CrossRef
23.
Zurück zum Zitat Banach M, Lewek J, Surma S, et al. The association between daily step count and all-cause and cardiovascular mortality: a meta-analysis. Eur J Prev Cardiol. 2023;30(18):1975–85.CrossRefPubMed
24.
Zurück zum Zitat Del PCB, Ahmadi MN, Lee IM, et al. Prospective associations of daily step counts and intensity with cancer and cardiovascular disease incidence and mortality and all-cause mortality. JAMA Intern Med. 2022;182(11):1139–48.CrossRef
25.
Zurück zum Zitat Del PCB, Ahmadi M, Naismith SL, et al. Association of daily step count and intensity with incident dementia in 78 430 adults living in the UK. JAMA Neurol. 2022;79(10):1059–63.CrossRef
26.
Zurück zum Zitat Paluch AE, Bajpai S, Bassett DR, et al. Daily steps and all-cause mortality: a meta-analysis of 15 international cohorts. Lancet Public Health. 2022;7(3):e219–28.CrossRefPubMedPubMedCentral
27.
Zurück zum Zitat DeFina LF, Radford NB, Barlow CE, et al. Association of all-cause and cardiovascular mortality with high levels of physical activity and concurrent coronary artery calcification. JAMA Cardiol. 2019;4(2):174–81.CrossRefPubMedPubMedCentral
28.
Zurück zum Zitat Aengevaeren VL, Mosterd A, Braber TL, et al. Relationship between lifelong exercise volume and coronary atherosclerosis in athletes. Circulation. 2017;136(2):138–48.CrossRefPubMed
29.
Zurück zum Zitat Merghani A, Maestrini V, Rosmini S, et al. Prevalence of subclinical coronary artery disease in masters endurance athletes with a low atherosclerotic risk profile. Circulation. 2017;136(2):126–37.CrossRefPubMed
30.
Zurück zum Zitat Bhaskaran K, Dos-Santos-Silva I, Leon DA, et al. Association of BMI with overall and cause-specific mortality: a population-based cohort study of 3.6 million adults in the UK. Lancet Diabetes Endocrinol. 2018;6(12):944–53.CrossRefPubMedPubMedCentral
31.
Zurück zum Zitat Lin H, Yip TC, Zhang X, et al. Age and the relative importance of liver-related deaths in nonalcoholic fatty liver disease. Hepatology. 2023;77(2):573–84.CrossRefPubMed
32.
Zurück zum Zitat Estes C, Razavi H, Loomba R, et al. Modeling the epidemic of nonalcoholic fatty liver disease demonstrates an exponential increase in burden of disease. Hepatology. 2018;67(1):123–33.CrossRefPubMed
33.
Zurück zum Zitat Kokkinos P, Faselis C, Samuel I, et al. Cardiorespiratory fitness and mortality risk across the spectra of age, race, and sex. J Am Coll Cardiol. 2022;80(6):598–609.CrossRefPubMed
34.
Zurück zum Zitat Dall PM, McCrorie PR, Granat MH, et al. Step accumulation per minute epoch is not the same as cadence for free-living adults. Med Sci Sports Exerc. 2013;45(10):1995–2001.CrossRefPubMed

Kompaktes Leitlinien-Wissen Innere Medizin (Link öffnet in neuem Fenster)

Mit medbee Pocketcards schnell und sicher entscheiden.
Leitlinien-Wissen kostenlos und immer griffbereit auf ihrem Desktop, Handy oder Tablet.

Neu im Fachgebiet Innere Medizin

Podcast

„Für gute rheumatologische Diagnostik braucht es nicht viel“

Von Cortison über Biologika zu CAR‑T‑Zellen: Was ändert sich aktuell in der Rheumatologie? Prof. Elisabeth Märker-Hermann wirft gemeinsam mit Moderator Prof. Markus M. Lerch einen Blick auf die Behandlung von Polymyalgia rheumatica, rheumatoider Arthritis oder Lupus erythematodes. Einige Paradigmenwechsel sind hier im Gange. Die Rheumatologin betont außerdem: Einfache Fragen und wenige Basisuntersuchungen geben erste wichtige diagnostische Hinweise.

Deutsche Gesellschaft für Innere Medizin

Arbeitsvertrag für angestellte Ärztinnen und Ärzte: Das gilt bei Fortbildungen, Überstunden und Boni

Immer mehr Ärztinnen und Ärzte arbeiten angestellt in Praxen bzw. MVZ. Was im Arbeitsvertrag geklärt werden kann und sollte und wo Risiken liegen, erklärt Medizin- und Arbeitsrechtlerin Gabriele Leucht.

Fokale Salvage-Therapie bei lokalem Prostatakrebsrezidiv langfristig wirksam

Bei einem nach Radiotherapie lokal rezidivierten Prostatakarzinom sind fokale Salvage-Therapien mit einer guten Prognose verbunden: Das krebsspezifische Zehn-Jahres-Überleben ist einem retrospektiven Vergleich zufolge ebenso hoch wie nach Salvage-Prostatektomie.

Relacorilant verlängert Überleben bei platinresistentem Ovarialkarzinom

Durch Hinzunahme des Glukokortikoid-Rezeptor-Antagonisten Relacorilant zu nab-Paclitaxel wird bei Frauen mit platinresistentem Ovarialkarzinom nicht nur das progressionsfreie, sondern auch das Gesamtüberleben verlängert. Laut finaler Analyse der ROSELLA-Studie gewinnen sie vier Monate an Lebenszeit.

Update Innere Medizin

Bestellen Sie unseren Fach-Newsletter und bleiben Sie gut informiert.

Bildnachweise
Die Leitlinien für Ärztinnen und Ärzte, DGIM Podcast-Reihe - Rheumatologie/© (M) Laura Dittmann; Logo: Springer Medizin Verlag GmbH