Zum Inhalt

Biomechanical characterisation of the pull-up exercise

  • Open Access
  • 19.07.2023
  • Research
Erschienen in:

Abstract

Purpose

Performance is the benchmark to assess the level of an athlete: in this respect, a more precise qualitative and quantitative evaluation of the performance represents an important target to be achieved.

Methods

The work presents a possible method, based on the biomechanical evaluation of the motor exercise with an optoelectronic system, to characterise single or multiple repetitions of pull-ups of 12 athletes of sport climbing and sportive healthy subjects, monitoring and scoring the performance and the safety of the executions. The analysis includes the time courses of the segmental kinematics and some newly developed synthetic indices in the form of performance and safety scores.

Results

The time courses make it possible to analyse the linear and angular kinematics district-by-district and have a direct overview of the ranges of motion, the patterns of task execution, together with the possible strategies adopted to complete the exercise in terms of compensations. The proposed characterisation provides a condensed summary of the global execution quality and offers the possibility to identify which single biomechanical parameters are modified.

Conclusion

The method is intended as a practical tool to enrich the training schedule in terms of the qualitative and quantitative evaluation of the performances and to increase the self-awareness while training.

Publisher's Note

Springer Nature remains neutral with regard to jurisdictional claims in published maps and institutional affiliations.

Introduction

Modern society is seeing a daily growth in technologies, which allow us not only to achieve practical goals more effectively in every field, but also to reach ever new targets. Sport activities are similarly affected by the positive impact of technology, which is sustaining a continuous improvement in the standards of athletic performance [13]. This paper addresses gesture performance characterisation as a first and fundamental step in the development of monitoring and feedback technological systems to improve workout.
Athletes are raising the bar every day to reach more and more ambitious goals, increasing consequently their physical capabilities. Training plays a fundamental role in pursuing those aims [4]. The life of an athlete is thus marked by a series of training sessions, which should be at the same time useful to improve physical enhancement and safe to prevent injuries. The intensification of the workout load, together with the increasing technicalities of new exercises, requires perfecting the execution of the motor tasks in order to make the most of the training, while preventing overloads of body structures, and fatigue. A system able to characterise performance and safety simultaneously could help push the limits in every session, while limiting the risk of injuries. For all sportsmen, of every level and category, trainers and athletes, the target of training is to shift the threshold of fatigue, increase the strength, and eventually to increment their performance, without hurting themselves.
A deeper knowledge of the exercises, with a specific focus on the execution of the relevant motor tasks, has been the target of Sports Biomechanics over the years. The main approach was through the a posteriori analysis of gestures during sports practice: this method is a good one to understand common mistakes and improve the training programmes, in a recursive way. The focus of biomechanical analysis has very seldom been on the workout gestures, despite their importance in the training of performance.
Another important aspect is the role of feedback on the execution. Research has shown that coaching cues can significantly influence the activation of the muscles involved, and hence the performance [5]. In addition, different types of feedback (e.g. internal, external, and instantaneous, delayed) can have different effects [6, 7]. While offering the trainers qualitative and quantitative data to assess—and possibly enhance—motor performance, it must be realised that it may be very difficult for the trainers to have under control all the details of gesture execution during the actual sport practice. Not only because responding to the feedback should be done in real time, but also because the control or correction of many biomechanical execution details may be in contrast with the main perceived focus and psychological engagement, i.e. the overall performance.
Considering these aspects, it would appear very important to analyse and give feedback on the performance of workout and workout safety as well, in particular to understand, on which district of the body it is more profitable to focus the training, and which segments could be prone to overloads and risks of damage during workout. Despite the increasing popularity of sports sciences, there is a lack, both in the literature and in the established training practises, of works that analyse the training tasks in terms of segmental execution, with the aim of returning useful feedback, at a time that can be dedicated to the details. This analytical framework would allow to work more specifically and continually on the strengths of the athletes and to highlight their weaknesses, with the joint aim of a constant improvement, and of protecting the body from injury for as long as possible.
The present paper aims to characterise a training task, devising a synthetic scoring system able to capture not only the overall execution, but also the single repetition carried out in a certain set. It is intended as a practical tool to enrich the training schedule in terms of the qualitative and quantitative evaluation of the performances and to increase the self-awareness while training.
In a future perspective, the scoring method will be embedded in a wearable device, aimed at providing athletes in training with real-time feedback, enabling them to maintain the suitable quality of the exercise repetitions as long as possible and to help them decide when to stop an intensive workout session before the odds of getting hurt increase [8, 9].

Background on biomechanics-based scoring systems for exercises

As far as our analysis of the literature reached, little has been done in terms of motor task scoring-system development [10]. Some scoring systems for sports are devised to assess the balance and stability [11, 12], aimed at preventing injuries or recovering from damages. The most relevant in terms of quantitative data, and not only qualitative data, are the ones developed for the gait analysis, specifically focussed on the extraction of kinematic lower limbs parameters [13]. Other studies about scoring and motor tasks evaluation are based more on metabolic aspects of the performance rather than biomechanical aspects [14]. Other automated scoring system for boxing [15] or combat sports [16] are of different nature and are not conceived to evaluate specifically the athletic performance.
More specifically related to the pull-up exercise, we found a study [17] reporting a simple method to estimate the strength of the subjects based on just the pull-up exercise, instead of the 3-set exercises classically used to evaluate the fitness performance of Marines cadets.
In this paper, we present a method to characterise the performance and the safety of athletes during the execution of a specific motor task, i.e. single or multiple repetitions of pull-ups. The method is based on the biomechanical evaluation of the motor exercise with an optoelectronic system, using ad-hoc designed algorithms, which allow to evaluate linear and angular kinematics during the execution and extract synthetic quantitative indices. The same method can be easily adapted to monitor and score other exercises.

Pull-up technique: exercise execution

As a general description of the pull-up, starting from a hanging position with the hands grasping a horizontal bar, the exercise requires to flex the forearms over the arms around the elbow joint, raising the body until the chin overpasses the bar [18]. Multiple aspects compose the complexity of this motor task, ranging from dynamic postural evolution to synergistic muscular activations and alignment control. A comprehensive analysis of the pull-up exercise is, however, beyond the scope of this paper and can be found in the literature [19, 20]. The focus of our analysis is on establishing a method to capture and evaluate how subjects execute the exercise, if they can perform the motor task correctly during a set of multiple repetitions and they maintain the execution clean, i.e. smooth and free from bad postures, limbs asymmetry or misalignments. Indeed, the motor strategies adopted to perform a given task have a huge impact on both the perceived and effective difficulty of the exercise and the risk of injuries.

Materials and methods

Twelve subjects took part as volunteers in the study and were evaluated while executing the pull-up motor task (age: 24.8 ± 8.5 years, mean ± SD). The subjects were of 2 different categories: 7 athletes of sport climbing, competing at national level, and 5 healthy subjects who practise sport activities regularly.
The setup included a commercial self-standing frame, with a bar adjustable in height (150 to 210 cm) to execute the pull-ups and an optoelectronic system with 6 infrared cameras (Vicon Vero 2.2 System). After collecting the biometric parameters (see Table 1 for details), 54 reflective passive markers were attached to the skin of the subject on specific points referred to anatomical landmarks (Fig. 1).
Table 1
Anthropometric parameters and general information collected for each subject
Code for subject anonymisation
S1
S2
S3
S4
S5
S6
S7
S8
S9
S10
S11
S12
Group
1
1
1
1
2
2
2
2
2
2
2
2
Gender
M
M
F
M
M
M
F
M
M
M
M
M
Age at the test (y/o)
14
16
16
35
18
36
17
30
26
27
37
26
Weight (kg)
48
55
55
77
65
76
46
63
77
63
67
72
Height (cm)
165
170
170
183
175
183
166
180
186
171
180
174
Dominant side
R
R
R
L
R
L
R
R
R
R
R
R
Ape index (armspan-height, cm)
5
12
7
11
12
11
7
7
0
5
0
7
Biceps circumference (cm)
23
27
27
33
27
33
23
24
28
28
31
29
Frequency of physical activity
Daily
Daily
Daily
Daily
Daily
Daily
Daily
Daily
Daily
Daily
Weekly
Daily
Duration of sessions (h)
> 2
> 2
> 2
> 2
> 2
> 2
> 2
≤ 1
≤ 2
≤ 2
≤ 2
> 2
Frequency of pull-up workout
Daily
Daily
Daily
Daily
Daily
Daily
Daily
Weekly
Weekly
Never
Weekly
Never
Fig. 1
On the left, the markers set up for the acquisition of the motor task are shown; the markers in symmetrical positions are distinguished by the body side: left or right. On the right, a screenshot of the subject’s marker positions during the execution of a pull-up is reported, with a superimposed segments model, with sticks connecting the markers colour-coded to the body district (Color figure online)
Bild vergrößern
Subjects have been separated in two groups: the first (Group 1), including 4 sport climbing athletes, age 20.2 ± 9.8 (mean ± SD) years, has been used to set the biomechanical ranges for the scoring (see Ranges Definition section). The other group (Group 2), including 8 subjects: 3 sport climbing athletes and 5 sport active subjects, age 27.1 ± 7.3 (mean ± SD) years, has been used to assess the applicability of the scoring system for the pull-ups exercise evaluation. For the second group, the experimental protocol included a 5 min general warm-up, followed by 4 sets of body-weight pull-ups at incremental number of repetitions: 1, 2, 4, 6 each with 1 min rest in between, considered as a specific warm-up. The participants were not provided with specific instructions on to how to execute the exercise in this phase, nor were they given any real-time feedback on their performance. The hand grip distance and direction (pronated or supinated) was self-imposed during the warm-up.
After 5 min’s rest, allowed for a complete recovery, the test procedure included the execution of 2 sets of pull-ups, while the optoelectronic system was recording the performance. Now, the participants were instructed to execute the pull-ups with pronated grip on the bar 15 cm wider than the shoulder width and maintaining the control of the body during the test. The 2 test sets were: first, the maximum number of pull-ups in a row (at self-selected speed); the second, after 5 min rest for a full recovery, one single repetition at the maximum speed. The acquisition of stereophotogrammetry allowed to record the position of the markers in space during time. For the first-group protocol, see Ranges Definition section.
The study procedures agree with the Declaration of Helsinki and received the approval of the Ethical Committee of the CNR (National Research Council of Italy, protocol number 0065527/2019). All the subjects provided consent by signing an informative agreement about the purpose of the study and the treatment of the data collected.

Data processing

The data analysis has been conducted with MatLab R2020b software (MathWorks, Natick, MA, USA), by means of specific subroutines developed to reconstruct the 3D kinematics of the body districts, involved in the motor task. We considered the recommendations of ISB [21] to define the coordinate system for each joint. This first processing stage led to the linear and angular kinematics estimation of the limbs and articular joints, for the following body segments: thorax, lower back, upper back, hips, knees, ankles, neck, shoulders, elbows and wrists.
The pipeline analysis continues calculating some derived indices useful to describe synthetically the main features of the executions, such as the symmetry, or the activation of different compensatory movements involving the head, thorax, abdomen and the limbs.
The algorithm also automatically separates the repetitions of the exercise and recognises the valid executions of the pull-ups (when the chin passes over the bar), recording them as correct pull-ups. The list of the calculated indices is reported in Table 2.
Table 2
List of the parameters extracted by the kinematic analysis
General descriptive parameters
 
NP [–]
Number of pull-ups and
NPc [–]
Number of correct pull-ups (chin above the bar)
Ts [s]
Tp [s]
Te [s]
Times at which every repetition occurs in terms of start, peak position (reach the bar—end of concentric phase) and end position (return—end of eccentric phase)
Pronated—Supinated [Boolean]
Orientation of the hands gripping the bar with respect to the body
Hand separation index [mm/mm]
Distance between the hands divided by the inter-acromial distance
Elbow distance [mm]
Average distance between the centres of the elbows during each phase of the task execution
Kinematic time courses
 
Linear positions [mm], speeds [mm/s] and accelerations [mm/s2]
Linear kinematic parameters such as position, speed and acceleration of selected joints or segments. Calculated across repetitions. Values such as the average, maximum and minimum can be extracted
Angular positions [°], speeds [°/s] and accelerations [°/s2]
Angular kinematic parameters such as the position, velocity and acceleration around the joints (e.g. the elbow flexion). Calculated across repetitions. Values such as the range of motion, average, maximum and minimum can be extracted
Calculated parameters displayed as time courses, and used in the scores
 
Verticality [°]
Average absolute angle in the coronal plane between the back spine direction (between C7 marker and the centre of the Pelvic bone) and the plane of the pelvic bone (containing ASIS and PSIS markers), during each phase of the task execution
Neck backward flexion [°]
Maximum of the forward/backward flexion angle of the head, in the sagittal plane (e.g. to measure the extra backward flexion while raising the chin over the bar during the last executions, to complete the pull-up)
Thorax inclination [°]
Maximum of the forward flexion angle of the thorax, in the sagittal plane, during each phase of the task execution
Elbow movement index [mm/mm]
Average distance between the centres of the elbows divided by the inter-acromial distance, during each phase of the task execution. It evaluates the chicken-wing-like motion
Elbow symmetry [°]
Average absolute value of the difference between the right and the left elbow flexion angles during each phase of the task execution
Lower back flexion [°]
Pelvis torsion [°]
Pelvis tilt [°]
Maximum values of the lower back angle (lordosis), the torsion angle of the pelvis, and the lateral flexion (tilt) angle of the pelvis, with respect to the thorax, during each phase of the task execution
Hip flexion [°]
Average absolute flexion angle of the hips, during each phase of the task execution
Knee flexion [°]
Knee ROM [°]
Average flexion angle of the knee, and knee range of motion, during each phase of the task execution

Ranges definition

As a baseline for the scoring system, we defined some standard ranges for the biomechanical parameters, extracting them from very controlled executions by the athletes in Group 1.
The experimental protocol for the Group 1, included a 5 min’s general warm-up, followed by 3 sets of body-weight pull-ups at incremental number of repetitions: 1, 2, 3 each, with 1 min rest in between, considered as a specific warm-up. After the warm-up phase, we recorded with the optoelectronic system 2 sets (test sets) of 3 pull-ups each.
During the executions, the subjects were asked to control the position of the legs, the flexion of the lower limbs and the lower back, the symmetry of the upper limbs during the movement, the smoothness, and the full range of the pulling action, to produce the best possible pull-ups. To set standard ranges for the linear and angular kinematics parameters and thus be able to give eventually a score to the single repetitions, we extracted the maximum and minimum values of each parameter from the second repetition of the first test set. That was taken as the individual best-condition trial since the athletes performed that repetition just after being instructed on how to execute the pull-ups, and just after a proper warm-up. We derived the standard parameter ranges from the average and standard deviations of the values obtained from the athletes in that single repetition. In particular, the maximum and minimum of the standard ranges were calculated as the average plus one standard deviation, and the average minus one standard deviation, respectively.
The second test set has been collected as a back-up in case of noisy or poor signal quality in the first one. It was not utilised.

Parameter weighting and score definition

The possibility to calculate multiple parameters raises the issue of their relative importance: which are the parameters that are most valuable for the scoring system? Do all parameters affect the performance in the same manner, or some count more? Are any parameters more crucial to highlight a good performance? Which are more relevant to identify a bad posture? Which affect the safety of the exercise?
To respond to these questions, we pre-selected a list of 22 biomechanical parameters (11 parameters evaluated in both the concentric, and the eccentric phases, cf. Table 3) describing specific aspects of the pull-ups motor task and we had them assessed by 12 climbing specialists (trainers, sport therapists and élite climbers) who are very familiar with all the details and side aspects connected to this basic and fundamental exercise. The experts, considering their specific background (as climbing trainers, as therapists of climbers, and as high-level or professional athletes in sport climbing), had to give to each parameter a weight from 1 to 10, judging their importance in two domains: on the one hand, whether controlling well a certain parameter could help maximise the effect of pull-ups on athletic performance and, on the other hand, whether controlling that parameter could help to safeguard the safety of the training based on this specific exercise. The results of this investigation provided two weighting factors for each parameter (one for the performance and one for the safety) calculated as the average of the weights assigned by the experts.
Table 3
For each chosen parameter, the first two columns report the weights given by the experts (average of the 12 questionnaires’ responses), considering maximising the safety or the performance
Parameter*
Safety weight (n = 12)
Performance weight (n = 12)
Ranges of the concentric movement, min–max (n = 4)
Ranges of the eccentric movement, min–max (n = 4)
Verticality
75
50
0.21–0.23
0.21–0.23
Neck back flexion
80
55
19.8–49.6
17.4–45.2
Thorax inclination
30
40
12.7–24.2
12.2–20.9
Elbow symmetry
90
80
2.2–9.3
1.7–8.8
Elbow movement
85
80
0.2–0.4
0.2–0.5
Lower back flexion
90
60
0.01–23.7
4.0–16.6
Pelvis tors
55
30
 − 1.4 to 6.4
 − 3.0 to 19.4
Pelvis tilt
40
35
1.7–8.0
 − 0.1 to 11.5
Hip flexion
45
75
13.5–40.1
16–39.6
Knee flexion
20
60
5.6–57.7
8.8–52.6
Knee ROM
20
80
5.8–28.9
6.2–20
The last 2 columns report the ranges of each parameter obtained from the “reference execution”. * Each parameter is calculated for the concentric and eccentric phases of the pull-ups. The overall number of parameters in the sums is thus 22
The combined indices, together with their ranges and the weights have been used to calculate the performance scores. To obtain the score for each parameter we considered if the present parameter value was greater/lower than the superior or the inferior limit or it was included in the range. For those values included in the range, we set the score as a percentage indicating the relative distance from the superior or inferior limit, where 100% was the score obtained if the corresponding parameter had a value in the middle of the range. The score decreases from 100% till 0% at the superior and inferior limit of the range. For those cases which were out of the range, the score was made proportional to the distance of the measured parameter value from the closer range limit, normalised to an appropriate multiple of the range width, and given a negative sign.
For every repetition of the exercise, we calculated the score \({S}_{i}\) for the ith parameter \({x}_{i}\), as follows:
$${S}_{i}=\left\{\begin{array}{ll} \frac{{x}_{i}^{{\rm sup}}-{x}_{i}}{{x}_{i}^{{\rm sup}}-{x}_{i}^{{\rm inf}}}\cdot 100 ,&\quad {\rm for}\quad {x}_{i}^{{\rm sup}}\ge {x}_{i}\ge \overline{{x }_{i}}\\ \\ \frac{{x}_{i}-{x}_{i}^{{\rm inf}}}{{x}_{i}^{{\rm sup}}-{x}_{i}^{{\rm inf}}}\cdot 100 , &\quad {\rm for}\quad \overline{{x }_{i}} \ge {x}_{i}\ge {x}_{i}^{{\rm inf}}\\ \\ -\frac{{x}_{i}-{x}_{i}^{{\rm sup}}}{k\left({x}_{i}^{{\rm sup}}-{x}_{i}^{{\rm inf}}\right)}\cdot 100 , &\quad {\rm for}\quad {x}_{i}>{x}_{i}^{{\rm sup}}\\ \\ -\frac{{x}_{i}^{{\rm inf}}-{x}_{i}}{k\left({x}_{i}^{{\rm sup}}-{x}_{i}^{{\rm inf}}\right)}\cdot 100 , &\quad {\rm for}\quad {x}_{i}^{{\rm inf}}>{x}_{i}\end{array}\right.$$
(1)
where
$$\overline{{x }_{i}}=\frac{{x}_{i}^{{\rm sup}}-{x}_{i}^{{\rm inf}}}{2}$$
(2)
is the mid-range value for the current parameter, and \({x}_{i}^{{{\rm sup}}}\) and \({x}_{i}^{{{\rm inf}}}\) are the superior and inferior limit, respectively. The constant \(k\) has been arbitrarily set to k = 2, which was a large enough value in our test to keep the negative scores within the − 100% limit, even for extreme deviations of the parameters out of range.
The overall scores (positive and negative) are calculated as the weighted sums of the single parameter scores, using the weights obtained from the experts’ interviews.
For the performance (p), we thus have
$${S}_{p}^{+}=\sum_{i=1}^{22} {w}_{i}^{p}\cdot {S}_{i } , \quad {\rm for}\quad {S}_{i}\ge 0$$
(3)
$${S}_{p}^{-}=\sum_{i=1}^{22}{w}_{i}^{p}\cdot {S}_{i} , \quad {\rm for}\quad {S}_{i}<0$$
(4)
Similarly, for the safety (s), the scores are
$${S}_{s}^{+}=\sum_{i=1}^{22} {w}_{i}^{s}\cdot {S}_{i } , \quad {\rm for}\quad {S}_{i}\ge 0$$
(5)
$${S}_{s}^{-}=\sum_{i=1}^{22}{w}_{i}^{s}\cdot {S}_{i} , \quad {\rm for}\quad {S}_{i}<0$$
(6)
A series of bars, which can be positive or negative, have been employed to represent the total score for each repetition of the exercise. Furthermore, every bar, for every repetition, can be displayed as a stacked combination of sub-bars representing the contributions of individual parameters to the execution evaluation.

Results

Kinematic analysis

From the marker trajectories in 3D space, we reconstructed the kinematics of the body districts involved in the motor task. It is possible to identify the single repetitions and the phase relations of the different segments (some examples of tracings are shown in Figs. 2 and 3). All these data have been combined to obtain information about the symmetry of the body sides, the head posture, and the lower limb compensatory movements during the pull-ups, in particular the movements of the hips, knees and ankles, which are increasing progressively in time.
Fig. 2
Upper limbs angular kinematics, in particular the shoulder angles together with the linear kinematics of the hip centre (vertical displacement). It is possible to evaluate the symmetry of the two body sides (right–left shoulder angles) together with the phasing of the repetitions: vertical displacement of the body (hips), while the arms are working (shoulders flexions)
Bild vergrößern
Fig. 3
Compensatory action of the legs during the executions; while the trunk (upper graph) is going up and down smoothly during the repetitions, the legs (lower graph, hip angles and knee flexion angle reported) increase progressively their oscillation to increase the kinetic energy of the body and help conclude the repetition
Bild vergrößern
The method is capable to recognise and separate the repetitions of the exercise and thus, for each body district, the linear and angular kinematics involved in the motor task can be evaluated for the single repetition during the test (Fig. 4).
Fig. 4
The tracings of some characteristic parameters with the segmentation of the repetitions; the vertical dotted green line—pull-up start; vertical red solid line—end of the concentric phase (middle movement); vertical blue solid line—end of the pull-up. It is possible to directly evaluate the phase relation between some specific districts during the movement (Color figure online)
Bild vergrößern

Estimation of the ranges and weights

The standard ranges for the different kinematics parameters have been obtained from the average of the results coming from the standard repetitions by the athletes (Table 3).
The averages of the weighting parameters resulting from the experts’ questionnaires (Table 3) allowed to set the overall values of the weights for the calculation of the performance and safety scores.

Scoring

The calculated scores from Eqs. (3) to (6), weighted in terms of performance maximisation and safety maximisation, are reported in Figs. 5 and 6, respectively. The repetition number is reported on the horizontal axis. It is possible to compare the trends developing for increasing repetitions in the trials performed by the 8 subjects enrolled for the study. The bars in the figures report, for each subject and each repetition, the scores from all the concentric and eccentric phase parameters stacked.
Fig. 5
The scores calculated for the 8 subjects (Group 2) who participated in the study weighted in terms of performance maximisation. The subjects order S5–S12 is row-by-row from top left to bottom right. For every subject, the bars indicating the positive and negative scores obtained for every pull-up are reported. The bars are stacks of the scores obtained for each parameter during both concentric (UP) and eccentric phase (DW), so pulling up and returning down to the starting position. The scale of the y-axis is the same for every subject (− 30 to 70%) excluding S7, who had a negative score much higher (− 80 to 70%)
Bild vergrößern
Fig. 6
The scores calculated for the 8 subjects (Group 2) who participated in the study weighted in terms of safety maximisation. The subject order S5–S12 is row-by-row from top left to bottom right. For every subject, the bars indicating the positive and negative scores obtained for every pull-up are reported. The bars are stacks of the scores obtained for each parameter during both concentric (UP) and eccentric phase (DW), so pulling up and returning down to the starting position. The scale of the y-axis is the same for every subject (− 30 to 70%) excluding S7, who had a negative score much higher (− 80 to 70%)
Bild vergrößern

Discussion

A dual representation of pull-ups: time courses and scores

The study presents a new tool to characterise the quality of whole-body movements, while executing a workout task, in this case the pull-up exercise. Besides some general descriptive parameters (like the number of repetitions, and to describe the setup), it includes the time courses of the segmental motion kinematics (an established way of presenting motion, now first applied to the study of pull-ups), and besides those, some newly developed synthetic indices in the form of performance and safety scores.
The time courses make it possible to analyse the linear and angular kinematics district-by-district and have a direct overview of the ranges of motion, the patterns of task execution, together with the possible strategies, a subject can adopt to complete the exercise in terms of body posture and segmental compensations. Moreover, combined with the segmentation of the repetitions into phases, they are useful to understand more details about the execution itself, highlighting the phase relationships between the activations of different districts and the symmetric behaviour of the two body sides.
The introduction of the proposed scoring system not only provides a condensed summary of the global execution quality, but also offers additionally the possibility to directly identify which parameters have been reduced or increased in a single repetition, affecting the overall task execution.

Extracting from the scores some hints for a safe and useful workout

Looking at the score trends across all the subjects (Figs. 5, 6), it is generally possible to identify a threshold number of repetitions, beyond which the negative scores definitely increase (and the positive ones often decrease). Past that point, the controlled execution of the workout appears to be impaired by the fatigue, and the strain cannot be recovered at the end of a repetition, so that not only performance, but also safety is jeopardised. In our view, the threshold number, thus identified, may mark a limit, after which the set should be stopped to prevent worsening of the performance or injuries.
Considering this, and judging from Fig. 5, we would suggest subjects S5, S6, S7, and S10 adopt workout sessions with pull-up sets of maximum 10, 12, 5 and 6 repetitions, respectively, in order to maximise their performances. For higher numbers of repetitions, their negative scores are indeed progressively increasing, and the positive ones are lowering at the same time, consequently affecting the overall outcome. For subjects S9 and S11, the considerations would be similar, but, due to the limited number of repetitions, the negative scores are not increasing so dramatically, while the positive ones oscillate: these subjects, even if they are practising sports regularly, are not used to this kind of workout task (whereas S5, S6, S7, and S10 are): for this reason, they may not have the specific power, drive and capacity to strain to their limit, eventually struggling with the visible effect of increasing the negative score. Instead, after reaching a certain (limited) number of repetitions, they give up without trying another pull-up. For subjects S8 and S12, the behaviour is intermediate: S8 shows a reduction in the positive scores, referred to a worsening in pull-up performance after 3 repetitions; nevertheless, he can control the posture of the limbs (according also with his specific capability to execute the exercise) avoiding excessive compensatory movements and displays only a milder increase in the negative scores. Subject S12, on the other hand, has not a specific skill for the exercise and this is highlighted in his low positive score; he can perform the pull-ups adopting compensatory strategies, which increase the negative scores.
From the results depicted in Fig. 6, we observe similar trends and similar thresholds, even though this time the focus is on the maintenance of safety: the scores for the pull-ups are weighted based on the safety considerations useful to prevent bad postures, excessive fatigue, and possible injuries.

The scores as a tool for the identification of specific execution problems

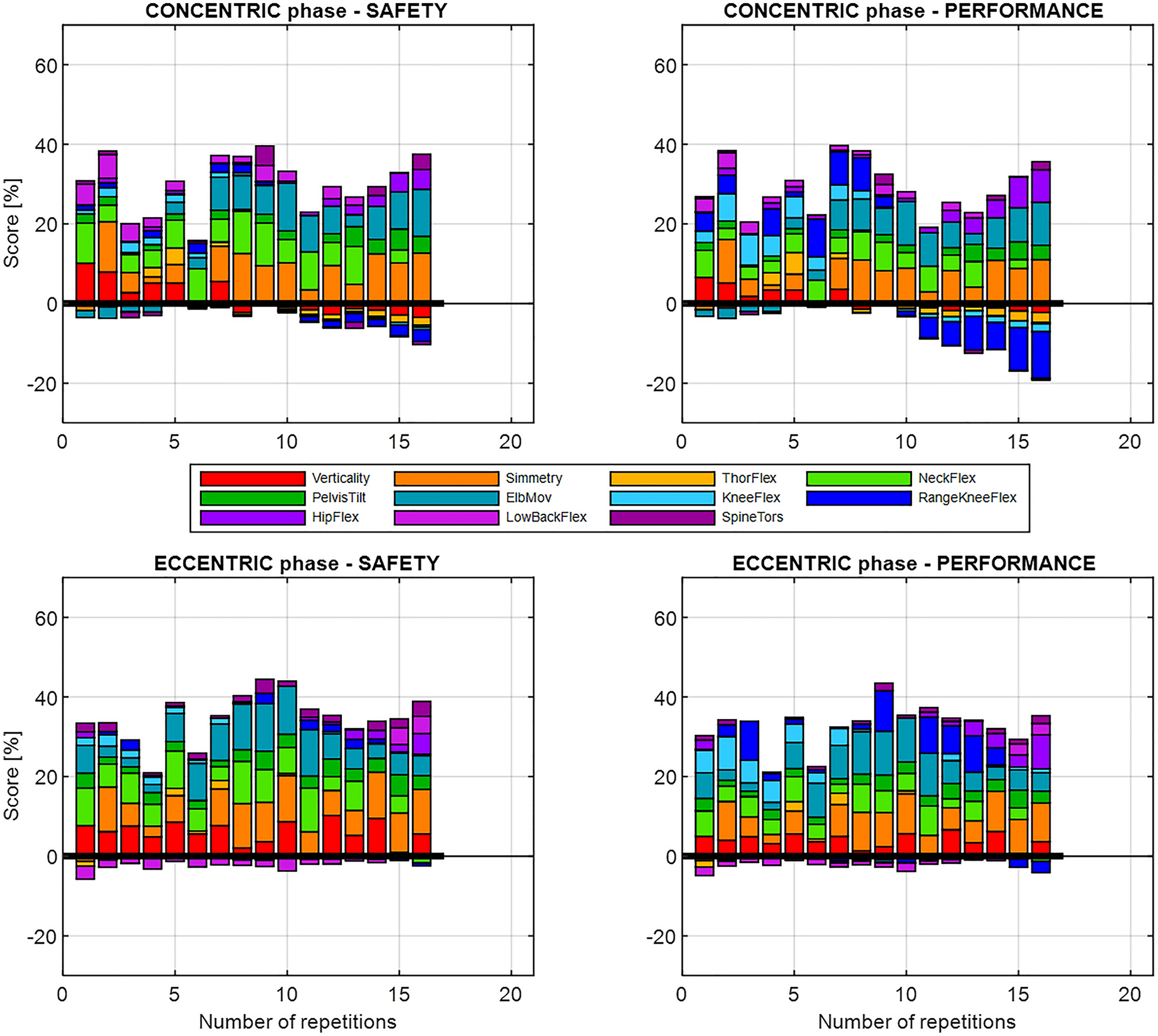
The present characterisation, by including explicitly 11 different biomechanical indices, connected to various body districts, can provide a detailed description of segmental movement quality, even connected to movement phases. Hence, it can be employed, for instance, to highlight the specific districts of the body recruited by the subject to compensate the progressively increasing lack of power along a repetition set. Figure 7 shows an example of score bars separated into the concentric and eccentric phases. By this way of presenting the data, it is possible to distinguish better if the ability (or inability) to control all body parts is more concentrated during the pull upwards to pass the bar (concentric), the lowering of the body towards the initial position before the next repetition (eccentric), or there is no difference between the two phases. Furthermore, the specific parameters, which affect the score, can be monitored individually, to become, possibly, a focus for both athletes and coaches to work on, in order to perfect the execution. By way of example, the subject S5 (Fig. 7) shows a gradual worsening on the performance during the concentric phases, dominated by the progressive lack of control (especially from the 11th repetition) of the knees’ range of motion (blue bar segment)—the so-called kick move to conclude the pull-up above the bar. If we consider the safety scores, the trend appears to be similar, even if we can see that the increase in the negative score is not only due to the decreased control of the knees range of motion (blue bar), but also to the loss of verticality (red bar) and lack of symmetry (orange bar). Talking about the eccentric phase, the control is better, probably because the lesser effort: the positive score is almost constant around an average value of 35%. The negative score, considering the safety, is due to an increased lower back flexion (magenta bar), which can lead to bad posture and pain over time, and should be avoided.
Fig. 7
Safety and performance scores for subject S5, with the concentric and eccentric phases shown separated. It is possible to analyse if the subject is capable to control the whole body during the execution of the entire motor task, i.e. during the concentric phase (pull upwards) and the eccentric phase (lowering of the body). Furthermore, the specific parameters, which affect the score, can be monitored individually
Bild vergrößern
Apart from targeting the performance of professional or semi-professional athletes, this method can also be applied to evaluate the performances of other categories, such as amateurs or occasional athletes who, during their daily training routine, wish to have an efficient support to train, to prevent injuries, or just learn how to execute better a new motor task.

Conclusions

The take-home message of this research is that, by providing trainers and athletes with biomechanically based reports, including a combined view of time courses and synthetic scores, it should be possible to improve their awareness regarding the performance and safety dimensions of training, fostering better workout outcomes through the identification of relevant execution features.
The hypothesis proposed in the introduction of the present work, i.e. to characterise a specific motor task, devising a simple, but highly informative scoring system targeted at workout tasks, has been accomplished. Such a detailed tool, able to quantify the biomechanical quality of execution of selected motor tasks and to investigate their characteristic features, could be exploited to evaluate the reliability of training schedules for top athletes, as well as to support and improve the capability to learn, acquire and maintain the correct knowledge of simple exercises, even for entry-level users. In this respect, the proposed method also matches some of the findings by W. R. Thompson, presented in his “Year Survey about the sport and fitness trends” [7], providing a useful tool for several applications in those fields.
The main current limitations of this study lie in restricted number of participants involved in testing the scoring system. This limitation encompasses the definition of statistically relevant normal ranges for the score parameters and weights, and the possibility to validate the applicability of the system with an even broader population sample. In addition, the method should be applied before and after a period of specific training with the selected exercise, to assess its capacity to follow and evaluate reliably the changes in performance and their stabilisation.
Future extension of the work will be in the direction to extend the evaluation to other exercises and eventually integrate the scoring system with a feedback system to drive the motor task execution in the best way possible [22]. Finally, the future goal will be to observe if athletes that work out in a more biomechanically correct way tend to improve more their final performance in the sport practice and get less injured.

Acknowledgements

The study has been conducted in the laboratory of CNR-ICMATE at Lecco, in collaboration with the Sport Group ASD Ragni di Lecco. We would like to thank their coach Fabio Palma and his team of athletes, who took part to the acquisition sessions.

Declarations

Conflict of interest

All the authors certify that they have no affiliations with or involvement in any organisation or entity with any financial interest, or non-financial interest in the subject matter or materials discussed in this manuscript; furthermore, the manuscript has not been previously published and is not being considered for publication elsewhere in whole or in part in any language.

Ethics approval

The study procedures agree with the Declaration of Helsinki and received the approval of the Ethical Committee of the CNR (National Research Council of Italy), protocol number 0065527/2019.
Informed consent was obtained from all individual participants included in the study.
All the subjects provided consent by signing an informative agreement about the purpose of the study and the treatment of the data collected.
Open Access This article is licensed under a Creative Commons Attribution 4.0 International License, which permits use, sharing, adaptation, distribution and reproduction in any medium or format, as long as you give appropriate credit to the original author(s) and the source, provide a link to the Creative Commons licence, and indicate if changes were made. The images or other third party material in this article are included in the article's Creative Commons licence, unless indicated otherwise in a credit line to the material. If material is not included in the article's Creative Commons licence and your intended use is not permitted by statutory regulation or exceeds the permitted use, you will need to obtain permission directly from the copyright holder. To view a copy of this licence, visit http://​creativecommons.​org/​licenses/​by/​4.​0/​.

Publisher's Note

Springer Nature remains neutral with regard to jurisdictional claims in published maps and institutional affiliations.

Unsere Produktempfehlungen

e.Med Interdisziplinär

Kombi-Abonnement

Für Ihren Erfolg in Klinik und Praxis - Die beste Hilfe in Ihrem Arbeitsalltag

Mit e.Med Interdisziplinär erhalten Sie Zugang zu allen CME-Fortbildungen und Fachzeitschriften auf SpringerMedizin.de.

e.Med Orthopädie & Unfallchirurgie

Kombi-Abonnement

Mit e.Med Orthopädie & Unfallchirurgie erhalten Sie Zugang zu CME-Fortbildungen der Fachgebiete, den Premium-Inhalten der dazugehörigen Fachzeitschriften, inklusive einer gedruckten Zeitschrift Ihrer Wahl.

download
DOWNLOAD
print
DRUCKEN
Titel
Biomechanical characterisation of the pull-up exercise
Verfasst von
Lorenzo Garavaglia
Jacopo Romanò
Fabio Lazzari
Simone Pittaccio
Publikationsdatum
19.07.2023
Verlag
Springer Milan
Erschienen in
Sport Sciences for Health / Ausgabe 1/2024
Print ISSN: 1824-7490
Elektronische ISSN: 1825-1234
DOI
https://doi.org/10.1007/s11332-023-01097-1
1.
Zurück zum Zitat Ráthonyi G, Müller A, Rathonyi-Odor K (2018) How digital technologies are changing sport? APSTRACT Appl Stud Agribus Commerce 12(103320193296):89–96
2.
Zurück zum Zitat Fuss FK, Subic A, Mehta R (2008) The impact of technology on sport—new frontiers. Sports Technol 1(1):1–2CrossRef
3.
Zurück zum Zitat Loland S (2009) The ethics of performance-enhancing technology in sport. J Philos Sport 36(2):152–161CrossRef
4.
Zurück zum Zitat Domingos C, Peralta M, Prazeres P, Nan W, Rosa A, Pereira JG (2021) Session frequency matters in neurofeedback training of athletes. Appl Psychophysiol Biofeedback 46(2):195–204CrossRefPubMed
5.
Zurück zum Zitat Wulf G, McConnel N, Gärtner M, Schwarz A (2002) Enhancing the learning of sport skills through external-focus feedback. J Mot Behav 34(2):171–182CrossRefPubMed
6.
Zurück zum Zitat Sigrist R, Rauter G, Riener R, Wolf P (2013) Augmented visual, auditory, haptic, and multimodal feedback in motor learning: a review. Psychon Bull Rev 20(1):21–53CrossRefPubMed
7.
Zurück zum Zitat Thompson WR (2019) Worldwide survey of fitness trends for 2020. ACSM’s Health Fitness J 23(6):10–18CrossRef
8.
Zurück zum Zitat Pickering C, Kiely J (2019) The development of a personalised training framework: implementation of emerging technologies for performance. J Funct Morphol Kinesiol 4(2):25CrossRefPubMedPubMedCentral
9.
Zurück zum Zitat Wulf G, Höß M, Prinz W (1998) Instructions for motor learning: Differential effects of internal versus external focus of attention. J Mot Behav 30(2):169–179CrossRefPubMed
10.
Zurück zum Zitat Sleeper MD, Kenyon LK, Casey E (2012) Measuring fitness in female gymnasts: the gymnastics functional measurement tool. Int J Sports Phys Ther 7(2):124PubMedPubMedCentral
11.
Zurück zum Zitat Dabbs NC, Sauls NM, Zayer A, Chander H (2017) Balance performance in collegiate athletes: a comparison of balance error scoring system measures. J Funct Morphol Kinesiol 2(3):26CrossRef
12.
Zurück zum Zitat Rahn C, Munkasy BA, Joyner AB, Buckley TA (2015) Sideline performance of the balance error scoring system during a live sporting event. Clin J Sport Med 25(3):248CrossRefPubMedPubMedCentral
13.
Zurück zum Zitat Nelson AJ, Zwick D, Brody S, Doran C, Pulver L, Rooz G, Sadownick M, Nelson R, Rothman J (2002) The validity of the GaitRite and the Functional Ambulation Performance scoring system in the analysis of Parkinson gait. NeuroRehabilitation 17(3):255–262CrossRefPubMed
14.
Zurück zum Zitat Falk Neto JH, Kennedy MD (2019) The multimodal nature of high-intensity functional training: potential applications to improve sport performance. Sports 7(2):33CrossRefPubMedPubMedCentral
15.
Zurück zum Zitat Hahn AG, Helmer RJN, Kelly T, Partridge K, Krajewski A, Blanchonette I, Barker J, Bruch H, Brydon M, Hooke N, Andreass B (2010) Development of an automated scoring system for amateur boxing. Procedia Eng 2(2):3095–3101CrossRef
16.
Zurück zum Zitat Worsey MT, Espinosa HG, Shepherd JB, Thiel DV (2019) Inertial sensors for performance analysis in combat sports: A systematic review. Sports 7(1):28CrossRefPubMedPubMedCentral
17.
Zurück zum Zitat Inserra WJ (1998) Analyses of weight, body-fat, and physical fitness testing standards, for active duty male marines, with proposed alternatives. Naval Postgraduate School Monterey Ca Dept of Operations Research
18.
Zurück zum Zitat Ronai P, Scibek E (2014) The pull-up. Strength Cond J 36(3):88–90CrossRef
19.
Zurück zum Zitat Youdas JW, Amundson CL, Cicero KS, Hahn JJ, Harezlak DT, Hollman JH (2010) Surface electromyographic activation patterns and elbow joint motion during a pull-up, chin-up, or perfect-pullup™ rotational exercise. J Strength Cond Res 24(12):3404–3414CrossRefPubMed
20.
Zurück zum Zitat Sánchez Moreno M, Pareja Blanco F, González Badillo JJ, Díaz Cueli D (2015) Determinant factors of pull up performance in trained athletes
21.
Zurück zum Zitat Wu G, Van der Helm FC, Veeger HD, Makhsous M, Van Roy P, Anglin C, Werner FW (2005) ISB recommendation on definitions of joint coordinate systems of various joints for the reporting of human joint motion—part II: shoulder, elbow, wrist and hand. J Biomech 38(5):981–992CrossRefPubMed
22.
Zurück zum Zitat Peake JM, Kerr G, Sullivan JP (2018) A critical review of consumer wearables, mobile applications, and equipment for providing biofeedback, monitoring stress, and sleep in physically active populations. Front Physiol 9:743CrossRefPubMedPubMedCentral

Arthropedia

Grundlagenwissen der Arthroskopie und Gelenkchirurgie erweitert durch Fallbeispiele, Videos und Abbildungen. Zur Fortbildung und Wissenserweiterung, verfasst und geprüft von Expertinnen und Experten der Gesellschaft für Arthroskopie und Gelenkchirurgie (AGA).


Jetzt entdecken!

Neu im Fachgebiet Orthopädie und Unfallchirurgie

Zwei auf einen Streich: Wie sicher ist der simultane bilaterale Gelenkersatz?

Ein französisch-belgisches Team hat Komplikationsrisiko und Transfusionsraten nach simultanem bilateralem Hüft- bzw. Kniegelenkersatz in mehr als 280 Fällen untersucht. Die Ergebnisse sind vielversprechend, vor allem beim beidseitigen Teilersatz des Kniegelenks.

Gelenkinfektion: Datenlage spricht für frühen Wechsel auf orales Antibiotikum

Im Fall einer periprothetischen Gelenkinfektion kann die antibiotische Behandlung wohl frühzeitig von intravenös auf oral umgestellt werden, ohne dass der Therapieerfolg darunter leidet. Das zeigen die Ergebnisse einer neuen Metaanalyse.

Sjögren-Frühdiagnose künftig über Autoantikörper im Speichel?

Forschende haben bei Menschen mit vermeintlichem Non-Sjögren-Sicca-Syndrom typische Sjögren-Autoantikörper im Speichel gefunden und damit womöglich einen frühen Phänotyp der Erkrankung entdeckt.

Neue Therapieoption mit Navepegritid für Kinder mit Achondroplasie

In einer placebokontrollierten Phase-2b-Studie steigerte Navepegritid die Wachstumsgeschwindigkeit von Kindern mit Achondroplasie gegenüber Placebo und verbesserte sowohl Beinachsen als auch Körperproportionen. Die Behandlung erwies sich als gut verträglich und brachte zudem Vorteile für die Lebensqualität.

Update Orthopädie und Unfallchirurgie

Bestellen Sie unseren Fach-Newsletter und bleiben Sie gut informiert.

Bildnachweise
Arthropedia, Knochensäge im Einsatz bei Knie-TEP/© Issara / stock.adobe.com (Symbolbild mit Fotomodellen), Älterer Mann schaut kritisch auf Tabletten/© Mediteraneo / stock.adobe.com (Symbolbild mit Fotomodell), Speicheldrüsensonographie der Glandula parotis links bei Sjögren-Syndrom/© Zehrfeld N. et al. / all rights reserved Springer Medizin Verlag GmbH