Zum Inhalt

Bridging gaps in age estimation: a cross-sectional comparative study of skeletal maturation using Fishman method and dental development using Nolla method among Egyptians

  • Open Access
  • 06.01.2025
  • Original Article
Erschienen in:

Abstract

Estimating the chronological age of humans is a prevalent need in forensic practice. Comparing the accuracy of different age identification methods helps provide the most reliable method for a specific population. This study aimed to compare the accuracy of age assessments using skeletal maturation and dental mineralization in a sample of Egyptians and to assess if combining both methods yields more precise age prediction. A cross-sectional study included 176 Egyptian children and adolescents aged between 8 and 16 who underwent orthopantomograms and hand-wrist radiographs. All radiographs were scored independently for skeletal maturation using the Fishman method and dental development using the Nolla method. While Fishman and Nolla methods were valid and reliable age predictors with variable sex and age group accuracy in Egyptians, the Nolla method showed superior performance. The Nolla method slightly underestimated the chronological age, while the Fishman method slightly over-estimated it, showing median differences of -0.21 and 0.17, respectively. Correlating the estimated age using the Fishman and Nolla methods and the chronological age showed intraclass correlation coefficients of (0.854 and 0.660) and (0.973 and 0.977) for females and males, respectively (P < 0.001). The model adopting the Nolla score exhibited the highest R² (0.973 and 0.968) and the lowest Akaike information criteria (96 and 106) for females and males, respectively, which is comparable to the model adopting both Nolla scores and skeletal maturation indicators. Therefore, we recommend adopting the model incorporating only the Nolla scores for age estimation without the need for further hand and wrist radiography.

Supplementary Information

The online version contains supplementary material available at https://doi.org/10.1007/s00414-024-03394-x.

Publisher’s note

Springer Nature remains neutral with regard to jurisdictional claims in published maps and institutional affiliations.

Introduction

Age estimation is essential for understanding the growth and developmental changes in children. For such importance, chronological ages are documented in birth proofs [1]. Forensic age identification is one of the most important medico-legal factors in clinical practice and the court of law [2]. Estimating the chronological age of individuals or skeletal remains is a prevalent need in modern forensic practice and bioarcheology. Moreover, identifying children and young adults’ actual ages is one of the main challenges forensic pathologist faces [3].
Globally, age identification became more important with the dramatic increase in cross-border migration [4]. Many countries have reported increasing numbers of foreigners who cannot provide documentary evidence of their date of birth [5]. Moreover, age estimation is required, especially among children and adolescents, for civil purposes, such as adoption processes or criminal reasons, including minor prostitution and age fraud in several sports, particularly in those aged below 18 years [6]. Furthermore, to check whether the accused has reached a legal majority [7, 8]. Besides in mass disasters, an accurate age identification is helpful to narrow the search for possible victims and it has a crucial role in reconstructing the biological profile of unidentified dead bodies and skeletal remains [9, 10]. Besides its application in pediatric dentistry and orthodontics [11], age estimation is also critical in clinical practices, including managing different endocrinal and non-endocrinal disorders [12, 13].
Medical approaches based on assessing the bone maturation and dental mineralization are strongly related to chronological age in young adults, and for this reason, they can be used to estimate age [14]. The skeletal age is considered one of the most reliable methods for assessing chronological age, although it is affected by ethnicity [15]. The International Study Group on Forensic Age Diagnostics (ADFAD) recommended age prediction depending on skeletal maturation shown in hand and wrist radiography [2]. The wide use of indicators of skeletal maturation is owed to multiple factors, including simple techniques, minimal radiation exposure, and economic costs [16].
Skeletal age identification could be done using X-ray filming of different body parts to assess the degree of bone maturation. One of the most popular and easy methods used in pediatrics is X-ray filming of hand and wrist [13]. This method was described by Fishman [17] and seems to be the most appropriate method for assessing skeletal maturation. It assesses eleven skeletal maturity indicators (SMIs), covering the entire development period [17, 18].
However, human skeletal development could be influenced by nutritional and environmental factors. Hence, estimating the dental age is considered vital, as the teeth are less affected by genetic, hormonal, nutritional, and pathological changes compared to the bones [19]. Multiple methods have been studied for dental age estimation, However, there is no standard method that could be reliable for all populations [20]. This could be attributed to the fact that age estimations are generally population-specific [21].
Dental age estimation in children can be based on clinical tooth emergence or on the stages of tooth formation observed in radiographs, which is considered a better method to determine the chronological age than the tooth emergence as local and systemic factors scarcely influence it [22]. One of these methods is the Nolla method which is commonly used in teaching and clinical practice. It presents a high degree of intra-observer agreement (greater than 90%). Moreover, the results obtained by the Nolla method are no less reliable than those obtained by other methods [11, 23]. Despite its effectiveness, this method has been one of the least tested across different populations [11].
Comparing the accuracy of different age identification methods helps provide the most reliable and suitable method for a specific population or ethnic group [24]. Therefore, the relationship between skeletal maturation stages and tooth calcification by comparing different methods in different populations has been previously evaluated by multiple studies [16, 2527]. However, to the best of our knowledge, no studies have been reported on the relationship between skeletal age assessment using the Fishman method and dental age assessment using Nolla method in Egyptian children, even though there may be racial differences in these children that would need more investigation. Therefore, this study aimed to compare the accuracy of skeletal age assessment using the Fishman method and dental age assessment using the Nolla method in estimating the chronological age in a sample of Egyptian children and adolescents. In addition, this study aimed to assess the validity of combining both methods for age prediction.

Subjects and methods

Sampling and sample size calculation

A convenience random sampling technique was adopted where the sample size was calculated using MedCalc Statistical Software version 19 [28]. The calculation assumed that the Bland-Altman plot was required to test the agreement between chronological age and the assessed methods, adopting an alpha level of 0.05 and a power of 80%. For dental age, an expected mean difference of 0.49 with a standard deviation of 1.02 and a maximum allowed difference of 3 [29] yielded a minimal sample size of 96 children. For skeletal age assessment, a mean difference of 0.23, a standard deviation of 1.19, and a maximum allowed difference of 3 [30] yielded a minimal sample size of 174 children. As eight age groups were included, the sample was rounded to 176, so that each group contained 22 children (11 females and 11 males).

Study design and population

This prospective cross-sectional study was conducted on randomly selected 176 Egyptian children and adolescents (88 females and 88 males) aged between 8 and 16 years as a part of their clinical work up at the Outpatient Clinics of Pediatric Dentistry and Orthodontic Departments, Faculty of Dentistry, Tanta University during the period from the start of April 2023 to the end of March 2024. The included subjects were in need for panoramic and hand-wrist radiographs in their dental treatment. According to Alqadi and Abuaffan, the first SMI (1) appears around 9 years using the Fishman method. Hence, the studied sample was limited to children above eight years of age [30]. Children who did not reach SMI (1) were excluded from statistical comparisons since they could not be scored by the Fishman method [31]. Similarly, according to previous studies, the last SMI (11) appears around the age of 16.5. Hence, the studied sample was limited to children below 16 years of age to avoid the under estimation of skeletal age in adolescents aged more than 16 years [32, 33].
Both male and female samples were divided into eight groups, according to chronological age as follows: Group 1 (8-8.99 years), Group 2 (9-9.99 years), Group 3 (10-10.99 years), Group 4 (11-11.99 years), Group 5 (12-12.99 years), Group 6 (13-13.99 years), Group 7 (14-14.99 years), and Group 8 (15-15.99 years).

Eligibility criteria

Egyptian children of normal development (50th percentile growth charts) aged between 8 and 16 years presented to the Dental Outpatient Clinics, Faculty of Dentistry, Tanta University for teeth development assessment or orthodontic treatment with no agenesis or extractions in the left lower quadrant in the selected panoramic X-rays were included in this study. Children with premature birth, facial asymmetry, congenital anomalies, bone diseases, or systemic diseases affecting the growth and development of teeth were excluded from the study. Also, children with a history of trauma or surgery in the dentofacial region and malignancies or previous chemotherapy or ionizing radiation treatment were excluded. In addition, patients with previous or current orthodontic treatment or poor-quality radiographs or who were unaware of their date of birth were not included in the study.

Data collection method

The sex of the studied individuals was determined using birth proof. The chronological age was calculated by subtracting the date of radiographic examinations from the date of birth from the after converting both to a decimal age [34]. These data were anonymized, and a specific code was given for every case.
For every included child, we obtained plain X-rays of the left hand and wrist for assessment of bone development and skeletal age calculation. Observers preferred to assess the left side of each subject as done in previous literatures to avoid any observer bias [16, 31, 35]. Moreover, an orthopantomogram was conducted to assess teeth development and calculate dental age. Moreover, Then, all radiographs were scored independently by two experienced and pre-calibrated examiners (M.S.G and S.S.E) who were blinded to the children’s chronological ages.

Skeletal age assessment using the Fishman method

Fishman eleven-grade system was used to evaluate the maturational patterns of the indicators in the handwrist. Eleven discrete adolescent skeletal maturational indicators (SMI 1- SMI 11) covering the entire period of adolescent development are found on the six anatomical sites located in the thumb, third finger, fifth finger and radius. Skeletal maturity was converted into skeletal age using specific Table [17].

Dental age assessment using the Nolla method

Panoramic images were processed by a computer-aided drafting program (Adobe Photoshop CS, Adobe Systems Incorporated, San Jose, CA, USA) and then matched as closely as possible with the comparative figure of Nolla. The development of the seven left permanent maxillary and mandibular teeth, excluding the third molar, was scored as ‘0’ for the absence of crown, and ‘1’ to ‘10’, depending on the stage of calcification where the stage 10 illustrates that mineralization at the apical end of the root is completed. The sum of stages for 14 maxillary and mandibular teeth for each participant was assigned as Nolla score and graded as (A to H) for males and (a to h) for females using the corresponding tables described by Nolla [36]. Then, the total sum was matched to the average sum for males or females to translate the developmental value into the dental age. Figures 1, 2 and 3 depict the chronological age assessment in three children, showing different skeletal, dental and chronological ages.
Fig. 1
a) Hand-wrist X-ray of a 13.22-year female patient showing different sites (in white) of skeletal maturity indicators (SMI) assessed by Fishman method; capping of epiphyses of the middle phalanx on the fifth finger (SMI = 7), and skeletal age is 12.51 years, b) Panoramic X-ray of the same patient showed different scoring of dental development of the mandibular and maxillary teeth on the left side (except the third molar), marked according to the Nolla method; the total scoring was 138.1 and the calculated dental age was 13 years
Bild vergrößern
Fig. 2
a) Hand-wrist X-ray of a 9.05-year female patient showing different sites (in black) of skeletal maturity indicators (SMI) assessed by Fishman method; the proximal phalanx of the third finger showed equal width of the epiphysis and diaphysis (SMI = 1), and skeletal age is 10.23 years, b) Panoramic X-ray of the same patient showing different scoring of dental development of the mandibular and maxillary teeth on the left side (except the third molar), marked according to the Nolla method; the total scoring was 118 and the calculated dental age was 9 years
Bild vergrößern
Fig. 3
a) Hand-wrist X-ray of a 14.98-year male patient showing different sites (in white) of skeletal maturity indicators (SMI) assessed by Fishman method; capping of epiphyses of the middle phalanx on the fifth finger (SMI = 7), and skeletal age is 14.43 years, b) Panoramic X-ray of the same patient showing different scoring of dental development of the mandibular and maxillary teeth on the left side (except the third molar), marked according to the Nolla method; the total scoring was 137.5 and the calculated dental age was 14 years
Bild vergrößern

Inter- and intra-observer agreements

Both observers recorded the SMIs and Nolla scores. Furthermore, the first observer re-evaluated each score three weeks after the initial assessment. Images that displayed notable discrepancies between the three recorded measurements during these reliability checks were excluded to maintain data consistency and accuracy. This exclusion process was applied only to individual images (n = 3) with significant discrepancies in the scoring. After excluding those 3 cases from the total study cohort, all included radiographs were analyzed to assess inter-observer reliability and reproducibility.

Data analysis

Analyses were conducted using the R Statistical language (version 4.4.1) [37], model summary (version 2.1.1) [38], Metrics (version 0.1.4) [39], rms (version 6.8.1) [40], Bland Altman (version 0.3.1) [41], gtsummary (version 2.0.0) [42] and psych (version 2.4.6.26) [43].The normality of distribution was tested using the Shapiro-Wilk test and the Q-Q plots. As data did not follow the normal distribution in most groups, continuous numerical variables were summarized using the median, interquartile range (IQR; 25th to 75th percentiles), and the range (minimum to maximum values). The comparisons were made between the chronological and estimated ages using the Friedman Rank Sum Test, and the post hoc pairwise comparisons were carried out using the Wilcoxon-signed rank test with Bonferroni adjustment for multiple comparisons. The mean absolute error (MAE) was calculated for each method. The Bland-Altman plots were created to define the limits of agreement.
Inter and intra-observer variability agreement of the status of the SMIs and Nolla scores were tested using weighted Cohen’s Kappa and the intraclass correlation coefficient (ICC), respectively. The results of the weighted Cohen’s Kappa testing were interpreted using the system developed by McHugh as: κ = 0 -0.20: none agreement, κ = 0.21–0.39: minimal agreement, κ = 0.40–0.59: weak agreement, κ = 0.60–0.79: moderate agreement, κ = 0.80–0.90: strong agreement, κ more than 0.90: almost perfect agreement [44]. The agreement between the estimated ages by both methods and the chronological ages was also tested using the ICC, for which coefficients less than 0.5, between 0.5 and 0.75, between 0.75 and 0.9, and greater than 0.9 indicated poor, moderate, good, and excellent reliability, respectively [45]. Simple linear regression models were created for each method separately and for their combination, using the estimated ages at one time and the scores or indices of the method at another time. The best-performing models were identified based on the highest R2 and the least Akaike information criteria (AIC) value. A P-value < 0.05 was selected to interpret the results of statistical tests.

Results

The current study enrolled 176 individuals, males and females, equally distributed with no significant variations in chronological ages (P = 0.939). The age of the studied subjects ranged between 8.03 and 15.99 years, with a median of 12 years in both males and females. The sample was evenly distributed across age groups from 8 to 8.9 years to 15–15.99 years. There was no statistically significant difference in the distribution of age groups between males and females (P > 0.05). This balance minimized the potential biases and facilitated a straightforward analysis without introducing biases related to age or sex.
Estimating the inter and intra-observer agreement for the SMIs assessed by the Fishman method, showing Weighted Cohen’s Kappa of 0.991 and 0.993, respectively, indicating almost perfect agreement. Similarly, ICCs of the Nolla scores were 0.999, with P < 0.001 indicating excellent reliability. Thus, data from the first examiner were used for data analysis (Supplementary Table 1).
Table 1 shows that Fishman and Noll Methods showed a close age estimation (median = 11.96 years [11.37–13.03] and 12.00 years [10.00–13.25]), respectively, compared to chronological age. However, looking into the median difference demonstrates that the Nolla method appeared to slightly under-estimate the age (-0.21 [-0.50 to -0.05]) compared to the chronological age, which was slightly over- estimated using the Fishman method (0.17 [-0.72 to 1.27]). Although we observed a significant difference between the estimated age using both Fishman and Nolla methods and the chronological age (P = 0.002 and < 0.001, respectively), the Nolla method was slightly more consistent and accurate across participants. That was supported by the lower MAE the Nolla method had compared to the Fishman method in all participants and in separate male and female cohorts. The age group-specific analysis yielded that the Fishman method tended to over-estimate age in younger age groups, especially for ages 8–9, where the differences (D1) were significantly higher compared to Nolla (a difference of 2.93 and 1.95 for males and females aged 8-8.9). Simultaneously, the Nolla method demonstrated more minor differences from chronological age across age groups, particularly for ages 10–15, suggesting more consistent predictions.
Table 1
Comparison between chronological age, Fishman skeletal age and Nolla dental age of the studied participants
Characteristics
Chronological age
Fishman skeletal age
Nolla dental age
D1
D2
D3
P1
P2
P3
MAE1
MAE2
MAE3
n = 1761
n = 1761
n = 1761
n = 1761
n = 1761
n = 1761
All participants
12.00
[10.02–13.98]
11.96
[11.37–13.03]
12.00
[10.00–13.25]
0.17
[-0.72 to 1.27]
-0.21
[-0.50 to -0.05]
0.30
[-0.25 to 1.23]
0.002*
< 0.001*
< 0.001*
1.059
0.366
1.030
Female
12.00
[10.08–13.97]
11.71
[10.72–12.51]
11.00
[10.00–13.25]
-0.23
[-0.87 to 0.73]
-0.22
[-0.55 to -0.08]
0.04
[-0.49 to 0.89]
0.593
< 0.001*
0.071
0.897
0.386
0.829
Male
12.01
[10.01–13.98]
12.21
[11.78–13.03]
12.00
[10.00–13.25]
0.68
[-0.42 to 1.82]
-0.17
[-0.37 to -0.03]
0.77
[-0.22 to 1.92]
< 0.001*
< 0.001*
< 0.001*
1.221
0.346
1.232
Female age groups (years)
8–8.99
8.28
[8.15–8.68]
10.23
[10.23–10.23]
8.00
[8.00–8.50]
1.95
[1.79 to 2.09]
-0.15
[-0.42 to 0.04]
2.23
[1.72 to 2.23]
< 0.001*
0.220
< 0.001*
1.905
0.440
2.137
9–9.99
9.40
[9.15–9.78]
10.23
[10.23–10.72]
9.00
[9.00–9.50]
0.92
[0.73 to 1.18]
-0.08
[-0.40 to 0.01]
1.23
[0.87 to 1.23]
< 0.001*
0.207
< 0.001*
0.984
0.197
1.163
10–10.99
10.33
[10.23–10.58]
10.72
[10.48–10.87]
10.00
[10.00–10.00]
0.22
[0.01 to 0.61]
-0.28
[-0.50 to -0.11]
0.72
[0.23 to 0.87]
0.259
0.032*
0.014*
0.338
0.380
0.642
11–11.99
11.15
[11.10–11.22]
10.87
[10.80–11.04]
11.00
[11.00–11.00]
-0.25
[-0.43 to -0.17]
-0.21
[-0.72 to -0.08]
0.04
[-0.13 to 0.51]
0.037*
0.003*
1.000
0.424
0.359
0.277
12–12.99
12.33
[12.09–12.50]
11.71
[11.71–11.96]
12.00
[12.00–12.00]
-0.70
[-0.97 to -0.30]
-0.50
[-0.81 to -0.15]
-0.29
[-0.29 to -0.04]
0.002*
0.003*
0.126
0.631
0.540
0.195
13–13.99
13.24
[13.18–13.46]
12.51
[11.96–12.51]
13.00
[13.00–13.00]
-0.99
[-1.20 to -0.71]
-0.24
[-0.42 to -0.06]
-0.49
[-1.04 to -0.49]
0.003*
0.002*
0.002*
0.985
0.259
0.726
14–14.99
14.13
[14.08–14.24]
13.27
[12.89–13.27]
14.00
[14.00–14.00]
-0.96
[-1.61 to -0.78]
-0.22
[-0.91 to -0.11]
-0.73
[-1.04 to -0.73]
0.002*
< 0.001*
0.010*
1.113
0.364
0.911
15–15.99
15.21
[15.05–15.76]
14.89
[13.97–14.89]
15.00
[15.00–15.00]
-0.85
[-1.07 to -0.12]
-0.74
[-0.98 to -0.12]
-0.11
[-0.74 to -0.03]
0.036*
< 0.001*
0.165
0.795
0.548
0.582
Male age groups (years)
8–8.99
8.62
[8.23–8.83]
11.37
[11.37–11.37]
8.00
[8.00–8.00]
2.93
[2.60 to 3.15]
-0.23
[-0.73 to -0.12]
3.37
[3.37 to 3.37]
< 0.001*
0.029*
< 0.001*
2.881
0.470
3.147
9–9.99
9.52
[9.25–9.69]
11.37
[11.37–11.65]
9.00
[9.00–9.00]
1.99
[1.83 to 2.27]
-0.38
[-0.54 to -0.02]
2.37
[2.37 to 2.37]
< 0.001*
0.029*
< 0.001*
2.030
0.426
2.247
10–10.99
10.20
[10.16–10.54]
11.92
[11.65–11.92]
10.00
[10.00–10.50]
1.35
[1.22 to 1.73]
-0.12
[-0.61 to 0.43]
1.92
[0.92 to 1.92]
< 0.001*
0.219
0.002*
1.433
0.591
1.615
11–11.99
11.19
[11.07–11.27]
12.21
[11.92–12.39]
11.00
[11.00–11.00]
1.04
[0.72 to 1.20]
-0.12
[-0.20 to -0.01]
1.21
[0.92 to 1.21]
0.001*
0.029*
0.004*
1.077
0.212
1.091
12–12.99
12.25
[12.10–12.45]
12.57
[12.21–12.75]
12.00
[12.00–12.00]
0.19
[-0.06 to 0.50]
-0.15
[-0.27 to -0.02]
0.21
[0.21 to 0.75]
0.438
0.029*
0.012*
0.355
0.249
0.409
13–13.99
13.21
[13.14–13.24]
12.75
[12.75–13.03]
13.00
[13.00–13.00]
-0.33
[-0.46 to -0.22]
-0.15
[-0.23 to -0.03]
-0.25
[-0.25 to 0.03]
0.009*
0.002*
0.545
0.351
0.161
0.206
14–14.99
14.11
[14.03–14.20]
13.03
[13.03–13.78]
14.00
[14.00–14.00]
-0.98
[-1.02 to -0.40]
-0.11
[-0.21 to -0.02]
-0.25
[-0.97 to -0.22]
0.024*
0.003*
0.101
0.848
0.257
0.669
15–15.99
15.18
[15.08–15.44]
14.43
[14.43–14.43]
15.00
[15.00–15.00]
-0.75
[-0.89 to -0.61]
-0.21
[-0.76 to -0.12]
-0.57
[-0.57 to -0.22]
0.004*
< 0.001*
0.101
0.797
0.397
0.469
n: number; 1 Data is presented as median and interquartile range [IQR]; D1: Difference between Fishman skeletal age and chronological age; D2: Difference between Nolla dental age and chronological age; D3: Difference between Nolla dental age and Fishman skeletal age; P1: Wilcoxon signed rank test between chronological age & Fishman skeletal age; P2: Wilcoxon signed rank test between chronological age & Nolla dental age; P3: Wilcoxon signed rank test between Nolla dental age & Fishman skeletal age; MAE1: mean absolute error Fishman; MAE 2: mean absolute error Nolla; MAE3: mean absolute error Nolla vs. Fishman; *: significant at P < 0.05
Figure 4 illustrates that the Fishman method showed greater variability in its estimates, particularly for younger individuals, with a tendency to overestimate age (showing differences greater than + 2 years), while for older ages, it was more accurate or even slightly underestimates. The Nolla method seemed to have better agreement with the actual age (showing differences around 0), as it afforded more consistent and accurate estimates on a broader range of ages, with fewer extreme differences. Table 2 shows that 47.7% of the studied individuals showed SMI between 1 and 3. Regarding males, there were no significant variations between the chronological age and the Fishman skeletal age in boys with SMI above 3. Similarly, females with SMI between 3 and 5 and above 8 showed comparable skeletal chronological ages (P > 0.05). In early SMI Stages (1–2), the Fishman method significantly overestimated the chronological age. In contrast, this method significantly underestimates chronological age in females in later SMI Stages (6–8). For males, the Fishman skeletal age often closely approximated the chronological age, with no significant differences in most stages. Moreover, it was observed that females approached the different skeletal maturation stages at earlier ages compared to males of the same SMI.
Fig. 4
Bland and Altman plots showing differences between a) Fishman skeletal age and chronological age in all participants, b) Nolla dental age and chronological age in all participants. The middle bold dashed line represents the mean difference, and the two extreme bold dashed lines define the limits of agreement
Bild vergrößern
Table 2
Comparison between chronological age and Fishman skeletal age of the studied participants according to SMI in both gender
SMI
Female
Male
n
Chronological age
Median [IQR]
(min-max)
Fishman skeletal age
Median [IQR]
(min-max)
Test Statistic1
P-value
n
Chronological age
Median [IQR]
(min-max)
Fishman skeletal age
Median [IQR]
(min-max)
Test Statistic1
P-value
1
20
9.03 [8.24 to 9.55]
(8.03–11.02)
10.23 [10.23 to 10.23]
(10.23–10.23)
10.500
< 0.001*
22
9.06 [8.62 to 9.64]
(8.12–11.02)
11.37 [11.37 to 11.37]
(11.37–11.37)
4.107
< 0.000*
2
10
10.20 [9.21 to 10.50]
(8.93–11.15)
10.72 [10.72 to 10.72]
(10.72–10.72)
6.000
0.027*
14
10.35 [9.95 to 10.61]
(8.99–11.28)
11.92 [11.92 to 11.92]
(11.92–11.92)
3.296
< 0.000*
3
8
10.87 [10.08 to 11.17]
(9.95–11.72)
10.87 [10.87 to 10.87]
(10.87–10.87)
15.000
0.742
10
11.64 [11.12 to 12.05]
(10.99–12.36)
12.21 [12.21 to 12.21]
(12.21–12.21)
3.000
0.014*
4
5
11.23 [11.21 to 12.01]
(10.98–12.02)
11.04 [11.04 to 11.04]
(11.04–11.04)
14.000
0.125
13
13.03 [12.25 to 13.21]
(11.19–14.01)
12.75 [12.75 to 12.75]
(12.57–12.75)
51.000
0.735
5
7
12.15 [11.14 to 12.50]
(10.79–12.81)
11.71 [11.71 to 11.71]
(11.71–11.71)
19.000
0.446
10
13.69 [13.14 to 14.04]
(11.99–14.13)
13.03 [13.03 to 13.03]
(13.03–13.03)
42.000
0.160
6
8
13.10 [12.51 to 13.25]
(12.26–14.01)
11.96 [11.96 to 11.96]
(11.96–11.96)
36.000
0.008*
5
14.18 [14.11 to 14.21]
(12.98–15.01)
13.78 [13.78 to 13.78]
(13.78–13.78)
11.000
0.438
7
10
13.33 [13.02 to 13.71]
(11.98–14.12)
12.51 [12.51 to 12.51]
(12.51–12.51)
51.000
0.014*
11
15.12 [14.98 to 15.21]
(11.92–15.55)
14.43 [14.43 to 14.43]
(14.43–14.43)
54.000
0.067
8
8
14.23 [14.09 to 14.60]
(14.02–15.05)
13.27 [13.27 to 13.27]
(13.26–13.27)
36.000
0.008*
2
15.88 [15.76 to 15.99]
(15.76–15.99)
15.19 [15.19 to 15.19]
(15.19–15.19)
3.000
0.500
9
3
15.04 [15.03 to 15.12]
(15.03–15.12)
13.97 [13.97 to 13.97]
(13.97–13.97)
6.000
0.250
0
-
-
-
-
10
7
15.21 [14.91 to 15.74]
(13.95–15.77)
14.89 [14.89 to 14.89]
(14.89–14.89)
21.000
0.297
1
14.91 [14.91 to 14.91]
(14.91–14.91)
16.17 [16.17 to 16.17]
(16.17–16.17)
0.000
1.000
11
2
15.92 [15.86 to 15.98]
(15.86–15.98)
16.51 [16.51 to 16.51]
(16.51–16.51)
0.000
0.500
0
-
-
-
-
n: number; IQR: interquartile range; Min.- Max.: Minimum-Maximum; SMI: Skeletal maturity indicator; 1Wilcoxon signed rank test with continuity correction; *: significant at P < 0.05
A comparison of chronological age and Nolla dental age across different Nolla scores for both female and male participants is shown in Table 3. Generally, the Nolla method underestimated the chronological age, with the degree of significance varying across stages and sexes. However, there were no significant variations between the chronological age and Nolla dental age in males, showing Nolla scores between 121 and 135.1 (P > 0.05). Nevertheless, based on the findings above, chronological age estimation using the dental and skeletal maturation showed better results closer to the actual age among boys aged between 10 and 13 years (Nolla score) and above SMI 3 than girls.
Table 3
Comparison between chronological age and Nolla dental age of the studied participants according to Nolla scores in both gender
Female
Male
Nolla Score
n
Chronological age
Median [IQR]
(min-max)
Nolla dental age
Median [IQR]
(min-max)
Test Statistic1
P-value
Nolla Score
n
Chronological age Median [IQR]
(min-max)
Nolla dental age Median [IQR]
(min-max)
Test Statistic1
P-value
e (101.9)
2
8.12 [8.03 to 8.20]
(8.03–8.20)
7.00 [7.00 to 7.00]
(7.00–7.00)
3.000
0.500
E (94.2)
0
-
-
-
-
f (112.3)
6
8.22 [8.14 to 8.36]
(8.12–8.42)
8.00 [8.00 to 8.00]
(8.00–8.00)
21.000
0.031*
F (104.5)
9
8.26 [8.22 to 8.73]
(8.12–8.91)
8.00 [8.00 to 8.00]
(8.00–8.00)
45.000
0.004*
g (118)
11
9.21 [9.01 to 9.50]
(8.93–10.24)
9.00 [9.00 to 9.00]
(9.00–9.00)
60.000
0.014*
G (113.3)
12
9.51 [9.11 to 9.69]
(8.89–10.20)
9.00 [9.00 to 9.00]
(9.00–9.00)
74.500
0.006*
h (127.7)
14
10.25 [9.99 to 10.50]
(8.97–11.15)
10.00 [10.00 to 10.00]
(10.00–10.00)
86.000
0.035*
H (121)
8
10.10 [9.97 to 10.51]
(8.99–10.61)
10.00 [10.00 to 10.00]
(10.00–10.00)
25.000
0.383
i (130.3)
12
11.18 [11.07 to 11.48]
(10.79–12.02)
11.00 [11.00 to 11.00]
(11.00–11.00)
70.000
0.017*
I (126.6)
12
11.07 [10.79 to 11.20]
(9.95–11.28)
11.00 [11.00 to 11.00]
(11.00–11.00)
45.000
0.666
j (135.7)
9
12.35 [12.15 to 12.50]
(11.98–12.81)
12.00 [12.00 to 12.00]
(12.00–12.00)
43.000
0.018*
J (131.6)
11
12.15 [12.02 to 12.27]
(10.99–12.95)
12.00 [12.00 to 12.00]
(12.00–12.00)
54.000
0.068
k (138.1)
11
13.24 [13.06 to 13.42]
(12.33–13.71)
13.00 [13.00 to 13.00]
(13.00–13.00)
56.000
0.045*
K (135.1)
14
13.15 [13.01 to 13.23]
(11.92–14.01)
13.00 [13.00 to 13.00]
(13.00–13.00)
77.000
0.132
l (139.1)
14
14.18 [14.05 to 14.91]
(13.95–15.05)
14.00 [14.00 to 14.00]
(13.00–14.00)
102.500
0.002*
L (137.5)
11
14.11 [14.02 to 14.21]
(13.97–15.01)
14.00 [14.00 to 14.00]
(14.00–14.00)
63.000
0.005*
m (139.6)
9
15.22 [15.12 to 15.77]
(15.01–15.98)
15.00 [15.00 to 15.00]
(15.00–15.00)
45.000
0.004*
M (139)
11
15.18 [15.04 to 15.55]
(14.91–15.99)
15.00 [15.00 to 15.00]
(15.00–15.00)
63.000
0.005*
n: number; IQR: interquartile range; Min.- Max.: Minimum-Maximum; e-m: Nolla scores for female; E-M: Nolla scores for male; 1Wilcoxon signed rank test with continuity correction; *: significant at P < 0.05
Table 4 and 5 depict the association between Fishman SMI and Nolla Dental Score in females and males. There was a strong association between dental development (Nolla scores) and skeletal maturation (SMI), with both measures showing parallel progress toward full maturation in both females and males. The females showed a clear progression from early Nolla scores (e, f, g), associated with early SMI stages (SMI 1), to later Nolla scores (l) associated with higher SMIs (SMI 8, SMI 9, SMI 10, SMI 11). In males, a similar trend was observed with early Nolla scores (F, G) primarily associated with SMI 1, and later Nolla stage (M) corresponding to higher SMI stages (SMI 7, SMI 8, SMI 10).
Table 4
The association between Fishman skeletal maturity indicators and Nolla dental score (e-m) in females
Nolla Score
SMI in female participants
SMI 1
SMI 2
SMI 3
SMI 4
SMI 5
SMI 6
SMI 7
SMI 8
SMI 9
SMI 10
SMI 11
e (101.9)
2 (10%)
0 (0%)
0 (0%)
0 (0%)
0 (0%)
0 (0%)
0 (0%)
0 (0%)
0 (0%)
0 (0%)
0 (0%)
f (112.3)
6 (30%)
0 (0%)
0 (0%)
0 (0%)
0 (0%)
0 (0%)
0 (0%)
0 (0%)
0 (0%)
0 (0%)
0 (0%)
g (118)
9 (45%)
0 (0%)
0 (0%)
2 (20%)
0 (0%)
0 (0%)
0 (0%)
0 (0%)
0 (0%)
0 (0%)
0 (0%)
h (127.7)
3 (15%)
0 (0%)
0 (0%)
7 (70%)
4 (50%)
0 (0%)
0 (0%)
0 (0%)
0 (0%)
0 (0%)
0 (0%)
i (130.3)
0 (0%)
0 (0%)
0 (0%)
1 (10%)
4 (50%)
5 (100%)
2 (29%)
0 (0%)
0 (0%)
0 (0%)
0 (0%)
j (135.7)
0 (0%)
0 (0%)
0 (0%)
0 (0%)
0 (0%)
0 (0%)
5 (71%)
3 (38%)
1 (10%)
0 (0%)
0 (0%)
k (138.1)
0 (0%)
0 (0%)
0 (0%)
0 (0%)
0 (0%)
0 (0%)
0 (0%)
4 (50%)
7 (70%)
0 (0%)
0 (0%)
l (139.1)
0 (0%)
2 (29%)
0 (0%)
0 (0%)
0 (0%)
0 (0%)
0 (0%)
1 (13%)
2 (20%)
8 (100%)
1 (33%)
m (139.6)
0 (0%)
5 (71%)
2 (100%)
0 (0%)
0 (0%)
0 (0%)
0 (0%)
0 (0%)
0 (0%)
0 (0%)
2 (67%)
SMI: Skeletal maturity indicator; e-m: Nolla scores for female
Table 5
The association between Fishman skeletal maturity indicators and Nolla dental score (F-M) in males
Nolla score
SMI in male participants
SMI 1
SMI 2
SMI 3
SMI 4
SMI 5
SMI 6
SMI 7
SMI 8
SMI 9
F (104.5)
9 (41%)
0 (0%)
0 (0%)
0 (0%)
0 (0%)
0 (0%)
0 (0%)
0 (0%)
0 (0%)
G (113.3)
11 (50%)
1 (7.1%)
0 (0%)
0 (0%)
0 (0%)
0 (0%)
0 (0%)
0 (0%)
0 (0%)
H (121)
1 (4.5%)
7 (50%)
0 (0%)
0 (0%)
0 (0%)
0 (0%)
0 (0%)
0 (0%)
0 (0%)
I (126.6)
1 (4.5%)
6 (43%)
4 (40%)
1 (7.7%)
0 (0%)
0 (0%)
0 (0%)
0 (0%)
0 (0%)
J (131.6)
0 (0%)
0 (0%)
6 (60%)
4 (31%)
1 (10%)
0 (0%)
0 (0%)
0 (0%)
0 (0%)
K (135.1)
0 (0%)
0 (0%)
0 (0%)
8 (62%)
4 (40%)
1 (20%)
1 (9.1%)
0 (0%)
0 (0%)
L (137.5)
0 (0%)
0 (0%)
0 (0%)
0 (0%)
5 (50%)
4 (80%)
2 (18%)
0 (0%)
0 (0%)
M (139)
0 (0%)
0 (0%)
0 (0%)
0 (0%)
0 (0%)
0 (0%)
8 (73%)
2 (100%)
1 (100%)
SMI: Skeletal maturity indicator; F-M: Nolla scores for male
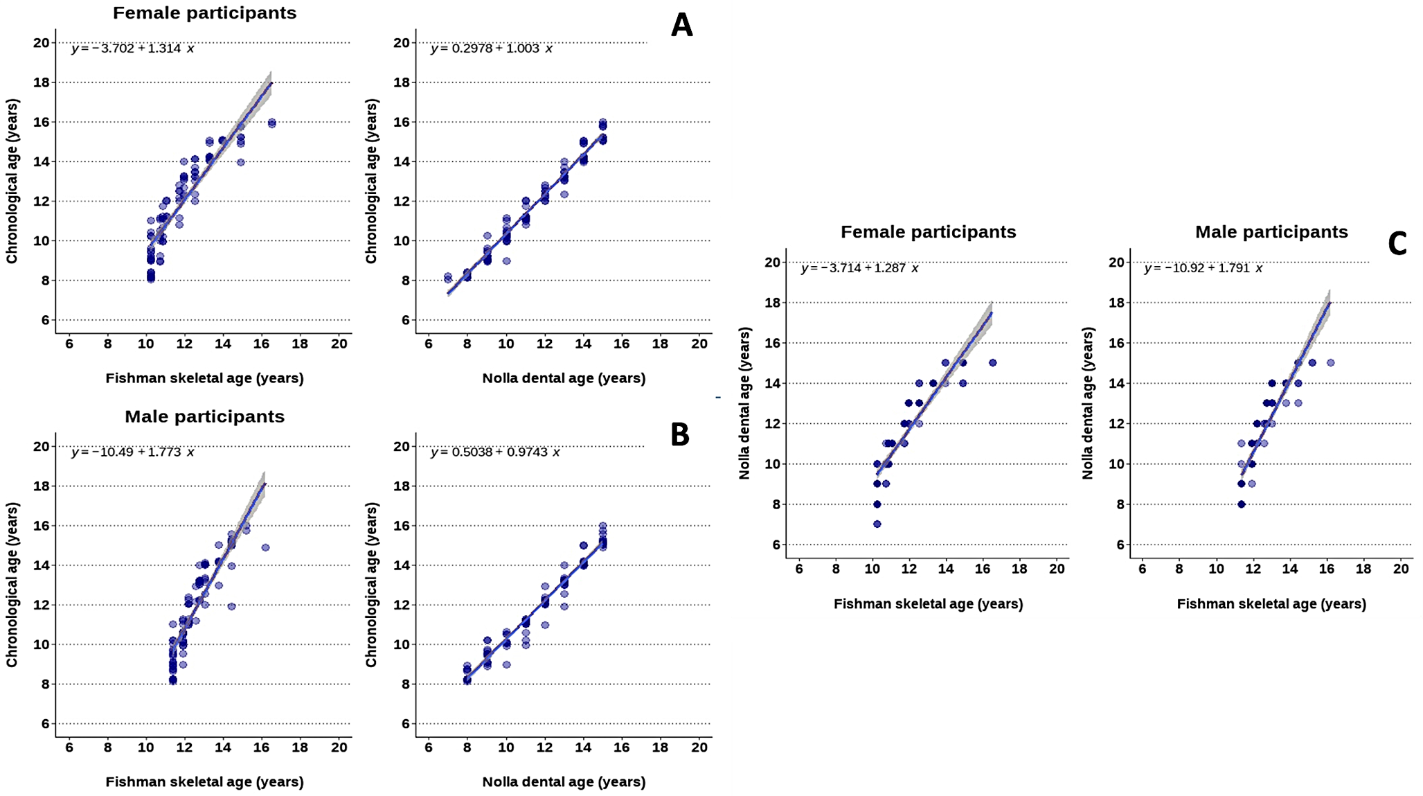
Inspecting Fig. 5 conveys that, among females and males, there was a significant positive correlation between chronological age, Fishman skeletal age, and Nolla dental age. A similar correlation was observed between Fishman skeletal age and Nolla dental age (P < 0.001). Correlating the estimated age using the Fishman method and the chronological age showed an ICC of 0.854 (0.786–0.902) and 0.660 (0.524–0.763) for females and males, respectively. Similarly, the ICC between the estimated age using the Nolla method and the chronological age were 0.973 (0.96–0.982) and 0.977 (0.965–0.985) for females and males, respectively (P < 0.001). The estimated age by the Fishman method was positively correlated with the corresponding age assessed by the Nolla method among females (ICC of 0.846, 95% CI = 0.774–0.896) and males (ICC of 0.618, 95% CI = 0.471, 0.732). The ICC analyses elucidated that the Nolla method exhibited better ICC coefficients than the Fishman method.
Fig. 5
Graphical representation of the Spearman correlation between a) The chronological age and both of Fishman skeletal age and Nolla dental age in female participants, b) The chronological age and both of Fishman skeletal age and Nolla dental age in male participants, c) The Fishman skeletal age and Nolla dental age in both female and male participants
Bild vergrößern
Table 6 displays four models established for predicting the chronological age in females. The model adopting the Fishman skeletal age significantly estimated chronological age. For each unit increase in skeletal age, chronological age increased by 1.314 years. This model explained about 82.9% variance in chronological age. The other model using the Nolla dental age was another significant predictor of chronological age, with each unit increase in dental age corresponding to a nearly identical increase in chronological age (1.003 years), and R2 = 0.969. The low AIC = 96 suggests a better fit than the skeletal age model. The third model adopted specific weights for different stages of skeletal maturity (SMI stages 2 to 11), and it explained about 91.7% of the variance. Its performance is midway better than the first model (skeletal age) but worse than the second model (dental age). The fourth model using different Nolla scores, “Chronological age = 8.115 + weighted values for Nolla scores (f to m)”, showed the best performance among the four established models, the highest R² (0.973) and low AIC (96), indicating this model fitted the data best.
Table 6
Linear regression analysis for the prediction of the chronological age in female participants from both studied methods
Models of female participants
Predictors
B
SE
95% CI
t
P-value
R2
AIC
Equation to predict chronological age
Model (skeletal age)
Intercept
-3.702
0.769
-5.230, -2.174
-4.816
< 0.001*
0.829
245
-3.702 + 1.314 x Fishman skeletal age
Fishman skeletal age
1.314
0.064
1.186, 1.442
20.421
< 0.001*
Model (dental age)
Intercept
0.298
0.229
-0.157, 0.753
1.301
0.197
0.969
96
0.298 + 1.003 x Nolla dental age
Nolla dental age
1.003
0.020
0.965, 1.042
51.448
< 0.001*
Model (SMI)
Intercept
9.071
0.157
8.758, 9.383
57.856
< 0.001*
0.917
199
9.071+ 0.982 x SMI 2 + 1.667 X SMI 3 + 2.420 x SMI 4 + 2.915 x SMI 5 + 3.926 x SMI 6 + 4.194 x SMI 7 + 5.292 x SMI 8 + 5.993 x SMI 9 + 6.045 x SMI 10 + 6.850 x SMI 11
SMI 2
0.982
0.272
0.441, 1.522
3.614
0.001*
SMI 3
1.667
0.293
1.083, 2.251
5.684
< 0.001*
SMI 4
2.420
0.351
1.721, 3.118
6.902
< 0.001*
SMI 5
2.915
0.308
2.302, 3.528
9.468
< 0.001*
SMI 6
3.926
0.293
3.342, 4.510
13.385
< 0.001*
SMI 7
4.194
0.272
3.654, 4.735
15.447
< 0.001*
SMI 8
5.292
0.293
4.708, 5.876
18.043
< 0.001*
SMI 9
5.993
0.434
5.128, 6.857
13.805
< 0.001*
SMI 10
6.045
0.308
5.432, 6.658
19.633
< 0.001*
SMI 11
6.850
0.520
5.814, 7.885
13.173
< 0.001*
Model (Nolla score)
Intercept
8.115
0.279
7.560, 8.670
29.108
< 0.001*
0.973
96
8.115 + 0.130 x f + 1.176 x g + 2.153 x h + 3.182 x i + 4.243 x j + 5.079 x k + 6.244 x l + 7.324 x m
f
0.130
0.322
-0.511, 0.771
0.404
0.687
g
1.176
0.303
0.573, 1.779
3.880
< 0.001*
h
2.153
0.298
1.560, 2.746
7.223
< 0.001*
i
3.182
0.301
2.582, 3.781
10.566
< 0.001*
j
4.243
0.308
3.629, 4.856
13.766
< 0.001*
k
5.079
0.303
4.475, 5.682
16.757
< 0.001*
l
6.244
0.298
5.651, 6.838
20.951
< 0.001*
m
7.324
0.308
6.710, 7.937
23.762
< 0.001*
SMI: Skeletal maturity indicator; f-m: Nolla scores for female; B: regression coefficient; SE: standard error of B; CI: confidence interval; AIC: Akaike information criteria; *: significant at P < 0.05
Table 7 shows four models that adopted different predictors: The Fishman skeletal age, Nolla dental age, Skeletal Maturity Index (SMI), and Nolla score. The model incorporating only the Nolla score was the most accurate predictor of chronological age in male participants, owing to its highest R² (0.968) and lowest AIC (106). The other dental age model also performed well, with a slightly lower R² (0.962). Nevertheless, the model incorporating the SMI performed well (R² = 0.899), while the model using the skeletal age showed the least predictive accuracy (R² = 0.816) compared to the other models.
Table 7
Linear regression analysis for the prediction of the chronological age in male participants from both studied methods
Models of male participants
Predictors
B
SE
95% CI
t
P-value
R2
AIC
Equation to predict chronological age
Model (skeletal age)
Intercept
-10.487
1.148
-12.769, -8.205
-9.135
< 0.001*
0.816
248
-10.487 + 1.773 x Fishman skeletal age
Fishman skeletal age
1.773
0.091
1.593, 1.953
19.538
< 0.001*
Model (dental age)
Intercept
0.504
0.249
0.009, 0.999
2.022
0.046*
0.962
110
0.504 + 0.974 x Nolla dental age
Nolla dental age
0.974
0.021
0.933, 1.016
46.394
< 0.001*
Model (SMI)
Intercept
9.155
0.160
8.837, 9.473
57.363
< 0.001*
0.899
209
9.155 + 1.162 x SMI 2 + 2.469 x SMI 3 + 3.670 x SMI 4 + 4.298 x SMI 5 + 4.943 x SMI 6 + 5.616 x SMI 7 + 6.720 x SMI 8 + 5.755 x SMI 10
SMI 2
1.162
0.256
0.653, 1.672
4.541
< 0.001*
SMI 3
2.469
0.285
1.901, 3.037
8.648
< 0.001*
SMI 4
3.670
0.262
3.149, 4.192
14.016
< 0.001*
SMI 5
4.298
0.285
3.730, 4.866
15.054
< 0.001*
SMI 6
4.943
0.371
4.205, 5.681
13.328
< 0.001*
SMI 7
5.616
0.276
5.066, 6.166
20.316
< 0.001*
SMI 8
6.720
0.553
5.620, 7.820
12.155
< 0.001*
SMI 10
5.755
0.765
4.232, 7.278
7.519
< 0.001*
Model (Nolla score)
Intercept
8.450
0.140
8.172, 8.728
60.518
< 0.001*
0.968
106
8.450 + 1.036 x G + 1.642 x H + 2.463 x I + 3.663 x J + 4.635 x K + 5.796 x L + 6.847 x M
G
1.036
0.185
0.668, 1.403
5.608
< 0.001*
H
1.642
0.204
1.237, 2.048
8.070
< 0.001*
I
2.463
0.185
2.095, 2.830
13.332
< 0.001*
J
3.663
0.188
3.288, 4.037
19.454
< 0.001*
K
4.635
0.179
4.279, 4.991
25.899
< 0.001*
L
5.796
0.188
5.422, 6.171
30.787
< 0.001*
M
6.847
0.188
6.473, 7.222
36.369
< 0.001*
SMI: Skeletal maturity indicator; G-M: Nolla scores for male; B: regression coefficient; SE: standard error of B; CI: confidence interval; AIC: Akaike information criteria; *: significant at P < 0.05
Table 8 shows that among both sexes, combining the Nolla score and SMI in one model did not yield superior performance compared to using the Nolla score alone. The model incorporating skeletal maturation indicators, and dental developmental scores exhibited R² of 0.971, an AIC of 101 in females and R² of 0.968 and an AIC of 106 in males. These values were slightly lower or equal to the performances adopted by the model using the Nolla score only. Besides, the SMI contribution in the combined model was minimal and did not significantly enhance prediction accuracy over dental mineralization alone. This suggests that, in this dataset, the Nolla score was a more robust and precise age predictor.
Table 8
Linear regression analysis for the model predicting the chronological age using SMI and Nolla score in both sexes
Parameters included in the model (SMI and Nolla score)
Predictors
B
SE
95% CI
t
P-value
R2
AIC
Equation to predict chronological age
Female
Intercept
8.115
0.274
7.568, 8.662
29.618
< 0.001*
0.971
101
8.115–0.333 x SMI 2–0.286 x SMI 3–0.041 x SMI 4 -0.566 x SMI 5–0.637 x SMI 6–0.682 x SMI 7–0.384 x SMI 8–0.130 x SMI 9–0.110 x SMI 10 + 0.503 x SMI 11 + 0.130 x f + 1.236 x g + 2.401 x h + 3.416 x i + 4.845 x j + 5.744 x k + 6.632 x l + 7.302 x m
SMI 2
-0.333
0.199
-0.729, 0.064
-1.671
0.099
SMI 3
-0.286
0.253
-0.792, 0.220
-1.129
0.263
SMI 4
-0.041
0.335
-0.710, 0.628
-0.124
0.902
SMI 5
-0.566
0.397
-1.358, 0.225
-1.427
0.158
SMI 6
-0.637
0.477
-1.588, 0.315
-1.335
0.186
SMI 7
-0.682
0.496
-1.672, 0.309
-1.373
0.174
SMI 8
-0.384
0.548
-1.478, 0.709
-0.701
0.486
SMI 9
-0.130
0.603
-1.333, 1.073
-0.216
0.830
SMI 10
-0.110
0.583
-1.273, 1.053
-0.188
0.851
SMI 11
0.503
0.655
-0.803, 1.809
0.768
0.445
f
0.130
0.316
-0.501, 0.761
0.411
0.682
g
1.236
0.300
0.638, 1.835
4.121
< 0.001*
h
2.401
0.331
1.740, 3.061
7.252
< 0.001*
i
3.416
0.397
2.625, 4.208
8.609
< 0.001*
j
4.845
0.512
3.823, 5.868
9.456
< 0.001*
k
5.744
0.565
4.616, 6.871
10.163
< 0.001*
l
6.632
0.597
5.440, 7.823
11.103
< 0.001*
m
7.302
0.655
5.996, 8.608
11.156
< 0.001*
Male
Intercept
8.450
0.134
8.183, 8.717
63.111
< 0.001*
0.968
106
8.450 − 0.067 x SMI 2 + 0.271 x SMI 3 + 0.616 x SMI 4 + 0.240 x SMI 5 + 0.389 x SMI 6 + 0.094 x SMI 7 + 0.768 x SMI 8–0.197 x SMI 10 + 1.041 x G + 1.701 x H + 2.354 x I + 3.269 x J + 4.180x K + 5.529 x L + 6.657 x M
SMI 2
-0.067
0.247
-0.559, 0.425
-0.270
0.788
SMI 3
0.271
0.319
-0.366, 0.907
0.848
0.399
SMI 4
0.616
0.361
-0.103, 1.335
1.709
0.092
SMI 5
0.240
0.401
-0.560, 1.039
0.598
0.552
SMI 6
0.389
0.443
-0.494, 1.272
0.877
0.383
SMI 7
0.094
0.459
-0.821, 1.009
0.205
0.838
SMI 8
0.768
0.558
-0.345, 1.881
1.375
0.173
SMI 10
-0.197
0.626
-1.446, 1.051
-0.315
0.754
G
1.041
0.178
0.686, 1.397
5.840
< 0.001*
H
1.701
0.291
1.120, 2.281
5.843
< 0.001*
I
2.354
0.293
1.770, 2.938
8.040
< 0.001*
J
3.269
0.368
2.535, 4.004
8.874
< 0.001*
K
4.180
0.403
3.377, 4.984
10.371
< 0.001*
L
5.529
0.442
4.649, 6.410
12.518
< 0.001*
M
6.657
0.499
5.663, 7.652
13.342
< 0.001*
SMI: Skeletal maturity indicator; f-m: Nolla scores for female; G-M: Nolla scores for male; B: regression coefficient; SE: standard error of B; CI: confidence interval; AIC: Akaike information criteria; *: significant at P < 0.05
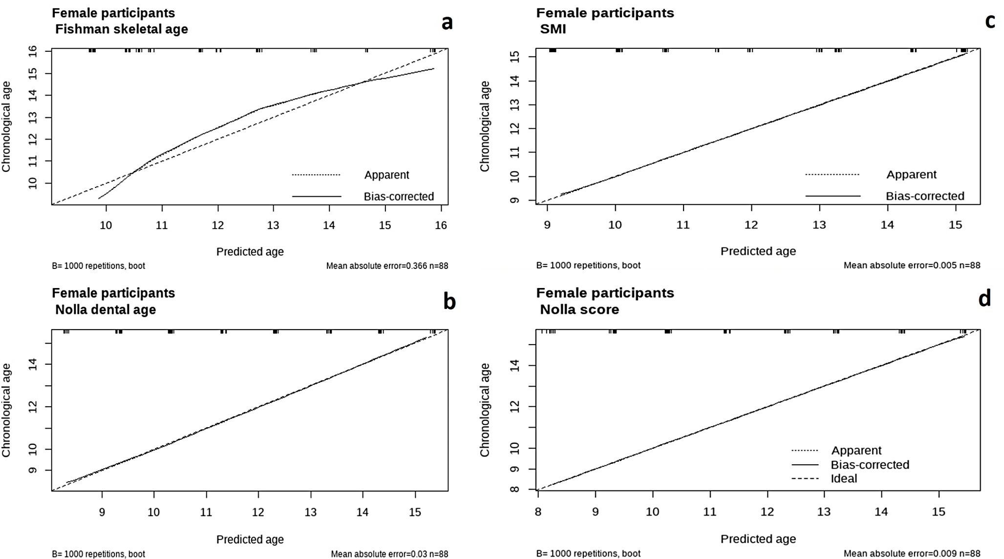
The calibration of the eight proposed models shown in Figs. 6 and 7 shows that the models adopting the Nolla dental age and Nolla score exhibited exceptionally high performances with minimal prediction errors among female and male participants. The model using the SMI showed very close alignment to the ideal prediction line and low mean absolute errors, indicating strong prediction capability. Eventually, the Fishman skeletal age model showed moderate errors (MAE = 0.366 in females versus 0.349 in males), with a tendency to overestimate at younger ages and underestimate at older ages for both males and females. Overall, the models adopting the Nolla score were the most reliable for estimating the chronological age in both male and female participants, followed closely by the models including the Nolla dental age and SMI model. The calibration of the model incorporating SMIs and Nolla scores is shown in Fig. 8, displaying MAE that is approximately identical to the model using the Nolla Score alone (0.008 in females and 0.011 in males).
Fig. 6
Calibration of the proposed models in female participants a) Fishman skeletal age model, b) Nolla dental age model, c) Skeletal maturity indicator model, d) Nolla score model
Bild vergrößern
Fig. 7
Calibration of the proposed models in male participants a) Fishman skeletal age model, b) Nolla dental age model, c) Skeletal maturity indicator model, d) Nolla score model
Bild vergrößern
Fig. 8
Calibration of the proposed models predicting the chronological age using SMI and Nolla Score in a) Female participants, b) Male participants
Bild vergrößern

Discussion

Despite of its significance, chronological age per se is of low importance and does not reflect the actual developmental stage of children [46]. Thus, more reliable age estimation depends on biological evidence, including somatic, skeletal, dental, and sexual development. There is an increasing demand to establish more reliable age estimation methods with less liability for errors. Combining different methods increases the reliability and decreases the margin of errors, allowing more precise age estimation [26]. No agreement exists on the most accurate and reliable method to estimate chronological age [47]. Although some studies have been aimed at validating the skeletal and dental mineralization for age prediction among different populations, these results showed inconsistent findings [16, 32].
The current study aimed to compare the performance of two established methods showing skeletal maturation and dental mineralization as age predictors. Moreover, to assess if combining both methods would offer more reliable and accurate age estimation. According to our study results, although there were significant differences between the chronological age from one side and the skeletal and dental ages from the other, both adopted methods are still valid age predictors with variable sex and age group accuracy. However, depending on the dental mineralization, the age estimation using the Nolla method showed superior performance compared to skeletal maturation using the Fishman method. However, both methods significantly correlated with the chronological age and each other. Among the proposed models, the obtained findings conveyed that the Nolla score model showed the highest performance, and the lowest errors compared to the other models.
In agreement with the findings obtained, where both investigated methods showed variable errors differed according to age group and sex, previous literature acknowledged that there are generally slight variations between skeletal and dental ages and chronological ages [33]. Ideally, the estimation error correlation coefficient for a perfect age-assessing tool should be 0, denoting a precise estimation for all ages under assessment [48]. However, these ideal situations are seldom met. Pereira et al. assessed five different dental scoring systems (Mincer with 5 stages, Kullman with 7 stages, Demirjian with 8 stages, Köhler with 10 stages, Haaviko with 11 stages, Moorrees, Fanning and Hunt (MFH) with 14 stages, and Gleiser and Hunt with 15 stages) and found that all investigated methods showed statistically significant differences between the estimated age and the chronological age, which support the presence of estimation errors [49]. Nevertheless, great variations of dental and skeletal age from the actual chronological age suggest pathological disorders [33]. Typically, the skeletal age varies from the chronological age by about ± 10% [50]. From the forensic point of view, a difference of one year between the chronological age and dental age was considered acceptable for age estimation by legal authorities [51].
The Fishman method utilizes the SMIs to estimate the chronological age using hand and wrist radiography [17]. The Fishman method showed high accuracy in estimating the age with no significant variations between skeletal age and actual age among Indian children [32]. On the contrary, this method was less accurate in Indonesian and Lebanese children [16, 52]. In line with the present study, the Fishman method overestimated the age, particularly in young children aged around 10 years [30]. Saade et al. criticized the Fishman method for overestimating the age in higher age groups (8–16 years) in the Lebanese population [16], as well as Bhadana et al. in Indian boys and girls [46]. Conversely, although the Fishman method was successfully applied to estimate the chronological age among South Indian children, it displayed an age underestimation with a low mean difference of about 0.4 years in males and 0.3 years in females [32]. Similar findings were obtained elsewhere [30, 31]. Apart from ethnicity, the observed discrepancy in different populations might be attributed to variations in the sample size, socioeconomic standards, and health conditions [30].
The Nolla method, a dental age estimation tool based on radiography of the observed calcification status in permanent teeth, is particularly practical for forensic age estimation [36]. Its high reliability, indicated by the low intra-observer error, and performance comparable to more complex methods, make it a preferred choice [53]. Caro and Contreras reported higher accuracy in age estimation using the Nolla method compared to other methods they examined [54]. Moreover, Nolla method offers two more degrees of mineralization of the crown than the well-known Demirjian method [22, 23].
Due to the very low variability shown by the Nolla method in the present study, as indicated by Bland and Altman plots, this method seemed to be a better predictor for actual age than the Fishman method. This conclusion was rooted in the fact that the preference for the age-identifying method is based on its accuracy and precision. Accuracy stands for ‘‘the closeness of a computed value to its true value’’ which is indicated in the present study by the difference in the means [55]. At the same time, precision describes the observed variations between the standard and sample population [56]. To our knowledge, no previous studies estimated age using the Nolla method among Egyptian populations. Thus, we can only describe the Nolla method as an accurate rather than precise age-estimating method.
However, the precision of the Nolla method was criticized. Nolla method permits the investigator to opt between 10 different stages but besides offers three inter stage options for each stage, which increase the number of stages to 40, which was shown to decrease precision [57, 58]. Nolla method possesses several other limitations. Involving the arbitrary full root length measurements in one of them. Besides, this method estimates the age in years only without considering months. The Nolla method seems more accurate in older age due to the observed narrower scores with age advancement [31].
Few studies have investigated the Nolla method’s utility in predicting the chronological age amongst different populations [23]. The Nolla method showed an underestimation of age among Turkish, Brazilian, Bangladeshi, British, Caucasian, Portuguese, Spanish, Malaysian, and Yemeni children [11, 22, 23, 31, 56, 59, 60]. Maber et al. reported a mean difference of 0.87 years for boys and 1.18 years for girls, which was higher than the means reported in the current study. They observed that this underestimation was evident in all ages and increased with the advancement of age [56]. The reason behind this underestimation can be attributed to the difficulty in evaluating the small apex opening, which is commonly closed or even fully closed in older ages [48]. Miloglu reported a mean difference of -0.3 years in Turkish children, which is also higher than the total difference in the mean reported in the present study [22]. Inversely, Holtgrave reported age overestimation among European boys [61]. Partially inconsistent with these speculations, Freitas et al. reported age overestimation in young children and age underestimation in older children among Brazilian children [62]. However, the Nolla method accurately estimated the chronological age among European girls [61].
The current study revealed that dental age was more accurate as a chronological age predictor than skeletal age. These results were concordant with those of Mollabashi et al., who owed the superior performance of dental methods to the significant influence of health conditions and environmental alterations on skeletal maturation [63]. Nonetheless, these findings contradicted Cummaudo et al., who mentioned that although the age estimation using radiological methods exhibited large error ranges, these methods remained more reliable and quantifiable than other methods of age estimation [64]. Likewise, Alqadi and Abuaffa found that despite the higher R2 for the Demirjian method than the Fishman method for both sexes, the Fishman skeletal age estimation was more accurate than dental in Yemeni female children [30]. The same findings were reported elsewhere [16].
Although we tried to obtain a more precise and accurate age predictor model by combining SMI and Nolla scores, our findings failed to prove the superior performance of this inclusive model compared to the model using Nolla scores alone. Concordant with the present study, Sachan et al. mentioned that there is no need to obtain more radiographs on different bone areas if the patient underwent panoramic radiographs showing the different calcification stages of canines [33]. Apart from being non-invasive, another advantage of using dental mineralization in age estimation is the minimal risk of tissue damage and the low dose of radiation the individual is exposed to radiation [65]. This came in contrast to previous studies that recommended using another tool to assess the developmental maturation of another structure, like the teeth, to confirm the chronological age when skeletal age is consensus reached [16]. The previous literature supported the idea that combining dental and skeletal maturity stages is a reliable tool for age estimation in pediatrics [63, 66, 67].
As per the current study, the skeletal age, assessed by the Fishman method, and the dental age, assessed by several methods, exhibited a significant correlation with the chronological age [46]. Consistently, Alqadi and Abuaffan conveyed similar significant correlations between chronological age and skeletal and dental ages using the same methods adopted in the present study [31]. Flores et al. reported that maxillofacial growth velocity is directly proportional to the SMI in wrist radiography [18]. Unlike some dental age assessing methods, Bhadana et al. denied a significant correlation between the assessed skeletal age using the Fishman method and the chronological age [46]. Nonetheless, chronological age was correlated neither with dental development nor skeletal maturation in healthy Indian children [33].
In line with the present study, literature reported a significant correlation between skeletal age (SMI) assessed by the Fishman method and dental development assessed by different methods, including the Nolla, Demirjian, and Willem’s methods [25, 46, 68]. Sachan et al. reported a correlation coefficient of 0.635 and 0.891 between canine calcification, assessed by Nolla, and SMI, assessed by Fishman, for males and females, respectively [33]. The described correlations between dental and bony maturations were neither restricted to one method nor one anatomical site. Chaudhry et al. reported that dental age based on calcification of permanent teeth (using Demirjian method) significantly correlated with the ossification of carpal bones showed by radiography (r = 0.752). Moreover, dental and skeletal ages correlated similarly with chronological ages (r = 0.650, r = 0.620, respectively) [66]. The grade of second molar calcification and cervical vertebrae maturation exhibited a similar positive correlation (r = = 0.618) [26].
While we observed that females approached the different SMIs earlier than males, these differences were less apparent when the dental age was assessed, where the girls and boys showed very close medians of chronological ages. Fishman acknowledged the sex variations in the skeletal age, including the age of onset and the progression of bony maturation. They concluded that these variations are mostly evident around the time of the accelerated growth velocity [17]. The bone maturation process takes longer in males [9], which was agreed in previous studies [33, 69, 70]. Similarly, Brotons et al. reported that females approach the different stages of skeletal maturation earlier than males [26].
Consistently, two previous studies denied significant sex differences in dental mineralization using the Nolla method [22, 59]. Indeed, earlier dentation in females was well recognized [57]. Dental mineralization also exhibits similar sexual variances, where teeth mineralization in females precedes the males. However, the early phases of dental mineralization are very close for both sexes up to puberty, where the girls exhibit greater development [71]. Among Coroatain children, there were significant sex differences in the mineralization of the mandibular wisdom tooth [53]. It was previously recognized that there were sex variations in dental mineralization, with girls generally showing faster growth rates [72]. Holtgrave et al. mentioned that dental mineralization in boys is comparable to that in girls only until the age of 9–10 in the former. After that age, there were significant sex variations; hence, the Nolla method and other methods used in dental mineralization are more accurate in younger ages [36, 61].
The current study proved that the chronological age estimation using dental and skeletal maturation showed better results closer to the actual age among boys than girls. Likewise, Maber et al. and Miloglu et al. et al. reported better age estimation using the Nolla method among boys than girls [22, 56]. An earlier study conveyed that the Nolla method was an accurate age predictor in girls only up to late childhood, approximately ten years [23]. Inversely, Alqadi and Abuaffan concluded that the Fishman method was more precise in Yemeni girls than boys, in which the chronological and dental ages did not vary significantly among girls aged 11–14 years [31]. The skeletal age matched the chronological ages of Indian girls aged 12, 13 and 14 [32].
The present study showed better performance of the proposed models than previous studies. Alqadi and Abuaffan reported adjusted R2 values of 55% for females and 61% for males using the Fishman skeletal method [30]. The same authors in another recent study among Yemeni children reported R2 between 0.55 and 0.61 for an age prediction model based on the Fishman method and R2 between 0.77 and 0.79 for another model using the Nolla method, confirming the superior performance of dental age [31]. Cortés et al. established a formula for estimating the chronological age using the dental age assessed by the Nolla method. Their models yielded lower performance (adjusted R2 of 0.7371 in Spanish girls and 0.7850 in boys) compared to the present study [11]. Mostad et al., introduced a mathematical model to help make optimal decisions in forensic age assessment. Although they reported a weak positive conditional correlation between the maturity of the distal femur and the third molar, they advised combining sound radiological methods, statistical analysis, and presenting the results to describe the obtained findings as an age assessment model [73].

Limitations and recommendations

Among the limitations of the current study is the negligence of multiple confounders, including the hereditary, environmental, functional, nutritional, and metabolic alterations and any present pathological conditions that might influence the process of skeletal and dental development [11, 48]. Additionally, some selection bias may result from recruiting the sample from orthodontic cases. Determining the chronological age, as per birth proofs, as an expression of an individual’s real age was an inherent limitation. In some cases, the recorded chronological age may not precisely reflect the actual age if the birth record was issued later than the day of birth. So, the documented chronological age may not accurately reflect the actual age, leading to potential discrepancies in age estimation studies. Another limitation is that assessing the age using SMIs necessitated performing additional hand and wrist radiography, which might be inaccessible, particularly in rural settings. The lack of explicit references specified for different populations reduces the untrustworthiness of using skeletal age as an absolute age predictor [74].
This study acknowledges the difference in the biological processes of teeth mineralization and bony maturation. These distinct developmental pathways may introduce variability when directly comparing ages. Therefore, while both methods are valuable, caution should be exercised when interpreting results that compare these differing biological parameters in age estimation studies. We recommend future research on validating the proposed models on multiethnic samples and suggesting specific charts applicable to different populations. Besides, we recommend including only individuals with verified birth records.

Conclusion

The present study has shown that both the Fishman and Nolla methods were valid and reliable age predictors with variable sex and age group accuracy in Egyptians children and adolescents. However, the age estimation using the Nolla method, depending on the dental mineralization, showed superior performance compared to skeletal maturation using the Fishman method. However, both methods significantly correlated with the chronological age and each other. The models incorporating only the Nolla scores adapted to our sample were the most accurate predictors of chronological age in both sexes.

Declarations

Ethical approval

The study was carried out after approval of the research ethics committee, Faculty of Medicine, Tanta University (Approval Code: FWA00022834, IRB0010038, 36264PR175/4/23) and in accordance with The Code of Ethics of the World Medical Association (Declaration of Helsinki). Confidentiality of the data was maintained by making a code number for each patient. Any unexpected risks that appeared during the course of the research were cleared to participants and the ethical committee on time.
After receiving the whole details of the study, written informed consent was obtained from the participants’ guardians.

Clinical trial number

Not applicable.

Competing interest

The authors have no competing interests to declare that are relevant to the content of this article.
Open Access This article is licensed under a Creative Commons Attribution 4.0 International License, which permits use, sharing, adaptation, distribution and reproduction in any medium or format, as long as you give appropriate credit to the original author(s) and the source, provide a link to the Creative Commons licence, and indicate if changes were made. The images or other third party material in this article are included in the article’s Creative Commons licence, unless indicated otherwise in a credit line to the material. If material is not included in the article’s Creative Commons licence and your intended use is not permitted by statutory regulation or exceeds the permitted use, you will need to obtain permission directly from the copyright holder. To view a copy of this licence, visit http://creativecommons.org/licenses/by/4.0/.

Publisher’s note

Springer Nature remains neutral with regard to jurisdictional claims in published maps and institutional affiliations.
Download
Titel
Bridging gaps in age estimation: a cross-sectional comparative study of skeletal maturation using Fishman method and dental development using Nolla method among Egyptians
Verfasst von
Heba Ibrahim Lashin
Asmaa Fady Sharif
Mohamed Salah Ghaly
Shaimaa Shaban El-Desouky
Amira Elsayed Elhawary
Publikationsdatum
06.01.2025
Verlag
Springer Berlin Heidelberg
Erschienen in
International Journal of Legal Medicine / Ausgabe 2/2025
Print ISSN: 0937-9827
Elektronische ISSN: 1437-1596
DOI
https://doi.org/10.1007/s00414-024-03394-x

Electronic supplementary material

Below is the link to the electronic supplementary material.
1.
Zurück zum Zitat Macha M, Lamba B, Avula JSS et al (2017) Estimation of correlation between chronological age, skeletal age and dental age in children: a cross-sectional study. J Clin Diagn Res 11:ZC01PubMedPubMedCentral
2.
Zurück zum Zitat Schmeling A, Geserick G, Reisinger W, Olze A (2007) Age estimation. Forensic Sci Int 165:178–181PubMed
3.
Zurück zum Zitat Akman H, Surme K, Cimen T, Ayyildiz H (2022) Accuracy of different dental age estimation methods for determining the legal majority of 18 years in the Turkish population. Clin Oral Investig 26:4537–4547PubMed
4.
Zurück zum Zitat Yendaw E (2022) Cross-border migration of itinerant immigrant retailers in Ghana. J Int Migr Integr 23:205–225PubMed
5.
Zurück zum Zitat De Luca S, De Giorgio S, Butti AC et al (2012) Age estimation in children by measurement of open apices in tooth roots: study of a Mexican sample. Forensic Sci Int 221:155–e1
6.
Zurück zum Zitat Utama V, Soedarsono N, Yuniastuti M (2020) Assessment of agreement between cervical vertebrae skeletal and dental age estimation with chronological age in an Indonesian population. J Forensic Odonto-Stomatology 38:16–24
7.
Zurück zum Zitat Fernandes MM, Tinoco RLR, de Braganca DPP et al (2011) Age estimation by measurements of developing teeth: accuracy of Cameriere’s method on a Brazilian sample. J Forensic Sci 56:1616–1619PubMed
8.
Zurück zum Zitat Ghonem MM, Eldeeb BS, Elaggan AM, Lashin HI (2024) Age estimation based on sternebral fusion in a sample of Egyptian population using three-dimensional computed tomography scanning. Forensic Imaging 39:200613
9.
Zurück zum Zitat Muñoz A, Maestro N, Benito M et al (2018) Sex and age at death estimation from the sternal end of the fourth rib. Does Íşcan’s method really work? Leg Med 31:24–29
10.
Zurück zum Zitat Puerto MS, Abboud D, Baraybar JP et al (2021) The search process: integrating the investigation and identification of missing and unidentified persons. Forensic Sci Int 3:100154
11.
Zurück zum Zitat Paz Cortés MM, Rojo R, Alía García E et al (2020) Accuracy assessment of dental age estimation with the Willems, Demirjian and Nolla methods in Spanish children: comparative cross-sectional study. BMC Pediatr 20:361 https://doi.org/10.1186/s12887-020-02247-x
12.
Zurück zum Zitat Martin DD, Wit JM, Hochberg Z et al (2011) The use of bone age in clinical practice–part 1. Horm Res Paediatr 76:1–9PubMed
13.
Zurück zum Zitat Cavallo F, Mohn A, Chiarelli F, Giannini C (2021) Evaluation of bone age in children: a Mini-review. Front Pediatr 9:580314
14.
Zurück zum Zitat Gelbrich B, Carl C, Gelbrich G (2020) Comparison of three methods to estimate dental age in children. Clin Oral Investig 24:2469–2475PubMed
15.
Zurück zum Zitat Mansourvar M, Ismail MA, Raj RG et al (2014) The applicability of Greulich and Pyle atlas to assess skeletal age for four ethnic groups. J Forensic Leg Med 22:26–29PubMed
16.
Zurück zum Zitat Saade A, Baron P, Noujeim Z, Azar D (2017) Dental and skeletal age estimations in Lebanese children: a retrospective cross-sectional study. J Int Soc Prev Community Dent 7:90–97. https://doi.org/10.4103/jispcd.JISPCD_139_17CrossRefPubMedPubMedCentral
17.
Zurück zum Zitat Fishman L S (1982) Radiographic evaluation of skeletal maturation. A clinically oriented method based on hand-wrist films. Angle Orthod 52:88–112
18.
Zurück zum Zitat Flores-Mir C, Nebbe B, Major PW (2004) Use of skeletal maturation based on hand-wrist radiographic analysis as a predictor of facial growth: a systematic review. Angle Orthod 74:118–124PubMed
19.
Zurück zum Zitat Uğur Aydın Z, Bayrak S (2019) Relationship between pulp tooth area ratio and chronological age using cone-beam computed tomography images. J Forensic Sci 64:1096–1099PubMed
20.
Zurück zum Zitat Patnana AK, Vabbalareddy RS, Vanga NRV (2014) Evaluating the reliability of three different dental age estimation methods in Visakhapatnam children. Int J Clin Pediatr Dent 7:186PubMed
21.
Zurück zum Zitat Olaotse B, Norma PG, Kaone P-M et al (2023) Evaluation of the suitability of the Greulich and Pyle atlas in estimating age for the Botswana population using hand and wrist radiographs of young Botswana population. Forensic Sci International: Rep 7:100312
22.
Zurück zum Zitat Miloglu O, Celikoglu M, Dane A et al (2011) Is the assessment of dental age by the Nolla method valid for Eastern Turkish children? J Forensic Sci 56:1025–1028. https://doi.org/10.1111/j.1556-4029.2011.01755.xCrossRefPubMed
23.
Zurück zum Zitat Tomás LF, Mónico LSM, Tomás I et al (2014) The accuracy of estimating chronological age from Demirjian and Nolla methods in a Portuguese and Spanish sample. BMC Oral Health 14:160. https://doi.org/10.1186/1472-6831-14-160
24.
Zurück zum Zitat Han M, Jia S, Wang C-X et al (2020) Accuracy of the Demirjian, Willems and Nolla methods for dental age estimation in a northern Chinese population. Arch Oral Biol 118:104875PubMed
25.
Zurück zum Zitat Lecca-Morales RM, Carruitero MJ (2017) Relationship between dental calcification and skeletal maturation in a Peruvian sample. Dent Press J Orthod 22:89–96. https://doi.org/10.1590/2177-6709.22.3.089-096.oarCrossRef
26.
Zurück zum Zitat Brotons A, Remy F, Foti B, Philip-Alliez C (2021) Concordances and correlations between Chronological, Dental and Bone Ages: A Retrospective Study in French individuals. Forensic Sci Int 331:111150
27.
Zurück zum Zitat Pandey H, Tripathi V, Pathak H et al (2019) Age estimation and comparison by dental and skeletal maturity in the age range of 9–18 years in the Mumbai region. J Forensic Dent Sci 11:142. https://doi.org/10.4103/jfo.jfds_90_19CrossRefPubMed
28.
Zurück zum Zitat Schoonjans F (2024) MedCalc Statistical Software version 23.0.9. https://www.medcale.org (assessed on 14 May 2024)
29.
Zurück zum Zitat Koç A, Özlek E, Öner Talmaç AG (2021) Accuracy of the London atlas, Willems, and Nolla methods for dental age estimation: a cross-sectional study on Eastern Turkish children. Clin Oral Investig 25:4833–4840
30.
Zurück zum Zitat Alqadi MA, Abuaffa AH (2019) Validity of the demirjian and fishman methods for predicting chronological age amongst Yemenichildren. Sultan Qaboos Univ Med J 19:e26–e31. https://doi.org/10.18295/squmj.2019.19.01.006
31.
Zurück zum Zitat Alqadi MA, Abuaffan AH (2020) The reliability of Fishman and Nolla methods in prediction of chronological age of Yemeni children. Braz Dent Sci 23:1–9. https://doi.org/10.14295/bds.2020.v23i3.1976CrossRef
32.
Zurück zum Zitat Mohammed RB, Kalyan VS, Tircouveluri S et al (2014) The reliability of Fishman method of skeletal maturation for age estimation in children of South Indian population. J Nat Sci Biol Med 5:297PubMedPubMedCentral
33.
Zurück zum Zitat Sachan K, Sharma VP, Tandon P et al (2013) To establish the Validity of Dental Age Assessment using Nolla’s method on comparing with skeletal age assessed by Hand-Wrist Radiographs. J Indian Orthod Soc 47:438–442. https://doi.org/10.5005/jp-journals-10021-1202CrossRef
34.
Zurück zum Zitat Pereira CP, Rodrigues A, Augusto D et al (2021) Forensic age estimation using New models of Mathematical Regression Formula constructed with molar indexes: Dental Age Assessment. J Stomatology 74:95–100. https://doi.org/10.5114/jos.2021.106540CrossRef
35.
Zurück zum Zitat Günen Yılmaz S, Harorlı A, Kılıç M, Bayrakdar İŞ (2019) Evaluation of the relationship between the Demirjian and Nolla methods and the pubertal growth spurt stage predicted by skeletal maturation indicators in Turkish children aged 10–15: investigation study. Acta Odontol Scand 77:107–113PubMed
36.
Zurück zum Zitat Nolla CM (1960) The development of the Permanent Teeth. J Dent Child 27:254–266
37.
Zurück zum Zitat Team RC (2020) RA language and environment for statistical computing. R Foundation for Statistical, Computing
38.
Zurück zum Zitat Arel-Bundock V (2022) Modelsummary: data and Model summaries in R. J Stat Softw 103:1–23
39.
Zurück zum Zitat Hamner B, Frasco M, LeDell E (2018) Metrics: evaluation metrics for machine learning. R Package Version 0.1.4:2018
40.
Zurück zum Zitat Harrell FE Jr (2016) Rms: regression modeling strategies. R Package Version 5:1–263
41.
Zurück zum Zitat Lehnert B (2015) BlandAltmanLeh: plots (slightly extended) bland-Altman plots. R Package Version 0.3.1
42.
Zurück zum Zitat Sjoberg DD, Whiting K, Curry M et al (2021) Reproducible summary tables with the gtsummary package. R J 13:570–580
43.
Zurück zum Zitat Revelle W (2020) Psych: procedures for psychological, psychometric, and personality research. R Package Version 2. 1. 9 [Computer software]. Northwestern University
44.
Zurück zum Zitat McHugh ML (2012) Interrater reliability: the kappa statistic. Biochem Med (Zagreb) 22:276–282
45.
Zurück zum Zitat Koo TK, Li MY (2016) A guideline of selecting and reporting intraclass correlation coefficients for reliability research. J Chiropr Med 15:155–163PubMedPubMedCentral
46.
Zurück zum Zitat Bhadana S, Indushekar KR, Saraf BG et al (2019) Comparative assessment of chronological, dental, and skeletal age in children. Indian J Dent Res 30:687–691. https://doi.org/10.4103/ijdr.IJDR_698_17CrossRefPubMed
47.
Zurück zum Zitat Lopes LJ, Nascimento HAR, Lima GP et al (2018) Dental age assessment: which is the most applicable method? Forensic Sci Int 284:97–100PubMed
48.
Zurück zum Zitat Pereira CP, Santos R, Nushi V et al (2023) Dental age assessment: scoring systems and models from the past until the present—how is it presented in the court? Int J Legal Med 137:1497–1504. https://doi.org/10.1007/s00414-023-03011-3CrossRefPubMed
49.
Zurück zum Zitat Pereira CP, Rodrigues A, Augusto D et al (2024) Dental age assessment and dental scoring systems: combined different statistical methods. Int J Legal Med 138:1533–1557. https://doi.org/10.1007/s00414-024-03216-0CrossRefPubMed
50.
Zurück zum Zitat Gilsanz V, Ratib O (2005) Hand bone age: a digital atlas of skeletal maturity. Berlin:Springer 1:pp. 54–89
51.
Zurück zum Zitat Chaillet N, Nyström M, Kataja M, Demirjian A (2004) Dental maturity curves in Finnish children: Demirjian’s method revisited and polynomial functions for age estimation. J Forensic Sci 49:JFS2004211–JFS2004218
52.
Zurück zum Zitat Soegiharto BM, Cunningham SJ, Moles DR (2008) Skeletal maturation in Indonesian and white children assessed with hand-wrist and cervical vertebrae methods. Am J Orthod Dentofac Orthop 134:217–226
53.
Zurück zum Zitat Legović M, Sasso A, Legović I et al (2010) The reliability of chronological age determination by means of mandibular third molar development in subjects in Croatia. J Forensic Sci 55:14–18PubMed
54.
Zurück zum Zitat Arévalo CM, Infante C (2001) Análisis y comparación de cuatro métodos radiográficos para determinar la edad dental (maduración dental) en dientes permanentes. Inter J Dent Anthropol 2:9–15
55.
Zurück zum Zitat Sokal RR (1995) The principles and practice of statistics in biological research. Biometry 451–554
56.
Zurück zum Zitat Maber M, Liversidge HM, Hector MP (2006) Accuracy of age estimation of radiographic methods using developing teeth. Forensic Sci Int 159:S68–S73PubMed
57.
Zurück zum Zitat Thorson J, Hägg U (1991) The accuracy and precision of the third mandibular molar as an indicator of chronological age. Swed Dent J 15:15–22PubMed
58.
Zurück zum Zitat Fanning EA (1961) A longitudinal study of tooth formation and root resorption. NZ Dent J 57:202–217
59.
Zurück zum Zitat Kurita LM, Menezes AV, Casanova MS, Haiter-Neto F (2007) Dental maturity as an indicator of chronological age: radiographic assessment of dental age in a Brazilian population. J Appl Oral Sci 15:99–104PubMedPubMedCentral
60.
Zurück zum Zitat Kumaresan R, Cugati N, Chandrasekaran B, Karthikeyan P (2016) Reliability and validity of five radiographic dental-age estimation methods in a population of Malaysian children. J Investig Clin Dent 7:102–109PubMed
61.
Zurück zum Zitat Holtgrave EA, Kretschmer R, Müller R (1997) Acceleration in dental development: fact or fiction. Eur J Orthod 19:703–710PubMed
62.
Zurück zum Zitat Freitas JA, Tavano O, Alvares LC, Lopes ES (1970) Forensic use of chronological tooth eruption tables. Estomatol Cult 4:181–200PubMed
63.
Zurück zum Zitat Mollabashi V, Yousefi F, Gharebabaei L, Amini P (2019) The relation between dental age and cervical vertebral maturation in orthodontic patients aged 8 to 16 years: a cross-sectional study. Int Orthod 17:710–718PubMed
64.
Zurück zum Zitat Cummaudo M, De Angelis D, De Micco F et al (2021) The forensic paradox of aging unaccompanied minors in the migration crisis: why medicine and forensics are a must. J Forensic Leg Med 79:102133
65.
Zurück zum Zitat De Micco F, Martino F, Campobasso C, Pietro (2022) Ethical issues in age assessment by the third molar development. Australian J Forensic Sci 54:88–99
66.
Zurück zum Zitat Chaudhry K, Agarwal A, Rehani U (2010) Interrelationship among dental, skeletal and chronological ages in urban and rural female children. Int J Clin Pediatr Dent 3:79PubMedPubMedCentral
67.
Zurück zum Zitat Moirangthem S, Kumar NC, Math SB (2015) Child sexual abuse: issues & concerns. Indian J Med Res 142:1–3PubMedPubMedCentral
68.
Zurück zum Zitat Bagherpour A, Pousti M, Adelianfar E (2014) Hand skeletal maturity and its correlation with mandibular dental development. J Clin Exp Dent 6:e275PubMedPubMedCentral
69.
Zurück zum Zitat Koshy S, Tandon S (1998) Dental age assessment: the applicability of Demirjian’s method in south Indian children. Forensic Sci Int 94:73–85PubMed
70.
Zurück zum Zitat Hägg U, Taranger J (1981) Dental emergence stages and the pubertal growth spurt. Acta Odontol Scand 39:295–306PubMed
71.
Zurück zum Zitat Blenkin M, Taylor J (2012) Age estimation charts for a modern Australian population. Forensic Sci Int 221:106–112PubMed
72.
Zurück zum Zitat Muller-Bolla M, Lupi-Pégurier L, Bolla M et al (2003) Age estimation from teeth in children and adolescents. J Forensic Sci 48:JFS2002204
73.
Zurück zum Zitat Mostad P, Schmeling A, Tamsen F (2022) Mathematically optimal decisions in forensic age assessment. Int J Legal Med 136:765–776. https://doi.org/10.1007/s00414-021-02749-yCrossRefPubMed
74.
Zurück zum Zitat Thosar N, Srivastava R, Kulkarni R et al (2020) Comparative evaluation of Chronological age with Dental and Skeletal age estimation methods in children: an observational study. JODRDMIMS 4:47–53

Neu im Fachgebiet Rechtsmedizin

S2k-Leitlinie Früher Schwangerschaftsverlust im 1. Trimenon

Im Jahr 2025 wurde die S2k-Leitlinie Früher Schwangerschaftsverlust im 1. Trimenon veröffentlicht. In dieser Leitlinie werden sowohl für gestörte Frühgraviditäten als auch Schwangerschaften unklarer Lokalisation mit daraus resultierendem Abort …

Pädiatrische Lymphome: Herausforderungen in der Diagnostik

Lymphome im Kindesalter sind selten – und oft schwer einzuordnen. Die aktuellen Klassifikationen sowie die erstmals erschienene WHO-Klassifikationen unterstützen bei der Einteilung. In der dieser Übersicht werden die aktuellen Klassifikationen, Biologie und Diagnostik pädiatrischer Lymphome mit Fokus auf seltene indolente Entitäten sowie reaktive, Lymphom-imitierende Läsionen vorgestellt.

Protein kinase-related tumors in the pediatric population

  • Open Access
  • Schwerpunkt: Kinderpathologie: Von früher Plazenta bis Neoplasien

Advanced and widespread molecular techniques have deepened our understanding of mesenchymal lesions, revealing considerable overlap among morphologically defined entities now known to be related to protein kinases (PKs). This paradigm shift is …

Seltene kindliche benigne Tumoren/Läsionen im Kopfbereich

Benigne Tumoren und Läsionen im Kopfbereich bei Kindern sind selten und können eine diagnostische Herausforderung sein. Im Rahmen dieses Artikels werden ausgewählte seltene kindliche, benigne Läsionen im Kopfbereich vorgestellt mit dem Ziel, die …

Bildnachweise
Histologie einer Anaplastische Lymphomkinase mit großzellig-anaplastisches Lymphom/© Bosch-Schips J et al. / all rights reserved Springer Medizin Verlag GmbH