Zum Inhalt

Clinical Pharmacokinetics and Pharmacodynamics of Remimazolam

  • Open Access
  • 21.07.2025
  • Review Article
Erschienen in:

Abstract

Remimazolam is a benzodiazepine with a high affinity for the γ-aminobutyric acid type A-receptor thereby inducing sedation and amnesia. It is a short-acting drug, has a fast onset, short duration of action, and a predictable recovery profile. Remimazolam is metabolized mainly into CNS7054. In recent years, numerous population pharmacokinetic and combined pharmacokinetic/pharmacodynamic studies have been published. This narrative review aims to give an overview of and insight into pharmacokinetic/pharmacodynamic models and related clinical effects. Body weight, age and American Society of Anesthesiologists classification, sex, hepatic function, and extracorporeal circulation have been shown to significantly impact remimazolam pharmacokinetics. Body mass index, race, concomitant opioid administration, and a CNS7054-induced tolerance effect may be covariates. The labeling of remimazolam is not consistent worldwide as it has been approved for general anesthesia and/or sedation in different countries. To date, remimazolam is only approved by the intravenous route. Remimazolam has been approved for general anesthesia and/or sedation. The incidence of postoperative nausea and vomiting seems higher compared with propofol, yet pain on injection is less common. One study has published population pharmacokinetics in children. Reports on alternative methods to intravenous administration have been sparse.
Key Points
Pharmacokinetic studies have shown that body weight, age, American Society of Anesthesiologists classification, sex, hepatic function, and extracorporeal circulation on parameters have a significant impact on the pharmacokinetics of remimazolam. Body mass index, race, concomitant opioid administration, and a metabolite-induced tolerance effect may be covariates.
Recent studies indicate a possible tolerance effect after prolonged infusions of remimazolam; however, the exact mechanism remains unclear.
Limited studies have been published on the population pharmacokinetics of remimazolam in children and alternative methods of administration of remimazolam. The influence of CNS7054 on population pharmacokinetics remains unclear. All of which could warrant further research.

1 Introduction

Remimazolam is a benzodiazepine with a high affinity for the γ-aminobutyric acid type A receptor, enhancing the action of the γ-aminobutyric acid inhibitory neurotransmitter, hereby increasing chloride ion flux through a positive allosteric modulation of the (receptor) chloride channel complex [1]. This effect inhibits neuronal activity and can induce anxiolysis, amnesia, and sedation [2]. Remimazolam was developed as CNS7056, a benzodiazepine derivative with a fast-onset short duration of action and a rapid and predictable recovery profile [3]. Similar to remifentanil, the carboxylic acid ester model was applied to a benzodiazepine scaffold to find a range of possible ester derivatives, of which CNS7056 ended up as the lead compound of interest [1]. The receptor affinity of the carboxylic acid metabolite CNS7054 is 300- to 400-fold lower compared with remimazolam and both showed no significant activity at off-target sites [4]. Remimazolam besylate (Byfavo®; Paion Pharma GmbH/Acacia Pharma, Ltd, Aachen, Germany) has been registered in the USA [5] and Japan [6] since 2020 and is available in Europe and the Republic of Korea since 2021 [7]. Remimazolam has been described for sedation and anesthesia in the operating room, intensive care, and out-of-operating-room settings. To date, it is only approved for adult administration.
Described adverse effects of remimazolam include delayed emergence, re-sedation after reversal with flumazenil, anaphylaxis, hypotension, and postoperative nausea and vomiting. This narrative review article aims to comprehensively review and summarize the (population) pharmacokinetics and pharmacodynamics of remimazolam besylate in healthy volunteers, patient populations, and special patient populations and provide more insight into the characteristics of remimazolam pharmacokinetics and combined pharmacokinetic/pharmacodynamic (PK/PD) models of remimazolam.

2 Methods

The MEDLINE database was initially searched using PubMed in February 2024. All English articles with a title containing ‘remimazolam’ and an abstract or title containing ‘pharmacodynamics’ or ‘pharmacokinetics’ or ‘pharmacology’ were added to an EndNote library [8]. After screening titles for possible relevance for remimazolam pharmacokinetics and pharmacodynamics, relevant articles were selected and a full text version of the article was obtained where possible. After the literature process, the authors kept informed on new relevant publications of remimazolam pharmacokinetics and pharmacodynamics and included these publications if deemed relevant, complying to earlier criteria.

3 Drug Formulations and Dosing Regimens

Remimazolam (alternatively named CNS7056, ONO-2745, WHO 9232), or methyl 3-[(7S)-12-bromo-3-methyl-9-(pyridin-2-yl)-2,5,8-triazatricyclo[8.4.0.0^{2,6}]tetradeca-1(14),3,5,8,10,12-hexaen-7-yl]propanoate, with a molecular formula of C21H19BrN4O2 [9], is available as a vial containing 20 mg of lyophilized remimazolam besylate salt powder that should be reconstituted with 5 mL of sodium chloride (0.9%) before intravenous administration [5]. For reconstitution instructions, the reader is referred to the Summary of Product Characteristics. Remimazolam besylate is registered in the European Union [10], USA [5], The Republic of Korea, the UK [11], and Japan [6].
A formulation with a slightly different toluene sulfonic acid salt (tosylate) instead of a benzene sulfonic acid salt (besylate) was initiated through a separate development program [4]. In China, remimazolam tosilate (瑞倍宁 (Ribenin ©), HR7056) is marketed by Jiangsu HengRui Pharmaceutical Co. Ltd, for general anesthesia, as well as for sedation [12]. Remimazolam tosilate is currently being evaluated in phase II trials for intensive care unit sedation with mechanical ventilation [13]. To the best of our knowledge, there is one study comparing remimazolam tosilate with remimazolam besylate (for daytime hysteroscopic surgery), in which no significant differences were observed in the anesthetic effect or adverse events during anesthesia [14]. Almost all studies referred to in this article concern remimazolam besylate and as such, we use “remimazolam,” except where stated otherwise.

3.1 Dosing Regimen for Procedural Sedation

The dosing regimen per labeling differs with respect to the country as well as to the patient population. For example, in the USA, the dosing is approved for bolus doses and re-dosing only at the moment of publication. The doses vary based on the American Society of Anesthesiologist (ASA) status as well as the presence or absence of concomitant opioids, with ASA 3 and ASA 4 approved for lower bolus dosages. In Japan, remimazolam is approved for administration by bolus as well as by continuous infusion. A sample dosing regimen for bolus administration of a healthy ASA 1 adult in the USA undergoing procedural sedation without an opioid is a bolus of 5 mg of remimazolam besylate delivered over 1 minute, followed by re-dosing with 2.5 mg (over 15 seconds) every 2 minutes as needed. When co-administering an opioid, the recommendation is to reduce the initial bolus of remimazolam and to wait a minimum of 1 minute between the opiate and remimazolam administration.
In every clinical trial with remimazolam for procedural sedation, the total dosage administered did not exceed 33 mg. In Europe, for elderly patients aged over 65 years and/or ASA class III-IV and/or body weight under 50 kg, a dose reduction of 0–50% is advised. In combination with an opioid, a dose reduction of 31–65% is advised in sedation without opioids [10]. In the USA, a dose reduction of 0–50% is advised for ASA III and IV patients [5].

3.2 Dosing Regimen for General Anesthesia

In the UK, the Summary of Product Characteristics recommends a dosing regimen for general anesthesia using remimazolam, combined with an opioid, starting with an infusion rate of 6 mg/min for induction, up-titrated to a maximum of 12 mg/min. For maintenance of anesthesia, a continuous infusion rate of 1 mg/mg is recommended, titrating based on clinical judgment with a range of 0.1–2.5 mg/min and up to three boluses of 6 mg over 1 minute each, not less than 5 min apart within 60 min [15]. A multicenter phase III clinical trial used a dosing regimen for general anesthesia in adult ASA III and IV patients, combining remimazolam with remifentanil: an induction dose of 6 mg/min for 3 min, followed by a continuous infusion of 2.5 mg/min for 7 min, reduced to 1.5 mg/min for 10 minutes and then reduced to a dose of 0.7–2.5 mg/min until 15 minutes after incision, titrating the remimazolam to processed cerebral electroencephalogram (EEG) data [16]. Using a Narcotrend® Monitor (MonitorTechnik, Bad Bramstedt, Germany), the target is to maintain an index between 27 and 60. In this study, dosing was found to be independent of body weight [16]. One safety and efficacy study for induction and maintenance of general anesthesia in ASA class III patients combined remifentanil 0.25–0.50 mcg/kg/min with an induction dose of 6 or 12 mg/kg/h of remimazolam until a loss of consciousness. Using the Bispectral Index (BIS®; Medtronic, Dublin, Ireland) and clinical signs and symptoms, remimazolam is then reduced to 1 mg/kg/h and titrated as needed to a maximum of 2 mg/kg/h [17, 18]. In recent years, several PK and combined PK/PD models have been developed, which are discussed in Sects. 4 and 5. Dosing details based on these models may differ from drug label dosing, which are derived from early-phase models only.

3.3 Contraindications

The use of remimazolam in unstable myasthenia gravis is contraindicated, as well as use in patients with a known history of a severe hypersensitivity reaction to dextran-40 [5, 10]. The risk of developing acute angle-closure glaucoma after using of benzodiazepines has been reported [19]; however, no study reported on acute angle-closure glaucoma after administering remimazolam. In Japan, the use of remimazolam in patients with acute angle-closure glaucoma is contraindicated [20].
A recent review [21] on serious side effects reported ten cases of anaphylaxis out of a total of 6808 patients to whom remimazolam was administered. The initial presentation was usually marked by profound hypotension, necessitating cardiopulmonary resuscitation in two patients. Four cases reported facial flushing or erythema. The mechanism of anaphylaxis remains unclear: eight of ten cases had a significant elevation of serum tryptase at the time of the reaction. One patient who experienced anaphylaxis had received midazolam in the weeks prior, and subsequently tested negative to an immunglobulin-mediated allergy to benzodiazepines [22]. The current hypothesis is that the culprit for an anaphylactic reaction to remimazolam is dextran-40 [21, 23], a carrier molecule present in remimazolam besylate but absent in remimazolam tosilate (according to the package insert) [21].

3.4 Basic Pharmacokinetics

3.4.1 Absorption

Remimazolam besylate is only approved for intravenous administration, thus avoiding gastrointestinal absorption and possible first-pass effects if used according to the drug label [5]. Two trials have studied the off-label use of remimazolam by the nasal and oral route. One proof-of-concept randomized controlled trial tested intranasal administration of an unoptimized formulation of remimazolam and found a bioavailability for remimazolam powder from the intravenous formulation of 49%, whereas administering a solution of remimazolam from the intravenous formulation (23 mg/mL reconstituted in water for injection) lowered bioavailability to 26% [24]. Another study evaluated the oral bioavailability in a randomized open-label phase I trial; an oral dose of 0.14 mg/kg demonstrated a low bioavailability of 2.2% based on an area under the curve from time zero to the last measurable concentration (AUC0–t) and a bioavailability of 1.2% based on a dose-normalized maximum concentration [25].

3.4.2 Distribution

Based on a non-compartmental PK analysis in healthy volunteers, remimazolam showed a volume of distribution of 0.8–0.9 L/kg [5]. Both remimazolam and the main metabolite (CNS7054) are strongly protein-bounded drugs, with a reported plasma protein binding of >91% for remimazolam. Remimazolam mainly binds to albumin [5, 10]. Remimazolam has a mean distribution half-life of 0.5–2 min in healthy volunteers, which is prolonged in patients with hepatic impairment [3, 5], as remimazolam is mainly metabolized by liver carboxylesterase [26].

3.4.3 Metabolism

Initial studies in rats and monkeys reported on tissue carboxylesterases hydrolyzing remimazolam to an inactive metabolite [3, 4]. In 2018, five metabolites (three phase I and two phase II metabolites) were identified in human plasma and urine, using an ultra-performance liquid chromatography/tandem mass spectrometry analysis [27].
A recent study used an in vitro model of human cells and tissues to determine that hepatic metabolism was the primary site of remimazolam metabolism. Using liquid chromatography-proton nuclear magnetic resonance spectrometry in human liver microsomes, hydroxylation, carboxylation, and cleavage of imidazole ring metabolites of both remimazolam and CNS7054 were identified. In pooled human urine (collected over 12 h after a single intravenous dose of remimazolam), the area of the metabolites represented approximately 2.3% of the area of CNS7054 in this chromatogram. Further in vitro experiments suggested that remimazolam is mainly a substrate of the CES1A1 carboxylesterase, and a poor substrate for CES2A1. CNS7054 is the only relevant metabolite of remimazolam, even after continuous infusions of several hours. In vitro models of human cells identify hepatic metabolism as the mainstay, with minimal renal clearance (CL) of metabolites [26]. These findings are consistent with an earlier study (dosed on body weight), in which hepatic impairment (Child-Pugh score ≥10) resulted in higher maximum concentrations and renal impairment had no effect on maximum concentrations [28].
No meaningful inhibition of cytochrome P450 isoenzymes (1A2, 2B6, 2C8, 2C9, 2C19, 2D6 or 3A4), nor induction on the cytochrome P450 isoenzymes 1A2, 2B6, or 3A4), nor inhibition of human drug transporters (OAT3, OCT2, OATP1B1, OATP1B2, OAT1, BCRP) has been reported [5, 10, 29]. After oral administration, remimazolam has a very low oral bioavailability and undergoes extensive first-pass metabolism [25].

3.4.4 Elimination

In healthy volunteers, the mean elimination half-life is between 7 and 11 minutes and the terminal elimination half-life between 37 and 53 minutes. Clearance for remimazolam is high (68 ± 12 L/h). Approximately 0.003–0.1% of intravenously administered remimazolam is excreted unchanged in urine, while 97% is excreted in urine as the primary metabolite CNS7054 [5, 10, 26].

3.4.5 Dose Proportionality and Inter-Individual Variability

In the Summary of Product Characteristics, no dose adjustment is advised in patients with renal impairment who do not require dialysis [5, 10]. Dose adjustment is not recommended for mild-to-moderate hepatic impairment (Child-Pugh score <10). However, for severe hepatic impairment (Child-Pugh score 10–15), the recommendation is that the timing of titration should be carefully evaluated as for prolonged and pronounced clinical effects. In the Summary of Product Characteristics, no significant effect of age, sex, race, and weight have been reported [5, 10]; however, in recent PK/PD studies, effects have been found. This is because of the use of earlier PK/PD models during the drug registration process.

3.4.6 Toxicology

There are limited data on remimazolam and outcomes when taken during pregnancy (fewer than 300 cases). Pregnant female patients receiving remimazolam in late pregnancy should be advised that remimazolam can cause sedation and/or withdrawal symptoms in newborns. In Europe, clinicians are advised to avoid remimazolam during pregnancy. In patients who have received remimazolam, it is advised to pump and discard breast milk for 5–24 h [5, 10].

4 Population PK Modeling

Since 2012, several population-based compartmental PK models have been developed to describe the PK properties of remimazolam. Initial phase I studies developed compartmental PK models based on healthy volunteers, while later models were developed using combined datasets. An overview of all compartmental PK models can be found in Table 1.
Table 1
Overview of compartmental PK models for remimazolam besylate
Study (year)
Population
N
Blood PK samples
Patient characteristics Age/WGT/HGT average (range)
Drug administration
Tested covariates
Covariate models
Remarks
No. of samples a (arterial) vs (venous)
Last sample (time after termination of infusion)
Wiltshire (2012) [3, 31]
Male and female HV
54 for remimazolam
9 placebo
18 for midazolam
852 arterial samples, 184 venous samples
Arterial 4 h post-dose
Venous 12 hours post-dose
Age mean reported per group: 28.8–41.3 y (subjects aged 18–55 y were eligible for inclusion)
Weight mean reported per group: 75.4–81.9 kg
BMI mean reported per group, range from 24.4 to 26.5 kg/m2
Remimazolam 0.01 mg/kg; 0.025 mg/kg; 0.05 mg/kg; 0.075 mg/kg; 0.1 mg/kg; 0.15 mg/kg; 0.2 mg/kg; 0.25 mg/kg; 0.3 mg/kg
Midazolam 0.075 mg/kg; 0.1 mg/kg; 0.15 mg/kg; 0.2 mg/kg; 0.25 mg/kg; 0.3 mg/kg
Sex, body weight, heart rate
No covariate effects
Recirculatory model was applied. Only bolus dose, arterial and venous sampling
Schüttler (2020) [30]
Male HV
519 samples from 25 subjects
519 arterial samples, no venous samples
Arterial sample 6 h after end of infusion
Age mean 24 y (range 20–38 y)
Weight mean 77 kg (range 64–99 kg)
Height mean 179 cm (range 169–197 cm)
BMI mean 24 kg/m2 (range 21–29) kg/m2
5 mg/min for 5 min
3 mg/min for 15 min
1 mg/min for 15 min
Body weight, age
Body weight on V1
Homogenous population
Zhou (2020) [32]
Male and female HV and patients
A combined dataset from 11 phase I-III studies, 61% male, 39% female
4448 observations from 689 subjects
Combined data from multiple trials
Only arterial, arterial and venous or only venous data, depending on study
Depending on study
Mean age 57 y (range 18–93 y)
Mean weight 64.2 kg (range 33.6–113 kg)
BMI mean 23.8 kg/m2 (range 14.4–37.1 kg/m2)
Length not reported
Depending on trial
Bolus: 0.1–0.5 mg/kg or 5–8 mg
Continuous infusion: induction 0.1–3 mg/kg/h maintenance 0.5–3 mg/kg/h
Ages, obesity, sex, ASA class, extracorporeal circulation (on CL and volume parameters)
Concomitant medication (in vitro shown to inhibit CES1), on CL
Time-related effect on CL
Allometric exponent 0.75 on CL and 1 on volume
ASA-PS 3 on V1 and V2
Sex on CL
Extracorporeal circulation on CL and V1
Time related change in CL
 
Zhou (2021) [33]
HV and patients
63% male (n = 226), 37% (n = 133) female of 359 subjects
3642 samples from 359 subjects
126 HV, 193 patients for procedural sedation, 40 patients anesthesia
Combined data from multiple trials
3642 samples
2168 arterial samples
1474 venous samples
3 studies both arterial and venous samples, 2 studies only arterial samples, 5 studies only venous samples
Last simultaneous arterial and venous samples 4 h post-dose
Mean 46.1 y (SD 16.2 y)
91.3 kg (SD 23.7 kg)
BMI 26.2 kg/m2 (SD 4.9)
Length not reported
Ranges not reported
Procedural sedation: loading dose 5–8 mg as 1-min infusion followed by 2 mg, 2.5 mg, or 3 mg top-up doses
Sedation HV 1 mg/kg/h for maximum 1-h or infusions 5 mg/min for 5 min followed by 3 mg/min for 15 min then 1 mg/min for 15 min (85 mg total) or i.v. bolus 0.01–0.5 mg/kg
General anesthesia: HV 4–30 mg/kg/h i.v. for induction, followed by 1 mg/kg/h for maintenance, dose adjusted for BIS 40–60
Sex, age, race, BMI, creatinine clearance, eGFR, ASA-PS, concomitant medications
Effect of sex and race on CL
Effect of race on Vss
Effect of body weight on all CL and V parameters was included
Masui (2022) [34]
Male and female, HV and patients (416 male, 246 female)
Data sets phase I (excluding crossover trials with midazolam), phase II and phase III
5431 samples from 662 patients
Combined data from multiple trials
5431 samples
2231 arterial samples
3200 venous samples
Depending on study
Last arterial sample up to 4 h post-dose
Age mean 54 y (range 18–93 y)
Body weight mean 67 kg (range 34–149 kg)
Height mean 166 cm (range 133–204 cm)
BMI mean 24 kg/m2 (range 14–61 kg/m2)
Depending on study. Dosing regimens varied from:
i.v. bolus 0.05–0.5 mg/kg
Continuous infusion:
Induction at rate 1–30 mg/kg/h
Maintenance at rate 1 mg/kg/h or 1–1.5 mg/min
TBW, FFM, IBW, ABW, age, sex, ASA I/II vs III/IV, Asian or non-Asian race, presence/absence of concomitant opioid administration
ABW, age, sex, ASA-PS
Investigated if virtual venous compartment improved model fit, (arterial/venous equal at steady state or venous lower at steady state)
ABW with allometric scaling improved PK model
Vellinga (2024) [38]
28 male and female HV (13 male (54.2%), 15 female (45.8%)
551 samples from 28 HV
551 arterial samples; no venous samples
10 min after stop of remimazolam infusion
Age mean 43 y (range 19–70 y)
Weight mean 74 kg (range 51–106 kg)
Height mean 175 cm (range 159–192 cm)
BMI mean 24.1 kg/m2 (range 20.2–29.4 kg/m2)
TCI dosing regimen step-up (150, 300, 400, 800, 1200, 2000 ng/mL) and step-down effect-site concentration (1300, 800, 400, 300, 150 ng/mL) based on model values of Zhou [32], time to reach PK steady state
 
None
Blood samples acquired at pseudo-steady state
Eleveld (2024)
PK model [35]
Male and female, HV and patients: 61% male (n = 568)
39% female (n = 365)
7633 samples from 933 individuals
Combined data from multiple trials
7633 samples:
3737 arterial samples
3896 venous samples
Depending on study
Last arterial sample up to 4 h post-dose
Age range 6–93 years
Weight range 21–171 kg
Intravenous bolus or continuous infusion dosing regimens, depending on study
Age, weight, sex, presence/absence of opiates, hepatic function (Pugh-Child score), end-stage-renal disease
Weight, sex, age, concomitant opiates, hepatic function
ECMO and ICU data disrupt PK model development
Poor model performance for patients with ICU treatment
ABW adjusted body weight, ASA-PS American Society of Anesthesiologists Physical Score, BIS Bispectral Index, BMI body mass index, CL clearance, ECMO extracorporeal circulation, eGFR estimated glomerular filtration rate, FFM , h hours, HGT height, HV, IBW , ICU intensive care unit, i.v. intravenous, min minutes, PK pharmacokinetic, SD standard deviation, TBW , TCI target-controlled infusion, Vss volume of distribution at steady state, WGT weight, y years, HV healthy volunteers, TBM total body weight, FFM fat free mass, IBW ideal body weight
In all models, both after a bolus and continuous infusion, the compartmental pharmacokinetics of remimazolam are characterized by small volumes of distribution and high CLs [3035]. An overview of PK model parameters is presented in Table 2. One PK study has been eliminated from Table 2 because it applied a physiologic recirculation model, limiting the ability to compare it to mamillary compartmental models [31].
Table 2
Population pharmacokinetic parameters for each developed three-compartment model for remimazolam besylate
Study (year)
V1 (L)
V2 (L)
V3 (L)
CL (L/min)
Q2 (L/min)
Q3 (L/min)
Covariates in model
Schüttler (2020) [30]
4.39 (RSE 5.9%)
14.5 (RSE 4.2%)
15.5 (RSE 6.4%)
1.14 (RSE 2.5%)
1.04 (RSE 4.9%)
0.19 (RSE 7.3%)
Body weight
Zhou (2020) [32]
2.92 (RSE 6.27%)
9.81 (RSE 3.01%)
19.1 (RSE 4.49%)
1.03 in male subjects (RSE 1.56%)
1.14 in female subjects
1.16 (RSE (5.90%)
0.38 (RSE 4.54%)
ASA-PS class 3, extracorporeal circulation, sex, time-dependent change
Zhou, nonhomogeneously (2021) [33]
4.83
18 (RSE 2.8%)
18.5 (RSE 5.3%)
1.18 in male subjects (RSE 2%)
1.30 in female subjects
1.92 (RSE 6%)
0.284 (RSE 2.7%)
Body weight, sex, race
Masui (2022) [34]
3.52 in male subjects
3.38 in female subjects
11.14 in male subjects
10.69 in female subjects
21.53 in male subjects
21.76 in female subjects
1.01 in male subjects
1.16 in female subjects
1.08 in male subjects
1.08 in female subjects
0.40 in male subjects
0.40 in female subjects
Adjusted body weight, age, sex, ASA class
Vellinga (2024) [38]
5.36
11.7
32.7
1.25
0.74
0.39
None
Eleveld (2024) [35]
4.31 (99% CI 3.98–4.66)
12.3 (99% CI 11.2–13.5)
18.6 in male subjects
24.8 in female subjects
1.1 in male subjects
1.3 in female subjects
1.45 (99% CI 1.33–1.59)
0.298 in male subjects (99% CI 0.267–0.332)
0.369 in female subjects
Body weight, sex, age, concomitant opiates, hepatic function
Values for a reference individual: a 35-year-old man weighing 70 kg and having a height of 170 cm ASA-PS 1 or 2 and no liver failure, for arterial samples, not receivingconcomitant opiates. CIs are reported as stated in the original article, or RSE when given. No variance is given if the value is fixed. For the Masui (2022) model, no variances are given but instead the reader is referred to the original article, as variances are reported for individual theta values and model parameters are given as a descriptive formulas
ASA-PS American Society of Anesthesiologists Physical Score, CI confidence interval, CL clearance, RSE relative standard error
An early compartmental PK study collected arterial and venous samples after remimazolam bolus administration to healthy adult volunteers with mean ages per dosing group of 29–41 years and a mean weight per dosing group of 75.4–81.9 kg [3]. A physiologically based recirculation model was applied. Venous concentrations were significantly higher than arterial. A mammillary three- or four-compartment model assumes a drug is distributed instantaneously throughout the central compartment. A covariate analysis examined sex, body, weight, and heart rate and no allometric scaling was applied. They found an elimination CL of 66.7 L/h, a steady-state volume of distribution of 89 L, a terminal half-life 0.92 hours, and mean residence time of 0.57 h. They reported a clear relationship between sex, body weight, and cardiac output, although a significant relationship was not observed between body weight and elimination CL. For subjects within the weight range examined, the final model did not incorporate any covariate effects and applied a fixed dose without adjustment for body weight [31].
In 2020, Schüttler et al. performed a phase I clinical trial to describe the pharmacokinetics of remimazolam and its metabolite CNS7054 in healthy male volunteers. The population was rather homogeneous with a weight range of 64–99 kg and age range of 20–38 years. Remimazolam was administered as a slow continuous intravenous infusion. A three-compartment model for remimazolam was combined with a two-compartment model for CNS7054 with a transit compartment. For a 75-kg individual, they found a high CL (1.15 L/min) and a small steady-state volume of distribution (35.4 L). A covariate analysis only found a small influence of body weight for the central volume of distribution V1 in the remimazolam model and a proportional increase of V2M and Q2M with body weight in the CNS7054 model. Other than these covariate effects for body weight, no effect of age or sex was found. Incorporating CNS7054 into the model significantly improved the data description if an additional lag-time was assumed for formation of the inactive metabolite [30].
In 2020, Zhou and colleagues described a population PK/PD model that targeted general anesthesia and post-surgery sedation. Concentration–time data from multiple phase I–III studies were used from both general anesthesia and intensive care unit studies, including data with coadministration of an opioid (remifentanil). The population PK model was based on data from both sexes (61.2% male, 38.8% female) with an age range of 18–93 years, and a weight range of 33.6–113 kg. Studies included remimazolam by a continuous infusion as well as bolus administration. A three-compartment model with allometric scaling was used to describe the population pharmacokinetics. Because a combined arterial-venous model resulted in non-physiologically plausible parameter estimates, an empiric correction was made with both sharing the same compartment but with separate residual errors. For a 70-kg individual, they found a high CL of 1.03 L/min/70 kg. Sex, ASA classification, and extra-corporeal circulation explained some of the PK variability but no effect of age or concomitantly administered medication was found. Notably, the authors found that CL decreases by 25% after about 22 h, reduces to 50% after 31.5 h, and continues to decline afterwards [32].
A follow-up population PK model for remimazolam, published in 2021, estimated V1 more accurately using additional concentration–time data with intensive early arterial sampling. Concentration–time data from phase I–III studies was used, consisting predominantly of subjects receiving procedural sedation. The population PK model was based on 63% male subjects and 37% female subjects, with a mean age of 46.1 years (standard deviation 16.2 years) and a mean weight of 76.1 kg. A three-compartment model was developed with adjustments for non-homogenously mixed arterial and venous concentrations using a venous-to-arterial ratio described by an Emax model during infusion, reaching 0.5 at 1.63 min, and a constant value of 1.28 after infusion. For a 70-kg individual, a high CL of 1.18 L/min was found with female subjects of 11% higher, as well as an influence of race (13% lower for African American individuals vs Asian and White individuals). Race was similarly covariate for all volumes of distribution (16% lower). They suggest that no dose adjustments are necessary for these covariates [33].
Masui et al. developed a PK model in 2022 using a large dataset of concentration–time data of trials in healthy adult volunteers and patients. The population was heterogenous, with an age range of 18–93 years, body weight range of 34–149 kg, and an ASA Physical Score (PS) of I–IV. A population PK model of remimazolam was developed using a three-compartment model with the addition of a virtual venous compartment with equal arterial and venous concentrations at steady state and allometric scaling for adjusted body weight, which was a calculated ideal body weight plus 40% of the excess weight. Estimated CL was 1.03 L/min at an adjusted body weight of 67.3 kg for an ASA-PS I or II male (14% higher in female patients), and lower in ASA-PS III or IV patients. Age was a covariate for V3 and a virtual venous equilibration compartment [34]. The concept of “time to peak effect” for remimazolam of 2.6 minutes has been used to calculate the plasma effect-site equilibration rate constant (defined as “ke0”), which can be applied to target-controlled infusion (TCI) models [36, 37].
In 2024, Vellinga et al. [38] calculated population PK values based on 28 healthy volunteers (age 19–70 years, 51–106 kg). Remimazolam was dosed using an effect-site TCI regimen based on an earlier model developed by Zhou et al. [32]. Using a sequential approach, a three-compartment PK model was developed without adding any covariates to the final model [38].
In 2024, Eleveld and colleagues combined PK and PD data of 20 phase I, II, and III trials, to develop a PK-PD model applicable for a diverse and broad population. Overall, 933 individuals were analyzed with an age range of 6–93 years and a weight range of 21–171 kg. A three-compartment mamillary model was developed to enable the use of the model in commercially available PK/PD infusion pumps. Early samples were ignored to overcome the known challenges with early sampling and non-homogeneous mixing and venous concentration were predicted by a fraction of the central and a delayed compartment. Estimated CL was 1.12 L/min for a 35-year-old, 70-kg male individual (18% higher in female individuals), with normal hepatic and renal function, and was 13% lower with concomitant opioid administration. Peripheral volume V3 was found to have a covariate effect with age, sex, and hepatic function. The time to peak effect was about 2.5 min. Patients treated with extracorporeal circulation show strong changes in drug distribution. Patients in the intensive care unit demonstrated a decreased CL, which shows further decreases after 24 h of administration [35].

4.1 Difference in Remimazolam Arterial and Venous Concentrations

Several studies observed higher venous-to-arterial remimazolam concentrations, observed in samples early after bolus intravenous dosing [3135]. A mechanism to explain arterial-to-venous concentration differences remains unclear. Various strategies have been applied to find a mechanism, varying from a physiologically based recirculation model [31], including an empirical mathematical model describing the venous-to-arterial ratio relationship as part of the residual error [33], using a compartment model with a virtual venous compartment [34] or associating venous concentrations with a first-order delayed venous compartment [35]. In future PK studies, frequent simultaneously arterial and venous sampling early after administering remimazolam could aid in clarifying the underlying mechanism of differences in arterial and venous concentrations. However, as arterial-to-venous concentration differences appear mainly in the first few minutes of administration, they might be of limited clinical relevance.

4.2 Context-Sensitive Decrement Times of Remimazolam

Based on the PK models of remimazolam, relevant decrement times, frequently reported as context-sensitive decrement times and context-sensitive half time (CSHT), have been simulated in several studies. Compared with midazolam, the CSHT for remimazolam is short. An early PK model calculated a CSHT of 6.8 min after 4 h of continuous infusion [30] or 11.0 ± 2.5 min [39] after 4 h of TCI. Context-sensitive half time was 7–8 min after a 2-h infusion in a recirculatory model [31] and 15.9–16.7 min after a 6-h TCI simulation using time-to-peak effect calculations for determining ke0 [34]. The CSHT of remimazolam in all simulations appear to stabilize after 2–3 h and are longer in TCI simulations than with continuous infusion simulations. Using the PK/PD model developed by Eleveld et al. [35], simulated context-sensitive decrement times for remimazolam are plotted in Fig. 1 and present context-sensitive decrement times (80% and 50% decrement) after a TCI simulation up to 6 h.
Fig. 1
Context-sensitive decrement times for remimazolam using target-controlled infusion based on the model of Eleveld et al. [35]. The red line represents 50% decrement time in minutes (also referred to as context-sensitive half time), while the blue line represents 80% decrement time. min minutes
Bild vergrößern

4.3 Pharmacokinetics of the CNS7054 Metabolite

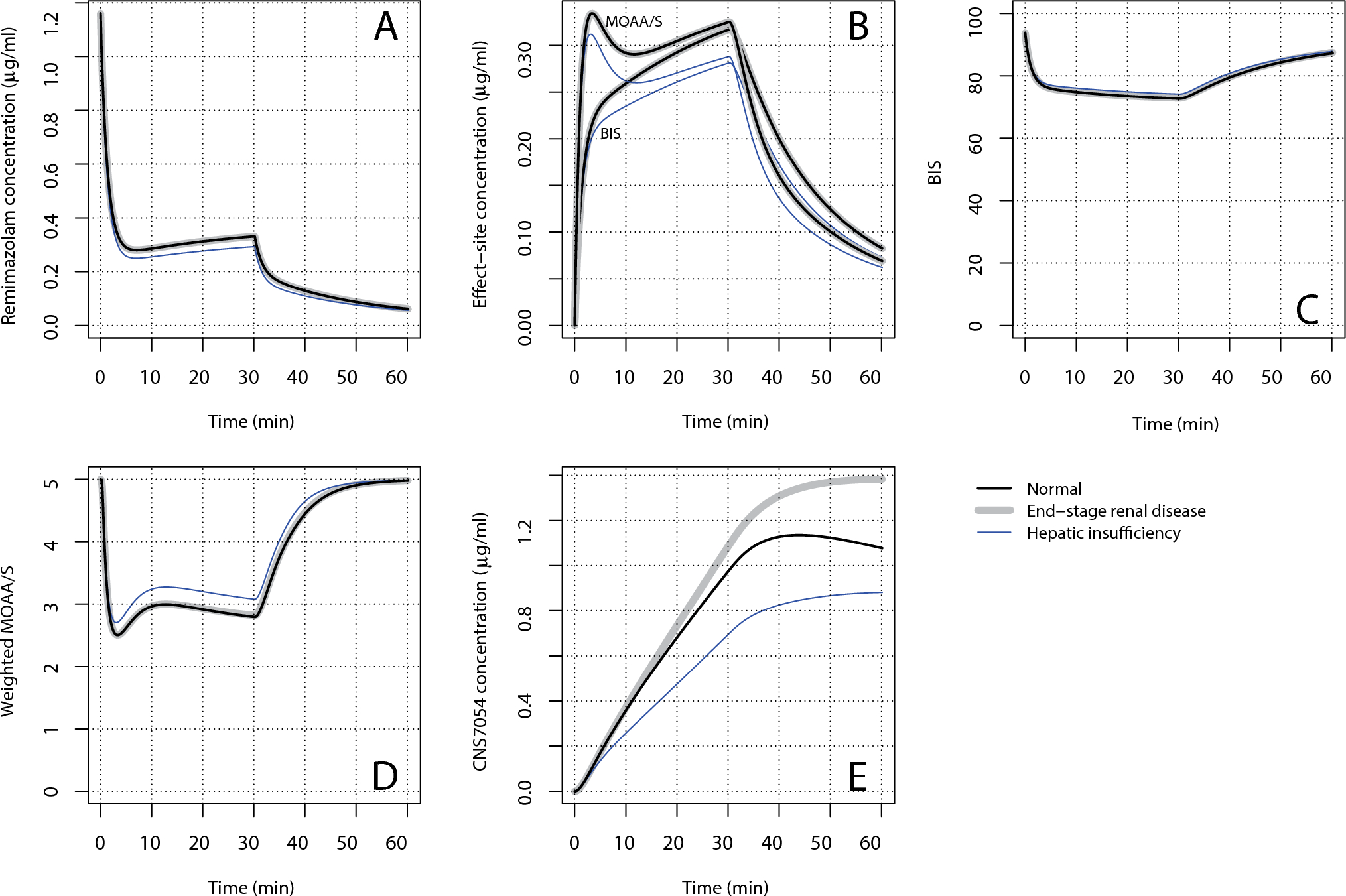
Remimazolam was designed to be hydrolyzed into the inactive metabolite CNS7054 [31]. Several PK studies incorporated CNS7054 in a joint model [30, 35, 38]. Either a combined three-compartment model with transit compartment to a two-compartment model for the CNS7054 metabolite [30, 35] or a three-compartment model with a transit compartment to a one-compartment model assuming 80% CL to CNS7054 was used [38]. Reported CLs for CNS7054 were low in both studies with a range from 0.078 ± 0.017 L/min [30] to 0.0665 ± 0.0052 L/min [35]. No change in remimazolam PK behavior in the presence of CNS7054 [3035, 38, 39] was reported. One study simulated prolonged infusions of remimazolam and observed a change in CL of 25% after ~22 h [32]. One model identified end-stage renal disease as a covariate for CNS7054 pharmacokinetics [38]. Effects of end-stage renal disease on CNS7054 concentrations after a bolus and 30 minutes continuous infusion can be seen in Fig. 2 (panel E). While remifentanil does not exhibit an influence on remimazolam CL, remifentanil does reduce CNS7054 CL by 50% at remifentanil plasma concentrations of 8.0 ng/mL (95% confidence interval [CI] 5.5–13.4) [40].
Fig. 2
Simulations based on a pharmacokinetic/pharmacodynamic model of Eleveld and coworkers. A bolus infusion of 5 mg of remimazolam, followed by a continuous infusion of 0.4 mg/kg/h for 30 minutes (min) was administered. Simulations were continued for 30 min post-dose. Patient parameters for the normal reference patient is a 35-year old man of 170 cm and 70 kg in the absence of opiates. The normal reference patient with end-stage renal disease is represented by a gray line, while a normal reference patient with hepatic insufficiency is represented by a blue line. From left to right: A remimazolam plasma concentrations in relation to time, B remimazolam effect-site concentration in relation to time, C Bispectral Index (BIS) value in relation to time, D weighed Modified Observer’s Assessment of Alertness/Sedation scale (MOAA/S) probability in relation to time, and E CNS7054 plasma concentration related to time
Bild vergrößern

4.4 Summary

Initial development of remimazolam PK models was hampered by arterial-to-venous concentration differences. All models see covariate effects of body weight, some see covariate effects for sex and age. Models comprising healthy volunteers and patients also find covariate effects for ASA classification or organ (renal or liver) function.
Using the PK/PD model comprising the largest dataset (Eleveld et al. [35]), remimazolam plasma- and effect-site concentrations were simulated in Fig. 2 for a reference patient (35-year-old man, weighing 70 kg and 170 cm in length, in the absence of opiates). The reference patient received 5 mg of a remimazolam bolus, followed by a continuous infusion of 0.4 mg/kg/h. Simulations for a patient with end-stage renal disease or hepatic insufficiency are represented by a gray or blue line, respectively. Because of an increased V3 in hepatic insufficiency, remimazolam plasma concentrations are lower. End-stage renal disease mainly affects CNS7054 concentration but has virtually no effect on remimazolam plasma concentrations (Fig. 2, panels A and E).

5 Population Pharmacodynamics

5.1 Combined PK/PD Models

Several population PK models simultaneously recorded clinical effect parameters to develop combined PK/PD models. Pharmacodynamic endpoints used to describe the sedative effect of remimazolam applied processed EEG or clinical endpoints [41]. Four models were developed using the BIS and the Modified Observer’s Assessment of Alertness/Sedation scale (MOAA/S) to describe the combined PK/PD parameters [31, 32, 35, 38], whereas one model was based on the Narcotrend Index instead [39]. All population PK/PD models were developed using a sequential approach [31, 32, 35, 38, 39].

5.1.1 BIS Population Pharmacodynamics

Four sigmoid inhibitory effect models [31, 32, 35, 38] were developed to describe drug effect on the BIS. The combined PK/PD models reported a first-order equilibrium rate constant (ke0) range of 0.134–0.145 min−1 [31, 32, 35]. Table 3 presents the BIS PD model values.
Table 3
Values for each developed pharmacokinetic/pharmacodynamic-BIS model for reference individuals for remimazolam besylate. Concentration for a 50% effect given as EC50
Study (year)
ke0 (min−1)
Baseline BIS value
Minimum BIS value
EC50 (mcg/mL)
γ (Hill)
Covariates in final model
Wiltshire (2012) [16]
0.141 (RSE 11.8%)
95.0 (RSE 0.23%)
39.3 (RSE 8.03%)
0.26 (RSE 14.0%)
1.58 (RSE 16.9%)
None
Zhou (2020) [17]
0.135 (RSE 5%)
95.2 (RSE 0.4%)
21.9 (absence of remifentanil)
0.52 (RSE 2.4%)
1.58 (RSE 0.7%)
BMI, race, and synergistic effect of remifentanil infusion rate on Imax and EC50
Vellinga (2024) [23]
0.135 derived of [17], used for simulations
94.9 (95% CI 95.2–94.4)
3.7 (95% CI 3.5–4.0) all values reported in logit domain
0.241 in the absence of a metabolite (95% CI 0.182–0.311)
1
Metabolite (CNS7054)-induced tolerance model
Eleveld (2024) [20]
0.145 (99% CI 0.128–0.164)
93.7 (99% CI 92.9–94.5)
0
0.982 in the absence of a metabolite (99% CI 0.909–1.06)
1
Age and metabolite (CNS7054)-induced tolerance
Vellinga (2025) [40]
0.135
94 (95% CI 92.9–95.1)
3.5 (95% CI 3.3–3.8) all values reported in logit domain
0,202 (95% CI 0.169 –0.243) reported as C50, remimazolam
1
Additive effect of remifentanil concentration on remifentanil, C50, remifentanil 9.495 ng/mL (95% CI 7.971–11.387)
Values for a reference individual: a 35-year-old man weighing 70 kg and having a height of 170 cm. CIs are reported as stated in the original article, or RSE when given. No variance is given if the value is fixed
BIS Bispectral Index, BMI body mass index, CI confidence interval, RSE relative standard error
In the recirculatory model compiled by Wiltshire and colleagues, although a covariate analysis indicated sex as a possible predictor for BIS-IC50, no covariate was added to the final model [31]. Zhou and colleagues developed a PD model using a slightly smaller dataset compared with their population PK dataset, with comparable subject characteristics. The maximum inhibitory effect on BIS had to be fixed, as anesthesia studies in the dataset adjusted the infusion rate to maintain BIS values of 40–60. Covariate effects of race and body mass index (BMI) on ke0 and the synergistic drug effect of remifentanil on Imax and remimazolam IC50 were added to the model [32].
Vellinga and colleagues developed a population PK/PD model based on data obtained in 24 healthy volunteers (age 19–70 years, 51–105 kg) [38]. Remimazolam was dosed using effect-site TCI based on parameters of an earlier population PK model [32] using a ke0 of 0.135 min−1 for simulations. Of the tested covariates, only a remimazolam-induced tolerance mechanism improved the PD model fit and was added to the final population PK/PD model [38].
Eleveld and colleagues developed a BIS population PK/PD model based on observations from 613 individuals (of whom 258 were female). A covariate effect of age was added for the sigmoidal drug effect (EC50) and ke0 as both decreased with age and a metabolite (CNS7054)-induced tolerance was added to the model [38]. Plasma concentrations of 200–800 ng/mL and 800–1200 ng/mL have been identified to attain a BIS score of 60–80 and 40–60, respectively [42]. In Fig. 2 (panel C), for a typical sedation dosage of a remimazolam 5-mg bolus followed by 30 min of 0.4 mg/kg/h in a typical patient, we simulated the BIS effect site in time and simulated the BIS value in time, using the Eleveld PK/PD model [35].

5.1.2 Narcotrend Index Population Pharmacodynamics

Eisenreid and colleagues [39] developed a combined PK/PD model based on the Narcotrend® Index and population PK data from Schüttler and colleagues [30]. A sigmoid inhibitory effect model without covariates provided the best fit for the EEG beta ratio, with a ke0 of 0.33 min−1, a Hill coefficient of 2.0, an E0 of −0.84, an Emin − 3.97, and an EC50 of 0.284 mcg/mL. For the Narcotrend Index PD model, owing to an initial plateau phase during the first 20 min of the continuous remimazolam infusion, the standard sigmoid model was extended with a second sigmoid term to describe the course of the Narcotrend Index. The Narcotrend Index PD model reported an E0 of 94, Emax,1 of 17, EC50,1 of 0.457 mcg/mL, Hill coefficient1 of 10.1, and an ke0,1 0.24 min−1 and for the extended sigmoid model: an Emin of 56, an EC50,2 of 0.601 mcg/mL, a Hill coefficient2 of 9.3, and a ke0,2 of 0.027 min−1 [39].

5.1.3 MOAA/S

MOAA/S (Table 4) is an objective scoring system that uses clinical responses to verbal and tactile stimulation to evaluate and rate the depth of sedation [43]. The population PK/PD models for remimazolam describe the probability of MOAA/S at a specific effect-site concentration while respecting a cumulative probability of 1 for all possible MOAA/S states/scores [31, 35, 38, 39].
Table 4
Modified Observer’s Assessment of Alertness and Sedation 2, 3, 2, M Scale [30, 43]
Responsiveness
Score
Subject responds readily to name spoken in normal tone
5
Lethargic response of subject to name spoken in normal tone
4
Subject responds only after name is called loudly and/or repeatedly
3
Subject responds only after mild prodding or shaking
2
Subject responds only after painful trapezius squeeze
1
Subject does not respond to painful trapezius squeeze
0
Wiltshire and colleagues developed a MOAA/S PD model using a ke0 of 0.248 min−1 [31]. Schüttler et al. based their MOAA/S PD model on a ke0 of 0.27 min−1 without adding any covariates to the final model [30]. Zhou et al. [44] developed a Markov mixed-effects model based on a separately published, population PK model [33] to describe MOAA/S transition states for remimazolam combined with fentanyl in procedural sedation. A ke0 value of 0.619 min−1 was used and the following covariates were added to the final model: coadministration of fentanyl (using a synergistic Emax model), BMI >25 kg/m2, type of procedure on ke0, and an effect of age on upward MOAA/S transitions. The observed effects of age, BMI, and procedure type were deemed clinically not relevant [44]. Vellinga et al. [38] developed a MOAA/S PD model using a previously published ke0 value of 0.135 min−1 [32] for simulations. Metabolite (CNS7054)-induced tolerance was added to the final model as a covariate [38]. Eleveld et al. used a ke0 of 0.298 min−1 and added the presence of opioids, an effect of age on Ce50, and metabolite (CNS7054)-induced tolerance as covariate effects to the final model [35].
Remimazolam produced MOAA/S scores of 2–3 at venous plasma concentration of 400–500 ng/mL [42], of 0–1 at plasma concentrations of 1000–2000 ng/mL [32, 34], or 0 if venous plasma concentrations were >1200 ng/mL [42]. Deep sedation EEG patterns were observed at remimazolam plasma concentrations of 1900 ng/mL [39]. The MOAA/S scores of 0 and 1 can be difficult to reliably identify, a challenge noted in the development of the Schüttler et al. PK model [15]. For a typical bolus and continuous infusion for 30 min, we simulated weighted MOAA/S scores in time in Fig. 2 (panel D) for a normal reference patient and end-stage renal failure and hepatic insufficiency. Changes observed in MOAA/S scores in hepatic insufficiency are due to an increased V3. Effect-site concentrations for the MOAA/S and BIS differ because of a different ke0 (Fig. 2, panel B).

5.2 Tolerance and Time-Dependent CL of Remimazolam

Recent PK/PD models of remimazolam observed time-dependent CL. One model observed a decrease in CL related to time after 22 hours, not to cumulative remimazolam dose [32]. Using a more recently published model, a time-related change in remimazolam CL for >24 hour treatment is observed [35]. Target-controlled infusion of remimazolam in healthy volunteers showed a tolerance to the sedative effect, potentially mediated by the CNS7054 concentration [38]. In an interaction study between remimazolam and remifentanil, the model fit for MOAA/S and BIS worsened if the competitive antagonism effect by CNS7054 was removed from the model [40]. A C50 value of 8.0 ng/mL of remifentanil was estimated in the analysis of Vellinga et al., implying a 40% reduction in CNS7054 CL at a remifentanil concentration of 4.0 ng/mL [40]. In a recent PK/PD model, a competitive interaction model was tested to improve the PD model fit, in which CNS7054 competes for receptor affinity without having pharmacological activity [35]. These studies were not designed to clarify the mechanism for observed tolerance or time-dependent CL. However, these observations might be clinically relevant for prolonged infusion times. In Fig. 3, the effect of CNS7054 concentration on remimazolam effect was simulated using a recent PK/PD model [35]. In the presence of higher CNS7054 plasma concentrations, a similar remimazolam effect-site concentration elicits less effect for both BIS (Fig. 3, panel A) and MOAA/S (Fig. 3, panel B). A tolerance effect by the metabolite is unlikely to be expected for short remimazolam infusions, as CNS7054 concentrations remain low (1.4 mcg/mL), plotted in Fig. 2, panel E. A tolerance effect based on CNS7054 is more likely to be expected at higher CNS7054 concentrations (10 mcg/mL) [35]. Early PK/PD studies measured maximum CNS7054 plasma concentrations of 5.340 ± 0.687 mcg/mL [30] and might not have observed tolerance effects.
Fig. 3
Time-independent dose-effect curves in the absence or presence of CNS7054. Simulations are based on the pharmacokinetic/pharmacodynamic model by Eleveld and coworkers [35]. The black curve is no CNS7054 present, the red line is the dose effect at CNS7054 plasma concentrations of 5 mcg/mL, and the blue line is the dose effect at CNS7054 plasma concentrations of 10 mcg/mL. BIS Bispectral Index, MOAA/S Modified Observer’s Assessment of Alertness/Sedation scale
Bild vergrößern

5.3 Drug–Drug Interactions of Remimazolam and Opiates

The available literature suggests an effect of opiates on remimazolam pharmacodynamics [16, 33], with drug labels suggesting a dose reduction when combining opiates with remimazolam [5, 10] and PK/PD models including the presence of opiates as a covariate [35] or a synergistic effect of the remifentanil infusion rate (in mg/kg) [32] on remimazolam pharmacodynamics. Effects of remifentanil on pharmacokinetics and pharmacodynamics recently have been quantified using TCIs of both drugs, identifying an additive drug–drug interaction for BIS, MOAA/S, tolerance to laryngoscopy, or tetanic stimulation [40]. In this drug–drug interaction study by Vellinga and coworkers, the probability of observing MOAA/S 2 or 3 is highest at remimazolam target concentrations of 275, 250, or 200 ng/mL combined with 0, 0.1, or 0.5 ng/mL of remifentanil [40], values for BIS are reported in Table 3. Acute tolerance, attenuating remimazolam effects in the presence of remifentanil, was observed, as can be seen in Fig. 4, derived from the original article [40]. Pharmacodynamic drug–drug interactions are difficult to compare between both studies as Zhou et al. used the remifentanil infusion rate because no remifentanil drug concentrations were collected [32].
Fig. 4
Predicted relationship between remimazolam target concentration and the Bispectral Intex, Modified Observer’s Assessment of Alertness and Sedation scale (MOAA/S) scores, tolerance to tetanic stimulation, and tolerance to laryngoscopy stratified by the remifentanil target concentration after 10 min of a TCI of remimazolam (modified from Vellinga et al. [40] with permission)
Bild vergrößern

6 Clinical Effects

6.1 Central Nervous System

Remimazolam has sedative effects by binding as an agonist of the γ-aminobutyric acid type A receptor [3, 38]. The hypnotic effects have been measured using BIS, Patient State Index (Masimo, Irvine, CA, USA), and Narcotrend EEG indices [16, 31, 38, 39, 45] or clinically observed using MOAA/S [31, 46]. No analgesic properties have been described [1].
Several studies report relative higher BIS values when using remimazolam for general anesthesia, compared with propofol [17, 18, 45]. A retrospective review of anesthesia for elective surgery performed with remimazolam identified that despite the administration of maximum allowable doses, there were numerous cases of inability to maintain the BIS <60. Of the 61 identified cases of a poorly maintained BIS, no specific physical characteristic could be identified. None of these patients reported awareness [47]. Bispectral Index values that ranged from 45 to 68 have been reported at maintenance doses of 0.56 mg/kg/h during abdominal or extremity surgery in ASA-PS III patients [17]. In patients undergoing elective surgery, no evidence of implicit or explicit memory forming was found when maintaining a BIS of 60–80 during remimazolam anesthesia [48]. A recent meta-analysis comparing the induction characteristics of remimazolam with propofol in elderly patients observed higher BIS values at the moment of loss of consciousness with remimazolam and a comparatively longer time to loss of consciousness with remimazolam [49].
The Narcotrend® EEG monitoring and Narcotrend Index (NI) has been used in a PK/PD study to describe sedative effects, observing a decrease in the EEG-derived parameter beta ratio after the start of remimazolam sedation, followed by a plateau phase during a further continuous infusion [39]. In a randomized controlled trial comparing the efficacy of a continuous intravenous infusion of remimazolam with propofol for general anesthesia, remimazolam showed non-inferiority in maintaining a NI value ≤60 and no awareness was reported [16]. One study used the Narcotrend Index and Richmond Agitation and Sedation Scale to suggest remimazolam dosing in ventilated intensive care unit patients [50]. The dose–response relationship for a loss of consciousness after an intravenous bolus administration of remimazolam has been reported at Emax 0.023 s−1, ED50 0.11 mg/kg, and ED95 of 0.19 mg/kg, wherein age was a significant covariate for ED50, declining from 0.19 mg/kg at age 20 years to 0.082 mg/kg at age 80 years [51].

6.2 Reversal of Effect

Remimazolam can be antagonized by flumazenil [46]. A review on adverse effects summarized reports of re-sedation after the use of flumazenil, occurring in 8 of 260 patients receiving flumazenil after general anesthesia with a continuous infusion of remimazolam [21]. Masui advised to use caution and monitor patients closely when antagonizing remimazolam with a flumazenil bolus administration, owing to a risk for reappearance effect, especially in patients with lower CL and prolonged remimazolam infusion, based on PK modeling [52]. A known risk of antagonizing benzodiazepine effects using flumazenil is the risk of seizures. In a study in which 8 of 15 patients received flumazenil after remimazolam anesthesia for awake craniotomy, no agitation or seizure was observed [53]. A recent retrospective cohort analysis did not show associations with an increased incidence of seizure when antagonizing remimazolam using flumazenil versus propofol (adjusted odds ratio 1.08, 95% CI 0.49–2.37; p = 0.86) [54].

6.3 Postoperative Delirium

Administration of benzodiazepines in elderly patients is potentially associated with development of postoperative delirium [55]. In one trial comparing the incidence of postoperative delirium of remimazolam with propofol in elderly patients after orthopedic surgery, the incidence was 15.6% and 12.4%, respectively, without any significant difference [56]. In another study, the incidence of emergence agitation was lower in elderly patients undergoing a hip replacement using remimazolam compared with propofol [57]. A recent, multicenter, randomized controlled trial indicated a higher incidence of possible postoperative delirium; however, no significant differences in the incidence of postoperative delirium were observed on the first day after surgery [16]. A recent meta-analysis compared three studies and found no difference in emergence agitation between remimazolam and propofol [49].

6.4 Respiration

Respiratory depression and oxygen desaturation are always of concern when administering sedatives [58]. One study reported that with respect to respiratory depression, after a bolus dose of remimazolam, the ED50 and ED95 are 0.11–0.25 mg/kg and 0.20–0.47 mg/kg, respectively. Age was found to be a significant covariate for ED50 [51]. During general anesthesia, time to extubation is affected by increased BMI (time to extubation >15 min was significantly higher in patients with BMI >22 kg/m2), elderly age (when remimazolam was dosed based on weight), and a lower plasma albumin level [59].
A meta-analysis comparing remimazolam with propofol for sedation in gastrointestinal endoscopic procedures resulted in a lower risk for respiratory depression when sedating patients using remimazolam (relative risk 0.41, 95% CI 0.30–0.56) [60]. A recent meta-analysis compared remimazolam with propofol for sedation during gastroscopy, in which the incidence of respiratory depression was significantly lower in the remimazolam group (relative risk 0.40, 95% CI 0.28–0.57) as well as the reported incidence of hypoxemia (relative risk 0.35 favoring remimazolam with a 95% CI 0.23–0.49) [61]. Sedation with remimazolam and an opiate in healthy volunteers for colonoscopy lowered oxygen saturation slightly (<5%) [46]. In the population PK/PD study of Schüttler et al., volunteers maintained spontaneous breathing hereby demonstrating a brief (median 0.5 minutes) drop in oxygen saturation (remedied with nasal cannula oxygen) at doses of 5 mg/min [30]. Another study demonstrated that compared with midazolam, remimazolam sedation for colonoscopy showed less respiratory depression (0.3% vs 1%), bradypnea (1.4% vs 2.9%), and hypoxia (1.0 vs 2.9%) [62].
Two case reports elaborate on return of spontaneous ventilation after induction with remimazolam, opiates, and muscle relaxants when confronted with a ‘cannot intubate, cannot oxygenate’ or a difficult laryngoscopy situation [63, 64]. In one case report, anesthesia was induced using remimazolam, sufentanil, and rocuronium and after identifying a ‘cannot intubate, cannot oxygenate’ situation during airway management, spontaneous ventilation returned within 60 seconds after administering 0.5 mg of flumazenil and an antagonizing muscle relaxant with 10 mg/kg of sugammadex and an opiates with 0.4 mg of naloxone [64]. In another case report, anesthesia was induced using remimazolam, fentanyl, remifentanil, and rocuronium. During airway management, the glottis could not be identified during a video laryngoscopy and the team decided to wake up the patient. After administering 0.5 mg of flumazenil and 200 mg of sugammadex, the return of spontaneous ventilation occurred after 3 minutes [63].
One non-inferiority phase IIb/III trial reported on flumazenil administration in 9% of cases in which remimazolam was used for general anesthesia. A mean time to awakening of 0.9–1.8 min after flumazenil administration was observed [18]. In a recent review on adverse effects, one case of bronchospasm was reported in the case of an anaphylactic reaction [21].

6.5 Cardiovascular

Sedatives can induce a reduction in blood pressure and heart rate [16, 65]. In healthy volunteers, a continuous intravenous remimazolam infusion can decrease mean arterial pressure by up to 20 mmHg, always maintaining the systolic arterial blood pressure above 80 mmHg [30]. Compared with propofol-remifentanil total intravenous anesthesia, remimazolam combined with fentanyl provided significantly less post-induction hypotension (mean arterial pressure <65 mmHg for 1 minute), both in ASA-PS 1/2 and ASA-PS 3/4 patients scheduled for elective surgery [16]. These findings are consistent with comparisons of propofol to remimazolam for general anesthesia [18] and remimazolam with midazolam for colonoscopy procedures [62]. In a recent meta-analysis comparing remimazolam with propofol for general anesthesia in elderly patients, remimazolam had a lower relative risk for intra-operative hypotension (risk ratio 0.41, 95% CI 0.27–0.62), a lower risk of bradycardia (risk ratio 0.58, 95% CI 0.34–0.98), and no difference between groups was found for mean arterial pressure [49].
In a meta-analysis comparing remimazolam with propofol for procedural sedation in gastrointestinal endoscopy, remimazolam was associated with a lower risk of hypotension (risk ratio 0.43, 95% CI 0.35–0.51) and a lower risk of bradycardia (risk ratio 0.42, 95% CI 0.38–0.58) [60]. No clinically significant effects of remimazolam on cardiac conduction times (PR interval or QRS duration) were observed with the largest change in the corrected QT interval from baseline being 3.7 ms [21]. A recent review on adverse events of remimazolam in elderly patients did not report any adverse events concerning cardiac conduction times [21].

6.6 Adverse Effects and Side Effects

6.6.1 Pain on Injection

Remimazolam has a low risk of pain during injection (risk ratio 0.04, 95% CI 0.01–0.16) compared with propofol [49] and no notable injection pain was reported in recommended induction doses of remimazolam [66] and in a non-inferiority safety trial [18]. In a proof-of-concept trial of intranasal administration of both (unoptimized) powder and solution, pain, burning, irritation, and congestion were reported [24].

6.6.2 Nausea and Vomiting

Propofol represents the benchmark for many studies evaluating nausea and vomiting. In awake craniotomy, a retrospective study reported on a significantly higher incidence of nausea in the remimazolam group versus propofol with an odds ratio of 14.4 (95% CI 1.23–186) [53], but a more recently published, randomized controlled trial comparing remimazolam and propofol did not report a significant difference in the incidence of postoperative nausea or vomiting [67]. A phase IIb/III safety and efficacy trial comparing remimazolam with propofol for general anesthesia reported nausea in 7% versus 5.3% of patients, while vomiting occurred in 8.3% versus 4% of patients, respectively [18]. In a propensity score-matched, retrospective observational study, remimazolam was compared with propofol and found that the incidence of post-operative nausea and vomiting was significantly higher in the remimazolam group, 35% versus 21%, respectively [68]. In a randomized controlled trial comparing remimazolam with propofol for patients scheduled for oral and maxillofacial surgery, the incidence of post-operative nausea and vomiting did not differ significantly, at 11.7% versus 10.5%, respectively [69]. In a recent meta-analysis comparing remimazolam with propofol for gastrointestinal endoscopy sedation, the occurrence of post-operative nausea and vomiting did not differ significantly between both groups [60].

6.6.3 Precipitation with Lactate Ringers

A review on adverse events reported four case reports in which precipitation in an intravenous catheter occurred, all using remimazolam infused with Ringer’s acetate or Ringer’s acetate with glucose 1%. However, remimazolam might be safely administered at a concentration of 1 mg/mL in Ringer’s lactate and acetate at an infusion rate of at least 100 mL/h [21].

7 PK/PD and Special Populations

7.1 Children

At the time of publication, remimazolam does not have pediatric labeling. There is only one study describing the pharmacokinetics in children. Gao and colleagues have described remimazolam pharmacokinetics in 23 children presenting for general anesthesia, with an age range from 3 to 6 years, mean weight of 19 kg, and mean height of 105 cm. A three-compartment PK model was developed based on 411 available plasma concentrations of remimazolam of up to 4 hours after the end of infusion. After a covariate analysis, only allometric weight scaling was added to the final model. Model parameters, standardized for a body weight of 70 kg with an allometric weight scaling exponent of 0.75 for CL and 1.0 for volume were: CL 0.73 L/min, Q2 2.40 L/min; Q3 0.33 L/min; V1 (central volume of distribution) 7.56 L/min, V2, 11.6 L/min; V3 29.0 L/min [70].

7.2 Organ-Deficient Patients (Kidney/Liver)

Recently, remimazolam PK properties have been described in adult subjects with hepatic impairment, matching eight moderately impaired and three severely hepatic impaired subjects to nine subjects with normal hepatic function. Both groups received a single intravenous dose of 0.1 mg/kg of remimazolam. An earlier developed recirculatory model [71] was fitted to arterial blood samples and a covariate effect of the Child-Pugh score ≥10 on CL and an effect of the Child-Pugh score ≥9 on VV, VP1, and VP2 were added to the final model. A 38.1% lower CL was reported in subjects with severe hepatic impairment (Child-Pugh score ≥10) [28]. Using a recirculatory model better explained gradual changes of remimazolam distribution in hepatic impairment. One three-compartment model incorporated hepatic impairment as a covariate (Child-Pugh score >8) increasing V3 in hepatic impairment, yet these parameters are difficult to compare with the aforementioned recirculatory model. For a better understanding, in Fig. 2, we simulated remimazolam and CNS7054 plasma and effect-site concentrations for a 35-year old man (170 cm and 70 kg) with end-stage renal disease or hepatic insufficiency. Effect-site concentrations for MOAA/S and BIS in time were also simulated, as well as BIS, weighted MOAA/S, and CNS7054 concentrations over time, using the three-compartment model by Eleveld et al. [35]. Hepatic impairment as a covariate for V3 lowers plasma/effect-site concentrations (Fig. 2, panels A and B) and decreases the effect of remimazolam on BIS and weighted MOAA/S (Fig. 2, panels C and D) and the accumulation of the metabolite is slower (Fig. 2, panel E), CNS7054 plasma concentrations are higher in end-stage renal disease because of lower CL of the metabolite.

8 Future Perspectives

Several population PK and combined PK/PD models have been developed for remimazolam on expanding datasets. Differences in arterial and venous samples challenged model development. Body weight, age, and presumably ASA classification, sex, hepatic function, and extracorporeal circulation have a significant impact on remimazolam pharmacokinetics. For combined PK/PD models, BMI, race, concomitant opioid administration, and a CNS7054-induced tolerance effect have been identified as possible covariates. The role of CNS7054 has been examined in several studies but further research is needed to clarify the role of this metabolite in remimazolam pharmacodynamics. Pharmacokinetic/pharmacodynamic data in children and organ-deficit patient groups remain limited and insights into remimazolam pharmacokinetics and pharmacodynamics would be aided by further studies. In future PK/PD studies, frequent early simultaneous arterial and venous sampling immediately after the start of remimazolam administration could help with clarification. Pharmacokinetic/pharmacodynamic studies with prolonged infusions over several hours to a day could help in understanding the tolerance effects observed in remimazolam, as the exact mechanism remains unclear.

Declarations

Funding

This work was solely supported by departmental funding.

Conflict of interest

Bas T. de Jong has no conflicts of interest that are directly relevant to the content of this article. For departmental conflicts of interest, see MMRFS. Douglas J. Eleveld has no conflicts of interest that are directly relevant to the content of this article. For departmental conflicts of interest, see MMRFS. Keira P. Mason: her research group has received funding for sponsor-initiated research from Eagle Pharmaceuticals Inc., Woodcliff Lake, NJ, USA. Michel M.R.F. Struys: his research group/department received (over the last 3 years) research grants and consultancy fees from Masimo (Irvine, CA, USA), Becton Dickinson (Eysins, Switzerland), Fresenius-Kabi (Bad Homburg, Germany), Paion (Aachen, Germany), Medcaptain Europe (Andelst, The Netherlands), Baxter (Chicago, IL, USA), Eagle Pharmaceuticals Inc. (Woodcliff, NJ, USA) and HanaPharm (Seoul, Republic of Korea). He receives royalties on intellectual property from Demed Medical (Sinaai, Belgium) and Ghent University (Ghent, Belgium).

Ethics approval

Not applicable.
Not applicable.
Not applicable.

Availability of data and material

Not applicable.

Code availability

Not applicable.

Authors’ contributions

BTdJ: literature search, conceptualization, and writing. DJE: writing sections, manuscript correction. KPM: writing sections, literature search, manuscript correction. MMRFS: conceptualization, writing sections, manuscript correction.
Open Access This article is licensed under a Creative Commons Attribution-NonCommercial 4.0 International License, which permits any non-commercial use, sharing, adaptation, distribution and reproduction in any medium or format, as long as you give appropriate credit to the original author(s) and the source, provide a link to the Creative Commons licence, and indicate if changes were made. The images or other third party material in this article are included in the article's Creative Commons licence, unless indicated otherwise in a credit line to the material. If material is not included in the article's Creative Commons licence and your intended use is not permitted by statutory regulation or exceeds the permitted use, you will need to obtain permission directly from the copyright holder. To view a copy of this licence, visit http://creativecommons.org/licenses/by-nc/4.0/.
download
DOWNLOAD
print
DRUCKEN
Titel
Clinical Pharmacokinetics and Pharmacodynamics of Remimazolam
Verfasst von
Bas T. de Jong
Douglas J. Eleveld
Keira P. Mason
Michel M. R. F. Struys
Publikationsdatum
21.07.2025
Verlag
Springer International Publishing
Erschienen in
Clinical Pharmacokinetics / Ausgabe 9/2025
Print ISSN: 0312-5963
Elektronische ISSN: 1179-1926
DOI
https://doi.org/10.1007/s40262-025-01548-7
1.
Zurück zum Zitat Kilpatrick GJ, McIntyre MS, Cox RF, Stafford JA, Pacofsky GJ, Lovell GG, et al. CNS 7056: a novel ultra-short-acting benzodiazepine. Anesthesiology. 2007;107(1):60–6.PubMedCrossRef
2.
Zurück zum Zitat Rang HP, Dale MM, Ritter JM, Flower RJ. Rang and Dale’s pharmacology. 6th ed. Philadelphia: Elsevier; 2007.
3.
Zurück zum Zitat Antonik LJ, Goldwater DR, Kilpatrick GJ, Tilbrook GS, Borkett KM. A placebo- and midazolam-controlled phase I single ascending-dose study evaluating the safety, pharmacokinetics, and pharmacodynamics of remimazolam (CNS 7056): part I. Safety, efficacy, and basic pharmacokinetics. Anesth Analg. 2012;115(2):274–83.PubMedCrossRef
4.
Zurück zum Zitat Kilpatrick GJ. Remimazolam: non-clinical and clinical profile of a new sedative/anesthetic Aaent. Front Pharmacol. 2021;12: 690875.PubMedPubMedCentralCrossRef
5.
Zurück zum Zitat US FDA. Byfavo® (remimazolam) for injection, for intravenous use, CIV Initial US Approval: 2020. 2023.
6.
Zurück zum Zitat Masui K. Remimazolam besilate, a benzodiazepine, has been approved for general anesthesia! J Anesth. 2020;34(4):479–82.PubMedCrossRef
7.
Zurück zum Zitat European Medicines Agency. Byfavo. 2024. https://www.ema.europa.eu/en/medicines/human/EPAR/byfavo. Accessed 30 Oct 2024.
8.
Zurück zum Zitat PLC C. EndNote 21™. 21.3 (Build 17918) ed. St. Helier, Sjersey: Clarivate™; 2024.
9.
Zurück zum Zitat DrugBAnk Online. Remimazolam: uses, interactions, mechanism of action. 24 Aug 2024. https://go.drugbank.com/drugs/DB12404. Accessed 30 Oct 2024.
10.
Zurück zum Zitat European Medicines Agency. EMA summary of product characteristics (SmPC) Byfavo (remimazolam). 6 May 2024. https://www.ema.europa.eu/en/documents/product-information/byfavo-epar-product-information_en.pdf. Accessed 11 Jun 2024.
11.
Zurück zum Zitat MHRA. Public assessment report: national procedure: Byfavo 20mg powder for solution for injection remimazolam besylate PLGB 54212/0001. 2021. https://mhraproducts4853.blob.core.windows.net/docs/c71074a0d61f2f8f76ac9f046bee4b2b9e282899. Accessed 19 Nov 2024.
12.
Zurück zum Zitat 毅峰 Ngc-林. YPSN202300028-N2(PPT).pdf - 注射用甲苯磺酸瑞马唑仑 (瑞倍宁®). nhsa.gov.cn; 2023: p. 3. Accessed 13 Jul 2025.
13.
Zurück zum Zitat Ltd JHPC. Hengrui pipeline: 恒瑞医药. https://www.hengrui.com/en/pipeline.html. Accessed 21 Aug 2024.
14.
Zurück zum Zitat Zhang H, Fu M, Yue F, Wei Y, Shi X, Yu S, Ji F. Comparison of the anesthetic effects of remimazolam tosilate and remimazolam besylate in daytime hysteroscopic surgery. BMC Anesthesiol. 2024;24(1):382.PubMedPubMedCentralCrossRef
15.
Zurück zum Zitat MHRA. Summary of product characteristics. 30 Aug 2023. https://mhraproducts4853.blob.core.windows.net/docs/d33377f81962ea12047c7c8e7fa4657a3c189f16. Accessed 19 Nov 2024.
16.
Zurück zum Zitat Fechner J, El-Boghdadly K, Spahn DR, Motsch J, Struys M, Duranteau O, et al. Anaesthetic efficacy and postinduction hypotension with remimazolam compared with propofol: a multicentre randomised controlled trial. Anaesthesia. 2024;79(4):410–22.PubMedCrossRef
17.
Zurück zum Zitat Doi M, Hirata N, Suzuki T, Morisaki H, Morimatsu H, Sakamoto A. Safety and efficacy of remimazolam in induction and maintenance of general anesthesia in high-risk surgical patients (ASA Class III): results of a multicenter, randomized, double-blind, parallel-group comparative trial. J Anesth. 2020;34(4):491–501.PubMedCrossRef
18.
Zurück zum Zitat Doi M, Morita K, Takeda J, Sakamoto A, Yamakage M, Suzuki T. Efficacy and safety of remimazolam versus propofol for general anesthesia: a multicenter, single-blind, randomized, parallel-group, phase IIb/III trial. J Anesth. 2020;34(4):543–53.PubMedCrossRef
19.
Zurück zum Zitat Kim WJ, Li J, Oh I-S, Song I, Lee E, Namkoong K, Shin J-Y. Benzodiazepine use and risk of acute angle-closure glaucoma: a population-based case-crossover study. Drug Saf. 2020;43(6):539–47.PubMedCrossRef
20.
Zurück zum Zitat Keam SJ. Remimazolam: first approval. Drugs. 2020;80(6):625–33.PubMedCrossRef
21.
Zurück zum Zitat Kempenaers S, Hansen TG, Van de Velde M. Remimazolam and serious adverse events: a scoping review. Eur J Anaesthesiol. 2023;40(11):841–53.PubMedCrossRef
22.
Zurück zum Zitat Volcheck GW, Mertes PM. Local and general anesthetics immediate hypersensitivity reactions. Immunol Allergy Clin N Am. 2014;34(3):525–46.CrossRef
23.
Zurück zum Zitat Hu X, Tang Y, Fang X. Laryngeal edema following remimazolam-induced anaphylaxis: a rare clinical manifestation. BMC Anesthesiol. 2023;23(1):99.PubMedPubMedCentralCrossRef
24.
Zurück zum Zitat Pesic M, Schippers F, Saunders R, Webster L, Donsbach M, Stoehr T. Pharmacokinetics and pharmacodynamics of intranasal remimazolam—a randomized controlled clinical trial. Eur J Clin Pharmacol. 2020;76(11):1505–16.PubMedPubMedCentralCrossRef
25.
Zurück zum Zitat Pesic M, Stöhr T, Ossig J, Borkett K, Donsbach M, Dao VA, et al. Remimazolam has low oral bioavailability and no potential for misuse in drug-facilitated sexual assaults, with or without alcohol: results from two randomised clinical trials. Drugs R D. 2020;20(3):267–77.PubMedPubMedCentralCrossRef
26.
Zurück zum Zitat Schmalix W, Petersen KU, Pesic M, Stohr T. The metabolism of the new benzodiazepine remimazolam. Curr Drug Metab. 2024;25(2):164–73.PubMedCrossRef
27.
Zurück zum Zitat Zhou Y, Hu P, Jiang J. Metabolite characterization of a novel sedative drug, remimazolam in human plasma and urine using ultra high-performance liquid chromatography coupled with synapt high-definition mass spectrometry. J Pharm Biomed Anal. 2017;15(137):78–83.CrossRef
28.
Zurück zum Zitat Stöhr T, Colin PJ, Ossig J, Pesic M, Borkett K, Winkle P, et al. Pharmacokinetic properties of remimazolam in subjects with hepatic or renal impairment. Br J Anaesth. 2021;127(3):415–23.PubMedCrossRef
29.
Zurück zum Zitat Petersen KU, Schmalix W, Pesic M, Stohr T. Drug-drug interaction potential of remimazolam: CYP 450, transporters, and protein binding. Curr Drug Metab. 2024;25(4):266–75.PubMedCrossRef
30.
Zurück zum Zitat Schüttler J, Eisenried A, Lerch M, Fechner J, Jeleazcov C, Ihmsen H. Pharmacokinetics and pharmacodynamics of remimazolam (CNS 7056) after continuous infusion in healthy male volunteers: part I. Pharmacokinetics and clinical pharmacodynamics. Anesthesiology. 2020;132(4):636–51.PubMedCrossRef
31.
Zurück zum Zitat Wiltshire HR, Kilpatrick GJ, Tilbrook GS, Borkett KM. A placebo- and midazolam-controlled phase I single ascending-dose study evaluating the safety, pharmacokinetics, and pharmacodynamics of remimazolam (CNS 7056): part II. Population pharmacokinetic and pharmacodynamic modeling and simulation. Anesth Analg. 2012;115(2):284–96.PubMedCrossRef
32.
Zurück zum Zitat Zhou J, Leonowens C, Ivaturi VD, Lohmer LL, Curd L, Ossig J, et al. Population pharmacokinetic/pharmacodynamic modeling for remimazolam in the induction and maintenance of general anesthesia in healthy subjects and in surgical subjects. J Clin Anesth. 2020;66: 109899.PubMedCrossRef
33.
Zurück zum Zitat Zhou J, Curd L, Lohmer LL, Ossig J, Schippers F, Stoehr T, et al. Population Pharmacokinetics of remimazolam in procedural sedation with nonhomogeneously mixed arterial and venous concentrations. Clin Transl Sci. 2021;14(1):326–34.PubMedCrossRef
34.
Zurück zum Zitat Masui K, Stöhr T, Pesic M, Tonai T. A population pharmacokinetic model of remimazolam for general anesthesia and consideration of remimazolam dose in clinical practice. J Anesth. 2022;36(4):493–505.PubMedCrossRef
35.
Zurück zum Zitat Eleveld DJ, Colin PJ, van den Berg JP, Koomen JV, Stoehr T, Struys MMRF. Covariate analysis of remimazolam pharmacokinetics and pharmacodynamics and proposed dosing and concentrations for anaesthesia and sedation. Br J Anaesth. 2025;135:206–217.
36.
Zurück zum Zitat Masui K, Hagihira S. Equilibration rate constant, k(e0), to determine effect-site concentration for the Masui remimazolam population pharmacokinetic model in general anesthesia patients. J Anesth. 2022;36(6):757–62.PubMedCrossRef
37.
Zurück zum Zitat Masui K, Hagihira S. Correction: equilibration rate constant, k(e0), to determine effect-site concentration for the Masui remimazolam population pharmacokinetic model in general anesthesia patients. J Anesth. 2022;36(6):763.PubMedCrossRef
38.
Zurück zum Zitat Vellinga R, Koomen JV, Eleveld DJ, Stöhr T, Pesic M, Struys M, et al. Target-controlled infusion of remimazolam in healthy volunteers shows some acute tolerance. Anesthesiology. 2024;140(2):207–19.PubMedCrossRef
39.
Zurück zum Zitat Eisenried A, Schüttler J, Lerch M, Ihmsen H, Jeleazcov C. Pharmacokinetics and pharmacodynamics of remimazolam (CNS 7056) after continuous infusion in healthy male volunteers: part II. Pharmacodynamics of electroencephalogram effects. Anesthesiology. 2020;132(4):652–66.PubMedCrossRef
40.
Zurück zum Zitat Vellinga R, Koomen JV, Eleveld DJ, Stohr T, Pesic M, Struys M, et al. Influence of remifentanil on the Pparmacokinetics and pharmacodynamics of remimazolam in healthy volunteers. Anesthesiology. 2025;142(4):666–79.PubMedCrossRef
41.
Zurück zum Zitat Bardol M, Pan S, Walker SM, Standing JF, Dawes JM. Pharmacokinetic pharmacodynamic modeling of analgesics and sedatives in children. Paediatr Anaesth. 2023;33(10):781–92.PubMedPubMedCentralCrossRef
42.
Zurück zum Zitat Sheng XY, Liang Y, Yang XY, Li LE, Ye X, Zhao X, et al. Safety, pharmacokinetic and pharmacodynamic properties of single ascending dose and continuous infusion of remimazolam besylate in healthy Chinese volunteers. Eur J Clin Pharmacol. 2020;76(3):383–91.PubMedCrossRef
43.
Zurück zum Zitat Chernik DA, Gillings D, Laine H, Hendler J, Silver JM, Davidson AB, et al. Validity and reliability of the Observer’s Assessment of Alertness/Sedation scale: study with intravenous midazolam. J Clin Psychopharmacol. 1990;10(4):244–51.PubMed
44.
Zurück zum Zitat Zhou J, Curd L, Lohmer LRL, Delpratt N, Ossig J, Schippers F, et al. A population pharmacodynamic Markov mixed-effects model for determining remimazolam-induced sedation when co-administered with fentanyl in procedural sedation. Clin Transl Sci. 2021;14(4):1554–65.PubMedPubMedCentralCrossRef
45.
Zurück zum Zitat Shirozu K, Nobukuni K, Tsumura S, Imura K, Nakashima K, Takamori S, et al. Neurological sedative indicators during general anesthesia with remimazolam. J Anesth. 2022;36(2):194–200.PubMedCrossRef
46.
Zurück zum Zitat Worthington MT, Antonik LJ, Goldwater DR, Lees JP, Wilhelm-Ogunbiyi K, Borkett KM, et al. A phase Ib, dose-finding study of multiple doses of remimazolam (CNS 7056) in volunteers undergoing colonoscopy. Anesth Analg. 2013;117(5):1093–100.PubMedCrossRef
47.
Zurück zum Zitat Choi BM, Lee JS, Kim KM, Bang JY, Lee EK, Noh GJ. Frequency and characteristics of patients with bispectral index values of 60 or higher during the induction and maintenance of general anesthesia with remimazolam. Sci Rep. 2023;13(1):9992.PubMedPubMedCentralCrossRef
48.
Zurück zum Zitat Kim KM, Bang JY, Choi BM, Noh GJ. Assessment of explicit and implicit memories during remimazolam anaesthesia using the process dissociation procedure: a prospective cohort study. Eur J Anaesthesiol. 2023;40(11):833–40.PubMedPubMedCentralCrossRef
49.
Zurück zum Zitat Pereira EM, Moraes VR, GayadaCosta M, Nascimento TSD, Slawka E, Júnior CG, et al. Remimazolam vs. propofol for general anaesthesia in elderly patients: a meta-analysis with trial sequential analysis. Eur J Anaesthesiol. 2024;41(10):738–48.PubMedPubMedCentralCrossRef
50.
Zurück zum Zitat Chen X, Zhang J, Yuan S, Huang H. Remimazolam besylate for the sedation of postoperative patients undergoing invasive mechanical ventilation in the ICU: a prospective dose-response study. Sci Rep. 2022;12(1):19022.PubMedPubMedCentralCrossRef
51.
Zurück zum Zitat Chae D, Kim HC, Song Y, Choi YS, Han DW. Pharmacodynamic analysis of intravenous bolus remimazolam for loss of consciousness in patients undergoing general anaesthesia: a randomised, prospective, double-blind study. Br J Anaesth. 2022;129(1):49–57.PubMedCrossRef
52.
Zurück zum Zitat Masui K. Caution! Reappearance of remimazolam effect after a flumazenil bolus: a larger bolus of flumazenil and a lower total remimazolam clearance are higher risks. J Anesth. 2023;37(1):1–5.PubMedCrossRef
53.
Zurück zum Zitat Sato T, Nishiwaki K. Comparison of remimazolam and propofol in anesthetic management for awake craniotomy: a retrospective study. J Anesth. 2022;36(1):152–5.PubMedCrossRef
54.
Zurück zum Zitat Komatsu S, Isogai T, Makito K, Matsui H, Fushimi K, Yasunaga H. Seizure after flumazenil reversal for total intravenous anaesthesia with remimazolam versus propofol: a matched retrospective cohort analysis of a large Japanese nationwide inpatient database. Br J Anaesth. 2025;134(4):1050–7.PubMedPubMedCentralCrossRef
55.
Zurück zum Zitat Evered LA, Pryor KO. Benzodiazepines and postoperative delirium: should we be as cautious as we are? Br J Anaesth. 2023;131(4):629–31.PubMedCrossRef
56.
Zurück zum Zitat Yang JJ, Lei L, Qiu D, Chen S, Xing LK, Zhao JW, et al. Effect of remimazolam on postoperative delirium in older adult patients undergoing orthopedic surgery: a prospective randomized controlled clinical trial. Drug Des Dev Ther. 2023;17:143–53.CrossRef
57.
Zurück zum Zitat Duan J, Ju X, Wang X, Liu N, Xu S, Wang S. Effects of remimazolam and propofol on emergence agitation in elderly patients undergoing hip replacement: a clinical, randomized, controlled study. Drug Des Dev Ther. 2023;17:2669–78.CrossRef
58.
Zurück zum Zitat Vozoris NT. Do benzodiazepines contribute to respiratory problems? Expert Rev Respir Med. 2014;8(6):661–3.PubMedCrossRef
59.
Zurück zum Zitat Shimamoto Y, Sanuki M, Kurita S, Ueki M, Kuwahara Y, Matsumoto A. Factors affecting prolonged time to extubation in patients given remimazolam. PLoS One. 2022;17(5): e0268568.PubMedPubMedCentralCrossRef
60.
Zurück zum Zitat Barbosa EC, Espirito Santo PA, Baraldo S, Meine GC. Remimazolam versus propofol for sedation in gastrointestinal endoscopic procedures: a systematic review and meta-analysis. Br J Anaesth. 2024;132(6):1219–29.PubMedCrossRef
61.
Zurück zum Zitat An X, Shen T, Yin X, Xu J, Zhang Y, Wang T. The safety of remimazolam versus propofol in gastroscopic sedation: a meta-analysis. BMC Anesthesiol. 2024;24(1):40.PubMedPubMedCentralCrossRef
62.
Zurück zum Zitat Rex DK, Bhandari R, Desta T, DeMicco MP, Schaeffer C, Etzkorn K, et al. A phase III study evaluating the efficacy and safety of remimazolam (CNS 7056) compared with placebo and midazolam in patients undergoing colonoscopy. Gastrointest Endosc. 2018;88(3):427-37.e6.PubMedCrossRef
63.
Zurück zum Zitat Sekimoto S, Kiyama S, Uezono S. Successful reversal of remimazolam anesthesia in a “cannot intubate, can ventilate” situation: a case report. JA Clin Rep. 2023;9(1):46.PubMedPubMedCentralCrossRef
64.
Zurück zum Zitat Zhang M, Liu H, Han X, Guo J, Ge Y. Reversing the triad of anaesthesia in a cannot intubate, cannot oxygenate emergency. Br J Anaesth. 2024;133(1):190–2.PubMedCrossRef
65.
Zurück zum Zitat Sahinovic MM, Struys MMRF, Absalom AR. Clinical pharmacokinetics and pharmacodynamics of propofol. Clin Pharmacokinet. 2018;57:1539–58.PubMedPubMedCentralCrossRef
66.
Zurück zum Zitat Masui K. Remimazolam: its clinical pharmacology and evolving role in anesthesia and sedation practice. Curr Opin Anaesthesiol. 2024;37(4):344–51.PubMedCrossRef
67.
Zurück zum Zitat Sato T, Ando T, Ozeki K, Asano I, Kuwatsuka Y, Ando M, et al. Prospective randomized controlled trial comparing anesthetic management with remimazolam besylate and flumazenil versus propofol during awake craniotomy following an asleep-awake-asleep method. J Neurosurg Anesthesiol. 2025;37(1):40–6.PubMedCrossRef
68.
Zurück zum Zitat Suzuki Y, Kawashima S, Makino H, Doi M, Nakajima Y. Comparison of postoperative nausea and vomiting between remimazolam and propofol: a propensity score-matched, retrospective, observational, single-center cohort study. Korean J Anesthesiol. 2023;76(2):143–51.PubMedCrossRef
69.
Zurück zum Zitat Kim EJ, Kim CH, Yoon JY, Byeon GJ, Kim HY, Choi EJ. Comparison of postoperative nausea and vomiting between remimazolam and propofol in Patients undergoing oral and maxillofacial surgery: a prospective randomized controlled trial. BMC Anesthesiol. 2023;23(1):132.PubMedPubMedCentralCrossRef
70.
Zurück zum Zitat Gao YQ, Ihmsen H, Hu ZY, Sun W, Fang YB, Wang Z, et al. Pharmacokinetics of remimazolam after intravenous infusion in anaesthetised children. Br J Anaesth. 2023;131(5):914–20.PubMedCrossRef
71.
Zurück zum Zitat Björnsson MA, Norberg Å, Kalman S, Simonsson USH. A recirculatory model for pharmacokinetics and the effects on Bispectral Index after intravenous infusion of the sedative and anesthetic AZD3043 in healthy volunteers. Anesth Analg. 2015;121(4):904–13.PubMedCrossRef