Zum Inhalt

Clinical Pharmacokinetics of Oral ALZ-801/Valiltramiprosate in a 2-Year Phase 2 Trial of APOE4 Carriers with Early Alzheimer’s Disease

  • Open Access
  • 05.02.2025
  • ORIGINAL ARTICLE
Erschienen in:

Abstract

Introduction

ALZ-801/valiltramiprosate is an oral, small-molecule inhibitor of β-amyloid (Aβ) oligomer formation in late-stage development as a potential disease-modifying therapy for Alzheimer’s disease (AD). ALZ-801, a valine-conjugated prodrug, is rapidly converted to tramiprosate after oral dosing. Upon conversion to tramiprosate, it generates a single metabolite, 3-sulfopropanoic acid (3-SPA). Both tramiprosate and 3-SPA are active anti-Aβ oligomer agents that mediate ALZ-801’s central mechanism of action (MOA). We summarize herein the pharmacokinetics (PK) of ALZ-801 in apolipoprotein ε4 (APOE4) carrier subjects with early AD from a phase 2 trial.

Methods

The ALZ-801 phase 2 study was designed to evaluate longitudinal effects of ALZ-801 (265 mg BID) on plasma, cerebrospinal fluid (CSF) and volumetric magnetic resonance imaging (MRI) AD biomarkers, and clinical outcomes over 104 weeks in APOE4 carriers with early AD. Eighty-four subjects (31 APOE4/4 homozygotes and 53 APOE3/4 heterozygotes) with positive CSF biomarkers of amyloid and tau pathology were enrolled. The phase 2 study included a substudy of 24 subjects to provide 8-h steady-state PK at 65 weeks. Sparse PK samples were also analyzed. The relationships between plasma PK exposure and clinical characteristics [i.e., sex, APOE genotype, age, body mass index (BMI), estimated glomerular filtration rate (eGFR), concomitant acetylcholinesterase inhibitor (AChEI) use, and tablet lot] were evaluated.

Results

The steady-state plasma PK results were closely aligned with the previous 2-week PK in the ALZ-801 phase 1b study in APOE4 carrier subjects with AD, as well as a phase 1 7-day PK study in heathy elderly volunteers. Following oral dosing, ALZ-801 was rapidly converted to the active moieties, tramiprosate and 3-SPA. The intersubject variability in plasma drug levels was low, confirming the superior performance of ALZ-801 versus oral tramiprosate tablet (150 mg BID) from the earlier tramiprosate phase 3 trials. Correlation analysis versus clinical characteristics showed that plasma exposures (Cmax and AUC8h) for ALZ-801, tramiprosate, and 3-SPA were not affected by sex, APOE genotype, age, BMI, concomitant AChEI use, or tablet lot. Plasma exposures of both tramiprosate and 3-SPA, but not ALZ-801, were inversely correlated with eGFR, in line with renal excretion as the primary route of elimination. ALZ-801 was well tolerated without new safety signals or events of amyloid-related imaging abnormalities (ARIA).

Conclusions

The steady-state PK profile of oral ALZ-801 in subjects with early AD was not affected by sex, APOE genotype, age, BMI, concomitant use of AChEI, or tablet lot. The inverse relationship of plasma exposures of tramiprosate and 3-SPA, but not ALZ-801, versus eGFR is consistent with renal clearance as the primary route of elimination for tramiprosate and 3-SPA (active moieties), and with the efficient conversion of ALZ-801 prodrug to the active moieties after dosing. These results demonstrate that ALZ-801 displays favorable PK properties without evidence of interactions with demographic characteristics and support its development as an oral disease-modifying treatment for AD.

Supplementary Information

The online version contains supplementary material available at https://doi.org/10.1007/s40262-025-01482-8.
Key Points
ALZ-801 was rapidly absorbed and efficiently converted to its active moieties, tramiprosate and 3-SPA. The steady-state plasma exposures of tramiprosate and 3-SPA were sustained, consistent with an earlier 2-week phase 1b pharmacokinetic (PK) study in APOE4 carrier subjects with AD, as well as a 7-day phase 1 PK study in heathy elderly volunteers. The inter-individual variability was low.
The plasma exposures for ALZ-801, tramiprosate, and 3-SPA were not affected by sex, APOE genotype, age, body mass index, concomitant acetylcholinesterase inhibitor use, or tablet lot. The plasma exposures of both tramiprosate and 3-SPA, but not ALZ-801, inversely correlated with estimated glomerular filtration rate (eGFR), consistent with renal excretion as the primary route of elimination.
These results demonstrate consistent PK properties of ALZ-801 and support its development as a potential oral disease-modifying treatment for AD.

1 Introduction

Alzheimer’s disease (AD) remains an enormous medical and socioeconomic challenge with limited treatment options. The traditional symptomatic management paradigms, i.e., acetylcholinesterase inhibitors (AChEI; e.g., donepezil) and the N-methyl-d-aspartate (NMDA) receptor antagonist memantine, are known to have modest clinical effects with short efficacy duration, and do not slow the disease progression [1]. Recently, three anti-amyloid antibodies (aducanumab, lecanemab, and donanemab) have been approved by the Food and Drug Administration (FDA) for the treatment of AD [24]. While the antibody agents have demonstrated potential for disease modification, they are associated with a high risk of developing amyloid-related imaging abnormalities (ARIA), including vasogenic edema (ARIA-E) and hemorrhagic complications (ARIA-H), which are especially prominent in apolipoprotein ε4 (APOE4) carrier patients with AD [5, 6]. Furthermore, antibody treatments require parenteral routes of administration, which increase the burden to patients. Therefore, better treatments are needed for patients with AD that could significantly improve cognitive or functional endpoints or slow disease progression, while maintaining a favorable safety profile and a convenient dosing regimen.
ALZ-801/valiltramiprosate is an orally bioavailable, small-molecule inhibitor of β-amyloid (Aβ) oligomer formation currently in clinical development as a potential disease-modifying treatment for AD. ALZ-801 was evaluated in a APOLLOE4 phase 3 placebo-controlled study in 325 APOE4/4 subjects with early AD (NCT04770220), with the main results being prepared for publication. ALZ-801 is also being evaluated in a long-term extension (LTE) of this recently completed phase 3 trial (NCT06304883), and in the LTE of a 2-year phase 2 biomarker study in APOE4 carrier patients with AD (NCT04693520). We recently reported that 2 years of oral treatment with ALZ-801 tablets resulted in a significant, 31% decrease of plasma p-tau181, a reduction of hippocampal atrophy (measured by volumetric MRI), as well as stabilization of cognitive outcomes in 84 APOE4 carrier patients with early AD [7]. There was a significant correlation between reduced hippocampal atrophy and cognitive stability over 2 years. Additionally, using a quantitative systems pharmacology approach, we demonstrated that ALZ-801 treatment arrested the progressive decline in CSF Aβ42 levels and plasma Aβ42/Aβ40 ratio, and stabilized the cognitive outcome Rey Auditory Verbal Learning Test (RAVLT) over 2 years of treatment [8]. These results support target engagement and suggest a disease-modifying effect of ALZ-801 treatment in patients with early AD. Together with the favorable safety profile without any events of ARIA, these data continue to support the development of ALZ-801 as a disease-modifying anti-amyloid therapy for AD [9].
ALZ-801, (S)−3-(2-amino-3-methylbutanamido) propane-1-sulfonic acid, is a valine-conjugated prodrug of tramiprosate. Following oral administration, ALZ-801 is efficiently absorbed and then rapidly converted to tramiprosate and the amino acid valine. The metabolism of tramiprosate in humans generates a single metabolite, 3-sulfopropanoic acid (3-SPA) [10]. Both tramiprosate and 3-SPA are pharmacologically active in inhibition of Aβ oligomer formation, which mediate ALZ-801’s mechanism of action (MOA), and both tramiprosate and 3-SPA readily penetrate the blood–brain barrier [1012].
The anti-Aβ aggregation effect of tramiprosate is well established [1322]. We have provided further elucidation on its molecular MOA as an inhibitor of Aβ oligomer formation, which is via a multiligand, enveloping, conformational modification mechanism [11]. In addition, 3-SPA exerts similar inhibition on Aβ oligomers [12]. Both tramiprosate and 3-SPA bind and stabilize soluble Aβ monomers in a semicyclic conformational state that prevents aggregation, resulting in reduced formation of toxic oligomers and inhibition of the subsequent neurotoxic amyloid cascade that is implicated in AD pathogenesis [11, 12, 21, 23, 24]. In vivo, repeated oral tramiprosate dosing produced a significant (∼ 30%) reduction in cerebral insoluble amyloid plaques, as well as both soluble and insoluble Aβ40 and Aβ42 in a transgenic AD mouse model [16]. This anti-Aβ oligomer MOA is consistent with the previously observed APOE4 gene dose-related efficacy in tramiprosate phase 3 clinical trials in patients with AD in prespecified subpopulation analyses [5, 2530].
Previously, we reported the phase 1 pharmacokinetics (PK) and safety of ALZ-801 in healthy male and female adult and elderly volunteers, including a single ascending dose (SAD) study, a multiple ascending dose (MAD) study, and a single-dose tablet food-effect study [10]. Overall, these results demonstrate that ALZ-801 exhibits improved oral tolerability and PK characteristics versus tramiprosate and represents a novel prodrug approach to achieving optimal delivery of tramiprosate into the brain [10]. Furthermore, we evaluated steady-state PK profiles following 2 weeks of oral ALZ-801 tablet 265 mg BID in APOE4 carrier subjects with early AD in a phase 1b clinical trial (ALZ-801-106ADPK study). These data show that oral ALZ-801 tablet delivers consistent steady-state plasma exposures for the active agents, tramiprosate and 3-SPA, after 2 weeks of treatment in APOE4 carrier subjects with AD.
In the present report, we summarize the phase 2 plasma steady-state PK profiles of the prodrug ALZ-801 and the active molecules, tramiprosate and 3-SPA, in APOE4 carrier subjects with early AD following oral ALZ-801 tablets 265 mg administered BID over 104 weeks. Considering that the phase 2 dose regimen is same as the earlier ALZ-801-106ADPK phase 1b study, we also include the 2-week steady-state PK data from that study as a reference.

2 Methods

2.1 Study Protocol Approval and Informed Consent

The study was conducted in the Czech Republic and the Netherlands, according to the principles of the Declaration of Helsinki. The study was approved by the Institutional Review Boards of all study centers, upon approval of the clinical trial applications by the respective health and regulatory authorities. The study and informed consents were also approved by the Independent Ethics Committee at each study center, and all patients and/or their legal representatives and study partners provided written informed consent. The trial was conducted in accordance with the International Council for Harmonisation (ICH) Guideline for Good Clinical Practice (GCP) and applicable local regulatory requirements.

2.2 Study Design

The phase 2 biomarker study (ALZ-801-201ADBM) was designed to evaluate the longitudinal effects of ALZ-801 (265 mg BID) on cerebrospinal fluid (CSF) and plasma biomarkers of AD pathology, brain magnetic resonance imaging (MRI) volumetric measures, and clinical outcomes over 104 weeks in APOE4 carriers with early AD [7, 8]. The study enrolled subjects with early AD, which includes subjects with mild cognitive impairment (MCI) with Mini-Mental State Examination (MMSE) score ≥ 27 and mild AD with MMSE score of 22–26. A total of 84 subjects including 31 APOE4/4 homozygotes and 53 APOE3/4 heterozygotes were enrolled at seven study sites: three in the Netherlands and four in the Czech Republic. Seventy-seven subjects completed 52 weeks, and 70 completed 104 weeks. All eligible subjects had confirmed positive biomarkers of amyloid and tau pathology in CSF at baseline (i.e., high CSF p-tau181 and low Aβ42/Aβ40 levels). Subjects with estimated glomerular filtration rate (eGFR) < 40 mL/min/1.73 m2 were excluded from the study. After a 2-week titration during which a single 265 mg oral tablet of ALZ-801 was taken in the evening, subjects received a 265 mg tablet twice daily with the morning and evening meals. The demographic and baseline characteristics of study subjects are summarized in Table 1.
Table 1
Baseline demographics and clinical characteristics
Characteristics
Baseline values (n = 84)
Age (years)
69.0 (5.4, range 53–80)
Sex
Female, n = 44
Male, n = 40
APOE genotype
APOE4/4, n = 31
APOE3/4, n = 53
MMSE
25.6 (2.6, range 30–21)
MCI
70%
Mild AD
30%
CDR-Global
0.58 (0.18, range 0.5–1.0)
BMI
25.1 (3.2, range 17.5–34.1)
eGFR
eGFR ≥ 90 mL/min/1.73 m2, n = 17
eGFR = 60–89 mL/min/1.73 m2, n = 56
eGFR = 30–59 mL/min/1.73 m2, n = 11
Concomitant AChEI use
55%
Data are expressed as numbers of subjects, means (SD, range), or % as appropriate
AChEI acetylcholinesterase inhibitor, BMI body mass index, CDR-Global Clinical Dementia Rating-Global scale, eGFR estimated glomerular filtration rate, MCI Mild Cognitive Impairment, MMSE Mini-Mental State Examination
The primary efficacy outcome was the change from baseline in plasma p-tau181 levels, and the secondary biomarker outcomes were the effects of ALZ-801 on plasma levels of Aβ42 and Aβ40. The main imaging outcome was the effect of ALZ-801 on hippocampal atrophy as measured by volumetric MRI. Additional measures were the effects of ALZ-801 on cognitive and functional measures over 104 weeks. Safety measures included treatment-emergent adverse events, suicidality assessments, laboratory tests, and electrocardiogram (ECG). Safety brain MRIs were conducted at baseline, 52 weeks, and 104 weeks, and were evaluated by a central neuroradiologist to monitor for the occurrence of ARIA [7, 8].

2.3 Tablet Manufacturing Lots

ALZ-801 tablet lots 20242 and 21172 were used for the PK substudy as described below and were both manufactured from the good manufacturing practice (GMP)-grade active pharmaceutical ingredient (API) lot BX1002070. ALZ-801 tablet lot 18064 (API lot BX1002058) was used for the earlier ALZ-801-106ADPK phase 1b study (data included as a reference in this analysis).

2.4 PK Sampling

The ALZ-801 phase 2 biomarker study included a substudy of 24 subjects to provide a detailed steady-state PK profile at 65 weeks, with pre-dose and post-dose hourly plasma samples collected from 0 through 8 h. In addition, sparse single time-point PK sampling was conducted on day 1 and at weeks 6, 13, 39, 65, 78, and 104. The schedule of study activities is detailed in Fig. 1.
Fig. 1
ALZ-801 phase 2 biomarker study design, activities, and PK sampling visits. A-IADL Amsterdam Instrumental Activities of Daily Living, BID twice daily, CDR Clinical Dementia Rating, CSF cerebrospinal fluid, DSST Digit Symbol Substitution Test, ECG electrocardiogram, FU follow-up, INR international normalized ratio for assessment of prothrombin time, MMSE Mini-Mental State Exam, MRI magnetic resonance imaging, PET positron emission tomography, PK pharmacokinetics, QD once daily, RAVLT Rey Auditory Verbal Learning Test, Tel telephone, V visit, W week
Bild vergrößern

2.5 Bioanalysis

The bioanalysis of ALZ-801, tramiprosate, and 3-SPA concentrations in plasma samples was conducted under good clinical practices (GCP)/good laboratory practices (GLP) conditions using a validated liquid chromatography (LC)/mass spectrometry (MS)/MS method at Resolian (previously LGC Ltd, Fordham, Cambridgeshire, UK). The dynamic analytical range in human plasma samples was 10–10,000 ng/mL for ALZ-801 and tramiprosate, and 40–1000 ng/mL for 3-SPA. The lower limit of quantification (LLOQ) was 10 ng/mL for ALZ-801 and tramiprosate, and 40 ng/mL for 3-SPA. The bioanalytical coefficient of variation (CV%) was 3.3–5.8%, 3.8–6.8%, and 7.9–19.5% for the three analytes, namely ALZ-801, tramiprosate, and 3-SPA, respectively.

2.6 PK Data Analysis

The 8-h PK data analysis at week 65 was performed using the validated Phoenix WinNonlin v8.4 software (Certara, Princeton, NJ). The individual plasma concentration versus time course data were processed by the noncompartmental analysis (NCA) method (extravascular model for the oral route), using linear trapezoidal curve fitting. A best fit method was assigned to select the lambda Z range automatically by the software. Concentration values below the LLOQ were treated as zero for data analysis. Area under the curve (AUC) analysis, specifically AUC12h and AUCinf, were determined by extrapolation. We presently compared the 8-h time-course PK data studied in the ALZ-801-201ADBM phase 2 study with the previous ALZ-801-106ADPK phase 1b study, which was sampled for 24 h.
The sparse PK data from the ALZ-801 phase 2 trial were designed to provide an assessment of pre-dose trough drug levels immediately before the next oral dose (i.e., approximately 12 h from the previous dose). It was observed that some of the subjects gave blood samples shortly after an oral ALZ-801 tablet was taken, on the basis of the assessment of plasma drug exposure levels of ALZ-801 and tramiprosate. Therefore, an estimated post-dose time (instead of the nominal time) was used for data analysis as this provided the best estimate to derive plasma levels of the three analytes (ALZ-801, tramiprosate, and 3-SPA) and their relative time-course relationship. While the sparse data are a suitable surrogate for steady-state exposure of the active moieties tramiprosate and 3-SPA, the 8-h PK data at 65 weeks represent a more definitive assessment of steady-state PK profiles in this study.

2.7 Correlation Analysis of PK Exposures Versus Demographics and Clinical Characteristics

The results of the 8-h plasma PK exposures (Cmax and AUC8h) were used to evaluate the relationship with a number of baseline demographic and clinical characteristics, including sex, APOE genotype, age, body mass index (BMI), eGFR, concomitant acetylcholinesterase inhibitor (AChEI) use, and tablet manufacturing lot. Considering that both tramiprosate and 3-SPA are pharmacologically active, we also included the combined AUC8h exposure of the two analytes in the analysis, assuming equal anti-oligomer potency for tramiprosate and 3-SPA [11, 12]. The data are presented as descriptive statistics (mean ± standard deviation (SD)) or Pearson correlations as appropriate. Statistical analysis was conducted by using Prism v5.03 (GraphPad Software, San Diego, CA). p-Values ≤ 0.05 were considered significant.

2.8 Calculation of eGFR

eGFR was calculated using the Modification of Diet in Renal Disease (MDRD) equation [31]:
$${\text{eGFR }} = { 175 } \times \, \left( {{\text{S}}_{{{\text{Cr}}}} } \right)^{{ - {1}.{154}}} \times \, \left( {{\text{age}}} \right)^{{ - 0.{2}0{3}}} \times \, 0.{742 }\,\left[ {\text{if female}} \right] \, \times { 1}.{212 }\,\left[ {\text{if Black}} \right],$$
where eGFR is the estimated glomerular filtration rate in mL/min/1.73 m2, the standardized serum creatinine (Scr) is in mg/dL, and age is in years

3 Results

3.1 Overview of Safety and Tolerability

The ALZ-801 phase 2 safety and tolerability results over 104 weeks were recently published [7]. Briefly, the safety profile of ALZ-801 in APOE4 carrier subjects with AD remained consistent with the previously described profile of its active moiety, tramiprosate, in 2025 subjects with AD in the 78-week phase 3 studies [28], with no new safety signals or events of ARIA identified in the present trial. In clinical trials with anti-amyloid immunotherapies, the risk of ARIA-E with or without associated ARIA-H has been especially prominent in APOE4 carriers [5, 6]. The favorable benefit–risk balance of ALZ-801 supports its continued development for AD treatment.

3.2 8-h Plasma PK Profiles at Week 65

Figure 2 shows the mean temporal plasma concentrations for ALZ-801, tramiprosate, and 3-SPA following 65 weeks of ALZ-801 265 mg BID treatment (once-daily dosing for the first 2 weeks followed by twice-daily dosing for 63 weeks) in subjects with AD. The 2-week steady-state PK data from the ALZ-801-106ADPK phase 1b study at the same dose regimen of 265 mg BID (without dose titration, and from a different tablet manufacturing lot) are included for comparison. The PK in both studies therefore reached steady state. The individual PK curves from the 24 subjects are shown in Fig. 3. The PK parameters are summarized in Supplementary Data Tables S1–3.
Fig. 2
Mean temporal plasma concentrations of ALZ-801, tramiprosate, and 3-SPA at week 65 following ALZ-801 tablet 265 mg BID treatment in subjects with AD in the ALZ-801-201ADBM phase 2 study. Data are shown in reference to the ALZ-801-106ADPK phase 1b study. Values are expressed as mean ± SD with n = 24 and 7 for the ALZ-801-201ADBM study and the ALZ-801-106ADPK study, respectively. The ALZ-801-201ADBM 8h PK substudy used tablet lot 20242 and 21172. The ALZ-801-106ADPK study used tablet lot 18064. Note that the ALZ-801 phase 2 study did not include a 30-min sampling time point as did the ALZ-801-106ADPK study. ALZ-801-106ADPK study was sampled for 24 h post-dose, and only 12-h data are shown
Bild vergrößern
Fig. 3
Individual plasma PK profiles for ALZ-801, tramiprosate, and 3-SPA at week 65 following ALZ-801 tablet 265 mg BID treatment in 24 subjects with AD in the ALZ-801-201ADBM phase 2 study. See keys in Fig. 2
Bild vergrößern
As shown in Fig. 2a and Supplementary Data Table S1, orally administered ALZ-801 was absorbed rapidly with a mean Tmax of 1.4 h for plasma ALZ-801, which was then followed by a rapid decline (mean T1/2 = 1.2 h) that followed a mono-exponential, one-compartmental manner. This short T1/2 and rapid decline in levels reflect efficient conversion from ALZ-801 to tramiprosate at steady state in patients with AD, consistent with earlier observations in healthy volunteers [10] and in APOE4 carrier subjects with AD (ALZ-801-106ADPK study). The mean AUC8h and AUC12h exposures were 11,220 and 11,306 h*ng/mL, respectively. This matches the exposure of ALZ-801 in the ALZ-801-106ADPK study (AUC12h = 11,073 h*ng/mL) after 2 weeks of ALZ-801 265 mg BID treatment in APOE4 carrier subjects with AD (2% difference in AUC12h between the two studies), and that after 7-day ALZ-801 265 mg BID treatment in healthy volunteers (AUC12h = 11,200 h*ng/mL, 0.9% difference between the two studies). The mean Cmax was 5595 ng/mL, which was slightly lower than that in the ALZ-801 phase 1 study (Cmax = 6460 ng/mL [10]).
Tramiprosate was rapidly released from the prodrug ALZ-801 with a mean Tmax of 2.2 h (Fig. 2b and Supplementary Data Table S2). Considering the similar behaviors of the decay phase between this study and the ALZ-801-106ADPK study, and that the elimination T1/2 for tramiprosate was 14.8 h in the ALZ-801-106ADPK study, it was concluded that the present 8-h PK did not fully capture the terminal phase elimination kinetics owing to the shorter sampling duration versus the 24-h time course conducted in the ALZ-801-106ADPK study. The mean Cmax was 1213 ng/mL, and the mean pre-dose trough level (Cmin) was 148 ng/mL. The mean AUC8h was 5229 ng/mL, and the AUC12h was 5936 ng/mL. The plasma tramiprosate exposure levels were comparable to that of the ALZ-801-106ADPK study (AUC12h = 6354 h*ng/mL) after 2 weeks of ALZ-801 265 mg BID treatment in APOE4 carrier subjects with AD. Consistent with the phase 1 trial findings, there was low interindividual variability in plasma levels compared with the oral tramiprosate tablet at 150 mg BID in the earlier tramiprosate phase 3 trials [10].
Similar to the ALZ-801-106ADPK study, plasma 3-SPA levels were found to be sustained at steady state following 65 weeks of treatment with ALZ-801 265 mg BID in APOE4 carrier subjects with AD, with a mean Cmax of 440 ng/mL (Fig. 2c and Supplementary Data Tables S3). The mean pre-dose trough drug level was 307 ng/mL, and the T1/2 was 37.5 h. The mean AUC8h and AUC12h were 2774 h*ng/mL and 3952 h*ng/mL, respectively. Since 3-SPA is also pharmacologically active in inhibition of Aβ oligomer formation and shows good brain penetration, its plasma exposure most likely contributes to ALZ-801’s clinical efficacy [12].

3.3 Relationships of Plasma PK Exposures at Week 65 Versus Demographics and Clinical Characteristics

We analyzed the relationship of steady-state plasma PK exposures (Cmax and AUC8h) versus subject demographic and clinical characteristics.

3.3.1 Sex

Figure 4 shows a comparison of the steady-state plasma PK profiles for ALZ-801, tramiprosate, and 3-SPA by sex at week 65 following ALZ-801 tablet 265 mg BID treatment in the 24 subjects with AD. Overall, the results indicate that the plasma concentration profiles for all three analytes are not affected by the sex of the subjects.
Fig. 4
Comparison of the steady-state plasma PK profiles for ALZ-801, tramiprosate, and 3-SPA by sex at week 65 following ALZ-801 tablet 265 mg BID treatment in 24 subjects with AD in the ALZ-801-201ADBM phase 2 study. Values are expressed as mean ± SD with n = 16 for males and n = 8 for females
Bild vergrößern

3.3.2 APOE Genotype

Figure 5 shows a comparison of the steady-state plasma PK profiles for ALZ-801, tramiprosate, and 3-SPA by APOE genotype at week 65 following ALZ-801 tablet 265 mg BID treatment in the 24 subjects with AD. There was no difference in plasma concentration profiles for any of the three analytes between APOE3/4 and APOE4/4 subjects with AD.
Fig. 5
Comparison of the steady-state plasma PK profiles for ALZ-801, tramiprosate, and 3-SPA by APOE genotype at week 65 following ALZ-801 tablet 265 mg BID treatment in 24 subjects with AD in the ALZ-801-201ADBM phase 2 study. Values are expressed as mean ± SD with n = 13 for APOE3/4 and n = 11 for APOE4/4
Bild vergrößern

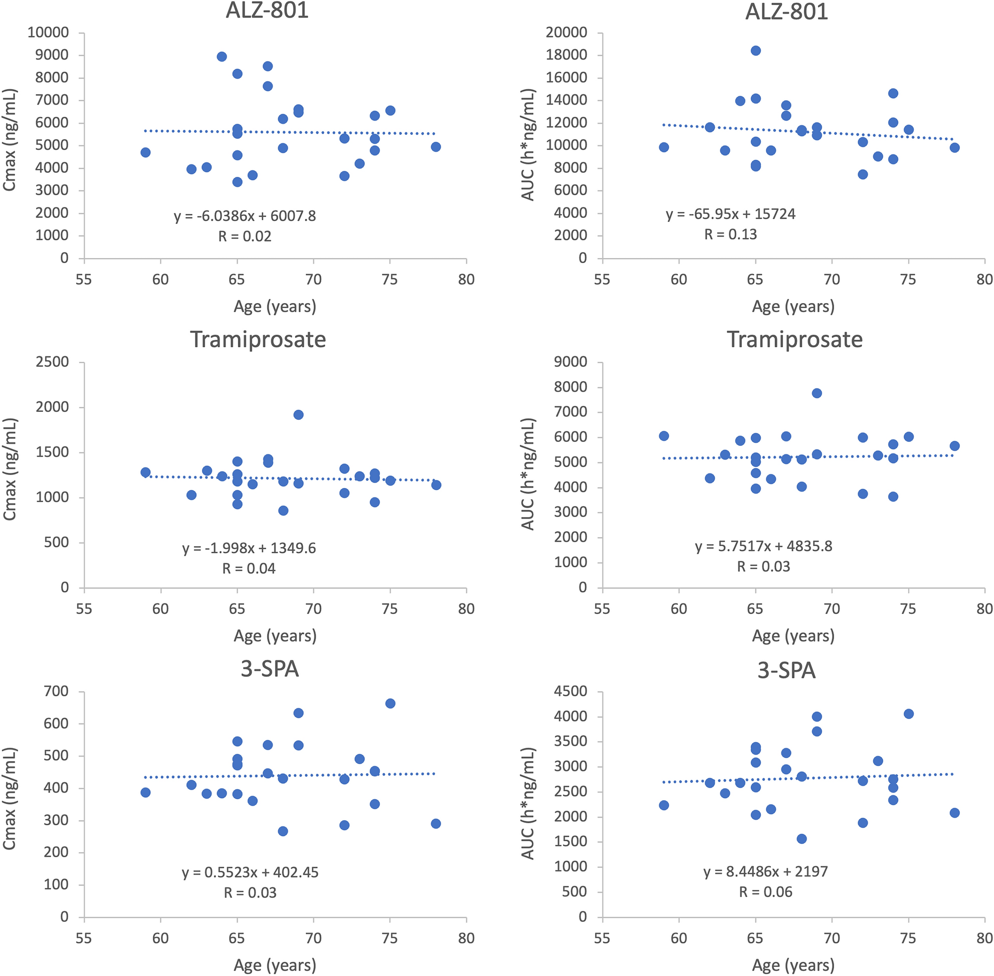
3.3.3 Age

Figure 6 shows a Pearson correlation analysis of the steady-state plasma Cmax and AUC8h for ALZ-801, tramiprosate, and 3-SPA versus age at week 65 following ALZ-801 tablet 265 mg BID treatment in the 24 subjects with AD. There was no significant correlation in plasma Cmax and AUC8h exposures for any of the three analytes versus age (p > 0.05). When the combined AUC8h for tramiprosate + 3-SPA (active agents) was analyzed, there was also no significant correlation (p > 0.05) (Supplementary Data Fig. S1).
Fig. 6.
Relationship of the steady-state plasma Cmax (left) and AUC8h (right) for ALZ-801, tramiprosate, and 3-SPA versus age at week 65 following ALZ-801 tablet 265 mg BID treatment in 24 subjects with AD in the ALZ-801-201ADBM phase 2 study. Data were analyzed by Pearson correlation. R, correlation coefficient
Bild vergrößern

3.3.4 BMI

Figure 7 shows a Pearson correlation analysis of the steady-state plasma Cmax and AUC8h for ALZ-801, tramiprosate, and 3-SPA versus BMI at week 65 following ALZ-801 tablet 265 mg BID treatment in the 24 subjects with AD. There was no significant correlation in plasma Cmax and AUC8h exposures for any of the three analytes versus BMI (p > 0.05). When the combined AUC8h for tramiprosate + 3-SPA (active agents) was analyzed, there was also no significant correlation (p > 0.05) (Supplementary Data Fig. S2).
Fig. 7.
Relationship of the steady-state plasma Cmax (left) and AUC8h (right) for ALZ-801, tramiprosate, and 3-SPA versus BMI at week 65 following ALZ-801 tablet 265 mg BID treatment in 24 subjects with AD in the ALZ-801-201ADBM phase 2 study. Data were analyzed by Pearson correlation. R, correlation coefficient
Bild vergrößern

3.3.5 eGFR

Figure 8 shows a Pearson correlation analysis of the steady-state plasma Cmax and AUC8h for ALZ-801, tramiprosate, and 3-SPA at week 65 versus eGFR at week 52 (which was closest to the PK sampling time point) following ALZ-801 tablet 265 mg BID treatment in the 24 subjects with AD. There was no significant correlation in plasma Cmax and AUC8h exposures of ALZ-801 versus eGFR (p > 0.05). However, a significant inverse correlation was observed between plasma Cmax (p = 0.004 and 0.016, respectively) and AUC8h exposures (p = 0.0006 and 0.0014, respectively) of both tramiprosate and 3-SPA versus eGFR. When the combined AUC8h for tramiprosate + 3-SPA (active agents) was analyzed, there was also a significant inverse correlation versus eGFR (p = 0.0001) (Supplementary Data Fig. S3). This relationship was also similarly observed when the steady-state plasma Cmax and AUC8h for ALZ-801, tramiprosate, and 3-SPA at week 65 were analyzed versus baseline eGFR (Supplementary Data Figs. S4–5). Together, the results are consistent with renal clearance as a major route of elimination for tramiprosate and 3-SPA, whereas the prodrug ALZ-801 is rapidly converted to tramiprosate and 3-SPA, the active agents [10].
Fig. 8
Relationship of the steady-state plasma Cmax (left) and AUC8h (right) for ALZ-801, tramiprosate, and 3-SPA at week 65 versus week 52 eGFR following ALZ-801 tablet 265 mg BID treatment in 24 subjects with AD in the ALZ-801-201ADBM phase 2 study. Data were analyzed by Pearson correlation. Cmax: p = 0.44, 0.004, and 0.016 for ALZ-801, tramiprosate, and 3-SPA, respectively (two-tailed). AUC8h: p = 0.13, 0.0006, and 0.0014 for ALZ-801, tramiprosate, and 3-SPA, respectively (two-tailed). R, correlation coefficient
Bild vergrößern

3.3.6 Concomitant Use of Acetylcholinesterase Inhibitors

Figure 9 shows a comparison of the steady-state plasma PK profiles for ALZ-801, tramiprosate, and 3-SPA at week 65 by the status of concomitant use of AChEI following ALZ-801 tablet 265 mg BID treatment in 24 subjects with AD. There was no difference in plasma concentration profiles for any of the three analytes between with and without concomitant AChEI use.
Fig. 9
Comparison of the steady-state plasma PK profiles for ALZ-801, tramiprosate, and 3-SPA at week 65 by the status of concomitant AChEI use following ALZ-801 tablet 265 mg BID treatment in 24 subjects with AD in the ALZ-801-201ADBM phase 2 study. Data were expressed as mean ± SD with n = 17 for without AChEI use and n = 7 for with AChEI use
Bild vergrößern

3.3.7 Comparison of Manufactured Tablet Lots

Supplementary Data Fig. S6 shows a comparison of the steady-state plasma PK profiles for ALZ-801, tramiprosate, and 3-SPA by the tablet lot at week 65 following ALZ-801 tablet 265 mg BID treatment in 24 subjects with AD. There was no difference in plasma concentration profiles for any of the analytes between the two tablet lots studied. In addition, as shown in Fig. 2 above, there was no apparent difference between the tablet lots used in the present phase 2 study and the earlier ALZ-801-106ADPK phase 1b study.

3.4 Sparse PK in Plasma

Figure 10 shows the representative sparse plasma concentrations of ALZ-801, tramiprosate, and 3-SPA at week 78 and 104. The 2-week steady-state PK data (mean, lowest concentrations, and highest concentrations) from the ALZ-801-106ADPK phase 1b study at the same dose regimen are included for comparison. Overall, the PK results were comparable to the 8-h PK data at week 65.
Fig. 10
Steady-state plasma concentrations of ALZ-801, tramiprosate, and 3-SPA sampled at week 78 (left, n = 74) and 104 (right, n = 70) following ALZ-801 tablet 265 mg BID treatment in subjects with AD in the ALZ-801-201ADBM phase 2 study. Lower band: lowest concentrations of the ALZ-801-106ADPK phase 1b study (n = 7). Higher band: highest concentrations of the ALZ-801-106ADPK study (n = 7)
Bild vergrößern

4 Discussion

The development of safe and effective disease-modifying treatments for AD remains a major unmet need, although there has been substantial progress in the past several years. To date, three anti-amyloid monoclonal antibody therapies (i.e., aducanumab, lecanemab, and donanemab) have been approved by the FDA for AD treatment [24]. However, antibody therapies are associated with serious complications of brain edema and microhemorrhage called ARIA, which occur more frequently in APOE4 homozygote and heterozygote patients owing to a higher burden of amyloid deposition in cerebral vessels in these patients (i.e., cerebral amyloid angiopathy, CAA), which upon active removal renders the vessels leaky and prone to hemorrhage [5, 6, 32, 33]. These agents also require monthly or biweekly parenteral administration (e.g., intravenous) and are, therefore, burdensome to patients. These limitations have been a barrier to broad adoption and clinical use.
Importantly, the advent of anti-amyloid antibody therapies for AD has provided much needed clinical proof-of-concept evidence to support the amyloid hypothesis [34, 35], stating that the toxicity of soluble amyloid aggregates plays a central role in AD pathogenesis initiation and progression, and targeting this pathway is a validated approach for development of disease-modifying treatments for AD [23, 24]. Specifically, a growing body of evidence supports a central and causative role of Aβ oligomers in the pathogenesis of AD, and inhibition of the formation of Aβ oligomers, especially the highly aggregation-prone Aβ42 species, constitutes a highly desirable target for the next-generation therapeutics for this disease [5, 23, 24, 30].
ALZ-801/valiltramiprosate is in phase 3 development as an oral, small-molecule inhibitor of Aβ oligomer formation with potential disease-modification effects for the treatment of AD. As a valine conjugated prodrug, ALZ-801 achieves its pharmacologic action via the two active moieties, tramiprosate and its sole metabolite 3-SPA. Both tramiprosate and 3-SPA inhibit the formation of Aβ oligomers in the brain at the PK exposure achieved following administration of ALZ-801 265 mg BID [1012]. Previously, we have shown that the projected steady-state brain exposure of tramiprosate after ALZ-801 265 mg BID dose maintains over three orders of magnitude in excess of brain concentration of soluble Aβ42 [3639], which is sufficient to block the formation of toxic oligomers and amyloid aggregation [11].
ALZ-801 was developed to exploit this important efficacy attribute of tramiprosate in APOE4 carrier patients with AD [5, 2330], while circumventing its two limitations: gastrointestinal side effects (i.e., nausea and vomiting) and high intersubject variability. Similar to the ALZ-801 phase 1 trial [10] and the ALZ-801-106ADPK phase 1b study, the present phase 2 trial evaluated ALZ-801 tablets at the 265 mg BID dose in APOE4 carrier subjects with AD, with the goal of achieving a plasma drug exposure comparable to that of the previous tramiprosate phase 3 trials in patients with AD [5, 2330] and to support the ALZ-801 phase 3 trials.
We recently reported that ALZ-801 was well tolerated by APOE4 carrier subjects with early AD over 2 years of treatment at the 265 mg BID dose, without drug-related severe or serious adverse events or laboratory findings. The safety profile of ALZ-801 in subjects with AD remained favorable with no events of ARIA on MRI monitoring [7], which contrasts with the well-established safety risks of anti-amyloid antibodies in APOE4 carriers or patients with AD with CAA [24]. This favorable safety profile is consistent with the profile of the active moiety, tramiprosate, in the earlier 78-week phase 3 studies [28], with no new safety signals identified. The most common adverse events were transient mild nausea and some instances of vomiting, which showed an improvement over tramiprosate [28] and development of tolerance over time.
In this study, the steady-state plasma PK results at 65 weeks following oral ALZ-801 tablet 265 mg BID treatment in APOE4 carrier subjects with AD are closely aligned with our findings of the 2-week PK data in the ALZ-801 phase 1b study in APOE4 carrier subjects with AD, as well as with the earlier 7-day PK data in the ALZ-801 phase 1 study in healthy elderly volunteers [10]. Following oral dosing, ALZ-801 was rapidly absorbed and efficiently converted to the active moieties, tramiprosate and 3-SPA. These results provide further support that the ALZ-801 tablets yield consistent tramiprosate and 3-SPA exposures in APOE4 carrier subjects with AD. In addition, in line with the ALZ-801 phase 1 study, individual PK analysis demonstrates very low intersubject variability in plasma drug levels as compared with the tramiprosate tablet at the dose of 150 mg BID in the earlier tramiprosate phase 3 trials [10, 28, 29].
We conducted correlation analyses of the PK exposures with the demographic and clinical characteristics of study subjects to understand whether any of the common variables might influence the PK behavior of ALZ-801. We found that the plasma exposures (both Cmax and AUC8h) of ALZ-801, tramiprosate, and 3-SPA were not affected by sex, age, BMI, APOE genotype, or concomitant use of AChEI. These data suggest that there is no need for dose adjustments for these baseline and clinical characteristics. Also, there is no apparent drug–drug interaction caused by concomitant AChEI use in this AD population.
We directly compared the PK profiles of the two GMP-manufactured tablet lots (with different API lots) in the 8-h PK substudy and found no differences. In addition, there was no significant PK difference between the current phase 2 study at 65 weeks and the earlier phase 1b study at 14 days (both at steady state) after ALZ-801 265 mg BID treatment. Since the two trials used different lots of tablets, these data suggest that the tablets have bioequivalent PK properties. Together, these results demonstrate comparable plasma PK performance across multiple ALZ-801 tablet lots.
A key finding of this analysis is that the plasma exposures (Cmax and AUC8h) of both tramiprosate and 3-SPA were inversely correlated with eGFR, an index of renal function, with higher exposures observed in subjects with lower eGFR values. These results are in line with renal clearance as a primary route of elimination for tramiprosate and 3-SPA and confirm the findings reported in healthy volunteers [10]. In contrast, there was no significant correlation between the plasma exposure of ALZ-801 and eGFR. Taken together, these results confirm the understanding that ALZ-801, as a prodrug, is efficiently and hepatically converted to the active moieties, tramiprosate and 3-SPA, after oral dosing [10].
The strengths of the phase 2 PK study include: (1) the low intersubject variability of PK exposures in the 8-h PK substudy, reflecting the quality of study conduct and bioanalysis, as well as the intrinsic and extrinsic drug properties; (2) the comparability and consistency of the present PK data with the earlier ALZ-801 phase 1 study in healthy elderly volunteers and the ALZ-801 phase 1b study in APOE4 carrier subjects with AD; and (3) the apparent divergent effect of renal function on plasma exposures of the prodrug versus the active molecules, which is in agreement with our knowledge of their elimination mechanisms.
There are a few limitations in this analysis. Firstly, our PK substudy was conducted at 65 weeks (steady state) over 8 h following oral ALZ-801 administration. This short, 8-h sampling duration did not allow us to derive the accurate terminal phase elimination kinetics for tramiprosate, because the calculation was confounded by the distribution phase. However, the present PK curves were almost overlapping with that of the previous phase 1b study in APOE4 carrier subjects with AD, which was obtained at steady state at 14 days after ALZ-801 265 mg BID and was sampled for 24 h. On the basis of this comparison, we believe that the true terminal phase elimination T1/2 for tramiprosate would be ~ 14 h. Similarly, the present PK curves for ALZ-801 and 3-SPA were nearly identical to those of the phase 1b study, and the calculated terminal phase elimination T1/2 values were comparable in both studies. Secondly, while the sparse PK data from this study were meant to offer an assessment of pre-dose trough drug levels immediately before the next dose, it was found that, in some of the subjects, the blood samples were apparently obtained shortly after an oral ALZ-801 tablet was taken, on the basis of the assessment of plasma drug levels of ALZ-801 and tramiprosate. Therefore, we used an estimated post-dose time (but not the nominal time) in the analysis, based on the relative concentration versus time relationship of the three analytes derived from the ALZ-801 phase 1b study. Thus, while the sparse data are a suitable surrogate for steady-state exposures, the 8-h PK data at 65 weeks represent a definitive assessment of steady-state PK profiles in this study.

5 Conclusions

ALZ-801/valiltramiprosate displays consistent PK performance with low intersubject variability in APOE4 carrier patients with AD that is devoid of interactions with sex, age, BMI or APOE genotype effect. There were no interactions with the AChEI, the symptomatic AD drugs approved for use in Mild, Moderate and Severe AD dementia. The favorable PK profile of ALZ-801 and comparable tablet properties support the continued development of oral ALZ-801 (265 mg BID dosing regimen) as a potential oral disease-modifying anti-amyloid agent for treatment of AD.

Acknowledgements

The ALZ-801-201 ADBM study was conducted at clinical sites in the Netherlands and the Czech Republic. The authors would like to acknowledge Professors Jakub Hort, Katerina Sheardova, Niels Prins, and Sterre Rutgers for their contributions to this study and body of work. The authors would also like to thank Professor Philip Scheltens, Emeritus Professor of Cognitive Neurology, VU University Medical Center, Amsterdam, and Head EQT Life Sciences Dementia Fund for his contributions to the design of the study.

Declarations

Funding

The clinical study and analyses in this report were supported by Alzheon, Inc.

Conflict of interest

John A. Hey, Jeremy Y. Yu, Susan Abushakra, Jean F. Schaefer, Aidan Power, Patrick Kesslak, Jijo Paul and Martin Tolar are employees of Alzheon, Inc. All authors own Alzheon stocks and/or stock options.

Ethics approval

The protocol was approved by the assigned Ethics Committees (EC) in the Netherlands and in Czech Republic and by the institutional EC in the Czech Republic. These include the Medical-Ethical Review Committee (METC), 12 October 2020; Ethics Committee of the Fakultní nemocnice Brno, 14 October 2020; Ethics Committee of the Fakultní nemocnice v Motole, 09 September 2020; Ethics Committee of the Fakultní nemocnice u sv Anny v Brne, 09 September 2020; and Etická Komise Vestra Clinics, 17 September 2020.
All subjects and their partners, caregivers or legal representatives signed informed consent before participation in the study.
All subjects and their partners, caregivers or legal representatives provided consent that the data are publishable before participation in the study.

Availability of data and material

The data and material contained in this publication are proprietary to Alzheon Inc.

Code availability

Not applicable.

Author contributions

JAH wrote the article in collaboration with JYY and JFS; SA, JAH, AP, PK, JP and MT were involved in the design and conduct of the ALZ-801-201 ADBM study. All authors have read and approved the final submitted manuscript and agree to be accountable for the work.
Open Access This article is licensed under a Creative Commons Attribution-NonCommercial 4.0 International License, which permits any non-commercial use, sharing, adaptation, distribution and reproduction in any medium or format, as long as you give appropriate credit to the original author(s) and the source, provide a link to the Creative Commons licence, and indicate if changes were made. The images or other third party material in this article are included in the article's Creative Commons licence, unless indicated otherwise in a credit line to the material. If material is not included in the article's Creative Commons licence and your intended use is not permitted by statutory regulation or exceeds the permitted use, you will need to obtain permission directly from the copyright holder. To view a copy of this licence, visit http://creativecommons.org/licenses/by-nc/4.0/.
download
DOWNLOAD
print
DRUCKEN
Titel
Clinical Pharmacokinetics of Oral ALZ-801/Valiltramiprosate in a 2-Year Phase 2 Trial of APOE4 Carriers with Early Alzheimer’s Disease
Verfasst von
John A. Hey
Jeremy Y. Yu
Susan Abushakra
Jean F. Schaefer
Aidan Power
Pat Kesslak
Jijo Paul
Martin Tolar
Publikationsdatum
05.02.2025
Verlag
Springer International Publishing
Erschienen in
Clinical Pharmacokinetics / Ausgabe 3/2025
Print ISSN: 0312-5963
Elektronische ISSN: 1179-1926
DOI
https://doi.org/10.1007/s40262-025-01482-8

Supplementary Information

Below is the link to the electronic supplementary material.
1.
Zurück zum Zitat Qaseem A, Snow V, Cross JT Jr, Forciea MA, Hopkins R Jr, Shekelle P, et al. Current pharmacologic treatment of dementia: a clinical practice guideline from the American College of Physicians and the American Academy of Family Physicians. Ann Intern Med. 2008;148(5):370–8. https://doi.org/10.7326/0003-4819-148-5-200803040-00008.CrossRefPubMed
2.
Zurück zum Zitat Budd Haeberlein S, Aisen PS, Barkhof F, Chalkias S, Chen T, Cohen S, et al. Two randomized Phase 3 studies of aducanumab in early Alzheimer’s disease. J Prev Alzheimers Dis. 2022;9(2):197–210. https://doi.org/10.14283/jpad.2022.30.CrossRefPubMed
3.
Zurück zum Zitat van Dyck CH, Swanson CJ, Aisen P, Bateman RJ, Chen C, Gee M, et al. Lecanemab in early Alzheimer’s disease. N Engl J Med. 2023;388(1):9–21. https://doi.org/10.1056/NEJMoa2212948.CrossRefPubMed
4.
Zurück zum Zitat Sims JR, Zimmer JA, Evans CD, Lu M, Ardayfio P, Sparks J, et al. Donanemab in early symptomatic Alzheimer disease: the TRAILBLAZER-ALZ 2 randomized clinical trial. JAMA. 2023;330(6):512–27. https://doi.org/10.1001/jama.2023.13239.CrossRefPubMedPubMedCentral
5.
Zurück zum Zitat Tolar M, Abushakra S, Hey JA, Porsteinsson A, Sabbagh M. Aducanumab, gantenerumab, BAN2401, and ALZ-801—the first wave of amyloid-targeting drugs for Alzheimer’s disease with potential for near term approval. Alzheimers Res Ther. 2020;12(1):95. https://doi.org/10.1186/s13195-020-00663-w.CrossRefPubMedPubMedCentral
6.
Zurück zum Zitat Withington CG, Turner RS. Amyloid-related imaging abnormalities with anti-amyloid antibodies for the treatment of dementia due to Alzheimer’s disease. Front Neurol. 2022;13: 862369. https://doi.org/10.3389/fneur.2022.862369.CrossRefPubMedPubMedCentral
7.
Zurück zum Zitat Hey JA, Abushakra S, Blennow K, Reiman EM, Hort J, Prins ND, et al. Effects of oral ALZ-801/Valiltramiprosate on plasma biomarkers, brain hippocampal volume, and cognition: results of 2-year single-arm, open-label, phase 2 trial in APOE4 carriers with early Alzheimer’s disease. Drugs. 2024;84(7):811–23. https://doi.org/10.1007/s40265-024-02067-8.CrossRefPubMedPubMedCentral
8.
Zurück zum Zitat Hey JA, Yu JY, Abushakra S, Schaefer JF, Power A, Kesslak P, et al. Analysis of cerebrospinal fluid, plasma beta-amyloid biomarkers, and cognition from a 2-year Phase 2 trial evaluating oral ALZ-801/Valiltramiprosate in APOE4 carriers with early Alzheimer’s disease using quantitative systems pharmacology model. Drugs. 2024;84(7):825–39. https://doi.org/10.1007/s40265-024-02068-7.CrossRefPubMedPubMedCentral
9.
Zurück zum Zitat Lee D, Antonsdottir IM, Clark ED, Porsteinsson AP. Review of valiltramiprosate (ALZ-801) for the treatment of Alzheimer’s disease: a novel small molecule with disease modifying potential. Expert Opin Pharmacother. 2024;25(7):791–9. https://doi.org/10.1080/14656566.2024.2360069.CrossRefPubMed
10.
Zurück zum Zitat Hey JA, Yu JY, Versavel M, Abushakra S, Kocis P, Power A, et al. Clinical pharmacokinetics and safety of ALZ-801, a novel prodrug of tramiprosate in development for the treatment of Alzheimer’s disease. Clin Pharmacokinet. 2018;57(3):315–33. https://doi.org/10.1007/s40262-017-0608-3.CrossRefPubMed
11.
Zurück zum Zitat Kocis P, Tolar M, Yu J, Sinko W, Ray S, Blennow K, et al. Elucidating the Aβ42 anti-aggregation mechanism of action of tramiprosate in Alzheimer’s disease: integrating molecular analytical methods, pharmacokinetic and clinical data. CNS Drugs. 2017;31(6):495–509. https://doi.org/10.1007/s40263-017-0434-z.CrossRefPubMedPubMedCentral
12.
Zurück zum Zitat Hey JA, Kocis P, Hort J, Abushakra S, Power A, Vyhnalek M, et al. Discovery and identification of an endogenous metabolite of tramiprosate and its prodrug ALZ-801 that inhibits beta amyloid oligomer formation in the human brain. CNS Drugs. 2018;32(9):849–61. https://doi.org/10.1007/s40263-018-0554-0.CrossRefPubMedPubMedCentral
13.
Zurück zum Zitat Aisen PS. Development of a disease-modifying treatment for Alzheimer’s disease: Alzhemed. Alzheimers Dement. 2006;2(3):153–4. https://doi.org/10.1016/j.jalz.2006.03.009.CrossRefPubMed
14.
Zurück zum Zitat Aisen PS, Saumier D, Briand R, Laurin J, Gervais F, Tremblay P, et al. A phase II study targeting amyloid-beta with 3APS in mild-to-moderate Alzheimer disease. Neurology. 2006;67(10):1757–63. https://doi.org/10.1212/01.wnl.0000244346.08950.64.CrossRefPubMed
15.
Zurück zum Zitat Aisen PS, Gauthier S, Vellas B, Briand R, Saumier D, Laurin J, et al. Alzhemed: a potential treatment for Alzheimer’s disease. Curr Alzheimer Res. 2007;4(4):473–8. https://doi.org/10.2174/156720507781788882.CrossRefPubMed
16.
Zurück zum Zitat Gervais F, Paquette J, Morissette C, Krzywkowski P, Yu M, Azzi M, et al. Targeting soluble Abeta peptide with tramiprosate for the treatment of brain amyloidosis. Neurobiol Aging. 2007;28(4):537–47. https://doi.org/10.1016/j.neurobiolaging.2006.02.015.CrossRefPubMed
17.
Zurück zum Zitat Ariga T, Miyatake T, Yu RK. Role of proteoglycans and glycosaminoglycans in the pathogenesis of Alzheimer’s disease and related disorders: amyloidogenesis and therapeutic strategies—a review. J Neurosci Res. 2010;88(11):2303–15. https://doi.org/10.1002/jnr.22393.CrossRefPubMed
18.
Zurück zum Zitat Martineau E, de Guzman JM, Rodionova L, Kong X, Mayer PM, Aman AM. Investigation of the noncovalent interactions between anti-amyloid agents and amyloid beta peptides by ESI-MS. J Am Soc Mass Spectrom. 2010;21(9):1506–14. https://doi.org/10.1016/j.jasms.2010.05.007.CrossRefPubMed
19.
Zurück zum Zitat Caltagirone C, Ferrannini L, Marchionni N, Nappi G, Scapagnini G, Trabucchi M. The potential protective effect of tramiprosate (homotaurine) against Alzheimer’s disease: a review. Aging Clin Exp Res. 2012;24(6):580–7. https://doi.org/10.3275/8585.CrossRefPubMed
20.
Zurück zum Zitat Young LM, Saunders JC, Mahood RA, Revill CH, Foster RJ, Tu LH, et al. Screening and classifying small-molecule inhibitors of amyloid formation using ion mobility spectrometry-mass spectrometry. Nat Chem. 2015;7(1):73–81. https://doi.org/10.1038/nchem.2129.CrossRefPubMed
21.
Zurück zum Zitat Liang C, Savinov SN, Fejzo J, Eyles SJ, Chen J. Modulation of amyloid-β42 conformation by small molecules through nonspecific binding. J Chem Theory Comput. 2019;15(10):5169–74. https://doi.org/10.1021/acs.jctc.9b00599.CrossRefPubMedPubMedCentral
22.
Zurück zum Zitat Marques SM, Kouba P, Legrand A, Sedlar J, Disson L, Planas-Iglesias J, et al. CoVAMPnet: comparative Markov state analysis for studying effects of drug candidates on disordered biomolecules. JACS Au. 2024;4(6):2228–45. https://doi.org/10.1021/jacsau.4c00182.CrossRefPubMedPubMedCentral
23.
Zurück zum Zitat Tolar M, Hey J, Power A, Abushakra S. Neurotoxic soluble amyloid oligomers drive Alzheimer’s pathogenesis and represent a clinically validated target for slowing disease progression. Int J Mol Sci. 2021;22(12):6355. https://doi.org/10.3390/ijms22126355.CrossRefPubMedPubMedCentral
24.
Zurück zum Zitat Tolar M, Hey JA, Power A, Abushakra S. The single toxin origin of Alzheimer’s disease and other neurodegenerative disorders enables targeted approach to treatment and prevention. Int J Mol Sci. 2024;25(5):2727. https://doi.org/10.3390/ijms25052727.CrossRefPubMedPubMedCentral
25.
Zurück zum Zitat Gauthier S, Aisen PS, Ferris SH, Saumier D, Duong A, Haine D, et al. Effect of tramiprosate in patients with mild-to-moderate Alzheimer’s disease: exploratory analyses of the MRI sub-group of the Alphase study. J Nutr Health Aging. 2009;13(6):550–7. https://doi.org/10.1007/s12603-009-0106-x.CrossRefPubMed
26.
Zurück zum Zitat Saumier D, Duong A, Haine D, Garceau D, Sampalis J. Domain-specific cognitive effects of tramiprosate in patients with mild to moderate Alzheimer’s disease: ADAS-cog subscale results from the Alphase Study. J Nutr Health Aging. 2009;13(9):808–12. https://doi.org/10.1007/s12603-009-0217-4.CrossRefPubMed
27.
Zurück zum Zitat Aisen PS, Gauthier S, Ferris SH, Saumier D, Haine D, Garceau D, et al. Tramiprosate in mild-to-moderate Alzheimer’s disease—a randomized, double-blind, placebo-controlled, multi-centre study (the Alphase Study). Arch Med Sci. 2011;7(1):102–11. https://doi.org/10.5114/aoms.2011.20612.CrossRefPubMedPubMedCentral
28.
Zurück zum Zitat Abushakra S, Porsteinsson A, Vellas B, Cummings J, Gauthier S, Hey JA, et al. Clinical benefits of tramiprosate in alzheimer’s disease are associated with higher number of APOE4 alleles: the “APOE4 gene-dose effect.” J Prev Alz Dis. 2016;3(4):219–28. https://doi.org/10.14283/jpad.2016.115.CrossRef
29.
Zurück zum Zitat Abushakra S, Porsteinsson A, Scheltens P, Sadowsky C, Vellas B, Cummings J, et al. Clinical effects of tramiprosate in APOE4/4 homozygous patients with mild Alzheimer’s disease suggest disease modification potential. J Prev Alzheimers Dis. 2017;4(3):149–56. https://doi.org/10.14283/jpad.2017.26.CrossRefPubMed
30.
Zurück zum Zitat Tolar M, Abushakra S, Sabbagh M. The path forward in Alzheimer’s disease therapeutics: reevaluating the amyloid cascade hypothesis. Alzheimers Dement. 2020;16(11):1553–60. https://doi.org/10.1016/j.jalz.2019.09.075.CrossRefPubMed
31.
Zurück zum Zitat Levey AS, Coresh J, Greene T, Stevens LA, Zhang YL, Hendriksen S, et al. Using standardized serum creatinine values in the modification of diet in renal disease study equation for estimating glomerular filtration rate. Ann Intern Med. 2006;145(4):247–54. https://doi.org/10.7326/0003-4819-145-4-200608150-00004.CrossRefPubMed
32.
Zurück zum Zitat Hashimoto T, Serrano-Pozo A, Hori Y, Adams KW, Takeda S, Banerji AO, et al. Apolipoprotein E, especially apolipoprotein E4, increases the oligomerization of amyloid beta peptide. J Neurosci. 2012;32(43):15181–92. https://doi.org/10.1523/JNEUROSCI.1542-12.2012.CrossRefPubMedPubMedCentral
33.
Zurück zum Zitat Loomis SJ, Miller R, Castrillo-Viguera C, Umans K, Cheng W, O’Gorman J, et al. Genome-wide association studies of ARIA from the aducanumab phase 3 ENGAGE and EMERGE studies. Neurology. 2024;102(3): e207919. https://doi.org/10.1212/WNL.0000000000207919.CrossRefPubMed
34.
Zurück zum Zitat Selkoe DJ, Hardy J. The amyloid hypothesis of Alzheimer’s disease at 25 years. EMBO Mol Med. 2016;8(6):595–608. https://doi.org/10.15252/emmm.201606210.CrossRefPubMedPubMedCentral
35.
Zurück zum Zitat Morris GP, Clark IA, Vissel B. Inconsistencies and controversies surrounding the amyloid hypothesis of Alzheimer’s disease. Acta Neuropathol Commun. 2014;2:135. https://doi.org/10.1186/s40478-014-0135-5.CrossRefPubMedPubMedCentral
36.
Zurück zum Zitat Herukka SK, Rummukainen J, Ihalainen J, von Und Zu Fraunberg M, Koivisto AM, Nerg O, et al. Amyloid-β and Tau dynamics in human brain interstitial fluid in patients with suspected normal pressure hydrocephalus. J Alzheimers Dis. 2015;46(1):261–9. https://doi.org/10.3233/JAD-142862.CrossRefPubMed
37.
Zurück zum Zitat Brody DL, Magnoni S, Schwetye KE, Spinner ML, Esparza TJ, Stocchetti N, et al. Amyloid-beta dynamics correlate with neurological status in the injured human brain. Science. 2008;321(5893):1221–4. https://doi.org/10.1126/science.1161591.CrossRefPubMedPubMedCentral
38.
Zurück zum Zitat Shaw LM, Vanderstichele H, Knapik-Czajka M, Clark CM, Aisen PS, Petersen RC, et al. Cerebrospinal fluid biomarker signature in Alzheimer’s disease neuroimaging initiative subjects. Ann Neurol. 2009;65(4):403–13. https://doi.org/10.1002/ana.21610.CrossRefPubMedPubMedCentral
39.
Zurück zum Zitat Lue LF, Kuo YM, Roher AE, Brachova L, Shen Y, Sue L, et al. Soluble amyloid beta peptide concentration as a predictor of synaptic change in Alzheimer’s disease. Am J Pathol. 1999;155(3):853–62. https://doi.org/10.1016/s0002-9440(10)65184-x.CrossRefPubMedPubMedCentral