Zum Inhalt

Clinical Use of the Triglycerides/Glucose (TyG) Index in the Early Assessment of Metabolic Alterations and Cardiovascular Remodeling in Essential Hypertensive Patients

  • Open Access
  • 07.01.2026
  • Original article
Erschienen in:

Abstract

Introduction

Obesity represents a significant public health problem, particularly due to its strong association with additional cardiovascular risk factors, such as hypertension, insulin resistance (IR), type 2 diabetes mellitus, metabolic syndrome (MS) and cardiovascular disease. IR is the underlying factor of the relationship between obesity and metabolic dysregulation. The identification of IR is crucial for early diagnosis, clinical management and specific treatment.

Aim

This study aims to evaluate the diagnostic efficacy of the Triglycerides/Glucose (TyG) Index in identifying IR and target-organ damage in a cohort of patients with essential hypertension.

Methods

we have evaluated 235 consecutive patients with essential hypertension (50.1% men and 49.9% women; mean age 51.9 ± 17.3 years), stratified for body mass index (BMI). Biochemical analysis and instrumental evaluation were assessed to identify target-organ damage.

Results

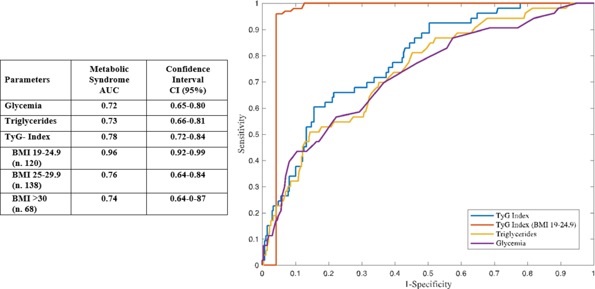
Increased BMI was associated with higher values of blood pressure, glycaemia and triglycerides. In patients with higher BMI, we observed more prevalent target-organ damage, particularly cardiac remodeling (78.3%) and higher 24-h urinary albumin excretion (83.7±48 mg/L). The TyG index proved to be a stronger biomarker for identifying the development of MS (AUC 0.78) and cardiac remodeling (AUC 0.66).

Conclusions

This study confirms that obesity is correlated with a impaired hemodynamic and metabolic profile. The TyG index could represent an efficient and easy-to-use indicator for identifying both individuals developing MS and early cardiac remodeling, especially in normal-weight subjects.
Luigi Petramala and Gioacchino Galardo contributed equally to this work.

1 Introduction

The progressive and uncontrollable increase of obesity represents a significant public health problem, affecting over one billion people worldwide, with a significant socioeconomic burden. Obesity is characterized by excessive accumulation of visceral adipose tissue, becoming an urgent need for effective strategies aimed at the early identification and prevention of its metabolic sequelae [1]. The distribution of adipose tissue has a relevant impact on the physiopathology of insulin resistance (IR). In fact, the increased visceral fat is a major cause of arterial hypertension, metabolic syndrome (MS), IR, type 2 diabetes mellitus (T2DM), and cardiovascular disease [2]. IR is the underlying element of the relationship between excess adiposity and metabolic dysregulation; this pathophysiological condition is characterized by a reduced response of target tissues (skeletal muscle, liver, and adipose tissue) to the physiological action of insulin [3]. In early stages, pancreatic β-cells compensate by increasing insulin secretion, leading to hyperinsulinemia and consistent maintenance of euglycemia, but in late phases, we observe the development of impaired glucose tolerance up to T2DM [4].
Accurate assessment of IR is crucial for clinical management but remains a diagnostic challenge. The "gold standard" method is the hyperinsulinemic-euglycemic clamp, which provides the most precise measure of insulin sensitivity, but this method is laborious and expensive for routine clinical use [5]. Surrogate markers, such as the Homeostatic Model Assessment for Insulin Resistance (HOMA-IR), are more accessible but requiring insulin doses, which are not universally standardized or readily available in all primary care settings, limiting their widespread application for screening purposes.
The triglyceride-glucose (TyG) index, easy and more cost-effective diagnostic tools, has emerged as a reliable surrogate marker for IR. Calculated from fasting triglyceride and glucose levels (TyG index= Ln [fasting triglycerides (mg/dL) * fasting plasma glucose (mg/dL) / 2], the TyG index integrates both lipid and glucose metabolic pathways, which are intrinsically linked to insulin sensitivity [6]. Numerous lines of evidence have demonstrated a strong correlation between the TyG index and IR measures derived from the hyperinsulinemic-euglycemic clamp. Furthermore, in several populations its predictive value has been widely documented for MS, T2DM, nonalcoholic fatty liver disease (NAFLD), and cardiovascular events [7]. Its simplicity and reliability over standard laboratory tests make it an ideal candidate for large-scale epidemiological screening.
This study aims to evaluate the diagnostic efficacy of the TyG index, a surrogate biomarker of IR, in a cohort of patients with essential hypertension, based on a different body mass index (BMI). In particular the study aims to evaluate the correlation between the TyG index and the development of MS and subclinical cardiovascular damage

2 Methods

2.1 Study Design

From May 2024 to April 2025, 235 patients affected by essential hypertension (50.1% men and 49.9% women with mean age 51.9 ± 17.3 years) have been consecutively enrolled, at the Unit of Secondary Arterial Hypertension, Policlinico Umberto I Hospital, University of Rome. Arterial hypertension was defined as office systolic blood pressure (SBP) values at least 140 mmHg and/or diastolic blood pressure (DBP) values at least 90 mmHg [8].
All patients underwent anthropometric measurements, fasting venous blood samples, 24-h urine collection, carotid intima-media thickness (cIMT), transthoracic echocardiography, and fundus oculi exams.
An extended hormonal evaluation was carried out including plasma aldosterone concentration (PAC), plasma renin activity (PRA), serum cortisol (PC), plasma metanephrines and 24-h urine excretion for aldosterone (AUR) and free urinary cortisol (UFC).
Following the suggestion of the International Guidelines [9], all antihypertensive medications were withdrawn at least 3 weeks (up to 2 months for spironolactone) before evaluation. Patients that required an anti-hypertensive treatment for clinical reasons modified the therapeutics regime and calcium-channel blockers (verapamil) or α-receptor blockers (doxazosin) were allowed at the minimal doses sufficient to achieve BP control. Secondary causes of hypertension were ruled out through comprehensive evaluation based on clinical, laboratory, hormonal, and imaging examinations.
Exclusion criteria include valvular or pericardial diseases, as suggested by clinical history/symptoms or instrumental diagnostics (electrocardiogram, echocardiographic, angiography), chronic liver disease (clinical history, signs, symptoms, or laboratory findings of hepatitis, cirrhosis, or liver failure), drug abuse histories, patients taking systemic corticosteroids, chronic kidney disease (CKD)- defined as reduced glomerular filtration rate (GFR): <60 ml/min/1.73 m2 and 24-hour urinary excretion of microalbuminuria more than 300 mg per day.
This study adhered to the guidelines of the Declaration of Helsinki. Clinical data were obtained from routine clinical practice, so we have requested consent from the Local Ethical Committee of the Department of Clinical, Internal, Anesthesiological and Cardiovascular Sciences. The study design was clearly explained in layperson language and provided to each participant, who provided written informed consent.

2.2 Anthropometric Measurements

Standing height was measured barefoot to the nearest 0.5 cm and the weight was measured in light clothing with a platform scale to the nearest 200 g after resetting to 0 the instrument. Waist and hip circumferences were taken to the nearest 0.1 cm by a standard tape measure. For both waist and hip measurements, the tape measure was kept horizontal and just tight enough to allow the little finger to be inserted just under the tape. The average value of a set of three measurements was adopted for the present analysis.
Body Mass Index (BMI) was calculated by the standard formula: weight (kg)/ height (m2), and subjects were classified into the following three groups: normal weight (BMI: 19-24.9kg/m2, Group 1); overweight (BMI. 25-29.9kg/m2, Group 2); obesity (BMI>30.0, Group 3). Waist circumference was taken on the nearest 0.1cm with a standard measure over the abdomen at the smallest diameter between the costal margin and iliac crest.
As previously reported [8], we have defined Metabolic Syndrome (MS) according to the ATP III Classification (Adult Treatment Panel III) as the presence of any three or more of the following five risk factors: Waist Circumference >102 cm for men and >88 cm for women; Triglycerides >150mg/dL (or drug treatment for elevated triglycerides); HDL-Cholesterol <40 mg/dL for men and <50 mg/dL for women (or drug treatment for low HDL), SBP >130mmHg or SBP >85mmHg(or drug treatment for hypertension).

2.3 Transthoracic Echocardiography

Transthoracic 2D-guided M-mode echocardiography was executed by an expert cardiologist, performed through a blind evaluation, and the following measurements were obtained: left ventricular end-diastolic diameter (LVEDD), left atrial diameter (LAD), wave A/E ratio, interventricular septum (IVS), left ventricular posterior wall (PW) thicknesses, aortic diameter (Ao), and ejection fraction (EF) evaluated by the Simpson method. Left ventricular mass (LVM) and LVM indexed for body surface area (LVMi) were calculated according to the American Society of Echocardiography (ASE) guidelines [10]. The"cardiac remodeling" was defined if at least one echocardiographic finding in the heart's size, mass, geometry, and function, affecting ventricular or atrial myocardial tissue, was pathological. The left ventricular mass index (LVMI) was based on calculating the left ventricular mass (LVM) and indexing it to the patient's body size (using Body Surface Area (BSA) or Height); for men: LVMI>115 g/m2; for women: LVMI>95 g/m2.

2.4 Measurement of Carotid Intima-Media Thickness

A Hewlett-Packard Sonor 5500 Ultrasound system (Hewlett Packard, Andover, MA, USA), equipped with a 3.11 MHz real-time B-mode scanner, was utilized for the assessment. High-resolution images were analyzed to obtain cIMT, defined as thickness of the vascular intima-media complex measured in five consecutive regions of the CCA wall, with measurements taken every 4–5 mm starting near the bifurcation. Average cIMT value was obtained through measurements from five points on both the left and right carotid arteries. Intra- and interobserver variabilities for cIMT were 4.6 ± 0.4 and 5.2 ± 0.3, respectively. The mean common carotid diameter was determined as the line representing the media-adventitia interface from near to far wall, automatically calculated by averaging measurements at 0.1 cm intervals over 1 cm.

2.5 Fundus Oculi Exam

All subjects underwent a bilateral funduscopic examination through an ophthalmoscope inspection to evaluate the cup-to-disk ratio, the presence of cotton wool spots and/or flame hemorrhages, and artero-venous crossing points. An expert ophthalmologist assessed the retinal damage related to microangiopathy, and organ damage was considered consistent with retinopathy greater than or equal to a second stage.

2.6 Chronic Renal Disease

Renal function was calculated adopting the estimated glomerular filtration rate (eGFR) equation/algorithm by the Chronic Kidney Disease Epidemiology Collaboration (CKD-EPI) equation, expressed as: 141 min (sCr/k, 1) Age × max (sCr/k, 1) − 1.209 × 0.993Age× 1.018 (if female)_1.159 (if black), where k is 0.7 for females and 0.9 for males, a is −0.329 for females and −0.411 for males, min indicates the minimum of sCr/k or 1 and max indicates the maximum of sCr/k or 1. When compared with other classifications, the CKD-EPI equation was chosen as a better assessment of renal function. Kidney damage was considered when eGFR <60 ml/min/1.73 m2 and altered 24-h urinary excretion of microalbuminuria (30-300 mg per day).

2.7 Statistical Analysis

We performed statistical analysis using SPSS 28.0 (SPSS, Chicago, IL, USA). The data were expressed as means ± standard deviation (SD). A power analysis was performed to determine the sample size; alpha = 0.05, and the power of the test was calculated as 0.7. Differences between means were assessed by the ANOVA test or the Mann–Whitney U test in non-normally distributed data for two-sample comparison. X2 statistics were used to assess the differences between the categorical variables. We compared the predictive performance of several metabolic biochemical parameters [area under the curve (AUC)] as continuous variables using receiver operating characteristic (ROC) curves and by calculating the AUCs in the detecting cardiac remodeling. A p-value less than 0.05 was considered as statistically significant.

3 Results

Between May 2024 and April 2025, we consecutively enrolled 235 patients (118 men, 117 women; mean age 51.9±17.3 years) at the Departmental Unit of Secondary Arterial Hypertension, Policlinico Umberto I Hospital, Sapienza University, Rome. All participants were divided into three BMI-based groups: Group 1 (BMI 19–24.9): normal weight; Group 2 (BMI 25–29.9): overweight; Group 3 (BMI >30): obesity.
A statistically significant increase in SBP was observed in Group 3 (147.9±21.7mmHg) compared to Group 2 (140.7±19.5mmHg; p<0.05), and this latter showed significantly higher values than Group 1 (134.2±21.1mmHg; p<0.05). Moreover DBP was significantly higher in Group 3 (91.2±11.2mmHg) compared to both Group 2 and Group 1 (83.6±11.6mmHg and 85.6±12.9mmHg; p<0.05, respectively). Furthermore, visceral adiposity, assessed by WC, was significantly greater in Group 3 (103.5±16cm) compared to Group 2 (85.9±9cm; p<0.05), which in turn had a significantly greater waist circumference than Group 1 (74.7±15cm; p<0.05) (Table 1).
Table 1
Anthropometric and haemodynamic parameters of the study groups
 
Age
(years)
Female
(%)
SBP
(mmHg)
DBP
(mmHg)
HR
(bpm)
WC
(cm)
All subjects
(n.235)
51.9 ± 17.3
49.9
139.8 ± 21
85.9 ± 12.3
68.7 ± 11.8
85.5 ± 10
BMI 19-24.9
(n. 87)
52.5 ± 15.2
51.1
134.2 ± 21.1
85.6 ± 12.9
69.8 ± 12.7
74.7 ± 15
BMI 25-29.9
(n. 99)
49.4 ± 16.1
49.2
140.7 ± 19.5*
83.6 ± 11.6
67.6 ± 11.1
85.9 ± 9*
BMI > 30
(n. 49)
55.9 ± 19.1
50.1
147.9 ± 21.7*°
91.2 ± 11.2*
69 ± 11.7
103.2 ± 16*°
p
NS
NS
* <0.05 vs. BMI 19-24.9
° <0.05 vs. BMI 25-29.9
* <0.05 vs. BMI 19-24.9
NS
* <0.05 vs. BMI 19-24.9
° <0.05 vs. BMI 25-29.9
SBP: Systolic Blood Pressure; DBP: Diastolic Blood Pressure; HR: Heart Rate; WC: waist circumference
Biochemical data are summarized in Table 2. A significant increase in glycemia was observed from normal-weight (87.9±17.4mg/dl) to overweight (95.4±13.9mg/dl; p<0.05) and to obese patients (99.8±17.7mg/dl; p<0.05). HDL-cholesterol was significantly lower in both obese and overweight patients (46.5±13.6mg/dl and 49.2±11.7mg/dl) compared to the normal-weight group (58±14.4mg/dl; p<0.05). On the other hand, in the obese and overweight groups the triglycerides (111.3±24.1mg/dl and 103.6±29.5mg/dl) and C-reactive protein levels (3456±1136mcg/L and 2634±1413mcg/L) were significantly elevated respect to the normal-weight group (87.3±21.2mg/dl and 1532±861µg/L, respectively; p<0.05). Finally, 24-hour urinary albumin excretion was highest in obese patients (83.7±48mg/L) with respect to the overweight and normal-weight groups (57.8±14mg/L and 10.8±5.5mg/L, respectively; p<0.05).
Table 2
Biochemical parameters of the study groups
 
Creatinine
(mg/dl)
GFR (ml/min)
Glycemia
(mg/dl)
T-Cholesterol
(mg/dl)
LDL-C
(mg/dl)
HDL-C
(mg/dl)
Triglycerides
(mg/dl)
CRP
(µg/L)
µ-albuminuria
(mg/L)
All subjects
(n.235)
0.93 ± 0.26
81 ± 19
93.5 ± 16.5
177.1 ± 34.9
105.6 ± 33.9
51.9 ± 13.7
99.2 ± 20.6
2398 ± 1093
45.8 ± 26
BMI 19-24.9
(n. 87)
0.87 ± 0.2
85 ± 19
87.9 ± 17.4
179.2 ± 29.3
105.2 ± 27.1
58 ± 14.4
87.3 ± 21.2
1532 ± 861
10.8 ± 5.5
BMI 25-29.9
(n. 99)
0.99 ± 0.3
79 ± 18
95.4 ± 13.9*
173.3 ± 38.2
104.3 ± 34.7
49.2 ± 11.7*
103.6 ± 27.5*
2634 ± 1413*
57.8 ± 14
BMI > 30
(n. 49)
0.96 ± 0.2
81 ± 19
99.82 ± 17.7*°
181.2 ± 36.9
108.8 ± 33.8
46,5 ± 13.6*
111.32 ± 24.1*
3456 ± 1136*
83.7 ± 48*
p
NS
NS
* <0.05 vs. BMI 19-24.9
° <0.05 vs. BMI 25-29.9
NS
NS
* <0.05 vs. BMI 19-24.9
* <0.05 vs. BMI 19-24.9
* <0.05 vs. BMI 19-24.9
* <0.05 vs.
BMI 19-24.9
GFR: Glomerular Filtration Rate; T-Cholesterol: total cholesterol; LDL-C: LDL-Cholesterol; HDL-C: HDL-CHolesterol; CRP: C-reactive protein
Regarding other metabolic parameters, in obese and overweight groups we found higher TyG index (4.6±0.3 and 4.5±0.3) than in Group 1 (5.1±1.2mg/dl and 4.3±0.3; p<0.05, respectively). Moreover, we found a significantly increased percentage of patients with TyG index above 4.5 in Group 3 (54.9%) compared to Group 2 (47.4%, p<0.05) and this latter respect Group 1 (32.2%; p<0.05) (Table 3).
Table 3
Triglycerides/Glucose (TyG) Index of the study groups.
 
TGL/Glyc
index
Ln TGL/Glic >4.5
(%)
All subjects
(n.235)
4.4±0.3
43.3
BMI 19-24.9
(n. 87)
4.3±0.3
32.2
BMI 25-29.9
(n. 99)
4.5±0.3*
47.4*
BMI >30
(n. 49)
4.6±0.3*
54.9*°
p
* <0.05 vs
BMI 19-24.9
* <0.05 vs
BMI 19-24.9
° <0.05 vs
BMI 25-29.9
Triglycerides/Glucose (TyG) Index
As shown in Table 4, subclinical markers of hypertension-mediated organ damage were significantly more prevalent in individuals with excess body weight. In fact, both obese and overweight patients exhibited a higher prevalence of cardiac remodeling (78.3% and 70.4%) and cardiac hypertrophy (53% and 51.4%) compared to their normal-weight subjects (50.2% and 33.5%; p<0.05, respectively). Furthermore, a MS prevalence was higher in obese group (43.2%) respect to the overweight group (17.5%; p<0.05) and this latter than the normal-weight group (2%) (p<0.05).
Table 4
Prevalence of subclinical organ damage in the study groups.
 
Cardiac Remodeling
(%)
Cardiac Hypertrophy
(%)
Vascular damage
(%)
Fundus oculi
(%)
Kidney damage
(%)
MS
(%)
All subjects
(n.235)
64.7
45.8
30.5
5.4
13.1
17.2
BMI 19-24.9
(n. 87)
50.2
35.5
26.5
3.5
11.5
2
BMI 25-29.9
(n. 99)
70.4*
51.4*
35.7
7.8
12.7
17.5*
BMI >30
(n. 49)
78.3*
53*
27.2
4.3
16.8
43.2*°
p
* <0.05 vs
BMI 19-24.9
* <0.05 vs
BMI 19-24.9
NS
NS
NS
* <0.05 vs
BMI 19-24.9
° <0.05 vs
BMI 25-29.9
MS: metabolic syndrome; BMI: body mass index;
Analyzing the ROC curve data in the prediction of MS (Fig. 1), the TyG index showed higher AUC (0.78), compared to the parameters individually evaluated such as glycemia (0.72), triglycerides (0.73). Interestingly, the predictive value for the TyG index was significantly increased in normal weight subjects (0.96). Furthermore, different biochemical parameters showed significant AUC in the prediction of cardiac remodeling, such as TyG index (0.63), blood glucose (0.59), and triglycerides (0.58), but in normal weight subjects we found higher predictive value for TyG index (0.66) (Fig. 2).
Fig. 1
Area under the operating receiver curve (AUC) with biochemical parameters for prediction of metabolic syndrome (MS).
Bild vergrößern
Fig 2
Area under the operating receiver curve (AUC) with biochemical parameters for prediction of Cardiac Remodeling.
Bild vergrößern

4 Discussion

Obesity is a major public health problem, with a progressively increasing prevalence, reaching over 50% in several countries [11]. Adipose tissue is not simply a storage depot; it is a more complex organ with endocrine functions and the ability to synthesize a series of hormones and active molecules, which are associated with elevated levels of pro-inflammatory cytokines [12]. These cytokines, such as tumor necrosis factor-α, interleukin-6, interleukin-1β, and adipokines such as leptin and resistin, are pro-inflammatory molecules exacerbating various metabolic changes, cardiovascular diseases and chronic inflammatory state [13, 14]. Numerous studies have correlated BMI with mortality for cardiovascular disease. Although BMI measurement has significant clinical limitations unlike evaluation of the body fat percentage, more accurate measure but less usable in large-scale studies.
In this study, carried out on a population without previous cardiovascular events, we confirmed that obesity, assessed through BMI, is strictly correlated to significant increased blood pressure values, both SBP and DBP, and to several metabolic alterations, such as dyslipidaemia and hyperglycaemia.
Several studies on different populations have demonstrated a linear relationship between BMI and SBP. The Framingham Heart Study highlighted that 78% of primary essential hypertension in men and 65% in women may be due to excessive weight gain [15]. The underlying mechanisms are several: increased intrarenal pressure and impaired natriuresis, activation of the renin-angiotensin-aldosterone system (RAAS) and the sympathetic nervous system, leading to the development of advanced forms of coronary artery disease, arrhythmia, heart failure, and stroke [16, 17]. Beyond arterial hypertension, obesity has been strongly associated with diabetes mellitus, dyslipidaemia, atherosclerosis, obstructive sleep apnea syndrome (OSAS) and MS [11].
A common element in all the alterations inducing complications of obesity, the IR affects the cardiovascular system by promoting chronic inflammation, increased production of nitric oxide and sympathetic nervous system overactivity [1820]. Therefore, early diagnosis of IR is crucial to identify high-risk individuals. Although the hyperinsulinemic-euglycemic clamp is the established "gold standard" for detecting IR, its complexity prevents the widespread use [21]. As regards, the TyG index is emerging as a simple, cost-effective, and reliable alternative [22]. Calculated on a logarithmic scale from fasting triglyceride and glucose levels, the TyG index effectively assesses the pathophysiology of IR, highlighting increased triglycerides, due to overproduction of VLDL and chylomicrons, and hyperglycaemia, promoted by higher gluconeogenesis [23]. Numerous studies have confirmed the significant correlation of the TyG index with cardiovascular risk and overall mortality [2426], and the predictivity of the TyG index on the development of MS [27].
In the literature there are no univocal cut-offs for TyG values, but different studies have identified a cut-off for TyG >4.5, strong predictor for cardiovascular events; in our study we confirmed that obesity is associated with higher TyG index and with higher prevalence of patients with TyG index higher than 4.5 and greater subclinical organ damage, in particular, myocardial remodeling and hypertrophy. In this regard, IR, assessed by elevated TyG index, can promote organ damage both directly through arterial hypertension and metabolic alterations related to IR.
Several observational studies have been conducted to explore the predictive role of TyG index on the incidence of arterial hypertension. A recent large-scale meta-analysis showed that higher TyG values were associated with 2-fold higher risk of hypertension and 3-fold higher for isolated systolic hypertension [2830]. Page et al [31], in a large series of hypertensive on the National Health and Nutrition Examination Survey, during long-term follow-up (8 years) observed that higher TyG index was correlated to higher mortality for all causes and for cardiovascular diseases. Moreover, a large study conducted in China found significant relationship between TyG index, arterial hypertension and arterial stiffness, showing the positive association between the TyG index and brachial-ankle pulse wave velocity (baPWV), auxiliary tool for the evaluation of arterial stiffness in daily clinical practice [32].
The development of arterial hypertension in IR is supported by numerous alterations involving the endothelium dysfunction, activation of the sympathetic-adrenal system and RAAS, and by suppression of the functioning of the sodium-potassium and calcium-magnesium ATPase complex [33].
In this study we found higher prevalence of MS with increasing BMI and the TyG index proved to be a better predictor in identifying patients with MS than alone blood glucose and triglycerides. MS is characterized by a combination of different factors associated with the risk of residual cardiovascular disease; the underlying pathophysiological elements are central obesity, hypertension, insulin resistance (IR), and atherogenic dyslipidemia [34]. Therefore, it is important to develop routine markers to assess patients' cardiometabolic status without incurring significant delays or increased financial costs. In the Olivetti Heart Study-OHS, the Authors have highlighted the ability of TyG index to predict the risk of developing MS during 8-year follow-up period [35]. Similar results were shown in a meta-analysis by Nabipoorashrafi et al. [36], evidencing the predictive value of TyG index superior to other indices, including the HOMA index. In this regard, in large population-based studies of diabetic patients conducted in both Europe and Asia, the TyG index has proven to be a reliable tool for predicting the development of T2DM over a 5-9-year follow-up, particularly with TyG index >8.3 [37]. In the cross-sectional PROCARDIO-UFV study, elevated TyG index (>9) were shown to be more predictive of developing MS, type 2 diabetes, and non-alcoholic fatty liver disease (NAFLD), as well as a higher rate of developing cardiovascular events over 10 years [38].
Moreover, in this study we highlighted that cardiac remodeling is strongly predicted by the TyG index with respect to plasma glucose or triglycerides alone.
Regarding the predictive capacity of TyG index to detecting the organ damage, a recent meta-analysis involving 28,643 participants found that the TyG index was positively associated with myocardial fibrosis, as well as the risk of all-cause mortality and hospitalization for heart failure [39].
Beyond the high blood pressure values, cardiac remodeling is the consequence of various cardiovascular and metabolic alterations, such as hyperinsulinemia, oxidative stress, and low-grade inflammation, particularly in patients with IR and/or T2DM [40]. Chronic hyperglycaemia causes various pathophysiological alterations, such as increased cardiomyocyte size, as a consequence of increased expression of genes such as atrial and B-type natriuretic peptide (ANP-BNP), heavy-chain beta-myosin, and transforming growth factor (TGF) beta [41]; systemic and tissue RAAS, resulting in cardiac fibroblast proliferation and cardiomyocyte fibrosis [42]; increased acylation of glucosamine; increased oxidative stress with mitochondrial damage and endothelial dysfunction [43]. More advanced stages involve increased NADPH oxidase activity in cardiomyocytes, closely correlated with RAAS activation [44], macrophage infiltration, exacerbation of systemic inflammation and development of coronary artery disease (CAD) and heart failure [45]. IR is one of the main metabolic alterations observed in heart failure (HF) and closely correlated with poor prognosis. A recent meta-analysis conducted on over 750,000 subjects has evaluated the TyG index as a surrogate marker of IR in HF, highlighting that higher TyG index was associated with a greater risk of HF development (OR 1.21), particularly in patients with type 2 diabetes or coronary artery disease (OR 2), with a higher incidence of adverse events, such as rehospitalization and mortality [46].
Firstly in the literature, in our study we observed that the TyG index had greater predictive ability in highlighting cardiac remodeling and presence of MS, in particular in normal weight patients.
As regards, some studies have evaluated the clinical usefulness of new parameters including laboratory and anthropometric data. Recently, Ke Song et al. [47] evaluated the predictive value of a new TyG-BMI index, composed of three simple indicators as triglycerides, blood glucose, and BMI, highlighting greater sensitivity than alone triglyceride or blood glucose measurements. In asymptomatic patients this index appears suitable for identifying high-risk populations, especially regarding the risk of cardiovascular events or development of type 2 diabetes and non-alcoholic fatty liver disease (NAFLD). Since there are no recognized risk thresholds, this index could have clinical utility in assessing improvement in IR status following dietary or pharmacological interventions for weight loss.
In conclusion, our study confirms that obesity is correlated with a worse hemodynamic and metabolic profile. IR is one of the main pathophysiological elements underlying all complications, and the TyG index could represent an efficient and easy-to-use surrogate biomarker for identifying both individuals developing MS and early cardiac remodeling. These results are most evident in normal-weight hypertensive subjects, which represents the population in which the failure to recognize hemodynamic and metabolic alterations can cause the greatest harm.

4.1 Study Limitations and Clinical Perspectives

Although our data are encouraging, some limitations deserve discussion. The cross-sectional design of the study precludes temporal or causal conclusions; increasing the sample size could find additional data, such as identifying a cutoff point to predict subclinical organ damage at different sites (such as renal injury, fundus oculi, or vascular level) or gender-related differences. There are no clear cutoff values for TyG levels in the literature; we used a cutoff value of TyG >4.5, due to its strong predictive ability to predict cardiovascular events; other values have been used to predict MS, development of arterial hypertension in children and adolescent, or the development of metabolic dysfunction-associated fatty liver disease (MAFLD) in older ager [48]. Moreover, during lifestyle modification or pharmacological treatment, the evaluation of the TyG index can be efficient for assessing changes in IR in individual patients. Nonetheless, the internal consistency of our results, combined with the robust methodology (uniform patient assessment, standardized and blinded echocardiography, exclusion of secondary hypertension), represent important methodological strengths that increase the reliability and clinical relevance of our findings.

Declarations

Conflict of interest

the authors have no conflict of interest to disclose for the contents of the present manuscript.

Ethical Approval

The study was approved by the Local Committee of the Department of Clinical, Internal, Anesthesiological and Cardiovascular Sciences (date of approval: 19 December 2023).
Open Access This article is licensed under a Creative Commons Attribution-NonCommercial 4.0 International License, which permits any non-commercial use, sharing, adaptation, distribution and reproduction in any medium or format, as long as you give appropriate credit to the original author(s) and the source, provide a link to the Creative Commons licence, and indicate if changes were made. The images or other third party material in this article are included in the article’s Creative Commons licence, unless indicated otherwise in a credit line to the material. If material is not included in the article’s Creative Commons licence and your intended use is not permitted by statutory regulation or exceeds the permitted use, you will need to obtain permission directly from the copyright holder. To view a copy of this licence, visit http://creativecommons.org/licenses/by-nc/4.0/.
Download
Titel
Clinical Use of the Triglycerides/Glucose (TyG) Index in the Early Assessment of Metabolic Alterations and Cardiovascular Remodeling in Essential Hypertensive Patients
Verfasst von
Luigi Petramala
Gioacchino Galardo
Luca Marino
Francesco Circosta
Giulia Nardoianni
Francesco Baratta
Luca Caprioni Grasso
Federica Moscucci
Giuliano Tocci
Giovambattista Desideri
Claudio Letizia
Publikationsdatum
07.01.2026
Verlag
Springer International Publishing
Erschienen in
High Blood Pressure & Cardiovascular Prevention / Ausgabe 2/2026
Print ISSN: 1120-9879
Elektronische ISSN: 1179-1985
DOI
https://doi.org/10.1007/s40292-025-00772-3
1.
Zurück zum Zitat Song X, Jousilahti P, Stehouwer CDA, et al. Cardiovascular and all-cause mortality in relation to various anthropometric measures of obesity in Europeans. Nutr Metab Cardiovasc Dis. 2015;25:295–304.CrossRefPubMed
2.
Zurück zum Zitat Lind L, Risérus U, Elmståhl S, Ärnlöv J, Michaëlsson K, Titova OE. Combinations of BMI and metabolic syndrome and the risk of myocardial infarction, stroke, and heart failure. Nutr Metab Cardiovasc Dis. 2025. https://doi.org/10.1016/j.numecd.2025.104102.CrossRefPubMed
3.
Zurück zum Zitat Mancusi C, Izzo R, di Gioia G, Losi MA, Barbato E, Morisco C. Insulin resistance the hinge between hypertension and type 2 diabetes. High Blood Press Cardiovasc Prev. 2020;27(6):515–26. https://doi.org/10.1007/s40292-020-00408-8.CrossRefPubMedPubMedCentral
4.
Zurück zum Zitat Defronzo RA. From the triumvirate to the ominous octet: a new paradigm for the treatment of type 2 diabetes mellitus. Diabetes. 2009;58:773–95.CrossRefPubMedPubMedCentral
5.
Zurück zum Zitat Muniyappa R, Lee S, Chen H, Quon MJ. Current approaches for assessing insulin sensitivity and resistance in vivo: advantages, limitations, and appropriate usage. Am J Physiol Endocrinol Metab. 2008. https://doi.org/10.1152/ajpendo.00645.2007.CrossRefPubMed
6.
Zurück zum Zitat Guerrero-Romero F, Simental-Mendía LE, González-Ortiz M, Martínez-Abundis E, Ramos-Zavala MG, Hernández-González SO, et al. The product of triglycerides and glucose, a simple measure of insulin sensitivity. Comparison with the euglycemic-hyperinsulinemic clamp. J Clin Endocrinol Metab. 2010;95:3347–51.CrossRefPubMed
7.
Zurück zum Zitat da Silva A, Caldas APS, Pinto SL, Hermsdorff HHM, Marcadenti A, Bersch-Ferreira ÂC, et al. Dietary total antioxidant capacity is inversely associated with cardiovascular events and cardiometabolic risk factors: a cross-sectional study. Nutrition. 2021;89:1–7.CrossRef
8.
Zurück zum Zitat Petramala L, Gigante A, Sarlo F, Servello A, Circosta F, Marino L, et al. Relevance of obesity-related organ damage and metabolic syndrome classification in cardiovascular and renal risk stratification in patients with essential hypertension. Front Cardiovasc Med. 2024;11:1–11.CrossRef
9.
Zurück zum Zitat Mancia G, Kreutz R, Brunström M, et al. 2023 ESH guidelines for the management of arterial hypertension the Task Force for the management of arterial hypertension of the European Society of Hypertension. J Hypertens. 2023;41:1874–2071.CrossRefPubMed
10.
Zurück zum Zitat Nagueh SF, Smiseth OA, Appleton CP, et al. Recommendations for the evaluation of left ventricular diastolic function by echocardiography: an update from the American Society of Echocardiography and the European Association of Cardiovascular Imaging. Eur Hear J Cardiovasc Imaging. 2016;17:1321–60.CrossRef
11.
Zurück zum Zitat Ng M, Fleming T, Robinson M, et al. Global, regional, and national prevalence of overweight and obesity in children and adults during 1980–2013: a systematic analysis for the Global Burden of Disease Study 2013. Lancet. 2014;384:766–81.CrossRefPubMedPubMedCentral
12.
Zurück zum Zitat Carbone S, Lavie CJ, Arena R. Obesity and heart failure: focus on the obesity paradox. Mayo Clin Proc. 2017;92:266–79.CrossRefPubMed
13.
Zurück zum Zitat Oikonomou EK, Antoniades C. The role of adipose tissue in cardiovascular health and disease. Nat Rev Cardiol. 2019;16:83–99.CrossRefPubMed
14.
Zurück zum Zitat Letizia C, Petramala L, Di Gioia CRT, Chiappetta C, Zinnamosca L, Marinelli C, et al. Leptin and adiponectin mRNA expression from the adipose tissue surrounding the adrenal neoplasia. J Clin Endocrinol Metab. 2015;100:E101–4.CrossRefPubMed
15.
Zurück zum Zitat Seravalle G, Grassi G. Sympathetic nervous system, hypertension, obesity and metabolic syndrome. High Blood Press Cardiovasc Prev. 2016;23(3):175–9. https://doi.org/10.1007/s40292-016-0137-4.CrossRefPubMed
16.
Zurück zum Zitat Javaheri S, Barbe F, Campos-Rodriguez F, et al. Sleep apnea: types, mechanisms, and clinical cardiovascular consequences. J Am Coll Cardiol. 2017;69:841–58.CrossRefPubMedPubMedCentral
17.
Zurück zum Zitat Elagizi A, Kachur S, Carbone S, Lavie CJ, Blair SN. A review of obesity, physical activity, and cardiovascular disease. Curr Obes Rep. 2020;9:571–81.CrossRefPubMed
18.
Zurück zum Zitat D’Elia L, Strazzullo P, Iacone R, Russo O, Galletti F. Leptin levels predict the development of insulin resistance in a sample of adult men–the Olivetti heart study. Nutr Metab Cardiovasc Dis. 2019;29:39–44.CrossRefPubMed
19.
Zurück zum Zitat Grassi G, Dell’Oro R, Facchini A, Trevano FQ, Bolla GB, Mancia G. Effect of central and peripheral body fat distribution on sympathetic and baroreflex function in obese normotensives. J Hypertens. 2004;22:2363–9.CrossRefPubMed
20.
Zurück zum Zitat Roth GA, Mensah GA, Johnson CO, et al. Global burden of cardiovascular diseases and risk factors, 1990-2019: update from the GBD 2019 study. J Am Coll Cardiol. 2020;76:2982–3021.CrossRefPubMedPubMedCentral
21.
Zurück zum Zitat Cersosimo E, Solis-Herrera C, Trautmann ME, Malloy J, Triplitt CL. Send orders for reprints to reprints@benthamscience.net assessment of pancreatic-cell function: review of methods and clinical applications. Curr Diabetes Rev. 2014;10:2–42.CrossRefPubMedPubMedCentral
22.
Zurück zum Zitat Simental-Mendía LE, Rodríguez-Morán M, Guerrero-Romero F. The product of fasting glucose and triglycerides as surrogate for identifying insulin resistance in apparently healthy subjects. Metab Syndr Relat Disord. 2008;6:299–304.CrossRefPubMed
23.
Zurück zum Zitat Grundy SM. Hypertriglyceridemia, insulin resistance, and the metabolic syndrome. Am J Cardiol. 1999;83:25F-29F.CrossRefPubMed
24.
Zurück zum Zitat Ramírez-Vélez R, Izquierdo M, García-Hermoso A, Correa-Rodríguez M. Corrigendum to “Reference values and associated factors of controlled attenuation parameter and liver stiffness in adults: a cross-sectional study” [Nutr Metabol Cardiovasc Dis 34 (8) (2024) 1879-1889]. Nutr Metab Cardiovasc Dis. 2024;34:2610.CrossRefPubMed
25.
Zurück zum Zitat Ren X, Jiang M, Han L, Zheng X. Association between triglyceride-glucose index and chronic kidney disease: a cohort study and meta-analysis. Nutr Metab Cardiovasc Dis. 2023;33:1121–8.CrossRefPubMed
26.
Zurück zum Zitat Yu Y, Wang J, Ding L, et al. Sex differences in the nonlinear association of triglyceride glucose index with all-cause and cardiovascular mortality in the general population. Diabetol Metab Syndr. 2023;15:136.CrossRefPubMedPubMedCentral
27.
Zurück zum Zitat Son D-H, Lee HS, Lee Y-J, Lee J-H, Han J-H. Comparison of triglyceride-glucose index and HOMA-IR for predicting prevalence and incidence of metabolic syndrome. Nutr Metab Cardiovasc Dis. 2022;32:596–604.CrossRefPubMed
28.
Zurück zum Zitat Yang C, Song Y, Wang P. Relationship between triglyceride-glucose index and new-onset hypertension in general population-a systemic review and meta-analysis of cohort studies. Clin Exp Hypertens. 2024;46:2341631.CrossRefPubMed
29.
Zurück zum Zitat Zhang J, Wang R, Liu Q, Song G, Tang X. Association of triglyceride-glucose index with incident hypertension among non-overweight healthy adults: a cohort study in China. Nutr Metab Cardiovasc Dis. 2023;33:1057–65.CrossRefPubMed
30.
Zurück zum Zitat Cai Q, Xing CY, Zhu J, Wang Y, Lu F, Peng J. Associations between triglyceride-glucose index and different hypertension subtypes: a population-based study in China. Front Cardiovasc Med. 2022;9:901180.CrossRefPubMedPubMedCentral
31.
Zurück zum Zitat Pang J, Qian L, Che X, Lv P, Xu Q. TyG index is a predictor of all-cause mortality during the long-term follow-up in middle-aged and elderly with hypertension. Clin Exp Hypertens. 2023;45:2272581.CrossRefPubMed
32.
Zurück zum Zitat Garofani I, Tognola C, Morelli M, Shkodra A, Algeri M, Bellomare M, et al. Pulse wave velocity progression determinants: no significant association with novel lipids parameter. High Blood Press Cardiovasc Prev. 2025. https://doi.org/10.1007/s40292-025-00741-w.CrossRefPubMedPubMedCentral
33.
Zurück zum Zitat Wu W-Z, Bai Y-P. Endothelial GLUTs and vascular biology. Biomed Pharmacother. 2023;158:114151.CrossRefPubMed
34.
Zurück zum Zitat Alberti KGMM, Eckel RH, Grundy SM, Zimmet PZ, Cleeman JI, Donato KA, et al. Harmonizing the metabolic syndrome: a joint interim statement of the International Diabetes Federation Task Force on Epidemiology and Prevention; National Heart, Lung, and Blood Institute; American Heart Association; World Heart Federation; International Atherosclerosis Society; and International Association for the Study of Obesity. Circulation. 2009;120:1640–5.CrossRefPubMed
35.
Zurück zum Zitat González-González JG, Violante-Cumpa JR, Zambrano-Lucio M, Burciaga-Jimenez E, Castillo-Morales PL, Garcia-Campa M, et al. HOMA-IR as a predictor of Health Outcomes in Patients with Metabolic Risk Factors: a systematic review and meta-analysis. High Blood Press Cardiovasc Prev. 2022;29(6):547–64. https://doi.org/10.1007/s40292-022-00542-5.CrossRefPubMed
36.
Zurück zum Zitat Nabipoorashrafi SA, Seyedi SA, Rabizadeh S, Ebrahimi M, Ranjbar SA, Reyhan SK, et al. The accuracy of triglyceride-glucose (TyG) index for the screening of metabolic syndrome in adults: a systematic review and meta-analysis. Nutr Metab Cardiovasc Dis. 2022;32:2677–88.CrossRefPubMed
37.
Zurück zum Zitat Navarro-González D, Sánchez-Ínĩgo L, Fernández-Montero A, Pastrana-Delgado J, Alfredo Martinez J. TyG index change is more determinant for forecasting type 2 diabetes onset than weight gain. Med (United States). 2016;95:1–9.
38.
Zurück zum Zitat Araújo SP, Juvanhol LL, Bressan J, Hermsdorff HHM. Triglyceride glucose index: a new biomarker in predicting cardiovascular risk. Prev Med Rep. 2022;29:101941.CrossRefPubMedPubMedCentral
39.
Zurück zum Zitat Yang S, Du Y, Liu Z, Zhang R, Lin X, Ouyang Y, et al. Triglyceride-glucose index and extracellular volume fraction in patients with heart failure. Front Cardiovasc Med. 2021;8:1–8.
40.
Zurück zum Zitat Avagimyan A, Popov S, Shalnova S. The pathophysiological basis of diabetic cardiomyopathy development. Curr Probl Cardiol. 2022;47:1–12.CrossRef
41.
Zurück zum Zitat Suman S, Biswas A, Kohaf N, Singh C, Johns R, Jakkula P, et al. The diabetes-heart disease connection: recent discoveries and implications. Curr Probl Cardiol. 2023;48:101923.CrossRefPubMed
42.
Zurück zum Zitat Avagimyan A, Fogacci F, Pogosova N, et al. Diabetic Cardiomyopathy: 2023 Update by the International Multidisciplinary Board of Experts. Curr Probl Cardiol. 2024;49:1–20.CrossRef
43.
Zurück zum Zitat Ke J, Pan J, Lin H, Gu J. Diabetic cardiomyopathy: a brief summary on lipid toxicity. ESC Hear Fail. 2023;10:776–90.CrossRef
44.
Zurück zum Zitat Petramala L, Pignatelli P, Carnevale R, et al. Oxidative stress in patients affected by primary aldosteronism. J Hypertens. 2014;32:2022–9.CrossRefPubMed
45.
Zurück zum Zitat Oktay AA, Akturk HK, Esenboğa K, Javed F, Polin NM, Jahangir E. Pathophysiology and prevention of heart disease in diabetes mellitus. Curr Probl Cardiol. 2018;43:68–110.CrossRefPubMed
46.
Zurück zum Zitat Khalaji A, Behnoush AH, Khanmohammadi S, Ghanbari Mardasi K, Sharifkashani S, Sahebkar A, et al. Triglyceride-glucose index and heart failure: a systematic review and meta-analysis. Cardiovasc Diabetol. 2023;22:1–16.CrossRef
47.
Zurück zum Zitat Song K, Xu Y, Wu S, Zhang X, Wang Y, Pan S. Research status of triglyceride glucose-body mass index (TyG-BMI index). Front Cardiovasc Med. 2025. https://doi.org/10.3389/fcvm.2025.1597112.CrossRefPubMedPubMedCentral
48.
Zurück zum Zitat Yan Q, Cai W, Wu J, Guo Y. Associations of the triglyceride-glucose index and body fat composition with blood pressure in children and adolescents. High Blood Press Cardiovasc Prev. 2025. https://doi.org/10.1007/s40292-025-00749-2.CrossRefPubMed

Neu im Fachgebiet Kardiologie

Arbeitsvertrag für angestellte Ärztinnen und Ärzte: Das gilt bei Fortbildungen, Überstunden und Boni

Immer mehr Ärztinnen und Ärzte arbeiten angestellt in Praxen bzw. MVZ. Was im Arbeitsvertrag geklärt werden kann und sollte und wo Risiken liegen, erklärt Medizin- und Arbeitsrechtlerin Gabriele Leucht.

KI-Chatbots bieten 24/7-Sprechstunde für Patienten

Medizinischen Rat von Chatbots auf der Basis sogenannter künstlicher Intelligenz haben laut Umfragen bereits knapp die Hälfte aller Erwachsenen schon einmal eingeholt. Welche Chancen und Risiken birgt das?

Wie sicher sind Kalziumpräparate bei kardiovaskulärer Vorerkrankung?

Eine weitere Studie weckt Zweifel an der kardiovaskulären Sicherheit von Kalziumsupplementen: Bei Menschen, die bereits einen Herzinfarkt oder Schlaganfall hinter sich hatten, kam es vermehrt zu weiteren Ereignissen.

Wechsel von Gemeinschafts- in neue Praxis: Was passiert mit den Patientenakten?

Folgen Patienten einem Arzt in eine andere Praxis, braucht er Zugriff auf deren Akten. Wie das korrekt funktionieren kann, zeigt Hessens Datenschützer. Und er warnt vor unbefugtem Streaming aus Praxen.

EKG Essentials: EKG befunden mit System

In diesem CME-Kurs können Sie Ihr Wissen zur EKG-Befundung anhand von zwölf Video-Tutorials auffrischen und 10 CME-Punkte sammeln.
Praxisnah, relevant und mit vielen Tipps & Tricks vom Profi.

Update Kardiologie

Bestellen Sie unseren Fach-Newsletter und bleiben Sie gut informiert.

Bildnachweise
Vater recherchiert am Smartphone/© Elnur / stock.adobe.com (Symbolbild mit Fotomodell), EKG befunden mit System - EKG Essential/© Springer Medizin Verlag GmbH