Zum Inhalt

Comparing tooth development timing between ethnic groups, excluding nutritional and environmental influences

  • Open Access
  • 29.07.2024
  • Original Article
Erschienen in:
download
DOWNLOAD
print
DRUCKEN
insite
SUCHEN

Abstract

The timing of dental development in ethnic Finns and Somalis, who were born and living in Finland, was compared, with efforts to minimize environmental bias. The developmental status of seven lower left permanent teeth were staged according to Demirjian et al., using panoramic radiographs from 2,100 Finnish and 808 Somali females and males, aged 2 to 23 years. For each tooth, a continuation-ratio model was constructed to analyze the allocated stages as a function of sex and ethnic origin. Several statistically significant differences in mean age of certain tooth developmental stage transitions were revealed. While Somalis generally displayed stage transitions at younger age, none of the seven teeth consistently showed earlier stage transitions in Somalis compared to Finns. Within each tooth, the lowest (or highest) mean age of stage transition varied without any discernible pattern between the two ethnic groups. Overall, the observed differences in mean age of stage transition between the groups was minimal, suggesting a low impact on clinical and forensic age assessment practice. In conclusion, the studied ethnic Finn and Somali groups with equal nutritional and /or environmental conditions exhibit similar timing in the development of all lower left permanent teeth.

Publisher’s Note

Springer Nature remains neutral with regard to jurisdictional claims in published maps and institutional affiliations.

Introduction

In pediatric dentistry and orthodontics, assessment of degree of dental maturation is an important tool during diagnostics and treatment planning [1]. In forensics, tooth development is used to assess the age of young individuals with uncertain identity, often unaccompanied asylum seekers. Chronological age is mainly estimated based on the dental maturation status of a specific tooth or a combination of teeth, observed on dental panoramic radiographs [2]. There are several techniques to register dental development. The Demirjian et al. [3] (1973) technique is the most commonly applied on permanent teeth and classifies their maturation in eight stages (A-H) [4].
Controversies exist regarding possible variations in the timing of dental development between populations [58]. On one hand, slightly more advanced timing of tooth development has been documented in children of African origin compared to other groups [9, 10]. On the other hand, several studies have reported similarity in dental development among children and adolescents between different populations [1113].
The reported differences in timing of dental development between different populations were probably not only due to differences in ethnic origin of the examined populations but may have been partly due to extrinsic nutritional and/or environmental conditions that possibly affect dental development [1418]. To rule out this effect, several studies have analysed and compared dental development of different ethnic groups living in the same area. This was studied in South Africa between Black and White 6- to 14-year-old children [19], and 15- to 25-year-old adolescents and young adults [9], as well as between White, Coloured, Indian and Black 7- to 16-year-old children [8]. Similar studies were performed in the United Kingdom, comparing Somali and Caucasian children under the age of 16 [20], and, respectively, individuals of White and Bangladeshi origin in an age range of 10‒25 years [12]. Further on, in Sudan, comparisons were performed between Arab and African children and young adults in an age range of 2 to 23 years old [11].
A common weakness of the aforementioned studies was the uncertainty of a correct birth registration, and thus exact age, of the examined individuals. Moreover, frequently lacking data were the certainties whether the reported study area also represented the individual’s place of birth and previous site of living. In this context, the timing of dental development of Finnish individuals has been vastly studied [2126]. Besides, Somalis with well-documented registrations and having lived their entire life in Finland, have been studied by Metsäniitty et al. [27, 28]. Therefore, the aim of the present study was to compare the timing of permanent tooth development, using tooth-specifically developmental stage transitions, between a group of ethnic Finns and a group of ethnic Somalis. All individuals in both groups were born and living in Finland.

Materials & methods

Sample selection

Dental panoramic radiographs (DPRs) were collected according to the following criteria:
  • only one DPR per eligible subject was selected
  • the chronological age of each subject was documented and was from 2 to 23 years
  • the subjects were either ethnic Finns or Somalis [27, 28]
  • subjects with medical or dental abnormalities affecting dental development were excluded
DPRs in the group of ethnic Finns were compiled subsamples from four different dental records. The search and selection criteria for the Somali sample have been previously described [27, 28] (Tables 1 and 2).
Table 1
Formation of the study sample of dental panoramic radiographs of ethnic Finns and Somalis
Ethnicity
Source
Sample type
Sample size
Sampling period
Present study subsample
Female
Male
Age range (yrs)
Finns
Health Centre of Salo, Finland
Clinical
5,132
2002–2016
758
682
3–23
Finns
Health Centre of Lapinlahti, Finland
Clinical
1,454
1980–1997
137
149
5–13
Finns
Radiology Unit at the Hospital District of Southwest Finland
Clinical
40,716
1998–2016
84
155
2–5 and 14–16
Finns
Orthodontics, Department of Oral and Maxillofacial Diseases, Faculty of Medicine, University of Helsinki, Finland
Research, unselected
2,252
1965–1993
73
62
2–6
Somalis
Division of Oral Health Care at the Department of Social Services and Health Care in Helsinki, Finland
Clinical
808
1999–2016
410
398
3–23
Table 2
Age and sex distribution of the subjects in the group of ethnic Finns and Somalis
 
Ethnic Finns
Ethnic Somalis
Total
Age (yrs)
Female
Male
Total
Female
Male
Total
Total
Percent
2-2.99
6
9
15
0
0
0
15
0.52
3-3.99
48
40
88
0
1
1
89
3.06
4-4.99
49
50
99
1
3
4
103
3.54
5-5.99
51
50
101
6
8
14
115
3.95
6-6.99
49
49
98
20
19
39
137
4.71
7-7.99
50
50
100
47
37
84
184
6.33
8-8.99
51
50
101
50
48
98
199
6.84
9-9.99
50
50
100
50
51
101
201
6.91
10-10.99
51
51
102
37
49
86
188
6.46
11-11.99
49
50
99
37
43
80
179
6.16
12-12.99
50
50
100
27
38
65
165
5.67
13-13.99
48
51
99
32
27
59
158
5.43
14-14.99
51
49
100
20
17
37
137
4.71
15-15.99
49
48
97
23
17
40
137
4.71
16-16.99
50
51
101
17
18
35
136
4.68
17-17.99
52
50
102
11
8
19
121
4.16
18-18.99
47
49
96
14
7
21
117
4.02
19-19.99
51
50
101
8
0
8
109
3.75
20-20.99
49
50
99
7
3
10
109
3.75
21-21.99
50
52
102
3
2
5
107
3.68
22-22.99
52
49
101
0
1
1
102
3.51
23-23.99
49
50
99
0
1
1
100
3.44
Total
1,052
1,048
2,100
410
398
808
2,908
100

Ethical considerations

All DPRs were taken for clinical reasons, except for the historical research collection on ethnic Finns at the University of Helsinki [24, 29]. The Helsinki Longitudinal Study of Dental Development and Craniofacial Growth of Finnish children was conducted in accordance with the Declaration of Helsinki, and approved by the Ethics Committee of the Institute of Dentistry, University of Helsinki [29]. The Research Ethics Committee of the Hjelt Institute, University of Helsinki, Finland, granted ethical approval (no. 02/2010), and the division of Oral Health Care of the Department of Social Services and Health Care in Helsinki, Finland, provided the research permit (#HEL 2015–010918) for the retrospective collection on the group of ethnic Somalis. The present study was approved by the Research Ethics Committee of the Medical Faculty, University of Helsinki (no. 07/2020).

Data collection and statistical analyses

The Demirjian et al. [3] staging technique was applied to register the developmental status of the seven left permanent teeth, numbered 31 to 37 according to the World Dental Federation (FDI). The contra-lateral homologous tooth was staged if a left tooth was missing.
Intra- and inter-observer stage allocation reliabilities were tested on repeated staging of 200 and 37 radiographs from the group of ethnic Finns or Somalis, respectively. Kappa statistics were applied.
For each tooth, a continuation-ratio model [30] was applied to model its developmental stages as a function of ethnic origin (Finnish or Somali group). For each logit, the intercept and slope were allowed to differ between the groups. A likelihood ratio test was used to compare the models with and without separate parameters for ethnic origin. Based on the parameters from the continuation-ratio model, the mean and 95% confidence interval (CI) of the ages of transition between adjacent stages (ages of attainment) were calculated tooth-specific and compared between the two ethnic groups. Analyses were performed separately for males and females. Due to the difference in age distribution between the two groups, some of the lower stages did not occur in certain teeth in the Somali group. Therefore, in the corresponding tooth they were excluded in both groups for analysis. Further on, if in a group a specific stage was allocated in less than five subjects, this stage was combined with the consecutive higher stage in both groups.
The assumption of linearity in the models was tested by fitting a model using restricted cubic splines [31] with four knots and comparing this model with the models assuming linearity.
All analyses were performed using SAS software (version 9.4 of the SAS System for Windows, SAS Institute Inc., Cary, NC, USA).

Results

The Kappa values based on the inter- and intra-observer stage allocation are shown in Table 3.
Table 3
Intra- and inter-observer Kappa statistics per ethnic group
 
Intra-observer
Inter-observer
Ethnic Finns
Ethnic Somalis*
Ethnic Finns#
Ethnic Somalis*
Value
95% CI
Value
95% CI
Value
95% CI
Value
95% CI
Simple Kappa
0.83
0.82;0.85
0.95
0.92;0.98
0.67–0.75
-
0.97
0.95;1.00
Weighted Kappa
-
-
0.98
0.96;0.99
-
-
0.99
0.98;1.00
95% CI 95% confidence interval
*Reported in Metsäniitty, Waltimo-Sirén, Ranta, Fieuws & Thevissen, 2019; #Same three observers as in*
Table 4 provides mean ages at which transitions to a higher dental developmental stage took place (mean ages of attainment). These values are sex-specific reported per ethnic group and per tooth. In summary, the likelihood ratio test for the difference as a function of origin revealed that the group of ethnic Finns and Somalis displayed statistically significant differences in the developmental timing of mandibular left teeth within both males (M) and females (F). Between the two ethnicities, significant differences (p < 0.005) were found in at least one of the stage transitions in central incisors (31; M, F), canines (33; M, F), first premolars (34; M), second premolars (35; M, F), first molars (36; M) and second molars (37; F) (Table 4).
Table 4
Sex- and tooth-specific estimates for the mean age at which transitions to a higher dental developmental stage took place in both ethnic groups
  
Females
  
Males
  
  
Ethnic Finns
Ethnic Somalis
  
Ethnic Finns
Ethnic Somalis
  
Stage
Tooth
Mean
(95% CI)
Mean
(95% CI)
∆Mean
P-value
Mean
(95% CI)
Mean
(95% CI)
∆Mean
P-value
from E to F
31
5.75
5.94
0.19
0.3210
6.01
5.58
0.43
0.0342*
  
(5.62;5.88)
(5.58;6.30)
  
(5.86;6.16)
(5.20;5.95)
  
from F to G
31
7.04
6.66
0.38
0.0147*
7.32
6.79
0.53
0.0025*
  
(6.88;7.21)
(6.41;6.92)
  
(7.15;7.48)
(6.48;7.09)
  
from G to H
31
7.55
7.76
0.21
0.3301
7.90
8.28
0.38
0.0531
  
(7.22;7.87)
(7.47;8.05)
  
(7.63;8.18)
(8.01;8.55)
  
from F to G#
31
7.04
6.51
0.53
0.0131*
    
  
(6.87;7.21)
(6.12;6.89)
      
from G to H#
31
7.72
7.68
0.04
0.8300
    
  
(7.49;7.96)
(7.34;8.01)
      
from E to F
32
6.30
6.35
0.05
0.7672
6.67
6.41
0.26
0.2027
  
(6.09;6.50)
(6.10;6.59)
  
(6.48;6.86)
(6.05;6.77)
  
from F to G
32
7.83
7.63
0.20
0.2075
8.24
7.96
0.28
0.1197
  
(7.61;8.05)
(7.41;7.85)
  
(8.04;8.44)
(7.67;8.25)
  
from G to H
32
8.00
8.34
0.34
0.2486
9.13
9.13
0.00
0.9840
  
(7.50;8.51)
(8.08;8.59)
  
(8.77;9.50)
(8.86;9.39)
  
from C to D
33
    
4.64
4.48
0.16
0.7692
      
(4.46;4.81)
(3.44;5.52)
  
from D to E
33
5.74
5.88
0.14
0.5508
5.98
5.70
0.28
0.4379
  
(5.57;5.90)
(5.44;6.32)
  
(5.81;6.16)
(5.00;6.39)
  
from E to F
33
7.86
7.38
0.48
0.0038*
8.20
8.49
0.29
0.0707
  
(7.67;8.04)
(7.11;7.64)
  
(8.01;8.39)
(8.24;8.73)
  
from F to G
33
10.17
10.33
0.16
0.3583
11.93
11.46
0.47
0.0027*
  
(9.97;10.37)
(10.07;10.59)
  
(11.73;12.12)
(11.22;11.69)
  
from G to H
33
11.47
11.62
0.15
0.5945
12.89
12.57
0.32
0.1865
  
(11.17;11.77)
(11.19;12.04)
  
(12.65;13.13)
(12.17;12.98)
  
from C to D
34
    
5.49
5.13
0.36
0.0997
      
(5.33;5.66)
(4.72;5.53)
  
from D to E
34
6.63
6.83
0.20
0.2371
6.69
6.79
0.10
0.6219
  
(6.46;6.80)
(6.55;7.12)
  
(6.53;6.86)
(6.43;7.16)
  
from E to F
34
8.27
8.51
0.24
0.1002
8.70
9.24
0.54
0.0005*
  
(8.07;8.47)
(8.31;8.71)
  
(8.49;8.91)
(9.02;9.47)
  
from F to G
34
11.15
11.13
0.02
0.9007
12.17
11.58
0.59
0.0009*
  
(10.93;11.36)
(10.86;11.39)
  
(11.96;12.39)
(11.30;11.86)
  
from G to H
34
11.45
11.40
0.05
0.8962
12.50
12.03
0.47
0.1281
  
(10.96;11.94)
(10.73;12.07)
  
(12.11;12.90)
(11.56;12.50)
  
from C to D
35
6.01
5.44
0.57
0.1742
6.20
5.59
0.61
0.0036*
  
(5.77;6.25)
(4.67;6.22)
  
(6.05;6.36)
(5.21;5.97)
  
from D to E
35
7.30
7.12
0.18
0.4188
7.38
7.21
0.17
0.4448
  
(7.07;7.53)
(6.76;7.48)
  
(7.14;7.62)
(6.84;7.58)
  
from E to F
35
9.01
9.03
0.02
0.8954
9.30
9.60
0.30
0.1147
  
(8.76;9.26)
(8.80;9.26)
  
(9.02;9.58)
(9.35;9.84)
  
from F to G
35
12.01
12.40
0.39
0.0961
12.87
12.49
0.38
0.0701
  
(11.74;12.27)
(12.02;12.79)
  
(12.64;13.10)
(12.15;12.83)
  
from G to H
35
13.28
12.29
0.99
0.0048*
13.74
12.90
0.84
0.0061*
  
(12.89;13.66)
(11.73;12.86)
  
(13.33;14.14)
(12.46;13.34)
  
from E to F
36
5.39
5.57
0.18
0.4849
5.77
5.38
0.39
0.0253*
  
(5.25;5.54)
(5.09;6.06)
  
(5.63;5.92)
(5.07;5.69)
  
from F to G
36
7.73
7.65
0.08
0.6186
7.88
7.68
0.20
0.3111
  
(7.52;7.94)
(7.43;7.87)
  
(7.66;8.10)
(7.36;8.00)
  
from G to H
36
8.75
8.99
0.24
0.2239
9.50
9.63
0.13
0.5164
  
(8.44;9.06)
(8.75;9.23)
  
(9.20;9.80)
(9.38;9.87)
  
from C to D
37
6.41
5.61
0.80
0.0034*
6.09
5.87
0.22
0.3731
  
(6.21;6.61)
(5.11;6.10)
  
(5.85;6.33)
(5.47;6.28)
  
from D to E
37
8.35
8.19
0.16
0.2620
8.54
8.65
0.11
0.4808
  
(8.16;8.54)
(8.00;8.39)
  
(8.35;8.73)
(8.41;8.89)
  
from E to F
37
10.08
9.83
0.25
0.1363
10.68
10.47
0,21
0.2885
  
(9.84;10.33)
(9.61;10.06)
  
(10.39;10.96)
(10.22;10.72)
  
from F to G
37
12.62
13.24
0.62
0.0030*
13.12
13.52
0.40
0.0858
  
(12.37;12.86)
(12.91;13.57)
  
(12.86;13.37)
(13.13;13.92)
  
from G to H
37
15.30
14.76
0.54
0.0512
15.47
15.20
0.27
0.3342
  
(15.02;15.59)
(14.30;15.22)
  
(15.21;15.72)
(14.72;15.68)
  
Estimates from a continuation-ratio model assuming linearity. When the occurrence of score was low, it was combined with the previous stage in the analysis
*Statistically significant p<0.05. #Alternative model for females when stages D-E-F were combined
95% CI: 95 percent confidence interval; ∆Mean: Absolute value for mean difference
In females, significant differences in mean age of attainment between ethnic groups occurred in 19% of the stages and ranged between 0.38 and 0.99 years. In males, these differences occurred in 28% of the stages and ranged between 0.39 and 0.84 years (Table 4). In 58.9% of the mean ages of attainment with a statistically significant difference between the ethnic groups, the group with Somali ethnicity had a faster development. However, in none of the seven tooth positions analysed, did all transitions to a higher stage appear earlier in one of the ethnic groups (Table 4).
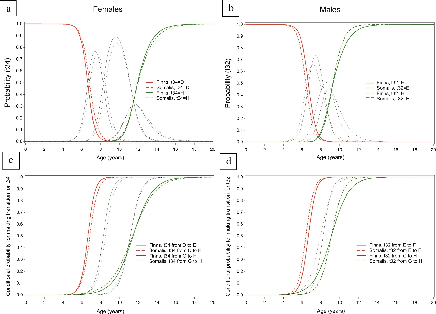
Based on the continuation ratio model, sex-specific curves, illustrating the probabilities of age per stage and the conditional probabilities of age at transition to a higher tooth developmental stage, are presented for each tooth in the Appendix. Figures 1 and 2 illustrate examples of two teeth, with and without statistically significant differences in developmental timing between ethnic groups (based on the likelihood ratio test), respectively. Figure 1 shows tooth 32 for M and tooth 34 for F, while Fig. 2 shows tooth 37 for F and tooth 34 for M (Figs. 1 and 2).
The result of the test of assumption of linearity in the models showed statistically significant nonlinearity (p < 0.05) only in tooth 35 for both sexes.
Fig. 1
Example of two teeth with no statistically significant differences between ethnic groups for all transitions between stages, in likelihood-ratio test for the difference as a function of origin, namely tooth 34 in F, a and c (p = 0.6421) and tooth 32 in M, b and d (p = 0.0693). In a and b probabilities of age per (combined) stage are presented, while in c and d conditional probabilities of ages of transition to a higher stage (ages of attainment) are shown. These probabilities were established using a continuation-ratio model assuming linearity. a and b display the earliest analyzed Demirjian stage (D for the premolar and E for the incisor) as red lines and the final stage H as green lines. The grey lines represent all intermediate Demirjian stages. c and d, the red lines represent the first ages of transition (from stage D to E in the premolar, and from stage E to F in the incisor) while the green lines represent the last ages of transition (from stage G to H). The grey lines represent all intermediate stage transitions. The solid lines represent Finns, while the dashed lines represent Somalis
Bild vergrößern
Fig. 2
Examples of two teeth with statistically significant differences between ethnic groups for certain transitions between stages (p < 0.0001) in likelihood-ratio test for the difference as a function of origin: tooth 37 in females, a and c and tooth 34 in males, b and d. In a and b probabilities of age per (combined) stage are presented, while in c and d conditional probabilities of ages of transition to a higher stage (age of attainment) are shown. These probabilities were established using a continuation-ratio model assuming linearity. a and b display the earliest Demirjian stage C as red lines and the final stage H as green lines. The grey lines represent all intermediate Demirjian stages (stages D, E, F, and G). In c and d, the red lines represent the earliest analysed transition from C to D while the green lines represent the last transition from G to H. The grey lines represent all intermediate stage transitions. The solid lines represent Finns while the dashed lines represent Somalis
Bild vergrößern

Discussion

This study compared the timing of dental development in Finns and Somalis, by examining the age of attainment of Demirjian stages [3] in seven left mandibular teeth. Staging was performed by the same examiners on DPRs from individuals that were all born and living in Finland, thereby ruling out variability between examiners and minimizing sampling and environmental bias. The current results revealed that none of the seven teeth analysed showed in all the ages of transition between adjacent stages an earlier development in Somalis nor in Finns. Within each tooth the lowest (or highest) mean ages of attainment between the two ethnic groups varied without any pattern. The magnitude of all observed differences in mean ages of attainment between these ethnic groups was minimal with, as an obvious consequence, a low impact on clinical and forensic age assessment practice. Moreover, within each tooth none of the transitions to an adjacent stage was consequently quicker for one of the two ethnic groups. This allows us to conclude that both ethnic groups have a similar timing in the development of the lower left permanent teeth.
The current results are largely in agreement with a number of studies stating only minor differences in the timing of tooth development between different ethnic groups [8, 10, 12, 19, 27]. Yet, there are studies in disagreement with the present findings, suggesting that children of African ancestry are significantly more advanced in dental development than populations of European ancestry [9, 20, 32]. There are two concerns to be made in evaluating these results. First, a fair comparison between the current study results and the results of the studies mentioned is not possible because various methodologies were used to establish the comparison(s) between ethnic groups. In fact, Liversidge et al. [12] and Phillips & van Wyk Kotze [8] compared allocated developmental stages. In that method the degree of development within a stage was not taken into account (E.g., an individual in the beginning of an allocated stage has a different timing of dental development than an individual at the end of the same stage). Uys et al. [9] compared mean ages in a stage. By analogy with the previous two studies, in this method, the degree of development within a stage is not taken into account and the fact that each stage covers an unequal age period is not considered. Davidson & Rodd [20], Esan & Schepartz [32], Metsäniitty et al. [27], Willems et al. [10] compared differences in mean estimated age and chronological age. In fact, a derivative of tooth development timing is compared, namely a parameter for the performance of the used age estimation method. The considered parameter is based on allocated developmental stages. It does not take into account the aforementioned degree of development within a stage, and, in addition, parameter variability is caused by the used age estimation method and the methods applied to establish the parameter. Angelakopoulos et al. [19] validated the reproducibility of the Cameriere’s maturity index [33] based on the Cameriere age estimation method [34]. The results confirmed that Cameriere’s maturity index is reproducible in the compared groups, but new population-specific models provide superior age estimation accuracy. Second, in all the studies discussed, the timing of development was not directly considered, but derived or related parameters were evaluated. In the current study, the available developmental moments at which the average transition from one stage of development to the next stage took place, were compared. As a result, several specific moments in the timing of tooth development were compared for each tooth and separately for M and F.
As a prerequisite for a reliable comparison, data on the exact dates of birth and chronological age at DPR exposure of all studied individuals were available. In fact, in Finland, hospital provides the necessary details of all births to the Population Information System, where the birth of a child is registered. The parents must report the child’s name and native language to the Digital and Population Data Services Agency (DVV). In cases when the child is born at home or in a place other than a healthcare unit, the assisting health care professional must notify DVV. If a child is born without the assistance of a healthcare professional, the mother must notify a healthcare unit or healthcare professional of the birth, and these instances then notify the DVV. The birth of the second and further generation(s) of Somalis, as well as of the Finns included in this study, were recorded by this governmental agency. The data of DPR exposure were recorded in the dental patient files.
A key question when establishing and comparing normative tooth development charts for distinct ethnicities is to what extent eventual differences in development reflect true diversity in dental development or replicate environmental factors. Notably, (deficient) nutritional status was reported not to have an effect on the rate of tooth development [14, 16], but conversely, advanced dental development was reported in children with high-calorie intake [18] and in overweight or obese children [15, 17]. In the present study, a highly similar nutritional and environmental status was secured, as far as possible, by local sampling of Finns and Somalis, not only living but also born in Finland. This means that both ethnic groups had similar access to equal nutrition, health care and living conditions from birth until radiographic exposure. Nevertheless, it cannot be ruled out that in current times both groups have access to their original diet. Although climatological circumstances were similar, the Somali group may have suffered from deficiency of vitamin D due to the long, dark winter periods in Finland as dark-skinned individuals [35]. While this could impair the formation of dental enamel, it would presumably not affect the rate of dental development [36, 37].
In studies comparing tooth development between ethnic groups, considerably little attention has been paid to a uniform retrospective radiographic sampling, particularly the clinical indications for the sampled exposures. DPRs are not taken routinely in any age group, and in terms of radiation protection, certainly not in children [38]. Typical indications for taking DPRs in young individuals are associated with deviations from normal dental development, such as delayed eruption due to various reasons, planning of orthodontic treatment, planning of third-molar extraction, or issues with dental health. Differences in all these indications may exist between ethnic groups, thus reflected in retrospective DPR collections. Factors that may both affect timing of permanent tooth development and be associated with the likelihood of undergoing DPR exposure include deep caries lesions and extractions of primary teeth [39, 40], certain malocclusion types [41, 42], and hypodontia [4346]. Comparative studies are therefore best performed in locations that offer equal accessibility to preventive and restorative dental care and orthodontic treatment in all social and ethnic groups. In the present study, identical clinical indications have most likely justified the radiographic exposures in both ethnic groups within the community-based Finnish health care, free of charge for all children.
A disadvantage of the present study is the relatively small Somali sample size, especially at both ends of the sampled age range. As a consequence, certain developmental stages had to be grouped, implying that for particular teeth distinctive stages could not be evaluated and compared. One factor to always consider, is a possible secular trend affecting the dental development [23]. Most of the DPRs of both Finns and Somalis were from the time-period from 2002 to 2016. The oldest DPRs, selected to cover younger age groups of ethnic Finns, were largely left out from the final comparative analysis, minimizing the effect of possible secular trends.
In the future, a comparative study of the current two ethnic samples excluding environmental and nutritional influences on third molar development could enhance the knowledge on age estimation outcomes in particular for the forensically important age period around 18 years.

Conclusions

Comparing tooth development between the two ethnic samples with equal nutritional and /or environmental conditions revealed that the ethnic Finn and Somali groups had a similar timing in the development of all lower left permanent teeth. Both the Finn and Somali group attained several developmental stage transitions at youngest age, but none of them were consistently more advanced in their dental development.

Declarations

The authors have given their consent to the publication of the article.

Ethics approval

The Helsinki Longitudinal Study of Dental Development and Craniofacial Growth of Finnish children was conducted in accordance with the Declaration of Helsinki and approved by the Ethics Committee of the Institute of Dentistry, University of Helsinki [29]. The Research Ethics Committee of the Hjelt Institute, University of Helsinki, Finland, granted ethical approval (no. 02/2010), and the division of Oral Health Care of the Department of Social Services and Health Care in Helsinki, Finland, provided the research permit (#HEL 2015–010918) for the retrospective collection on the group of ethnic Somalis. The present study was approved by the Research Ethics Committee of the Medical Faculty, University of Helsinki (no. 07/2020).
Not applicable.

Conflict of interest

The authors declare no competing interests.
Open Access This article is licensed under a Creative Commons Attribution 4.0 International License, which permits use, sharing, adaptation, distribution and reproduction in any medium or format, as long as you give appropriate credit to the original author(s) and the source, provide a link to the Creative Commons licence, and indicate if changes were made. The images or other third party material in this article are included in the article's Creative Commons licence, unless indicated otherwise in a credit line to the material. If material is not included in the article's Creative Commons licence and your intended use is not permitted by statutory regulation or exceeds the permitted use, you will need to obtain permission directly from the copyright holder. To view a copy of this licence, visit http://​creativecommons.​org/​licenses/​by/​4.​0/​.

Publisher’s Note

Springer Nature remains neutral with regard to jurisdictional claims in published maps and institutional affiliations.

Unsere Produktempfehlungen

e.Med Interdisziplinär

Kombi-Abonnement

Für Ihren Erfolg in Klinik und Praxis - Die beste Hilfe in Ihrem Arbeitsalltag

Mit e.Med Interdisziplinär erhalten Sie Zugang zu allen CME-Fortbildungen und Fachzeitschriften auf SpringerMedizin.de.

download
DOWNLOAD
print
DRUCKEN
Titel
Comparing tooth development timing between ethnic groups, excluding nutritional and environmental influences
Verfasst von
Patrick Thevissen
Janna Waltimo-Sirén
Hanna-Maija Saarimaa
Raija Lähdesmäki
Marjut Evälahti
Mari Metsäniitty
Publikationsdatum
29.07.2024
Verlag
Springer Berlin Heidelberg
Erschienen in
International Journal of Legal Medicine / Ausgabe 6/2024
Print ISSN: 0937-9827
Elektronische ISSN: 1437-1596
DOI
https://doi.org/10.1007/s00414-024-03279-z

Appendix

Females

Tooth 31

Fig. 3
Differences between ethnic groups for all transitions between stages, in likelihood-ratio test for the difference as a function of origin, namely tooth 31 in females. In Fig. 3 probabilities of age per (combined) stage are presented. These probabilities were established using a continuation-ratio model assuming linearity. Fig. 3 display the earliest analyzed Demirjian stage E as red lines and the final stage H as green lines. The grey lines represent all intermediate Demirjian stages. The solid lines represent Finns, while the dashed lines represent Somalis
Bild vergrößern
Fig. 4
Differences between ethnic groups for all transitions between stages, in likelihood-ratio test for the difference as a function of origin, namely tooth 31 in females. In Fig. 4 conditional probabilities of ages of transition to a higher stage (ages of attainment) are shown. These probabilities were established using a continuation-ratio model assuming linearity. The red lines represent the first ages of transition (from stage E to F) while the green lines represent the last ages of transition (from stage G to H). The grey lines represent all intermediate stage transitions. The solid lines represent Finns, while the dashed lines represent Somalis
Bild vergrößern

Males

Tooth 31

Fig. 5
Differences between ethnic groups for all transitions between stages, in likelihood-ratio test for the difference as a function of origin, namely tooth 31 in males. In Fig. 5 probabilities of age per (combined) stage are presented. These probabilities were established using a continuation-ratio model assuming linearity. Fig. 5 display the earliest analyzed Demirjian stage E as red lines and the final stage H as green lines. The grey lines represent all intermediate Demirjian stages. The solid lines represent Finns, while the dashed lines represent Somalis
Bild vergrößern
Fig. 6
Differences between ethnic groups for all transitions between stages, in likelihood-ratio test for the difference as a function of origin, namely tooth 31 in males. In Fig. 6 conditional probabilities of ages of transition to a higher stage (ages of attainment) are shown. These probabilities were established using a continuation-ratio model assuming linearity. The red lines represent the first ages of transition (from stage E to F) while the green lines represent the last ages of transition (from stage G to H). The grey lines represent all intermediate stage transitions. The solid lines represent Finns, while the dashed lines represent Somalis
Bild vergrößern

Females

Tooth 32

Fig. 7
Differences between ethnic groups for all transitions between stages, in likelihood-ratio test for the difference as a function of origin, namely tooth 32 in females. In Fig. 7 probabilities of age per (combined) stage are presented. These probabilities were established using a continuation-ratio model assuming linearity. Fig. 7 display the earliest analyzed Demirjian stage E as red lines and the final stage H as green lines. The grey lines represent all intermediate Demirjian stages. The solid lines represent Finns, while the dashed lines represent Somalis
Bild vergrößern
Fig. 8
Differences between ethnic groups for all transitions between stages, in likelihood-ratio test for the difference as a function of origin, namely tooth 32 in females. In Fig. 8 conditional probabilities of ages of transition to a higher stage (ages of attainment) are shown. These probabilities were established using a continuation-ratio model assuming linearity. The red lines represent the first ages of transition (from stage E to F) while the green lines represent the last ages of transition (from stage G to H). The grey lines represent all intermediate stage transitions. The solid lines represent Finns, while the dashed lines represent Somalis
Bild vergrößern

Males

Tooth 32

Fig. 9
Differences between ethnic groups for all transitions between stages, in likelihood-ratio test for the difference as a function of origin, namely tooth 32 in males. In Fig. 9 probabilities of age per (combined) stage are presented. These probabilities were established using a continuation-ratio model assuming linearity. Fig. 9 display the earliest analyzed Demirjian stage E as red lines and the final stage H as green lines. The grey lines represent all intermediate Demirjian stages. The solid lines represent Finns, while the dashed lines represent Somalis
Bild vergrößern
Fig. 10
Differences between ethnic groups for all transitions between stages, in likelihood-ratio test for the difference as a function of origin, namely tooth 32 in males. In Fig. 10 conditional probabilities of ages of transition to a higher stage (ages of attainment) are shown. These probabilities were established using a continuation-ratio model assuming linearity. The red lines represent the first ages of transition (from stage E to F) while the green lines represent the last ages of transition (from stage G to H). The grey lines represent all intermediate stage transitions. The solid lines represent Finns, while the dashed lines represent Somalis
Bild vergrößern

Females

Tooth 33

Fig. 11
Differences between ethnic groups for all transitions between stages, in likelihood-ratio test for the difference as a function of origin, namely tooth 33 in females. In Fig. 11 probabilities of age per (combined) stage are presented. These probabilities were established using a continuation-ratio model assuming linearity. Fig. 11 display the earliest analyzed Demirjian stage D as red lines and the final stage H as green lines. The grey lines represent all intermediate Demirjian stages. The solid lines represent Finns, while the dashed lines represent Somalis
Bild vergrößern
Fig. 12
Differences between ethnic groups for all transitions between stages, in likelihood-ratio test for the difference as a function of origin, namely tooth 33 in females. In Fig. 12 conditional probabilities of ages of transition to a higher stage (ages of attainment) are shown. These probabilities were established using a continuation-ratio model assuming linearity. The red lines represent the first ages of transition (from stage D to E) while the green lines represent the last ages of transition (from stage G to H). The grey lines represent all intermediate stage transitions. The solid lines represent Finns, while the dashed lines represent Somalis
Bild vergrößern

Males

Tooth 33

Fig. 13
Differences between ethnic groups for all transitions between stages, in likelihood-ratio test for the difference as a function of origin, namely tooth 33 in males. In Fig. 13 probabilities of age per (combined) stage are presented. These probabilities were established using a continuation-ratio model assuming linearity. Fig. 13 display the earliest analyzed Demirjian stage C as red lines and the final stage H as green lines. The grey lines represent all intermediate Demirjian stages. The solid lines represent Finns, while the dashed lines represent Somalis
Bild vergrößern
Fig. 14
Differences between ethnic groups for all transitions between stages, in likelihood-ratio test for the difference as a function of origin, namely tooth 33 in males. In Fig. 14 conditional probabilities of ages of transition to a higher stage (ages of attainment) are shown. These probabilities were established using a continuation-ratio model assuming linearity. The red lines represent the first ages of transition (from stage C to D) while the green lines represent the last ages of transition (from stage G to H). The grey lines represent all intermediate stage transitions. The solid lines represent Finns, while the dashed lines represent Somalis
Bild vergrößern

Females

Tooth 34

Fig. 15
Differences between ethnic groups for all transitions between stages, in likelihood-ratio test for the difference as a function of origin, namely tooth 34 in females. In Fig. 15 probabilities of age per (combined) stage are presented. These probabilities were established using a continuation-ratio model assuming linearity. Fig. 15 display the earliest analyzed Demirjian stage D as red lines and the final stage H as green lines. The grey lines represent all intermediate Demirjian stages. The solid lines represent Finns, while the dashed lines represent Somalis
Bild vergrößern
Fig. 16
Differences between ethnic groups for all transitions between stages, in likelihood-ratio test for the difference as a function of origin, namely tooth 34 in females. In Fig. 16 conditional probabilities of ages of transition to a higher stage (ages of attainment) are shown. These probabilities were established using a continuation-ratio model assuming linearity. The red lines represent the first ages of transition (from stage D to E) while the green lines represent the last ages of transition (from stage G to H). The grey lines represent all intermediate stage transitions. The solid lines represent Finns, while the dashed lines represent Somalis
Bild vergrößern

Males

Tooth 34

Fig. 17
Differences between ethnic groups for all transitions between stages, in likelihood-ratio test for the difference as a function of origin, namely tooth 34 in males. In Fig. 17 probabilities of age per (combined) stage are presented. These probabilities were established using a continuation-ratio model assuming linearity. Fig. 17 display the earliest analyzed Demirjian stage C as red lines and the final stage H as green lines. The grey lines represent all intermediate Demirjian stages. The solid lines represent Finns, while the dashed lines represent Somalis
Bild vergrößern
Fig. 18
Differences between ethnic groups for all transitions between stages, in likelihood-ratio test for the difference as a function of origin, namely tooth 34 in males. In Fig. 18 conditional probabilities of ages of transition to a higher stage (ages of attainment) are shown. These probabilities were established using a continuation-ratio model assuming linearity. The red lines represent the first ages of transition (from stage C to D) while the green lines represent the last ages of transition (from stage G to H). The grey lines represent all intermediate stage transitions. The solid lines represent Finns, while the dashed lines represent Somalis
Bild vergrößern

Females

Tooth 35

Fig. 19
Differences between ethnic groups for all transitions between stages, in likelihood-ratio test for the difference as a function of origin, namely tooth 35 in females. In Fig. 19 probabilities of age per (combined) stage are presented. These probabilities were established using a continuation-ratio model assuming linearity. Fig. 19 display the earliest analyzed Demirjian stage C as red lines and the final stage H as green lines. The grey lines represent all intermediate Demirjian stages. The solid lines represent Finns, while the dashed lines represent Somalis
Bild vergrößern
Fig. 20
Differences between ethnic groups for all transitions between stages, in likelihood-ratio test for the difference as a function of origin, namely tooth 35 in females. In Fig. 20 conditional probabilities of ages of transition to a higher stage (ages of attainment) are shown. These probabilities were established using a continuation-ratio model assuming linearity. The red lines represent the first ages of transition (from stage C to D) while the green lines represent the last ages of transition (from stage G to H). The grey lines represent all intermediate stage transitions. The solid lines represent Finns, while the dashed lines represent Somalis
Bild vergrößern

Males

Tooth 35

Fig. 21
Differences between ethnic groups for all transitions between stages, in likelihood-ratio test for the difference as a function of origin, namely tooth 35 in males. In Fig. 21 probabilities of age per (combined) stage are presented. These probabilities were established using a continuation-ratio model assuming linearity. Fig. 21 display the earliest analyzed Demirjian stage C as red lines and the final stage H as green lines. The grey lines represent all intermediate Demirjian stages. The solid lines represent Finns, while the dashed lines represent Somalis
Bild vergrößern
Fig. 22
Differences between ethnic groups for all transitions between stages, in likelihood-ratio test for the difference as a function of origin, namely tooth 35 in males. In Fig. 22 conditional probabilities of ages of transition to a higher stage (ages of attainment) are shown. These probabilities were established using a continuation-ratio model assuming linearity. The red lines represent the first ages of transition (from stage C to D) while the green lines represent the last ages of transition (from stage G to H). The grey lines represent all intermediate stage transitions. The solid lines represent Finns, while the dashed lines represent Somalis
Bild vergrößern

Females

Tooth 36

Fig. 23
Differences between ethnic groups for all transitions between stages, in likelihood-ratio test for the difference as a function of origin, namely tooth 36 in females. In Fig. 23 probabilities of age per (combined) stage are presented. These probabilities were established using a continuation-ratio model assuming linearity. Fig. 23 display the earliest analyzed Demirjian stage E as red lines and the final stage H as green lines. The grey lines represent all intermediate Demirjian stages. The solid lines represent Finns, while the dashed lines represent Somalis
Bild vergrößern
Fig. 24
Differences between ethnic groups for all transitions between stages, in likelihood-ratio test for the difference as a function of origin, namely tooth 36 in females. In Fig. 24 conditional probabilities of ages of transition to a higher stage (ages of attainment) are shown. These probabilities were established using a continuation-ratio model assuming linearity. The red lines represent the first ages of transition (from stage E to F) while the green lines represent the last ages of transition (from stage G to H). The grey lines represent all intermediate stage transitions. The solid lines represent Finns, while the dashed lines represent Somalis
Bild vergrößern

Males

Tooth 36

Fig. 25
Differences between ethnic groups for all transitions between stages, in likelihood-ratio test for the difference as a function of origin, namely tooth 36 in males. In Fig. 25 probabilities of age per (combined) stage are presented. These probabilities were established using a continuation-ratio model assuming linearity. Fig. 25 display the earliest analyzed Demirjian stage E as red lines and the final stage H as green lines. The grey lines represent all intermediate Demirjian stages. The solid lines represent Finns, while the dashed lines represent Somalis
Bild vergrößern
Fig. 26
Differences between ethnic groups for all transitions between stages, in likelihood-ratio test for the difference as a function of origin, namely tooth 36 in males. In Fig. 26 conditional probabilities of ages of transition to a higher stage (ages of attainment) are shown. These probabilities were established using a continuation-ratio model assuming linearity. The red lines represent the first ages of transition (from stage E to F) while the green lines represent the last ages of transition (from stage G to H). The grey lines represent all intermediate stage transitions. The solid lines represent Finns, while the dashed lines represent Somalis
Bild vergrößern

Females

Tooth 37

Fig. 27
Differences between ethnic groups for all transitions between stages, in likelihood-ratio test for the difference as a function of origin, namely tooth 37 in females. In Fig. 27 probabilities of age per (combined) stage are presented. These probabilities were established using a continuation-ratio model assuming linearity. Fig. 27 display the earliest analyzed Demirjian stage C as red lines and the final stage H as green lines. The grey lines represent all intermediate Demirjian stages. The solid lines represent Finns, while the dashed lines represent Somalis
Bild vergrößern
Fig. 28
Differences between ethnic groups for all transitions between stages, in likelihood-ratio test for the difference as a function of origin, namely tooth 37 in females. In Fig. 28 conditional probabilities of ages of transition to a higher stage (ages of attainment) are shown. These probabilities were established using a continuation-ratio model assuming linearity. The red lines represent the first ages of transition (from stage C to D) while the green lines represent the last ages of transition (from stage G to H). The grey lines represent all intermediate stage transitions. The solid lines represent Finns, while the dashed lines represent Somalis
Bild vergrößern

Males

Tooth 37

Fig. 29
Differences between ethnic groups for all transitions between stages, in likelihood-ratio test for the difference as a function of origin, namely tooth 37 in males. In Fig. 29 probabilities of age per (combined) stage are presented. These probabilities were established using a continuation-ratio model assuming linearity. Fig. 29 display the earliest analyzed Demirjian stage C as red lines and the final stage H as green lines. The grey lines represent all intermediate Demirjian stages. The solid lines represent Finns, while the dashed lines represent Somalis
Bild vergrößern
Fig. 30
Differences between ethnic groups for all transitions between stages, in likelihood-ratio test for the difference as a function of origin, namely tooth 37 in males. In Fig. 30 conditional probabilities of ages of transition to a higher stage (ages of attainment) are shown. These probabilities were established using a continuation-ratio model assuming linearity. The red lines represent the first ages of transition (from stage C to D) while the green lines represent the last ages of transition (from stage G to H). The grey lines represent all intermediate stage transitions. The solid lines represent Finns, while the dashed lines represent Somalis
Bild vergrößern
1.
Zurück zum Zitat Celikoglu M, Erdem A, Dane A, Demirci T (2011) Dental age assessment in orthodontic patients with and without skeletal malocclusions. Orthod Craniofac Res 14:58–62. https://​doi.​org/​10.​1111/​j.​1601-6343.​2011.​01508.​xCrossRefPubMed
2.
Zurück zum Zitat Schmeling A, Dettmeyer R, Rudolf E, Vieth V, Geserick G (2016) Forensic age estimation. Dtsch Arztebl 113:44–50. https://​doi.​org/​10.​3238/​arztebl.​2016.​0044CrossRef
3.
Zurück zum Zitat Demirjian A, Goldstein H, Tanner J (1973) A new system of dental age assessment. Hum Biol 45:211–227PubMed
4.
Zurück zum Zitat Flood SJ, Franklin D, Turlach BA, McGeachie J (2013) A comparison of Demirjian’s four dental development methods for forensic age estimation in South Australian sub-adults. J Forensic Leg Med 20:875–883. https://​doi.​org/​10.​1016/​j.​jflm.​2013.​07.​002CrossRefPubMed
5.
Zurück zum Zitat Cavrić J, Vodanović M, Marušić A, Galić I (2016) Time of mineralization of permanent teeth in children and adolescents in Gaborone, Botswana. Ann Anat 203:24–32. https://​doi.​org/​10.​1016/​j.​aanat.​2015.​08.​001CrossRefPubMed
6.
Zurück zum Zitat Liversidge HM (2008) Timing of human mandibular third molar formation. Ann Hum Biol 35:294–321. https://​doi.​org/​10.​1080/​0301446080197144​5CrossRefPubMed
7.
Zurück zum Zitat Olze A, van Niekerk P, Schmidt S, Wernecke KD, Rösing FW, Geserick G, Schmeling A (2006) Studies on the progress of third-molar mineralisation in a black African population. Homo 57:209–217CrossRefPubMed
8.
Zurück zum Zitat Phillips V, van Wyk Kotze T (2009) Dental age related tables for children of various ethnic groups in South Africa. J Forensic Odontostomatol 27:29–44PubMed
9.
Zurück zum Zitat Uys A, Bernitz H, Pretorius S, Steyn M (2018) Estimating age and the probability of being at least 18 years of age using third molars: a comparison between Black and White individuals living in South Africa. Int J Legal Med 132:1437–1446CrossRefPubMed
10.
Zurück zum Zitat Willems G, Lee S-S, Uys A, Bernitz H, Cadenas de Llano-Pérula M, Fieuws S, Thevissen P (2017) Age estimation based on Willems method versus new country-specific method in South African black children. Int J Legal Med 132:599–607. https://​doi.​org/​10.​1007/​s00414-017-1686-3CrossRefPubMed
11.
Zurück zum Zitat Elamin F, Hector M, Liversidge H (2017) The timing of mandibular tooth formation in two African groups. Ann Hum Biol 44:261–272CrossRefPubMed
12.
Zurück zum Zitat Liversidge HM, Peariasamy K, Folayan MO, Adeniyi AO, Ngom PI, Mikami Y, Shimada Y, Kuroe K, Tvete IF, Kvaal SI (2017) A radiographic study of the mandibular third molar root development in different ethnic groups. J Forensic Odontostomatol 35:97–108PubMedPubMedCentral
13.
Zurück zum Zitat Thevissen PW, Alqerban A, Asaumi J, Kahveci F, Kaur J, Kim YK, Pittayapat P, Van Vlierberghe M, Zhang Y, Fieuws S, Willems G (2010) Human dental age estimation using third molar developmental stages: accuracy of age predictions not using country specific information. Forensic Sci Int 201:106–111. https://​doi.​org/​10.​1016/​j.​forsciint.​2010.​04.​040CrossRefPubMed
14.
Zurück zum Zitat Cameriere R, Flores-Mir C, Mauricio F, Ferrante L (2007) Effects of nutrition on timing of mineralization in teeth in a Peruvian sample by the Cameriere and Demirjian methods. Ann Hum Biol 34:547–556CrossRefPubMed
15.
Zurück zum Zitat Chehab DA, Tanbonliong T, Peyser J, Udin R (2017) Association between body mass index and dental age in hispanic children. Gen Dent 65:54–58PubMed
16.
Zurück zum Zitat Elamin F, Liversidge H (2013) Malnutrition has no effect on the timing of human tooth formation. PLoS ONE 8:e72274CrossRefPubMedPubMedCentral
17.
Zurück zum Zitat Hilgers KK, Akridge M, Scheetz JP, Kinane DE (2006) Childhood obesity and dental development. Pediatr Dent 28:18–22PubMed
18.
Zurück zum Zitat Jääsaari P, Tolvanen M, Niinikoski H, Karjalainen S (2016) Advanced dental maturity of Finnish 6- to 12-year-old children is associated with high energy intake. Eur J Oral Sci 124:465–471CrossRefPubMed
19.
Zurück zum Zitat Angelakopoulos N, De Luca S, Velandia Palacio LA, Coccia E, Ferrante L, Pinchi V, Cameriere R (2019) Age estimation by measuring open apices in teeth: a new formula for two samples of South African black and white children N. Int J Legal Med 133:1529–1536. https://​doi.​org/​10.​1007/​s00414-019-02096-zCrossRefPubMed
20.
Zurück zum Zitat Davidson L, Rodd H (2001) Interrelationships between dental age and chronological age in Somali children. Community Dent Health 18:27–30PubMed
21.
Zurück zum Zitat Birchler FA, Kiliaridis S, Combescure C, Julku J, Pirttiniemi PM, Vazquez L (2019) Dental age assessment on panoramic radiographs: comparison between two generations of young Finnish subjects. J Int Med Res 47:311–324. https://​doi.​org/​10.​1177/​0300060518801437​CrossRefPubMed
22.
Zurück zum Zitat Chaillet N, Nyström M, Kataja M, Demirjian A (2004) Dental maturity curves in Finnish children: Demirjian’s method revisited and polynomial functions for age estimation. J Forensic Sci 49:1324–1331CrossRefPubMed
23.
Zurück zum Zitat Eskeli R, Laine-Alava M, Hausen H, Pahkala R (1999) Standards for permanent tooth emergence in Finnish children. Angle Orthod 69:529–533PubMed
24.
Zurück zum Zitat Haavikko K (1970) The formation and the alveolar and clinical eruption of the permanent teeth. An orthopantomographic study. Academic dissertation, University of Helsinki. Proc Finn Dent Soc 66:103–170
25.
Zurück zum Zitat Nyström M, Kleemola-Kujala E, Evälahti M, Peck L, Kataja M (2001) Emergence of permanent teeth and dental age in a series of finns. Acta Odontol Scand 59:49–56CrossRefPubMed
26.
Zurück zum Zitat Nyström M, Ranta H, Peltola J, Kataja M (2007) Timing of developmental stages in permanent mandibular teeth of finns from birth to age 25. Acta Odontol Scand 65:36–43CrossRefPubMed
27.
Zurück zum Zitat Metsäniitty M, Waltimo-Sirén J, Ranta H, Fieuws S, Thevissen P (2018) Dental age estimation in Somali children using the Willems model. Int J Legal Med 132:1779–1786. https://​doi.​org/​10.​1007/​s00414-018-1926-1CrossRefPubMed
28.
Zurück zum Zitat Metsäniitty M, Waltimo-Sirén J, Ranta H, Fieuws S, Thevissen P (2019) Dental age estimation in Somali children and sub-adults combining permanent teeth and third molar development. Int J Legal Med 133:1207–1215. https://​doi.​org/​10.​1007/​s00414-019-02053-wCrossRefPubMedPubMedCentral
29.
Zurück zum Zitat Evälahti M (2020) Craniofacial growth and development of Finnish children – a longitudinal study. Academic dissertation, University of Helsinki
30.
Zurück zum Zitat Boldsen JL, Milner GR, Konigsberg LW, Wood JW (2002) Transition analysis: a new method for estimating age from skeletons. In: Hoppa RD, Vaupel JW (eds) Paleodemography: age distributions from skeletal samples. Cambridge University Press, Cambridge, pp 73–106CrossRef
31.
Zurück zum Zitat Harrell FE (2001) Regression modeling strategies. Springer, New YorkCrossRef
32.
Zurück zum Zitat Esan TA, Schepartz LA (2019) The timing of permanent tooth development in a black southern African population using the Demirjian method. Int J Legal Med 133:257–268. https://​doi.​org/​10.​1007/​s00414-018-1968-4CrossRefPubMed
33.
Zurück zum Zitat Cameriere R, De Angelis D, Ferrante L, Scarpino F, Cingolani M (2007) Age estimation in children by measurement of open apices in teeth: a European formula. Int J Legal Med 121:449–453. https://​doi.​org/​10.​1007/​s00414-007-0179-1CrossRefPubMed
34.
Zurück zum Zitat Cameriere R, Ferrante L, Cingolani M (2006) Age estimation in children by measurement of open apices in teeth. Int J Legal Med 120:49–52. https://​doi.​org/​10.​1007/​s00414-005-0047-9CrossRefPubMed
35.
Zurück zum Zitat Taksler GB, Cutler DM, Giovannucci E, Keating NL (2015) Vitamin D deficiency in minority populations. Public Health Nutr 18:379–391. https://​doi.​org/​10.​1017/​S136898001400045​7CrossRefPubMed
36.
Zurück zum Zitat Botelho J, Machado V, Proença L, Delgado AS, Mendes JJ (2020) Vitamin D Deficiency and oral health: a Comprehensive Review. Nutrients 12:1471. https://​doi.​org/​10.​3390/​nu12051471CrossRefPubMedPubMedCentral
37.
Zurück zum Zitat Zerofsky M, Ryder M, Bhatia S, Stephensen CB, King J, Fung EB (2016) Effects of early vitamin D deficiency rickets on bone and dental health, growth and immunity. Matern Child Nutr 12:898–907. https://​doi.​org/​10.​1111/​mcn.​12187CrossRefPubMed
38.
Zurück zum Zitat Pakbaznejad Esmaeili E, Ekholm M, Haukka J, Waltimo-Sirén J (2016) Quality assessment of orthodontic radiography in children. Eur J Orthod 38:96–102CrossRefPubMed
39.
Zurück zum Zitat Brin I, Koyoumdijsky-Kaye E (1981) The influence of premature extractions of primary molars on the ultimate root length of their permanent successors. J Dent Res 60:962–965CrossRefPubMed
40.
Zurück zum Zitat Kim C, Hong Y, Han D, Hong H, Kim Y, Bae K (2011) A prospective cohort study on emergence of permanent teeth and caries experience in Korean children. Int J Paediatr Dent 21:254–260. https://​doi.​org/​10.​1111/​j.​1365-263X.​2011.​01114.​xCrossRefPubMed
41.
Zurück zum Zitat Dhamo B, Nguee AM, Ongkosuwito EM, Jaddoe VWV, Wolvius EB, Kragt L (2019) The role of accelerated dental development on the occurrence of aberrant dental traits that indicate malocclusion. Eur J Orthod 41:397–403. https://​doi.​org/​10.​1093/​ejo/​cjy073CrossRefPubMed
42.
Zurück zum Zitat Odeh R, Townsend G, Mihailidis S, Lähdesmäki R, Hughes T, Brook A (2015) Infraocclusion: Dental development and associated dental variations in singletons and twins. Arch Oral Biol 60:1394–1402. https://​doi.​org/​10.​1016/​j.​archoralbio.​2015.​06.​010CrossRefPubMed
43.
Zurück zum Zitat Badrov J, Lauc T, Nakaš E, Galić I (2017) Dental age and tooth development in orthodontic patients with agenesis of permanent teeth. Biomed Res Int :8683970. https://​doi.​org/​10.​1155/​2017/​8683970
44.
Zurück zum Zitat Lebbe A, Cadenas de Llano-Pérula M, Thevissen P, Verdonck A, Fieuws S, Willems G (2017) Dental development in patients with agenesis. Int J Legal Med 131:537–546. https://​doi.​org/​10.​1007/​s00414-016-1450-0CrossRefPubMed
45.
Zurück zum Zitat Tunç EŞ, Bayrak S, Koyutürk AE (2011) Dental development in children with mild-to-moderate hypodontia. Am J Orthod Dentofac Orthop 139:334–338. https://​doi.​org/​10.​1016/​j.​ajodo.​2009.​04.​024CrossRef
46.
Zurück zum Zitat Uslenghi S, Liversidge HM, Wong FS (2006) A radiographic study of tooth development in hypodontia. Arch Oral Biol 51:129–133CrossRefPubMed

Neu im Fachgebiet Rechtsmedizin

Präneoplasien des hepatozellulären Karzinoms

Das hepatozelluläre Karzinom (HCC) entsteht meist auf dem Boden einer Leberzirrhose. Häufige Risikofaktoren sind virale Hepatitiden B/C, Alkoholabusus, „metabolic dysfunction associated steatotic liver disease“ (MASLD) und genetische Erkrankungen.

Hepatitisdiagnostik

Leberbiopsien zur Diagnostik einer unklaren Hepatitis dienen zusammen mit dem klinisch-serologischen Befund der Eingrenzung der Genese sowie der Abgrenzung von Komorbiditäten. Zusätzlich sollte die Entzündungsaktivität graduiert, das Ausmaß von …

Gefäßtumoren der Leber

Gefäßtumoren der Leber haben eine Spannbreite von häufigen benignen Hämangiomen bis hin zu sehr seltenen malignen Gefäßtumoren, epitheloiden Hämangioendotheliomen und Angiosarkomen. Hämangiome werden in Relation zu ihrer Häufigkeit selten …

Krematoriumsleichenschau: eine rechtsmedizinische Betrachtung im Kontext der COVID-19-Pandemie

Die zweite Leichenschau vor einer Feuerbestattung hat nicht nur forensische Bedeutung – etwa zur Aufdeckung nichtnatürlicher Todesfälle und zur Vermeidung von Strafvereitelung – sondern erfüllt auch eine wichtige Funktion im Rahmen des …