Zum Inhalt

Determination of endometrial cancer molecular subtypes using a whole exome-sequencing based single-method approach

  • Open Access
  • 01.07.2024
  • Research
Erschienen in:

Abstract

Aim

Endometrial cancer (EC) is heterogeneous with respect to epidemiology, clinical course, histopathology and tumor biology. Recently, The Cancer Genome Atlas (TCGA) network has identified four molecular subtypes with distinct clinical courses by an integrated multi-omics approach. These subtypes are of critical importance in the clinical management of EC. However, determination of TCGA molecular subtypes requires a complex methodological approach that is resource intensive and difficult to implement in diagnostic routine procedures. In this context, Talhouk et al. reported the precise determination of modified subtypes based on molecular surrogates obtained by a two-method approach comprising immunohistochemistry and DNA-sequence analysis (Proactive Molecular Risk Classifier for Endometrial Cancer; ProMisE). In this study, we aimed to identify EC molecular subtypes in analogy to TCGA and ProMisE applying an innovative whole exome-sequencing (WES) based single-method approach.

Methods

WES was performed in a cohort comprising N = 114 EC patients. WES data were analyzed using the oncology treatment decision support software MH Guide (Molecular Health, Heidelberg, Germany) and EC molecular subtypes in analogy to TCGA and ProMisE were determined. Results from both classifications were compared regarding their prognostic values using overall survival and progression-free survival analyses.

Results

Applying a single-method WES-approach, EC molecular subtypes analogue to TCGA and ProMisE were identified in the study cohort. The surrogate marker-analogue classification precisely identified high-risk and low-risk EC, whereas the TCGA-analogue classification failed to obtain significant prognostic values in this regard.

Conclusion

Our data demonstrate that determination of EC molecular subtypes analogue to TCGA and ProMisE is feasible by using a single-method WES approach. Within our EC cohort, prognostic implications were only reliably provided by applying the surrogate marker-analogue approach. Designation of molecular subtypes in EC will be increasingly important in routine clinical practice. Thus, the single-method WES approach provides an important simple tool to tailor therapeutic decisions in EC.

Publisher’s Note

Springer Nature remains neutral with regard to jurisdictional claims in published maps and institutional affiliations.

Introduction

Endometrial cancer (EC) is a heterogeneous malignancy concerning epidemiology, clinical course, histopathology and molecular tumor biology (Gaber et al. 2016; Brinton et al. 2013; Bokhman 1983; Cosgrove et al. 2018; Murali et al. 2018; Zannoni et al. 2010).
In 2013, The Cancer Genome Atlas (TCGA) Network reported a comprehensive genomic, transcriptomic and proteomic characterization of N = 373 EC samples applying a multi-omics approach (Cancer Genome Atlas Research Network et al. 2013). Based on these data, a classification of EC into four distinct and prognostically significant subgroups was deduced: (i) Polymerase Epsilon ultramutated (POLE), (ii) microsatellite instability hypermutated (MSI), (iii) copy-number (CN) low, and (iv) CN high EC. These 4 subtypes are characterized by distinct clinical outcomes. While EC patients with POLE mutation exhibit an excellent prognosis (Cosgrove et al. 2018; McAlpine et al. 2018; Stelloo et al. 2016; Karnezis et al. 2017; Bosse et al. 2018), EC patients classified as CN high display a limited prognosis. Patients who are classified as CN low and MSI-H exhibit an intermediate prognosis (McAlpine et al. 2018; Stelloo et al. 2017; Urick and Bell 2019). Of particular note, these distinct molecular subtypes are independent of histopathology highlighting genetic heterogeneity even within the same histological subgroup. From a clinical point of view, the prognostic value of these four molecular EC subtypes with distinct clinical courses is of highest relevance for treatment decision-making. However, characterization of patient-specific prognostic criteria based on the TCGA classification requires a complex methodological multi-omics approach that is resource intensive and difficult to implement in diagnostic routine procedures (McAlpine et al. 2018). In this context, Talhouk et al. reported the precise determination of modified four molecular subtypes, namely POLE, dMMR (deficient mismatch repair), p53 abnormal (p53abn), and no specific molecular profile (NSMP), with significant prognostic values based on molecular surrogates obtained by a two-method approach comprising immunohistochemistry and DNA-sequence analysis: (i) POLE status was determined by POLE DNA-sequence analysis, and (ii) MMR status (proficient/deficient MMR; (dMMR/pMMR) was assessed by MMR immunohistochemistry. p53 immunohistochemistry was applied as a surrogate for (iii) p53abn, and (iv) NSMP (Talhouk et al. 2015), resembling the TCGA CN high and CN low molecular subtype, respectively. This approach is referred to as ‘Proactive Molecular Risk Classifier for Endometrial Cancer’ (ProMisE). Of note, ProMisE was applied for the molecular classification analysis of the PORTEC-3 study cohort (León-Castillo et al. 2020). Thus, the prognostic significance of these molecular surrogates was confirmed in a prospective cohort. Currently, the ProMisE approach is applied as a routine diagnostic tool for the determination of EC molecular subtypes as suggested by national and international guidelines (Emons et al. 2023; Oaknin et al. 2022; Concin et al. 2021).
In the present study, we aimed to identify EC molecular subtypes in analogy to ProMisE and TCGA in a cohort comprising N = 114 EC patients, applying an whole exome-sequencing (WES) based single-method approach.

Materials and methods

Patient material

EC-cohort: Formalin-fixed and paraffin-embedded (FFPE) tissue of N = 114 patients diagnosed with EC between 2008 and 2016 were obtained from the pathological tumor tissue bank of the Greifswald University Hospital (Germany). The study was approved by the Ethics Committee of the Medical Faculty of the University of Greifswald (BB 121/17) and each patient provided written informed consent in accordance with the declaration of Helsinki principles. Baseline patient characteristics are depicted in Table 1.
Table 1
Clinicopathological characteristics of the Greifswald EC-cohort
 
# (%)
PFS events
28
Missing (time or status)
1
OS events
20
Missing (time or status)
8
 
months (range)
Median Follow up
59.5 (0-140)
 
years (range)
Median age (IQR)
67.5 (58.8–73.3)
Median BMI (IQR)
31.2 (25.9–36.4)
 
#
Missing (BMI)
6
Stage (FIGO)
# (%)
Stage 1
88 (81.4)
Stage 2
7 (6.5)
Stage 3
11 (10.2)
Stage 4
2 (1.9)
Grade
# (%)
G1
41 (38.0
G2
47 (43.5)
G3
20 (18.5)
Histology subtype
# (%)
Endometrioid
91 (84.3)
Mixed
6 (5.5)
Serous
2 (1.8)
Uterine carcinosarcomas
5 (4.6)
Clear cell
3 (2.8)
Adenocarcinoma with unknown histopathology
1 (1.0)
Bokhman-type
# (%)
Type I
91 (84.3)
Type II
17 (15.7)
Note PFS progression free survival, OS overall survival, IQR interquartile range, BMI body mass index

Preparation of genomic DNA

Genomic DNA was extracted from FFPE EC tissue and normal adjacent tissue (NAT) using the QIAamp DNA FFPE Tissue Kit (Qiagen, Hilden, Germany) according to the manufacturer’s instructions. Briefly, FFPE tissue was lysed, and genomic DNA was bound to silica gel columns, washed, and eluted. A proteinase K digestion was performed to remove concomitant proteins. DNA samples were stored at -20 °C and shipped on dry ice.

Whole exome-sequencing

Whole exome-sequencing (WES) of N = 114 EC and NAT samples was performed using a next generation sequencing (NGS) platform (Agilent SureSelect Human All Exon V6, Illumina HiSeq, SBS Kit v4, 2 × 100 bp read length) in an ISO/IEC 17,025 certified laboratory.

MMR immunohistochemistry

MSI status based on WES data provided by MH Guide was compared to MSI-status obtained by MMR immunohistochemistry (IHC; MLH1, MSH2, MSH6, PMS2) for N = 59 cases from the EC-cohort.

MH guide analysis

Read files (fastq format) from the Greifswald EC-cohort were analyzed using the oncology treatment decision support software MH Guide (version 4.1.2, Molecular Health, Germany), which is a system that interrogates NGS data to compile a list of reportable genetic variants and provides a summary of potentially effective medications, potentially ineffective medications, and medications that may come along with a higher risk of adverse reactions. All data collated are generated from an interactive database of curated, peer-reviewed and published evidence. MH Guide generates individual case reports which are downloadable as PDFs compiling all case relevant information including genetic-, biomarker-, detailed medical treatment options. MH Guide provides variant annotation as well as clinical interpretation of single-nucleotide variants (SNV), short insertion/deletion polymorphism (indels), somatic CN alterations, and MSI status. The MH Guide software is registered in Europe as an in-vitro diagnostic (IVD) medical device according to the latest EU regulation 2017/746 (IVDR) to support personalized cancer therapy. Through the IVDR status, it is subject to strict regulation, monitoring and surveillance. In the USA, Molecular Health is also certified by Centers of Medicare and Medicaid Services (CMS), under the Clinical Laboratory Improvement Amendments (CLIA), and is accredited by the College of American Pathologists (CAP) as a bioinformatics dry lab.

Evaluation of EC molecular subtypes in analogy to TCGA

To classify the POLE group, somatic SNV that met the standard filtering criteria of MH Guide for paired whole exome analyses were used. Tumors with > 500 SNV, a CA rate of > 0.2, and a CG rate of < 0.03 were classified as POLE. For classification of MSS/MSI, the MSI detection tool MANTIS (Microsatellite Analysis for Normal-Tumor InStability; (Kautto et al. 2017) was used. If the stepwise difference is ≥ 0.3, an MSI-H biomarker is automatically added to the variants list. This threshold of 0.3 is based on validation of N = 40 TCGA cases from three cancer entities. MSI identification was validated with a limited number of samples that indicate 100% precision and recall between 60% and 100%. After identification of POLE and MSI classified EC, remaining specimen were further classified in CN high and CN low. To reproduce the CN high class according to the TCGA classification, we trained a supervised classification model to predict the CN cluster 4 of TCGA from the WES-based copy number calls of MH Guide. Cross-validation accuracy, precision, recall, and f1 were used to evaluate how well the classification based on DNA NGS data reproduced the original three platform molecular subtypes of TCGA.

CN cluster prediction

CN clusters were extracted from the supplementary table datafile.S1.1.KeyClinicalData.xls (Cancer Genome Atlas Research Network et al. 2013) and binarized into 1 if a case belonged to cluster 4 and 0 if a case belonged to cluster 1, cluster 2, or cluster 3. 26% of samples fell into the CN cluster 4 class and 74% fell into the other classes. Multiple supervised classification algorithms and feature sets were tested with 5-fold cross-validation. 240 samples with available CN clusters were used for model training, and classification performance was evaluated by stratified 5-fold cross validation. Models were implemented in Python 3.6.8 using package scikit-learn 0.22.1.
A Naïve Bayes classifier with the following features was selected: Number of CN gains/CN losses per sample, number of CN gains/CN losses per chromosome, number of CN gains/CN losses per gene for the 25 most abundant genes, and ploidy and length of CN alterations per mega base. Although our features violate the assumption of uncorrelated features for a Naïve Bayes classifier, this model showed robust performance in predicting CN cluster 4 with average cross-validation accuracy, precision, recall, f1-sore, and ROC-AUC of 91.25%, 83.51%, 85.77%, 83.98%, and 95.08%, respectively, for the 240 training samples.
The CN cluster prediction algorithm was applied to samples from the Greifswald EC-cohort.

Evaluation of EC molecular subtypes in analogy to ProMisE

To assess the feasibility of using surrogate markers for determination of molecular subtypes, as proposed by Talhouk et al. (Talhouk et al. 2015) by WES, patients of the Greifswald EC-cohort were stratified as follows: If a pathogenic or likely pathogenic mutation was found in POLE, EC were classified as POLE. Non-POLE tumors were further classified as dMMR and pMMR as described above. pMMR tumors were further assigned as p53abn if they had a somatic non-silent mutation in TP53. The remaining tumors were classified as NSMP, having no specific molecular pattern.

Evaluation of risk stratification

The prognostic value of risk stratification analogue to the TCGA-classification and molecular surrogates was evaluated for the Greifswald EC-cohort using Cox proportional hazards regression and multivariable log-rank tests. Survival analysis was conducted in Python 3.6.8 using the package lifelines (0.23.9) and the survival package from R version 3.6.1.

Results

N = 114 samples from the EC-cohort were included in the study. Sequencing was successful in N = 108 samples. For N = 7 samples, sequencing failed due to poor DNA quality. Median follow-up time in this cohort was 59.5 months (range 0-140 months). N = 91 (84,3%) EC displayed endometrioid histology (Type I EC), and N = 17 (15.7%) represented further histological subtypes (Type II EC), including serous (N = 2), clear cell (N = 3), carcinosarcomatous (N = 5) and mixed histology (N = 6). Clinicopathological characteristics are depicted in Table 1.
To determine EC molecular subtypes in analogy to both, TCGA-classification and molecular surrogates-classification (ProMisE), a single-method approach (MH Guide) was applied to WES data obtained from N = 101 cases of the EC-cohort. In analogy to TCGA, N = 9 (8.3%) cases were classified as POLE, N = 15 (13.9%) as CN high, N = 51 as MSI-H, and N = 33 as CN low. In analogy to the ProMisE surrogate marker approach, N = 6 (5,6%) cases were classified as POLE, N = 11 (10,2%) as p53abn, N = 53 as dMMR (49,1%), and N = 11 (10,2%) as NSMP (Table 2).
Table 2
Distribution of molecular subtypes in the Greifswald EC-cohort based on the MH guide approach for both classification systems, TCGA-analogue, and surrogate marker-analogue
TCGA-analogue
Surrogate marker-analogue
Subtype
#
%
Subtype
#
%
POLE
9
8.3
POLE
6
5.6
MSI
51
47.2
dMMR
53
49.1
CN low
33
30.6
NSMP
38
35.2
CN high
15
13.9
p53abn
11
10.2
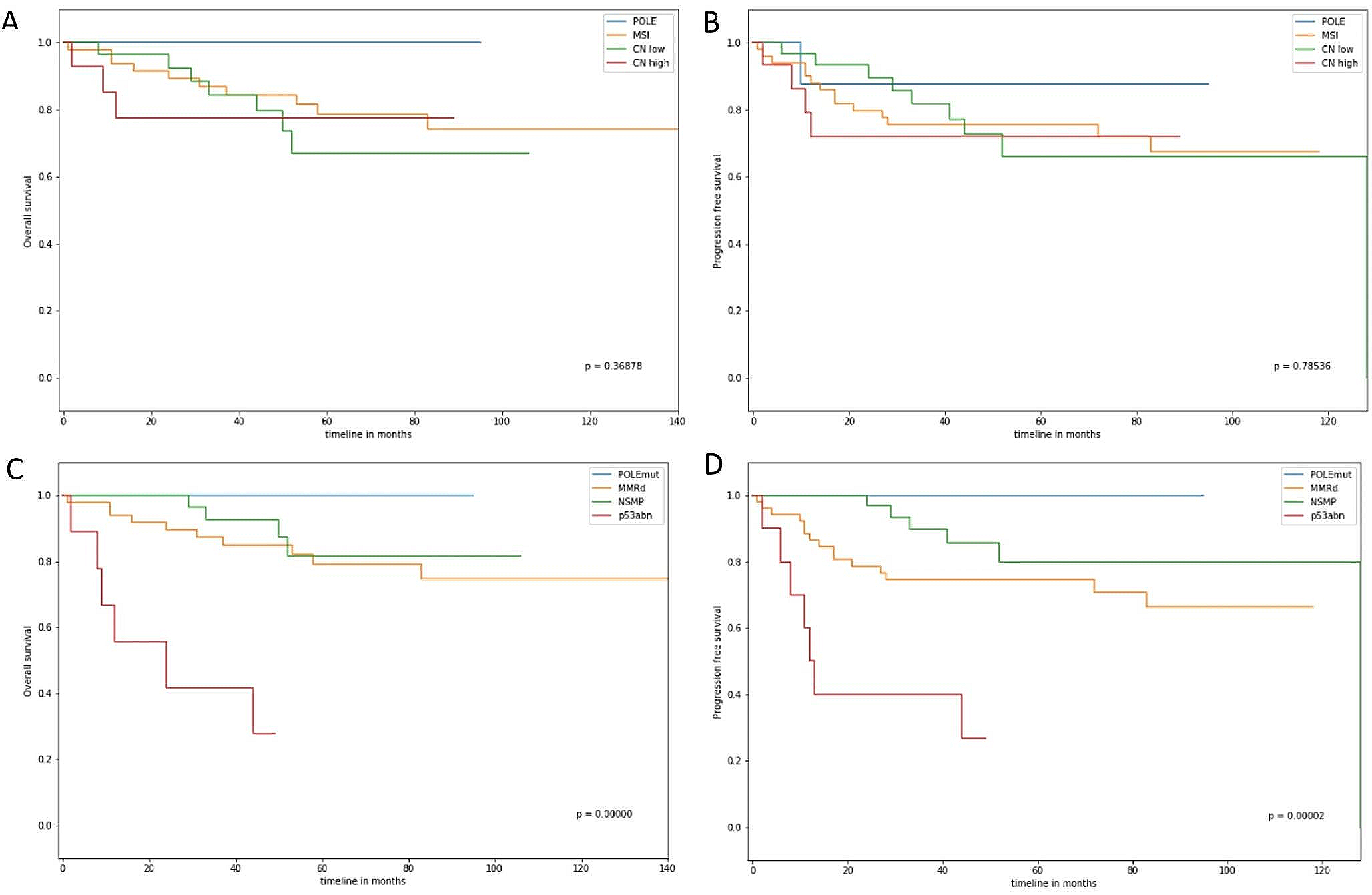
In the EC-cohort, no correlation of molecular subtypes with Type I/Type II EC or histological subtypes was observed (Table 3). TCGA-analogue analysis classified one type II EC (clear cell histology) as POLE and only N = 4 type II EC were assigned as CN high. Following surrogate marker-based classification, one type I tumor was determined as POLE. N = 5 type II EC were assigned as p53abn. According to both classification systems, almost 50% of type II EC were classified as MSI/dMMR (Table 3). This proportion of MSI/dMMR EC, however, is greater compared to the published data (Cancer Genome Atlas Research Network et al. 2013; Talhouk et al. 2015; León-Castillo et al. 2020). To validate the ability of both classification systems, to identify low-risk and high-risk patients, Cox proportional hazard regression analysis was performed. Hazard ratios for POLE, MSI, CN high and CN low subtypes (TCGA-analogue classification) and hazard rations for POLE, dMMR, p53abn, and NSMP (surrogate marker-based classification) were obtained. The surrogate marker-based classification was superior compared to the TCGA classification in this cohort, particularly in identifying high-risk patients (Fig. 1). Stratification based on TCGA successfully identified the POLE and MSI groups but failed to identify the high-risk cases (hazard ratios for OS and PFS 1.2 and 1.3, respectively, with confidence intervals including 1; Table 4). Cox regression analysis confirmed this observation: For the surrogate marker-based classification, the log-rank test was highly significant (OS: p = 0.00056, PFS: p = 0.00067), and the hazard ratios for POLE and p53abn versus NSMP groups were very low and high, respectively, for both, OS and PFS (Table 4). As indicated, the proportion of MSI/dMMR EC was higher compared to the literature. To validate the robustness of MSI/dMMR determination based on WES data, MMR-IHC was performed for N = 59 patients. In this sub-cohort, N = 20 (33,9%) and N = 13 (22,7%) EC were classified as MSI/dMMR based on IHC and WES, respectively. However, the percentage of MSI/dMMR EC was significantly lower in this subgroup compared the overall cohort, implying a high rate of false positive MSI/dMMR tumors. However, the analyses show congruence of the data obtained from IHC and NGS in 88% of the cases.
Table 3
Clinicopathologic features of molecular subtypes presented separately for TCGA-analogue and surrogate marker-analogue classification, respectively
 
TCGA-analogue
Surrogate marker-analogue
POLE
MSI
CN low
CN high
POLE
dMMR
NSMP
p53abn
Grading
        
1
4
12
18
7
3
13
23
2
2
4
28
12
3
3
28
13
3
3
1
11
3
5
0
12
2
6
Stage (FIGO)
        
1
9
42
26
11
6
44
32
6
2
0
2
4
1
0
2
4
1
3
0
6
2
3
0
6
2
3
4
0
1
1
0
0
1
0
1
Histology subtype
        
Adenocarcinoma (unknwon histopathology)
0
1
0
0
0
1
0
0
Endometrioid
8
43
29
11
6
44
35
6
Mixed
0
3
2
1
0
3
2
1
Clear cell
1
1
0
1
0
2
0
1
Uterine carcinosarcoma
0
2
1
2
0
2
1
2
Serous/serous-papillary
0
1
1
0
0
1
0
1
Bokhman-type
        
Type I
8
43
29
11
6
44
35
6
Type II
1
8
4
4
0
9
3
5
Fig. 1
Kaplan-Meier survival curves for overall survival (OS; A, C) and progression-free survival (PFS; B, D) for the Greifswald EC-cohort. OS and PFS are shown for each molecular subtype in analogy to TCGA (A, B) and surrogate marker (ProMisE) classification (C, D)
Bild vergrößern
Table 4
Log-rank p-values and hazard ratios for the predicted subtypes (TCGA-analogue and surrogate marker-analogue) for overall survival (OS) and progression-free survival (PFS) for the Greifswald EC-cohort with complete PFS/OS data. *number (%) of cases per subtype with complete OS/PFS survival. For POLE, hazard ratios are not reliable due to the small sample size
 
Stratification scheme
Logrank pvalue
Predicted subtype
n (%)
Hazard ratio
Hazard ratio lower 95 CI
Hazard ratio upper 95 CI
OS (100)
TCGA-analogue
0.17337
POLE
9 (9.0)
0.000
0.000
Inf
MSI
47 (47.0)
0.707
0.266
1.883
CN high
14 (14.9)
1.205
0.310
4.676
Surrogate marker-analogue
0.00056
POLEmut
6 (6.9)
0.000
0.000
Inf
dMMR
49 (49.0)
1.441
0.447
4.646
p53abn
10 (10.0)
12.840
3.460
47.646
PFS (107)
TCGA-analogue
0.74156
POLE
9 (8.4)
0.429
0.054
3.435
MSI
50 (46.7)
1.013
0.422
2.435
CN high
15 (14.0)
1.319
0.397
4.387
Surrogate marker-analogue
0.00067
POLEmut
6 (5.6)
0.000
0.000
Inf
dMMR
52 (48.6)
2.073
0.749
5.739
p53abn
11 (10.3)
9.576
2.999
30.575

Discussion

In modern oncology, molecular diagnostics are becoming increasingly important, particularly when it comes to individualized therapy decisions (Malone et al. 2020; Prasad et al. 2016). The incorporation of molecular markers into therapy stratification is intended to improve the treatment response and clinical outcome and to increase the safety of oncological therapy by reducing therapy-related toxicity (Murali et al. 2018; Urick and Bell 2019; Arend et al. 2018). The TCGA molecular subtypes of endometrial cancer, namely POLE, MSI, CN low, and CN high, and analogue classifications, in particular the ProMisE algorithm, are firmly established in clinical routine and are recommended for consideration in treatment decisions by national and international guidelines (Emons et al. 2023; Oaknin et al. 2022; Concin et al. 2021). Patients with POLE EC, typically displaying high-grade endometroid carcinomas, exhibit an excellent prognosis. Considering this excellent prognosis, overtreatment by means of adjuvant chemotherapy and/or radiation can be avoided. In contrast, the CN high subgroup comprises EC with predominantly serous-like histology, exhibit a very poor prognosis necessitating an extended therapy approach. The prognostic value of these retrospectively obtained four molecular subtypes was validated in a large prospective EC cohort (León-Castillo et al. 2020). From a clinical point of view, it is critically important to identify these different subtypes to avoid undertreatment in high-risk patients and overtreated in low-risk patients. To achieve this in clinical routine, a suitable diagnostic tool is crucial. Such a diagnostic tool is required to provide (i) a precise classification with high prognostic values and, (ii) should be methodologically feasible. The TCGA original publication is based on an extremely complex methodology comprising genomic, transcriptomic, and proteomic data (Cancer Genome Atlas Research Network et al. 2013). Talhouk et al. reported molecular surrogate markers obtained from immunohistochemistry and DNA sequencing to precisely identify four EC molecular subtypes with analogue prognostic values to the TCGA subtypes (ProMisE; (Talhouk et al. 2015; León-Castillo et al. 2020). In the present study, we investigated the feasibility of determining EC molecular subtypes in analogy to both, the TCGA- and molecular surrogates classification applying a WES-based single method approach that has been recently published (Mustea et al. 2023). Determination of EC molecular subtypes in analogy to TCGA-classification applying the single method approach has not yet been able to address high-risk patients with sufficient certainty. This could be due to methodological reasons. The DNA quality extracted from FFPE tissues in the EC-cohort was very heterogeneous. This might also be reflected by the comparatively high rate of MSI/dMMR cases (Hwang et al. 2017; Pécriaux et al. 2021). DNA quality analysis exhibited a very high proportion of short nucleic acid fragments, which may have led to the supposed detection of MSI/dMMR. Consistently, an increased number of MSI/dMMR tumors reduces the group of high-risk carcinomas. Comparable conclusions can be extrapolated regarding the CN status. Here, poor DNA quality may have also led to a decreased detection of CN high tumors. In this regard, we further investigated whether there is a correlation between MSI/dMMR status determined by MH Guide analysis and selected quality parameters. We found a strong correlation between MSI status and the fraction of mapped and on-target reads, the fraction of short fragments, and the amount of adapter contamination per sample (data not shown). EC samples were defined as MSI/dMMR if they had any of the following characteristics: Percentage of mapped reads < 92%, percentage of on-target reads < 66%, percentage of short fragments > 93%, or adapter contamination > 6.34%. All four parameters demonstrated a strong correlation with the age of the samples. All samples collected from 2011 onwards were within the non-critical range of parameter values. The default thresholds at which MH Guide triggers quality warnings for the fraction of mapped and on-target reads or short fragments are far more stringent than the critical values for these parameters determined by MSI definitions. It remains speculative whether the analysis would have been different with higher DNA quality. However, this has to be clarified conclusively in further investigations. The surrogate marker-based stratification by DNA sequencing, however, reliably identified low- and high-risk patients in the EC-cohort. The surrogate marker-based classification differs from the TCGA-analogue classification mainly with respect to the determination of the CN high/low or p53abn/NSMP group. Our data imply that based on p53 mutation status, at least in our cohort and in the presence of poor DNA quality, a stratification into high- or low-risk patients can be more reliably determined. Of note, TP53 mutations were identified in all four subgroups, but did not show prognostic values in POLE and MSI/dMMR EC. This is clinically highly relevant and testing for all four subtypes should always be performed in routine clinical practice. If due to the complexity of the diagnostic procedure, testing for POLE is omitted, a p53abn but undetected POLE positive EC may be considered as high-risk with corresponding overtreatment.
Our data strongly support the inclusion of molecular subtyping in the diagnostic regimen of EC. Further, conduction of interventional trials performing stratification based on molecular subtypes is crucial and currently ongoing (e.g. RAINBO trial; NCT05255653; (RAINBO Research Consortium 2022). Our data further indicate, that identification of molecular subtypes in EC with subsequent risk stratification is feasible based on molecular surrogates obtained by a single method approach provided by MH Guide. The implementation of such a diagnostic tool in routine clinical practice is crucial to ensure safer and more effective treatment of EC patients. Due to the growing understanding of tumor biology, molecular markers will become increasingly important in the future (Arend et al. 2018; Stope et al. 2016; Vermij et al. 2020). In this context, new genetic markers can be easily integrated into the WES-based method allowing rapid translation of data from research into clinical practice. Furthermore, tumor genetic characterization provides the potential to identify targeted therapies based on tumor genetic alterations. This is therapeutically of great value especially in advanced disease stages after passing through different lines of therapy.

Declarations

Competing interests

The authors declare no competing interests.
Open Access This article is licensed under a Creative Commons Attribution 4.0 International License, which permits use, sharing, adaptation, distribution and reproduction in any medium or format, as long as you give appropriate credit to the original author(s) and the source, provide a link to the Creative Commons licence, and indicate if changes were made. The images or other third party material in this article are included in the article’s Creative Commons licence, unless indicated otherwise in a credit line to the material. If material is not included in the article’s Creative Commons licence and your intended use is not permitted by statutory regulation or exceeds the permitted use, you will need to obtain permission directly from the copyright holder. To view a copy of this licence, visit http://creativecommons.org/licenses/by/4.0/.

Publisher’s Note

Springer Nature remains neutral with regard to jurisdictional claims in published maps and institutional affiliations.
download
DOWNLOAD
print
DRUCKEN
Titel
Determination of endometrial cancer molecular subtypes using a whole exome-sequencing based single-method approach
Verfasst von
Alexander Mustea
Damian J. Ralser
Eva K. Egger
Ulrike Ziehm
Sonia Vivas
Stephan Brock
David Jackson
Mateja Condic
Marc-A. Rauschendorf
Patrick Würfel
Frank Dombrowski
Lucia A. Otten
Pengming Sun
Anna Laib
Miguel Cubas Cordova
Rahel Hartmann
Martin A. Stein
Dominique Koensgen
Matthias B. Stope
Publikationsdatum
01.07.2024
Verlag
Springer Berlin Heidelberg
Erschienen in
Journal of Cancer Research and Clinical Oncology / Ausgabe 7/2024
Print ISSN: 0171-5216
Elektronische ISSN: 1432-1335
DOI
https://doi.org/10.1007/s00432-024-05901-4
Zurück zum Zitat Arend RC, Jones BA, Martinez A, Goodfellow P (2018) Endometrial cancer: molecular markers and management of advanced stage disease. Gynecol Oncol 150(3):569–580CrossRefPubMed
Zurück zum Zitat Bokhman JV (1983) Two pathogenetic types of endometrial carcinoma. Gynecol Oncol 15(1):10–17CrossRefPubMed
Zurück zum Zitat Bosse T, Nout RA, McAlpine JN, McConechy MK, Britton H, Hussein YR et al (2018) Molecular classification of Grade 3 endometrioid endometrial cancers identifies distinct prognostic subgroups. Am J Surg Pathol 42(5):561–568CrossRefPubMedPubMedCentral
Zurück zum Zitat Brinton LA, Felix AS, McMeekin DS, Creasman WT, Sherman ME, Mutch D et al (2013) Etiologic heterogeneity in endometrial cancer: evidence from a Gynecologic Oncology Group trial. Gynecol Oncol 129(2):277–284CrossRefPubMedPubMedCentral
Zurück zum Zitat Cancer Genome Atlas Research Network, Kandoth C, Schultz N, Cherniack AD, Akbani R, Liu Y et al (2013) Integrated genomic characterization of endometrial carcinoma. Nature 497(7447):67–73CrossRef
Zurück zum Zitat Concin N, Matias-Guiu X, Vergote I, Cibula D, Mirza MR, Marnitz S et al (2021) ESGO/ESTRO/ESP guidelines for the management of patients with endometrial carcinoma. Int J Gynecol Cancer off J Int Gynecol Cancer Soc 31(1):12–39CrossRef
Zurück zum Zitat Cosgrove CM, Tritchler DL, Cohn DE, Mutch DG, Rush CM, Lankes HA et al (2018) An NRG Oncology/GOG study of molecular classification for risk prediction in endometrioid endometrial cancer. Gynecol Oncol 148(1):174–180CrossRefPubMed
Zurück zum Zitat Emons E G, Steiner, Vordermark D, Uleer C, Paradies K, Tempfer C et al (2023) Endometrial Cancer. Guideline of the DGGG, DKG and DKH (S3-Level, AWMF Registry Number 032/034-OL, September 2022). Part 1 with recommendations on the Epidemiology, Screening, diagnosis and Hereditary factors of Endometrial Cancer, Geriatric Assessment and Supply structures. Geburtshilfe Frauenheilkd 83(8):919–962CrossRefPubMed
Zurück zum Zitat Gaber C, Meza R, Ruterbusch JJ, Cote ML (2016) Endometrial Cancer trends by Race and Histology in the USA: projecting the number of new cases from 2015 to 2040. J Racial Ethn Health Disparities
Zurück zum Zitat Hwang DH, Garcia EP, Ducar MD, Cibas ES, Sholl LM (2017) Next-generation sequencing of cytologic preparations: an analysis of quality metrics. Cancer Cytopathol 125(10):786–794CrossRefPubMed
Zurück zum Zitat Karnezis AN, Leung S, Magrill J, McConechy MK, Yang W, Chow C et al (2017) Evaluation of endometrial carcinoma prognostic immunohistochemistry markers in the context of molecular classification. J Pathol Clin Res 3(4):279–293CrossRefPubMedPubMedCentral
Zurück zum Zitat Kautto EA, Bonneville R, Miya J, Yu L, Krook MA, Reeser JW et al (2017) Performance evaluation for rapid detection of pan-cancer microsatellite instability with MANTIS. Oncotarget 8(5):7452–7463CrossRefPubMed
Zurück zum Zitat León-Castillo A, de Boer SM, Powell ME, Mileshkin LR, Mackay HJ, Leary A et al (2020) Molecular classification of the PORTEC-3 trial for high-risk endometrial Cancer: impact on prognosis and benefit from adjuvant therapy. J Clin Oncol off J Am Soc Clin Oncol 38(29):3388–3397CrossRef
Zurück zum Zitat Malone ER, Oliva M, Sabatini PJB, Stockley TL, Siu LL (2020) Molecular profiling for precision cancer therapies. Genome Med 12(1):8CrossRefPubMedPubMedCentral
Zurück zum Zitat McAlpine J, Leon-Castillo A, Bosse T (2018) The rise of a novel classification system for endometrial carcinoma; integration of molecular subclasses. J Pathol 244(5):538–549CrossRefPubMed
Zurück zum Zitat Murali R, Delair DF, Bean SM, Abu-Rustum NR, Soslow RA (2018) Evolving Roles of Histologic Evaluation and Molecular/Genomic Profiling in the management of Endometrial Cancer. J Natl Compr Cancer Netw JNCCN 16(2):201–209CrossRefPubMed
Zurück zum Zitat Mustea A, Ralser DJ, Egger E, Ziehm U, Vivas S, Brock S et al (2023) Determination of the Cancer Genome Atlas (TCGA) Endometrial Cancer Molecular subtypes using the variant interpretation and clinical decision support Software MH Guide. Cancers 15(7):2053CrossRefPubMedPubMedCentral
Zurück zum Zitat Oaknin A, Bosse TJ, Creutzberg CL, Giornelli G, Harter P, Joly F et al (2022) Endometrial cancer: ESMO Clinical Practice Guideline for diagnosis, treatment and follow-up. Ann Oncol off J Eur Soc Med Oncol 33(9):860–877CrossRef
Zurück zum Zitat Pécriaux A, Favre L, Calderaro J, Charpy C, Derman J, Pujals A (2021) Detection of microsatellite instability in a panel of solid tumours with the Idylla MSI Test using extracted DNA. J Clin Pathol 74(1):36–42CrossRefPubMed
Zurück zum Zitat Prasad V, Fojo T, Brada M (2016) Precision oncology: origins, optimism, and potential. Lancet Oncol 17(2):e81–e86CrossRefPubMed
Zurück zum Zitat RAINBO Research Consortium (2022) Refining adjuvant treatment in endometrial cancer based on molecular features: the RAINBO clinical trial program. Int J Gynecol Cancer off J Int Gynecol Cancer Soc 33(1):109–117CrossRef
Zurück zum Zitat Stelloo E, Nout RA, Osse EM, Jürgenliemk-Schulz IJ, Jobsen JJ, Lutgens LC et al (2016) Improved Risk Assessment by integrating molecular and clinicopathological factors in early-stage endometrial Cancer-combined analysis of the PORTEC cohorts. Clin Cancer Res off J Am Assoc Cancer Res 22(16):4215–4224CrossRef
Zurück zum Zitat Stelloo E, Jansen AML, Osse EM, Nout RA, Creutzberg CL, Ruano D et al (2017) Practical guidance for mismatch repair-deficiency testing in endometrial cancer. Ann Oncol off J Eur Soc Med Oncol 28(1):96–102CrossRef
Zurück zum Zitat Stope MB, Koensgen D, Weimer J, Paditz M, Burchardt M, Bauerschlag D et al (2016) The future therapy of endometrial cancer: microRNA’s functionality, capability, and putative clinical application. Arch Gynecol Obstet 294(5):889–895CrossRefPubMed
Zurück zum Zitat Talhouk A, McConechy MK, Leung S, Li-Chang HH, Kwon JS, Melnyk N et al (2015) A clinically applicable molecular-based classification for endometrial cancers. Br J Cancer 113(2):299–310CrossRefPubMedPubMedCentral
Zurück zum Zitat Urick ME, Bell DW (2019) Clinical actionability of molecular targets in endometrial cancer. Nat Rev Cancer 19(9):510–521CrossRefPubMedPubMedCentral
Zurück zum Zitat Vermij L, Smit V, Nout R, Bosse T (2020) Incorporation of molecular characteristics into endometrial cancer management. Histopathology 76(1):52–63CrossRefPubMed
Zurück zum Zitat Zannoni GF, Vellone VG, Arena V, Prisco MG, Scambia G, Carbone A et al (2010) Does high-grade endometrioid carcinoma (grade 3 FIGO) belong to type I or type II endometrial cancer? A clinical-pathological and immunohistochemical study. Virchows Arch Int J Pathol 457(1):27–34CrossRef

Neu im Fachgebiet Onkologie

Massiv erhöhtes CA 19-9 weckt falschen Krebsverdacht

Massiver Gewichtsverlust, erhöhte Cholestaseparameter und ein extrem hoher Wert des Tumormarkers CA-19-9 bei einem Diabetiker werden als Zeichen eines Pankreaskarzinoms gedeutet. Doch Krebsangst und Tumorsuche hätten dem Mann erspart werden können.

Erhöht Reflux auch das Risiko für Larynxtumoren?

Gastroösophagealer Reflux ist womöglich auch mit einem erhöhten Risiko für Kehlkopftumoren assoziiert. Dafür sprechen zumindest Teilergebnisse einer aktuellen Metaanalyse. Im Detail ist der Zusammenhang indes weniger klar.

Viel Konservierungsstoffe in der Nahrung – erhöhtes Krebsrisiko

Wer viel Konservierungsstoffe über die Nahrung aufnimmt, muss mit einem erhöhten Krebsrisiko rechnen. Ein solcher Zusammenhang lässt sich primär für nicht antioxidativ wirkende Zusatzstoffe wie Nitrit und Nitrat, aber auch Sorbat und Acetat berechnen.

CAR-T-Zell-Infusion bei B-Zell-Lymphom möglichst am Vormittag?

Bei Menschen mit rezidivierendem großzelligem B-Zell-Lymphom ist das zirkadiane Timing einer CAR-T-Zell-Infusion möglicherweise entscheidend. In einer US-Studie wurde 22 Monate nachbeobachtet, wie sich die Tageszeit der Therapiegabe auf das progressionsfreie Überleben auswirkte.

Update Onkologie

Bestellen Sie unseren Fach-Newsletter und bleiben Sie gut informiert.

Bildnachweise
Blutabnahme /© © Chutipon / Stock.adobe.com (Symbolbild mit Fotomodell), Würste und Spieße auf einem Grill/© NDABCREATIVITY / stock.adobe.com (Symbolbild mit Fotomodellen), Diffus großzelliges B-Zell-Lymphom/© David A Litman / stock.adobe.com