Zum Inhalt

Diagnostic Performance of the ASCL1/ZNF582 Methylation Test for Detection of High-Grade Vulvar Intraepithelial Neoplasia and Vulvar Cancer

  • Open Access
  • 23.01.2026
  • Original Research Article

Abstract

Introduction

High-grade vulvar intraepithelial neoplasia (VIN), the precursor lesion to vulvar cancer, comprises human papillomavirus (HPV)-associated high-grade squamous intraepithelial lesion (HSIL) and HPV-independent VIN (HPVi-VIN), differing in pathogenesis and cancer risk. HSIL typically develops from low-grade squamous intraepithelial lesion (LSIL), and HPVi-VIN from lichen sclerosus (LS). The PreCursor-M AnoGYN Methylation test, targeting ASCL1/ZNF582, may improve diagnostic accuracy and risk stratification in high-grade VIN patients. This study assessed its diagnostic performance to detect high-grade VIN and cancer.

Methods

ASCL1/ZNF582 methylation was analyzed in 170 vulvar formalin-fixed paraffin-embedded (FFPE) tissue samples from healthy controls, LS, LSIL, HSIL, HPVi-VIN and vulvar cancer patients by quantitative methylation-specific polymerase chain reaction (qMSP). Logistic regression analysis was used to evaluate its diagnostic performance and compare it to the previously established ZNF582/SST/miR124-2 marker panel.

Results

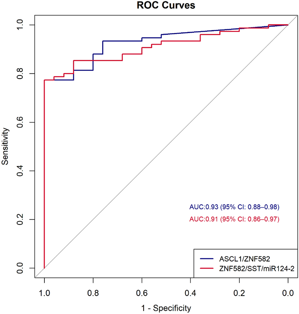
Methylation levels increased with disease severity, from low in controls, LS and LSIL to high in HSIL, HPVi-VIN and vulvar cancer. The ASCL1/ZNF582 marker panel detected 92% and 84% of HSIL at 70% and 80% specificity, respectively, and 96% of HPVi-VIN and 100% of vulvar cancer at both specificities. Both marker panels (ASCL1/ZNF582 and ZNF582/SST/miR124-2) showed comparable excellent diagnostic performance for high-grade VIN detection, with an area under the curve (AUC) of 0.93 (95% confidence interval [CI] 0.88–0.98) and AUC 0.91 (95% CI 0.86–0.97), respectively.

Conclusions

In conclusion, the ASCL1/ZNF582 methylation assay accurately detects high-grade VIN and vulvar cancer, while minimizing the detection of benign and low-grade lesions, indicating its clinical value.

Supplementary Information

The online version contains supplementary material available at https://doi.org/10.1007/s40291-026-00831-y.
Dominique C. de Vries and Flavia Runello have contributed equally to this work as first authors.
Key Points
The ASCL1/ZNF582 methylation marker panel demonstrated high sensitivity for high-grade vulvar lesions and carcinomas, with minimal detection in controls and low-grade lesions.
Methylation testing may guide treatment intensity and follow-up in high-grade squamous intraepithelial lesion, and support objective diagnosis in challenging human papillomavirus-independent vulvar intraepithelial neoplasia cases.
The ASCL1/ZNF582 methylation marker panel shows potential as a broadly applicable diagnostic tool for anogenital disease detection, highlighting its clinical utility.

1 Introduction

High-grade vulvar intraepithelial neoplasia (VIN) is the precursor lesion of vulvar squamous cell carcinoma (VSCC). Two distinct subtypes are recognized: human papillomavirus (HPV)-associated high-grade squamous intraepithelial lesion (HSIL) and HPV-independent VIN (HPVi-VIN). These subtypes differ in etiology and associated cancer risk [1]. HSIL develops following persistent high-risk (hr)HPV infection, and carries a 10-year cancer risk of < 10% [1, 2]. Besides HSIL, vulvar low-grade squamous intraepithelial lesion (LSIL) can also occur. In contrast to HPV-associated squamous intraepithelial lesions (SILs), HPVi-VIN usually arises from the vulvar dermatosis lichen sclerosus (LS), which itself is associated with a 10-year cancer risk of < 5% [3]. Once HPVi-VIN develops, the 10-year cancer risk increases substantially to > 50% [4]. As a result of these differences, clinical management of vulvar precursor lesions presents distinct challenges.
HSIL represents the majority of high-grade VIN cases [5]. Treatment of these lesions typically includes surgical excision, laser ablation, or topical agents such as imiquimod [6]. However, HSIL patients are a heterogeneous group, with different risks of progression to cancer [7]. Current diagnostic practice does not allow for reliable cancer risk stratification of HSIL patients [8, 9], and in patients with a low cancer risk, a less aggressive approach may be preferred. This underscores the need for biomarkers reflecting cancer risk, to enable more personalized management strategies. In contrast to HSIL, HPVi-VIN carries a substantial risk of malignant progression [1]. Therefore, surgical excision is the standard treatment, and cancer risk stratification is less relevant compared to HSIL patients. However, an accurate diagnosis of HPVi-VIN can be challenging, due to its often subtle clinical and histopathological features mimicking benign dermatoses, such as LS, or reactive changes [10, 11]. In such cases, the use of an objective biomarker could support accurate diagnosis and appropriate treatment.
DNA methylation has emerged as a promising biomarker for risk stratification of patients with anogenital precursor lesions [12, 13]. A growing number of studies have shown that methylation levels of various genes (methylation markers) increase with disease severity in anal, cervical and vulvar precursor lesions, and cancers [7, 1316]. In 2023, Voss et al. determined the diagnostic performance of multiple methylation markers in a series of > 750 vulvar lesions [7]. The optimal three-marker panel consisted of genes ZNF582, SST and miR124-2, and was able to detect 72% of HSIL cases and 86% of HPVi-VIN cases. Many other methylation markers showed an excellent performance as well (area under the curve [AUC] > 0.80), including GHSR, ZIC1, ASCL1, LHX8 and MAL [7]. Additionally, the ZNF582/SST/miR124-2 marker panel was able to identify LS that progressed to cancer [17].
While these markers offer promising results, the use of a single multiplex quantitative methylation-specific polymerase chain reaction (PCR) (qMSP) assay, targeting multiple markers and multiple anogenital sites, is preferred to ease implementation of methylation testing in a diagnostic setting. Accordingly, the recently developed research-use-only (RUO) multiplex qMSP assay PreCursor-M AnoGYN combines methylation markers ASCL1 and ZNF582 into a single test. These markers have not only shown increasing methylation levels with vulvar disease severity [7, 18], they also demonstrated a robust performance in detecting high-grade anal lesions [19].
Considering the commercial availability and potentially broad applicability of the PreCursor-M AnoGYN assay, this study aimed to evaluate the diagnostic performance of the ASCL1/ZNF582 methylation marker panel for the detection of high-grade VIN, and to compare it to the previously established ZNF582/SST/miR124-2 three-marker methylation panel.

2 Materials and Methods

2.1 Clinical Samples and Ethical Considerations

In total, 170 formalin-fixed paraffin-embedded (FFPE) vulvar tissue samples were analyzed, obtained from 145 patients with vulvar lesions (25 LS, 25 LSIL, 50 HSIL, 25 HPVi-VIN and 20 VSCC) and 25 healthy controls (Table 1). All patients were identified from pre-existing cohorts. FFPE samples from patients with LSIL, HSIL and HPVi-VIN were randomly selected from a population-based historical cohort, provided their DNA concentration was sufficient for further testing (>10 ng/μL), as previously determined [1, 7]. LS samples were obtained from patients who did not develop cancer in follow-up (median follow-up time: 7.8 years), as previously described [17]. Healthy control tissues were obtained from individuals undergoing elective aesthetic or reconstructive genital surgery, as previously reported [7]. VSCC samples were selected from surgical specimens of vulvar cancer patients, collected as part of a yet unpublished prospective study. All samples underwent histopathological reassessment by expert pathologists to confirm diagnosis, as previously described [1].
Table 1.
Baseline characteristics of the study cohort
 
N (%)
Age, median (range), years
Healthy controls
25 (14.7)
32 (18–54)
LS
25 (14.7)
59 (25–77)
LSIL
25 (14.7)
36 (20–74)
HSIL
50 (29.4)
46 (24–87)
HPVi-VIN
25 (14.7)
74 (35–92)
VSCC
20 (11.8)
68 (34–87)
Total
170 (100)
52 (18–92)
HPVi-VIN human papillomavirus-independent vulvar intraepithelial neoplasia, HSIL high-grade vulvar squamous intraepithelial lesion, LS lichen sclerosus, LSIL low-grade vulvar squamous intraepithelial lesion, VSCC vulvar squamous cell carcinoma

2.2 Tissue Processing, DNA Isolation and Modification

FFPE tissue blocks were sectioned using the sandwich method, in which the first and last sections were stained with hematoxylin–eosin (H&E) to confirm presence of the lesion, while in-between sections were used for DNA isolation and molecular analysis. From VSCC specimens, DNA was isolated and subjected to sodium bisulfite conversion, as previously described [1, 7], using the QIAamp DNA FFPE tissue kit (Qiagen, Hilden, Germany) and the EZ-DNA Methylation kit (Zymo Research, Irvine, CA). In the same way, the other samples had been processed in previous studies [1, 7, 17].

2.3 DNA Methylation Analysis

DNA methylation analysis of all samples was carried out by qMSP. The PreCursor-M AnoGYN Methylation assay (Self-screen B.V., Amsterdam, The Netherlands), which targets genes ASCL1 and ZNF582, with ACTB as the reference gene, was performed on the RotorGeneQ (Qiagen). Methylation test results were considered valid when the ACTB cycle threshold (Ct) value was below 30, according to the manufacturer’s instructions. Methylation levels were normalized to the reference gene and calibrator of the corresponding qMSP, using the comparative Ct method (2− ΔΔCt × 100) to obtain ΔΔCt ratios. DNA methylation testing of the ZNF582/SST/miR124-2 marker panel using the ViiA 7 Real-Time PCR System (Applied Biosystems, Foster City, CA, USA) was previously performed [7]. The obtained methylation results were used in the present study.

2.4 Statistical Analysis

DNA methylation levels across disease categories were visualized by computing boxplots of (1) individual genes ASCL1 and ZNF582 log2-transformed ΔΔCt ratios and (2) ASCL1/ZNF582 predicted probabilities. Significant differences between categories were assessed for each marker using the Kruskal–Wallis test, followed by pairwise post hoc Mann-Whitney U testing with Bonferroni correction for multiple comparisons.
The diagnostic performance of (1) the ASCL1/ZNF582 marker panel (PreCursor-M AnoGYN Methylation assay) and (2) the ZNF582/SST/miR124-2 marker panel were evaluated using two previously published logistic regression models. The first model (ASCL1/ZNF582) was trained on a series of 111 anal intraepithelial neoplasia (AIN) and cancer tissue samples, defining controls as ≤ AIN1 and cases as AIN3+ [19]. The second model (ZNF582/SST/miR124-2) was trained on a series of 580 high-grade VIN tissues (HSIL, HPVi-VIN cases) and 113 healthy vulvar controls [7]. Predicted probabilities (values 0–1) of high-grade VIN samples (cases) and healthy vulvar samples (controls) were calculated and plotted in a receiver operating characteristic (ROC) curve. The AUC was used to assess the diagnostic performance, and set thresholds to categorize samples as methylation positive or negative. For the ASCL1/ZNF582 marker panel, the Youden’s index (J-)threshold was used to calculate the detection rate for all disease categories. Additionally, detection rates were determined by setting specificities of 70% and 80%, and used to compare the different methylation marker-based models. To account for potential confounding by age, the association between methylation and disease status was assessed using the Mantel–Haenszel method, stratifying high-grade VIN cases and healthy vulvar controls into three age groups, based on the median age of both disease categories.
Statistical analyses were performed with R (version 4.4.3, R, Vienna, Austria), using packages ggplot2 (version 3.5.1), ggpubr (version 0.6.0) and pROC (version 1.18.5).

3 Results

3.1 Study Population

The median age of all patients was 52 years (range 18–92), and per group, it was 32 (18–54) in healthy controls, 59 (25–77) in LS, 36 (20–74) in LSIL, 46 (24–87) in HSIL, 74 (35–92) in HPVi-VIN and 68 (34–87) in VSCC (Table 1).

3.2 DNA Methylation Levels Across Vulvar Disease Categories

The individual methylation levels of ASCL1 and ZNF582 targeted by the PreCursor-M AnoGYN Methylation assay increased significantly with disease severity (Fig. 1), as did the predicted probabilities (Supplementary Fig. 1; see the electronic supplementary material). Healthy controls, LS and LSIL lesions showed the lowest methylation levels, while HPVi-VIN and VSCC lesions showed the highest. HSIL lesions displayed heterogeneous methylation profiles, while remaining distinct from those observed in LSIL, LS and healthy controls.
Fig. 1
DNA methylation levels of markers ASCL1 and ZNF582 across six vulvar disease categories. HPVi-VIN human papillomavirus-independent vulvar intraepithelial neoplasia, HSIL, high-grade vulvar squamous intraepithelial lesion, LS lichen sclerosus, LSIL low-grade vulvar squamous intraepithelial lesion, ns not significant, VSCC vulvar squamous cell carcinoma
Bild vergrößern

3.3 ASCL1/ZNF582 Diagnostic Performance in Vulvar Tissue Specimens

The ASCL1/ZNF582 marker panel showed excellent diagnostic accuracy for high-grade VIN and VSCC (AUC 0.93; 95% confidence interval [CI] 0.88–0.98, Fig. 2), detecting 0% (0/25) of controls, 4% (1/25) of LS, 12% (3/25) of LSIL, 74% (37/50) of HSIL, 84% (21/25) of HPVi-VIN and 100% (20/20) of VSCC with a 100% specificity and 77% sensitivity at the Youden’s index (J-threshold ≥ 0.45) (Table 2). At predefined specificities of 70% (93% sensitivity) and 80% (88% sensitivity), the ASCL1/ZNF582 marker panel detected 32% (8/25) and 20% (5/25) of controls, 24% (6/25) and 16% (4/25) of LS, 32% (8/25) and 20% (5/25) of LSIL, 92% (46/50) and 84% (42/50) of HSIL, 96% (24/25) of HPVi-VIN and 100% (20/20) of VSCC, respectively. When stratifying controls and high-grade VIN by age, to account for its role as a confounding variable in methylation analyses, a significant association between methylation and disease status was observed in all age groups (p value < 0.005), with odds ratios (ORs) of 38.7 (95% CI 6.4–234.9) when methylation status was determined at the Youden’s Index, 13.2 (95% CI 3.6–48.0) at 70% specificity and 11.8 (95% CI 3.4–41.4) at 80% specificity (Supplementary Table 1; see the electronic supplementary material).
Fig. 2
Performance of marker panels ASCL1/ZNF582 and ZNF582/SST/miR124-2 for detection of high-grade VIN, as assessed by ROC and AUC. AUC are under the curve, CI confidence interval, ROC receiver operating characteristic, VIN vulvar intraepithelial neoplasia
Bild vergrößern
Table 2.
Methylation positive detection rate by the PreCursor-M AnoGYN (ASCL1/ZNF582) multiplex assay and the previously established three-marker panel (ZNF582/SST/miR124-2)
 
Controls
LS
LSIL
HSIL
HPVi-VIN
VSCC
% (n)
% (n)
% (n)
% (n)
% (n)
% (n)
PreCursor-M AnoGYN (ASCL1/ZNF582)
      
 Youdena
0 (0/25)
4 (1/25)
12 (3/25)
74 (37/50)
84 (21/25)
100 (20/20)
 70% specificity
32 (8/25)
24 (6/25)
32 (8/25)
92 (46/50)
96 (24/25)
100 (20/20)
 80% specificity
20 (5/25)
16 (4/25)
20 (5/25)
84 (42/50)
96 (24/25)
100 (20/20)
Three marker panel (ZNF582/SST/miR124-2)*
      
 Youdena
16 (4/25)
16 (4/25)
24 (6/25)
82 (41/50)
92 (23/25)
100 (20/20)
 70% specificity
32 (8/25)
36 (9/25)
32 (8/25)
84 (42/50)
96 (24/25)
100 (20/20)
 80% specificity
20 (5/25)
20 (5/25)
28 (7/25)
82 (41/50)
92 (23/25)
100 (20/20)
HPVi-VIN human papillomavirus-independent vulvar intraepithelial neoplasia, HSIL high-grade vulvar squamous intraepithelial lesion, LS lichen sclerosus, LSIL low-grade vulvar squamous intraepithelial lesion, VSCC vulvar squamous cell carcinoma
*Threshold was set as defined by Voss et al. [7]
aSensitivity and specificity at the Youden index were 77% and 100%, respectively
Results were compared to those obtained with our previously established ZNF582/SST/miR124-2 marker panel [7]. The ZNF582/SST/miR124-2 marker panel showed comparable diagnostic accuracy (AUC 0.91; 95% CI 0.86–0.97, Fig. 2) on the same sample series, with overall comparable detection rates in all vulvar disease categories at predefined specificities of 70% and 80% (Table 2).

4 Discussion

This study evaluated the diagnostic performance of the ASCL1/ZNF582 marker panel (PreCursor-M AnoGYN Methylation assay) for detection of high-grade VIN and vulvar cancer, including a comparison with the previously established marker panel ZNF582/SST/miR124-2. Our findings demonstrate that the ASCL1/ZNF582 marker panel is highly capable of detecting HSIL (92% and 84% at 70% and 80% specificity, respectively), HPVi-VIN and vulvar cancer (96% and 100% at both 70% and 80% specificity, respectively). In contrast, detection rates were low in healthy controls, LS and LSIL categories. When compared to the ZNF582/SST/miR124-2 marker panel, originating from a cohort of 751 vulvar samples, the ASCL1/ZNF582 marker panel demonstrated comparable diagnostic performance in detecting high-grade VIN and vulvar cancer. Notably, LS and LSIL detection was generally lower with the ASCL1/ZNF582 methylation assay. These results, together with the assay’s expanded applicability to anal disease detection [19], support its high potential for clinical use.
Previous research has evaluated the potential of DNA methylation testing for risk stratification of vulvar disease. In a previous study, by Becker et al., the GynTect® methylation marker panel (comprising six cervical methylation markers) was applied to both vulvar tissue samples and smears [20]. In tissues, the GynTect® positivity rate was higher in LSIL (77%) than in HSIL (65%) and nearly as high as in carcinoma (80%), limiting the applicability of this test in clinical practice. Our research group previously established the ZNF582/SST/miR124-2 marker panel, and reported detection rates of 72% in 541 HSIL samples and 87% in 39 HPVi-VIN samples [7], which are slightly lower but comparable rates to those obtained in the subset tested in the current study (82% and 92%, respectively). The ASCL1/ZNF582 marker panel performed similarly for detection of high-grade VIN and VSCC. Interestingly, the ZNF582/SST/miR124-2 marker panel was also evaluated in LS and tested positive in 70% of LS that progressed to VSCC, compared to only 17% of LS that did not progress to cancer [17]. The present study only included LS lesions without cancer in follow-up and, accordingly, methylation levels within this category were comparable to those of controls. Overall, the ASCL1/ZNF582 marker panel detected LS and LSIL at generally lower rates than the ZNF582/SST/miR124-2 marker panel.
While the individual markers have been described in several studies including multiple anogenital sites [7, 13, 16], the ASCL1/ZNF582 marker panel was initially evaluated by Rozemeijer et al. in HPV-induced high-grade AIN (AIN2/3; anal HSIL) and cancer [19]. In their study, detection rates for anal HSIL were 36% for AIN2 and 58% for AIN3 at 70% specificity and, respectively, 28% and 52% at 80% specificity. These percentages are substantially lower than those observed in the present study on vulvar HSIL (92% and 84% at 70% and 80% specificity, respectively). These discrepancies may be explained by differences in study populations. Vulvar HSIL samples are typically collected from patients presenting with symptoms, suggesting their lesions may be in a more advanced stage at time of clinical presentation than those in the anal HSIL cohort, which were identified through routine screening. Furthermore, the histopathological revision in our study, integrating p16 and p53 staining results, likely facilitated accurate diagnosis, with a portion of HSIL cases being reclassified as LSIL [1]. We hypothesize that in a real-world clinical setting, where histopathological revision and immunohistochemistry are not always performed, the positivity rate within vulvar HSIL would be slightly lower, although still higher than in AIN2/3. Nevertheless, the ASCL1/ZNF582 marker panel showed excellent performance for detection of high-grade precursor lesions and cancer in both anal and vulvar cohorts (AUC 0.81 and AUC 0.93, respectively). These findings support its application to both anal and vulvar tissues, with sample type-specific thresholds that can be further adapted based on the preferred balance between sensitivity and specificity.
In this study, we interpreted the results of the PreCursor-M AnoGYN Methylation assay as a binary outcome (positive versus negative) based on predefined thresholds. While a threshold-based approach is common in many clinical tests, others, such as most diagnostic blood tests, rely on continuous risk scales where cut-offs for decision-making are variable, and often take into account additional clinical factors. A similar strategy could be applied to the PreCursor-M AnoGYN Methylation assay, by defining broader risk categories, such as low-, intermediate- and high-risk. A binary test result would facilitate straightforward interpretation by clinicians, whereas a continuous test result would allow for more personalized patient management. In both cases, the implementation of methylation testing in a clinical setting could offer diagnostic and prognostic value. According to current European Society of Gynaecological Oncology (ESGO) guidelines, women presenting with vulvar symptoms should undergo inspection, with a biopsy recommended for any suspicious lesion [21]. Methylation testing on these biopsies could not only help ensure accurate diagnosis in patients with suspected HPVi-VIN, but also help tailor follow-up strategies and treatment intensity for those with HSIL.
Strengths of this study include the analysis of 170 revised vulvar FFPE samples. This ensured histopathological confirmation of all cases, reducing interobserver variability and strengthening the reliability of the dataset. Additionally, the ASCL1/ZNF582 marker panel was tested on samples from non-dysplastic and low-grade lesions (LS and LSIL), which is essential to demonstrate the assay’s ability to distinguish high-grade disease not only from healthy controls, but also from vulvar lesions that do not require clinical intervention.
This study also has limitations. One is the age difference between controls (32 years) and patients with high-grade VIN (46 and 74 years in HSIL and HPVi-VIN, respectively). Given that methylation levels are known to increase with age, this may have led to an overestimation of the observed detection rates in the HSIL category. Nevertheless, the association between methylation and disease status remained significant when stratifying both disease groups by age, indicating an age-independent relationship. A further consideration is the retrospective design of the study, where part of the samples were selected based on their DNA concentration, which may introduce selection bias and potentially influence the test performance. Nevertheless, the results obtained provide a strong rationale for additional prospective validation, which is currently ongoing.
In conclusion, the ASCL1/ZNF582 marker panel (PreCursor-M AnoGYN Methylation assay) shows strong diagnostic performance for detection of high-grade VIN and vulvar cancer, and comparable performance to the previously established ZNF582/SST/miR124-2 marker panel. The ability of the ASCL1/ZNF582 marker panel to distinguish clinically relevant disease from low-grade or benign lesions supports its clinical utility. Particularly, the assay may support clinical decision-making by guiding the intensity of treatment and follow-up in patients with HSIL. In HPVi-VIN, where diagnosis can be challenging, the assay may serve as an objective diagnostic aid.

Acknowledgements

The authors would like to thank Nikki B. Thuijs for her contribution to the revision of the pathology material.

Declarations

Funding

This work was funded by the Dutch Cancer Society (KWF Kankerbestrijding; grant numbers 10382 and 17009).

Conflict of interest

R.D.M. Steenbergen is a minority shareholder of Self-screen B.V., which develops, manufactures and licenses high-risk HPV and methylation marker assays and holds patents on these tests. R.D.M. Steenbergen also declares consultancy fees from AstraZeneca paid to her institution. All the other authors declare that they have no competing interests.

Availability of data and material

The data generated in this study are available upon reasonable request from the corresponding author.

Ethics approval

For the use of archived material, we adhered to the Code of Conduct for Responsible Use of Left-over Material of the Dutch Federation of Biomedical Scientific Societies. Ethical approval was granted by the Medical Ethical Committee of the Amsterdam UMC, location VUmc, for the collection and use of healthy vulvar samples (reference number 2017.626), for the collection and use of high-grade VIN, LSIL and LS samples (2017.561) and for the collection and use of vulvar cancer samples (2021.671).

Author contributions

Conceptualization: JB, RDMS and MCGB. Methodology: DCV, FR, JB, RDMS and MCGB. Formal analysis: DCV and FR. Interpretation: DCV, FR, JB, RDMS and MCGB. Investigation: SD. Supervision: RDMS and MCGB. Visualization: DCV and FR. Writing—original draft: DCV and FR. Writing—review and editing: DCV, FR, SD, JB, RDMS and MCGB. All authors read and approved the final version of the manuscript.
Not applicable.

Code availability

Not applicable.
Open Access This article is licensed under a Creative Commons Attribution-NonCommercial 4.0 International License, which permits any non-commercial use, sharing, adaptation, distribution and reproduction in any medium or format, as long as you give appropriate credit to the original author(s) and the source, provide a link to the Creative Commons licence, and indicate if changes were made. The images or other third party material in this article are included in the article's Creative Commons licence, unless indicated otherwise in a credit line to the material. If material is not included in the article's Creative Commons licence and your intended use is not permitted by statutory regulation or exceeds the permitted use, you will need to obtain permission directly from the copyright holder. To view a copy of this licence, visit http://creativecommons.org/licenses/by-nc/4.0/.
Download
Titel
Diagnostic Performance of the ASCL1/ZNF582 Methylation Test for Detection of High-Grade Vulvar Intraepithelial Neoplasia and Vulvar Cancer
Verfasst von
Dominique C. de Vries
Flavia Runello
Sylvia Duin
Johannes Berkhof
Renske D. M. Steenbergen
Maaike C. G. Bleeker
Publikationsdatum
23.01.2026
Verlag
Springer International Publishing
Erschienen in
Molecular Diagnosis & Therapy
Print ISSN: 1177-1062
Elektronische ISSN: 1179-2000
DOI
https://doi.org/10.1007/s40291-026-00831-y

Supplementary Information

Below is the link to the electronic supplementary material.
1.
Zurück zum Zitat Thuijs NB, et al. High-grade vulvar intraepithelial neoplasia: comprehensive characterization and long-term vulvar carcinoma risk. Histopathology. 2024;84(2):301–14.CrossRefPubMed
2.
Zurück zum Zitat Thuijs NB, et al. Vulvar intraepithelial neoplasia: incidence and long-term risk of vulvar squamous cell carcinoma. Int J Cancer. 2021;148(1):90–8.CrossRefPubMed
3.
Zurück zum Zitat Bleeker MC, et al. Lichen sclerosus: incidence and risk of vulvar squamous cell carcinoma. Cancer Epidemiol Biomark Prev. 2016;25(8):1224–30.CrossRef
4.
Zurück zum Zitat Voss FO, et al. Incidence and risk factors for recurrence and progression of HPV-independent vulvar intraepithelial neoplasia. J Low Genit Tract Dis. 2024;28(2):153–9.CrossRefPubMedPubMedCentral
5.
Zurück zum Zitat Preti M, et al. The European Society of Gynaecological Oncology (ESGO), the International Society for the Study of Vulvovaginal Disease (ISSVD), the European College for the Study of Vulval Disease (ECSVD) and the European Federation for Colposcopy (EFC) consensus statements on pre-invasive vulvar lesions. J Low Genit Tract Dis. 2022;26(3):229–44.CrossRefPubMedPubMedCentral
6.
Zurück zum Zitat Green N, et al. Management of vulvar cancer precursors: a survey of the International Society for the Study of Vulvovaginal Disease. J Low Genit Tract Dis. 2020;24(4):387–91.CrossRefPubMed
7.
Zurück zum Zitat Voss FO, et al. Clinical validation of methylation biomarkers for optimal detection of vulvar intraepithelial neoplasia with a high cancer risk. Int J Cancer. 2023.
8.
Zurück zum Zitat Henderson I, et al. The diagnosis and management of vulval intraepithelial neoplasia. Obstet Gynaecol. 2024;26(1):18–26.CrossRef
9.
Zurück zum Zitat Committee Opinion No. 675: management of vulvar intraepithelial neoplasia. Obstet Gynecol. 2016;128(4):e178–e182.
10.
Zurück zum Zitat Dasgupta S, et al. Histological interpretation of differentiated vulvar intraepithelial neoplasia (dVIN) remains challenging-observations from a bi-national ring-study. Virchows Arch. 2021;479(2):305–15.CrossRefPubMedPubMedCentral
11.
Zurück zum Zitat Day T, et al. Clinicopathologic diagnosis of differentiated vulvar intraepithelial neoplasia and vulvar aberrant maturation. J Low Genit Tract Dis. 2020;24(4):392–8.CrossRefPubMedPubMedCentral
12.
Zurück zum Zitat van der Zee RP, et al. Host cell deoxyribonucleic acid methylation markers for the detection of high-grade anal intraepithelial neoplasia and anal cancer. Clin Infect Dis. 2019;68(7):1110–7.CrossRefPubMed
13.
Zurück zum Zitat Dick S, et al. Clinical indications for host-cell DNA methylation markers in cervical screening and management of cervical intraepithelial neoplasia: a review. Tumour Virus Res. 2024;19:200308.CrossRefPubMedPubMedCentral
14.
Zurück zum Zitat Pulliero A, et al. The role of microRNA expression and DNA methylation in HPV-related cervical cancer: a systematic review. Int J Mol Sci. 2024. https://doi.org/10.3390/ijms252312714.CrossRefPubMedPubMedCentral
15.
Zurück zum Zitat Clifford GM, Alberts CJ. Molecular risk stratification for anal cancer prevention. Oxford: Oxford University Press; 2021. p. 2164–6.
16.
Zurück zum Zitat van der Zee RP, et al. Cancer risk stratification of anal intraepithelial neoplasia in human immunodeficiency virus–positive men by validated methylation markers associated with progression to cancer. Clin Infect Dis. 2021;72(12):2154–63.CrossRefPubMed
17.
Zurück zum Zitat Voss FO, et al. DNA methylation and p53 immunohistochemistry as prognostic biomarkers for vulvar lichen sclerosus. Mod Pathol. 2024;37(9):100553.CrossRefPubMed
18.
Zurück zum Zitat Thuijs NB, et al. DNA methylation markers for cancer risk prediction of vulvar intraepithelial neoplasia. Int J Cancer. 2021;148(10):2481–8.CrossRefPubMedPubMedCentral
19.
Zurück zum Zitat Rozemeijer K, et al. Analytical validation and diagnostic performance of the ASCL1/ZNF582 methylation test for detection of high-grade anal intraepithelial neoplasia and anal cancer. Tumour Virus Res. 2024;17:200275.CrossRefPubMed
20.
Zurück zum Zitat Becker S, et al. Non-invasive diagnosis of vulvar dysplasia using cervical methylation markers-a case control study. BMC Med. 2025;23(1):128.CrossRefPubMedPubMedCentral
21.
Zurück zum Zitat Oonk MHM, et al. European Society of Gynaecological Oncology Guidelines for the Management of Patients with Vulvar Cancer - Update 2023. Int J Gynecol Cancer. 2023;33(7):1023–43.CrossRefPubMedPubMedCentral

Kompaktes Leitlinien-Wissen Innere Medizin (Link öffnet in neuem Fenster)

Mit medbee Pocketcards schnell und sicher entscheiden.
Leitlinien-Wissen kostenlos und immer griffbereit auf ihrem Desktop, Handy oder Tablet.

Neu im Fachgebiet Innere Medizin

Vor der TAVI erst noch eine PCI?

Relevante Koronarstenosen vor einer Transkatheter-Aortenklappen-Intervention (TAVI) interventionell statt rein medikamentös zu behandeln, bietet Registerdaten zufolge einen überschaubaren klinischen Nutzen zum Preis eines erhöhten Blutungsrisikos.

Plaques bei Frauen lassen kardiovaskuläres Risiko schon früh steigen

Frauen mit stabiler Angina pectoris haben zwar in der Regel seltener und auch weniger ausgedehnte koronare Plaques als Männer; dafür steigt bei ihnen das kardiovaskuläre Risiko bereits bei geringerer Plaquebelastung deutlich an, und zwar viel steiler als bei Männern.

Beratung zu körperlichem Training kommt oft zu kurz

Bei einer Haushaltsbefragung in Deutschland gab nur gut ein Drittel der KHK-Patienten und -Patientinnen an, in der hausärztlichen Praxis umfassend zu körperlichem Training beraten worden zu sein. In manchen Personengruppen scheint das Thema besonders selten zur Sprache zu kommen.

Langzeitdaten bestätigen Nutzen der frühen Ileozökalresektion bei M. Crohn

Bei M. Crohn mit isoliertem Befall der Ileozökalregion scheint die frühzeitige chirurgische Therapie auch auf lange Sicht eine gute Alternative zu Biologika zu sein. Zehn Jahre nach der OP waren in der LIR!C-Studie noch deutlich mehr Patienten therapiefrei in Remission.

Update Innere Medizin

Bestellen Sie unseren Fach-Newsletter und bleiben Sie gut informiert.

Bildnachweise
Die Leitlinien für Ärztinnen und Ärzte, Patientin und Arzt im Gespräch/© Guillem de Balanzó / stock.adobe.com, Mann beim Rehasport unterstützt von einer Frau/© Robert Kneschke / stock.adobe.com (Symbolbild mit Fotomodell), Laparoskopische Operation/© Nekrasov / Stock.adobe.com (Symbolbild mit Fotomodellen)