Zum Inhalt

Effectiveness and Safety of Upadacitinib in Treating Oligoarticular and Polyarticular Psoriatic Arthritis: Primary Analysis from the UPJOINT-Study

  • Open Access
  • 05.11.2025
  • Original Research
Erschienen in:

Abstract

Introduction

This study aimed to investigate the effectiveness and safety of upadacitinib in patients with either oligo- or polyarticular active psoriatic arthritis (oPsA/pPsA) in routine clinical practice.

Methods

UPJOINT is a post-marketing, multicenter observational study in patients with active psoriatic arthritis (PsA), treated with upadacitinib according to local label over a period of 48 weeks. The decision for treatment initiation with upadacitinib was independent of the study participation. The study’s denominated primary endpoint was the proportion of patients achieving minimal disease activity (MDA) at week 24 under continuous treatment with upadacitinib. Furthermore, maintenance of MDA response at week 48 among those who achieved response at week 24 was evaluated. Also, very low disease activity (VLDA), and improvement of the Disease Activity Index for Psoriatic Arthritis (DAPSA) in oPsA/pPsA were further composite outcomes of interest evaluated at baseline and weeks 4, 12, 24, 36, and 48 after treatment initiation. Safety data were collected in a separate dataset using standardized operating procedures regarding the documentation of adverse events, followed by MedDRA hierarchy categorization using system organ classes.

Results

A total of 364 patients were included in the effectiveness dataset for an as-observed analysis. The proportion of patients achieving MDA increased from 3.6% (overall) at baseline, 7.1% (oPsA), and 1.3% (pPsA) to 41.5% (overall), 55.8% (oPsA), and 32.0% (pPsA) at week 24, respectively. At week 48, 47.5% of the patients with oPsA and 35.1% of the patients with pPsA achieved MDA. The proportion of MDA responders increased noticeably as early as week 4 in both subgroups (oPsA 38.4%, pPsA 16.3%). The proportion of patients achieving VLDA and DAPSA remission increased from 0% for both outcomes at baseline in patients with oPsA and pPsA to 22.2% and 14.3% and 24.2% and 14.9%, respectively, at week 48. Altogether 127 (33.3%) patients experienced 213 adverse events (AEs) with a reasonable possibility of being related to the study drug. Forty-one serious AEs were reported in 26 patients (6.8%). From the categorized AEs of particular interest, infections were most common. However, in line with previous clinical studies, no new safety signals were identified.

Conclusion

Our data confirm that the effectiveness of upadacitinib in routine clinical practice is consistent with previous phase 3 trials for the treatment of active PsA, independent of the disease phenotype. Fast treatment effects reflected MDA achievement after 4 weeks of treatment in both PsA subgroups, similar to what is known from clinical studies.

Trial Registration

NCT04758117 (ClinicalTrials.gov).

Supplementary Information

The online version contains supplementary material available at https://doi.org/10.1007/s40744-025-00802-5.
Key Summary Points
Why carry out this study?
In 2021, upadacitinib, a Janus kinase inhibitor, received approval for treating patients with psoriatic arthritis who have responded inadequately to or who are intolerant to one or more disease-modifying antirheumatic drugs.
To date, little is known about the efficacy of Janus kinase inhibitors concerning their effectiveness in treating oligo- and polyarticular psoriatic arthritis (oPsA, pPsA) as common phenotypes of psoriatic arthritis.
Particularly in oPsA, data on the effectiveness of Janus kinase inhibitors are lacking given the restrictions in clinical trials selection criteria frequently focusing on pPsA.
Here we report the final results of the UPJOINT study which aimed to investigate the achievement of minimal disease activity (MDA) and very low disease activity (VLDA) in patients with pPsA and oPsA treated with upadacitinib and followed up for 48 weeks.
What was learned from the study?
Our results highlight the effectiveness of upadacitinib in both disease phenotypes investigated in this study. By week 12 post-treatment initiation, 51.6% of the patients with oPsA and 33.7% of the patients with pPsA achieved MDA. These outcomes remained stable, with similar proportions sustained through the end of the observational period at week 48.
Regarding the evaluation of MDA/VLDA components, it was found that predominantly patient-reported components hindered patients from achieving MDA/VLDA.

Introduction

Psoriatic arthritis (PsA) is a systemic, chronic inflammatory disease typically characterized by musculoskeletal and dermal symptoms [1]. The musculoskeletal symptom domain includes peripheral arthritis, axial disease, enthesitis, and dactylitis, while dermal features usually encompass skin and nail psoriasis [2]. This variety of PsA manifestations is mirrored by the number of clinical assessment tools available to evaluate the severity of clinical symptoms and characterize the individual combination of symptoms in patients [3, 4]. The symptoms resulting from systemic inflammation in PsA critically impact patients’ private and professional lives by limiting physical activities or social participation, impairing health-related quality of life, and forcing a considerable proportion of patients to retire early [5, 6]. This factor is likely to contribute to the elevated risk of depression and anxiety in patients with PsA, which was found to be independent of disease duration [7, 8]. Another obstacle besides diagnosing PsA in the light of a heterogeneous symptom complex and the absence of disease-specific antibodies is disease phenotyping. Given its close connection to the pathogenesis of PsA, which is still far from straightforward because of the multiple factors to consider, there is no reliable framework that encompasses all the various symptoms of PsA and the role of their presence or absence for phenotyping yet [9]. However, facing a disease that is not fully understood to date, clinicians apply symptom patterns such as joint involvement—including axial or distal (interphalangeal) disease—or, as in this article, oligoarticular (oPsA) and polyarticular PsA (pPsA) to facilitate reasonable patient management. It should be kept in mind, however, that this distinction focuses exclusively on the articular facet of the musculoskeletal symptom domain. Against this background, differentiating between oPsA and pPsA is crucial, given the implications for disease management and a potential transition of the former into the latter [1, 10]. By definition, oPsA typically involves up to four (swollen) joints, often in an asymmetrical pattern that affects either small or large joints. In contrast, pPsA affects at least five joints, with either asymmetrical or symmetrical involvement, and is sometimes similar to the clinical presentation of rheumatoid arthritis [11]. According to the Classification of Psoriatic Arthritis (CASPAR) study data, pPsA is more frequent and more likely to progress aggressively, resulting in a higher risk of erosive joint damage and disability [1214]. However, recent findings in the literature suggested that oPsA may be more common than expected, reporting a proportion of 47% of the patients with PsA in a longitudinal study to show an oligoarticular pattern of joint involvement [15]. Although the recent EULAR update for the management of PsA provides an evidence-based framework for treatment by conventional synthetic, biologic, or targeted synthetic disease-modifying antirheumatic drugs (csDMARDs/bDMARDs/tsDMARDs), little is known about the effectiveness of Janus kinase inhibitors (JAKi) regarding oPsA and pPsA [16]. Upadacitinib is a selective JAKi that preferentially inhibits signaling by JAK1 or JAK1/3 with functional selectivity over cytokine receptors that signal via pairs of JAK2. It was approved in the EU for treating patients with active PsA who have responded inadequately to or are intolerant to one or more DMARDs. In the previous clinical studies of upadacitinib in patients with PsA, only patients with ≥ 3 tender and ≥ 3 swollen joints were included, reducing the likelihood of patients with oligoarticular disease being included in these studies [17, 18]. Accordingly, this final analysis of the UPJOINT study aims to evaluate the effectiveness and safety of upadacitinib for the treatment of PsA (including oPsA and pPsA) over an observational period of 48 weeks, complementing the initial findings from the previous preliminary analysis with information from the respective final datasets [15].

Methods

Patients and Study Organization

The patients included in this analysis were recruited from study sites in Germany and Canada from 4 February 2021 (first patient in) to 26 July 2023 (last patient out). The ethics committee of the Medical Faculty of the Friedrich-Alexander University of Erlangen-Nürnberg granted institutional review board approval on 8 December 2020 (# 458_20B), which was accepted by all study sites. The study is registered with the ClinicalTrials.gov database (NCT04758117) and was performed according to the declaration of Helsinki and its amendments [19]. All participating patients had to sign the informed consent form before any study-related procedures. To be eligible, patients had to meet the following criteria: (i) ≥ 18 years of age, (ii) definite diagnosis of active PsA as determined by the treating physician, (iii) at least one out of 66 joints swollen, (iv) upadacitinib treatment as per local summary of product characteristics (SmPC) in Germany and Canada (Health Canada approved product monograph), and (v) decision on the treatment with upadacitinib was made before patient participation in this study. Patients were excluded from joining the study if they met any of the following criteria: (i) previous treatment with upadacitinib, (ii) missing indication for upadacitinib treatment according to the local SmPC or product monograph, (iii) current or recent (i.e., in the last 30 days) participation in interventional research, or (iv) patients unwilling or unable to complete patient-reported questionnaires.
The UPJOINT study is an international prospective observational open-label multicenter study that includes patients with PsA treated continuously with upadacitinib over 48 weeks. The corresponding study visits were scheduled at baseline and weeks 4, 12, 24, 36, and 48. All study-related patient data were recorded in a corresponding electronic case report form (eCRF) and included demographics, clinical and patient-reported outcome measures, concomitant diseases and medication, laboratory assessments, and the documentation of adverse events (AEs) and serious adverse events (SAEs). Physicians at participating study sites decided on treatment initiation with upadacitinib upon clinical indication in shared decision-making with each patient. Patients were included consecutively without any recruiting restrictions. There was no predefined quota or corresponding stratified randomization for patient recruitment regarding PsA phenotype. AbbVie, as the study sponsor, was not involved in the treatment decision for or against upadacitinib in any way. Further details on study-related procedures have been previously published [15].

Dataset and Statistical Analysis Procedures

Two datasets containing data from baseline to week 48 were used for the underlying analysis: An effectiveness dataset for the underlying as-observed analysis and a safety dataset containing reported adverse event information gathered during the study conduct, eventually categorized following the guidelines of the Medical Dictionary for Regulatory Activities (MedDRA). The former included but was not limited to the following clinical assessments: (i) tender joint count 68/swollen count joint 66 (TJC68/SJC66) [20], (ii) body surface area affected by psoriasis (BSA) [21], (iii) the Leeds Enthesitis Index (LEI) [22], and (iv) the presence of dactylitis (yes/no) and (v) nail psoriasis (yes/no) as determined by the treating physician. The set of patient-reported outcomes included the Bath Ankylosing Disease Activity Index (BASDAI), the Health Assessment Questionnaire – Disability Index (HAQ-DI), the Dermatology Life Quality Index (DLQI), and two 0–10 numerical rating scales (NRS) assessing patient-reported overall pain (NRS pain) and global disease activity (NRS PtGA) [2325]. The achievement of minimal disease activity (MDA), very low disease activity (VLDA), maintenance of MDA of those who reached MDA at week 24 until week 48, and remission or low disease activity according to the Disease Activity Index for Psoriatic Arthritis (DAPSA) were chosen as outcomes of particular interest, with the proportion of patients achieving MDA at week 24 being the primary endpoint [2628]. Effectiveness data were analyzed on the overall intention to treat (ITT) population and by oPsA and pPsA subgroups. To meet MDA or VLDA, patients had to fulfill five out of seven or all seven of the following criteria, respectively: TJC68 ≤ 1, SJC66 ≤ 1, BSA ≤ 3%, NRS Pain ≤ 1.5 on a 0–10 scale, NRS PtGA ≤ 2 on a 0–10 scale, HAQ-DI ≤ 0.5, LEI ≤ 1 [26, 27]. For the NRS pain, an adjusted cutoff ≤ 2 was used given that the regular 0–10 NRS with increments of 1 lacks a distinct option for 1.5, which corresponds to the original definition of a value of 15 on a 0–100 scale. In an additional subgroup analysis, we descriptively compared the achievement of MDA by pre-treatment status regarding previous ts/bDMARDs and by gender. In general, the descriptive analysis includes information on absolute and relative frequencies, N (%) for nominal variables, and arithmetic mean (standard deviation) for data at least on interval level if not stated otherwise. We computed the 95% confidence intervals (95% CIs) for means to evaluate potential differences in treatment outcomes. For nominal, dichotomous variables, Clopper–Pearson exact confidence intervals were calculated. Proportional MDA changes from baseline are given by delta (Δ) values. To ensure that this manuscript is concise but still provides the necessary data for the interested reader, additional tables containing absolute and relative frequencies for each figure and 95% CIs, if mentioned in the text, are included in the supplementary materials. Missing values were not imputed to preserve the integrity of the original data. For any missing baseline data, the number of patients with valid information is provided alongside the descriptive results for each characteristic in Table 1. For effectiveness data, unless stated otherwise, percentage calculations are based on the total number of patients achieving the underlying criterion at the respective study visit, including patients with missing data. Safety data include the total number of events in the respective category (Ne) and the number of patients (Np [%]) being documented as having an event falling into the corresponding category. Statistical analyses and data visualization were conducted using SAS (Version 9.4, Cary, NC, USA), R (Version 4.4.0), and RStudio (Version 2024.04.1 + 748) [2931].
Table 1
Baseline sample characteristics
 
Total sample (N = 364)
oPsA (N = 141)
pPsA (N = 223)
Age
53.9 (11.8)
52.3 (12.0)
54.9 (11.6)
Disease duration (years)
8.2 (8.5) | 350
7.0 (7.0) | 137
9.1 (9.3) | 213
Gender (female)
241 (66.2%)
92 (65.2%)
149 (66.8%)
MDA
13 (3.6%) | 361
10 (7.1%) | 139
3 (1.3%) | 222
VLDA
0 (0%)
0 (0%)
0 (0%)
DAPSA
29.7 (15.9) | 354
19.1 (6.4) |138
36.4 (16.5) | 216
ESR (mm/1st hour)
18.3 (17.5) | 256
18.3 (16.0) | 101
18.4 (18.4) | 155
CRP (mg/dl)
1.1 (2.6) |361
0.8 (1.3)
1.4 (3.1) | 220
SJC66
6.3 (5.4)
2.1 (1.1)
8.9 (5.4)
TJC68
10.1 (9.9)
4.7 (4.8)
13.5 (10.7)
BSA %
2.9 (5.8)
3.0 (6.5)
2.9 (5.4)
LEI
1.1 (1.7)
0.8 (1.4)
1.3 (1.8)
Presence of enthesitis
141 (38.7%)
46 (32.6%)
95 (42.6%)
Presence of dactylitis
59 (16.2%)
17 (12.1%)
42 (18.8%)
Presence of nail psoriasis
109 (29.9%)
37 (26.2%)
72 (32.3%)
Nail psoriasis affecting ≥ 3 digits
64 (17.6%)
23 (16.3%)
41 (18.4%)
NRS PtGA (0–10)
5.9 (2.6) | 358
5.5 (2.5) | 139
6.2 (2.6) | 219
HAQ-DI
1.2 (0.7) | 357
1.0 (0.7) | 138
1.3 (0.7) | 219
DLQI
7.0 (7.0) | 321
7.3 (7.0) | 126
6.8 (7.0) | 195
Previous csDMARDs/GC (pre-therapy)
319 (87.6%)
120 (85.1%)
199 (89.2%)
Previous csDMARDs/GC (until baseline)
240 (65.9%)
86 (61.0%)
154 (69.1%)
Previous bDMARDs/tsDMARDs (pre-therapy)
259 (71.2%)
100 (70.9%)
159 (71.3%)
Previous bDMARDs/tsDMARDs (until baseline)
200 (54.9%)
76 (53.9%)
124 (55.6%)
Previous MTX (pre-therapy)
272 (74.7%)
109 (77.3%)
163 (73.1%)
Previous MTX (until baseline)
165 (45.3%)
57 (40.4%)
108 (48.4%)
Data are presented as mean (SD) for quantitative data and n (%) for nominal data, with additional information representing the sample size regarding valid data (| nvalid) in case of missing values
BASDAI Bath Ankylosing Spondylitis Disease Activity Index, b/cs/tsDMARDs biological/conventional synthetic/targeted synthetic disease-modifying antirheumatic drugs, BSA body surface area, CRP C-reactive protein, DAPSA Disease Activity Index for Psoriatic Arthritis, DLQI Dermatology Life Quality Index, ESR erythrocyte sedimentation rate, GC glucocorticoids, HAQ-DI Health Assessment Questionnaire – Disability Index, LEI Leeds Enthesitis Index, MDA minimal disease activity, MTX methotrexate, NRS numerical rating scale, PtGA Patient’s Global Assessment of Disease Activity, SF-12 Short Form 12, TJC68/SJC66 tender joint count/swollen joint count including 68/66 joints, VLDA very low disease activity, pre-therapy includes all therapies of the corresponding drug class prescribed previously, until baseline refers to the last therapy of the corresponding drug class administered before baseline

Results

Baseline Patients’ Characteristics

A total of 364 patients (NoPsA = 141, NpPsA = 223) with available baseline visit data were included in the effectiveness dataset (N = 364 at week 4, N = 361 at week 12, N = 344 at week 24, N = 329 at week 36, and N = 261 at week 48). Baseline characteristics for the total sample and oPsA/pPsA subgroups are presented in Table 1. At baseline, the overall mean age and disease duration were 53.9 (11.8) and 8.2 (8.5) years, with a female patient proportion of 66.2%. With regard to PsA phenotypes, average age and disease duration were 52.3 (12.0) and 7.0 (7.0) years for oPsA and 54.9 (11.6) and 9.1 (9.3) years for pPsA, respectively. The proportion of female patients was roughly two-thirds in both subgroups (NoPsA = 92 [65.2%], NpPsA = 149 [66.8%]). At baseline, 13 out of 364 patients (3.6%) presented with MDA, i.e., 10 of 141 (7.1%) in oPsA and 3 of 223 (1.3%) in pPsA. There were no patients fulfilling VLDA criteria at study entry. Concerning the DAPSA, mean values were 19.1 (6.4) and 36.4 (16.5) for oPsA and pPsA, respectively, suggesting a moderate to high (19.1) and high to very high (36.4) disease activity. The average BSA affected by psoriasis was similar between the two subgroups, with 3.0% (6.5) for oPsA and 2.9% (5.4) for pPsA. This result was also found for mean LEI scores suggesting enthesitis at one anatomical location, on average (oPsA 0.8 [1.4], pPsA 1.3 [1.8]). The proportion of patients with nail psoriasis (oPsA 26.2%, pPsA 32.3%) and dactylitis (oPsA 12.1%, pPsA 18.8%) was numerically higher in the pPsA subgroup. Nail psoriasis affecting ≥ 3 digits was reported in 16.3% (oPsA) and 18.4% (pPsA) of the patients, respectively. As reflected by the DLQI, dermal symptoms had a moderate impact on patients’ quality of life, with average scores of 7.3 (7.0) and 6.8 (7.0). In view of the treatment history for patients in both subgroups, more than 85% of the study participants had been treated with csDMARDs or glucocorticoids before participating in this study, with 73.1% (pPsA) and 77.3% (oPsA) having been treated with methotrexate (MTX) previously. Interestingly, the proportion of patients previously given either bDMARDs or tsDMARDs was similar in oPsA and pPsA, exceeding 70% in both subgroups.

Proportion of Patients Achieving MDA/VLDA

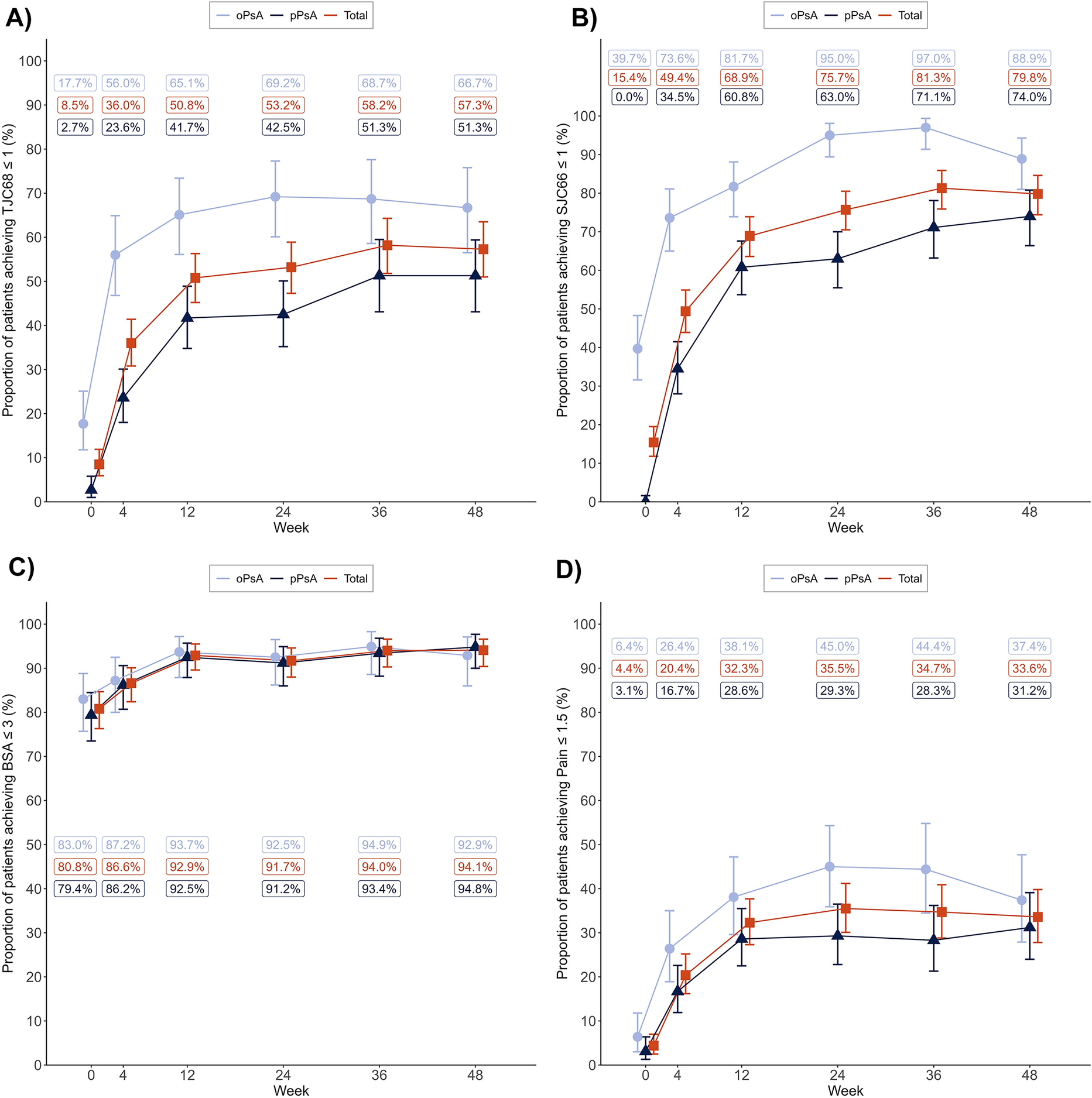
The proportion of patients achieving MDA at week 24 was 41.5% in the overall sample (∆ overall = 37.9%), 55.8% [95% CI 46.5–64.9] in the oPSA population (∆ oPsA = 48.7%), and 32.0% [95% CI 25.3–39.4]) in the pPsA population (∆ pPsA = 30.7%) (Fig. 1a, Supplementary Table 1). Among patients who achieved MDA at week 24, MDA response was maintained in 72.1% (overall), 70.4% (oPsA), and 70.4% (pPsA). Compared to baseline, the percentage of patients in MDA after upadacitinib initiation improved noticeably as early as week 4, with proportions increasing from 7.1% to 38.4% in oPsA and 1.3% to 16.3% in pPsA. By week 12, the proportion of patients achieving MDA were close to the maximum values reached in both subgroups (oPsA 51.6%, pPsA 33.7%), peaking at week 24 for oPsA (55.8%), and at week 36 for pPsA (35.5%). As for the total patient sample, from week 12 onward, MDA proportions remained stable within each subgroup throughout week 48. Between-subgroup comparisons showed higher MDA rates in patients with oligoarticular disease compared to the ones with polyarticular disease from week 4 to week 36, with proportions converging again between weeks 36 and 48. The proportion of patients with oPsA achieving VLDA increased steadily, from 0% at baseline to 28.3% at week 24, ultimately slightly decreasing to 22.2% by week 48. The VLDA pattern for pPsA also indicated a steady increase from baseline to week 12 and 24 with maintenance until week 48 (14.3%) (Fig. 1b, Supplementary Table 1). Additional analyses regarding MDA achievement by gender and previous ts/bDMARD treatment can be found in the supplemental material of this manuscript (Supplementary Figs. 1a, b; Supplementary Table 2). In summary, these analyses suggested temporal differences in MDA proportions between patients with pPsA previously given ts/bDMARDs and patients with oPsA, irrespective of pre-treatment status. These differences were most pronounced between pre-treated patients with pPsA and oPsA at the week 4, 24, and 36 study visits, and between the former and ts/bDMARD-naïve patients with oPsA at the week 4, 12, and 24 study visits, respectively.
Fig. 1
a Proportion of patients achieving a minimal disease activity (MDA) and b very low disease activity (VLDA) criteria during the observational period. Error bars represent 95% confidence intervals (CIs). Further data, including absolute numbers and 95% CIs, are provided in Supplementary Table 1. MDA—Five of the following seven criteria are fulfilled: tender joint count ≤ 1; swollen joint count ≤ 1; Psoriasis Area and Severity Index ≤ 1 or body surface area ≤ 3%; patient pain visual analog score (VAS 0–100) ≤ 15; patient global disease activity (VAS 0–100) ≤ 20; Health Assessment Questionnaire – Disability Index (HAQ-DI) ≤ 0.5; tender entheseal points ≤ 1. VLDA—All of the seven aforementioned criteria are fulfilled
Bild vergrößern

Evaluation of MDA/VLDA Single Components

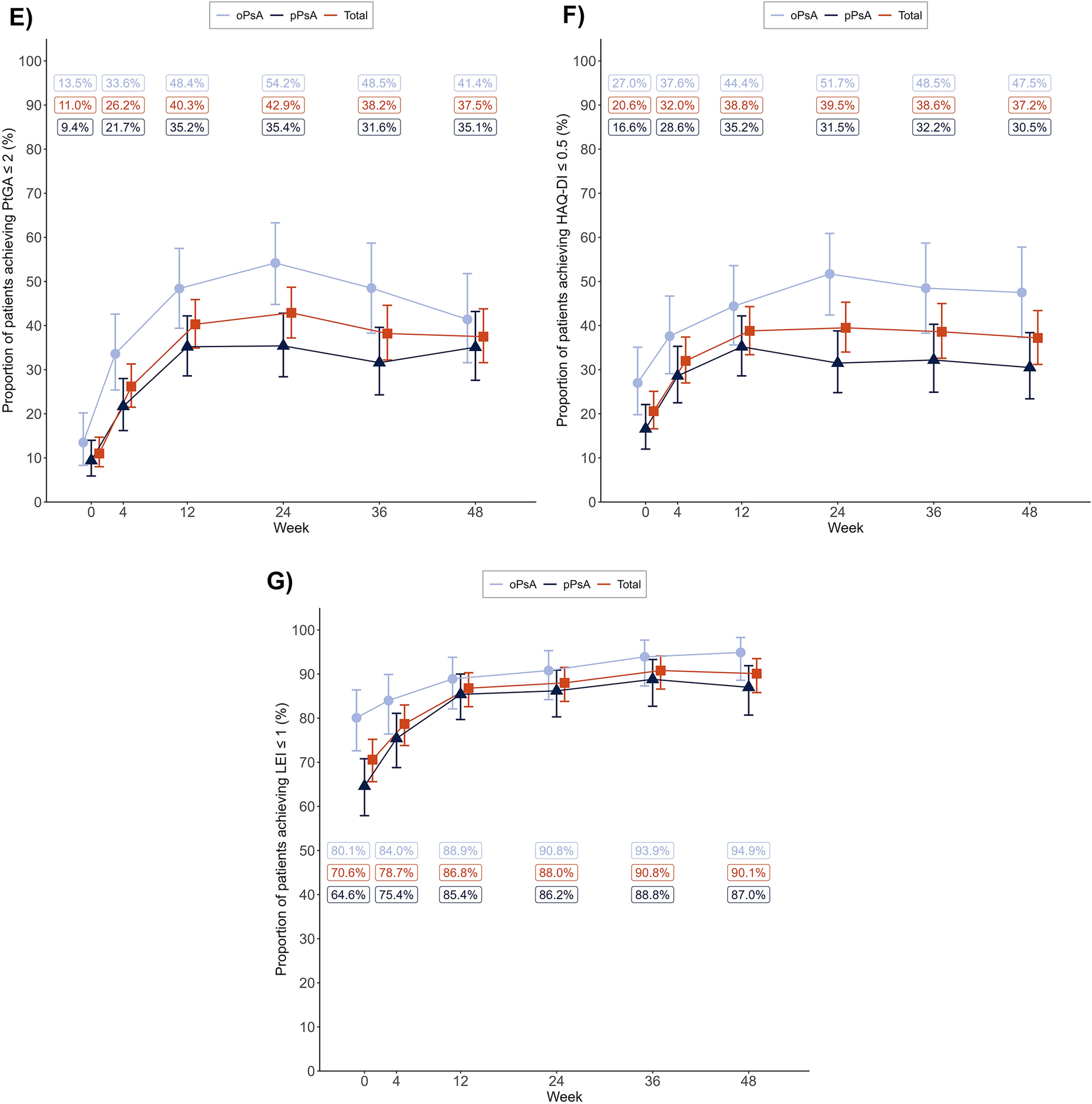
In view of MDA/VLDA single components, our results showed that TJC68 ≤ 1, SJC66 ≤ 1, BSA ≤ 3%, and LEI ≤ 1 were achieved by the majority of patients in the overall patient sample as well as in the oPsA and pPsA subgroups at week 48 (Fig. 2a–g, Supplementary Table 3). In oPsA, the proportion of patients achieving LEI ≤ 1 at the end of the observational period was the highest across all MDA components (94.9%), followed by BSA ≤ 3% (92.9%), SJC66 ≤ 1 (88.9%), and TJC68 ≤ 1 (66.7%). The pattern for patients with pPsA was similar with switched positions for BSA and LEI at week 48: BSA ≤ 3% (94.8%), LEI ≤ 1 (87.0%), SJC66 ≤ 1 (74.0%), and TJC68 ≤ 1 (51.3%). Except for baseline, 95% CIs indicated that results for BSA ≤ 3% and LEI ≤ 1 were comparable over time between PsA phenotypes. Differences in proportions of patients achieving TJC68 ≤ 1 and SJC66 ≤ 1 were more common, with the latter showing differences in subgroup results over the whole observational period. The remaining patient-reported MDA/VLDA components for NRS Pain ≤ 1.5, NRS PtGA ≤ 2, and HAQ-DI ≤ 0.5 revealed that less than 50% of the patients met the corresponding criterion at week 48. However, considering the changes from baseline for the study period, all of these patient-reported criteria improved noticeably, as can be seen from the non-overlapping 95% CIs at baseline and week 48 (Fig. 2d–f, Supplementary Table 3). Except for BSA ≤ 3% and LEI ≤ 1 in patients with oPsA, where a relatively high proportion of patients achieved these components at baseline, all single components showed symptom alleviation by week 12, with results maintained throughout week 48 in both subgroups, as reflected by the respective 95% CIs.
Fig. 2
Proportion of patients achieving single components of minimal disease activity (MDA) and very low disease activity (VLDA) criteria. a TJC68 ≤ 1, b SJC66 ≤ 1, c BSA ≤ 3, d Pain NRS ≤ 1.5, e PtGA ≤ 2, f HAQ-DI ≤ 0.5, g LEI ≤ 1. Error bars represent 95% confidence intervals (CIs). Further data, including absolute numbers and 95% CIs, are provided in Supplementary Table 3. BSA, body surface area; DAPSA, Disease Activity Index for Psoriatic Arthritis; DLQI, Dermatology Life Quality Index; HAQ-DI, Health Assessment Questionnaire – Disability Index; LEI, Leeds Enthesitis Index; NRS, numerical rating scale; PtGA, Patient’s Global Assessment of Disease Activity; TJC68/SJC66, tender joint count/swollen joint count including 68/66 joints
Bild vergrößern Bild vergrößern

Achievement of DAPSA Remission and Low Disease Activity (DAPSA LDA)

Although the proportion of patients with DAPSA remission increased steadily in patients with pPsA and was maintained between weeks 24 and 48 in oPsA, remission in the latter was ultimately more frequent (24.2% vs. 14.9%)—a pattern of results also seen from week 4 onward (Fig. 3a, b; Supplementary Table 4). If taken together, the cumulative proportion of patients either in remission or having LDA accounted for more than 60% of the oPsA subgroup from the week 4 visit throughout week 48. Corresponding findings for pPsA revealed at least 50% of the patients achieve remission/LDA as early as week 12. At the end of the observational period, 1 out of 99 (1.0%) patients with oPsA still had high disease activity, while that was the case for 13 out of 154 (8.4%) in the pPsA subgroup. Thus, patients with high disease activity decreased from 15 to 1 in oPsA and from 147 to 13 in pPsA.
Fig. 3
Proportional distribution of DAPSA categories during the observational period for a oligoarticular PsA, b polyarticular PsA. Remission, DAPSA ≤ 4; low disease activity (LDA), 4 < DAPSA ≤ 14; moderate disease activity (moDA), 14 < DAPSA ≤ 28; high disease activity (HDA), DAPSA > 28. DAPSA, Disease Activity Index for Psoriatic Arthritis; oPsA, oligoarticular psoriatic arthritis; pPsA, polyarticular psoriatic arthritis
Bild vergrößern

Improvement of Dactylitis, Enthesitis, Nail Psoriasis, and Quality of Life

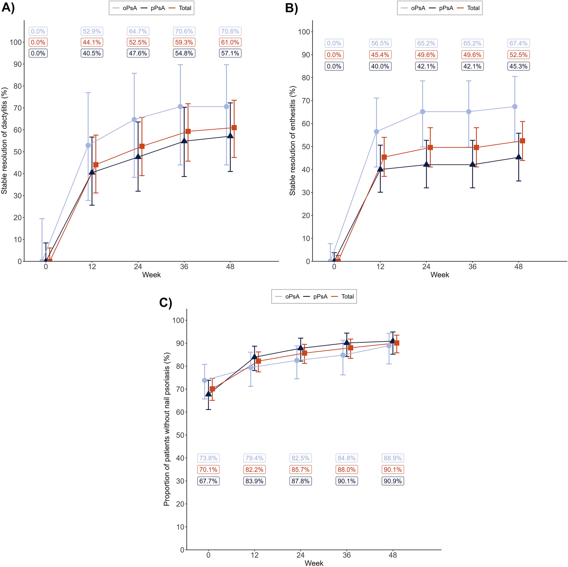
At study entry, enthesitis (38.7%) was more common than dactylitis (16.2%) in the overall sample (Table 1). Forty-seven of these 59 patients (79.7%) presenting with initial dactylitis showed a symptom resolution during the observational period, with the majority (61.0%) being considered dactylitis-free by week 12. There was no recurrence of dactylitis in patients who were dactylitis free at week 12 for the remaining study period (week 48) in 36 out of 47 (76.6%) patients. Concerning PsA phenotypes, the proportion of patients with dactylitis at baseline in pPsA (42/223 [18.8%]) and oPsA (17/141 [12.1%]) differed slightly, with cumulative permanent resolution rates between subgroups differing by 13.5% points (oPsA 70.6%, pPsA 57.1%) at week 48 (Fig. 4a, Supplementary Table 5). Although baseline enthesitis was reported in more than double the number of patients than initial dactylitis, the proportion of patients with enthesitis resolution was similar to the findings obtained for dactylitis (110/141 [78.0%]). Again, most patients, i.e., 85.5%, experienced symptom resolution by week 12, with 74 out of 110 (67.3%) having stable resolution. As for dactylitis, enthesitis was somewhat more common in pPsA (95/223 [42.6%]) than in oPsA (46/141 [32.6%]), with cumulative stable resolution rates between the two subgroups differing by 22.1% points in favor of oPsA (oPsA 67.4%, pPsA 45.3%) at the end of the observational period (Fig. 4b, Supplementary Table 5).
Fig. 4
Improvement of dactylitis, enthesitis, and nail psoriasis by physician’s evaluation. a Cumulative proportion of patients with stable resolution of dactylitis, b cumulative proportion of patients with stable resolution of enthesitis, c proportion of patients without nail psoriasis. In a and b, percentage numbers refer to the cumulative proportion of patients with stable resolution referring to the number of patients with dactylitis/enthesitis at baseline. Error bars represent 95% confidence intervals (CIs). Further data, including absolute numbers and 95% CIs, are provided in Supplementary Table 5
Bild vergrößern
Concerning the proportion of patients without nail psoriasis, the corresponding numbers increased from baseline (oPsA 73.8%, pPsA 67.7%) to week 48 by 15.1% and 23.2% (oPsA 88.9%, pPsA 90.9%), respectively, with confidence intervals reflecting a considerable improvement from baseline by the end of the study (Fig. 4c, Supplementary Table 5). Aligning with the findings for nail psoriasis, average DLQI values improved as well (oPsA DLQIBL 7.3 [7.0], oPsA DLQIweek48 3.8 [5.3]; pPsA DLQIBL 6.8 [7.0]; pPsA DLQIweek48 4.5 [5.8]).

Safety

Results from the safety dataset containing documented AEs during the study showed 211 (55.4%) patients reporting 483 AEs (Table 2). Ninety-five patients (24.9%) discontinued upadacitinib because of an AE, and 127 (33.3%) patients experienced 213 AEs with a reasonable possibility of being related to the study drug. Forty-one SAEs were reported in 26 patients (6.8%). From the categorized AEs of particular interest, infections were most common (Ne = 125, Np = 94 [24.7%]), followed by gastrointestinal disorders (Ne = 53, Np = 37 [9.7%]), skin disorders (Ne = 31, Np = 28 [7.4%]), weight increase (Ne = 8, Np = 7 [1.8%]), and malignancies (Ne = 4, Np = 4 [1.1%]). The reported malignancies were basal cell carcinoma (Ne = 2, Np = 2 [0.5%]), lung neoplasm (Ne = 1, Np = 1 [0.3%]), and another non-defined neoplasm (Ne = 1, Np = 1 [0.3%]). Among the infections reported, opportunistic and serious infections were most common (Ne = 86, Np = 63 [16.5%]), whereas coronavirus disease (COVID-19) was the most common specific infection reported (Ne = 36, Np = 35 [9.2%]). Notably, there were no reported AEs concerning venous thromboembolism (VTE) or major adverse cardiovascular events (MACE) (Table 2).
Table 2
Categorized safety information on adverse and serious adverse events
 
Total sample
Total sample (N = 381)
oPsA
oPsA (N = 149)
pPsA
pPsA (N = 232)
Ne
NP (%)
Ne
NP (%)
Ne
NP (%)
AE (any)
483
211 (55.4%)
229
91 (61.1%)
254
120 (51.7%)
SAE (any)
41
26 (6.8%)
20
10 (6.7%)
21
16 (6.9%)
AEs leading to discontinuation of the study drug
143
95 (24.9%)
68
36 (24.2%)
75
59 (25.4%)
AEs possibly related to study drug intake
213
127 (33.3%)
101
56 (37.6%)
112
71 (30.6%)
Infections and infestations
125
94 (24.7%)
51
38 (25.5%)
74
56 (24.1%)
 COVID-19
36
35 (9.2%)
16
15 (10.1%)
20
20 (8.6%)
 Herpes zoster
1
1 (0.3%)
0
0 (0%)
1
1 (0.4%)
 Opportunistic and serious infections
86
63 (16.5%)
29
20 (13.4%)
57
43 (18.5%)
Gastrointestinal disorders
53
37 (9.7%)
34
21 (14.1%)
19
16 (6.9%)
Skin and subcutaneous tissue disorders
31
28 (7.4%)
15
14 (9.4%)
16
14 (6.0%)
 Acne
5
4 (1.1%)
1
1 (0.7%)
4
3 (1.3%)
Weight increase
8
7 (1.8%)
6
5 (3.4%)
2
2 (0.9%)
Abnormal liver function
1
1 (0.3%)
1
1 (0.7%)
0
0 (0%)
VTEs
0
0 (0%)
0
0 (0%)
0
0 (0%)
MACE
0
0 (0%)
0
0 (0%)
0
0 (0%)
Malignancies
4
4 (1.1%)
1
1 (0.7%)
3
3 (1.3%)
AE adverse event, COVID-19 coronavirus disease, MACE major adverse cardiovascular event, Ne number of events, Np number of patients with event, SAE serious adverse event, VTE venous thromboembolism

Discussion

UPJOINT is the first prospective study investigating the use of upadacitinib in patients with active PsA and inadequate response to previous antirheumatic treatment in a routine clinical practice setting. In this analysis, we investigated the real-world effectiveness and safety of upadacitinib over a treatment period of 48 weeks with a scope of the former on MDA and VLDA. Concerning the achievement of MDA and VLDA, upadacitinib demonstrated effectiveness in patients with PsA and, irrespective of the underlying PsA phenotype, with substantial improvements in MDA/VLDA response as early as week 4. By week 12, near-peak effectiveness levels were reached—an effect maintained throughout week 48 in the overall sample and both PsA subgroups. Consequently, previous results highlighting the effectiveness of upadacitinib could be confirmed with MDA outcomes after 24 weeks of treatment for the overall patient sample (41.5% [95% CI 35.9–47.3%]) being comparable to the findings obtained from the SELECT-PsA 1 study (36.6% [95% CI 31.6–41.7%]) including patients with inadequate response to previous non-biological therapy [17, 32]. MDA proportions after 24 weeks of upadactinib treatment in the SELECT-PsA 2 clinical trial, including patients with refractory PsA to previous bDMARD treatment, showed slightly lower numbers compared to our findings (25.1% [95% CI 19.3–31.0%]) [18]. Even though approximately 70% of the patients in our study previously received ts/bDMARDs, this finding is conceivable given that in the SELECT-PsA 2 trial, only patients with inadequate response or intolerance to at least one bDMARD (11.3–16.1% failed ≥ 3 bDMARDs) were included. Data on DAPSA remission and DAPSA LDA reflected MDA/VLDA response accordingly, with a substantial proportion of patients migrating from initially moderate or high disease categories to LDA or even remission. However, with MDA/VLDA and DAPSA referring to the joint status regarding tenderness and swelling, it is unsurprising that results for pPsA were numerically lower than those obtained for oPsA throughout the observational period. Interestingly, considering the single symptom domains of MDA and VLDA criteria, results for TJC68 ≤ 1, SJC66 ≤ 1, NRS Pain ≤ 1.5, and NRS PtGA ≤ 2 revealed a characteristic pattern for oPsA and pPsA with curves initially diverging until week 24 before converging again until the end of the study. This effect is also found for MDA/VLDA response, leading to differences between oPsA and pPsA regarding primary endpoint achievement (i.e., MDA at week 24) before ultimately resulting in comparable findings at week 48. A conceivable explanation for this observation is that even though there is a rapid response in patients with pPsA as a result of the higher number of joints involved, the initial improvements, for instance, regarding TJC68 ≤ 1 and SJC66 ≤ 1, are easier to achieve in oPsA which, combined with a rapid response in the latter, resulted in better findings in the first 36 weeks of the study. At the same time, some patients with oPsA, having experienced rapid effectiveness in the first half of the observational period, may lose MDA/VLDA status in the second half. Besides tolerance effects, this finding may also be attributed to several other factors, such as lack of adherence once symptoms ameliorated, side effects of medication intake, comorbidities, subclinical inflammation contributing to flare-ups, stress, or lifestyle factors [3335]. Keeping in mind these points to address the loss of formerly achieved treatment goals is crucial for successful patient management and trustful physician–patient communication in clinical practice. In this context, patient-reported components of MDA/VLDA response also need to be considered, with previous findings highlighting these domains frequently separating MDA responders from non-responders [36]. Our findings confirm this issue by fewer patients achieving NRS Pain ≤ 1.5, NRS PtGA ≤ 2, or HAQ-DI ≤ 0.5 compared to the other MDA/VLDA components. This outcome may be attributed to the different perspectives of patients and physicians on PsA and the fact that these patient-reported outcomes may also be influenced by comorbidities and other factors besides PsA [37]. One feature that can be excluded as an explanation in this context is gender, with treatment responses of male and female patients in the context of MDA achievement being similar over the whole study period, lending support to upadacitinib being effective irrespective of immune or hormonal mechanisms determined by sex. Given the real-world clinical environment, UPJOINT patients have a variety of previous and concurrent antirheumatic therapies, with the role and impact of combining csDMARDs with a JAKi in PsA remaining to be investigated in terms of efficacy and safety. In particular, this also extends to the effect of previous ts/bDMARD therapy on the efficacy and persistence of upadacitinib.
As can be seen from the safety data, no new safety signals were found for using upadacitinib in this study. Importantly, given the sample size and the observation period of this study, no cases of MACE or VTE were reported. Further limitations of the generalizability of our findings may be due to the study’s observational nature, resulting in a potential selection bias of patients at the participating study sites and no data collected on the type of previous ts/bDMARD failure (primary vs secondary). Another point is that PsA phenotyping was conducted at baseline, not considering a potential transition from an oligoarticular to a polyarticular pattern of joint involvement (or vice versa) while participating in the study [10]. Furthermore, imaging techniques for objective detection of inflammation, such as ultrasound or MRI, were not included as study endpoints and thus were not collected in order to adhere to local data privacy legislation concerning data minimization. As a result, it is still debatable whether the observed MDA/VLDA achievements in our patient sample are adequately reflected by reduced inflammatory activity if the previously mentioned imaging techniques were included as additional measures of effectiveness. In the future, it remains to be seen how PsA phenotyping will evolve. Yet, it seems questionable to what extent it will be determined by the pattern of joints affected, by imaging features in combination with gene expression, by pattern recognition in the multiple PsA symptom domains using machine learning, or by a combination of some or all of the above [38, 39]. Most importantly, all of these approaches will hopefully support the future application of tailored medicine for individuals diagnosed with PsA. In this context, upadacitinib can be considered an efficacious treatment option in clinical practice.

Conclusion

The results presented have demonstrated the effectiveness of upadacitinib in achieving treatment goals such as MDA, VLDA, DAPSA remission, and DAPSA LDA in patients with active PsA over a treatment period of 48 weeks in clinical routine. These improvements were demonstrated irrespective of the PsA phenotype. The study-related safety data did not indicate any new relevant signals.

Acknowledgements

The authors thank all patients, study sites, and investigators who participated in this clinical trial.

Medical Writing/Editorial Assistance

Statistical analysis support was provided by Daniela Adolf and Maria Kabelitz from StatConsult GmbH, which was funded by AbbVie. Medical writing support was provided by Matthias Englbrecht, which was funded by AbbVie.

Declarations

Conflict of Interest

Stephanie Gabriele Werner: has received grant/research support from Pfizer; consulting fees from AbbVie, Janssen-Cilag, Lilly, Novartis, Pfizer, and UCB Pharma; speakers’ bureau fees from AbbVie, Lilly, Pfizer, and UCB Pharma. Ilka Schwarze: has received consulting fees and/or honoraria from AbbVie. Xenofon Baraliakos: has received grant/research support from AbbVie and Novartis; consulting fees from AbbVie, BMS, Chugai, MSD, Novartis, Pfizer, and UCB Pharma; speakers’ bureau fees from AbbVie, BMS, Celgene, Chugai, Merck, Novartis, Pfizer, and UCB Pharma; and is an editorial board member of the Annals of Rheumatic Diseases, the ASAS President, and the EULAR President-elect. Michael Fiene: has received consulting fees and/or honoraria from AMGEN, Janssen-Cilag, Novartis, Pfizer, Celltrion, Alfasigma and UCB. Jochen Walter: has received consulting fees and/or honoraria from AbbVie, Fraunhofer Institute, Gilead, GSK, Janssen-Cilag, Medac, Novartis, and Pfizer. Louis Bessette: has received grant/research support from AbbVie, Amgen, BMS, Celgene, Gilead, JAMP Pharma, Janssen, Lilly, Novartis, Pfizer, Sanofi, and UCB; consulting fees from AbbVie, Amgen, BMS, Fresenius Kabi, JAMP Pharma, Janssen, Lilly, Novartis, Organon, Pfizer, Sandoz, Sanofi, Teva, and UCB; and speakers’ bureau fees from AbbVie, Amgen, BMS, Fresenius Kabi, JAMP Pharma, Janssen, Lilly, Novartis, Organon, Pfizer, Sandoz, Sanofi, Teva, and UCB. Hugues Allard-Chamard: has received grant/research support from Fresenius Kabi, Lilly, and Pfizer; consulting fees from AbbVie, Amgen, AstraZeneca, BMS, Celltrion, GSK, Hoffmann-La Roche, Janssen, Lilly, Novartis, Pfizer, Sandoz, Sobi, and UCB; and speakers’ bureau fees from AbbVie, Amgen, AstraZeneca, BMS, Celltrion, Hoffmann-La Roche, Fresenius Kabi, GSK, Janssen, Lilly, Mantra Pharma, Novartis, Pfizer, Sandoz, Sobi, and UCB. Marie-Claude Laliberte, Tanya Girard, Katharina Jeromin, and Nikola Baschuk are employees of AbbVie Corporation and may own AbbVie stocks and/or options. Axel J Hueber: has received consultancy or speaker honoraria from AbbVie, Galapagos, Lilly, Novartis, and UCB and received funding for investigator-initiated studies from Galapagos and Novartis. Axel J Hueber consultant or speaker: Abbvie, BMS, Eli Lilly, Galapagos, Gilead, Novartis, UCB; Funding for investigator-initiated studies: Novartis.

Ethical Approval

The ethics committee of the Medical Faculty of the Friedrich-Alexander University of Erlangen-Nürnberg granted institutional review board approval on 8 December 2020 (# 458_20B), which was accepted by all study sites. The study is registered with the ClinicalTrials.gov database (NCT04758117) and was performed according to the declaration of Helsinki and its amendments [19]. All participating patients had to sign the informed consent form before any study-related procedures.
Open Access This article is licensed under a Creative Commons Attribution-NonCommercial 4.0 International License, which permits any non-commercial use, sharing, adaptation, distribution and reproduction in any medium or format, as long as you give appropriate credit to the original author(s) and the source, provide a link to the Creative Commons licence, and indicate if changes were made. The images or other third party material in this article are included in the article's Creative Commons licence, unless indicated otherwise in a credit line to the material. If material is not included in the article's Creative Commons licence and your intended use is not permitted by statutory regulation or exceeds the permitted use, you will need to obtain permission directly from the copyright holder. To view a copy of this licence, visit http://creativecommons.org/licenses/by-nc/4.0/.
Download
Titel
Effectiveness and Safety of Upadacitinib in Treating Oligoarticular and Polyarticular Psoriatic Arthritis: Primary Analysis from the UPJOINT-Study
Verfasst von
Stephanie Gabriele Werner
Ilka Schwarze
Xenofon Baraliakos
Michael Fiene
Jochen Walter
Tanya Girard
Marie-Claude Laliberté
Katharina Jeromin
Nikola Baschuk
Hugues Allard-Charmard
Louis Bessette
Axel J. Hueber
Publikationsdatum
05.11.2025
Verlag
Springer Healthcare
Erschienen in
Rheumatology and Therapy / Ausgabe 1/2026
Print ISSN: 2198-6576
Elektronische ISSN: 2198-6584
DOI
https://doi.org/10.1007/s40744-025-00802-5

Supplementary Information

Below is the link to the electronic supplementary material.
1.
Zurück zum Zitat Gladman DD, Antoni C, Mease P, Clegg DO, Nash P. Psoriatic arthritis: epidemiology, clinical features, course, and outcome. Ann Rheum Dis. 2005;64(Suppl 2):ii14–17.
2.
Zurück zum Zitat Coates LC, Soriano ER, Corp N, et al. Group for Research and Assessment of Psoriasis and Psoriatic Arthritis (GRAPPA): updated treatment recommendations for psoriatic arthritis 2021. Nat Rev Rheumatol. 2022;18(8):465–79.
3.
Zurück zum Zitat Mease PJ. Measures of psoriatic arthritis: tender and swollen joint assessment, Psoriasis Area and Severity Index (PASI), Nail Psoriasis Severity Index (NAPSI), Modified Nail Psoriasis Severity Index (mNAPSI), Mander/Newcastle Enthesitis Index (MEI), Leeds Enthesitis Index (LEI), Spondyloarthritis Research Consortium of Canada (SPARCC), Maastricht Ankylosing Spondylitis Enthesis Score (MASES), Leeds Dactylitis Index (LDI), Patient Global for Psoriatic Arthritis, Dermatology Life Quality Index (DLQI), Psoriatic Arthritis Quality of Life (PsAQOL), Functional Assessment of Chronic Illness Therapy-Fatigue (FACIT-F), Psoriatic Arthritis Response Criteria (PsARC), Psoriatic Arthritis Joint Activity Index (PsAJAI), Disease Activity in Psoriatic Arthritis (DAPSA), and Composite Psoriatic Disease Activity Index (CPDAI). Arthritis Care Res. 2011;63(Suppl 11):S64-85.
4.
Zurück zum Zitat Fassio A, Matzneller P, Idolazzi L. Recent advances in imaging for diagnosis, monitoring, and prognosis of psoriatic arthritis. Front Med (Lausanne). 2020;7:551684. https://doi.org/10.3389/fmed.2020.551684.
5.
Zurück zum Zitat Rodrigues J, Rodrigues AM, Dias SS, Sousa RD, Branco JC, Canhão H. Psoriatic arthritis and ankylosing spondylitis impact on health-related quality of life and working life: a comparative population-based study. Acta Reumatol Port. 2019;44(4):254–65.PubMed
6.
Zurück zum Zitat Lindqvist U, Gudbjornsson B, Iversen L, et al. Disease activity in and quality of life of patients with psoriatic arthritis mutilans: the Nordic PAM Study. Scand J Rheumatol. November 2017;46(6):454–60.
7.
Zurück zum Zitat Zhao SS, Miller N, Harrison N, Duffield SJ, Dey M, Goodson NJ. Systematic review of mental health comorbidities in psoriatic arthritis. Clin Rheumatol. 2020;39(1):217–25.CrossRefPubMed
8.
Zurück zum Zitat Kılıç G, Kılıç E, Tekeoğlu İ, et al. Beyond expectations: disease duration and psychological burden in psoriatic arthritis. Rheumatol Int. 2023;43(9):1695–704.
9.
Zurück zum Zitat Azuaga AB, Ramírez J, Cañete JD. Psoriatic arthritis: pathogenesis and targeted therapies. Int J Mol Sci. 2023;24(5):4901.CrossRefPubMedPubMedCentral
10.
Zurück zum Zitat Gladman DD, Ye JY, Chandran V, Lee KA, Cook RJ. Oligoarticular vs polyarticular psoriatic arthritis: a longitudinal study showing similar characteristics. J Rheumatol. 2021;48(12):1824–9.
11.
Zurück zum Zitat Ritchlin CT, Colbert RA, Gladman DD. Psoriatic arthritis. N Engl J Med. 2017;376(10):957–70.
12.
Zurück zum Zitat Tiwari V, Brent LH. Psoriatic arthritis. Treasure Island (FL): StatPearls; 2024. http://www.ncbi.nlm.nih.gov/books/NBK547710/. Accessed 20 May 2024.
13.
Zurück zum Zitat Taylor W, Gladman D, Helliwell P, Marchesoni A, Mease P, Mielants H. Classification criteria for psoriatic arthritis: development of new criteria from a large international study. Arthritis Rheum. 2006;54(8):2665–73.CrossRefPubMed
14.
Zurück zum Zitat Queiro-Silva R, Torre-Alonso J, Tinture-Eguren T, Lopez-Lagunas I. A polyarticular onset predicts erosive and deforming disease in psoriatic arthritis. Ann Rheum Dis. 2003;62(1):68–70.CrossRefPubMedPubMedCentral
15.
Zurück zum Zitat Werner SG, Baraliakos X, Reckert S, et al. Treatment with upadacitinib in active psoriatic arthritis: efficacy and safety data of the first 192 patients from the UPJOINT study, a multicentre, observational study in clinical practice. Rheumatol Ther. 2023;10(6):1503–18.
16.
Zurück zum Zitat Gossec L, Kerschbaumer A, Ferreira RJO, et al. EULAR recommendations for the management of psoriatic arthritis with pharmacological therapies: 2023 update. Ann Rheum Dis. 2024. https://doi.org/10.1136/ard-2024-225531.
17.
Zurück zum Zitat McInnes IB, Kato K, Magrey M, et al. Efficacy and safety of upadacitinib in patients with psoriatic arthritis: 2-year results from the phase 3 SELECT-PsA 1 study. Rheumatol Ther. 2023;10(1):275–92.
18.
Zurück zum Zitat Mease PJ, Lertratanakul A, Anderson JK, et al. Upadacitinib for psoriatic arthritis refractory to biologics: SELECT-PsA 2. Ann Rheum Dis. 2021;80(3):312–20.
19.
Zurück zum Zitat AbbVie. Real-world effectiveness of upadacitinib in patients joining subgroups either with oligo- or poly-articular psoriatic arthritis on minimal disease activity. clinicaltrials.gov; 2023. Report No.: NCT04758117. https://clinicaltrials.gov/study/NCT04758117. Accessed 1 Jan 2024.
20.
Zurück zum Zitat Felson DT, Anderson JJ, Boers M, et al. The American College of Rheumatology preliminary core set of disease activity measures for rheumatoid arthritis clinical trials. The Committee on Outcome Measures in Rheumatoid Arthritis Clinical Trials. Arthritis Rheum. 1993;36(6):729–40.
21.
Zurück zum Zitat Thomas CL, Finlay AY. The ‘handprint’ approximates to 1% of the total body surface area whereas the „palm minus the fingers“ does not. Br J Dermatol. 2007;157(5):1080–1.CrossRefPubMed
22.
Zurück zum Zitat Healy PJ, Helliwell PS. Measuring clinical enthesitis in psoriatic arthritis: assessment of existing measures and development of an instrument specific to psoriatic arthritis. Arthritis Rheum. 2008;59(5):686–91.CrossRefPubMed
23.
Zurück zum Zitat Garrett S, Jenkinson T, Kennedy LG, Whitelock H, Gaisford P, Calin A. A new approach to defining disease status in ankylosing spondylitis: the Bath Ankylosing Spondylitis Disease Activity Index. J Rheumatol. 1994;21(12):2286–91.PubMed
24.
Zurück zum Zitat Fries JF, Spitz PW, Young DY. The dimensions of health outcomes: the health assessment questionnaire, disability and pain scales. J Rheumatol. 1982;9(5):789–93.PubMed
25.
Zurück zum Zitat Finlay AY, Khan GK. Dermatology Life Quality Index (DLQI)–a simple practical measure for routine clinical use. Clin Exp Dermatol Mai. 1994;19(3):210–6.CrossRef
26.
Zurück zum Zitat Schoels M, Aletaha D, Funovits J, Kavanaugh A, Baker D, Smolen JS. Application of the DAREA/DAPSA score for assessment of disease activity in psoriatic arthritis. Ann Rheum Dis. 2010;69(8):1441–7.CrossRefPubMed
27.
Zurück zum Zitat Coates LC, Fransen J, Helliwell PS. Defining minimal disease activity in psoriatic arthritis: a proposed objective target for treatment. Ann Rheum Dis. 2010;69(1):48–53.CrossRefPubMed
28.
Zurück zum Zitat Coates LC, Helliwell PS. Defining low disease activity states in psoriatic arthritis using novel composite disease instruments. J Rheumatol. 2016;43(2):371–5.
29.
Zurück zum Zitat SAS Institute. SAS® Version 9.4. Cary, NC, USA: SAS Institute.
30.
Zurück zum Zitat R Core Team. R: A language and environment for statistical computing. Vienna; 2024. https://www.R-project.org/. Accessed 01 June 2024.
31.
Zurück zum Zitat RStudio Team. RStudio. Boston, MA: RStudio, PBC; 2024. http://www.rstudio.com/. Accessed 01 June 2024.
32.
Zurück zum Zitat McInnes IB, Kato K, Magrey M, et al. Upadacitinib in patients with psoriatic arthritis and an inadequate response to non-biological therapy: 56-week data from the phase 3 SELECT-PsA 1 study. RMD Open. 2021;7(3):e001838.
33.
Zurück zum Zitat Araujo EG, Finzel S, Englbrecht M, et al. High incidence of disease recurrence after discontinuation of disease-modifying antirheumatic drug treatment in patients with psoriatic arthritis in remission. Ann Rheum Dis. 2015;74(4):655–60.
34.
Zurück zum Zitat Coates LC, Conaghan PG, D’Agostino MA, et al. Remission in psoriatic arthritis—where are we now? Rheumatology. 2018;57(8):1321–31.
35.
Zurück zum Zitat McWilliams DF, Rahman S, James RJE, et al. Disease activity flares and pain flares in an early rheumatoid arthritis inception cohort; characteristics, antecedents and sequelae. BMC Rheumatol. 2019;3(1):49.
36.
Zurück zum Zitat Lubrano E, Scriffignano S, Perrotta FM. The “climb” towards minimal disease activity in psoriatic arthritis. Rheumatol Ther. 2021;8(3):1443–50.CrossRefPubMedPubMedCentral
37.
Zurück zum Zitat Dandorfer SW, Rech J, Manger B, Schett G, Englbrecht M. Differences in the patient’s and the physician’s perspective of disease in psoriatic arthritis. Semin Arthritis Rheum. 2012;42(1):32–41.CrossRefPubMed
38.
Zurück zum Zitat Eder L, Li Q, Rahmati S, Rahman P, Jurisica I, Chandran V. Defining imaging sub-phenotypes of psoriatic arthritis: integrative analysis of imaging data and gene expression in a PsA patient cohort. Rheumatol (Oxford). 2022;61(12):4952–61.
39.
Zurück zum Zitat Richette P, Vis M, Ohrndorf S, et al. Identification of PsA phenotypes with machine learning analytics using data from two phase III clinical trials of guselkumab in a bio-naïve population of patients with PsA. RMD Open. 2023;9(1):e002934.

Kompaktes Leitlinien-Wissen Innere Medizin (Link öffnet in neuem Fenster)

Mit medbee Pocketcards schnell und sicher entscheiden.
Leitlinien-Wissen kostenlos und immer griffbereit auf ihrem Desktop, Handy oder Tablet.

Neu im Fachgebiet Innere Medizin

Pflanzenbasierte Kost und Krebsrisiko

Eine gepoolte Analyse von elf prospektiven Studien liefert eine umfassende Bestandsaufnahme zu Zusammenhängen von verschiedenen Kostformen und dem Krebsrisiko. Neben bekannten Vorteilen von eher pflanzenbasierten Kostformen fanden sich überraschenderweise auch Hinweise auf einzelne ungünstige Effekte.   

Erhöhtes Krebsrisiko unter Erythropoese-Stimulation

Hohe Wochendosierungen Erythropoese-stimulierender Substanzen erhöhen möglicherweise das Krebsrisiko von Dialysekranken: In einer Analyse aus Korea traten neue Tumorerkrankungen bei hohen Dosierungen um etwa ein Viertel häufiger auf.

Vor der TAVI erst noch eine PCI?

Relevante Koronarstenosen vor einer Transkatheter-Aortenklappen-Intervention (TAVI) interventionell statt rein medikamentös zu behandeln, bietet Registerdaten zufolge einen überschaubaren klinischen Nutzen zum Preis eines erhöhten Blutungsrisikos.

Plaques bei Frauen lassen kardiovaskuläres Risiko schon früh steigen

Frauen mit stabiler Angina pectoris haben zwar in der Regel seltener und auch weniger ausgedehnte koronare Plaques als Männer; dafür steigt bei ihnen das kardiovaskuläre Risiko bereits bei geringerer Plaquebelastung deutlich an, und zwar viel steiler als bei Männern.

Update Innere Medizin

Bestellen Sie unseren Fach-Newsletter und bleiben Sie gut informiert.

Bildnachweise
Die Leitlinien für Ärztinnen und Ärzte, Seniorenpaar frühstückt/© Halfpoint / stock.adobe.com (Symbolbild mit Fotomodellen), Dialyse/© Semen Salivanychuk / stock.adobe.com (Symbolbild mit Fotomodell), Patientin und Arzt im Gespräch/© Guillem de Balanzó / stock.adobe.com