Zum Inhalt

Epacadostat plus pembrolizumab versus placebo plus pembrolizumab for advanced urothelial carcinoma: results from the randomized phase III ECHO-303/KEYNOTE-698 study

  • Open Access
  • 01.07.2024
  • Research
Erschienen in:

Abstract

Background

Indoleamine 2,3-dioxygenase 1 (IDO1) levels correlate with poor outcomes in urothelial carcinoma (UC). IDO1 and programmed death-ligand 1 (PD-L1) are often co-expressed. Epacadostat is a potent and highly selective inhibitor of IDO1. In a subgroup analysis of patients with advanced UC participating in a phase I/II study, epacadostat-pembrolizumab treatment produced an objective response rate (ORR) of 35%.

Methods

ECHO-303/KEYNOTE-698 was a double-blinded, randomized phase III study of adults with metastatic or unresectable locally advanced UC with recurrence or progression following first-line platinum-based chemotherapy. Participants were randomized to epacadostat 100 mg twice daily (BID) plus pembrolizumab or placebo plus pembrolizumab until completion of 35 pembrolizumab infusions, disease progression, or unacceptable toxicity. The primary endpoint was investigator-assessed ORR per Response Evaluation Criteria in Solid Tumors version 1.1.

Results

Target enrollment was 648 patients; enrollment was halted early based on efficacy results from the phase III ECHO-301/KEYNOTE-252 study in metastatic melanoma. Forty-two patients were randomized to each treatment arm. Median duration of follow-up was 62 days in each arm. The investigator-assessed ORR (unconfirmed) was 26.2% (95% CI 16.35–48.11) for epacadostat plus pembrolizumab and 11.9% (95% CI 4.67–29.50) for placebo plus pembrolizumab. Two complete responses were reported, both in the placebo-plus-pembrolizumab arm. Circulating kynurenine levels increased from C1D1 to C2D1 in the placebo-plus-pembrolizumab arm and numerically decreased in the epacadostat-plus-pembrolizumab arm. The safety profile of epacadostat plus pembrolizumab was similar to that of pembrolizumab monotherapy, although a numerically greater proportion of patients in the combination vs. control arm experienced treatment-related grade ≥ 3 adverse events (16.7% vs. 7.3%). One patient in each arm died due to cardiovascular events, which were not deemed drug-related. No new safety concerns were identified for either agent.

Conclusions

Epacadostat plus pembrolizumab demonstrated anti-tumor activity and was generally tolerable as second-line treatment of patients with unresectable locally advanced or recurrent/progressive metastatic UC. Epacadostat 100 mg BID, when administered with pembrolizumab, did not normalize circulating kynurenine in most patients. Further study of combined IDO1/PD-L1 inhibition in this patient population, particularly with epacadostat doses that result in durable normalization of circulating kynurenine, may be warranted.

Trial registration

ClinicalTrials.gov, NCT03374488. Registered 12/15/2017.

Supplementary Information

The online version contains supplementary material available at https://doi.org/10.1186/s12885-023-11213-6.
Thomas Powles and Cora N. Sternberg Co-senior authors.

Publisher’s Note

Springer Nature remains neutral with regard to jurisdictional claims in published maps and institutional affiliations.
AE
Adverse event
BID
Twice daily
C
Cycle
CI
Confidence interval
CPS
Combined positive score
D
Day
IDO1
Indoleamine 2,3-dioxygenase 1
ORR
Objective response rate
OS
Overall survival
PD-1
Programmed cell death protein 1
PD-L1
Programmed death-ligand 1
PFS
Progression-free survival
RECIST v1.1
Response Evaluation Criteria in Solid Tumors version 1.1
UC
Urothelial carcinoma

Background

Bladder cancer is the tenth most common cancer globally, with an estimated 550,000 new cases and 200,000 deaths reported in 2018 [1]. Urothelial carcinoma (UC), which can arise from the bladder, renal pelvis, ureter, or urethra, accounts for the majority (> 90%) of cases of bladder cancer [2, 3]. Platinum-based chemotherapy is the preferred first-line treatment for locally advanced or metastatic UC [2, 3], but the disease progresses in most patients [4, 5]. The 5-year survival rate for metastatic disease is poor, with estimates ranging from 0 to 10% [68].
A number of immune checkpoint inhibitors targeting programmed cell death protein 1 (PD-1; eg, pembrolizumab, nivolumab) or programmed death-ligand 1 (PD-L1; eg, atezolizumab, avelumab, durvalumab) are approved for the treatment of patients with platinum-refractory advanced UC [2, 9]. Recently, avelumab has been approved in the post-chemotherapy switch maintenance space in patients not progressing to platinum chemotherapy [10]. In patients with advanced UC that has progressed following platinum-based chemotherapy, use of a single-agent checkpoint inhibitor is superior to single-agent chemotherapy, but the median overall survival (OS) remains less than 1 year and the response rate remains low (approximately 20%) [1113]. In KEYNOTE-045, the only randomized study comparing PD-1 inhibition with chemotherapy in this setting, the superiority of PD-1 inhibition with pembrolizumab monotherapy persists over time [14, 15]. Thus, evaluation of second-line treatment options that can improve clinical outcomes in patients with platinum-refractory metastatic UC is of great interest. Novel therapeutic approaches including immunotherapy and targeted therapies (eg, enfortumab vedotin and sacituzumab govitecan) have recently demonstrated promising activity for relapsed disease and are likely to impact standard of care in the future [16, 17].
Cancer cells suppress anti-tumor immunity via multiple pathways [18], so combinations of unique and complementary targeted immunotherapies may help to further overcome tumor-mediated immunosuppression. Indoleamine 2,3-dioxygenase 1 (IDO1) is an enzyme that catabolizes tryptophan into kynurenine, and increased IDO1 activity results in tryptophan depletion and kynurenine accumulation. These effects suppress effector T-cell function and promote regulatory T-cell proliferation [19]. Increased levels of IDO1 have been correlated with disease progression and decreased rates of disease-specific survival in patients with UC [20]. IDO1, the expression of which is induced by interferon gamma [21], has been shown to have immunosuppressive effects [22], including countering the anti-tumor effects of immune checkpoint inhibitors [23].
A number of malignancies show coexpression of IDO1 and PD-L1 [2427]. In preclinical mouse models, IDO1 inhibition has been demonstrated to synergize with PD-L1 inhibition in delaying tumor growth and prolonging survival [23, 28]. These findings may be due to preservation of anti-cancer inflammatory responses via IDO1 inhibition.
Epacadostat is a potent and highly selective inhibitor of IDO1. In a phase I study of patients with advanced solid tumors, treatment with twice-daily (BID) doses of ≥ 100 mg reduced plasma kynurenine levels to those observed in healthy subjects [29]. In the phase I/II ECHO-202/KEYNOTE-037 study (NCT02178722), patients with stage IIIB–IV or recurrent solid tumors received combination treatment with epacadostat and pembrolizumab. In a preliminary analysis of the subgroup of patients with advanced UC, epacadostat plus pembrolizumab resulted in an objective response rate (ORR) of 35% (13/37) and was generally well tolerated [30]. In light of these findings, the ECHO-303/KEYNOTE-698 study, which compared epacadostat plus pembrolizumab with placebo plus pembrolizumab in patients with unresectable locally advanced or recurrent/progressive metastatic UC for whom first-line platinum-based chemotherapy failed, was undertaken.

Methods

Study design and participants

ECHO-303/KEYNOTE-698 (NCT03374488) was an international, active-controlled, double-blinded, randomized phase III study. This study was conducted at 82 centers in 16 countries. Eligible adults (aged ≥ 18 years) had confirmed UC of the urinary tract that had progressed or recurred following one prior platinum-based chemotherapy regimen administered for the treatment of inoperable locally advanced or metastatic disease, had one or more lesions that were measurable per Response Evaluation Criteria in Solid Tumors version 1.1 (RECIST v1.1) [31], had an Eastern Cooperative Oncology Group performance status of 0–1, and provided tumor tissue for the central analysis of PD-L1. Patients were excluded if they had prior therapy with inhibitors targeting PD-1, PD-L1, PD-L2, or IDO1; agents directed against any other stimulatory or co-inhibitory T-cell receptor; or any other antibody or drug targeting T-cell costimulatory pathways in the adjuvant or advanced/metastatic setting.

Treatment and procedures

Participants were randomized (1:1) to receive epacadostat plus pembrolizumab or placebo plus pembrolizumab until the completion of 35 pembrolizumab infusions (taking approximately 2 years), disease progression, unacceptable toxicity, or another discontinuation criterion was met. Randomization was stratified by Bellmunt risk score (0 vs. 1 vs. ≥ 2) [32] and PD-L1 expression (combined positive score [CPS] ≥ 10 vs. < 10) per immunohistochemistry. Pembrolizumab 200 mg was infused intravenously every 3 weeks, and epacadostat (or matching placebo) 100 mg was dosed orally BID. Dose reductions were permitted to mitigate immune-related adverse events (AEs), but re-escalation of epacadostat (or placebo) was not permitted. Blood for analysis of serum kynurenine levels was drawn before dosing on day 1 of cycles 1 and 2 (C1D1 and C2D1, respectively) when patients were in a fasted state. Circulating kynurenine levels were determined at Worldwide Clinical Trials, Morrisville, NC, with a proprietary validated liquid chromatography tandem mass spectrometry assay using calibrated standards.

Study conduct

The study was initiated on December 22, 2017. On May 2, 2018, a decision was made to permanently stop enrollment. This decision was based on the results of the phase III ECHO-301/KEYNOTE-252 study (NCT02752074), which compared epacadostat (100 mg BID) plus pembrolizumab with placebo plus pembrolizumab in patients with advanced melanoma [33]. The dual primary endpoints of ECHO-301/KEYNOTE-252 were progression-free survival (PFS) per independent central review and OS. During the second interim analysis, the external data monitoring committee concluded that PFS was not improved with combination therapy relative to pembrolizumab monotherapy and anticipated that OS would not reach statistical significance.
Following the halted enrollment, the ECHO-303/KEYNOTE-698 study was unblinded after the last patient enrolled had completed the week 9 imaging assessment for the analysis of efficacy. Patients demonstrating clinical benefit based on investigator assessment were allowed to continue receiving treatment (open-label combination therapy or pembrolizumab monotherapy).
ECHO-303/KEYNOTE-698 was conducted in compliance with the Declaration of Helsinki, the International Council on Harmonization Guidelines for Good Clinical Practice, and applicable national and local regulatory requirements. The study protocol was approved by the Independent Ethics Committee/Institutional Review Board at each participating site, and all patients provided written informed consent.

Endpoints

The original dual primary endpoints of ECHO-303/KEYNOTE-698 were PFS per independent central review and OS. When enrollment was stopped, the protocol was amended, and the primary endpoint was changed to investigator-assessed ORR per RECIST v1.1 based on all available imaging assessments after the last patient completed the week 9 + 14 day imaging assessment (due to the protocol amendment, study-mandated efficacy procedures, including transmission of images for central review, were discontinued). ORR was defined as the proportion of patients with a complete or partial response. As a secondary objective, safety was assessed throughout the study, with AEs coded per Medical Dictionary for Regulatory Activities version 21.0 and graded per Common Terminology Criteria for Adverse Events version 4.03. The pharmacodynamic activity of epacadostat was assessed as one of the exploratory objectives by evaluating change from baseline in circulating kynurenine levels.

Statistics

The original target enrollment was 648 patients, but when enrollment was stopped, the target was revised to 85 participants. The intent-to-treat population, composed of all randomized patients, was used for the efficacy analysis. ORR was determined for each treatment group, and the corresponding 95% confidence intervals (CIs) were calculated using the Clopper-Pearson exact method. Although protocol-specified efficacy imaging was stopped at week 9, some patients had completed scans beyond week 9 at the time enrollment was terminated. Thus, ORR was assessed using all available imaging data at the time of cutoff, as well as data collected only at week 9. The safety population was composed of patients who received one or more doses of study treatment, with patients analyzed according to the treatment received. Safety outcomes were summarized using descriptive statistics. Circulating kynurenine levels were assessed among patients who provided blood samples on C1D1 and C2D1, and comparisons were conducted using a paired t-test within each treatment arm. The cutoff date for these analyses was August 15, 2018.

Results

Participants

A total of 84 patients with advanced UC were randomized (epacadostat plus pembrolizumab, n = 42; placebo plus pembrolizumab, n = 42) (Fig. 1). One patient randomized to placebo plus pembrolizumab was not treated because of withdrawn consent after randomization. In both treatment arms, the most common reason for study drug discontinuation was disease progression. Because patients with ongoing clinical benefit could have continued study treatment (per investigator discretion), 47.6% and 41.5% of treated patients were still receiving epacadostat plus pembrolizumab and pembrolizumab monotherapy, respectively, at data cutoff.
Fig. 1
Patient disposition. AE, adverse event
Bild vergrößern
Patient characteristics were generally balanced between treatment arms, although the proportion of patients with prior neoadjuvant/adjuvant platinum-based chemotherapy was numerically higher in the epacadostat plus pembrolizumab arm (45.2%) than in the placebo plus pembrolizumab arm (26.2%) (Table 1). One-third of patients had a Bellmunt risk score ≥ 2, and approximately 60% had a PD-L1 CPS < 10. The majority of patients presented with visceral metastases (epacadostat plus pembrolizumab, 73.8% [31/42]; placebo plus pembrolizumab, 83.3% [35/42]). In the experimental arm, the median (range) duration of exposure to epacadostat and pembrolizumab was 98 (7–162) and 86.5 (1–150) days, respectively. In the control arm, the median (range) duration of exposure to placebo and pembrolizumab was 67 (10–168) and 65 (1–167) days, respectively. The median duration of follow-up was 62 days in each arm.
Table 1
Patient demographics and disease characteristics
 
Epacadostat + pembrolizumab
(n = 42)
Placebo + pembrolizumab
(n = 42)
Male, n (%)
35 (83.3)
37 (88.1)
Age, median (range) (years)
69.5 (48–86)
67.5 (29–79)
Age ≥ 65 years, n (%)
27 (64.3)
24 (57.1)
Race, n (%)
 White
35 (83.3)
32 (76.2)
 Asian
5 (11.9)
6 (14.3)
 Unknown
2 (4.8)
4 (9.5)
ECOG performance status,a n (%)
 0
20 (47.6)
18 (42.9)
 1
22 (52.4)
24 (57.1)
Disease status at screening, n (%)
 Locally advanced/unresectable
7 (16.7)
2 (4.8)
 Metastatic
35 (83.3)
40 (95.2)
Metastases location, n (%)
 Visceral disease
31 (73.8)
35 (83.3)
 Lymph node only
11 (26.2)
7 (16.7)
Liver metastases present, n (%)
5 (11.9)
9 (21.4)
Primary tumor location, n (%)
 Upper tract
9 (21.4)
11 (26.2)
 Lower tract
33 (78.6)
31 (73.8)
Prior neoadjuvant/adjuvant platinum-based chemotherapy,
n (%)
19 (45.2)
11 (26.2)
Prior BCG therapy, n (%)
4 (9.5)
3 (7.1)
Bellmunt risk score, n (%)
 0
10 (23.8)
11 (26.2)
 1
18 (42.9)
17 (40.5)
  ≥ 2
14 (33.3)
14 (33.3)
PD-L1 status, n (%)
 CPS ≥ 10
17 (40.5)
18 (42.9)
 CPS < 10
25 (59.5)
24 (57.1)
Prior platinum-based chemotherapy, n (%)
 Cisplatin
22 (52.4)
24 (57.1)
 Carboplatin
19 (45.2)
18 (42.9)
 Other
1 (2.4)
0
Abbreviations: BCG Bacillus Calmette-Guérin, CPS Combined positive score, ECOG Eastern Cooperative Oncology Group, PD-L1 Programmed death-ligand 1
aAssessed during screening

Response rates

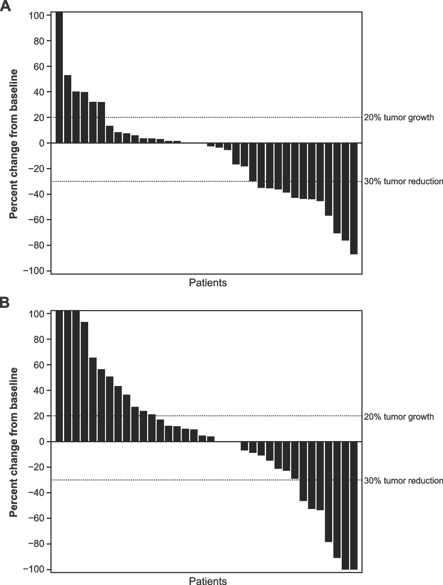
Based on all available data at cutoff, ORR (unconfirmed, primary endpoint) was 26.2% (95% CI 16.35–48.11) for epacadostat plus pembrolizumab and 11.9% (95% CI 4.67–29.50) for placebo plus pembrolizumab (Table 2). No complete responses were observed in the epacadostat-plus-pembrolizumab arm; two were observed in the placebo-plus-pembrolizumab arm. Rates of progressive disease were 31.0% for epacadostat plus pembrolizumab and 52.4% for placebo plus pembrolizumab. The corresponding ORRs based on data from the week 9 visit only were 21.4% (95% CI 12.88–44.36) and 9.5% (95% CI 3.20–26.74) (Additional file 1: Supplementary Table 1). Waterfall plots summarize the best change in target lesion size from baseline using all available data at cutoff (Fig. 2) and data from the week 9 visit only (Additional file 2: Supplementary Fig. 1).
Table 2
Investigator-assessed best overall response per RECIST v1.1 (intent-to-treat population)a
n (%)
Epacadostat + pembrolizumab
(n = 42)
Placebo + pembrolizumab
(n = 42)
ORRb [95% CIc]
11 (26.2)
[16.35–48.11]
5 (11.9)
[4.67–29.50]
Complete response
0
2 (4.8)
Partial response
11 (26.2)
3 (7.1)
Stable disease
12 (28.6)
9 (21.4)
Progressive disease
13 (31.0)
22 (52.4)
No assessmentd
6 (14.3)
6 (14.3)
Abbreviations: CI Confidence interval, ORR Objective response rate, RECIST v1.1 Response Evaluation Criteria in Solid Tumors version 1.1
aBased on all available data at cutoff; responses were unconfirmed
bIncludes patients with an unconfirmed complete or partial response
cPer the Clopper-Pearson exact method
dIncludes patients with a baseline but no post-baseline assessment, including those who discontinued or died before the first post-baseline scan
Fig. 2
Best target lesion change from baseline based on investigator assessment per RECIST v1.1 (intent-to-treat population). a Epacadostat plus pembrolizumab. b Placebo plus pembrolizumab. RECIST v1.1, Response Evaluation Criteria in Solid Tumors version 1
Bild vergrößern

Safety and tolerability

In total, 97.6% of patients treated with epacadostat plus pembrolizumab reported an AE, most commonly fatigue (28.6%), constipation (23.8%), and anemia (23.8%). A total of 90.2% of patients administered placebo plus pembrolizumab reported an AE, most commonly anemia (22.0%) (Table 3). Grade ≥ 3 AEs occurred at similar frequency in the two treatment arms (35.7% vs. 39.0%), but the frequency of treatment-related grade ≥ 3 AEs was numerically higher with epacadostat plus pembrolizumab (16.7%) than with placebo plus pembrolizumab (7.3%). The rate of serious AEs was similar in the two treatment arms (26.2% vs. 29.3%). Serious AEs reported in more than one patient in either treatment arm were urinary tract infection (epacadostat plus pembrolizumab, n = 2; placebo plus pembrolizumab, n = 3), ileus (epacadostat plus pembrolizumab, n = 2), and hematuria (epacadostat plus pembrolizumab, n = 2; placebo plus pembrolizumab, n = 1). Serious treatment-related AEs occurred only in the epacadostat-plus-pembrolizumab arm, with four events (amylase increased, ataxia, peripheral motor neuropathy, pneumonitis) reported in three patients. One patient in each treatment arm died (pulmonary embolism in the epacadostat-plus-pembrolizumab arm and myocardial infarction in the placebo-plus-pembrolizumab arm). Neither death was considered related to study treatment.
Table 3
Safety summary (as-treated analysis)a
Patients, n (%)
Epacadostat + pembrolizumab
(n = 42)
Placebo + pembrolizumab
(n = 41)
Any AE
41 (97.6)
37 (90.2)
 Fatigueb
12 (28.6)
5 (12.2)
 Constipationb
10 (23.8)
5 (12.2)
 Anemiab
10 (23.8)
9 (22.0)
 Decreased appetiteb
9 (21.4)
4 (9.8)
 Hematuriab
9 (21.4)
2 (4.9)
Treatment-related AE
24 (57.1)
22 (53.7)
Grade ≥ 3 AE
15 (35.7)
16 (39.0)
 Treatment-related
7 (16.7)
3 (7.3)
Serious AE
11 (26.2)
12 (29.3)
 Treatment-related
3 (7.1)
0
Discontinued study drug due to an AE
3 (7.1)
5 (12.2)
 Treatment-related
3 (7.1)
2 (4.9)
Discontinued study drug due to a serious AE
1 (2.4)
3 (7.3)
 Treatment-related
1 (2.4)
0
Death
1 (2.4)
1 (2.4)
 Treatment-related
0
0
The relatedness of an AE to study drug was determined by the investigator. “Discontinued study drug due to an AE” means that one or more study drugs was discontinued due to an AE
Abbreviation: AE Adverse event
aNon-serious AEs up to 30 days of last dose and serious AEs up to 90 days of last dose are included
bAEs (any grade) reported in ≥ 20% of patients in either treatment arm are presented

Pharmacodynamic activity of epacadostat

Circulating kynurenine levels at baseline (C1D1) and after one cycle of treatment (C2D1) are shown in Fig. 3. Median kynurenine levels increased in the pembrolizumab monotherapy group between cycle 1 and cycle 2 (2.9 µM vs. 3.7 µM) and were similar in the pembrolizumab-plus-epacadostat group between cycle 1 and cycle 2 (3.1 µM vs. 2.8 µM). In both treatment arms, median kynurenine levels at each time point were above the median level in healthy subjects (1.5 µM) [29].
Fig. 3
Pharmacodynamic effect of epacadostat 100 mg twice-daily dosing as shown by change from baseline in circulating kynurenine levels. The number of samples assessed was 32 in the pembrolizumab-plus-placebo group and 29 in the pembrolizumab-plus-epacadostat group. Statistical analyses were conducted using paired t-tests within each treatment arm. The dotted line indicates the median kynurenine level in healthy subjects (1.5 μM) [29]. C, Cycle; D, Day; NS, Not significant
Bild vergrößern

Discussion

In the ECHO-303/KEYNOTE-698 study of patients with unresectable locally advanced or recurrent/progressive metastatic UC for whom first-line platinum-based chemotherapy failed, the combination of epacadostat plus pembrolizumab yielded an ORR (unconfirmed) that was numerically higher than that observed with pembrolizumab monotherapy (26.2% vs. 11.9%). The ORR for pembrolizumab monotherapy in the current study (11.9%; 95% CI 4.67–29.50) was numerically lower than that observed in the phase III KEYNOTE-045 trial (21.1%) in a similar population [11]. The reasons for this may have been due to the small study size with 95% CIs that overlap with the 95% CI from KEYNOTE-045 and/or the short follow-up in the current study (the ORR may have increased with additional time on study; median duration of pembrolizumab treatment was 65 days in the current study vs 3.5 months in KEYNOTE-045). The combination of epacadostat plus pembrolizumab was generally tolerable in second-line treatment of patients with advanced UC, with a safety profile similar to pembrolizumab alone. No new safety concerns were identified for either treatment, although the proportion of patients with a treatment-related grade ≥ 3 AE was numerically higher with the combination regimen (16.7% vs. 7.3%). The proportion of patients who discontinued study drug due to a treatment-related AE was similar in both treatment arms.
Although no formal statistical testing was undertaken, the findings of the current study show a similar, albeit numerically higher efficacy of epacadostat plus pembrolizumab compared with pembrolizumab monotherapy in second-line treatment of metastatic UC. However, the role of epacadostat for the treatment of advanced UC and other cancers remains unclear based on the negative results of two other phase III studies. In ECHO-307/KEYNOTE-672, epacadostat plus pembrolizumab yielded an ORR (unconfirmed) similar to that observed with pembrolizumab monotherapy in cisplatin-ineligible patients with previously untreated locally advanced or metastatic UC (31.8% and 24.5%, respectively) [34]. In ECHO-301/KEYNOTE-252, no statistically significant differences between epacadostat plus pembrolizumab and placebo plus pembrolizumab were found on the dual primary endpoints in patients with advanced melanoma (median PFS, 4.7 vs. 4.9 months, one-sided P = 0.52; median OS, not reached in either arm) [33]. The results of ECHO-301/KEYNOTE-252 led to the premature termination of enrollment to ECHO-307/KEYNOTE-672, as well as to the present study (ECHO-303/KEYNOTE-698) and other ongoing studies exploring combination treatment with epacadostat 100 mg BID and pembrolizumab.
We found that circulating kynurenine levels increased in response to pembrolizumab monotherapy. We hypothesize this observation could be due, at least in part, through elevated IDO1 expression via IFN-y [21]. The addition of epacadostat 100 mg BID to pembrolizumab abrogated this increase but did not normalize the circulating kynurenine values to levels seen in healthy individuals, as was previously reported for epacadostat monotherapy at doses of 100 mg BID or higher [29]. Consistent with this observation, a retrospective pooled analysis showed that epacadostat doses < 600 mg BID were insufficient to maintain suppression of kynurenine production when combined with PD-1 inhibition [35]. Overall, these findings suggest that pembrolizumab-induced kynurenine production was not sufficiently suppressed with the 100 mg BID epacadostat dose evaluated in this trial. Evaluation of higher doses of epacadostat in combination with PD-1 pathway inhibition are warranted, provided that kynurenine can be adequately controlled.
The main limitations of the current study are its small sample size (N = 84), short duration of follow-up (median, 62 days in both arms), lack of independent central review of imaging to confirm ORR (introducing the potential for bias), and lack of formal statistical analysis. These factors limit the conclusions that can be drawn from numerical differences between treatment arms and the generalizability of the results from the study.
Additionally, although patient and disease characteristics were generally balanced between treatment arms, a lower proportion of patients in the epacadostat-plus-pembrolizumab arm presented with visceral disease (73.8% vs. 83.3%) or liver metastases (11.9% vs. 21.4%) at baseline relative to the control arm.

Conclusions

Despite the small sample size and short duration of follow-up of ECHO-303/KEYNOTE-698, epacadostat 100 mg BID plus pembrolizumab demonstrated anti-tumor activity and was generally tolerable in patients with unresectable locally advanced or recurrent/progressive metastatic UC for whom first-line platinum-based chemotherapy failed. More data are needed to evaluate the potential benefit of combined inhibition of IDO1 and PD-L1 in this patient population, and further study of this treatment approach (including testing higher doses of epacadostat) may be warranted.

Acknowledgements

The authors would like to thank all study site personnel and the patients for their participation in this study. The authors would also like to thank Tara Frenkl, MD, a former employee of Merck & Co., Inc., for her contributions to the original protocol design and support in the initiation of the study. Additionally, the authors would like to thank Sherry Owens of Incyte for assistance with the conduct of biomarker exploratory analyses and Scott Chambers of Merck & Co., Inc., for oversight of operational matters and conduct of the study. Editorial and medical writing support for this manuscript were provided by Tiffany DeSimone, PhD, and Mary Kacillas of Ashfield MedComms, an Inizio Company, and were funded by Incyte Corporation.

About this supplement

This article has been published as part of BMC Cancer Volume 23 Supplement 1, 2023: Epacadostat, an IDO1 inhibitor, in combination with pembrolizumab: results from clinical trials in patients with advanced solid tumors. The full contents of the supplement are available online at https://bmccancer.biomedcentral.com/articles/supplements/volume-23-supplement-1.

Declarations

The study was approved by the ethics committees at each institution (Bellberry Human Research Ethics Committee; CEIC de la Comunidad Foral de Navarra; Chaim Sheba Medical Center Tel Hashomer Helsinki Committee; Chang Gung Medical Foundation Institutional Review Board; Clinical Research Ethics Committee of the Cork Teaching Hospitals; Comitato Etico Della Fondazione IRCCS Fondazione IRCCS Istituto Nazionale dei Tumori; Comite d ethique de la recherche du CHU de Quebec Universite Laval; Comité de Protection des Personnes Est 3; De Videnskabsetiske Komiteer For Region Hovedstaden; Fox Chase Cancer Center IRB; Institutional Review Board, National Cheng Kung University Hospital; Institutional Review Board of Osaka International Cancer Institute; Ivanovo Regional Oncology Dispensary; Leningrad Regional Oncology Center; Macquarie University Human Research Ethics Committee. Medical Sciences; Meir Hospital IRB-Committee; N.N. Blokhin NMRCO IRB/IEC; Nagoya University Hospital Institutional Review Board; National Medical Research Radiological Centre; NSLHD Human Research Ethics Committee; Rabin Medical Center IRB-Committee; Rambam—MC – ERC; Samsung Medical Center IRB/IEC; Seoul National University Hospital, IRB Biomedical Research Institute; Soroka M.C IRB; T.C. Trakya Üniversitesi Edirne Klinik Araştırmalar Etik Kurulu; Taipei Veterans General Hospital Institutional Review Board 2). All patients provided written informed consent.
Not applicable.

Competing interests

IC is an advisory board member for AstraZeneca, Boehringer Ingelheim, Eli Lilly, F. Hoffmann-La Roche, MSD, and Pfizer; received personal fees for lectures from Eli Lilly, MSD, Novartis, Pfizer, Quintiles, and Roche; received funding to the institution to support trial conduct from Astellas, AstraZeneca, BMS, Boehringer Ingelheim, Eli Lilly, Merck Serono, MSD, Parexel, Pfizer, Quintiles, and Taiho. ERP reports grants from the Sponsor of trial described in this publication, during the conduct of the study; grants and personal fees from Genentech, AstraZeneca, Bristol-Myers Squibb, Merck, and Pfizer; grants from Peloton and Astellas; personal fees from Incyte, Seattle Genetics, Janssen, Flatiron Health, Infinity Pharma, and MEI Pharma; in addition, ERP has a patent, U.S. Patent Application No. 14/588,503, pending; and has received honoraria for CME certified presentations from the following entities: AUA, Clinical Care Options, Fox Chase Cancer Center, Georgetown, ASCO, Medscape, Mt Sinai Icahn School of Medicine, NCCN, Omniprex, OncLive, PER, PriME Oncology, Research to Practice, Spire Learning, University of Pennsylvania, Thomas Jefferson University, and the University of Michigan. HG received honoraria from Pfizer; served in a consulting or advisory role for Pfizer, Ipsen, Bristol-Myers Squibb, AstraZeneca, Janssen-Cilag, Merck Sharp & Dohme, and Roche; and has received support for travel/accommodations from AstraZeneca. RL has served in a consulting/advisory role for Pfizer, Bristol-Myers Squibb, MSD, Roche, Isotopia, AstraZeneca, Bayer, Astellas, and Janssen. BYA received personal fees for consulting, advisory boards, and lectures as well as personal grants and institutional grants for trials from: Astrazeneca, Astellas, Bayer, BMS, Eisai, Ferring, Janssen, Ipsen, Merck, MSD, Pfizer, Roche, and Sanofi. FXP is an advisory board member for Bayer and Janssen. AP has served in an advisory role for AstraZeneca, Bristol-Myers Squibb, Roche, MSD/Merck & Co., Janssen, Pfizer, Teva, Astellas, Bayer, and Eisai. AN reports honoraria from Roche, Merck, AstraZeneca, Janssen, BMS, and Foundation Medicine; a consulting or advisor role with Merck, Roche, Bayer, AstraZeneca, Clovis Oncology, Janssen, Incyte, Seattle Genetics/Astellas, Bristol-Myers Squibb, Rainier Therapeutics, Glaxo Smith Kline, and Ferring; research funding to the institution from Merck, Astra Zeneca, and Ipsen; support for travel/accommodation/expenses from Roche, Merck, AstraZeneca, Janssen, and Rainier Therapeutics; and spousal employment/stock ownership with Bayer. JB reports consultancy and lectures fee from: Merck, AstraZeneca, Genentech, Pfizer, and BMS. HN is an advisory board member for AstraZeneca, MSD, Ono, Bristol-Myers Squibb, Chugai, Taiho, and Janssen; received personal fees for lectures from MSD, Chugai, Ono, AstraZeneca, and Astellas; and received funding to the institution to support trial conduct from Ono and Chugai. JC and MM are salaried employees of and own stock in Incyte Corporation. RK and CJ are salaried employees of and own stock in Merck & Co., Inc., Rahway, NJ, USA. TP reports advisory and lecture fees from AstraZeneca, BMS, Exelixis, Incyte, Ipsen, Merck, MSD, Novartis, Pfizer, Seattle Genetics, Merck Serono, Astellas, Johnson & Johnson, Eisai, and Roche; grant/funding to Institution from: AstraZeneca, Roche, BMS, Exelixis, Ipsen, Merck, MSD, Novartis, Pfizer, Seattle Genetics, Merck Serono, Astellas, Johnson & Johnson, and Eisai; and travel/accommodation/expenses from Roche, Pfizer, MSD, AstraZeneca, and Ipsen. CNS has served as a consultant for Pfizer, Merck, MSD, AstraZeneca, Astellas Pharma, Sanofi-Genzyme, Roche/Genentech, Incyte, Medscape, Immunomedics, Clovis Oncology, and UroToday.
Open Access This article is licensed under a Creative Commons Attribution 4.0 International License, which permits use, sharing, adaptation, distribution and reproduction in any medium or format, as long as you give appropriate credit to the original author(s) and the source, provide a link to the Creative Commons licence, and indicate if changes were made. The images or other third party material in this article are included in the article's Creative Commons licence, unless indicated otherwise in a credit line to the material. If material is not included in the article's Creative Commons licence and your intended use is not permitted by statutory regulation or exceeds the permitted use, you will need to obtain permission directly from the copyright holder. To view a copy of this licence, visit http://creativecommons.org/licenses/by/4.0/. The Creative Commons Public Domain Dedication waiver (http://creativecommons.org/publicdomain/zero/1.0/) applies to the data made available in this article, unless otherwise stated in a credit line to the data.

Publisher’s Note

Springer Nature remains neutral with regard to jurisdictional claims in published maps and institutional affiliations.
Download
Titel
Epacadostat plus pembrolizumab versus placebo plus pembrolizumab for advanced urothelial carcinoma: results from the randomized phase III ECHO-303/KEYNOTE-698 study
Verfasst von
Irfan Cicin
Elizabeth R. Plimack
Howard Gurney
Raya Leibowitz
Boris Y. Alekseev
Francis X. Parnis
Avivit Peer
Andrea Necchi
Joaquim Bellmunt
Hiroyuki Nishiyama
Jason Clark
Mihaela Munteanu
Ritesh Kataria
Calvin Jia
Thomas Powles
Cora N. Sternberg
Publikationsdatum
01.07.2024
Verlag
BioMed Central
Erschienen in
BMC Cancer / Ausgabe Sonderheft 1/2024
Elektronische ISSN: 1471-2407
DOI
https://doi.org/10.1186/s12885-023-11213-6
1.
Zurück zum Zitat Globocan. WHO International Agency for Research on Cancer Fact Sheets: Bladder. 2018. https://gco.iarc.fr/today/data/factsheets/cancers/30-Bladder-fact-sheet.pdf. Accessed 21 July 2020.
2.
Zurück zum Zitat Galsky MD, Balar AV, Black PC, Campell MT, Dykstra GS, Grivas P, et al. Society for Immunotherapy of Cancer (SITC) clinical practice guideline on immunotherapy for the treatment of urothelial cancer. J Immunother Cancer. 2021;9(7):e002552.
3.
Zurück zum Zitat Bellmunt J, Orsola A, Leow JJ, Wiegel T, De Santis M, Horwich A. Bladder cancer: ESMO practice guidelines for diagnosis, treatment and follow-up. Ann Oncol. 2014;25(Suppl 3):iii408.
4.
Zurück zum Zitat Lotan Y, Meng X. Critical treatment choices for patients with platinum-refractory urothelial carcinoma. Lancet Oncol. 2020;21(1):113.CrossRef
5.
Zurück zum Zitat Dietrich B, Siefker-Radtke AO, Srinivas S, Yu EY. Systemic therapy for advanced urothelial carcinoma: current standards and treatment considerations. Am Soc Clin Oncol Educ Book. 2018;38:342–53.CrossRefPubMed
6.
Zurück zum Zitat Office for National Statistics. Dataset: cancer survival in England - adults diagnosed. Released August 12, 2019. https://www.ons.gov.uk/peoplepopulationandcommunity/healthandsocialcare/conditionsanddiseases/datasets/cancersurvivalratescancersurvivalinenglandadultsdiagnosed. Accessed  21 July 2020.
7.
Zurück zum Zitat American Cancer Society. Survival rates for bladder cancer. Last revised: January 30, 2019. https://www.cancer.org/cancer/bladder-cancer/detection-diagnosis-staging/survival-rates.html. Accessed 21 July 2020.
8.
Zurück zum Zitat Cancer Research UK. Bladder cancer. Last reviewed: June 28, 2019. https://www.cancerresearchuk.org/about-cancer/bladder-cancer/survival. Accessed  21 July 2020.
9.
Zurück zum Zitat ESMO Guidelines Committee. eUpdate – bladder cancer treatment recommendations. 2019. https://www.esmo.org/guidelines/genitourinary-cancers/bladder-cancer/eUpdate-Bladder-Cancer-Treatment-Recommendations. Accessed  21 July 2020.
10.
Zurück zum Zitat Powles T, Park SH, Voog E, Caserta C, Valderrama BP, Gurney H, et al. Avelumab maintenance therapy for advanced or metastatic urothelial carcinoma. N Engl J Med. 2020;383(13):1218–30.CrossRefPubMed
11.
Zurück zum Zitat Bellmunt J, de Wit R, Vaughn DJ, Fradet Y, Lee J-L, Fong L, et al. Pembrolizumab as second-line therapy for advanced urothelial carcinoma. N Engl J Med. 2017;376(11):1015–26.CrossRefPubMedPubMedCentral
12.
Zurück zum Zitat Powles T, Durán I, van der Heijden MS, Loriot Y, Vogelzang NJ, De Giorgi U, et al. Atezolizumab versus chemotherapy in patients with platinum-treated locally advanced or metastatic urothelial carcinoma (IMvigor211): a multicentre, open-label, phase 3 randomised controlled trial. Lancet. 2018;391(10122):748–57.CrossRefPubMed
13.
Zurück zum Zitat Sharma P, Retz M, Siefker-Radtke A, Baron A, Necchi A, Bedke J, et al. Nivolumab in metastatic urothelial carcinoma after platinum therapy (CheckMate 275): a multicentre, single-arm, phase 2 trial. Lancet Oncol. 2017;18(3):312–22.CrossRefPubMed
14.
Zurück zum Zitat Fradet Y, Bellmunt J, Vaughn DJ, Lee JL, Fong L, Vogelzang NJ, et al. Randomized phase III KEYNOTE-045 trial of pembrolizumab versus paclitaxel, docetaxel, or vinflunine in recurrent advanced urothelial cancer: results of >2 years of follow-up. Ann Oncol. 2019;30(6):970–6.CrossRefPubMedPubMedCentral
15.
Zurück zum Zitat Necchi A, Fradet Y, Bellmunt J, de Wit R, Lee J, Fong L, et al. Three-year follow-up from the phase 3 KEYNOTE-045 trial: pembrolizumab (pembro) versus investigator’s choice (paclitaxel, docetaxel, or vinflunine) in recurrent, advanced urothelial cancer (UC). Ann Oncol. 2019;30(Suppl 5):v356-402.
16.
Zurück zum Zitat Loriot Y, Balar AV, Petrylak DP, Tagawa ST, Rezazadeh A, Fléchon A, et al. TROPHY-U-01 cohort 1 final results: a phase II study of sacituzumab govitecan (SG) in metastatic urothelial cancer (mUC) that has progressed after platinum (PLT) and checkpoint inhibitors (CPI). Ann Oncol. 2020;31(Suppl_4):S1142-215.
17.
Zurück zum Zitat O’Donnell PO, Galsky MD, Rosenberg JE, Petrylak DP, Balar AV, McGregor BA, et al. EV-201: Long-term results of enfortumab vedotin monotherapy for locally advanced or metastatic urothelial cancer previously treated with platinum and PD-1/PD-L1 inhibitors. Ann Oncol. 2020;31(Suppl_4):S550.
18.
Zurück zum Zitat Quezada SA, Peggs KS. Exploiting CTLA-4, PD-1 and PD-L1 to reactivate the host immune response against cancer. Br J Cancer. 2013;108(8):1560–5.CrossRefPubMedPubMedCentral
19.
Zurück zum Zitat Komiya T, Huang CH. Updates in the clinical development of epacadostat and other indoleamine 2,3-dioxygenase 1 inhibitors (IDO1) for human cancers. Front Oncol. 2018;8:423.CrossRefPubMedPubMedCentral
20.
Zurück zum Zitat Tsai YS, Jou YC, Tsai HT, Cheong IS, Tzai TS. Indoleamine-2,3-dioxygenase-1 expression predicts poorer survival and up-regulates ZEB2 expression in human early stage bladder cancer. Urol Oncol. 2019;37(11):810.e17-27.CrossRefPubMed
21.
Zurück zum Zitat Taylor MW, Feng GS. Relationship between interferon-gamma, indoleamine 2,3-dioxygenase, and tryptophan catabolism. FASEB J. 1991;5(11):2516–22.CrossRefPubMed
22.
Zurück zum Zitat Mellor AL, Munn DH. IDO expression by dendritic cells: tolerance and tryptophan catabolism. Nat Rev Immunol. 2004;4(10):762–74.CrossRefPubMed
23.
Zurück zum Zitat Holmgaard RB, Zamarin D, Munn DH, Wolchok JD, Allison JP. Indoleamine 2,3-dioxygenase is a critical resistance mechanism in antitumor T cell immunotherapy targeting CTLA-4. J Exp Med. 2013;210(7):1389–402.CrossRefPubMedPubMedCentral
24.
Zurück zum Zitat Takada K, Kohashi K, Shimokawa M, Haro A, Osoegawa A, Tagawa T, et al. Co-expression of IDO1 and PD-L1 in lung squamous cell carcinoma: potential targets of novel combination therapy. Lung Cancer. 2019;128:26–32.CrossRefPubMed
25.
Zurück zum Zitat Xu-Monette ZY, Xiao M, Au Q, Padmanabhan R, Xu B, Hoe N, et al. Immune profiling and quantitative analysis decipher the clinical role of immune-checkpoint expression in the tumor immune microenvironment of DLBCL. Cancer Immunol Res. 2019;7(4):644–57.CrossRefPubMed
26.
Zurück zum Zitat Rosenbaum MW, Gigliotti BJ, Pai SI, Parangi S, Wachtel H, Mino-Kenudson M, et al. PD-L1 and IDO1 are expressed in poorly differentiated thyroid carcinoma. Endocr Pathol. 2018;29(1):59–67.CrossRefPubMedPubMedCentral
27.
Zurück zum Zitat Spranger S, Spaapen RM, Zha Y, Williams J, Meng Y, Ha TT, et al. Up-regulation of PD-L1, IDO, and T(regs) in the melanoma tumor microenvironment is driven by CD8(+) T cells. Sci Transl Med. 2013;5(200):200ra116.CrossRefPubMedPubMedCentral
28.
Zurück zum Zitat Spranger S, Koblish HK, Horton B, Scherle PA, Newton R, Gajewski TF. Mechanism of tumor rejection with doublets of CTLA-4, PD-1/PD-L1, or IDO blockade involves restored IL-2 production and proliferation of CD8(+) T cells directly within the tumor microenvironment. J Immunother Cancer. 2014;2:3.CrossRefPubMedPubMedCentral
29.
Zurück zum Zitat Beatty GL, O’Dwyer PJ, Clark J, Shi JG, Bowman KJ, Scherle PA, et al. First-in-human phase I study of the oral inhibitor of indoleamine 2,3-dioxygenase-1 epacadostat (incb024360) in patients with advanced solid malignancies. Clin Cancer Res. 2017;23(13):3269–76.CrossRefPubMedPubMedCentral
30.
Zurück zum Zitat Smith DC, Gajewski T, Hamid O, Wasser JS, Olszanski AJ, Patel SP, et al. Epcadostat plus pembrolizumab in patients with advanced urothelial carcinoma: preliminary phase I/II results of ECHO-202/KEYNOTE-037. J Clin Oncol. 2017;35(Suppl 15):4503.CrossRef
31.
Zurück zum Zitat Eisenhauer EA, Therasse P, Bogaerts J, Schwartz LH, Sargent D, Ford R, et al. New response evaluation criteria in solid tumours: revised RECIST guideline (version 1.1). Eur J Cancer. 2009;45(2):228–47.CrossRefPubMed
32.
Zurück zum Zitat Bellmunt J, Choueiri TK, Fougeray R, Schutz FAB, Salhi Y, Winquest E, et al. Prognostic factors in patients with advanced transitional cell carcinoma of the urothelial tract experiencing treatment failure with platinum-containing regimens. J Clin Oncol. 2010;28(11):1850–5.CrossRefPubMed
33.
Zurück zum Zitat Long GV, Dummer R, Hamid O, Gajewski TF, Caglevic C, Dalle S, et al. Epacadostat plus pembrolizumab versus placebo plus pembrolizumab in patients with unresectable or metastatic melanoma (ECHO-301/KEYNOTE-252): a phase 3, randomised, double-blind study. Lancet Oncol. 2019;20(8):1083–97.CrossRefPubMed
34.
Zurück zum Zitat Necchi A, Van der Heijden MS, Trukhin D, Peer A, Gurney H, et al. Pembrolizumab plus either epacadostator placebo for cisplatin-ineligible urothelial carcinoma: results from the ECHO-307/KEYNOTE-672 study. BMC Cancer. In press.
35.
Zurück zum Zitat Smith M, Newton R, Owens S, Gong X, Tian C, Malesk J, Leopold L. Retrospective pooled analysis of epacadostat clinical studies identifies doses required for maximal pharmacodynamic effect in anti-PD-1 combination studies. J Immunother Cancer. 2020;8 Suppl 3: Abstract 28.

Neu im Fachgebiet Onkologie

Krebsrisiko nach assistierter Reproduktion weitgehend unverändert

Eine australische Studie hat die Krebsinzidenz bei Frauen nach medizinisch assistierter Reproduktion (MAR) untersucht. Insgesamt entspricht das Risiko dem der Allgemeinbevölkerung, einzelne Tumorarten treten jedoch häufiger oder seltener auf.

Wünsche älterer Krebskranker finden offenbar wenig Gehör

In einer US-Studie mit unheilbaren Krebspatientinnen und -patienten gaben die meisten einer bestmöglichen Lebensqualität den Vorzug vor längerem Überleben. Auf diesen Wunsch wurde in der Praxis jedoch nicht erkennbar eingegangen.

Dosierung von Irinotecan vom Metabolismus abhängig machen

Krebskranke, die Irinotecan schlecht verstoffwechseln, haben ein erhöhtes Risiko für schwere toxische Nebenwirkungen. Eine reduzierte Dosis kann davor schützen. Ob dies die Überlebenschancen beeinträchtigt, haben niederländische Medizinerinnen und Mediziner überprüft.

Prostatakarzinom: Frühe Taxantherapie bei Rauchern von Vorteil?

Eine Studie aus Japan legt nahe, dass Raucher mit Prostatakarzinom möglicherweise von einer frühzeitigen Chemotherapie mit Taxanen profitieren.

Update Onkologie

Bestellen Sie unseren Fach-Newsletter und bleiben Sie gut informiert.

Bildnachweise
Hormonelle Behandlung zur ovariellen Stimulation/© Suzi Media / stock.adobe.com (Symbolbild mit Fotomodell), Ältere Frau mit Tabletten in der Hand/© LIGHTFIELD STUDIOS / stock.adobe.com (Symbolbild mit Fotomodell), Infusion/© georgeoprea9 / Getty Images / iStock, Mann raucht eine Zigarette/© (M) StockPlanets / Getty images / istock (Symbolbild mit Fotomodell)