Zum Inhalt

Estimation of population affinity using proximal femoral measurements based on computed tomographic images in the Japanese and western Australian populations

  • Open Access
  • 20.05.2024
  • Original Article
Erschienen in:

Abstract

The present study analyzes morphological differences femora of contemporary Japanese and Western Australian individuals and investigates the feasibility of population affinity estimation based on computed tomographic (CT) data. The latter is deemed to be of practical importance because most anthropological methods rely on the assessment of aspects of skull morphology, which when damaged and/or unavailable, often hampers attempts to estimate population affinity. The study sample comprised CT scans of 297 (146 females; 151 males) Japanese and 330 (145 females; 185 males) Western Australian adult individuals. A total of 10 measurements were acquired in two-dimensional CT images of the left and right femora; two machine learning methods (random forest modeling [RFM]) and support vector machine [SVM]) were then applied for population affinity classification. The accuracy of the two-way (sex-specific and sex-mixed) model was between 71.38 and 82.07% and 76.09–86.09% for RFM and SVM, respectively. Sex-specific (female and male) models were slightly more accurate compared to the sex-mixed models; there were no considerable differences in the correct classification rates between the female- and male-specific models. All the classification accuracies were higher in the Western Australian population, except for the male model using SVM. The four-way sex and population affinity model had an overall classification accuracy of 74.96% and 79.11% for RFM and SVM, respectively. The Western Australian females had the lowest correct classification rate followed by the Japanese males. Our data indicate that femoral measurements may be particularly useful for classification of Japanese and Western Australian individuals.

Publisher’s Note

Springer Nature remains neutral with regard to jurisdictional claims in published maps and institutional affiliations.

Introduction

The identification of human skeletal remains, especially those that are significantly damaged and/or poorly preserved, is important in forensic anthropological practice [1]. The availability of multiple reliable methods to facilitate an anthropological assessment (e.g., biological profile) increases the likelihood of being able to identify unknown individuals from such remains [2]. Population affinity is a statistical approach based on underlying population structure that allows us to understand how microevolutionary forces work in concert with historical events to shape the diversity of modern humans [3]. Although it is an accepted fact that population affinity estimation, in conjunction with other parameters such as age-at death, is essential to the human identification process, it is one of the most difficult (and controversial) parameters of the biological profile [4, 5].
Because of known variations in cranial morphology between different geographic populations, numerous approaches to the estimation of population affinity based on the assessment of cranial feature, both morphoscopic and morphometric, are commonly applied by forensic anthropologists [6, 7]. In cases where the skull is unavailable or non-diagnostic due to poor preservation, the postcranial skeleton affords the only opportunity to morphologically evaluate population affinity. However, the methods for estimating population affinity based on the postcranial skeleton are less commonly applied because of relatively low ancestral variation that flows into poor predictive accuracy. The femur, especially the proximal region, is one of only a few postcranial bones that has previously been shown to present significant morphological variances relative to population affinity [813].
At present, there is a paucity of published research concerning estimating population affinity based on the analysis of the fragmentary femur [2, 14, 15]. Further, even though there are 8,443 Japanese residents in Western Australia in 2023 [16], no research has hitherto compared the morphology of Japanese and Western Australian femora. Asian, including Japanese, populations include individuals of different ethnic groups and from countries exhibiting evident phenotypic diversity in body size and shape [17]. Australia is a multicultural country with dynamic demographics, including many migrants from Southeast Asia [18]. In addition, there are approximately 750 unidentified human remains and 2,500 long-term missing persons cases in Australia in 2022 [19]. Therefore, an understanding of how such groups vary morphologically affords opportunity to further understand the utility of estimating ancestry in bones other than the skull, which has practical benefit in a forensic context.
Computed tomography (CT) provides a time-saving alternative to physical forensic examination because it can visualize a high level of detail in bone structures without requiring the removal of soft tissue, thus also protecting the remains from further invasive manipulation [17, 20]. In addition, two- and three-dimensional (2D; 3D) reconstruction of CT images can be analyzed with an appropriate level of reproducibility and accuracy; medical imaging thus provides an adequate proxy for physical remains to develop forensic standards that facilitate biological profiling of unknown skeletal remains [21].
As there is little extant research quantifying population affinity based on femoral measurements acquired in CT images [15, 22], the aims of the present study are as follows: (i) quantify morphological differences in the femora of contemporary Japanese and Western Australian individuals; and (ii) assess the accuracy of estimating population affinity based on the latter bone.

Materials and methods

Materials

Japanese population

The sample comprised postmortem CT (PMCT) scans of 297 adult corpses (146 female, mean age = 50.32 ± 16.75 years; 151 male, mean age = 48.83 ± 15.23 years) obtained from the Department of Forensic Medicine at the University of Tokyo between August 2017 and June 2022. The estimated postmortem interval for all the subjects was < 14 days. Exclusion criteria were femoral fractures, burn injuries, bone implant, visible degradation, pathologies, or anomalies potentially affecting normal measurements. The study protocol was approved by the Ethics Committee of the University of Tokyo (2121264NI).

Western Australian population

The sample comprised MDCT scans of 330 individuals age 18 years and older (145 female, mean age = 46.18 ± 12.60 years; 185 male, mean age = 44.35 ± 13.52 years) who presented at one of the major Western Australian hospitals (Perth region) for clinical evaluation between May 2007 and June 2012. In accordance with the National Statement on Ethical Conduct in Human Research (National Statement), the scans were anonymized, retaining only sex and age information. Although specific information on the ethnicity of each individual was not maintained in the patient data, the entire sample was taken as representative of a “typical” Western Australian population [23]. The largest proportion of the contemporary Australian population comprises individuals who identify as being of English (33.0%), Australian (29.9%), Irish (9.5%), Scottish (8.6%) and Chinese (5.5%) ethnicity; people who identify as Aboriginal and/or Torres Strait Islander decent comprise 3.2% of the total Australian population [24]. The exclusion criteria were the same as written for the Japanese population. Research ethics approval was granted by the Human Research Ethics Committee of the University of Western Australia (2020/ET000038).

Methods

For the Japanese subjects, PMCT scanning was performed with a 16-row detector CT system (Eclos; Fujifilm Healthcare Corporation, Tokyo, Japan). The scanning protocol was as follows: collimation of 1.25 mm, reconstruction interval of 1.25 mm, tube voltage of 120 kV, and tube current of 200 mA. For Western Australian subjects, MDCT imaging was performed using a 64-slice CT scanner (Brilliance; Phillips Healthcare, NSW, Australia) with an average slice thickness of 1.03 mm, tube voltage of 100–140 kV, and automatic tube current modulation. The reconstructions were performed per the original CT scan slice thickness.
Image data processing was performed on a workstation (OsiriX MD version 11.0.2; Pixmeo SARL, Geneva, Switzerland). Bone kernel was acquired and sent to the workstation. 2D CT images were viewed using a window width and level of 1500 and 300 HU, respectively. Five measurements (Table 1) were performed on left and right proximal femur, respectively. For the measurements of the upper epiphyseal length (UEL), vertical head diameter (VHD), and vertical neck diameter (VND), the coronal oblique plane reconstructed along the middle of the femoral head, neck, and trochanter was used [25] (Fig. 1a). The proximal width (PW) was confirmed in a horizontal section, and the trochanter height (TH) and PW were measured on a plane passing through PW and the superior point of the greater trochanter (Fig. 1b). The measurements were performed manually on CT images to the nearest 0.1 mm.
Table 1
Definitions of the femoral measurements
Measurement
Definition
Upper epiphyseal length (UEL)
Maximum upper epiphyseal length measured along the elongated neck axis from the most medial point on the femoral head to the lateral surface of the femur [27]
Vertical head diameter (VHD)
Maximum rectilinear vertical femoral head diameter measured perpendicular to the neck axis [27]
Vertical neck diameter (VND)
Minimum rectilinear cranio-caudal diameter of the neck [27]
Trochanter height (TH)
Distance between the superior point of the greater trochanter and the most medially projecting point on the lesser trochanter
Proximal width (PW)
Maximum diameter of the horizontal section including the most medially projecting point on the lesser trochanter
Fig. 1
Two-dimensional computed tomography images showing five femoral measurements (see Table 1 for definition): (a) Upper epiphyseal length (UEL), vertical head diameter (VHD), and vertical neck diameter (VND) on a coronal oblique plane; (b) trochanter height (TH) and proximal width (PW) on a plane passing through PW and the superior point of the greater trochanter
Bild vergrößern
Inter- (ST) and intra-observer reliability (AN) was assessed with repeated measurements taken from six subjects that were randomly selected from the sample. All ten femoral measurements were performed on each of the six subjects, and this process was repeated six times, with a minimum of two-day intervals. Subsequently, the relative technical error of measurement (rTEM) and coefficient of reliability (R) were calculated. The acceptable rTEM range was taken to be < 5% [2628] and R values > 0.75 were considered sufficiently precise [29, 30].
Descriptive statistics including ranges, mean, standard deviation and median for each set of measurements for both sexes and populations were calculated. The Brunner–Munzel test was used to determine if significant differences existed between the two groups; a p value of < 0.05 was considered statistically significant. Because all measurements were localized and related to the proximal femur, multicollinearity was verified by calculating the variance inflation factor (VIF). The analyses were performed using Excel (Microsoft Office 2019, Microsoft, Redmond, Washington, USA).
Two machine learning methods were used for population affinity classification: (i) random forest modeling (RFM) which is the process of repeatedly testing randomly drawn samples from the original training data (bootstraps), iterating the process to refine the model with multiple trees and aggregating the models trained on each bootstrap (bagging) [15, 31], and (ii) support vector machine (SVM) which generates classification rules by maximizing the margin between the two groups using data located at the edge of the multivariate space (the intersection of two groups) [32, 33].
Separate analyses using machine learning models were performed to classify the remains according to (i) two-way models distinguished by sex-specific (female and male) and sex-mixed population affinity; and (ii) a four-way model distinguished simultaneously by population affinity and sex. For the RFM, the random forest feature importance during the analysis was also calculated. Machine learning performance was analyzed using R 4.3.2 (R Foundation for Statistical Computing, Vienna, Austria) with the “randomForest” and “e1071” packages [34, 35].

Results

The intra-observer rTEM and R values ranged between 0.58 and 1.84%, and 0.870–0.994, respectively. Inter-observer agreement presented with similar variation, with the rTEM and R values ranging between 0.58 and 1.87%, and 0.860–0.994, respectively (Table 2).
Table 2
Relative technical error of measurements (rTEM, %) and coefficient of reliability (R)
Measurement
Intra-observer error
Inter-observer error
rTEM
R
 
rTEM
R
LUEL
0.62
0.989
 
0.58
0.990
LVHD
1.13
0.870
 
1.15
0.860
LVND
1.84
0.924
 
1.87
0.919
LTH
0.87
0.959
 
0.85
0.961
LPW
1.09
0.983
 
1.13
0.981
RUEL
0.58
0.994
 
0.60
0.994
RVHD
1.29
0.900
 
1.20
0.916
RVND
1.78
0.925
 
1.80
0.917
RTH
0.81
0.934
 
0.84
0.930
RPW
1.22
0.963
 
1.15
0.966
No significant age differences were found between the populations in both sexes (male, p = 0.081; female, p = 0.059).
The range, mean, standard deviation, and median values of the 10 measurements (five measurements on each side) for both sexes are shown in Tables 3 and 4. Regarding the female sample, all of the measurements were significantly larger in the Western Australian compared to the Japanese population. In considering the male sample, all measurements except for LTH and RTH were statistically significantly larger in the Western Australian population; no significant population affinity differences were observed LTH and RTH. The VIF values for each of the 10 measurements ranged from 1.87 to 6.67.
Table 3
Descriptive statistics of 10 femoral measurements (five measurements on each side) for the female sample
Measurement
Japanese (n = 146)
 
Western Australian (n = 145)
Range
Mean ± SD
Median
Range
Mean ± SD
Median
LUEL (mm)
7.39–9.79
8.63 ± 0.46
8.66
 
8.30–10.42
9.32 ± 0.42
9.27*
LVHD (mm)
3.41–4.79
4.20 ± 0.21
4.22
 
3.98–4.79
4.37 ± 0.18
4.37*
LVND (mm)
2.14–3.23
2.72 ± 0.22
2.74
 
2.61–3.36
2.93 ± 0.18
2.94*
LTH (mm)
4.30–7.55
6.34 ± 0.47
6.31
 
5.59–7.59
6.60 ± 0.43
6.58*
LPW (mm)
3.54–4.89
4.26 ± 0.28
4.25
 
3.72–5.29
4.47 ± 0.32
4.46*
RUEL (mm)
7.39–9.40
8.63 ± 0.44
8.70
 
8.54–10.13
9.18 ± 0.38
9.16*
RVHD (mm)
3.62–4.65
4.22 ± 0.20
4.22
 
4.05–4.89
4.39 ± 0.18
4.39*
RVND (mm)
2.14–3.25
2.72 ± 0.21
2.75
 
2.55–3.33
2.93 ± 0.19
2.93*
RTH (mm)
4.18–7.64
6.34 ± 0.50
6.32
 
5.47–7.70
6.57 ± 0.47
6.59*
RPW (mm)
3.59–5.03
4.29 ± 0.27
4.29
 
3.86–5.34
4.50 ± 0.32
4.48*
SD, Standard deviation; * Significantly larger than that of Japanese (p < 0.05 using Brunner–Munzel test)
Table 4
Descriptive statistics of 10 femoral measurements (five measurements on each side) for the male sample
Measurement
Japanese (n = 151)
 
Western Australian (n = 185)
Range
Mean ± SDa
Median
Range
Mean ± SD
Median
LUEL (mm)
9.30–10.76
9.82 ± 0.36
9.76
 
9.36–11.73
10.42 ± 0.56
10.43*
LVHD (mm)
4.41–5.46
4.83 ± 0.19
4.82
 
4.36–5.71
4.94 ± 0.25
4.91*
LVND (mm)
2.81–3.89
3.22 ± 0.19
3.18
 
2.89–4.05
3.39 ± 0.23
3.38*
LTH (mm)
6.23–8.16
7.24 ± 0.42
7.25
 
6.26–9.04
7.34 ± 0.50
7.31
LPW (mm)
4.30–5.47
4.84 ± 0.27
4.82
 
4.33–6.28
4.99 ± 0.36
4.93*
RUEL (mm)
9.30–11.00
9.85 ± 0.37
9.78
 
9.39–12.14
10.38 ± 0.54
10.32*
RVHD (mm)
4.42–5.41
4.85 ± 0.19
4.82
 
4.30–5.83
4.91 ± 0.26
4.88*
RVND (mm)
2.86–3.83
3.22 ± 0.20
3.21
 
2.88–3.98
3.37 ± 0.23
3.36*
RTH (mm)
6.27–8.45
7.28 ± 0.43
7.27
 
6.21–8.86
7.33 ± 0.49
7.31
RPW (mm)
4.34–5.47
4.87 ± 0.26
4.87
 
4.30–6.22
5.01 ± 0.37
4.98*
SD, Standard deviation; * Significantly larger than that of Japanese (p < 0.05 using Brunner–Munzel test)
The results of the machine learning models are presented in Tables 5 and 6. The accuracy of the two-way models ranged from 71.38 to 82.07% and 76.09–86.09% for RFM and SVM, respectively. The sex-specific models had slightly higher correct classification rates than the sex-mixed models. No considerable differences in the correct population affinity classification rates were observed between the female- and male-specific models. All the correct classification rates were higher in the Western Australian sample except for the male model using SVM.
Table 5
Classification matrix showing the classification of groups according to population affinity (two-way models)
Sex
Group
RFM
 
SVM
JP
WA
% Correct
JP
WA
% Correct
Female
JP
112
34
76.71%
 
120
26
82.19%
 
WA
26
119
82.07%
 
23
122
84.13%
 
All
  
79.38%
   
83.16%
Male
JP
118
33
78.15%
 
130
21
86.09%
 
WA
37
148
80.00%
 
29
156
84.32%
 
All
  
79.17%
   
85.12%
Sex-mixed
JP
212
85
71.38%
 
226
71
76.09%
 
WA
68
262
79.39%
 
54
276
83.64%
 
All
  
75.60%
   
80.06%
RFM, random forest modeling; SVM, support vector machine; JP, Japanese; WA, Western Australian
Table 6
Classification matrix showing the classification of groups according to population affinity and sex (four-way models)
Group
RFM
 
SVM
JPF
JPM
WAF
WAM
% Correct
JPF
JPM
WAF
WAM
% Correct
JPF
113
0
33
0
77.40%
 
121
0
25
0
82.88%
JPM
0
111
8
32
73.51%
 
0
120
7
24
79.47%
WAF
27
10
102
6
70.34%
 
24
9
105
7
72.41%
WAM
0
37
4
144
77.84%
 
0
31
4
150
81.08%
All
    
74.96%
     
79.11%
JPF, Japanese female; JPM, Japanese male; WAF, Western Australian female, WAM, Western Australian male
The four-way model revealed overall classification accuracy values of 74.96% and 79.11% for RFM and SVM, respectively; these values were slightly smaller than those in the two-way models. Correct classification according to population was lowest in Western Australian female sample, followed by the Japanese male sample.
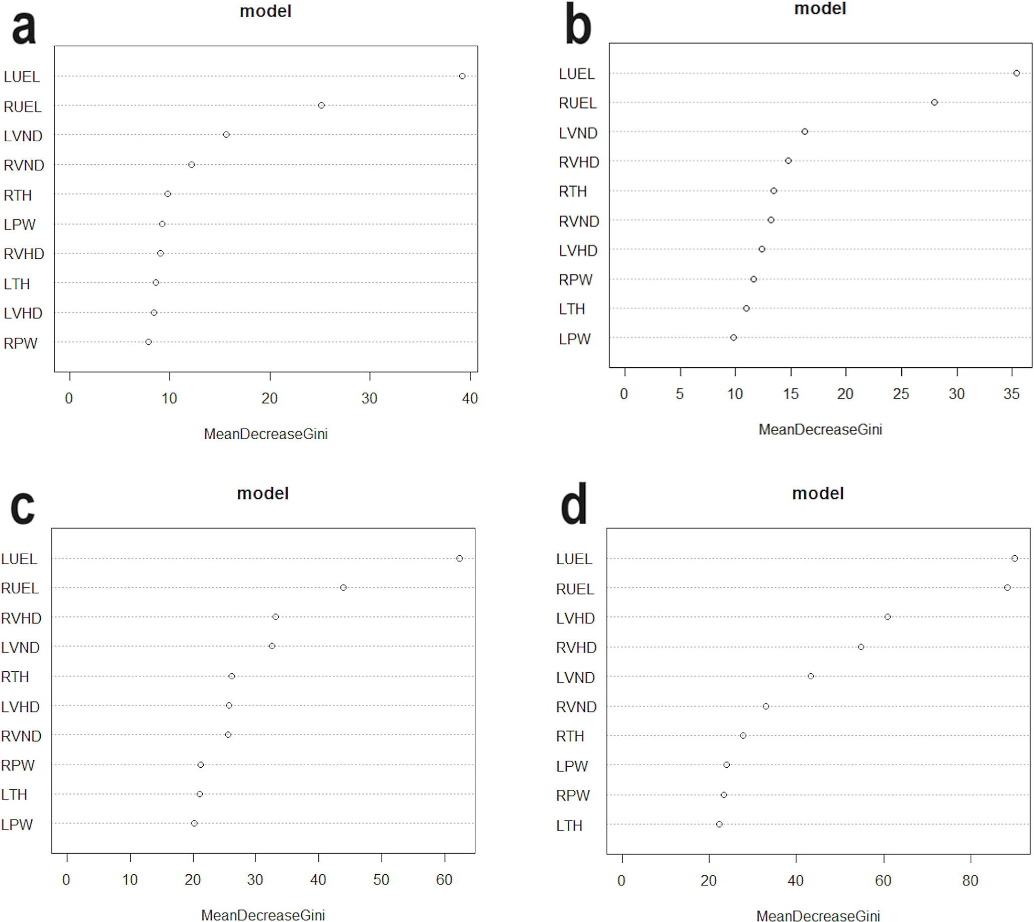
The random forest feature importance showed that left and right UELs were the strongest weighted measurements for correct classifications (express the greatest population variance) (Table 7; Fig. 2).
Table 7
Random forest feature importance (mean decrease Gini) in each model for the response variable
Variable
Mean decrease Gini
      
2-way female model
2-way male model
2-way sex-mixed model
4-way population affinity and sex model
LUEL
39.20
 
35.39
 
62.38
 
90.11
LVHD
8.44
 
12.35
 
25.70
 
60.87
LVND
15.61
 
16.25
 
32.52
 
43.30
LTH
8.58
 
10.99
 
21.11
 
22.35
LPW
9.23
 
9.85
 
20.24
 
23.97
RUEL
25.11
 
27.96
 
43.96
 
88.51
RVHD
9.03
 
14.79
 
33.22
 
54.73
RVND
12.19
 
13.19
 
25.52
 
32.88
RTH
9.75
 
13.46
 
26.19
 
27.76
RPW
7.90
 
11.61
 
21.22
 
23.36
Fig. 2
Random forest feature importance (mean decrease Gini) for the response variable: (a) the two-way female model, (b) the two-way male model, (c) the two-way sex-mixed model, and (d) the four-way population affinity and sex model
Bild vergrößern

Discussion

In the present study, the intra- and inter-observer errors were small and can be acceptable; the femoral measurement using CT images was thus considered to be precise and reproducible.
Previous studies suggested that femoral neck width increased with age probably due to endocortical resorption from maintaining resistance to loaded stress [22, 36, 37]. However, in this study, there were no significant age differences between the populations in both sexes.
The results of this study demonstrated that significant differences between the Japanese and Western Australian populations in various measurement values. Previous studies [38, 39] reported significant variances in femoral measurements between South African groups (Black, White, and mixed-ancestry). Several studies demonstrated that Asian groups had shorter femoral neck dimensions and thicker cortical bone than other groups [22, 40, 41]. Attia et al. [15] also reported that The Egyptian had shorter femoral necks on average than individuals in other populations studied. Conversely, Chin et al. [40] suggested that premenopausal Polynesian females had longer femoral necks than European and other ethnic groups. The latter data combined clearly suggest that there may be considerable differences in femoral measurements between different populations.
Colman et al. [25] reported the high VIF values of femoral head measurements in a Dutch population, indicating high levels of multicollinearity. The results of this study also demonstrated some measurements with VIF values more than 6. Thus, there is a need to explore femoral bone measurements with less multicollinearity in the future.
In the present study, the classification accuracy of Japanese and Western Australian individuals to their respective population groups was approximately 80% using RFM and SVM, respectively. Similarly, Attia et al. [15] reported that using RFM and the linear variables based on femoral measurements in Egyptian, Indian, and Greek populations, the overall accuracy reached 83% and 72% for females and males, respectively. Thus, although phenotypic differences between populations are known to be most pronounced in the skull [42], the comprehensive information presented in this study may be particularly useful for forensic investigations where the skull is damaged and unavailable. L’Abbé et al. [43] reported that data on the cranium tend to misclassify individuals according to sex. On the other hand, sexual size dimorphism appears to be more evident in the postcranial skeleton [44], and previous studies have found postcranial elements to be useful in facilitating more accurate sex estimates than the skull [11, 4547]. Thus, the use of a multifactorial approach provides potential to combine probability and likelihood, to enhance identification efforts, and to achieve greater reliability that is necessary in a forensic context.
The present study demonstrated that performing sex-specific analyses of population affinity improves classification accuracy by reducing group overlap and more effectively separating groups; Attia et al. [15] reported a similar finding. Sex accounts for most of the variation between groups, and population affinity for most of the remaining [48], therefore, when the effect of population-specific sexual dimorphism is removed, the model only has to assess morphological differences associated with population variances.
Previous studies have found that higher classification accuracy was generally achieved with female, compared to male, sex-specific models [15]. Using linear discriminant analysis, Holliday and Falsetti [49] achieved 100% accurate population affinity classification in females, versus 87% of the male training sample for discriminating African-American from European-American skeletons using postcranial measurements. Liebenberg et al. [44] reported higher classification accuracy for South African Black females (70%) relative to males (67%), and for colored females (80%) compared to males (73%). However, in the present study, there was no considerable differences in the correct classification rates between the female- and male-specific models. Similarly, Liebenberg et al. [44] revealed that both females and males were classified equally (93%) among South African whites.
The two-way models applied in the present study demonstrate that correct classification rates were higher for Western Australian individuals except for the male model using SVM. However, regarding the four-way models, the Western Australian female and Japanese male individuals had the lower correct classification rates compared with the Western Australian male and Japanese female samples. These results indicate that the proximal femur of Western Australian female and Japanese male are similar in size, larger than those of Japanese females, and smaller than those of Western Australian males. Therefore, it is suggested that accurate sex determination is quite important for population affinity estimation between Japanese and Western Australians.
In the present study, the UEL was the most accurate variable for discriminating between the two population groups. Christensen et al. [14] also reported that the UEL showed significant differences among all groups (Europeans, Africans, and Asians) and may therefore potentially be used to reliably assess population affinity in unidentified human remains in a forensic context.
In the present study, machine learning methods were used for population affinity classification. Over the last decade, machine learning algorithms have provided new insight into human variation. In addition, they have outperformed traditional classification methods in anthropological research [31, 50]. Recently, researchers have used RFM in both morphoscopic and morphometric approaches to population affinity estimation [31, 32]. RFM can tackle classification and regression tasks in a supervised learning framework, and in terms of unsupervised learning, it can be used for data clustering, missing value imputation, and novelty and outlier detection [30]. The most important advantage of RFM is that it transforms low-bias and high-variance models into low-bias and low-variance models, by training multiple decision trees simultaneously because low variance is the most valuable feature for anthropological applications [51]. In addition, one of the most interesting features is that it does not require cross-validation to obtain unbiased estimates of model performance [30]. Moreover, RFM provides more accurate models than linear discriminant analysis in population affinity estimation (multi-group classification) based on the femoral measurements [15]. However, the classical algorithms have the advantage of being able to create estimation formulae. Therefore, regarding population affinity estimation using the measurements ​​of this study, it is necessary to conduct a comparative study between machine learning algorithms and major classical algorithms in the future. In addition, Attia et al. [15] also reported that classification accuracy varied depending on the type and number of variables used, available skeletal elements, and the specific populations studied. Thus, further investigation of the feasibility of population affinity estimation based on other bones, and/or in other populations, would provide useful information for professional practice.
Previous studies [5254] demonstrated that the SVM was more effective than RFM in population affinity assessment. Similarly, in the present study, probably due to the relatively small amount of data, SVM showed higher rates of correct classification than RFM. However, no study has used SVM for population affinity estimation based on femoral measurements. Further studies regarding other machine learning methods for population affinity assessment are required to explore this in more detail.
There were several studies on population affinity estimation which have analyzed the femoral data obtained from physical specimens and dual-energy x-ray absorptiometry [2, 14]. Conversely, aside from the work we present here, only one previous study [15] has investigated the feasibility of multiple femoral measurements acquired in CT images to estimate population affinity. CT imaging can reduce the time-consuming and tedious nature of skeletal maceration or the need for physical storage space [5557]. In addition, CT data is easier to share among institutions in different countries than the physical specimen, which facilitates collection of multi-population data and a deeper understanding of the diversity of femoral morphology.
It is important to acknowledge that the present study had some limitations. First, both PMCT and CT data from surviving patients were used. Although the measurements of human bones are not expected to change dramatically after death, those differences were not assessed in this study. Second, data were collected from two different facilities using 16- and 64-row detector CT systems and under different conditions for reconstructed images. However, it has been empirically demonstrated that variations in the type of CT scanner used, slice thickness, and exposure levels have no significant effect on the acquisition of linear measurement data [56]. Thus, data from a large number of hospitals and departments can be used without concern regarding the accuracy of the virtual models generated. Third, estimating population affinity from the proximal femur alone requires consideration of differences in physical activity, environmental adaptations, genetic origins, and diet [22, 5861]. However, information on those details was not available in the present study. Finally, estimation formulas are not derived when using machine learning algorithms as in this study; the use of the method in this study at other institutions is limited. In the future, it will be necessary to conduct further comprehensive research and develop software for population affinity estimation which can be applied to forensic investigation.

Conclusions

This study demonstrated that application of proximal femoral measurements derived in CT images can be used to accurate classify individuals of Japanese and Western Australian origin; this is especially beneficial in a forensic or anthropological context where commonly investigated elements such as the skull are unavailable. Further studies regarding population affinity estimation based on other skeletal measurements and populations should be conducted.

Declarations

Ethical approval

The study protocol was approved by the Ethics Committee of the University of Tokyo (2121264NI) and the Human Research Ethics Committee of the University of Western Australia (2020/ET000038). In addition, this study complies with the current laws of the countries in which it was performed.
Patient’s informed consent for publication was not required. All data were anonymized at the time of collection.

Human ethics

Not applicable.

Competing interests

The authors declare no competing interests.
Open Access This article is licensed under a Creative Commons Attribution 4.0 International License, which permits use, sharing, adaptation, distribution and reproduction in any medium or format, as long as you give appropriate credit to the original author(s) and the source, provide a link to the Creative Commons licence, and indicate if changes were made. The images or other third party material in this article are included in the article’s Creative Commons licence, unless indicated otherwise in a credit line to the material. If material is not included in the article’s Creative Commons licence and your intended use is not permitted by statutory regulation or exceeds the permitted use, you will need to obtain permission directly from the copyright holder. To view a copy of this licence, visit http://creativecommons.org/licenses/by/4.0/.

Publisher’s Note

Springer Nature remains neutral with regard to jurisdictional claims in published maps and institutional affiliations.
Download
Titel
Estimation of population affinity using proximal femoral measurements based on computed tomographic images in the Japanese and western Australian populations
Verfasst von
Suguru Torimitsu
Akari Nakazawa
Ambika Flavel
Lauren Swift
Yohsuke Makino
Hirotaro Iwase
Daniel Franklin
Publikationsdatum
20.05.2024
Verlag
Springer Berlin Heidelberg
Erschienen in
International Journal of Legal Medicine / Ausgabe 5/2024
Print ISSN: 0937-9827
Elektronische ISSN: 1437-1596
DOI
https://doi.org/10.1007/s00414-024-03257-5
1.
Zurück zum Zitat Balseven-Odabasi A, Yalcinozan E, Keten A, Akçan R, Tumer AR, Onan A, Canturk N, Odabasi O, Hakan Dinc A (2013) Age and sex estimation by metric measurements and fusion of hyoid bone in a Turkish population. J Forensic Leg Med 20:496–501. https://doi.org/10.1016/j.jflm.2013.03.022CrossRefPubMed
2.
Zurück zum Zitat Meeusen RA, Christensen AM, Hefner JT (2015) The use of femoral neck axis length to estimate sex and ancestry. J Forensic Sci 60:1300–1304 PMID: 26258403. https://doi.org/10.1111/1556-4029.12820CrossRefPubMed
3.
Zurück zum Zitat Ross AH, Pilloud M (2021) The need to incorporate human variation and evolutionary theory in forensic anthropology: a call for reform. Am J Phys Anthropol 176:672–683. https://doi.org/10.1002/ajpa.24384CrossRefPubMed
4.
Zurück zum Zitat Bethard JD, DiGangi EA (2020) Letter to the editor-moving beyond a Lost cause: Forensic Anthropology and Ancestry estimates in the United States. J Forensic Sci 65:1791–1792. https://doi.org/10.1111/1556-4029.14513CrossRefPubMed
5.
Zurück zum Zitat Ross AH, Williams SE (2021) Ancestry studies in Forensic Anthropology: back on the Frontier of Racism. Biology (Basel) 10:602. https://doi.org/10.3390/biology10070602CrossRefPubMed
6.
Zurück zum Zitat Ousley SD, Jantz RL (1993) Fordisc personal computer forensic discriminant function. The University of Tennessee, Knoxville
7.
Zurück zum Zitat Hefner JT (2009) Cranial nonmetric variation and estimating ancestry*. J Forensic Sci 54:985–995. https://doi.org/10.1111/j.1556-4029.2009.01118.xCrossRefPubMed
8.
Zurück zum Zitat Stewart TD (1962) Anterior femoral curvature: its utility for race identification. Hum Biol 34:49–62PubMed
9.
Zurück zum Zitat Ballard ME (1999) Anterior femoral curvature revisited: race assessment from the femur. J Forensic Sci 44:700–707CrossRefPubMed
10.
Zurück zum Zitat Wescott DJ (2005) Population variation in femur subtrochanteric shape. J Forensic Sci 50:286–293. https://doi.org/10.1520/JFS2004281CrossRefPubMed
11.
Zurück zum Zitat Steyn M, Işcan MY (1998) Sexual dimorphism in the crania and mandibles of South African whites. Forensic Sci Int 98:9–16. https://doi.org/10.1016/s0379-0738(98)00120-0CrossRefPubMed
12.
Zurück zum Zitat Henneberg M, Van den Berg ER (1990) Test of socioeconomic causation of secular trend: stature changes among favored and oppressed south africans are parallel. Am J Phys Anthropol 83:459–465. https://doi.org/10.1002/ajpa.1330830407CrossRefPubMed
13.
Zurück zum Zitat Louw GJ, Henneberg M (1997) Lack of secular trend in adult stature in white South African males born between 1954 and 1975. Homo 48:54–61
14.
Zurück zum Zitat Christensen AM, Leslie WD, Baim S (2014) Ancestral differences in femoral neck axis length: possible implications for forensic anthropological analyses. Forensic Sci Int 236. https://doi.org/10.1016/j.forsciint.2013.12.027Epub 2014 Jan 7 :193.e1-193.e4
15.
Zurück zum Zitat Attia MH, Attia MH, Farghaly YT, Abulnoor BAE, Manolis SK, Purkait R, Ubelaker DH, Sotiris K, Manolis (2022 February) Purkait’s triangle revisited: role in sex and ancestry estimation. Forensic Sci Res 7 14:440–455. https://doi.org/10.1080/20961790.2021.1963396
16.
Zurück zum Zitat Annual Report of Statistics on Japanese Nationals Overseas (2024) https://www.mofa.go.jp/mofaj/files/100436737.pdf Accessed 22
17.
Zurück zum Zitat Setiawati R, Rahardjo P, Ruriana I, Guglielmi G (2023) Anthropometric study using three-dimensional pelvic CT scan in sex determination among adult Indonesian population. Forensic Sci Med Pathol 19:24–33. https://doi.org/10.1007/s12024-022-00526-wCrossRefPubMed
18.
Zurück zum Zitat Franklin D, Flavel A (2019) Population specificity in the estimation of skeletal age and sex: case studies using a western Australian population. Aust J Forensic Sci 51(sup1):S188–S192. https://doi.org/10.1080/00450618.2019.1569722CrossRef
19.
Zurück zum Zitat Ward J (2022) A multifaceted, multijurisdictional, multiagency, and multidisciplinary approach to investigating unidentified and missing persons cases in Australia. Forensic Sci Int Genet Suppl Ser 8:53–55. https://doi.org/10.1016/j.fsigss.2022.09.020CrossRef
20.
Zurück zum Zitat Decker SJ, Davy-Jow SL, Ford JM, Hilbelink DR (2011) Virtual determination of sex: metric and nonmetric traits of the adult pelvis from 3D computed tomography models. J Forensic Sci 56:1107–1114. https://doi.org/10.1111/j.1556-4029.2011.01803.xCrossRefPubMed
21.
Zurück zum Zitat Ramsthaler F, Kettner M, Gehl A, Verhoff MA (2010) Digital forensic osteology: morphological sexing of skeletal remains using volume-rendered cranial CT scans. Forensic Sci Int 195:148–152. https://doi.org/10.1016/j.forsciint.2009.12.010CrossRefPubMed
22.
Zurück zum Zitat Kim KM, Brown JK, Kim KJ, Choi HS, Kim HN, Rhee Y, Lim SK (2011) Differences in femoral neck geometry associated with age and ethnicity. Osteoporos Int 22:2165–2174. https://doi.org/10.1007/s00198-010-1459-zCrossRefPubMed
23.
Zurück zum Zitat Franklin D, Cardini A, Flavel A, Kuliukas A (2013) Estimation of sex from cranial measurements in a western Australian population. Forensic Sci Int 229. https://doi.org/10.1016/j.forsciint.2013.03.005. :158.e1–158.e8
24.
Zurück zum Zitat Australian Bureau of Statistics (2021) /2022 Cultural Diversity: Census: Information on country of birth, year of arrival, ancestry, language and religion. https://www.abs.gov.au/statistics/people/people-and-communities/cultural-diversity-census/latest-release. Accessed 27 March 2024
25.
Zurück zum Zitat Colman KL, Janssen MCL, Stull KE, van Rijn RR, Oostra RJ, de Boer HH, van der Merwe AE (2018) Dutch population specific sex estimation formulae using the proximal femur. Forensic Sci Int 286:268e1–268e8. https://doi.org/10.1016/j.forsciint.2017.12.029CrossRef
26.
Zurück zum Zitat Goto R, Mascie-Taylor CG (2007) Precision of measurement as a component of human variation. J Physiol Anthropol 26:253–256. https://doi.org/10.2114/jpa2.26.253CrossRefPubMed
27.
Zurück zum Zitat Franklin D, Cardini A, Flavel A, Kuliukas A, Marks MK, Hart R, Oxnard C, O’Higgins P (2013) Concordance of traditional osteometric and volume-rendered MSCT interlandmark cranial measurements. Int J Legal Med 127:505–520. https://doi.org/10.1007/s00414-012-0772-9CrossRefPubMed
28.
Zurück zum Zitat Ulijaszek SJ, Kerr DA (1999) Anthropometric measurement error and the assessment of nutritional status. Br J Nutr 82:165–177. https://doi.org/10.1017/S0007114599001348CrossRefPubMed
29.
Zurück zum Zitat Bass WM (2005) Human osteology: a laboratory and field manual, 5th edn. University of Columbia, MO
30.
Zurück zum Zitat Weinberg SM, Scott NM, Neiswanger K, Marazita ML (2005) Intraobserver error associated with measurements of the hand. Am J Hum Biol 17:368–371. https://doi.org/10.1002/ajhb.20129CrossRefPubMed
31.
Zurück zum Zitat Navega D, Coelho C, Vicente R, Ferreira MT, Wasterlain S, Cunha E (2015) AncesTrees: ancestry estimation with randomized decision trees. Int J Legal Med 129:1145–1153. https://doi.org/10.1007/s00414-014-1050-9CrossRefPubMed
32.
Zurück zum Zitat Spiros MC, Hefner JT (2020) Ancestry estimation using cranial and postcranial macromorphoscopic traits. J Forensic Sci 65:921–929. https://doi.org/10.1111/1556-4029.14231CrossRefPubMed
33.
Zurück zum Zitat Cortes C, Vapnik V (1995) Support-vector networks. Mach Learn 20:273–297. https://doi.org/10.1007/BF00994018CrossRef
34.
Zurück zum Zitat Liaw A, Wiener M (2002) Classification and regression by random forest. R News 2:18–22
35.
Zurück zum Zitat Meyer D, Dimitriadou E, Hornik K (2023) Package e1071: Misc functions of the department of statistics, probability theory group (formerly: E1071), TU Wien. R package version 1.7–14. https://CRAN.R-project.org/package=e1071. https://​cran.​r-project.​org/​web/​packages/​e1071/​e1071.​pdf Accessed 8 January 2024
36.
Zurück zum Zitat Seeman E (2002) Pathogenesis of bone fragility in women and men. Lancet 359:1841–1850. https://doi.org/10.1016/S0140-6736(02)08706-8CrossRefPubMed
37.
Zurück zum Zitat Gregory JS, Aspden RM (2008) Femoral geometry as a risk factor for osteoporotic hip fracture in men and women. Med Eng Phys 30:1275–1286. https://doi.org/10.1016/j.medengphy.2008.09.002CrossRefPubMed
38.
Zurück zum Zitat Krüger GC, L’Abbé EN, Stull KE (2017) Sex estimation from the long bones of modern South africans. Int J Legal Med 131:275–285. https://doi.org/10.1007/s00414-016-1488-zCrossRefPubMed
39.
Zurück zum Zitat Siddiqi N (2013) Comparison of osteometric femoral bone dimensions among the South africans of different ethnic groups and South African whites. Jforensic Sci 3:8–14. https://doi.org/10.1016/j.ejfs.2012.11.001CrossRef
40.
Zurück zum Zitat Chin K, Evans MC, Cornish J, Cundy T, Reid IR (1997) Differences in hip axis and femoral neck length in premenopausal women of Polynesian, Asian and European origin. Osteoporos Int 7:344–347. https://doi.org/10.1007/BF01623775CrossRefPubMed
41.
Zurück zum Zitat Ishii S, Cauley JA, Greendale GA, Danielson ME, Safaei Nili N, Karlamangla A (2012) Ethnic differences in composite indices of femoral neck strength. Osteoporos Int 23:1381–1390. https://doi.org/10.1007/s00198-011-1723-xCrossRefPubMed
42.
Zurück zum Zitat Patriquin ML, Steyn M, Loth SR (2002) Metric assessment of race from the pelvis in South africans. Forensic Sci Int 127:104–113. https://doi.org/10.1016/s0379-0738(02)00113-5CrossRefPubMed
43.
Zurück zum Zitat L’Abbé EN, Kenyhercz MW, Stull KE, Keough N, Nawrocki S (2013) Application of Fordisc 3.0 to explore differences among crania of north American and South African blacks and whites. J Forensic Sci 58:1579–1583. https://doi.org/10.1111/1556-4029.12198CrossRefPubMed
44.
Zurück zum Zitat Liebenberg L, Krüger GC, L’Abbé EN, Stull KE (2019) Postcraniometric sex and ancestry estimation in South Africa: a validation study. Int J Legal Med 133:289–296 PMID: 29797281. https://doi.org/10.1007/s00414-018-1865-xCrossRefPubMed
45.
Zurück zum Zitat Dayal MR, Spocter MA, Bidmos MA (2008) An assessment of sex using the skull of black South africans by discriminant function analysis. Homo 59:209–221. https://doi.org/10.1016/j.jchb.2007.01.001CrossRefPubMed
46.
Zurück zum Zitat Krüger GC, L’Abbé EN, Stull KE, Kenyhercz MW (2015) Sexual dimorphism in cranial morphology among modern South africans. Int J Legal Med 129:869–875. https://doi.org/10.1007/s00414-014-1111-0CrossRefPubMed
47.
Zurück zum Zitat Spradley MK, Jantz RL (2011) Sex estimation in forensic anthropology: skull versus postcranial elements. J Forensic Sci 56:289–296. https://doi.org/10.1111/j.1556-4029.2010.01635.xCrossRefPubMed
48.
Zurück zum Zitat Richman EA, Michel ME, Schulter-Ellis FP, Corruccini RS (1979) Determination of sex by discriminant function analysis of postcranial skeletal measurements. J Forensic Sci 24:159–167. https://doi.org/10.1520/JFS10803JCrossRefPubMed
49.
Zurück zum Zitat Holliday TW, Falsetti AB (1999) A new method for discriminating African-American from european-american skeletons using postcranial osteometrics reflective of body shape. J Forensic Sci 44:926–930. https://doi.org/10.1520/JFS12018JCrossRefPubMed
50.
Zurück zum Zitat Ousley SD (2016) Forensic classification and biodistance in the 21st century: the rise of learning machines. In: Pilloud MA, Hefner JT (eds) Biological distance analysis: forensic and bioarchaeological perspectives. Elsevier, London (UK), pp 197–212CrossRef
51.
Zurück zum Zitat Gill GW, Hughes SS, Bennett SM, Gilbert BM (1988) Racial identification from the midfacial skeleton with special reference to American indians and whites. J Forensic Sci 33:92–99. https://doi.org/10.1520/JFS12440JCrossRefPubMed
52.
Zurück zum Zitat Breiman L (2001) Random forests. Mach Learn 45:5–32. https://doi.org/10.1023/A:1010933404324CrossRef
53.
Zurück zum Zitat Oladipo GS, Ugomba HAA, Suleiman YA (2009) Comparative study of the subpubic angle of adult ijaws and igbos. Asian J Med Sci 1:26–29
54.
Zurück zum Zitat Price B, Cameron N, Tobias PV (1987) A further search for a secular trend of adult body size in South African blacks: evidence from the femur and tibia. Hum Biol 59:467–475PubMed
55.
Zurück zum Zitat Cunha E, Ubelaker DH (2020) Evaluation of ancestry from human skeletal remains: a concise review. Forensic Sci Res 5:89–97. https://doi.org/10.1080/20961790.2019.1697060CrossRefPubMed
56.
Zurück zum Zitat Colman KL, Dobbe JGG, Stull KE, Ruijter JM, Oostra RJ, van Rijn RR, van der Merwe AE, de Boer HH, Streekstra GJ (2017) The geometrical precision of virtual bone models derived from clinical computed tomography data for forensic anthropology. Int J Legal Med 131:1155–1163. https://doi.org/10.1007/s00414-017-1548-zCrossRefPubMedPubMedCentral
57.
Zurück zum Zitat Ubelaker DH, Ross AH, Graver SM (2002) Application of forensic discriminant functions to a Spanish cranial sample. Forensic Sci Commun 4:1–6. https://archives.fbi.gov/archives/about-us/lab/forensic-science-communications/fsc/july2002/ubelaker1.htm
58.
Zurück zum Zitat Wescott DJ (2006) Ontogeny of femur subtrochanteric shape in native americans and American Blacks and whites. J Forensic Sci 51:1240–1245. https://doi.org/10.1111/j.1556-4029.2006.00261.xCrossRefPubMed
59.
Zurück zum Zitat Alunni V, du Pd J, Nogueira L, Buchet L, Quatrehomme G (2015) Comparing discriminant analysis and neural network for the determination of sex using femur head measurements. Forensic Sci Int 253:81–87. https://doi.org/10.1016/j.forsciint.2015.05.023CrossRefPubMed
60.
Zurück zum Zitat Dayal M, Steyn M, Kevin L (2008) Stature estimation from bones of South African whites. S Afr J Sci 104:1–8
61.
Zurück zum Zitat Macho GA (1991) Morphological asymmetries in southern African populations. Further evidence for lateralization. Int J Anthropol 6:215–229. https://doi.org/10.1007/BF02444949CrossRef

Neu im Fachgebiet Rechtsmedizin

S2k-Leitlinie Früher Schwangerschaftsverlust im 1. Trimenon

Im Jahr 2025 wurde die S2k-Leitlinie Früher Schwangerschaftsverlust im 1. Trimenon veröffentlicht. In dieser Leitlinie werden sowohl für gestörte Frühgraviditäten als auch Schwangerschaften unklarer Lokalisation mit daraus resultierendem Abort …

Herausforderungen in der Diagnostik pädiatrischer Lymphome

Lymphome bei Kindern und Jugendlichen machen nur 1–2 % aller Lymphome aus und unterscheiden sich deutlich von denen bei Erwachsenen hinsichtlich Subtypverteilung, molekularen Profilen und Prognose. In der folgenden Übersicht werden aktuelle …

Protein kinase-related tumors in the pediatric population

  • Open Access
  • Schwerpunkt: Kinderpathologie: Von früher Plazenta bis Neoplasien

Advanced and widespread molecular techniques have deepened our understanding of mesenchymal lesions, revealing considerable overlap among morphologically defined entities now known to be related to protein kinases (PKs). This paradigm shift is …

Seltene kindliche benigne Tumoren/Läsionen im Kopfbereich

Benigne Tumoren und Läsionen im Kopfbereich bei Kindern sind selten und können eine diagnostische Herausforderung sein. Im Rahmen dieses Artikels werden ausgewählte seltene kindliche, benigne Läsionen im Kopfbereich vorgestellt mit dem Ziel, die …