Zum Inhalt

Evaluation of indexing pulse pressure variation during low tidal ventilation

An experimental pilot study

  • Open Access
  • 01.09.2025
  • Originalien
Erschienen in:

Abstract

Background

To reliably assess fluid responsiveness using pulse pressure variation (PPV), tidal volumes (VT) of at least 8 ml/kg of ideal bodyweight are recommended. This contrasts with the current recommendations for lung-protective mechanical ventilation, which advocate VTs between 6 and 8 ml/kg to minimize ventilator-induced lung injury.

Objective

The aim of this study was to analyze whether indexing PPV to certain ventilatory parameters can be a possibility for VT-independent assessment of fluid responsiveness during mechanical ventilation with lower tidal volumes.

Material and methods

Hemodynamic and ventilatory data were collected from eight anesthetized, paralyzed, intubated and mechanically ventilated pigs. Each animal was ventilated with four different VTs (4, 6, 8, and 12 ml/kg) during volume-controlled ventilation, across four intravascular fluid states: normovolemia; hypovolemia induced by bleeding and two stages of fluid resuscitation induced by retransfusion and additional fluid administration. The PPV values were indexed to various ventilatory parameters including VT, plateau pressure (Pplat) and driving pressure (∆P), as well as transpulmonary pressures and composite parameters, such as minute ventilation (MV), mechanical power and mechanical energy.

Results

Indexing PPV to MV (PPV/MV) resulted in values with the smallest variation across different VTs, followed by PPV/VT, PPV/Pplat and PPV/∆P. These indexed parameters exhibited high ratios of explained variance (R2) to regression slope (β), indicating reduced VT dependency. In each case, higher values reflected a greater calculated fluid deficit.

Conclusion

Indexing PPV to MV can be a feasible way to use dynamic parameters of fluid responsiveness across a wide spectrum of ventilator settings, such as during lung protective ventilation strategies involving lower tidal volumes. Future studies should evaluate the performance of the indexed parameters in guiding fluid therapy in the clinical setting and define thresholds.

Graphic abstract

Die Originalversion dieses Beitrags wurde korrigiert: Die DOI-Angabe im Graphic Abstract war nicht korrekt.
Scan QR code & read article online

Publisher’s Note

Springer Nature remains neutral with regard to jurisdictional claims in published maps and institutional affiliations.
Treten Sie in den Austausch
Diese Arbeit wurde für Die Anaesthesiologie in Englisch eingereicht und angenommen. Die deutsche Zusammenfassung wurde daher etwas ausführlicher gestaltet. Wenn Sie über diese Zusammenfassung hinaus Fragen haben und mehr wissen wollen, nehmen Sie gern in Deutsch über die Korrespondenzadresse am Ende des Beitrags Kontakt auf. Die Autorinnen und Autoren freuen sich auf den Austausch mit Ihnen.

Introduction and background

Ventilation-induced changes in the arterial pulse pressure (pulse pressure variation, PPV) are commonly used to predict fluid responsiveness. These parameters are generated by the impact of controlled mechanical ventilation (CMV) on the heart, the pulmonary vasculature and on the major intrathoracic vessels, resulting in changes in cardiac preload and afterload [22]. The magnitude of inspiratory, plateau, driving and alveolar pressures [20, 23, 32] and tidal volume (VT) [1, 7, 26] are known to affect PPV, whereas high respiratory rates [2] and positive end-expiratory pressures (PEEP) [24] can limit their sensitivity. When PPV was introduced into clinical practice more than two decades ago, higher VT were common [25]. In recent years, concern about ventilator-induced lung injury (VILI) [31] has led to a reduction in VT, not only in patients with acute respiratory distress syndrome (ARDS) but also in patients without lung disease [4, 25]. Furthermore, the concept of mechanical power (MP), a composite variable that reflects the energy transferred from the ventilator to the patient over time, was introduced incorporating more potential causes of VILI [13]. The resulting lung protective ventilation strategies, however, reduce the sensitivity and precision of PPV for estimating volume responsiveness with previously accepted cut-off values [22]. Therefore, attempts have been made to change these parameters to different ventilation parameters to maintain their applicability [5, 32, 33].
The aim of this study was to investigate the effects of different tidal volumes on the hemodynamics and on parameters of fluid responsiveness at different fluid states. Furthermore, we indexed PPV to single and composite ventilatory parameters to evaluate its behavior between the different tidal volumes. We hypothesized that indexing PPV would provide parameters independent of the magnitude of VT.

Study design and investigation methods

The study was approved by the governmental ethics board for animal research (Landesamt für Landwirtschaft, Lebensmittelsicherheit und Fischerei, Rostock, Mecklenburg-Vorpommern, Germany; No. 7221.3-1-059/19; veterinarian in charge: Dr Sylvia Hille) on 29 January 2020 and carried out in accordance with the EU Directive 2010/63/EU and the ARRIVE 2.0 guidelines [10]. Animals were euthanised in compliance with European and federal laws using pentobarbital (45 mg/kg intravenously) while maintaining general anesthesia. Parts of this study have been published before [34].

Anesthesia and instrumentation

For this study 16 German Landrace pigs (12–16 weeks old) were prepared and anesthetized according to local standards. The animals were brought to the stables of the Institute for Experimental Surgery 4–5 days before the experiment for acclimatization with free access to food and water until the night prior to the study. Each animal’s health was checked by the staff of the Central Laboratory Animal Facility on the morning of the trial and admitted only if it showed no abnormalities as defined by local standards. The pigs were equipped with a 3-lead electrocardiogram (ECG), a pulse oximeter (Nellcor® PM10N, Medtronic, Watford, UK) placed at the tail and two peripheral venous cannulas (20 G) in the earlobes. After induction with 200 µg fentanyl, 100 mg propofol and 4 mg pancuronium, a combination of fentanyl (10 µg/kg h−1), propofol (4–8 mg/kg h−1), midazolam (0.1 mg/kg h−1) and pancuronium (6 mg h−1) was used for maintenance of anesthesia to ensure a deep level of sedation and to suppress any spontaneous breathing. Orotracheal intubation was performed with a tube of 7 mm internal diameter and the pigs were mechanically ventilated using the Servo‑u ventilator (Getinge AB, Gothenburg, Sweden) to ensure gas exchange during further instrumentation. For assessment of transpulmonary pressures, a NutriVent® nasogastric tube (SIDAM group, Mirandola, Italy) was placed and connected to the auxiliary pressure port of the ventilator. The position was verified using a positive pressure occlusion test [8]. All pigs received a 4 Charrière (Ch) 16 cm PiCCO® (Getinge AB, Gothenburg, Sweden) catheter via the right femoral artery for transpulmonary thermodilution (TPTD) measurements, a 5 Ch high-fidelity pressure sensor catheter (Mikro-Tip® SPR-350, Millar Instruments Inc., Houston, TX, USA) in the descending aorta via the left femoral artery and a central-venous catheter in the right internal jugular vein for hemodynamic monitoring. For induction of hypovolemia, an 8.5 Ch introducer sheath was placed in the right common carotid artery and another one in the right internal jugular vein for retransfusion. For measurement of pulmonary artery pressures, a 7.5 Ch thermodilution pulmonary artery catheter (Arrow®, Teleflex Inc., Wayne, PA, USA) was placed via the venous introducer sheath. Correct catheter placement was verified by fluoroscopy.

Fluid status

For comparison of PPV at different hemodynamic conditions, four intravascular fluid states (IVFS) were induced:
  • Baseline (BL): after instrumentation, a first set of thermodilutions (TD) was performed to assess the intravascular fluid state (IVFS). If stroke volume variation (SVV) was greater than 10%, repeated boluses of colloids (modified gelatine 4% in Ringer’s acetate solution) of 100 ml each were given until SVV remained < 10%. Another set of TD was performed for confirmation. This fluid state was defined as baseline, intended to represent normovolemia.
  • Hypovolemia (Hypo): in this step, 25 ml/kg of blood was withdrawn and collected in transfusion bags with heparin for later retransfusion. In cases of severe hemodynamic instability, blood withdrawal was paused to allow for hemodynamic stabilization, was stopped if considered too dangerous or resumed when deemed appropriate by the principal investigator. Such hemodynamic instability was defined as a decrease in blood pressure or continuous cardiac output measured via the femoral arterial line down to a level at which the PulsioFlex® monitor was no longer able to provide measurements, together with a decrease in end-tidal CO2 by more than 50%.
  • Resuscitation stage I (Res I): a total of 50% of the previously withdrawn blood was retransfused.
  • Resuscitation stage II (Res II): in addition to the remaining half of the withdrawn blood, 20 ml/kg of colloids were infused.

Ventilation

Aiming at an optimal inflation of the lungs with as few atelectasis as possible to distribute the applied tidal volume evenly within the lungs while achieving the most uniform perfusion without shunt [14, 27, 29], the ventilator’s built-in automatic stepwise recruitment maneuver (Auto SRM) was used increasing PEEP at a constant driving pressure (∆P) of 15 cmH2O until an inspiratory pressure of 40 cmH2O was reached. This pressure was held over 50 s before decreasing PEEP in steps of 2 cmH2O while assessing dynamic respiratory system compliance. Optimal PEEP was defined as the one being 2 cmH2O above the closing PEEP. This individualized PEEP was then used for the duration of the protocol. At each IVFS, the same ventilation sequence was performed: after an initial recruitment maneuver, the pigs were ventilated with volume-controlled ventilation (VCV). The VT was first set to 8 ml/kg bodyweight (BW), and respiratory rate (RR) to result in an end-tidal partial pressure of carbon dioxide (etCO2) between 4.3 and 5.7 kPa, with an inspiration:expiration ratio (I:E) of 1:2 and an inspiratory pause of 30%. In the next steps, VT was set to 4, 12, and 6 ml/kg BW and the RR was adjusted to maintain etCO2 in the desired range and minute elimination of carbon dioxide (VCO2) at a constant level, while the I:E ratio and inspiratory pause remained unchanged. At each VT, hemodynamic and ventilatory data were recorded over a 3-min period after a steady state, defined as changes in tidal elimination of carbon dioxide (VtCO2) of less than 10% for 1min, was achieved. Finally, inspiratory and expiratory hold maneuvers of 10s each were performed to measure total PEEP, Pplat and to derive ∆P.

Data recording and processing

Hemodynamic data including ECG were recorded at a sampling rate of 10 kHz using bridge transducer amplifiers in combination with the respective hardware and software PowerLab 16/35 and LabChart 8 (both ADInstruments, Dunedin, New Zealand). Cardiac output was measured via TPTD using the PulsioFlex® system and ventilation data were recorded using the ServoTracker® software (all Getinge AB, Gothenburg, Sweden). In addition, airway pressures (Paw) were measured at the Y‑piece of the breathing circuit with PowerLab 16/35 for synchronization with the hemodynamic data.
At each protocol step recorded data were checked for phases of arrhythmia, which were excluded before representative 1‑min periods of good quality data were chosen for further analysis. Data analysis was performed with LabChart and Matlab (MathWorks®, Natick, MA, USA).
The PPV was calculated as PPV = (max. − min. pulse pressure) / (max. + min. pulse pressure)/2 using a custom built MatLab routine.
For analyzing the energy transferred from the ventilator, mechanical power (MP) was calculated as MP = 0.098 × * RR * VT * (Ppeak − 0.5 * ∆P), as suggested by Chiumello et al. [9]. Mechanical energy per single breath was calculated accordingly as ME = MP / RR.
For indexing PPV for the respective ventilation parameters, the PPVs at the respective fluid state and tidal volume were divided by the corresponding ventilation parameter for each animal. Afterwards, regression analysis was performed.

Statistics

Statistical analysis was performed using SPSS Statistics version 29 (IBM, Armonk, NY, USA). Hemodynamic and ventilation parameters are displayed as median (interquartile range, IQR). Friedman’s two-way analysis of variance on ranks (ANOVA) was used to test for differences between the fluid states and the tidal volumes, the Tukey test was used for all pairwise multiple comparison procedures and Bonferroni’s correction to compensate for alpha-inflation by multiple testing. P ≤ 0.05 was considered statistically significant. For regression analysis, an overall F‑test was performed and parameters with p-values > 0.05 were considered as having no explanatory power for the model.
To be considered independent of VT, indexed parameters need to have a low (close to zero) regression factor (β). Moreover, high coefficients of determination (R2) were requested for proof of linear regression. To compare the indexed parameters, the ratio of R2 to β was calculated for each parameter at each fluid state; higher R2/β-ratios indicate higher agreement with these criteria.

Results

As 8 animals died before completion of the protocol, complete data sets of 8 pigs weighing 40.3 kg (30.8–43.0 kg) were recorded, analyzed and are reported here.
For induction of hypovolemia, 826 ml (425–1069 ml) corresponding to 22.5 ml/kg (14–25 ml/kg) of blood were withdrawn.

Ventilatory data

Auto SRM determined the optimal PEEP to be 10 cmH2O for all but one animal, which had a PEEP of 8 cmH2O.
Respiratory rates, airway and transpulmonary pressures at the respective tidal volumes and fluid states are shown in Table 1. Delivered VTs did not differ significantly between the respective fluid states (p = 0.757, p = 0.259, p = 0.516 and p = 0.109 for 4, 6, 8, and 12 ml/kg, respectively).
Table 1
Ventilation parameters at the respective fluid states
Ventilation parameter
Fluid state
Target tidal volume (ml/kg BW)
4
6
8
12
Respiratory rate (1/min)
Baseline
35.0 (32.0–36.8)
30.0 (25.3–30.0)
24.5 (21.0–28.8)
14.0 (10.5–15.8)
Hypovolemia
35.0 (32.5–35.0)
30.0 (29.3–31.8)
26.5 (20.0–30.0)
14.5 (10.5–15.0)
Resuscitation I
35.0 (35.0–36.8)
30.0 (27.8–32.0)
26.5 (25.0–30.0)
13.5 (12.0–19.5)
Resuscitation II
35.0 (35.0–35.0)
30.0 (26.5–31.5)
28.0 (25.0–29.8)
13.0 (12.0–17.3)
P value
0.519
0.887
0.202
0.643
Peak inspiratory pressure (cmH2O)
Baseline
16.3 (15.6–17.3)
18.8 (18.1–20.2)
21.7 (20.5–24.9)
23.5 (22.8–24.0)
Hypovolemia
16.0 (15.1–18.4)
20.2 (18.1–22.0)
23.4 (20.7–25.3)
22.9 (21.9–23.7)
Resuscitation I
16.2 (15.3–18.2)
20.0 (17.6–21.9)
23.1 (20.4–25.0)
23.5 (21.8–25.0)
Resuscitation II
16.0 (15.2–18.2)
18.8 (17.8–21.7)
23.6 (21.2–25.4)
22.9 (21.8–24.3)
P value
0.005
0.851
0.277
0.822
Plateau pressure
(cmH2O)
Baseline
12.9 (12.0–14.0)
14.5 (13.7–15.2)
15.8 (15.7–17.0)
18.5 (17.5–19.3)
Hypovolemia
12.8 (11.9–13.5)
14.5 (13.9–15.2)
16.3 (15.4–16.6)
18.4 (17.7–18.7)
Resuscitation I
12.5 (11.6–13.4)
14.3 (13.4–15.0)
15.6 (14.8–16.4)
17.9 (17.0–18.7)
Resuscitation II
12.8 (11.9–13.5)
14.3 (13.6–15.0)
16.1 (15.4–16.5)
18.2 (17.4–18.4)
P value
0.001
0.019
0.079
0.074
Driving pressure (∆P)
(cmH2O)
Baseline
4.0 (3.5–4.1)
5.2 (4.7–5.8)
7.0 (5.6–7.5)
9.3 (8.5–9.9)
Hypovolemia
3.7 (3.4–3.9)
5.3 (4.8–5.8)
6.9 (6.4–7.9)
9.1 (8.4–9.4)
Resuscitation I
3.6 (3.4–3.9)
5.2 (4.7–5.5)
6.5 (6.1–7.1)
8.8 (8.–9.4)
Resuscitation II
3.7 (3.3–3.7)
5.0 (4.4–5.4)
7.2 (6.2–7.5)
9.0 (8.–9.2)
P value
0.006
0.058
0.300
0.176
Transpulmonary driving pressure
(cmH2O)
Baseline
2.4 (1.7–2.5)
2.8 (2.3–3.6)
3.3 (3.0–4.3)
5.1 (3.7–6.3)
Hypovolemia
2.5 (1.3–3.0)
3.6 (2.0–4.8)
4.9 (2.9–6.2)
6.4 (3.8–7.8)
Resuscitation I
2.1 (1.8–2.7)
3.1 (2.2–4.2)
3.8 (2.9–4.8)
5.2 (3.8–6.4)
Resuscitation II
2.2 (2.0–2.4)
2.9 (2.7–3.1)
4.2 (3.2–5.3)
5.3 (4.5–5.8)
P value
0.909
0.932
0.512
0.366
Mechanical power
(W)
Baseline
6.8 (5.6–9.6)
8.6 (7.4–14.4)
12.5 (9.4–19.5)
9.5 (9.3–13.5)
Hypovolemia
6.3 (5.3–8.7)
12.2 (7.2–15.2)
12.7 (9.0–20.1)
9.2 (8.7–10.2)
Resuscitation I
7.6 (5.3–9.9)
12.9 (6.8–16.6)
14.8 (10.6–19.0)
12.0 (8.9–14.5)
Resuscitation II
7.6 (5.3–9.7)
11.1 (7.6–16.4)
15.7 (11.7–20.5)
10.0 (8.6–12.3)
P value
0.252
0.736
0.392
0.392
Mechanical energy (mechanical power per breath) (J)
Baseline
0.22 (0.16–0.28)
0.35 (0.25–0.48)
0.63 (0.38–0.70)
0.89 (0.60–0.95)
Hypovolemia
0.20 (0.15–0.27)
0.39 (0.25–0.48)
0.63 (0.37–0.69)
0.85 (0.61–0.94)
Resuscitation I
0.22 (0.15–0.29)
0.4 (0.24–0.55)
0.63 (0.39–0.72)
0.83 (0.70–0.93)
Resuscitation II
0.22 (0.15–0.28)
0.38 (0.26–0.55)
0.66 (0.41–0.72)
0.84 (0.64–0.98)
P value
0.093
0.878
0.545
0.537
Minute ventilation (ml/kg*min)
Baseline
133 (118–141)
165 (143–178)
182 (164–226)
162 (127–175)
Hypovolemia
130 (120–135)
173 (161–194)
196 (156–237)
163 (124–171)
Resuscitation I
133 (130–133)
176 (152–185)
207 (192–235)
156 (142–227)
Resuscitation II
133 (127–136)
171 (151–183)
222 (186–233)
155 (142–199)
P value
0.374
0.937
0.190
0.765
Data are presented as median (IQR). Friedman’s two-way ANOVA by ranks with 3 degrees of freedom; all-pairwise testing with Bonferroni’s correction for multiple tests

Hemodynamics and transpulmonary thermodilution

Blood withdrawal decreased the global end-diastolic volume index (GEDI) from 462 ml/m2 (416–516 ml/m2) at baseline to 324 ml/m2 (299–343 ml/m2) (hypovolaemia) while the first resuscitation step increased it to 366 ml/m2 (313–407 ml/m2) and the second to 477 ml/m2 (437–502 ml/m2). The TD-derived baseline cardiac index was 3.32 l/min/m2 (2.90–3.74 l/min/m2) and decreased to 1.76 l/min/m2 (1.39–2.03 l/min/m2) in the postexsanguination phase. With the resuscitation maneuvers it increased to 2.40 l/min/m2 (1.93–2.80 l/min/m2) and 3.84 l/min/m2 (3.37–4.08 l/min/m2), respectively. The courses of arterial, pulmonary arterial, and central venous pressures during the interventions and at the different tidal volumes together with the respective PPV and SVV values are shown in Table 2.
Table 2
Hemodynamic parameters at the respective fluid states
Hemodynamic parameter
Fluid state
Set tidal volume (ml/kg BW)
p
4
6
8
12
 
Heart rate (bpm)
Baseline
103 (85–113)
102 (86–113)
109 (89–115)
102 (88–114)
0.02
Hypovolemia
112 (100–150)
116 (102–155)
121 (106–164)
116 (104–151)
0.03
Resuscitation I
97 (90–110)
96 (95–116)
109 (98–120)
101 (94–117)
0.12
Resuscitation II
89 (86–110)
93 (89–111)
93 (88–113)
93 (91–114)
0.02
P
0.03
0.01
< 0.01
0.04
Systolic pressure
(mm Hg)
Baseline
128 (103–138)
121 (101–137)
129 (98–139)
121 (98–136)
0.10
Hypovolemia
70 (64–78)
68 (56–77)
61 (49–64)
61 (57–71)
<0.01
Resuscitation I
91 (76–104)
87 (61–97)
89 (66–104)
83 (60–97)
<0.01
Resuscitation II
121 (108–125)
114 (103–117)
124 (108–131)
116 (104–118)
0.08
P
<0.01
<0.01
<0.01
<0.01
Mean
arterial pressure (mm Hg)
Baseline
100 (83–111)
94 (80–110)
99 (77–113)
93 (77–103)
0.03
Hypovolemia
55 (51–58)
52 (46–58)
47 (42–50)
48 (45–53)
<0.01
Resuscitation I
67 (57–76)
65 (46–71)
58 (42–68)
61 (46–71)
0.01
Resuscitation II
90 (78–94)
84 (75–86)
93 (78–97)
83 (74–86)
0.07
P
<0.01
<0.01
<0.01
<0.01
Diastolic pressure
(mm Hg)
Baseline
86 (73–98)
80 (69–97)
85 (66–100)
78 (66–90)
0.03
Hypovolemia
45 (44–48)
43 (40–49)
39 (35–43)
40 (37–46)
0.02
Resuscitation I
55 (47–62)
53 (39–58)
54 (42–66)
50 (39–59)
<0.01
Resuscitation II
71 (62–79)
67 (59–73)
76 (62–80)
67 (59–70)
0.02
P
<0.01
<0.01
<0.01
<0.01
Central venous pressure (mm Hg)
Baseline
7.0 (4.7–10.0)
6.9 (4.9–10.0)
6.3 (5.3–10.5)
6.9 (5.0–10.1)
0.39
Hypovolemia
6.1 (3.1–8.5)
6.0 (3.2–8.6)
6.2 (3.3–9.0)
5.9 (3.4–8.7)
0.04
Resuscitation I
6.5 (4.0–10.5)
6.5 (3.7–10.2)
6.7 (3.8–11.2)
6.6 (3.8–10.3)
0.32
Resuscitation II
11 (6.6–12.1)
9.6 (6.1–11.6)
10.6 (7.7–13.3)
10.0 (6.3–11.7)
<0.01
P
<0.01
<0.01
<0.01
<0.01
Mean pulm. artery pressure (mm Hg)
Baseline
18.0 (15.7–23.0)
18.5 (15.8–20.7)
18.2 (16.1–21.0)
18.2 (15.7–20.3)
0.39
Hypovolemia
17.1 (14.0–18.3)
17.6 (14.8–20.6)
15.9 (13.1–17.9)
16.9 (14.6–19.6)
0.08
Resuscitation I
19.8 (11.5–21.5)
19.6 (13.8–22.6)
19.1 (11.3–21.7)
19.1 (14.2–20.0)
0.09
Resuscitation II
21.7 (11.8–23.0)
19.5 (12.0–22.2)
22.0 (12.6–24.2)
20.1 (11.4–23.7)
0.04
P
0.26
0.79
0.08
0.29
Pulse pressure variation
(%)
Baseline
3.0 (2.0–3.3)
5.8 (3.4–6.0)
5.9 (4.2–7.0)
15.8 (13.7–18.2)
<0.01
Hypovolemia
5.6 (4.6–7.1)
8.7 (8.4–12.3)
15.1 (11.8–16.4)
37.6 (34.3–44.3)
<0.01
Resuscitation I
3.4 (2.7–4.7)
6.0 (5.0–8.1)
7.0 (6.1–10.8)
22.3 (19.2–26.8)
<0.01
Resuscitation II
1.8 (1.2–3.5)
2.6 (2.1–4.7)
2.9 (2.2–3.7)
7.6 (3.8–8.1)
<0.01
P
<0.01
<0.01
<0.01
<0.01
Stroke volume variation
(%)
Baseline
5.5 (4.0–11.3)
6.0 (4.3–8.0)
6.0 (5.0–14.5)
15.0 (12.0–18.3)
<0.01
Hypovolemia
8.5 (5.0–18.0)
10.0 (7.3–15.8)
10.0 (8.0–15.8)
19.0 (10.5–25.0)
0.12
Resuscitation I
4.0 (3.0–6.0)
5.0 (5.0–11.5)
7.0 (4.3–9.0)
16.5 (15.0–18.0)
<0.01
Resuscitation II
3.5 (2.0–5.8)
3.5 (3.0–4.8)
2.5 (2.0–4.8)
5.5 (3.3–7.8)
0.03
P
0.08
<0.01
<0.01
0.01
Data are presented as median (IQR). Friedman’s two-way ANOVA by ranks with 3 degrees of freedom; all-pairwise testing with Bonferroni’s correction for multiple tests

Pulse pressure variation at different tidal volumes and fluid states

The PPV and SVV increased markedly but not significantly after blood removal and dropped again to values below baseline after the second resuscitation step; values at hypovolemia were significantly different from those at resuscitation stage II (P<0.01). Behavior of PPV over the course of the study is shown in Fig. 1 with 3rd order regression curves fitted. Higher tidal volumes resulted in gradually higher values for PPV and SVV at baseline, hypovolemia and resuscitation stage I. The highest values were achieved in hypovolemia, followed by resuscitation stage I and baseline, regardless of tidal volume (Table 3).
Fig. 1
PPV at the respective fluid states and tidal volumes. Regression lines were added with best fit (3rd order) and as linear regression lines with the respective coefficients of determination R2 at baseline (BL): 0.842/0.796, R2 hypovolemia (Hypo): 0.884/0.819, R2 resuscitation stage I (ResI): 0.901/0.833, and R2 resuscitation stage II (ResII): 0.516/0.354
Bild vergrößern
Table 3
Linear regression analysis of indexed PPV values
Parameter
Fluid state
β
R2
R2/β ratio
p (F-test)
PPV (%)
Baseline
1.644
0.796
0.484
<0.001
Hypovolemia
4.049
0.819
0.202
<0.001
Resuscitation I
2.428
0.833
0.343
<0.001
Resuscitation II
0.658
0.354
0.538
<0.001
PPV indexed to
tidal volume per bodyweight
(%/ml/kg BW)
Baseline
0.069
0.289
4.188
0.002
Hypovolemia
0.216
0.558
2.583
<0.001
Resuscitation I
0.123
0.481
3.911
<0.001
Resuscitation II
n. a.
n. a.
0.983
PPV indexed to
plateau pressure
(%/cmH2O)
Baseline
0.080
0.801
10.013
<0.001
Hypovolemia
0.205
0.775
3.780
<0.001
Resuscitation I
0.129
0.733
5.682
<0.001
Resuscitation II
0.029
0.210
7.241
0.008
PPV indexed to
driving pressure
(%/cmH2O)
Baseline
0.123
0.647
5.260
<0.001
Hypovolemia
0.326
0.595
1.825
<0.001
Resuscitation I
0.200
0.579
2.895
<0.001
Resuscitation II
n. a.
n. a.
0.814
PPV indexed to
transpulmonary driving pressure
(%/cmH2O)
Baseline
n. a.
n. a.
0.642
Hypovolemia
0.571
0.342
0.599
<0.001
Resuscitation I
0.342
0.474
1.386
<0.001
Resuscitation II
n. a.
n. a.
0.583
PPV indexed to
mechanical power
(%/Watt)
Baseline
0.142
0.591
4.162
<0.001
Hypovolemia
0.409
0.701
1.714
<0.001
Resuscitation I
0.208
0.418
2.010
<0.001
Resuscitation II
0.050
0.129
2.580
0.044
PPV indexed to
mechanical energy
(%/Joule)
Baseline
n. a.
n. a.
0.077
Hypovolemia
2.548
0.234
0.092
0.009
Resuscitation I
n. a.
n. a.
0.170
Resuscitation II
n. a.
n. a.
0.580
PPV indexed to
minute ventilation
(%/ml/kg*min)
Baseline
0.011
0.641
58.273
<0.001
Hypovolemia
0.027
0.723
26.778
<0.001
Resuscitation I
0.015
0.664
44.267
<0.001
Resuscitation II
0.004
0.286
71.500
0.002
Data from linear regression analysis of PPV and the respective indexed PPV values against tidal volume. β: regression factor; R2: coefficient of determination; R2/β ratio: higher values reflect a better agreement with the specifications set for the (indexed) parameter (high coefficient of determination, low regression factor); n. a.: not applicable for parameters that failed the F‑test (p > 0.05)
Please note the low R2 values for resuscitation stage II for the applicable parameters
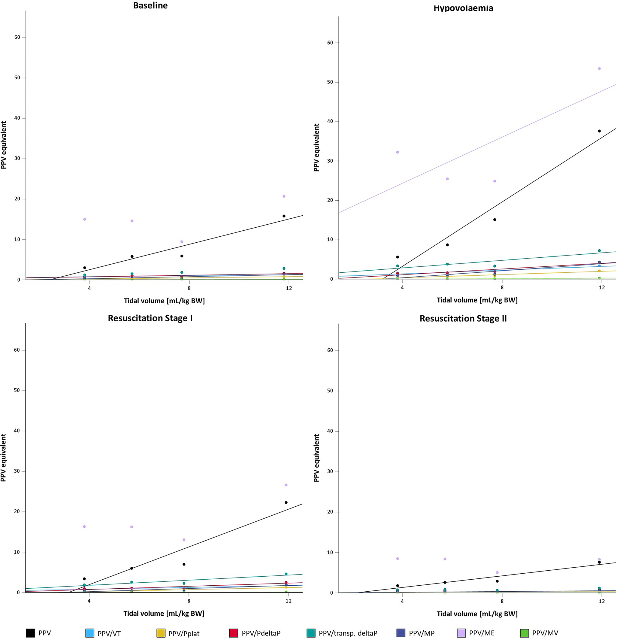
Results of linear (1st order) regression analysis (regression factor β, coefficient of determination R2, and results of F‑test) of PPV and the corresponding indexed values (PPV/VT, PPV/Pplat, PPV/deltaP, PPV/transpulmonary deltaP, PPV/MV, PPV/MP, and PPV/ME) are listed in Table 3 together with the R2/β ratios. PPV indexed to minute ventilation (PPV/MV) provided the highest R2/β ratio at each fluid state. Median values of PPV and the corresponding indexed values are presented in Fig. 2 together with linear regression curves.
Fig. 2
Linear regression lines of the indexed parameters compared to PPV. Filled circles represent the median of PPV (black) and the indexed PPV values at the investigated tidal volumes (4, 6, 8, and 12 mL/kg) at the respective fluid states. The gradients of the color-coded lines show the ability to correct for the respective parameter: a flatter curve means a better compensation for the different tidal volumes applied. For parameters that failed the F‑test, no regression lines have been plotted. The Y‑axis has absolute values, but no units, as these are not uniform due to the indexing
Bild vergrößern

Discussion

Blood withdrawal led to physiologically explainable changes in heart rate, cardiac output, arterial pressures and volumetric (i.e. GEDI) as well as in the dynamic preload parameters (i.e. SVV and PPV) [6, 15, 16, 26, 28, 30]: heart rate and SVV and PPV rose, while cardiac output, arterial pressures and GEDI dropped during hypovolemia. Subsequent retransfusion increased arterial pressures but even at ResII, a condition with a positive net fluid balance, they did not reach baseline values, possibly due to some degree of inflammation, nitric oxide production, and/or altered vascular response to endogenic vasoconstrictors [19]. Cardiac index (CI) increased after each fluid bolus until ResII, which contradicts myocardial depression due to hemorrhagic shock as described by Evans and Boyes [12]. Tidal volumes had significant influence on these parameters: heart rate tended to be lower while arterial pressures tended to be higher at lower tidal volumes, especially at the hypovolemic state. From the data presented, ventilation with lower tidal volumes in hypovolemic states could be beneficial for hemodynamics. In our case, higher respiratory rates did not seem to negatively affect cardiac output, as postulated in the work by Szold et al. [30].
The PPV values gradually increased with increasing tidal volumes and driving pressures as described before [1, 7, 20, 23, 26, 32]; however, at the lower VTs (4 and 6 ml/kg BW), values were markedly lower, even when commonly used thresholds for indicating fluid responsiveness were reached at the higher VTs. Indexing PPV to certain ventilatory parameters has been proposed to improve the predictive power of PPV for fluid responsiveness, particularly under low tidal volume ventilation [11]. A linear relationship between PPV and tidal volumes has been described [21] and is the key to the concept of improving the predictive power of PPV under low tidal ventilation by indexing to ventilation parameters. This linearity was demonstrated not only for VT but also for other parameters like PPV/Pplat, PPV/deltaP, PPV/MP and PPV/MV, by high coefficients of determination (R2) in our study. Therefore, we reasoned that indexing PPV to ventilatory pressures might also help to interpret the dynamic parameters of fluid responsiveness independently of the magnitude of tidal volume and the controlled or resulting airway pressures. Furthermore, as respiratory rates do not only alter intrathoracic pressure fluctuations but also the times for venous return, we also included composite parameters that include respiratory rate, such as minute ventilation (MV) or mechanical power (MP) to compensate for these factors on the magnitude of PPV, which might not be as direct as VT or driving pressures [2, 11]. A second condition for VT-independent dynamic parameters of fluid responsiveness would be regression coefficients close to zero in the linear regression analysis, indicating that the differences in the parameters between the respective tidal volumes are small and that these are almost cancelled out by the indexing. Again PPV/Pplat, PPV/MP and PPV/MV showed good results. For overall comparison of the indexed parameters with each other and with the genuine PPV, the R2/β ratio was used. Considering the single ventilation parameters, indexing PPV to plateau pressure (PPV/plat) had the most favorable combination of regression coefficients close to zero with high coefficients of determination (R2; representing high quality of the statistical model), followed by VT (PPV/VT) and airway driving pressure (PPV/∆P). As previously described, PPV values are somewhat proportional to tidal volume [33] and airway driving pressures [23]; however, ventilatory pressures depend on lung und thorax compliance which also affect PPV [17]. This might explain why the impacts of the absolute and relative pressures and the VT on PPV were different. Referring to the study by Liu et al. [20], indexing PPV to transpulmonary driving pressures was not successful in compensating for different tidal volumes in our setting. This may be due to the fact that only a very small proportion of the airway pressures is transmitted to the pleura and therefore differences in the transpulmonary driving pressures were very small between the respective tidal volumes rendering them susceptible to errors due to the blunted transmission [17, 18]. In contrast, the differences in PPV at the respective tidal volumes, especially at lower fluid states, were large; indexing them to small and similar pressures (almost irrespective of the tidal volume) aggravates the differences between the VTs.
Indexing PPV to both tidal volume and respiratory rate, thus to minute ventilation (PPV/MV), resulted in the highest R2/β ratio. Thus, this indexed parameter would compensate best for the impact of different tidal volumes. Albeit PPV being calculated over one respiratory cycle, respiratory rate is known to influence the ability of PPV to predict fluid responsiveness, especially if the heart rate-to-respiratory rate-ratio is low [2]. Heart rates tended to be lower at lower tidal volumes but the respiratory rate was increased to compensate for ventilatory minute volume. Therefore, the quotient was even lower, thus reducing the sensitivity for correct assessment of fluid responsiveness even more. Assuming that PPV is caused by the energy transferred from the ventilator, we also considered the combination of tidal volume, pressures, and respiratory rate and thus mechanical power as a potential indexing parameter; however, this resulted in poor correlations, both for PPV/MP and PPV/ME, which statistically failed to show an explanatory contribution.
Indexing PPV to ventilatory parameters generally resulted in parameters with less VT-related fluctuations at the higher fluid states, i.e. resuscitation stage II > baseline > resuscitation stage I > hypovolemia. This can be explained by the overall higher values of PPV at the hypovolemic state with greater differences between the tidal volumes compared to the higher fluid states, where values were lower and differences between the tidal volumes less marked.

Limitations

We investigated adolescent animals without any known cardiovascular or pulmonary pathology. In our study, the healthy lungs showed a near linear relationship between tidal volume and the respective driving pressures. Therefore, the results we obtained may not be comparable to those studies investigating PPV at lower tidal volumes in ARDS where pulmonary compliance is reduced [1, 32]. Furthermore, this protocol did not use vasopressors to compensate for hypovolemic hypotension as clinicians would normally do to bridge the time until enough fluids have been administered. As we wanted to investigate physiological responses of PPV to different ventilation regimens and fluid states without exogenously induced changes in arterial compliance, vasopressors were omitted.
The question of fluid responsiveness could not be explicitly addressed in this setting as the number of surviving pigs was too small to perform a reasonable ROC analysis. The question whether these indexed parameters can predict an increase in cardiac index after volume administration independently of tidal volume should be investigated in further studies.
As the PiCCO™ technology is not validated for pigs, only parameters directly derived from the thermodilution curves are applicable. Parameters indexed to body surface area (such as CI or GEDI) or parameters calculated with human-related constants can only be used as trends.

Conclusion

  • Indexing PPV to ventilatory parameters can be a way to apply these parameters to assess fluid responsiveness during mechanical ventilation with lower tidal volumes as these indexed parameters better reflect low volume status in these conditions, compared to PPV alone.
  • In our experimental setting, PPV indexed to minute ventilation (PPV/MV) resulted in values that could be considered VT-independent and at the same time showed good correlations at all fluid states and tidal volumes.
  • As minute ventilation can easily be obtained from the ventilator, this facilitates utilization in clinical practice.
  • No specific changes to the ventilation regimen need to be made for hemodynamic assessment.

Acknowledgements

We thank Mareike Degner, Christin Schlie, Roland Gerber and the whole team of the Institute for Experimental Surgery and the Central Laboratory Animal Facility for their help with the organization and execution of this animal study.

Funding

This study was supported by an unrestricted research grant from Getinge AB, Gothenburg, Sweden, a research grant from the Medical Faculty of the University of Rostock (FoRUN programme) as well as from institutional funds of the department of anesthesiology, intensive care medicine and pain therapy, University Medical Centre, Rostock, Germany.

Declarations

Conflict of interest

A. Zitzmann, F. Müller-Graf, T. Bandorf, S. Reuter, J. Merz, P. Frenkel, B. Vollmar and S.H. Böhm declare that they have no competing interests. D.A. Reuter provides scientific advisory services for Getinge and Edwards Lifesciences.
The study was approved by the governmental ethics board for animal research (Landesamt für Landwirtschaft, Lebensmittelsicherheit und Fischerei, Rostock, Mecklenburg-Vorpommern, Germany; No. 7221.3-1-059/19; veterinarian in charge: Dr Sylvia Hille) on 29 January 2020.
Open Access Dieser Artikel wird unter der Creative Commons Namensnennung 4.0 International Lizenz veröffentlicht, welche die Nutzung, Vervielfältigung, Bearbeitung, Verbreitung und Wiedergabe in jeglichem Medium und Format erlaubt, sofern Sie den/die ursprünglichen Autor(en) und die Quelle ordnungsgemäß nennen, einen Link zur Creative Commons Lizenz beifügen und angeben, ob Änderungen vorgenommen wurden. Die in diesem Artikel enthaltenen Bilder und sonstiges Drittmaterial unterliegen ebenfalls der genannten Creative Commons Lizenz, sofern sich aus der Abbildungslegende nichts anderes ergibt. Sofern das betreffende Material nicht unter der genannten Creative Commons Lizenz steht und die betreffende Handlung nicht nach gesetzlichen Vorschriften erlaubt ist, ist für die oben aufgeführten Weiterverwendungen des Materials die Einwilligung des jeweiligen Rechteinhabers einzuholen. Weitere Details zur Lizenz entnehmen Sie bitte der Lizenzinformation auf http://​creativecommons.​org/​licenses/​by/​4.​0/​deed.​de.

Publisher’s Note

Springer Nature remains neutral with regard to jurisdictional claims in published maps and institutional affiliations.

Unsere Produktempfehlungen

Die Anaesthesiologie

Print-Titel

  • Hintergrundwissen mit konkreten Handlungsempfehlungen
  • Ein Leitthema in jeder Ausgabe
  • Praxisnahe Übersichten, Fallberichte, Leitlinien und Empfehlungen

e.Med Interdisziplinär

Kombi-Abonnement

Für Ihren Erfolg in Klinik und Praxis - Die beste Hilfe in Ihrem Arbeitsalltag

Mit e.Med Interdisziplinär erhalten Sie Zugang zu allen CME-Fortbildungen und Fachzeitschriften auf SpringerMedizin.de.

e.Dent – Das Online-Abo der Zahnmedizin

Online-Abonnement

Mit e.Dent erhalten Sie Zugang zu allen zahnmedizinischen Fortbildungen und unseren zahnmedizinischen und ausgesuchten medizinischen Zeitschriften.

Weitere Produktempfehlungen anzeigen
download
DOWNLOAD
print
DRUCKEN
Titel
Evaluation of indexing pulse pressure variation during low tidal ventilation
An experimental pilot study
Verfasst von
Dr. med. Amelie Zitzmann
Fabian Müller-Graf
Tim Bandorf
Susanne Reuter
Jonas Merz
Paul Frenkel
Brigitte Vollmar
Stephan H. Böhm
Daniel A. Reuter
Publikationsdatum
01.09.2025
Verlag
Springer Medizin
Erschienen in
Die Anaesthesiologie / Ausgabe 11/2025
Print ISSN: 2731-6858
Elektronische ISSN: 2731-6866
DOI
https://doi.org/10.1007/s00101-025-01575-w
1.
Zurück zum Zitat de Backer D, Heenen S, Piagnerelli M et al (2005) Pulse pressure variations to predict fluid responsiveness: influence of tidal volume. Intensive Care Med 31:517–523. https://​doi.​org/​10.​1007/​s00134-005-2586-4CrossRefPubMed
2.
Zurück zum Zitat de Backer D, Taccone FS, Holsten R et al (2009) Influence of respiratory rate on stroke volume variation in mechanically ventilated patients. Anesthesiology 110:1092–1097. https://​doi.​org/​10.​1097/​ALN.​0b013e31819db2a1​CrossRefPubMed
3.
Zurück zum Zitat Ball L, Costantino F, Orefice G et al (2017) Intraoperative mechanical ventilation: state of the art. Minerva Anestesiol 83:1075–1088. https://​doi.​org/​10.​23736/​S0375-9393.​17.​11970-XCrossRefPubMed
4.
Zurück zum Zitat Brower RG, Matthay MA, Morris A et al (2000) Ventilation with lower tidal volumes as compared with traditional tidal volumes for acute lung injury and the acute respiratory distress syndrome. N Engl J Med 342:1301–1308. https://​doi.​org/​10.​1056/​NEJM200005043421​801CrossRefPubMed
5.
Zurück zum Zitat Cannesson M, Le Manach Y, Hofer CK et al (2011) Assessing the diagnostic accuracy of pulse pressure variations for the prediction of fluid responsiveness: a “gray zone” approach. Anesthesiology 115:231–241. https://​doi.​org/​10.​1097/​ALN.​0b013e318225b80a​CrossRefPubMed
6.
Zurück zum Zitat Carey JS (1973) Physiological hemodilution: interrelationships between hemodynamics and blood volume after acute blood loss. Ann Surg 178:87–94. https://​doi.​org/​10.​1097/​00000658-197307000-00018CrossRefPubMedPubMedCentral
7.
Zurück zum Zitat Charron C, Fessenmeyer C, Cosson C et al (2006) The influence of tidal volume on the dynamic variables of fluid responsiveness in critically ill patients. Anesth Analg 102:1511–1517. https://​doi.​org/​10.​1213/​01.​ane.​0000209015.​21418.​f4CrossRefPubMed
8.
Zurück zum Zitat Chiumello D, Consonni D, Coppola S et al (2016) The occlusion tests and end-expiratory esophageal pressure: measurements and comparison in controlled and assisted ventilation. Ann Intensive Care 6:13. https://​doi.​org/​10.​1186/​s13613-016-0112-1CrossRefPubMedPubMedCentral
9.
Zurück zum Zitat Chiumello D, Gotti M, Guanziroli M et al (2020) Bedside calculation of mechanical power during volume- and pressure-controlled mechanical ventilation. Crit Care 24:417. https://​doi.​org/​10.​1186/​s13054-020-03116-wCrossRefPubMedPubMedCentral
10.
Zurück zum Zitat Du Percie Sert N, Hurst V, Ahluwalia A et al (2020) The ARRIVE guidelines 2.0: updated guidelines for reporting animal research. Bmj Open Sci 4:e100115. https://​doi.​org/​10.​1136/​bmjos-2020-100115CrossRef
11.
Zurück zum Zitat Enevoldsen J, Brandsborg B, Juhl-Olsen P et al (2024) The effects of respiratory rate and tidal volume on pulse pressure variation in healthy lungs—a generalized additive model approach may help overcome limitations. J Clin Monit Comput 38:57–67. https://​doi.​org/​10.​1007/​s10877-023-01090-6CrossRefPubMed
12.
Zurück zum Zitat Evans D, Boyes HW (1969) The effects of rapid massive haemorrhage and retransfusion on various cardiovascular parameters in the dog. Canad Anaesth Soc J 16:385–394. https://​doi.​org/​10.​1007/​BF03004483CrossRefPubMed
13.
Zurück zum Zitat Gattinoni L, Tonetti T, Cressoni M et al (2016) Ventilator-related causes of lung injury: the mechanical power. Intensive Care Med 42:1567–1575. https://​doi.​org/​10.​1007/​s00134-016-4505-2CrossRefPubMed
14.
Zurück zum Zitat Gernoth C, Wagner G, Pelosi P et al (2009) Respiratory and haemodynamic changes during decremental open lung positive end-expiratory pressure titration in patients with acute respiratory distress syndrome. Crit Care 13:R59. https://​doi.​org/​10.​1186/​cc7786CrossRefPubMedPubMedCentral
15.
Zurück zum Zitat Gupta RK, Fahim M (2005) Regulation of cardiovascular functions during acute blood loss. Indian J Physiol Pharmacol 49:213–219PubMed
16.
Zurück zum Zitat Jacobsen J, Secher NH (1992) Heart rate during haemorrhagic shock. Clin Physiol 12:659–666. https://​doi.​org/​10.​1111/​j.​1475-097x.​1992.​tb00369.​xCrossRefPubMed
17.
Zurück zum Zitat Lansdorp B, Hofhuizen C, van Lavieren M et al (2014) Mechanical ventilation-induced intrathoracic pressure distribution and heart-lung interactions. Crit Care Med 42:1983–1990. https://​doi.​org/​10.​1097/​CCM.​0000000000000345​CrossRefPubMed
18.
Zurück zum Zitat Lefrant J‑Y, de Backer D (2009) Can we use pulse pressure variations to predict fluid responsiveness in patients with ARDS? Intensive Care Med 35:966–968. https://​doi.​org/​10.​1007/​s00134-009-1479-3CrossRefPubMed
19.
Zurück zum Zitat Levy B, Fritz C, Tahon E et al (2018) Vasoplegia treatments: the past, the present, and the future. Crit Care 22:52. https://​doi.​org/​10.​1186/​s13054-018-1967-3CrossRefPubMedPubMedCentral
20.
Zurück zum Zitat Liu Y, Wei L, Li G et al (2016) Pulse Pressure Variation Adjusted by Respiratory Changes in Pleural Pressure, Rather Than by Tidal Volume, Reliably Predicts Fluid Responsiveness in Patients With Acute Respiratory Distress Syndrome. Crit Care Med 44:342–351. https://​doi.​org/​10.​1097/​CCM.​0000000000001371​CrossRefPubMed
21.
Zurück zum Zitat Liu Y, Lou J‑S, Mi W‑D et al (2016) Pulse pressure variation shows a direct linear correlation with tidal volume in anesthetized healthy patients. BMC Anesthesiol 16:75. https://​doi.​org/​10.​1186/​s12871-016-0233-yCrossRefPubMedPubMedCentral
22.
Zurück zum Zitat Marik PE, Cavallazzi R, Vasu T et al (2009) Dynamic changes in arterial waveform derived variables and fluid responsiveness in mechanically ventilated patients: a systematic review of the literature. Crit Care Med 37:2642–2647. https://​doi.​org/​10.​1097/​CCM.​0b013e3181a590da​CrossRefPubMed
23.
Zurück zum Zitat Muller L, Louart G, Bousquet P‑J et al (2010) The influence of the airway driving pressure on pulsed pressure variation as a predictor of fluid responsiveness. Intensive Care Med 36:496–503. https://​doi.​org/​10.​1007/​s00134-009-1686-yCrossRefPubMed
24.
Zurück zum Zitat Oliveira RH, Azevedo LCP, Park M et al (2009) Influence of ventilatory settings on static and functional haemodynamic parameters during experimental hypovolaemia. Eur J Anaesthesiol 26:66–72. https://​doi.​org/​10.​1097/​EJA.​0b013e328319bf5e​CrossRefPubMed
25.
Zurück zum Zitat Placenti A, Fratebianchi F (2022) Interpretation and use of intraoperative protective ventilation parameters: a scoping review. Anaesthesiol Intensive Ther 54:320–333. https://​doi.​org/​10.​5114/​ait.​2022.​120673CrossRefPubMedPubMedCentral
26.
Zurück zum Zitat Reuter DA, Bayerlein J, Goepfert MSG et al (2003) Influence of tidal volume on left ventricular stroke volume variation measured by pulse contour analysis in mechanically ventilated patients. Intensive Care Med 29:476–480. https://​doi.​org/​10.​1007/​s00134-003-1649-7CrossRefPubMed
27.
Zurück zum Zitat Ruszkai Z, Kiss E, László I et al (2021) Effects of intraoperative positive end-expiratory pressure optimization on respiratory mechanics and the inflammatory response: a randomized controlled trial. J Clin Monit Comput 35:469–482. https://​doi.​org/​10.​1007/​s10877-020-00519-6CrossRefPubMed
28.
Zurück zum Zitat Skillman JJ, Olson JE, Lyons JH et al (1967) The hemodynamic effect of acute blood loss in normal man, with observations on the effect of the Valsalva maneuver and breath holding. Ann Surg 166:713–738. https://​doi.​org/​10.​1097/​00000658-196711000-00001CrossRefPubMedPubMedCentral
29.
Zurück zum Zitat Suarez-Sipmann F, Böhm SH, Tusman G et al (2007) Use of dynamic compliance for open lung positive end-expiratory pressure titration in an experimental study. Crit Care Med 35:214–221. https://​doi.​org/​10.​1097/​01.​CCM.​0000251131.​40301.​E2CrossRefPubMed
30.
Zurück zum Zitat Szold A, Pizov R, Segal E et al (1989) The effect of tidal volume and intravascular volume state on systolic pressure variation in ventilated dogs. Intensive Care Med 15:368–371. https://​doi.​org/​10.​1007/​BF00261495CrossRefPubMed
31.
Zurück zum Zitat Tremblay LN, Slutsky AS (1998) Ventilator-induced injury: from barotrauma to biotrauma. Proc Assoc Am Physicians 110:482–488PubMed
32.
Zurück zum Zitat Vallée F, Richard JCM, Mari A et al (2009) Pulse pressure variations adjusted by alveolar driving pressure to assess fluid responsiveness. Intensive Care Med 35:1004–1010. https://​doi.​org/​10.​1007/​s00134-009-1478-4CrossRefPubMed
33.
Zurück zum Zitat Vistisen ST, Koefoed-Nielsen J, Larsson A (2010) Should dynamic parameters for prediction of fluid responsiveness be indexed to the tidal volume? Acta Anaesthesiol Scand 54:191–198. https://​doi.​org/​10.​1111/​j.​1399-6576.​2009.​02114.​xCrossRefPubMed
34.
Zurück zum Zitat Zitzmann A, Bandorf T, Merz J et al (2023) Pressure- vs. volume-controlled ventilation and their respective impact on dynamic parameters of fluid responsiveness: a cross-over animal study. BMC Anesthesiol 23:320. https://​doi.​org/​10.​1186/​s12871-023-02273-zCrossRefPubMedPubMedCentral

Neu im Fachgebiet AINS

Beinödem unter Gabapentin: Verschreibungskaskade stoppen!

Ein Patient entwickelt unter Gabapentin ein Beinödem – und bekommt deshalb ein Schleifendiuretikum verschrieben. Welche Folgen diese offenbar häufig anzutreffende Verschreibungskaskade haben kann, gerade bei Senioren, legt ein US-Team dar. Das Studiendesign gibt allerdings Anlass zur Kritik.

So häufig versagen arterielle Katheter auf Intensivstationen

Dass die intensivmedizinische Versorgung mit einem peripheren arteriellen Katheter mit diversen Komplikationen einhergehen kann, belegt eine Metaanalyse mit aktuellen Zahlen. Der Verzicht auf diese Maßnahme scheint in einigen Fällen zumindest kein Nachteil zu sein – wie eine andere Studie ergeben hat.



Maßnahmenmix schützt die Niere nach der Op.

Ergebnisse einer großen multizentrischen Studie aus Europa sprechen dafür, dass die Implementierung des sogenannten KDIGO-Bündels das postoperative Risiko für moderate bis schwere akute Nierenschädigungen bei Risikopersonen senken kann. 

Negativer D-Dimer-Test trotz akuter Lungenembolie

Wie wichtig in der Lungenembolie-Diagnostik die gründliche klinische Beurteilung ist, illustriert der Fall einer 69-Jährigen: Ihre Lungenembolie wäre mittels Wells-Score und D-Dimer-Test nicht entdeckt worden.

Update AINS

Bestellen Sie unseren Fach-Newsletter und bleiben Sie gut informiert.

Bildnachweise
Ärztin im Gespräch mit älterem Patienten/© fizkes / stock.adobe.com (Symbolbild mit Fotomodellen), Legen eines arteriellen Katheters im OP/© beerkoff / Stock.adobe.com (Symbolbild mit Fotomodell), Tropf im OP/© kadmy / Getty Images / iStock, Patientin und Arzt im Gespräch/© Guillem de Balanzó / stock.adobe.com