Zum Inhalt

Evaluation of peripheral and autonomic nervous systems dysfunctions in patients with Parkinson’s disease

  • Open Access
  • 01.12.2024
  • Research
Erschienen in:

Abstract

Background

Peripheral neuropathy (PN) is increasingly recognized in Parkinson’s disease (PD). This study aimed to evaluate peripheral nerve and autonomic nervous system dysfunction in PD. Forty patients with PD (20 drug-naïve, 20 on treatment) and 20 controls underwent neurological examination, Toronto Clinical Neuropathy Score (TCNS), nerve conduction studies, autonomic function tests including (heart rate variability, Blood pressure changes with standing and sustained handgrip, and sudomotor pathways. The Ewing classification system scored each test to quantify autonomic failure severity). Laboratory tests (B12, homocysteine, methylmalonic acid).

Results

Treated patients with PD had higher MDS-UPDRS scores than drug-naïve (p = 0.001). TCNS indicated mild PN in some drug-naïve patients, and mild–moderate PN in treated patients. Nerve conduction studies showed significant sensory and motor neuropathy in treated versus drug-naïve PD and controls. Treated patients had lower B12, higher homocysteine/methylmalonic acid than other groups. Across autonomic tests, controls had the most normal results, followed by drug-naïve patients, with treated patients being most abnormal. Autonomic dysfunction correlated with disease duration, severity, L-dopa dose. Lower B12, higher homocysteine/methylmalonic acid levels were associated with greater neuropathy and disease severity.

Conclusion

Patients with PD show evidence of PN and autonomic dysfunction, which is milder in drug-naïve patients but worsens with disease progression and treatment. Peripheral nervous system assessments may help diagnose and monitor PD neuropathy and effects of interventions.

Supplementary Information

The online version contains supplementary material available at https://doi.org/10.1186/s41983-024-00827-7.

Publisher's Note

Springer Nature remains neutral with regard to jurisdictional claims in published maps and institutional affiliations.
BP
Blood pressure
CSP
Cutaneous silent period
E/I
Expiratory/inspiratory
HRV
Heart rate variability
LC/MS
Liquid chromatography/tandem mass spectrometry
MDS-UPDRS
MDS-Unified Parkinson’s Disease Rating Scale
MMA
Methylmalonic acid
PD
Parkinson’s disease
PN
Peripheral neuropathy
SSR
Sympathetic skin response
TCNS
Toronto Clinical Neuropathy Score
VR
Valsalva ratio

Introduction

Parkinson’s disease (PD) is a progressive neurodegenerative disorder characterized by the loss of dopamine-producing neurons and manifested by motor and non-motor symptoms including cognitive problems, dysfunction of the autonomic nervous system, and sensory disturbance [1].
Among the features of PD, a growing number of studies assessing peripheral nerve pathology have recognized the increased prevalence of peripheral neuropathy (PN) in the PD population [2]. Recently, there has been a discovery of sensory disturbances in patients with PD during the “off” medication state, suggesting a potential involvement of peripheral nerves in the disease. Interest in PN in PD has primarily arisen from observations in patients treated with levodopa–carbidopa intestinal gel [3].
This emerging evidence indicates that those with PD tend to develop PN at higher rates than the general population. Scientists now speculate that PN may explain some PD symptoms like impaired balance and muscle weakness. Thus, its presence can negatively affect the lives of patients with PD [4]. In patients with prolonged L-dopa exposure who were diagnosed with PN, homocysteine (Hcy) and methylmalonic acid (MMA) levels were significantly elevated while vitamin B12 levels were lower. Essentially, this rise in Hcy and MMA levels results from the metabolism of L-dopa through the O-methylation pathway [3].
Autonomic nervous system impairment has emerged as a significant non-motor feature PD. In recent years, research has increasingly examined the potential of autonomic dysfunction as a biomarker for early detection and prognosis of PD, positioning it at the forefront of current investigative efforts in PD [5]. While alpha-synuclein accumulation has been extensively documented in the sympathetic, parasympathetic, and enteric nervous systems of patients with PD, the precise pathological process underlying autonomic dysfunction in PD remains undetermined [6]. This study aimed to evaluate the peripheral and autonomic nervous system dysfunction PD.

Methods

This cross-sectional study was conducted on 40 patients with PD diagnosed according to the United Kingdom Parkinson’s disease Society Brain Bank diagnostic criteria [7]. They were recruited from the 1st of March 2021 to the end of February 2023. PD severity was evaluated by MDS-Unified Parkinson’s Disease Rating Scale (MDS-UPDRS) [8] and Hoehn and Yahr scale [9]. Patients with Parkinson plus syndromes, secondary parkinsonism, other neurological disorders, or endocrinal disorders were excluded from our study. Patients with diabetes mellitus, renal disease or systemic diseases that may cause neuropathy, were excluded from this study.
Patients with PD were classified into two groups: Group 1; included 20 patients with PD who were recently diagnosed and are drug naïve (not receiving antiparkinsonian drugs). Group 2; included 20 patients with PD and receiving antiparkinsonian drugs. The daily dose of L-dopa equivalent dose was calculated by conversion formula proposed by Tomlinson et al. [10]. Another 20 age and sex-matched healthy subjects were recruited and served as control group (Group 3).
All participants were subjected to the following: full medical history, general and neurological examination, laboratory studies including fasting and postprandial blood glucose level, serum electrolytes, renal function test, liver function test, thyroid hormonal profile.
All participants underwent special laboratory investigation including, serum levels of B12 (normal value 200–900 pcg/L), homocysteine (normal value 5–15 µmol/L) which were done by tosoh analyzer through immunofluorescence technique and methylmalonic acid (MMA) (normal value 0.4 µmol/L) which was done by liquid chromatography/tandem mass spectrometry (LC/MS).
All participants were evaluated by the Scales for Outcomes in Parkinson’s disease—Autonomic Dysfunction (SCOPA-AUT) which is a self-administered questionnaire with 23 items used to evaluate autonomic dysfunction in PD patients. The items are organized into six areas assessing gastrointestinal, urinary, cardiovascular, thermoregulatory, pupillomotor, and sexual functions. Each item is scored on a 4-point scale from 0 to 3, with 0 indicating no symptoms and 3 indicating frequent or severe symptoms. The total score ranges from 0 to 69, with higher scores suggesting worse autonomic impairment [11, 12].
Screening for neuropathy by the Toronto Clinical Neuropathy Score [13] (TCNS). The TCNS is a 19-point scale used to categorize the severity of PN. It evaluates reflexes at the knees and ankles, sensory function in the legs, and sensory symptoms in both upper and lower extremities. Each aspect is scored as present (1 point) or absent (0 points). The total TCNS score indicates the severity level: (0–5 = no or minimal neuropathy; 6–8 = mild neuropathy; 9–11 = moderate neuropathy; 12 + = severe neuropathy).
All participants underwent a comprehensive neurophysiological evaluation including motor conduction studies of the median, ulnar, common peroneal, and posterior tibial nerves. Sensory conduction studies of the median, ulnar, radial, and sural nerves. In addition, F-wave latencies of the median, ulnar, common peroneal, and posterior tibial nerves. This standardized electrodiagnostic protocol allowed characterization of peripheral nerve function across upper and lower limbs in the study cohort.
A comprehensive battery of cardiovascular autonomic tests was performed to assess parasympathetic and sympathetic nervous system function (the detailed tests are explained in Additional file 1). Heart rate variability was measured with deep breathing, the Valsalva maneuver, and active standing to evaluate parasympathetic activity [1416]. Blood pressure changes with standing and sustained handgrip were used to gauge sympathetic function [16, 17]. Sudomotor pathways were tested by recording electrodermal sympathetic skin responses to electrical nerve stimuli [18]. To quantify autonomic failure severity, the Ewing classification system scores each test as normal, borderline, or abnormal. Patients are then categorized as having normal function or early, definite, severe, or atypical dysfunction based on their total test score profile. This system divides patients into minor dysfunction (normal or early categories) and severe dysfunction (definite, severe, atypical categories) [19].
A signed informed consent was obtained from all participants. The collected data were statistically analyzed using SPSS Prism version 20, 2013 (created by IBM, Armonk, NY, USA). The Chi-square test is used for categorical data and the t-test is used for numerical data. One-way ANOVA test used to compare the means of the 3 groups. This is a post hoc Tukey test to compare each pair of group means. The F-test is used to evaluate the regression model. Significance was adopted at p < 0.05 for the interpretation of results of tests of significance.

Results

The study included 40 patients with PD—20 not on dopaminergic medication (11 males, 9 females, mean age 57.8 years) and 20 on dopaminergic medication (12 males, 8 females, mean age 59.2 years) as well as 20 healthy controls (10 males, 10 females, mean age 57.5 years). There were no significant differences between the groups in terms of age and sex distribution. The patients with PD on medication had significantly higher MDS-UPDRS, Hoehn and Yahr and SCOPA-AUT scores compared to drug-naïve patients with PD. The medicated patients with PD had a mean daily L-dopa equivalent dose of 325.73 mg. The detailed results are demonstrated in Table 1.
Table 1
Age, sex, disease duration, severity, and Scales for Outcomes in Parkinson’s disease—autonomic dysfunction among studied groups
 
Control subjects
Drug-naïve patients with PD
Patients with PD on dopaminergic drugs
p-value
Tukey test
Age in years
57.5 ± 4.52
57.8 ± 3.52
59.2 ± 2.26
0.35
P1:0.77
P2:0.351
P3:0.354
Sex (male)
11
12
10
0.12
P1:0.144
P2:0.122
P3:0.121
Disease duration (years)
 
1.2 ± 0.32
3.7 ± 1.7
0.001
 
MDS-UPDRS
 
50.78 ± 14.12
70.71 ± 18.87
0.001
 
Hoehn and Yahr
 
1.3 ± 0.5
2.4 ± 0.7
0.01
 
SCOPA-AUT
6.3 ± 1.5
9.5 ± 0.98
12.5 ± 1.5
0.001
P1:0.001
P2:0.001
P3:0.001
MDS-UPDRS (MDS-Unified Parkinson’s Disease Rating Scale). SCOPA-AUT (Scales for Outcomes in Parkinson’s disease—Autonomic Dysfunction). P1 (control versus drug-naïve patients with PD). P2 (control versus patients on dopaminergic drugs). P3 (drug-naïve patients with PD versus patients on dopaminergic drugs)
The assessment of neuropathy using the TCNS in the studied groups showed that all subjects in the control group had scores below 5 points, indicating no or minimal neuropathy. Among the drug-naïve patients, 5 patients had scores between 6 and 8 points, indicating mild neuropathy. In patients receiving dopaminergic drugs, 6 patients showed mild neuropathy scores, while 3 patients showed moderate neuropathy scores. None of the subjects in the study scored 12 or more points, indicating severe neuropathy (Table 2).
Table 2
Frequency of neuropathy (clinical and subclinical cases) among studied groups
 
Without neuropathy
With neuropathy
Total
Neuropathy%
Control subjects
20
0
20
0%
Drug-naïve patients with PD
17
3
20
15%
Patients with PD on dopaminergic drugs
11
9
20
45%
The analysis of nerve conduction study data revealed a significant impairment of sensory fibers in the median, ulnar, radial, and sural nerves of patients with PD compared to the healthy control group. Furthermore, one-way ANOVA and post hoc Tukey tests were conducted to compare the latency, amplitude, and conduction velocity between the 3 groups for each nerve tested. The post hoc analyses showed that group 2 had significantly abnormal results compared to group 1 and controls for multiple sensory and motor nerve parameters, indicating neuropathy. The detailed results are presented in Table 3.
Table 3
Mean values of nerve conduction study of studied groups and post hoc analysis
 
Controls
Drug-naïve patients with PD
Patients with PD on dopaminergic drugs
F-value
p-value
Tukey test
Median motor
Latency (ms)
3.87 ± 0.27
3.78 ± 0.24
3.75 ± 0.32
0.666
0.575
P1:0.579
P2:0.585
P3:0.572
Amplitude (mv)
5.45 ± 0.61
5.94 ± 0.52
5 ± 0.85
2.26
0.097
P1:0.093
P2:0.081
P3:0.091
Conduction Velocity (m/s)
59.25 ± 4.67
58.15 ± 4.97
58.92 ± 4.79
0.173
0.192
P1:0.180
P2:0.195
P3:0.193
F-wave latency (ms)
27.17 ± 0.92
27.15 ± 0.87
27.39 ± 1.34
1.01
0.39
P1:0.38
P2:0.41
P3:0.37
Median sensory
Latency (ms)
2.2 ± 0.16
2.81 ± 0.11
3.4 ± 0.32
64.2
0.001
P1:0.001
P2:0.001
P3:0.001
Amplitude (µv)
26.5 ± 3
22.55 ± 4.5
18.21 ± 8.14
4.55
0.008
P1:0.007
P2:0.001
P3: 0.009
Conduction velocity (m/s)
56.1 ± 3.51
52.65 ± 6.16
49.29 ± 3.03
26.57
0.01
P1:0.02
P2:0.001
P3:0.03
Ulnar motor
Latency (ms)
2.98 ± 0.26
2.98 ± 0.20
3.05 ± 0.32
0.349
0.789
P1:0.768
p2:0.672
P3:0.732
Amplitude (mv)
8.35 ± 0.79
8.44 ± 0.71
7.83 ± 1.32
1.58
0.199
P1:0.232
P2:0.192
P3:0.187
Conduction velocity (m/s)
53.5 ± 3.25
53.55 ± 3.10
54.42 ± 4.22
2.33
0.08
P1:0.082
P2:0.067
P3:0.079
F-wave latency (ms)
29.19 ± 1.14
29.08 ± 0.73
29.87 ± 0.84
1.84
0.155
P1:0.192
P2:0.137
P3:0.142
Ulnar sensory
Latency (ms)
2.38 ± 0.130
2.44 ± 0.16
2.95 ± 0.21
25.44
0.025
P1: 0.042
P2: 0.012
P3:0.032
Amplitude (µv)
20.2 ± 1.67
18 ± 2.79
15.42 ± 4.99
7.42
0.015
P1: 0.01
P2: 0.01
P3:0.01
Conduction velocity (m/s)
62.35 ± 5.04
58.8 ± 5.81
48.59 ± 5.42
14.09
0.008
P1:0.009
P2: 0.001
P3:0.001
Radial sensory
Latency (ms)
2.22 ± 0.13
2.41 ± 0.16
2.78 ± 0.21
23.22
0.033
P1: 0.041
P2: 0.032
P3:0.029
Amplitude (µv)
17.10 ± 1.07
15.55 ± 2.94
13.50 ± 4.54
5.89
0.012
P1: 0.013
P2:0.008
P3:0.015
Conduction velocity (m/s)
69.4 ± 4.16
56.75 ± 6.54
49.79 ± 4.42
26.44
0.001
P1:0.001
P2:0.001
P3:0.001
Tibial nerve
Latency (ms)
5.16 ± 0.23
5.03 ± 0.14
5.15 ± 0.58
1.262
0.293
P1: 0.341
P2: 0.272
P3:0.313
Amplitude (mv)
5.5 ± 0.24
5.62 ± 0.21
5.3 ± 0.89
0.739
0.535
P1:0.512
P2: 0.522
P3:0.519
Conduction velocity (m/s)
56.85 ± 7.90
55.55 ± 5.95
57.73 ± 8.20
0.39
0.759
P1:0.723
P2:0.562
P3:0.234
F-wave latency (ms)
47.25 ± 1.94
46.93 ± 1.13
47.37 ± 3.22
1.785
0.156
P1: 0.097
P2: 0.088
P3:0.123
Peroneal nerve
Latency (ms)
4.86 ± 0.28
5.04 ± 0.3
6.06 ± 0.79
18.82
0.024
P1:0.059
P2:0.027
P3:0.018
Amplitude (mv)
3.48 ± 0.42
3.92 ± 0.44
2.87 ± 0.65
14.67
0.001
P1: 0.001
P2: 0.001
P3:0.001
Conduction velocity (m/s)
67.25 ± 8.92
65.47 ± 8.73
52.4 ± 8.62
7.85
0.001
P1: 0.001
P2: 0.001
P3:0.001
F-wave latency (ms)
46.25 ± 1.06
45.85 ± 1.07
46.23 ± 1.35
1.35
0.27
P1:0.137
P2: 0.279
P3:0.152
Sural nerve
latency (ms)
2.92 ± 0.13
3.22 ± 0.14
3.71 ± 0.24
40.71
0.001
P1: 0.001
P2: 0.001
P3:0.001
Amplitude (µv)
16.5 ± 1.9
12.33 ± 7.06
5.31 ± 1.57
9.28
0.001
P1: 0.001
P2:0.001
P3:0.001
Conduction velocity (m/s)
62.33 ± 4.08
57.8 ± 3.79
49.13 ± 2.53
28.72
0.001
P1:0.001
P2: 0.001
P3:0.001
(ms) millisecond; (mv) microvolt; (m/s) meter per second; (µv) microvot; P1 (control versus drug-naïve patients with PD). P2 (control versus patients on dopaminergic drugs). P3 (drug-naïve patients with PD versus patients on dopaminergic drugs)
Serum vitamin B12, homocysteine, and methylmalonic acid levels were compared between the three groups (Table 4). Group 2 had significantly lower serum vitamin B12 levels compared to group 1 and control subjects. In contrast, group 2 had significantly higher serum homocysteine and methylmalonic acid levels compared to group 1 and controls.
Table 4
Serum vitamin B12, homocysteine, and methylmalonic acid levels between the studied groups
 
Control group
Drug-naïve patients with PD
PD on dopaminergic drugs
F-value
p-value
Tukey test
Vitamin B12 (pcg/ L) Mean ± SD
799 ± 48.86
745 ± 55.03
257.5 ± 76.26
133.5
0.001
P1:0.015
P2:0.001
P3:0.001
Homocysteine (µmol/L) Mean ± SD
13 ± 1.33
20.5 ± 1.17
35.58 ± 11.34
20.36
0.001
P1:0.001
P2:0.001
P3:0.001
Methylmalonic acid (µmol/L) Mean ± SD
0.39 ± 0.01
0.98 ± 0.02
1.14 ± 0.26
42.81
0.001
P1:0.001
P2:0.001
P3:0.001
P1 (control versus drug-naïve patients with PD). P2 (control versus patients on dopaminergic drugs). P3 (drug-naïve patients with PD versus patients on dopaminergic drugs)
Regarding the autonomic function test results of the studied groups, the ANOVA test shows significant differences between the 3 groups for all tests (p < 0.05). Post hoc Tukey tests reveal significant differences. Across tests, the controls tended to have the most normal results, followed by drug-naive patients, with treated patients showing the most abnormal autonomic test results. The table provides quantified evidence of autonomic dysfunction in patients with PD compared to controls (Table 5).
Table 5
The autonomic function test results of the studied groups
 
Mean
Std. Dev
F
Sig
Tukey test
E/I ratio
Control
1.2660
0.06073
4.724
0.013
P1:0.661
P2:0.011
P3:0.094
Drug-naïve patients with PD
1.2385
0.08087
Patients with PD on dopaminergic drugs
1.1705
0.14307
Valsalva ratio
Control
1.2805
0.03804
6.518
0.003
P1: 0.603
P2:0.003
P3: 0.037
Drug-naïve patients with PD
1.2480
0.09197
Patients with PD on dopaminergic drugs
1.1625
0.15586
30:15 ratio
Control
1.0795
0.02350
8.294
0.001
P1:0.748
P2: 0.008
P3:0.001
Drug-naive
1.0585
0.04603
Patients with PD on dopaminergic drugs
1.1690
0.14913
CSP (median sensory n) onset latency
Control
76.2000
2.33057
7.843
0.001
P1: 0.542
P2:0.001
P3:0.020
Drug-naïve patients with PD
78.5500
5.46255
Patients with PD on dopaminergic drugs
84.7000
10.58847
CSP (median sensory n) duration
Control
44.2500
2.97135
1.862
0.165
P1:1.00
P2:0.230
P3: 0.220
Drug-naïve patients with PD
44.3000
4.84605
Patients with PD on dopaminergic drugs
41.3000
7.92132
CSP (sural nerve) onset latency
Control
94.7500
2.46822
12.034
0.001
P1:0.853
P2: 0.001
P3:0.001
Drug-naïve patients with PD
96.1500
7.69330
Patients with PD on dopaminergic drugs
106.4500
11.75842
CSP (sural n) duration
control
46.8500
2.79614
4.443
0.016
P1:0.275
P2: 0.012
P3:0.335
Drug-naïve patients with PD
43.8000
5.53078
Patients with PD on dopaminergic drugs
41.0000
8.80191
SSR (Palm)sec
Control
1.2250
.08507
4.313
0.018
P1:0.528
P2: 0.014
P3:0.173
Drug-naïve patients with PD
1.3350
.21343
Patients with PD on dopaminergic drugs
1.5200
.50638
SSR (Sole) sec
Control
1.5500
.14327
13.646
0.001
P1:0.001
P2: 0.001
P3:0.395
Drug-naïve patients with PD
2.0050
.36631
Patients with PD on dopaminergic drugs
2.1650
.54122
Systolic blood pressure to active standing(mmHg)
Control
9.4000
1.09545
152.879
0.001
P1:0.415
P2:0.001
P3:0.001
Drug-naïve patients with PD
11.1500
7.43587
Patients with PD on dopaminergic drugs
31.0000
0.00000
Diastolic blood pressure response to sustained hand grip (mmHg)
Control
18.0000
0.000
5.980
0.004
P1:0.039
P2: 0.004
P3:0.679
Drug-naïve patients with PD
15.3550
4.32672
Patients with PD on dopaminergic drugs
14.5000
3.83200
SSR amplitude (mv) palm
Control
1.2000
0.000
10.750
0.001
P1:0.945
P2:0.001
P3: 0.001
Drug-naïve patients with PD
1.1800
0.15079
Patients with PD on dopaminergic drugs
0.9400
0.30677
SSR amplitude (mv) sole
Control
0.3550
0.06863
52.916
0.001
P1:0.001
P2:0.001
P3: 0.113
Drug-naïve patients with PD
0.2260
0.04988
Patients with PD on dopaminergic drugs
0.1920
0.03443
Ewing score
Control
0.1000
0.20520
2.784
0.071
P1:0.760
P2:0.060
P3:0.029
Drug-naïve patients with PD
0.5000
1.53897
Patients with PD on dopaminergic drugs
1.2500
2.22131
E/I expiratory/inspiratory, CSP cutaneous silent period, SSR sympathetic skin response, P1 control versus drug-naïve patients. P2: control versus patients with PD on dopaminergic drugs. P3: drug-naïve patients versus patients with PD on dopaminergic drugs
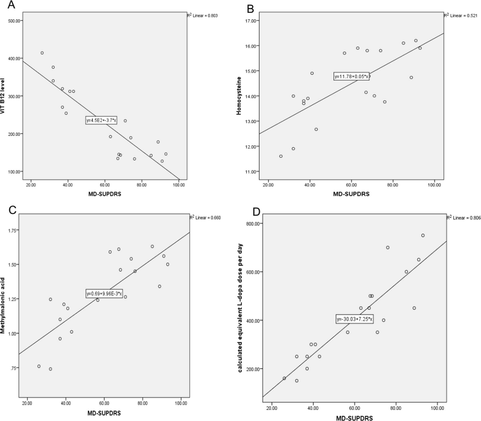
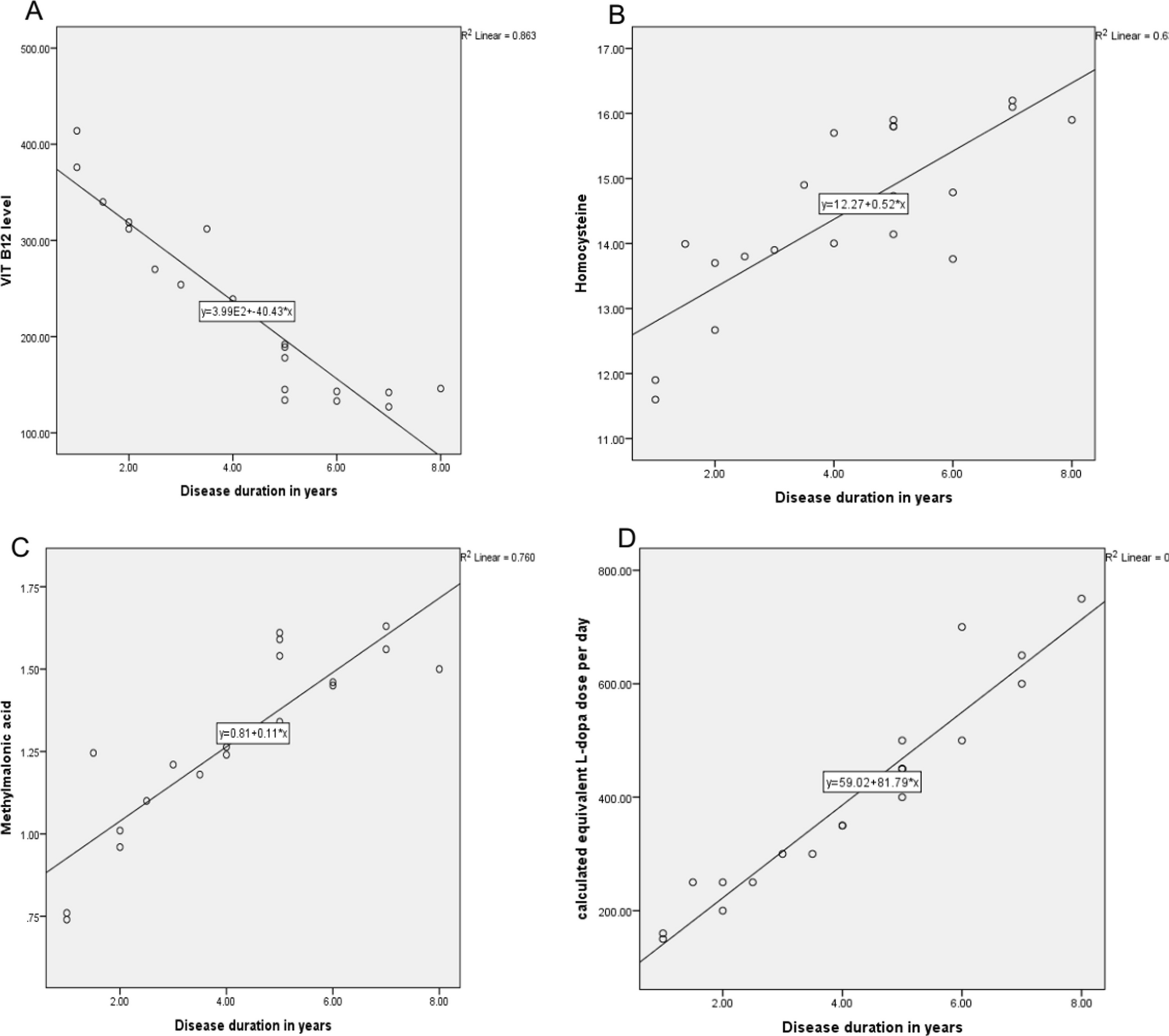
Our study revealed a significant correlation between serum levels of vitamin B12, homocysteine, methylmalonic acid, and the calculated equivalent L-dopa dose per day with the duration, severity of disease, and frequency of neuropathy. We found that lower levels of serum vitamin B12, higher levels of serum homocysteine and methylmalonic acid, and higher L-dopa doses were associated with higher TCNS scores, indicating increased neuropathy. Furthermore, we observed that as the duration and severity (MDS-UPDRS) of the disease progressed, there were lower levels of serum vitamin B12, higher levels of serum homocysteine, methylmalonic acid, and higher calculated equivalent L-dopa doses. The Ewing score has positive significant correlation with MDS-UPDRS, PD duration and calculated equivalent L-dopa dose per day. These findings are illustrated in Figs. 1, 2, 3, 4 and Additional file 2.
Fig. 1
Correlation between disease duration, vit B12 levels (A), homocysteine levels (B), methylmalonic acid (C) and calculated equivalent L-dopa dose per day (D)
Bild vergrößern
Fig. 2
Correlation between Parkinson’s disease severity, vit B12 levels (A), homocysteine levels (B), methylmalonic acid (C) and calculated equivalent L-dopa dose per day (D)
Bild vergrößern
Fig. 3
Correlation between Toronto Clinical Neuropathy Score, vit B12 levels (A), homocysteine levels (B), methylmalonic acid (C) and calculated equivalent L-dopa dose per day (D)
Bild vergrößern
Fig. 4
Ewing score has positive sig correlation with UPDRS (A), Parkinson disease duration (B) and calculated equivalent L-dopa dose per day (C)
Bild vergrößern
Multiple linear regression models predicting the Ewing score and TCN score based on studied variables revealed that disease duration and MDS-UPDRS have positive coefficients, suggesting higher scores on Ewing and TCN are associated with longer disease duration and more severe PD. These effects were statistically significant (p > 0.05).

Discussion

Peripheral neuropathy is increasingly being recognized as a common problem in PD patients. Prolonged L-dopa exposure may contribute to neuropathy via increased homocysteine and methylmalonic acid levels. However, PD patients without L-dopa exposure may have underlying genetic mutations or separate mitochondrial disorders driving their neuropathy. Vitamin B12 and cobalamin deficiencies have also been implicated as causal factors, as has accumulation of phosphorylated α-synuclein [3].
Aiming to investigate PN in PD patients, we designed the current study including both drug-naive patients and patients receiving dopaminergic drugs. We tried to exclude patients with comorbid disorders that could also cause neuropathy. Nerve conduction studies were used to assess large fiber neuropathy. Autonomic function tests were utilized to evaluate autonomic and small fiber neuropathy, as our center lacks experience with skin biopsy which is used to assess intraepidermal nerve fiber density, quantitative sudomotor axon reflex testing or laser evoked potentials.
Screening for neuropathy using the TCNS revealed that 15% of drug-naive patients had mild neuropathy, while 45% of patients receiving dopaminergic drugs had mild to moderate neuropathy. This result was like Corrà et al. [2], who reported PN in about 40% of PD patients, with the majority being small fiber neuropathy. Another study by Grambalová et al. [20] conducted electromyography examinations on 49 patients with PD with asymptomatic polyneuropathy and 40 controls. They found that polyneuropathy was significantly higher in patients with PD compared to controls (45% versus 2%). However, they did not find a relationship in the PD group according to long-term L-dopa usage, PD duration, or age.
A previous study by Notermans and colleagues [21] looked at the relationship between L-dopa therapy and PN prevalence in PD patients. They found PN in only 12.1% of L-dopa-naive patients, compared to 36.1% of L-dopa-treated patients. This significant increase in PN prevalence with L-dopa treatment suggests that dopaminergic therapy and disease progression both play an important role in the development of PN in PD patients.
Ramachandran and colleagues [4] conducted their study on a cohort of early-stage PD patients. They found PN in 49 patients (31.8%), with large fiber neuropathy present in 18.2% and small fiber neuropathy in 30.5%. There was an overlap of large and small fiber neuropathy in 16.9% of the patients.
In the current study, analysis of nerve conduction studies showed significant impairment of sensory fibers in the median, ulnar, radial, and sural nerves of PD patients compared to healthy subjects. This agrees with findings from Ramachandran and colleagues [4], who reported mild axonal sensory neuropathy in 53% of patients, severe sensory neuropathy in 29%, and sensorimotor neuropathy in 18%. Our results confirm previous findings that large-fiber polyneuropathy in PD is typically distal and symmetrical, predominantly axonal, sensory-motor in nature, and affects sensory fibers primarily [22].
Our results revealed that serum vitamin B12 levels were significantly lower in PD patients on dopaminergic drugs compared to both drug-naive patients and healthy subjects. In contrast, PD patients on dopaminergic drugs had significantly higher serum homocysteine and methylmalonic acid levels compared to the other groups.
Low levels of serum vitamin B12 have been increasingly associated with PN in patients with PD. A major study by Ceravolo and colleagues [23] found significantly decreased serum B12 levels in patients with PD with neuropathy compared to those without neuropathy and healthy controls. This effect was independent of levodopa therapy duration.
The mechanisms linking B12 deficiency and neuropathy in PD are not fully elucidated. However, it is known that B12 is an essential cofactor in single-carbon metabolism, and deficiency can lead to accumulation of neurotoxic intermediates like methylmalonic acid and homocysteine [3]. Elevated homocysteine has been significantly associated with PN in patients with PD. Hyperhomocysteinemia triggers the development and progression of PD by different mechanisms, including oxidative stress, mitochondrial dysfunction, apoptosis, and endothelial dysfunction [24]. Particularly, the progression of PD is linked with high inflammatory changes and systemic inflammatory disorders [25].
To evaluate small fiber neuropathy in early PD, Podgorny and colleagues [26] studied a group of newly diagnosed patients with PD with no or minimal previous exposure to levodopa. Using corneal confocal microscopy, they found abnormalities in the small corneal nerve fibers of patients with PD compared to controls. This suggests small fiber neuropathy may be present in PD prior to initiation of levodopa treatment. Our findings support these results, as we have also reported autonomic dysfunction in both drug-naïve and patients with PD on dopaminergic medication. Together, these results indicate that small fiber neuropathy and autonomic abnormalities may manifest in early PD, even before dopaminergic treatment.
In agreement with our findings, another longitudinal study in PD patients found associations between abnormalities in cardiac electrical activity and PD progression. Specifically, they reported that prolonged QT intervals and decreased heart rate variability were associated with greater PD severity and progression over 5 years. These changes in cardiac autonomic function may serve as useful biomarkers to monitor PD progression [27]. Our results align with this study, demonstrating that autonomic dysfunction, evidenced by altered cardiac activity, correlates with disease status in PD. Cardiac autonomic abnormalities may prove to be helpful objective measures to track PD severity and progression over time.
Further supporting our findings, a recently published study reported that assessment of small autonomic nerve fiber function using the quantitative pilomotor axon-reflex test could serve as a noninvasive tool for detecting PD-related autonomic neuropathy and monitoring disease progression [28]. Our findings align with this study, and together they suggest that measures of small fiber autonomic function may have diagnostic and prognostic value as accessible biomarkers in PD.
Autonomic neuropathology in patients with PD includes both neuronal damage and α-synuclein pathology affecting the central and peripheral autonomic nervous systems, as we summarized. Peripheral α-synuclein changes can even predate central pathology [5]. Additionally, Brumberg and colleagues [29] suggested that alpha-synuclein contributes to peripheral neurodegeneration and impairs cardiac sympathetic neurons in patients with synucleinopathies like PD. Their findings further support a role for α-synuclein-mediated peripheral autonomic pathology in PD, including early cardiac sympathetic denervation.
While PD has historically been characterized as a central nervous system neurodegenerative disorder, accumulating research now recognizes intrinsic involvement of the peripheral and autonomic nervous systems. Consequently, quantitative indices of parasympathetic and sympathetic nervous system function may have utility as accessible biomarkers for early diagnosis and tracking progression of PD [30].
The main challenge in determining the intrinsic role of PD in PN is that most patients start treatment right after diagnosis. Therefore, epidemiological data have only been gathered on small groups of early stage, drug-naive PD patients [31]. No large prospective case–control study has been conducted to compare the prevalence of PN in untreated PD patients versus healthy controls. This point favors our study, as we enrolled drug-naive patients, despite the limitations of our methodology.
The study has several limitations that should be addressed in future research. Firstly, the relatively small sample size of 40 patients with PD and 20 controls warrants larger studies to confirm the findings with greater statistical power. Additionally, the cross-sectional design provides only a snapshot of the participants’ condition, whereas longitudinal studies tracking PN over time would give more insight into its evolution with disease progression. Furthermore, the nerve conduction studies employed in this research assess only large fibers, while incorporating assessments of small fibers, such as skin biopsy, could provide a more comprehensive understanding of the PN in PD.

Conclusion

Our study demonstrates evidence of PN and autonomic nervous system dysfunction in patients with PD compared to healthy controls. Our results reveal that peripheral nervous system involvement occurs in early PD, prior to treatment. However, PN and autonomic dysfunction appear to worsen with advancing PD severity and duration. Lower vitamin B12 levels and higher homocysteine/methylmalonic acid levels correlated with greater neuropathy and PD severity.

Acknowledgements

We wish to express our great appreciation to our patients and their family for supporting us during this work.

Declarations

The study protocol was approved by the ethical committee in Tanta University, Egypt, under the code number (36264PR3/1/23). Participation was voluntary and all contributors received detailed information about the aims of this research work and an informed written consent was obtained prior to the commencement of the study.
Not applicable.

Competing interests

The authors have no conflict of interest to disclose.
Open Access This article is licensed under a Creative Commons Attribution 4.0 International License, which permits use, sharing, adaptation, distribution and reproduction in any medium or format, as long as you give appropriate credit to the original author(s) and the source, provide a link to the Creative Commons licence, and indicate if changes were made. The images or other third party material in this article are included in the article's Creative Commons licence, unless indicated otherwise in a credit line to the material. If material is not included in the article's Creative Commons licence and your intended use is not permitted by statutory regulation or exceeds the permitted use, you will need to obtain permission directly from the copyright holder. To view a copy of this licence, visit http://creativecommons.org/licenses/by/4.0/.

Publisher's Note

Springer Nature remains neutral with regard to jurisdictional claims in published maps and institutional affiliations.
Download
Titel
Evaluation of peripheral and autonomic nervous systems dysfunctions in patients with Parkinson’s disease
Verfasst von
Osama A. Ragab
Ehab S. Mohamed
Mahmoud H. Nassar
Publikationsdatum
01.12.2024
Verlag
Springer Berlin Heidelberg
DOI
https://doi.org/10.1186/s41983-024-00827-7
1.
Zurück zum Zitat Balestrino R, Schapira AH. Parkinson disease. Eur J Neurol. 2020;27(1):27–42.CrossRefPubMed
2.
Zurück zum Zitat Corrà MF, Vila-Chã N, Sardoeira A, Hansen C, Sousa AP, Reis I, Sambayeta F, et al. Peripheral neuropathy in Parkinson’s disease: prevalence and functional impact on gait and balance. Brain. 2023;146(1):225–36.CrossRefPubMed
3.
Zurück zum Zitat Paul DA, Qureshi AR, Rana AQ. Peripheral neuropathy in Parkinson’s disease. Neurol Sci. 2020;41:2691–701.CrossRefPubMed
4.
Zurück zum Zitat Ramachandran A, Jose J, Gafoor AV, Das S, Balaram N. Prevalence and risk factors of peripheral neuropathy in Parkinson’s disease. Ann Indian Acad Neurol. 2022;25(6):1109–15.CrossRefPubMedPubMedCentral
5.
Zurück zum Zitat Chen Z, Li G, Liu J. Autonomic dysfunction in Parkinson’s disease: implications for pathophysiology, diagnosis, and treatment. Neurobiol Dis. 2020;134: 104700.CrossRefPubMed
6.
Zurück zum Zitat Jan A, Gonçalves NP, Vaegter CB, Jensen PH, Ferreira N. The prion-like spreading of alpha-synuclein in Parkinson’s disease: update on models and hypotheses. Int J Mol Sci. 2021;22(15):8338.CrossRefPubMedPubMedCentral
7.
Zurück zum Zitat Hughes AJ, Ben-Shlomo Y, Daniel SE, Lees AJ. What features improve the accuracy of clinical diagnosis in Parkinson’s disease: a clinicopathologic study. Neurology. 1992;42(6):1142.CrossRefPubMed
8.
Zurück zum Zitat Goetz CG, Tilley BC, Shaftman SR, Stebbins GT, Fahn S, Martinez-Martin P, et al. Movement Disorder Society-sponsored revision of the Unified Parkinson’s Disease Rating Scale (MDS-UPDRS): scale presentation and clinimetric testing results. Mov Disord. 2008;23(15):2129–70.CrossRefPubMed
9.
Zurück zum Zitat Hoehn MM, Yahr MD. Parkinsonism onset, progression, and mortality. Neurology. 1967;17(5):427.CrossRefPubMed
10.
Zurück zum Zitat Tomlinson CL, Stowe R, Patel S, Rick C, Gray R, Clarke CE. Systematic review of levodopa dose equivalency reporting in Parkinson’s disease. Mov disord. 2010;25(15):2649–53.CrossRefPubMed
11.
Zurück zum Zitat Visser M, Marinus J, Stiggelbout AM, van Hilten JJ. Assessment of autonomic dysfunction in Parkinson’s disease: the SCOPA-AUT. Mov Disord. 2004;19:1306–12.CrossRefPubMed
12.
Zurück zum Zitat Bostantjopoulou S, Katsarou Z, Danglis I, Karakasis H, Milioni D, Falup-Pecurariu C. Self-reported autonomic symptoms in Parkinson’s disease: properties of the SCOPA-AUT scale. Hippokratia. 2016;20(2):115.PubMedPubMedCentral
13.
Zurück zum Zitat Abraham A, Barnett C, Katzberg HD, Lovblom LE, Perkins BA, Bril V. Toronto Clinical Neuropathy Score is valid for a wide spectrum of polyneuropathies. Eur J Neurol. 2018;25(3):484–90.CrossRefPubMed
14.
Zurück zum Zitat Kallio M, Suominen K, Bianchi AM, Mäkikallio T, Haapaniemi T, Astafiev S, et al. Comparison of heart rate variability analysis methods in patients with Parkinson’s disease. Med Biol Eng Comput. 2002;40:408–14.CrossRefPubMed
15.
Zurück zum Zitat Pop-Busui R, Backlund JY, Bebu I, Braffett BH, Lorenzi G, White NH, et al. Utility of using electrocardiogram measures of heart rate variability as a measure of cardiovascular autonomic neuropathy in type 1 diabetes patients. J Diabetes Investig. 2022;13(1):125–33.CrossRefPubMed
16.
Zurück zum Zitat Schneider C, Wiewelhove T, Raeder C, Flatt AA, Hoos O, Hottenrott L, et al. Heart rate variability monitoring during strength and high-intensity interval training overload microcycles. Front Physiol. 2019;10:582.CrossRefPubMedPubMedCentral
17.
Zurück zum Zitat Hamed SA, Elhadad AF, Abdel-aal RF, Hamed EA. Cardiac autonomic function with iron deficiency anemia. J Neurol Exp Neurosci. 2020;6(2):51–7.CrossRef
18.
Zurück zum Zitat Idiaquez J, Casar JC, Fadic R, Iturriaga R. Sympathetic and electrochemical skin responses in the assessment of sudomotor function: a comparative study. Neurophysiol Clin. 2023;53(2): 102840.CrossRefPubMed
19.
Zurück zum Zitat Ewing DJ, Martyn CN, Young RJ, Clarke BF. The value of cardiovascular autonomic function tests: 10 years experience in diabetes. Diabetes Care. 1985;8(5):491–8.CrossRefPubMed
20.
Zurück zum Zitat Grambalová Z, Kaiserová M, Vaštík M, Menšíková K, Otruba P, Zapletalová J, et al. Peripheral neuropathy in Parkinson’s disease. Neuroendocrinol Lett. 2015;1(36):363–7.
21.
Zurück zum Zitat Notermans NC, Wokke JH, Van der Graaf Y, Franssen H, Van Dijk GW, Jennekens FG. Chronic idiopathic axonal polyneuropathy: a five year follow up. J Neurol Neurosurg Psychiatry. 1994;57(12):1525–7.CrossRefPubMedPubMedCentral
22.
Zurück zum Zitat Zis P, Grünewald RA, Chaudhuri RK, Hadjivassiliou M. Peripheral neuropathy in idiopathic Parkinson’s disease: a systematic review. J Neurol Sci. 2017;15(378):204–9.CrossRef
23.
Zurück zum Zitat Ceravolo R, Cossu G, Bandettini di Poggio M, Santoro L, Barone P, et al. Neuropathy and levodopa in Parkinson’s disease: evidence from a multicenter study. Mov Disord. 2013;28(10):1391–7.CrossRefPubMed
24.
Zurück zum Zitat Fan X, Zhang L, Li H, Chen G, Qi G, Ma X, Jin Y. Role of homocysteine in the development and progression of Parkinson’s disease. Ann Clin Transl Neurol. 2020;7(11):2332–8.CrossRefPubMedPubMedCentral
25.
Zurück zum Zitat Al-Kuraishy HM, Al-Gareeb AI, Elewa YH, Zahran MH, Alexiou A, Papadakis M, et al. Parkinson’s disease risk and hyperhomocysteinemia: the possible link. Cell Mol Neurobiol. 2023;19:1–7.
26.
Zurück zum Zitat Podgorny PJ, Suchowersky O, Romanchuk KG, Feasby TE. Evidence for small fiber neuropathy in early Parkinson’s disease. Parkinsonism Relat Disord. 2016;1(28):94–9.CrossRef
27.
Zurück zum Zitat Gibbons CH, Simon DK, Huang M, Tilley B, Aminoff MJ, Bainbridge JL, et al. Autonomic and electrocardiographic findings in Parkinson’s disease. Auton Neurosci. 2017;1(205):93–8.CrossRef
28.
Zurück zum Zitat Siepmann T, Arndt M, Sedghi A, Szatmári S Jr, Horváth T, Takáts A, et al. Two-Year observational study of autonomic skin function in patients with Parkinson’s disease compared to healthy individuals. Eur J Neurol. 2023;30(5):1281–92.CrossRefPubMed
29.
Zurück zum Zitat Brumberg J, Kuzkina A, Lapa C, Mammadova S, Buck A, Volkmann J, et al. Dermal and cardiac autonomic fiber involvement in Parkinson’s disease and multiple system atrophy. Neurobiol Dis. 2021;1(153): 105332.CrossRef
30.
Zurück zum Zitat Che NN, Chen S, Jiang QH, Chen SY, Zhao ZX, Li X, et al. Corneal confocal microscopy differentiates patients with Parkinson’s disease with and without autonomic involvement. NPJ Parkinson’s Dis. 2022;8(1):114.CrossRef
31.
Zurück zum Zitat Comi C, Magistrelli L, Oggioni GD, Carecchio M, Fleetwood T, Cantello R, et al. Peripheral nervous system involvement in Parkinson’s disease: evidence and controversies. Parkinsonism Relat Disord. 2014;20(12):1329–34.CrossRefPubMed

Kompaktes Leitlinien-Wissen Neurologie (Link öffnet in neuem Fenster)

Mit medbee Pocketcards schnell und sicher entscheiden.
Leitlinien-Wissen kostenlos und immer griffbereit auf ihrem Desktop, Handy oder Tablet.

Neu im Fachgebiet Neurologie

KI-Chatbots bieten 24/7-Sprechstunde für Patienten

Medizinischen Rat von Chatbots auf der Basis sogenannter künstlicher Intelligenz haben laut Umfragen bereits knapp die Hälfte aller Erwachsenen schon einmal eingeholt. Welche Chancen und Risiken birgt das?

Schützt Optimismus vor Demenz?

  • 14.04.2026
  • Demenz
  • Nachrichten

Wer insgesamt zuversichtlicher aufs Leben blickt, trägt ein geringeres Risiko, später einmal an Demenz zu erkranken als pessimistischere Zeitgenossen. Dafür sprechen zumindest Ergebnisse einer Längsschnittdatenanalyse aus den USA. Ob mehr Optimismus allerdings tatsächlich einer Demenz vorbeugt, bleibt unklar.   

Verzögert eine hochdosierte Influenza-Vakzine eine Demenz?

  • 10.04.2026
  • Demenz
  • Nachrichten

Eine hochdosierte Influenza-Vakzine geht mit einer verzögerten Demenzdiagnose einher. Darauf deutet eine Auswertung von US-Gesundheitsdaten hin. Besonders auffällig sind die Effekte in den ersten Monaten nach der Impfung.

Intensive Drucksenkung zeigt U-förmigen Nutzen nach Hirnblutung

Intensive Senkung eines erhöhten Blutdrucks kann nach einer intrazerebralen Blutung die funktionelle Erholung verbessern – mutmaßlich über eine Reduktion der Hämatomausdehnung. Offenbar hängt das aber vom Ausgangsvolumen ab, wie eine Analyse ergeben hat.

Update Neurologie

Bestellen Sie unseren Fach-Newsletter und bleiben Sie gut informiert.

Bildnachweise
Die Leitlinien für Ärztinnen und Ärzte, Alter Mann entspannt sich im Grünen/© koldunova_anna / stock.adobe.com (Symbolbild mit Fotomodell), Hirn-MRT zeigt bilaterale subdurale Blutung (blaue Pfeile)/© Salvatore Perrone et al doi.org/10.1007/s00277-023-05392-2 unter CC-BY 4.0