Zum Inhalt

Exploring optimal methods for age-at-death estimation using pulp/tooth area ratios: a South African study

  • Open Access
  • 01.11.2024
  • Original Article
Erschienen in:

Abstract

Age-at-death estimation is pivotal in the identification of unknown human decedents in forensic medicine. The pulp/tooth area ratio (PAR) method, assessing pulp cavity size as a marker of secondary dentine apposition, is widely utilised for adult age estimation. Despite extensive evaluation of this technique, the influence of image type and enamel area inclusion on method accuracy is insufficiently explored. The present study evaluated the PAR method’s applicability using maxillary canines from a South African cadaveric sample, examining reliability, sex bias, and accuracy across different image types and enamel area considerations. An observational, cross-sectional study design was followed. Fifty-two adult maxillary canines were radiographed, sectioned, and analysed using stereomicroscopy. Labiolingual and mesiodistal periapical radiographs, alongside labiolingual stereomicroscopic tooth section images, were analysed using ImageJ to calculate PARs. Age estimation linear regression models were developed for each image type, with and without enamel area inclusion. Models were compared for performance and accuracy using best-subsets regression and cross-validation analyses. Results indicated that the PAR method is a reliable, sex-independent technique, providing relatively accurate age-at-death estimates for South African adults. Image type significantly influenced accuracy, with tooth section images exhibiting the best/lowest error values, followed by labiolingual and mesiodistal radiographs, respectively. Exclusion of enamel area consistently enhanced model performance across all image types. This study contributes valuable data to the underexplored field of dental age estimation techniques for South African adults, highlighting optimal approaches when applying the PAR method to maxillary canines. Additionally, it introduces a refined stereomicroscopic technique, augmenting and enhancing existing practices.

Supplementary Information

The online version contains supplementary material available at https://doi.org/10.1007/s00414-024-03360-7.

Publisher’s note

Springer Nature remains neutral with regard to jurisdictional claims in published maps and institutional affiliations.

Introduction

Skeletal age-at-death estimation is fundamental to biological anthropology, providing valuable insights into past population demographics, health, lifeways, and evolutionary trends [1, 2]. In forensic medicine and science, it plays a crucial role in the identification of unknown human decedents, contributing significantly to an individual’s biological profile, alongside sex, stature, and ancestry analyses [3, 4]. This information aids law enforcement in refining missing persons lists, thereby improving the efficiency of medico-legal investigations and identification efforts [5, 6]. Identifying deceased individuals holds profound ethical and judicial value, helping resolve various legal issues, deliver justice, and provide closure to affected families and communities [79].
Among various biological indicators, teeth emerge as reliable age markers due to their durability and resistance to taphonomic changes [10, 11]. Adult dental ageing methods rely on post-formation, regressive changes that typically exhibit greater variability and inaccuracy compared to subadult indicators [12]. These techniques encompass visual, histological, radiographic, biochemical and genetic/epigenetic approaches [13]. Radiographic methods, particularly those evaluating secondary dentine apposition, are valued for their efficiency, minimal invasiveness and relative accuracy [14]. Secondary dentine deposition occurs throughout life following root formation, gradually reducing a tooth’s pulp cavity, providing useful age-related information [15].
The pulp/tooth area ratio (PAR) method, pioneered by Cameriere et al. [1618], is a widely utilised adult ageing technique, which quantifies changes in pulp cavity size from radiographs as an indirect measure of secondary dentine apposition. The PAR has shown strong correlation with chronological age, offering reliable, sex-independent and relatively accurate age estimates, with canine mean absolute errors as low as 2.43 years in certain populations [14, 19]. Despite nearly two decades of evaluation, several research gaps persist for the PAR method. Notably, studies on pulp/tooth volume ratios have shown better age estimation accuracy when excluding enamel dimensions from analyses [20, 21]; however, such research for PARs is lacking. Moreover, while labiolingual radiographic views are predominantly used for PAR assessments, the relative utility of mesiodistal views is inadequately investigated [18, 22]. Additionally, limited research has compared age estimates from radiographs versus tooth section images, often relying on published equations developed for radiographic data, which may introduce biases and compromise comparison validity [23, 24].
This study aimed to evaluate the applicability of the PAR method for estimating adult age-at-death using maxillary canines from a South African cadaveric sample. Objectives included (1) assessing the reliability of the PAR method, (2) examining sex differences in PAR values, (3) comparing the performance of the PAR method across different image types (labiolingual periapical radiographs, mesiodistal periapical radiographs, labiolingual stereomicroscopic tooth section images), and (4) contrasting age estimation models derived from PAR values with and without consideration of enamel areas. Such validation is critical to account for population-specific variations with ageing [25], contributing valuable data to the limited research on dental ageing techniques for South African adults [26, 27]. This study also provides insights for global practitioners on optimal approaches when utilising the PAR method for maxillary canines and introduces a modified stereomicroscopic technique.

Materials & methods

Ethical clearance was granted by the Human Research Ethics Committee at the University of Cape Town (UCT) (HREC REF: 336/2022). Permission was obtained from UCT’s Cadaver Research Governance Committee (CRGC 2022/001), as well as the Division of Clinical Anatomy, Faculty of Medicine and Health Sciences, Stellenbosch University (SU), and the Provincial Inspector of Anatomy. This research, conducted during 2022 and 2023, complies with the STROBE protocol for observational, cross-sectional studies.
The sample included 52 individuals with known chronological age and sex (Table 1). The number of suitable teeth available during the study period determined the sample size. Maxillary canines were sourced from cadaveric human donor bodies at the Department of Human Biology, UCT (29 individuals) and the Division of Clinical Anatomy, SU (23 individuals). The sample comprised 25 males and 27 females, aged between 26 and 91 years (mean age ± standard deviation = 62.4 ± 19.9 years). According to age categories defined by Botha and Steyn [28], the sample included 32 older adults (≥ 60 years), 8 middle-aged adults (40–59 years) and 12 younger adults (16–39 years).
Table 1
Summary statistics for the sample demographic variables ─ sex and age (years)
Age category
Age interval
Males (n)
Females (n)
Pooled sexes (n)
Mean age ± SD
Younger adults
20–29
0
3
3
27.7 ± 1.5
30–39
7
2
9
35.1 ± 3.5
Middle-aged adults
40–49
1
1
2
42.5 ± 3.5
50–59
3
3
6
54.5 ± 2.6
Older adults
60–69
6
2
8
63.3 ± 2.9
70–79
3
8
11
74.9 ± 2.9
80–89
5
6
11
83.8 ± 3.1
90–99
0
2
2
90.5 ± 0.7
Total
 
25
27
52
62.4 ± 19.9
n = number of individuals (sample size); SD = standard deviation

Tooth sampling & selection

Aligned with Merdietio Boedi [29], only adults (≥ 18 years) with at least one fully erupted, mature (closed apex), and healthy maxillary canine were included. Previous research found no significant PAR measurement differences between the left and right sides [14]. Therefore, the right tooth was prioritised for analysis; the left was used when the right was unavailable or unsuitable. Teeth were excluded if they showed dental pathologies (e.g. caries and traumatic lesions), developmental anomalies (e.g. impaction and multiple roots), artificial modifications (e.g. restorative procedures) and/or severe dental wear, characterised by at least Phase G of the Lovejoy [30] scoring system.

Radiography

Radiographic imaging was conducted using an Intra-oral X-ray Machine (ACTEON X-MIND), with exposure parameters: 70 kv; 8 mA; 0.50 ms. Periapical radiographs were obtained using indirect digital imaging, where the receptor was scanned (Intra-oral Scanner - Carestream CS7600) following exposure to X-radiation.
Each tooth was radiographed separately using the paralleling technique [31], capturing labiolingual and mesiodistal image projections. Positioned on a flat surface, each tooth was placed directly on a phosphor plate receptor and secured with Sellotape. This technique reduced the object-receptor distance, minimising magnification and loss of definition [31]. The cone (length = 167 mm) was centred over the flat surface, covering the phosphor plate and tooth, thereby standardising the target-receptor distance and limiting motion.

Sectioning & stereomicroscopy

Radiographed teeth were sectioned for stereomicroscopic analysis. The ideal cutting plane was marked on the mesial and distal tooth surfaces prior to embedding each tooth individually in an epoxy resin block (Kristal50 [AMT Composites, Maitland, Cape Town]). Embedded teeth were sectioned longitudinally along the mesiodistal plane (non-obliquely through the crown’s long axis) using a Buehler Isomet saw with a diamond wafering blade (200 RPM, 3 mm/min). This produced thick labial and lingual portions, exposing the labiolingual view of the pulp cavity and surrounding tissue. This plane of sectioning was chosen as the mesiodistal view presented minimal root curvature and large pulp cavity dimensions, ensuring the consistent acquisition of complete tooth sections.
Tooth sections were examined under a Zeiss Discovery V20 stereomicroscope with an Axiocam 503 colour camera at 10x magnification. Each tooth was imaged in three parts and digitally stitched together using Hugin® 2022.0.0 (open-source panorama photo stitcher, Pablo d’Angelo) to create a single composite image.

Image analyses

Radiographic and stereomicroscopic images were analysed using ImageJ 1.54b (open-source imaging processing program, National Institutes of Health, US). Following D’Ortenzio et al. [23], areas (mm²) were calculated using the polygon selection tool, with at least 50 points marked for each tooth outline (including and excluding the enamel) and 40 points for each pulp cavity outline (Fig. 1).
Due to the curvature and tapering of root canals towards the apex, observation of the entire pulp cavity in this region post-sectioning was not always feasible. Therefore, measurements were confined to the coronal half of each tooth section, systematically obtained as follows (Fig. 1): (1) Tooth sections were imaged with the crown’s long axis aligned approximately parallel to the vertical plane; (2) Two tangential horizontal lines (L1 and L2) were drawn along the most coronal and apical aspects of the tooth area outline; (3) A temporary vertical line (L3) connected L1 and L2; (4) A third horizontal line (L4) was drawn through the midpoint of L3, dividing the tooth into two portions; (5) Only the region coronal to L4 was considered for measurements.
Fig. 1
Labiolingual radiograph (top row), mesiodistal radiograph (middle row) and stereomicroscopic tooth section image (bottom row) measurements using ImageJ. a) unmeasured labiolingual radiograph, b) pulp cavity area measured from labiolingual radiograph, c) complete tooth area measured from labiolingual radiograph, d) tooth area (excluding enamel) measured from labiolingual radiograph, e) unmeasured mesiodistal radiograph, f) pulp cavity area measured from mesiodistal radiograph, g) complete tooth area measured from mesiodistal radiograph, h) tooth area (excluding enamel) measured from mesiodistal radiograph, i) unaltered stereomicroscopic tooth section image, j) lines (L1 – L4) drawn/positioned consecutively to systematically obtain the region of interest for conducting measurements, k) pulp cavity area measured from stereomicroscopic tooth section image, l) complete tooth area measured from stereomicroscopic tooth section image, m) tooth area (excluding enamel) measured from stereomicroscopic tooth section image
Bild vergrößern

Statistical analyses

Unless noted otherwise, data analyses used the IBM® SPSS® Statistics software (version 28), with p ≤ 0.05 indicating statistical significance. PARs were calculated by dividing pulp cavity area by total tooth area (including and excluding enamel).
Intra- and inter-observer reliability were assessed by re-examination of 19 randomly selected images (of each type) two weeks after initial analysis. Inter-observer analyses were performed by a single individual with experience and training on the measurement technique. Agreement between raters was determined using the intraclass correlation coefficient (ICC) [32].
Analysis of covariance (ANCOVA) assessed sex effects on PARs, controlling for age. Pearson’s correlation was used to evaluate linearity between age and PARs based on criteria by Rowntree [33]. Moderation analysis via PROCESS macro (v4.2) in SPSS [34] explored interaction effects. Additionally, multicollinearity among predictors was assessed using the variance inflation factor (VIF > 5 indicates problematic multicollinearity) [35].
The relationship between age-at-death (response variable) and PARs (predictor variables) was evaluated through linear regression. Best-subsets regression, conducted in JMP® 17.1 (SAS Institute Inc., Cary, NC, 1989–2023), compared age estimation models using statistical criteria, including the adjusted coefficient of determination (R2-adjusted), standard error of the estimate (SEE), Akaike information criterion adjusted for sample size (AICc), Bayesian information criterion (BIC), and Mallows’ Cp statistic (Cp) [36]. Models were selected based on superior performance across these criteria, with only the most effective ones advancing. Additional parameters, including the mean absolute error (MAE), coefficient of determination (R2), standard deviation (SD) of the absolute residuals, and a 95% prediction interval, were also reported. Additionally, models underwent a post hoc power analysis using G*Power 3.1.9.7 [37]. to ensure adequate power (≥ 0.80).
Selected models underwent a leave-one-out cross-validation (LOOCV), performed in RStudio® 2023.03.1.446 using the trainControl function from the caret library [38]. Cross-validation parameters, including the coefficient of determination (R2CV), mean absolute error (MAECV) and standard error of the estimate (SEECV), were calculated to evaluate model performance. Optimism analysis, comparing cross-validation and in-sample results, gauged predictive bias.
A two-way repeated measures analysis of variance (ANOVA) (with two within-subjects factors) analysed effects of image type and enamel area on absolute estimate residuals/errors, followed by Fisher’s least significant difference procedure for multiple comparisons.

Results

All variables demonstrated ICC estimates above 0.9 during both intra- and inter-observer reliability assessments, indicating excellent data reproducibility (Table 2). Age significantly correlated with all PAR variables in the ANCOVA (p < 0.001), while sex did not exhibit a significant effect on these variables (Table 3). Consequently, sex-specific age estimation models were not developed for the sample. The moderation analysis did not reveal any significant first-order interaction effects among predictor variables (see Online Resource 1).
Table 2
Observer reliability assessment results for each variable
Inter-observer reliability
Intra-observer reliability
Variables
ICC
95% CI
Variables
ICC
95% CI
Lower bound
Upper bound
Lower bound
Upper bound
PA1
0.94
0.66
0.98
PA1
0.99
0.98
1.00
TA1
1.00
1.00
1.00
TA1
1.00
1.00
1.00
TA_EE1
0.99
0.97
1.00
TA_EE1
1.00
0.99
1.00
PAR1
0.92
0.50
0.98
PAR1
0.99
0.98
1.00
PAR_EE1
0.93
0.67
0.98
PAR_EE1
0.99
0.98
1.00
PA2
0.95
0.62
0.99
PA2
0.98
0.95
0.99
TA2
1.00
1.00
1.00
TA2
0.95
0.88
0.98
TA_EE2
1.00
0.98
1.00
TA_EE2
0.94
0.85
0.98
PAR2
0.92
0.47
0.98
PAR2
0.96
0.89
0.98
PAR_EE2
0.94
0.60
0.98
PAR_EE2
0.95
0.88
0.98
PA3
0.99
0.94
1.00
PA3
1.00
1.00
1.00
TA3
0.98
0.95
0.99
TA3
1.00
1.00
1.00
TA_EE3
0.97
0.91
0.99
TA_EE3
1.00
1.00
1.00
PAR3
0.99
0.91
1.00
PAR3
1.00
1.00
1.00
PAR_EE3
0.99
0.97
1.00
PAR_EE3
1.00
1.00
1.00
ICC = intraclass correlation coefficient; CI = confidence interval; PA1 = pulp cavity area measured from labiolingual radiograph; TA1 = complete tooth area measured from labiolingual radiograph; TA_EE1 = tooth area (excluding enamel) measured from labiolingual radiograph; PAR1 = pulp/tooth area ratio obtained from labiolingual radiograph; PAR_EE1 = pulp/tooth area ratio (excluding enamel) obtained from labiolingual radiograph; PA2 = pulp cavity area measured from mesiodistal radiograph; TA2 = complete tooth area measured from mesiodistal radiograph; TA_EE2 = tooth area (excluding enamel) measured from mesiodistal radiograph; PAR2 = pulp/tooth area ratio obtained from mesiodistal radiograph; PAR_EE2 = pulp/tooth area ratio (excluding enamel) obtained from mesiodistal radiograph; PA3 = pulp cavity area measured from stereomicroscopic tooth section image; TA3 = complete tooth area measured from stereomicroscopic tooth section image; TA_EE3 = tooth area (excluding enamel) measured from stereomicroscopic tooth section image; PAR3 = pulp/tooth area ratio obtained from stereomicroscopic tooth section image; PAR_EE3 = pulp/tooth area ratio (excluding enamel) obtained from stereomicroscopic tooth section image
Table 3
Analysis of covariance (ANCOVA) results for assessing the main effect of sex on the pulp/tooth area ratio (PAR) variables, with age as the covariate
Variables
df
SS
MS
F-statistic
p
PAR1
     
 Age
1
0.02
0.02
83.63
< 0.001
 Sex
1
3.15e− 4
3.15e− 4
1.34
0.253
 Residuals
49
0.01
2.36e− 4
  
PAR_EE1
     
 Age
1
0.03
0.03
86.88
< 0.001
 Sex
1
9.67e− 5
9.67e− 5
0.31
0.579
 Residuals
49
0.02
3.10e− 4
  
PAR2
     
 Age
1
0.03
0.03
32.79
< 0.001
 Sex
1
3.68e− 3
3.68e− 3
3.74
0.059
 Residuals
49
0.05
9.86e− 4
  
PAR_EE2
     
 Age
1
0.04
0.04
35.03
< 0.001
 Sex
1
3.31e− 3
3.31e− 3
2.72
0.105
 Residuals
49
0.06
1.22e− 3
  
PAR3
     
 Age
1
0.04
0.04
124.13
< 0.001
 Sex
1
2.16e− 4
2.16e− 4
0.76
0.386
 Residuals
49
0.01
2.83e− 4
  
PAR_EE3
     
 Age
1
0.06
0.06
148.35
< 0.001
 Sex
1
1.86e− 5
1.86e− 5
0.05
0.828
 Residuals
49
0.02
3.92e− 4
  
PAR1 = pulp/tooth area ratio obtained from labiolingual radiograph; PAR_EE1 = pulp/tooth area ratio (excluding enamel) obtained from labiolingual radiograph; PAR2 = pulp/tooth area ratio obtained from mesiodistal radiograph; PAR_EE2 = pulp/tooth area ratio (excluding enamel) obtained from mesiodistal radiograph; PAR3 = pulp/tooth area ratio obtained from stereomicroscopic tooth section image; PAR_EE3 = pulp/tooth area ratio (excluding enamel) obtained from stereomicroscopic tooth section image; df = degrees of freedom; SS = sum of squares; MS = mean square
Pearson correlation coefficients and scatter plots indicated a moderate to strong negative linear relationship between PAR variables and age (Fig. 2). Stereomicroscopic tooth section images showed the strongest correlation values (r = -0.85 and − 0.87), followed by labiolingual radiographs (r = -0.80 and − 0.81) and mesiodistal radiographs (r = -0.65 and − 0.66), respectively. Notably, for each image type, PAR variables excluding enamel area exhibited stronger correlations with age-at-death. Figure 2 illustrates age-related changes in maxillary canine PARs: as individuals age, their pulp cavities become increasingly obliterated, thereby reducing the ratio of pulp cavity to tooth area. Summary statistics for the PAR variables are provided in Online Resource 1.
Fig. 2
Age-related changes in maxillary canine pulp/tooth area ratios (PARs) observed from labiolingual periapical radiographs (a), mesiodistal periapical radiographs (b) and labiolingual stereomicroscopic tooth section images (c). For the dental images on the left side, each column shows three different image types from one individual, while each row shows three of the same image types from individuals of different ages. On the right side, scatter plots show the direction and strength of the linear relationship between age-at-death and the PAR variables. The Pearson correlation coefficient (r) and associated statistics are reported on each graph. As individuals age, their pulp cavities (indicated by the arrows) become increasingly obliterated, reducing the ratio of pulp cavity to tooth area. PAR1 = pulp/tooth area ratio obtained from labiolingual radiograph; PAR_EE1 = pulp/tooth area ratio (excluding enamel) obtained from labiolingual radiograph; PAR2 = pulp/tooth area ratio obtained from mesiodistal radiograph; PAR_EE2 = pulp/tooth area ratio (excluding enamel) obtained from mesiodistal radiograph; PAR3 = pulp/tooth area ratio obtained from stereomicroscopic tooth section image; PAR_EE3 = pulp/tooth area ratio (excluding enamel) obtained from stereomicroscopic tooth section image; n = sample size
Bild vergrößern

Model selection

Employing a best-subsets regression approach, 63 candidate models were initially developed from the six PAR predictor variables. Models with high multicollinearity (VIF values > 5, see Online Resource 1) were first eliminated. Based on the selection criteria, 14 suitable models were chosen for age estimation (Table 4). These included six simple and eight multiple (incorporating two predictor variables) linear regression models (see Online Resource 1 for ANOVA and coefficients table outputs).
Among the simple regression models, those derived from stereomicroscopic tooth section images showed superior performance for age estimation, followed by models from labiolingual and mesiodistal radiographs, respectively (Table 4). Notably, models excluding enamel area consistently outperformed those including enamel within each image type group. Some multiple regression models combining PARs from labiolingual radiographs and stereomicroscopic tooth section images, as well as labiolingual and mesiodistal radiographs, demonstrated enhanced performance compared to simpler models.
Models based on stereomicroscopic tooth section images achieved the best MAE (7.21–7.47 years), SEE (9.88–10.53 years) and R2 (0.73–0.76) values. Models derived from labiolingual radiographs followed (MAE = 9.52–9.76 years; SEE = 11.90–12.03 years; R2 = 0.64–0.65), with those derived from mesiodistal radiographs performing less accurately (MAE = 11.87–11.93 years; SEE = 15.11–15.33 years; R2 = 0.42–0.44) (Tables 4 and 5). Within each image type group, the model excluding enamel area showed superior MAE, SEE and R2 values.
Most selected multiple regression models exhibited minor accuracy improvements (less than one year) over corresponding simpler models (Tables 4 and 5). Models combining data from stereomicroscopic tooth section images and labiolingual radiographs achieved MAEs and SEEs of 6.97–7.47 years and 9.65–10.20 years, respectively, with R2 ranging between 0.75 and 0.77. Those combining PARs from labiolingual and mesiodistal radiographs demonstrated MAEs and SEEs of 9.13–9.20 years and 11.76–11.92 years, respectively, while R2 ranged between 0.66 and 0.67.
The 95% prediction interval ranged from ± 19.85 years to ± 30.79 years for simple regression models and ± 19.40 years to ± 23.95 years for multiple regression models (Table 5). Residuals from all models were normally distributed with equal variance according to Shapiro-Wilk and Breusch-Pagan tests (see Online Resource 1). Additionally, all models demonstrated large effect sizes and sufficient statistical power (≥ 0.80) (Table 5).
Table 4
Best-subsets regression results for all suitable models chosen. Models are grouped and ranked separately based on the number of predictor variables (k) they contain. Within each size group (k), they are ordered based on performance – from top (best) to bottom (worst) – as determined by selection criteria values
k
Image type
Model
Performance/selection criteria
R2-adjusted
SEE
AICc
BIC
Cp
1
STSI
Age = 91.83 – 439.05(PAR_EE3)
0.75
9.88
390.25
395.60
5.49
 
Age = 91.47 – 534.64(PAR3)
0.72
10.53
396.86
402.22
12.74
 
LR
Age = 117.77 – 548.95(PAR_EE1)
0.64
11.90
409.55
414.91
29.53
 
Age = 118.29 – 625.44(PAR1)
0.64
12.03
410.74
416.10
31.32
 
MR
Age = 100.82 – 281.03(PAR_EE2)
0.42
15.11
434.46
439.81
77.16
 
Age = 100.24 – 307.84(PAR2)
0.41
15.33
435.91
441.27
80.72
2
LR
+
STSI
Age = 101.32 – 161.82(PAR_EE1) – 337.20(PAR_EE3)
0.77
9.65
389.11
396.06
4.01
 
Age = 100.84 – 171.53(PAR1) – 344.89(PAR_EE3)
0.76
9.70
389.63
396.58
4.52
 
Age = 103.68 – 208.15(PAR_EE1) – 373.11(PAR3)
0.74
10.09
393.77
400.73
8.71
 
Age = 102.88 – 218.35(PAR1) – 385.67(PAR3)
0.74
10.20
394.88
401.84
9.89
 
LR
+
MR
Age = 119.39 – 464.89(PAR_EE1) – 73.82(PAR_EE2)
0.65
11.76
409.65
416.61
28.25
 
Age = 119.48 – 470.92(PAR_EE1) – 77.95(PAR2)
0.65
11.78
409.82
416.77
28.48
 
Age = 119.84 – 524.76(PAR1) – 77.17(PAR_EE2)
0.64
11.88
410.68
417.64
29.73
 
Age = 119.84 – 534.30(PAR1) – 78.91(PAR2)
0.64
11.92
411.03
417.98
30.24
STSI = stereomicroscopic tooth section image; LR = labiolingual radiograph; MR = mesiodistal radiograph; PAR1 = pulp/tooth area ratio obtained from labiolingual radiograph; PAR_EE1 = pulp/tooth area ratio (excluding enamel) obtained from labiolingual radiograph; PAR2 = pulp/tooth area ratio obtained from mesiodistal radiograph; PAR_EE2 = pulp/tooth area ratio (excluding enamel) obtained from mesiodistal radiograph; PAR3 = pulp/tooth area ratio obtained from stereomicroscopic tooth section image; PAR_EE3 = pulp/tooth area ratio (excluding enamel) obtained from stereomicroscopic tooth section image; R2-adjusted = adjusted coefficient of determination; SEE = standard error of the estimate; AICc = Akaike information criterion adjusted based on sample size; BIC = Bayesian information criterion; Cp = Mallows’ prediction criterion
Table 5
Accuracy and other performance parameters associated with each age estimation model selected during the best-subsets regression analysis. Models are listed in the same order as they appear in table 4
k
Image type
Model
R2
r
f2
Power
Absolute residual parameters (years)
95% PI
(years)
MAE
SD
MAE 95% CI
1
STSI
Age = f(PAR_EE3)
0.76
-0.87
3.17
1.00
7.21
6.60
(5.37, 9.05)
± 19.85
Age = f(PAR3)
0.73
-0.85
2.70
1.00
7.47
7.27
(5.45, 9.50)
± 21.15
LR
Age = f(PAR_EE1)
0.65
-0.81
1.86
1.00
9.52
6.87
(7.61, 11.44)
± 23.89
Age = f(PAR1)
0.64
-0.80
1.78
1.00
9.76
6.76
(7.88, 11.64)
± 24.17
MR
Age = f(PAR_EE2)
0.44
-0.66
0.79
1.00
11.87
9.05
(9.35, 14.39)
± 30.36
Age = f(PAR2)
0.42
-0.65
0.72
1.00
11.93
9.33
(9.33, 14.53)
± 30.79
2
STSI
+
LR
Age = f(PAR_EE1, PAR_EE3)
0.77
-0.88
3.35
1.00
6.97
6.45
(5.18, 8.77)
± 19.40
Age = f(PAR1, PAR_EE3)
0.77
-0.88
3.35
1.00
7.03
6.45
(5.23, 8.83)
± 19.49
Age = f(PAR_EE1, PAR3)
0.75
-0.87
3.00
1.00
7.40
6.62
(5.56, 9.24)
± 20.29
Age = f(PAR1, PAR3)
0.75
-0.86
3.00
1.00
7.47
6.70
(5.60, 9.33)
± 20.50
LR
+
MR
Age = f(PAR_EE1, PAR_EE2)
0.67
-0.82
2.03
1.00
9.13
7.06
(7.17, 11.10)
± 23.63
Age = f(PAR_EE1, PAR2)
0.66
-0.81
1.94
1.00
9.14
7.07
(7.17, 11.11)
± 23.67
Age = f(PAR1, PAR_EE2)
0.66
-0.81
1.94
1.00
9.16
7.21
(7.15, 11.17)
± 23.87
Age = f(PAR1, PAR2)
0.66
-0.81
1.94
1.00
9.20
7.22
(7.19, 11.21)
± 23.95
k = number of predictor variables in the model; STSI = stereomicroscopic tooth section image; LR = labiolingual radiograph; MR = mesiodistal radiograph; R2 = coefficient of determination; r = correlation coefficient; f2 = Cohen’s effect size; MAE = mean absolute error; SD = standard deviation; CI = confidence interval; PI = prediction interval; PAR1 = pulp/tooth area ratio obtained from labiolingual radiograph; PAR_EE1 = pulp/tooth area ratio (excluding enamel) obtained from labiolingual radiograph; PAR2 = pulp/tooth area ratio obtained from mesiodistal radiograph; PAR_EE2 = pulp/tooth area ratio (excluding enamel) obtained from mesiodistal radiograph; PAR3 = pulp/tooth area ratio obtained from stereomicroscopic tooth section image; PAR_EE3 = pulp/tooth area ratio (excluding enamel) obtained from stereomicroscopic tooth section image

Cross-validation

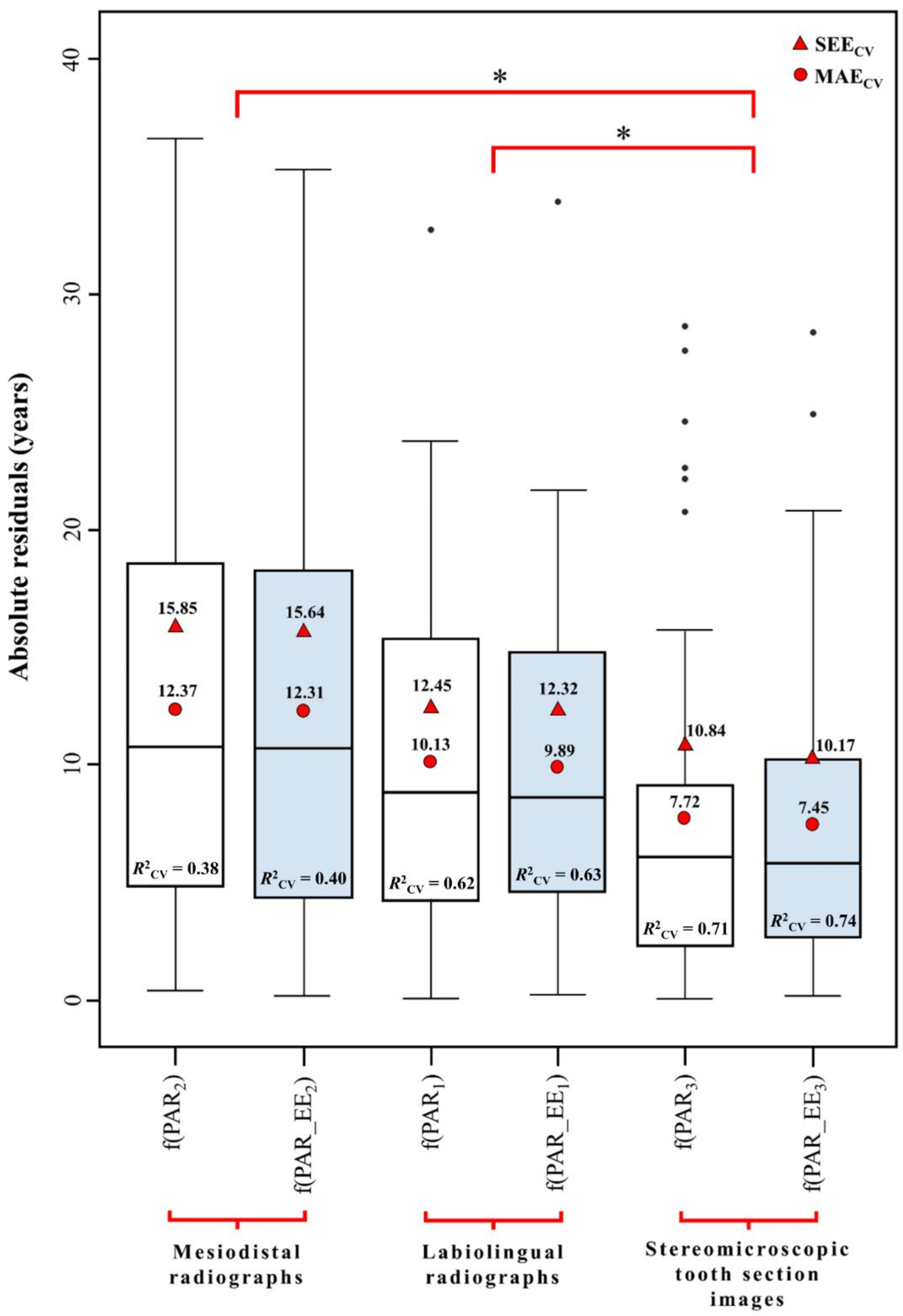
The cross-validation results are presented in Fig. 3, with detailed results provided in Online Resource 1. Minor differences in MAE and SEE values (below one year) were observed between in-sample and cross-validation assessments, indicating a relatively small prediction bias across all models. As before, models derived from stereomicroscopic tooth section images showed the best MAECV (7.45–7.72 years), SEECV (10.17–10.84 years) and R2CV (0.71–0.74) values. Models derived from labiolingual radiographs followed (MAECV = 9.89–10.13 years; SEECV = 12.32–12.45 years; R2CV = 0.62–0.63), while those derived from mesiodistal radiographs performed least effectively (MAECV = 12.31–12.37 years; SEECV = 15.64–15.85 years; R2CV = 0.38–0.40). Exclusion of enamel area consistently improved model performance across all image types.
Fig. 3
Box plots comparing the cross-validation absolute residual distributions associated with the simple linear regression age estimation models. Shaded box plots represent models excluding enamel. The cross-validation mean absolute error (MAECV) and standard error of the estimate (SEECV) (measured in years) associated with each model are shown as red circles and triangles for comparison. Each model’s cross-validation coefficient of determination (R2CV) is also indicated on the plots. Brackets with * indicate a significant difference (p ≤ 0.05) in MAECV between image type groups as determined by pairwise comparisons. PAR1 = pulp/tooth area ratio obtained from labiolingual radiograph; PAR_EE1 = pulp/tooth area ratio (excluding enamel) obtained from labiolingual radiograph; PAR2 = pulp/tooth area ratio obtained from mesiodistal radiograph; PAR_EE2 = pulp/tooth area ratio (excluding enamel) obtained from mesiodistal radiograph; PAR3 = pulp/tooth area ratio obtained from stereomicroscopic tooth section image; PAR_EE3 = pulp/tooth area ratio (excluding enamel) obtained from stereomicroscopic tooth section image
Bild vergrößern
Only two of the selected multiple regression models, derived from stereomicroscopic tooth section images and labiolingual radiographs, demonstrated similar or improved MAECV, SEECV and R2CV parameters compared to their simpler subset models (see Online Resource 1). However, improvements were marginal.
A complementary two-way repeated measures ANOVA evaluated the main and interaction effects of image type and enamel area on absolute estimate residuals (Table 6). Sphericity was observed for both image type and the interaction term (Mauchly’s test, p > 0.05). There was no significant interaction effect between image type and enamel area on absolute residuals (F = 0.44, df = 2, p = 0.643). A significant main effect was observed for image type (F = 7.48, df = 2, p < 0.001) but not for enamel area (F = 1.50, df = 1, p = 0.227). Pairwise comparisons (Table 7) showed that models derived from stereomicroscopic tooth section images had significantly lower mean absolute residuals compared to those derived from labiolingual (p = 0.026, 95% CI = [0.31, 4.55]) and mesiodistal radiographs (p = 0.001, 95% CI = [1.94, 7.57]) (Fig. 3). Models derived from labiolingual radiographs exhibited notably lower mean absolute residuals than those from mesiodistal radiographs, although this difference did not reach significance (p = 0.060, 95% CI = [-0.10, 4.76]).
Table 6
Tests of within-subjects effects results (sphericity assumed) for the two-way repeated measures analysis of variance (with two within-subjects factors)
Source
df
SS
MS
F-statistic
p
Image type
2
1176.13
588.06
7.48
< 0.001*
Error (image type)
102
8024.14
87.01
-
-
Enamel area
1
2.86
2.86
1.50
0.227
Error (enamel area)
51
97.16
1.91
-
-
Interaction
2
0.67
0.34
0.44
0.643
Error (interaction)
102
77.18
0.79
-
-
df = degrees of freedom; SS = sum of squares; MS = mean square. Values that meet statistical significance (p ≤ 0.05) are denoted by *
Table 7
Pairwise comparisons (using Fisher’s least significant difference procedure) results following the two-way repeated measures analysis of variance (with two within-subjects factors)
(I) Image type
(J) Image type
Mean difference (I – J)
SE
p
95% CI for difference
LR
MR
-2.33
1.21
0.060
(-4.76, 0.10)
STSI
2.43
1.06
0.026*
(0.31, 4.55)
MR
LR
2.33
1.21
0.060
(-0.10, 4.76)
STSI
4.76
1.40
0.001*
(1.94, 7.57)
STSI
LR
-2.43
1.06
0.026*
(-4.55, -0.31)
MR
-4.76
1.40
0.001*
(-7.57, -1.94)
LR = labiolingual radiograph; MR = mesiodistal radiograph; STSI = stereomicroscopic tooth section image; SE = standard error; CI = confidence interval. Values that meet statistical significance (p ≤ 0.05) are denoted by *

Discussion

This study evaluated the PAR method’s applicability for predicting adult age-at-death using maxillary canines from a South African cadaveric sample. We assessed the method’s reliability, sex bias, and accuracy across different image types, with and without consideration of enamel.
The PAR method demonstrated excellent intra- and inter-observer reliability. Its simplicity and reliance on direct observation quantification and computer-assisted image analysis reduces observer variability, distinguishing it from conventional, more subjective skeletal ageing techniques [6].
Our findings indicated non-significant sex differences in PARs, suggesting the potential for developing unified age estimation models across sexes. This aligns with prior research [14], supporting the method’s applicability for cases where skeletal sex estimation is challenging/impossible [10].
PAR models derived from labiolingual stereomicroscopic tooth section images were most effective for age estimation and produced significantly lower absolute estimate residuals/errors than models derived from radiographs. Aligned with D’Ortenzio et al. [23], this highlights the superior image resolution/sharpness and direct observation capabilities of stereomicroscopic images. Conversely, radiograph resolution and contrast were limited by indirect observations (via X-radiation) and other potential factors such as the machine focal spot size and pixel/crystal size of the receptor [39]. Additionally, two-dimensional radiographs are susceptible to dimensional distortion [31]. The non-linear morphology of maxillary canines introduces an angular relationship between their surfaces and the receptor, likely exacerbating image distortion [31].
Couoh and Bautista [24] and Keerthi Priyadharshini [40] observed non-significant differences between age estimates from radiographs and tooth section images. They suggested that incomplete dental sections resulting from root curvature (asymmetry) may have affected the accuracy of their results. We addressed this limitation by developing a modified stereomicroscopic technique focused on mesiodistal sectioning and measurements confined to the coronal half of each tooth section (discussed in the methods section). This adjusted approach allowed for superior age estimation accuracy from maxillary canine tooth section images. One limitation is that older adults or those with premature dentine apposition may exhibit pulp cavities that have receded (apically) beyond the coronal half of the tooth. However, this was only observed for the oldest individual in our sample (91 years), who was assigned a PAR value of zero. This suggests that the method can still discriminate age-at-death well into old age, likely due to relatively slow rates of secondary dentine deposition in canines [41, 42].
PAR models derived from labiolingual radiographs performed better than those based on mesiodistal images. Two factors may explain these results. Firstly, maxillary canine roots typically angle distally relative to the vertical crown axis [43], likely causing greater angular distortion during the paralleling procedure for mesiodistal radiographs [31]. Secondly, reductions in pulp cavity size primarily occur in a mesial-distal direction [44], visible in labiolingual views. In contrast, reductions in labial-lingual/vestibular-oral directions (observed in mesiodistal views) occur later in life (around 60–70 years) due to fibrous dentine formation [44], thereby weakening the correlation between age-at-death and PARs from mesiodistal radiographs.
While enamel area did not significantly affect estimate residuals, its exclusion consistently improved model performance across all image types, supporting similar studies on pulp/tooth volume ratios [20, 21]. Dental wear is a multifaceted and variable process [45, 46], likely introducing errors for age analyses dependent on tooth size. Our findings may suggest that excluding enamel area minimises this variability, enhancing accuracy in age estimation models. However, further research is required to assess the complex effect of tooth wear on PAR age estimates [24].
Overall, this research suggests that the PAR method is a reliable, sex-independent technique, providing relatively accurate age-at-death estimates for South African adults. It demonstrates superior accuracy compared to other dental ageing methods validated in this population, such as those developed by Gustafson [47] and Lamendin et al. [48], which have shown complete-sample MAEs ranging from 11.6 to 15.10 years [26, 27]. Age estimation of decedents in South Africa is problematic as most available methods were created using populations from the global north and are known to be relatively inaccurate locally [4951]. South Africa is considered an epicentre for understanding human origins and has an exceptionally high rate of unidentified medico-legal decedents [9, 5254]; therefore, local forensic and bioarchaeological applications for this method are extensive.
Our findings underscore the importance of image type and enamel area considerations for optimising method accuracy. We recommend excluding enamel area from PAR calculations to minimise errors from dental wear and enhance formula applicability across diverse population groups. Both labiolingual stereomicroscopic tooth section images and labiolingual radiographs proved effective for PAR-based age estimation, producing error values (MAE and/or SEE) of approximately 10 years or less – a recommended benchmark for age estimation methods [11, 15].
While relatively accurate, the PAR method produced broad 95% prediction intervals (± 20 years at best), a common limitation in adult age estimation techniques [6]. This imprecision reflects the complex relationship between biological and chronological age, shaped by individual and population differences in genetics, environment, health and lifestyle [52, 55]. As individuals age, variability in degenerative skeletal indicators increases, making precise predictions challenging for older adults and limiting the utility of biological profiles in forensic investigations. To improve precision, the PAR method should be used alongside other skeletal techniques and holistic analyses that incorporate a wider range of age-informative traits. Future research should also explore whether this method is more precise in younger adults and if separating analyses into life phases could enhance its utility.
While the stereomicroscopic approach delivered superior results, its invasive and time-consuming nature may limit practical application. Destructive sampling of human remains in forensic and archaeological sciences poses ethical and practical challenges, particularly regarding skeletal preservation [5659]. This can impact future research opportunities, curation, the integrity of medicolegal evidence and the cultural/religious concerns of affected communities [5659]. Practitioners should weigh the value of information obtainable from such techniques against feasibility on a case-by-case basis, considering factors like finances, resource availability, timeframe, procedural viability, and the ability to record and preserve other skeletal information prior to sampling [57, 59]. It is also important to explore alternative, minimally destructive methods that can provide comparable data.
Validating our sample-specific formulae across other South African cohorts is required to assess their generalisability. Multiple regression models were explored but marginally improved estimates and involved multiple procedures; hence, their application is not recommended. The sample age distribution was skewed towards older adults, which may diminish the predictive power of regression models for younger age groups. Future studies should increase the reference sample size to enhance variation and ensure balanced representation across age groups, thereby reducing prediction biases and optimising regression model performance [60]. Evaluation of the method, including the modified stereomicroscopic approach, across other tooth types and population groups is encouraged. The development of sample-specific formulae for non-South African population groups is recommended to account for population differences in skeletal ageing [25].

Acknowledgements

A special note of thanks to all the donors, without whom, this research would not be possible. Thank you to the staff in the Division of Clinical Anatomy and Biological Anthropology, Department of Human Biology, UCT, who assisted during the data collection process: Mr Michael Cassar, Ms Shirees Benjamin, Mr Jacques Jacobs and Mr Wilber Van Niekerk. Thank you to Mr Adriaan Geldenhuys and Mr Abduraghmaan Fisher for providing training on dental extraction. The Division of Clinical Anatomy (Faculty of Medicine and Health Sciences, Stellenbosch University) is acknowledged for use of cadaveric material for the study. Specifically, the following staff members are gratefully acknowledged for assistance with permission application and/or data collection: A/Prof. Nanette Briers, Mrs Jodie Lemphane, Ms Ayesha Jeffery, Mr Paul Pretorius, Mr Logan Williams, Mr Jonathan Goliath, Mrs Joyce Cloete, Mr Anthony Marthie and Mr Warren Uithaler. We acknowledge the Department of Oral and Maxillofacial Radiology (Faculty of Dentistry, University of the Western Cape) for assisting us with their expertise and resources. Thank you to Dr Emile Prince and Dr Tineke van Zyl for permitting us to utilise the department’s radiology equipment. A special thank you to Mrs Moreza Samuels and Mrs Candice Festus for assisting with the exposure and confirmation of diagnostically acceptable radiographic images. We would also like to thank Dr Charlene Saayman at the faculty for her guidance and assistance during the initial stages of the project.

Declarations

Conflict of interest

The authors declare no potential conflicts of interest with respect to the research, authorship, and/or publication of this article.

Ethics approval

This study was performed in line with the principles of the Declaration of Helsinki. Ethical clearance was granted by the Human Research Ethics Committee at the University of Cape Town (UCT) (HREC REF: 336/2022). Permission was obtained from UCT’s Cadaver Research Governance Committee (CRGC 2022/001), as well as the Division of Clinical Anatomy, Faculty of Medicine and Health Sciences, Stellenbosch University (SU), and the Provincial Inspector of Anatomy.
This study utilised cadaveric human bodies donated by individuals who consented to their use for teaching and research purposes.
Open Access This article is licensed under a Creative Commons Attribution 4.0 International License, which permits use, sharing, adaptation, distribution and reproduction in any medium or format, as long as you give appropriate credit to the original author(s) and the source, provide a link to the Creative Commons licence, and indicate if changes were made. The images or other third party material in this article are included in the article’s Creative Commons licence, unless indicated otherwise in a credit line to the material. If material is not included in the article’s Creative Commons licence and your intended use is not permitted by statutory regulation or exceeds the permitted use, you will need to obtain permission directly from the copyright holder. To view a copy of this licence, visit http://creativecommons.org/licenses/by/4.0/.

Publisher’s note

Springer Nature remains neutral with regard to jurisdictional claims in published maps and institutional affiliations.
Download
Titel
Exploring optimal methods for age-at-death estimation using pulp/tooth area ratios: a South African study
Verfasst von
Daniël Kotze
Calvin G. Mole
Vincent M. Phillips
Victoria E. Gibbon
Publikationsdatum
01.11.2024
Verlag
Springer Berlin Heidelberg
Erschienen in
International Journal of Legal Medicine / Ausgabe 2/2025
Print ISSN: 0937-9827
Elektronische ISSN: 1437-1596
DOI
https://doi.org/10.1007/s00414-024-03360-7

Electronic supplementary material

Below is the link to the electronic supplementary material.
1.
Zurück zum Zitat Le Cabec A, Tang NK, Ruano Rubio V, Hillson S (2019) Nondestructive adult age at death estimation: visualizing cementum annulations in a known age historical human assemblage using synchrotron X-ray microtomography. Am J Phys Anthropol 168(1):25–44. https://doi.org/10.1002/ajpa.23702CrossRefPubMed
2.
Zurück zum Zitat Larsen CS (2023) A companion to biological anthropology. Wiley, Hoboken. https://doi.org/10.1002/9781119828075CrossRef
3.
Zurück zum Zitat Franklin D (2010) Forensic age estimation in human skeletal remains: current concepts and future directions. Leg Med 12(1):1–7. https://doi.org/10.1016/j.legalmed.2009.09.001CrossRef
4.
Zurück zum Zitat Austin D, King RE (2016) The biological profile of unidentified human remains in a forensic context. Acad Forensic Pathol 6(3):370–390. https://doi.org/10.23907/2016.039CrossRefPubMedPubMedCentral
5.
Zurück zum Zitat Rogers TL (2016) Skeletal age estimation. In: Blau S, Ubelaker DH (eds) Handbook of forensic anthropology and archaeology. Routledge, New York, pp 273–292
6.
Zurück zum Zitat Algee-Hewitt BFB (2017) Age estimation in modern forensic anthropology. In: Langley NR, Tersigni-Tarrant MA (eds) Forensic anthropology: a comprehensive introduction. CRC, Florida, pp 381–419. https://doi.org/10.4324/9781315300030CrossRef
7.
Zurück zum Zitat Schmeling A, Geserick G, Reisinger W, Olze A (2007) Age estimation. Forensic Sci Int 165(2–3):178–181. https://doi.org/10.1016/j.forsciint.2006.05.016CrossRefPubMed
8.
Zurück zum Zitat Krysztofiak B (2016) DNA profiling of unidentified human remains in the South African context: an ethico-legal analysis. Dissertation, University of the Witwatersrand
9.
Zurück zum Zitat Gibbon VE, Finaughty C, Moller I, Finaughty DA (2022) Pressing need for national governmental recognition of forensic anthropology in South Africa as illustrated in a medico-legal case. Sci Justice 62(4):411–417. https://doi.org/10.1016/j.scijus.2022.05.003CrossRefPubMed
10.
Zurück zum Zitat Fabbri PF, Viva S, Ferrante L, Lonoce N, Tiberi I, Cameriere R (2015) Radiological tooth/pulp ratio in canines and individual age estimation in a sample of adult neolithic skeletons from Italy. Am J Phys Anthropol 158(3):423–430. https://doi.org/10.1002/ajpa.22796CrossRefPubMed
11.
Zurück zum Zitat Nudel I, Bader-Farraj A, Shpack N, May H, Sarig R (2023) Age estimation of archeological populations using secondary dentin analysis. J Archaeol Sci 151:105724. https://doi.org/10.1016/j.jas.2023.105724CrossRef
12.
Zurück zum Zitat Adserias-Garriga J (2023) Age-at-death estimation by dental means as a part of the skeletal analysis. Forensic Sci 3(2):357–367. https://doi.org/10.3390/forensicsci3020027CrossRef
13.
Zurück zum Zitat Phulari RG, Dave EJ (2021) Evolution of dental age estimation methods in adults over the years from occlusal wear to more sophisticated recent techniques. Egypt J Forensic Sci 11(36):1–14. https://doi.org/10.1186/s41935-021-00250-6CrossRef
14.
Zurück zum Zitat Marroquin TY, Karkhanis S, Kvaal SI, Vasudavan S, Kruger E, Tennant M (2017) Age estimation in adults by dental imaging assessment systematic review. Forensic Sci Int 275:203–211. https://doi.org/10.1016/j.forsciint.2017.03.007CrossRefPubMed
15.
Zurück zum Zitat Arora J, Talwar I, Sahni D, Rattan V (2016) Secondary dentine as a sole parameter for age estimation: comparison and reliability of qualitative and quantitative methods among North Western adult indians. Egypt J Forensic Sci 6(2):170–178. https://doi.org/10.1016/j.ejfs.2016.05.006CrossRef
16.
Zurück zum Zitat Cameriere R, Ferrante L, Cingolani M (2004) Variations in pulp/tooth area ratio as an indicator of age: a preliminary study. J Forensic Sci 49(2):1–3. https://doi.org/10.1520/JFS2003259CrossRef
17.
Zurück zum Zitat Cameriere R, Ferrante L, Belcastro MG, Bonfiglioli B, Rastelli E, Cingolani M (2007a) Age estimation by pulp/tooth ratio in canines by peri-apical X‐rays. J Forensic Sci 52(1):166–170. https://doi.org/10.1111/j.1556-4029.2006.00336.xCrossRefPubMed
18.
Zurück zum Zitat Cameriere R, Ferrante L, Belcastro MG, Bonfiglioli B, Rastelli E, Cingolani M (2007b) Age estimation by pulp/tooth ratio in canines by mesial and vestibular peri-apical X‐rays. J Forensic Sci 52(5):1151–1155. https://doi.org/10.1111/j.1556-4029.2006.00336.xCrossRefPubMed
19.
Zurück zum Zitat Cameriere R, De Luca S, Soriano Vázquez I, Kiş HC, Pigolkin Y, Kumagai A, Ferrante L (2021) A full bayesian calibration model for assessing age in adults by means of pulp/tooth area ratio in periapical radiography. Int J Leg Med 135(2):677–685. https://doi.org/10.1007/s00414-020-02438-2CrossRef
20.
Zurück zum Zitat Someda H, Saka H, Matsunaga S, Ide Y, Nakahara K, Hirata S, Hashimoto M (2009) Age estimation based on three-dimensional measurement of mandibular central incisors in Japanese. Forensic Sci Int 185(1–3):110–114. https://doi.org/10.1016/j.forsciint.2009.01.001CrossRefPubMed
21.
Zurück zum Zitat Asami R, Aboshi H, Iwawaki A, Ohtaka Y, Odaka K, Abe S, Saka H (2019) Age estimation based on the volume change in the maxillary premolar crown using micro CT. Leg Med 37:18–24. https://doi.org/10.1016/j.legalmed.2018.12.001CrossRef
22.
Zurück zum Zitat Dahal S, Forgie A, Manica S (2021) Age estimation using monoradicular teeth by comparing pulp/tooth area ratios between bucco-lingual and mesio-distal periapical radiographs. J Nepal Health Res Counc 19(3):577–581CrossRefPubMed
23.
Zurück zum Zitat D’Ortenzio L, Prowse T, Inskip M, Kahlon B, Brickley M (2018) Age estimation in older adults: use of pulp/tooth ratios calculated from tooth sections. Am J Phys Anthropol 165(3):594–603. https://doi.org/10.1002/ajpa.23371CrossRefPubMed
24.
Zurück zum Zitat Couoh LR, Bautista J (2023) Pilot study to assess age-at-death by pulp/tooth area ratio method using tooth sections and radiographs on an archaeological skeletal sample with dental wear. J Archaeol Sci Rep 50:104068. https://doi.org/10.1016/j.jasrep.2023.104068CrossRef
25.
Zurück zum Zitat Kim J, Lee S, Choi I, Jeong Y, Woo EJ (2022) A comparative analysis of bayesian age-at-death estimations using three different priors and Suchey-Brooks standards. Forensic Sci Int 336:111318. https://doi.org/10.1016/j.forsciint.2022.111318CrossRefPubMed
26.
Zurück zum Zitat Ackermann A, Steyn M (2014) A test of the Lamendin method of age estimation in South African canines. Forensic Sci Int 236. https://doi.org/10.1016/j.forsciint.2013.12.023. :192.e1–192.e6
27.
Zurück zum Zitat Chandler S, Phillips VM (2018) Testing Gustafson’s dental age estimation method on a sample of Western Cape adults. S Afr Dent J 73(9):554–558CrossRef
28.
Zurück zum Zitat Botha D, Steyn M (2022) The use of decision tree analysis for improving age estimation standards from the acetabulum. Forensic Sci Int 341:111514. https://doi.org/10.1016/j.forsciint.2022.111514CrossRefPubMed
29.
Zurück zum Zitat Merdietio Boedi R, Shepherd S, Oscandar F, Mânica S, Franco A (2022) Regressive changes of crown-root morphology and their volumetric segmentation for adult dental age estimation. J Forensic Sci 67(5):1890–1898. https://doi.org/10.1111/1556-4029.15094CrossRefPubMedPubMedCentral
30.
Zurück zum Zitat Lovejoy CO (1985) Dental wear in the Libben population: its functional pattern and role in the determination of adult skeletal age at death. Am J Phys Anthropol 68(1):47–56. https://doi.org/10.1002/ajpa.1330680105CrossRefPubMed
31.
Zurück zum Zitat Iannucci JM, Howerton LJ (2017) Dental radiography: principles and techniques. Elsevier, Missouri
32.
Zurück zum Zitat Koo TK, Li MY (2016) A guideline of selecting and reporting intraclass correlation coefficients for reliability research. J Chiropr Med 15(2):155–163. https://doi.org/10.1016/j.jcm.2016.02.012CrossRefPubMedPubMedCentral
33.
Zurück zum Zitat Rowntree D (1981) Statistics without tears: a primer for non-mathematicians. Penguin Books, New York. https://doi.org/10.2307/3617333CrossRef
34.
Zurück zum Zitat Hayes AF (2022) Introduction to mediation, moderation, and conditional process analysis: a regression-based approach. Guilford Press, London
35.
Zurück zum Zitat Tsagris M, Pandis N (2021) Multicollinearity. Am J Orthod Dentofac Orthop 159(5):695–696. https://doi.org/10.1016/j.ajodo.2021.02.005CrossRef
36.
Zurück zum Zitat Brooks GP, Ruengvirayudh P (2016) Best-subset selection criteria for multiple linear regression. Gen Linear Model J 42(2):14–25
37.
Zurück zum Zitat Faul F, Erdfelder E, Lang AG, Buchner A (2007) G*Power 3: a flexible statistical power analysis program for the social, behavioral, and biomedical sciences. Behav Res Methods 39(2):175–191. https://doi.org/10.3758/BF03193146CrossRefPubMed
38.
Zurück zum Zitat Kuhn M (2008) Building predictive models in R using the caret package. J Stat Softw 28(5):1–26. https://doi.org/10.18637/jss.v028.i05CrossRef
39.
Zurück zum Zitat Thomson E, Johnson O (2013) Essentials of dental radiography. Pearson Education Ltd, United Kingdom
40.
Zurück zum Zitat Keerthi Priyadharshini T (2018) Age estimation using pulp/tooth ratio single rooted premolars with digital intraoral periapical radiograph and longitudinal hemisection of tooth: a comparative study in Dravidian population. Dissertation, The Tamil Nadu Dr. M.G.R. Medical University
41.
Zurück zum Zitat Philippas GG, Applebaum E (1968) Age change in the permanent upper canine teeth. J Dent Res 47(3):411–417CrossRefPubMed
42.
Zurück zum Zitat Schroeder HE (1993) Alternsveränderung Der pulpakammer und ihrer wandung in menschlichen eckzähnen [Age-related changes in the pulp chamber and its wall in human canine teeth]. Schweiz Monatsschr Zahnmed 103(2):141–149PubMed
43.
Zurück zum Zitat White TD, Black MT, Folkens PA (2012) Human osteology. Academic, New York. https://doi.org/10.1016/c2009-0-03221-8CrossRef
44.
Zurück zum Zitat Carvalho TS, Lussi A (2017) Age-related morphological, histological and functional changes in teeth. J Oral Rehabil 44(4):291–298. https://doi.org/10.1111/joor.12474CrossRefPubMed
45.
Zurück zum Zitat d’Incau E, Coutoure C, Maureille B (2012) Human tooth wear in the past and the present: tribological mechanisms, scoring systems, dental and skeletal compensations. Arch Oral Biol 57(3):214–229. https://doi.org/10.1016/j.archoralbio.2011.08.021CrossRefPubMed
46.
Zurück zum Zitat Kaidonis JA, Ranjitkar S, Lekkas D, Townsend GC (2012) An anthropological perspective: another dimension to modern dental wear concepts. Int J Dent 2012:1–6. https://doi.org/10.1155/2012/741405CrossRef
47.
Zurück zum Zitat Gustafson G (1950) Age determinations on teeth. J Am Dent Assoc 41(1):45–54. https://doi.org/10.14219/jada.archive.1950.0132CrossRefPubMed
48.
Zurück zum Zitat Lamendin H, Baccino E, Humbert JF, Tavernier JC, Nossintchouk RM, Zerilli A (1992) A simple technique for age estimation in adult corpses: the two criteria dental method. J Forensic Sci 37(5):1373–1379. https://doi.org/10.1520/JFS13327JCrossRefPubMed
49.
Zurück zum Zitat Martins R, Oliveira PE, Schmitt A (2012) Estimation of age at death from the pubic symphysis and the auricular surface of the ilium using a smoothing procedure. Forensic Sci Int 219(1–3) 287.e1–287.e7. https://doi.org/10.1016/j.forsciint.2011.11.031
50.
Zurück zum Zitat Jooste N, L’Abbé EN, Pretorius S, Steyn M (2016) Validation of transition analysis as a method of adult age estimation in a modern South African sample. Forensic Sci Int 266. https://doi.org/10.1016/j.forsciint.2016.05.020. :580.e1-580.e7
51.
Zurück zum Zitat Jones M, Gordon G, Brits D (2018) Age estimation accuracies from black South African os coxae. HOMO. J Comp Hum Biol 69(5):248–258. https://doi.org/10.1016/j.jchb.2018.08.004CrossRef
52.
Zurück zum Zitat Krüger GC, Liebenberg L, Myburgh J, Meyer A, Oettlé AC, Botha D, Brits DM, Kenyhercz MW, Stull KE, Sutherland C, L’Abbé EN (2018) Forensic anthropology and the biological profile in South Africa. In: Latham KE, Bartelink EJ, Finnegan M (eds) New perspectives in forensic human skeletal identification. Academic, London, pp 313–321. https://doi.org/10.1016/B978-0-12-805429-1.00027-2CrossRef
53.
Zurück zum Zitat Brits DM, Steyn M, Hansmeyer C (2020) Identifying the unknown and the undocumented: the Johannesburg (South Africa) experience. In: Parra RC, Zapico SC, Ubelaker DH (eds) Forensic science and humanitarian action: interacting with the dead and the living. Wiley, Hoboken, pp 681–692. https://doi.org/10.1002/9781119482062.ch44CrossRef
54.
Zurück zum Zitat Baliso A, Heathfield LJ, Gibbon VE (2023) Forensic human identification: retrospective investigation of anthropological assessments in the Western Cape, South Africa. Int J Leg Med 137(3):793–807. https://doi.org/10.1007/s00414-022-02870-6CrossRef
55.
Zurück zum Zitat Constantinou C, Chovalopoulou ME, Nikita E (2023) AgeEst: an open access web application for skeletal age-at-death estimation employing machine learning. Forensic Sci Int: Rep 7:100317. https://doi.org/10.1016/j.fsir.2023.100317CrossRef
56.
Zurück zum Zitat Naji S, Colard T, Blondiaux J, Bertrand B, d’Incau E, Bocquet-Appel J (2016) Cementochronology, to cut or not to cut? Int J Paleopathol 15:113–119. https://doi.org/10.1016/j.ijpp.2014.05.003CrossRefPubMed
57.
Zurück zum Zitat Squires K, Booth T, Roberts CA (2019) The ethics of sampling human skeletal remains for destructive analyses. In: Squires K, Errickson D, Márquez-Grant N (eds) Ethical approaches to human remains: A Global Challenge in Bioarchaeology and Forensic Anthropology. Springer, Cham, pp 265–297CrossRef
58.
Zurück zum Zitat Aris C (2020) The histological paradox: methodology and efficacy of dental sectioning. Pap Inst Archaeol 29(1):1–16
59.
Zurück zum Zitat Franklin D, Marks MK (2022) The professional practice of forensic anthropology: contemporary developments and cross-disciplinary applications. WIREs Forensic Sci 4(2):e1442. https://doi.org/10.1002/wfs2.1442CrossRef
60.
Zurück zum Zitat Nikita E, Nikitas P (2019) Skeletal age-at-death estimation: bayesian versus regression methods. Forensic Sci Int 297:56–64. https://doi.org/10.1016/j.forsciint.2019.01.033CrossRefPubMed

Neu im Fachgebiet Rechtsmedizin

S2k-Leitlinie Früher Schwangerschaftsverlust im 1. Trimenon

Im Jahr 2025 wurde die S2k-Leitlinie Früher Schwangerschaftsverlust im 1. Trimenon veröffentlicht. In dieser Leitlinie werden sowohl für gestörte Frühgraviditäten als auch Schwangerschaften unklarer Lokalisation mit daraus resultierendem Abort …

Pädiatrische Lymphome: Herausforderungen in der Diagnostik

Lymphome im Kindesalter sind selten – und oft schwer einzuordnen. Die aktuellen Klassifikationen sowie die erstmals erschienene WHO-Klassifikation unterstützen bei der Einteilung. In dieser Übersicht werden die aktuellen Klassifikationen, Biologie und Diagnostik pädiatrischer Lymphome mit Fokus auf seltene indolente Entitäten sowie reaktive, Lymphom-imitierende Läsionen vorgestellt.

Protein kinase-related tumors in the pediatric population

  • Open Access
  • Schwerpunkt: Kinderpathologie: Von früher Plazenta bis Neoplasien

Advanced and widespread molecular techniques have deepened our understanding of mesenchymal lesions, revealing considerable overlap among morphologically defined entities now known to be related to protein kinases (PKs). This paradigm shift is …

Seltene kindliche benigne Tumoren/Läsionen im Kopfbereich

Benigne Tumoren und Läsionen im Kopfbereich bei Kindern sind selten und können eine diagnostische Herausforderung sein. Im Rahmen dieses Artikels werden ausgewählte seltene kindliche, benigne Läsionen im Kopfbereich vorgestellt mit dem Ziel, die …

Bildnachweise
Histologie einer Anaplastische Lymphomkinase mit großzellig-anaplastisches Lymphom/© Bosch-Schips J et al. / all rights reserved Springer Medizin Verlag GmbH