Zum Inhalt

Fractures and fall injuries after hospitalization for seasonal influenza—a national retrospective cohort study

  • Open Access
  • 26.08.2021
  • Original Article
Erschienen in:

Abstract

Summary

In this retrospective cohort study of 6604 adults, 65 years or older, admitted with seasonal influenza at Swedish hospitals, and 330,200 age- and sex-matched controls from the general population admitted for other reasons, were included. Patients with influenza had increased risk of fall injuries and fractures compared to controls.

Introduction

Fractures and fall injuries often lead to disability, increased morbidity, and mortality. Older adults are at higher risk of influenza-related complications such as pneumonia, cardiovascular events, and deaths, but the risk of fractures and fall injuries is unclear. The primary objective of this study was to investigate the risk of fractures and fall injuries in older patients after admission with seasonal influenza.

Methods

In this retrospective cohort study of 6604 adults, 65 years or older, admitted with seasonal influenza at Swedish hospitals (from December 1, 2015, to December 31, 2017) and 330,200 age- and sex-matched controls from the general population and admitted for other reasons, the risk of fracture or fall injury was investigated.

Results

The mean (SD) age of the 6604 influenza patients was 80.9 (8.1) years and 50.1% were women. During the first year after hospital discharge, there were 680 (10.3%) patients suffering from a fracture or fall injury among the patients with influenza, and 25,807 (7.8%) among the controls, corresponding to incident rates of 141 (95% CI, 131–152) and 111 (95% CI, 110–112) fractures or fall injuries per 1000 person-years respectively, translating to a significantly increased risk of fracture or fall injury in a Cox regression model (hazard ratio (HR) 1.28 (95% CI, 1.19–1.38)), a risk that was maintained after multivariable adjustment (HR 1.22 (95% CI 1.13–1.31)).

Conclusions

Older adults admitted with influenza diagnosis have an increased risk of fracture or fall injury during the first year after discharge.

Supplementary Information

The online version contains supplementary material available at https://doi.org/10.1007/s00198-021-06068-1.

Publisher's note

Springer Nature remains neutral with regard to jurisdictional claims in published maps and institutional affiliations.

Introduction

Seasonal influenza is caused by the influenza type A or B virus resulting in acute respiratory disease which occurs in yearly epidemics during the winter season. In the USA alone, seasonal influenza was responsible for 9.2 million to 35.6 million illnesses yearly and between 140,000 and 710,000 hospitalizations yearly, in addition to the estimated yearly 36,000 deaths between 2010 and 2017 [14]. Older adults are at higher risk of suffering from influenza-related complications such as pneumonia, cardiovascular events, and deaths [2].
The incidence of injurious falls and osteoporosis-related fractures increases with age, primarily as a result of progressing frailty, sarcopenia, and osteoporosis [57]. Over one-third of persons 65 years and older experience a fall each year [8, 9], of which approximately 20% need medical attention, a proportion rising with age [10]. Injurious falls, including fractures and head injuries, often result in considerable disability and morbidity as well as increased mortality, complications that are particularly common after hip fracture [6, 7, 11]. The lifetime risk of hip fracture at the age of 50 years is considerable and reaches 15.8% and 28.5% in women in the USA and Sweden, respectively [12]. Hospital admission for injurious falls was the most common cause of disability in persons 70 years or older, and in 2015, there was an estimated 33,000 fall-related deaths in the USA [11, 13].
The acute phase of influenza infection commonly presents with symptoms such as a high fever, myalgia, sore throat, cough, headache, and malaise. Influenza complications include dehydration, bacterial pneumonia, and exacerbation of underlying chronical diseases, such as cardiovascular disease, diabetes, chronic obstructive pulmonary disease, and asthma [3]. Older adults are particularly vulnerable and have higher risk of mortality and of developing complications and which affect quality of life and activity of daily living (ADL) over long time periods. In the USA, state-level influenza severity and city-level influenza mortality have been associated with higher rates of substantial declines in ADL in nursing home residents [14]. Many of these negative outcomes can be prevented with the widespread use of vaccination in older adults [3]. Furthermore, the use of neuraminidase inhibitor treatment early in the infection is known to reduce the likelihood of severe outcomes [15].
Commonly observed symptoms among influenza patients such as dizziness, fatigue, and unsteady gait are also known risk factors for falls in the elderly [16, 17]. However, as a result of the absence of studies with individual patient data and prospective follow-up, it is yet unknown whether or not influenza increases the risk of injurious falls and fractures in older adults. An increased risk of these potentially serious complications will have a tremendous negative impact on public health and health systems, given the enormous number of affected persons globally.
The primary objective of this study was to investigate if the risk of fracture and fall injury is increased in older patients admitted with seasonal influenza at Swedish hospitals, compared to age- and sex-matched controls admitted for other causes.

Materials and methods

Study design

This retrospective cohort study used national registers in Sweden to identify patients with a first influenza diagnosis where a seasonal virus was identified (ICD-10 J10) from a hospital admission occurring between December 1, 2015 (when influenza became an infectious disease compulsory to report in Sweden), and December 31, 2017 (Fig. 1). Influenza patients diagnosed in primary care or outpatient visits to the hospital were not included. Patients 65 years or older were studied in Sweden; this group is offered and recommended seasonal vaccination due to its vulnerability [18]. For each influenza patient, fifty population controls without an influenza diagnosis and admitted for any other reason within a year before or after its case were matched according to sex and birth year. The risk of incident fractures and fall injuries within a year from discharge was analyzed. The study was approved by the Swedish Ethical Review Authority.
Fig. 1
Number of patients with influenza admitted per month. Distribution of baseline month for the influenza patients
Bild vergrößern

Data sources

The Swedish Patient Register was used to retrieve diagnoses for influenza (inpatient visits only), comorbidities, and fractures and fall injuries (both inpatient and outpatient visits). Medication data was retrieved from the Swedish Prescribed Drug Register and data on socioeconomics and death from Statistics Sweden. All Swedes are assigned a unique personal identification at birth or at the time of immigration, enabling linkage between the different registers.

Definition of outcomes

To define incident events after discharge, register data were used. All fracture and fall injury diagnoses from hospital visits were collected (Appendix Table 1 in the Supplementary material). In order to exclude revisits, the data was refined in four steps. First, fracture diagnoses with a simultaneous code indicating a revisit (Z09, Z47, Z48) were discarded. Second, hip fracture diagnoses (S72.0–S72.2) without a simultaneous code for surgical procedure (NFB, NFC, or NFJ) were discarded. Third, a washout period of 5 months was used; i.e., if a fracture diagnosis referring to the same skeletal site was repeated within 5 months, the latter diagnosis was excluded. The washout period length has been defined using an x-ray-verified dataset in order to maximize accuracy [19]. A fall injury was defined as a fall (W00–W19) on the same date as an injury (S00-T14), and in order to avoid overlap with the fracture outcome, the fall had to occur at an occasion without a fracture diagnosis. For inpatient visits, the date of arrival to the hospital was used. Fall injury thus refers to a non-skeletal fall injury severe enough to seek hospital care.

Statistical analyses

A number of covariates representing previous illnesses and medications with presumed impact on a patient’s comorbidity and risk of fracture or injurious falls were selected (Table 1). Charlson comorbidity index was calculated to summarize and quantify comorbidity [20]. The patients admitted with influenza were compared to age- and sex-matched controls admitted for other reasons. To assess differences in baseline characteristics, standardized differences were calculated. Incident rates and incident rate differences per 1000 person-years were calculated to enable comparison of periods with different lengths. Patients were followed for a year, and the follow-up time was censored for the event in question, death, emigration, or end of study (December 31, 2017). Cox regression models were used to calculate hazard ratios. In contrast to logistic regression, Cox regression uses the length of each individual’s follow-up period. The Cox assumption of proportional hazards was tested using a time-dependent Cox model with a linear interaction term between time and group variable for influenza. The primary outcome was the combined outcome, during the first year after influenza diagnosis, of a first fracture or fall injury, and secondary outcomes included any fracture, hip fracture, fall injury, and death. Interaction and subgroup analyses were performed stratified by sex and age group. Specific sensitivity analyses were performed with adjustments for diabetes and chronic pulmonary diseases as well as subgroup analysis of patients without prior fall injury or fracture. Statistical analyses were performed using IBM® SPSS® software, version 26 and Stata version SE 16.0 for Mac. p values lower than 0.05 were considered significant. For interaction terms, p values lower than 0.10 were considered significant.
Table 1
Baseline characteristics
Variable
 
Controls
Influenza
St. Diff
N = 330,200
N = 6604
 
Age
Mean (SD)
80.7 (8.0)
80.9 (8.1)
1.7
Female sex
n (%)
165,350 (50.1%)
3307 (50.1%)
0
Charlson comorbidity index
Mean (SD)
2.4 (2.4)
2.5 (2.3)
7.1
 = 0
n (%)
74,338 (22.5%)
1106 (16.7%)
 − 14.6
 = 1 or 2
n (%)
135,577 (41.1%)
2808 (42.5%)
3.0
 ≥ 3
n (%)
120,285 (36.4%)
2690 (40.7%)
8.9
Length of admission, days
Mean (SD)
7.1 (14.1)
8.3 (8.3)
10.3
Admitted with pneumonia
n (%)
21,926 (6.6%)
1058 (16.0%)
29.9
Admitted with fracture
n (%)
21,506 (6.5%)
100 (1.5%)
 − 25.7
Admitted with fall injury
n (%)
12,962 (3.9%)
168 (2.5%)
 − 7.8
Number of admissions last 5 years
Mean (SD)
4.1 (4.2)
5.2 (5.9)
21.3
Rural residency, ≥ 200 per km2
n (%)
84,748 (25.7%)
2095 (31.7%)
13.4
Non-Nordic citizenship at birth
n (%)
19,627 (5.9%)
554 (8.4%)
9.5
Osteoporosis (M80-M81)
n (%)
21,055 (6.4%)
452 (6.8%)
1.9
Secondary osteoporosis
n (%)
19,148 (5.8%)
525 (7.9%)
8.5
Osteoporosis medication last year
n (%)
13,558 (4.1%)
309 (4.7%)
2.8
Calcium or vitamin D last year
n (%)
33,821 (10.2%)
779 (11.8%)
5.0
Prednisolone use
n (%)
59,465 (18.0%)
1643 (24.9%)
16.8
Previous alcohol-related disease, 5 years
n (%)
8910 (2.7%)
189 (2.9%)
1.0
Previous rheumatoid arthritis, 5 years
n (%)
9141 (2.8%)
276 (4.2%)
7.7
Previous fracture
n (%)
123,086 (37.3%)
2411 (36.5%)
 − 1.6
  Multiple (≥ 2 occasions last 5 years)
n (%)
22,921 (6.9%)
410 (6.2%)
 − 3.0
  Recent (last year)
n (%)
46,757 (14.2%)
598 (9.1%)
 − 16.0
Previous fall injury
n (%)
85,155 (25.8%)
1915 (29.0%)
7.2
  Multiple (≥ 2 occasions last 5 years)
n (%)
17,928 (5.4%)
413 (6.3%)
3.5
  Multiple (≥ 4 occasions last 5 years)
n (%)
2971 (0.9%)
75 (1.1%)
2.4
  Recent (last year)
n (%)
26,235 (7.9%)
520 (7.9%)
 − 0.3
Parkinson’s disease (G20)
n (%)
6090 (1.8%)
160 (2.4%)
4.0
Knee replacement
n (%)
13,656 (4.1%)
119 (1.8%)
 − 13.8
Hip replacement
n (%)
12,366 (3.7%)
124 (1.9%)
 − 11.3
Fall-related medications last year
  Opioids (N02A)
n (%)
65,182 (19.7%)
990 (15.0%)
 − 12.6
  Antiepileptics (N03A)
n (%)
17,416 (5.3%)
487 (7.4%)
8.6
  Anti-Parkinson drugs (N04)
n (%)
9738 (2.9%)
263 (4.0%)
5.7
  Antipsychotics (N05A)
n (%)
10,156 (3.1%)
245 (3.7%)
3.5
  Anxiolytics (N05B)
n (%)
32,083 (9.7%)
747 (11.3%)
5.2
  Hypnotics and sedatives (N05C)
n (%)
66,893 (20.3%)
1443 (21.9%)
3.9
  Antidepressants (N06A)
n (%)
55,209 (16.7%)
1302 (19.7%)
7.8
  Anti-dementia drugs (N06D)
n (%)
11,441 (3.5%)
314 (4.8%)
6.5
The 10 most common diagnoses while admitted
  Essential (primary) hypertension (I10)
n (%)
120,103 (36.4%)
2225 (33.7%)
 − 5.6
  Atrial fibrillation or flutter (I48)
n (%)
68,098 (20.6%)
1619 (24.5%)
9.3
  Type 2 diabetes mellitus (E11)
n (%)
44,040 (13.3%)
1122 (17.0%)
10.2
  Chronic obstructive pulmonary disease (J44)
n (%)
21,612 (6.5%)
862 (13.1%)
22.0
  Heart failure (I50)
n (%)
37,240 (11.3%)
925 (14.0%)
8.2
  Chronic ischemic heart disease (I25)
n (%)
34,931 (10.6%)
686 (10.4%)
 − 0.6
  Presence of cardiac/vascular implants/grafts (Z95)
n (%)
23,906 (7.2%)
421 (6.4%)
 − 3.4
  Asthma (J45)
n (%)
7125 (2.2%)
294 (4.5%)
12.9
  Chronic kidney disease (N18)
n (%)
12,698 (3.8%)
316 (4.8%)
4.6
  Disorders of urinary system (N39)
n (%)
16,825 (5.1%)
282 (4.3%)
 − 3.9
Detailed definitions of variables are presented in Supplementary Table 1. Standardized differences (St. Diff.) were calculated as (meaninfluenza − meancontrols)/n ( (SD2influenza + SD2controls)/2)

Analyses to address potential bias

First, the starting dates of the controls’ follow-up were matched to the cases’ starting date, to minimize any potential effects of temporal variations. Second, multivariable adjustment using baseline characteristics was added to the regression models comparing influenza patients with matched controls. The multivariable adjustment included known risk factors for fall injuries and fractures, as presented in Table 1, except for the 10 most common diagnoses for admission.

Role of the funding source

The funding sources did not take part in the study design; in the collection, analysis, and interpretation of data; in the writing of the report; nor in the decision to submit the paper for publication.

Results

The present study included 6604 patients 65 years or older admitted with influenza followed for 4814 person-years, and 330,200 age- and sex-matched controls admitted for other reasons and followed for 232,433 person-years. The mean (SD) age of the influenza patients was 80.9 (8.1) years, 50.1% were women, and the mean (SD) Charlson comorbidity index was 2.5 (2.3). All the controls were exactly matched according to age and sex, and the mean difference between the discharge date (baseline) of the influenza patients and the controls was 1.3 days. There were 522 (7.9%) influenza patients with prescribed neuraminidase inhibitors collected from the pharmacy 2 weeks prior to or after baseline compared to 700 (0.2%) among the controls. While the mean Charlson comorbidity index was similar in the groups, it was less common among the influenza patients to be admitted for fracture or fall injury than among the controls and more common in those to be admitted with pneumonia, type 2 diabetes, or chronic obstructive pulmonary disease. The influenza patients were admitted for longer durations and had more admissions during the last 5 years. Differences at baseline between the cases and controls are presented in Table 1.
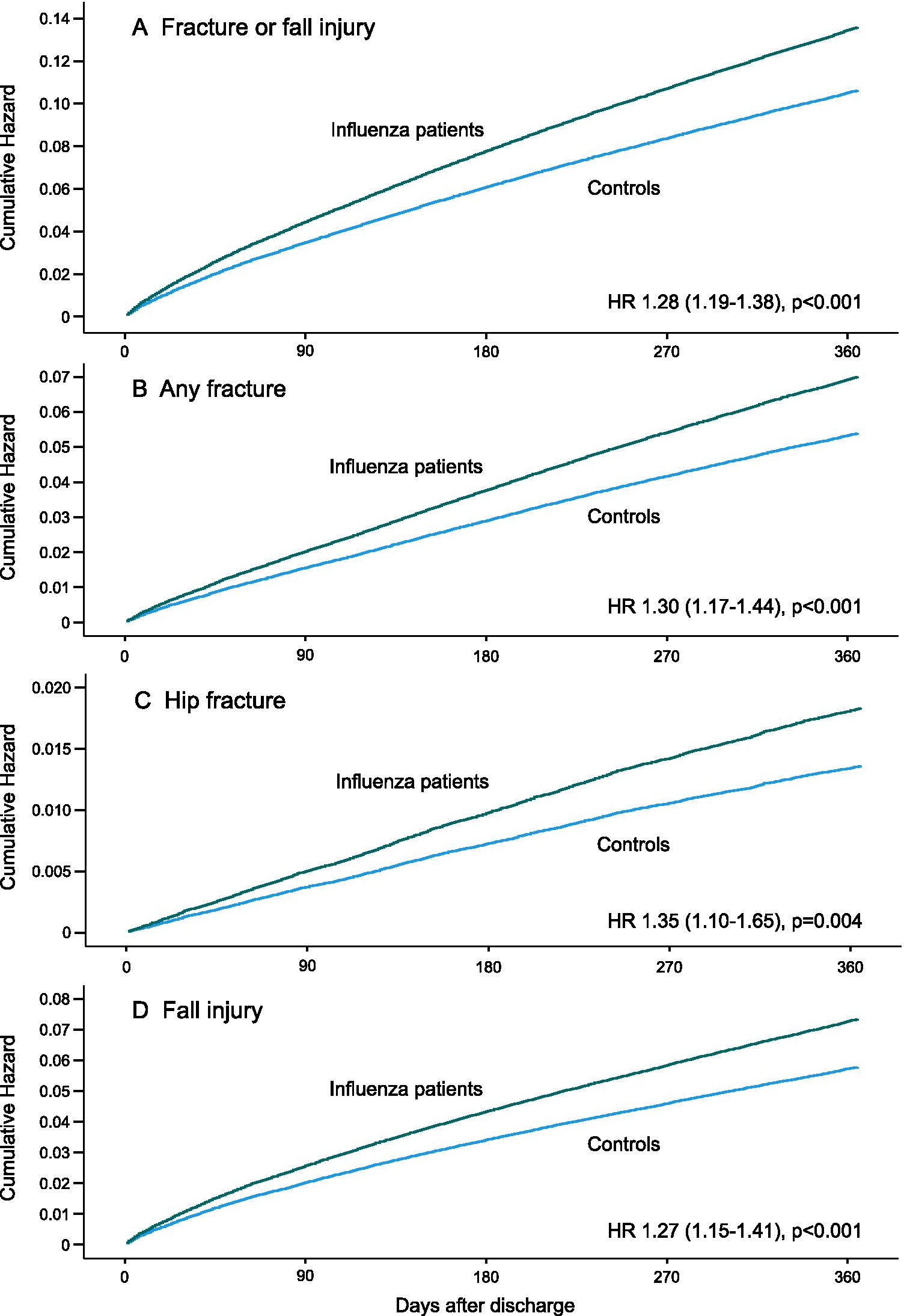
During the first year after discharge, 356 influenza patients suffered from fractures of which a majority were severe, affecting the hip, spine, proximal humerus, pelvis, or skull (A in Table 2). There were also 379 influenza patients suffering from incident fall injuries, of which 43% affected the head (B in Table 2). Combined, 680 patients with influenza (10.3%) suffered from a fracture or fall injury (only first instance counted) and 25,807 (7.8%) among the controls, corresponding to incident rates of 141 (95% CI, 131–152) and 111 (95% CI, 110–112) fractures or fall injuries per 1000 person-years, respectively. Patients admitted with influenza had a significantly higher risk of fracture or fall injury (hazard ratio (HR) 1.28 (95% CI, 1.19–1.38)) than the controls, also after multivariable adjustments (Table 3, Fig. 2). In a sensitivity analysis adjusted for age, sex, chronic pulmonary diseases, and diabetes, the increased risk of fracture or fall injury was maintained (HR 1.24 (95% CI 1.15–1.34)). When excluding patients with a fracture or fall injury during the year prior to baseline, there still was an increased risk of fracture or fall injury (HR 1.34; 95% CI 1.22–1.47 adjusted for age and sex). The risk of any fracture, hip fracture, and fall injury analyzed separately was significantly and consistently higher among influenza patients than controls, though the risk of hip fracture was not significantly maintained upon multivariable adjustments (Table 3).
Table 2
Type of incident fracture and fall injury, first year among influenza patients
A. Type of fracture
n (%)
Hip
89 (25%)
Vertebral
40 (11%)
Pelvic
32 (9%)
Proximal humerus
28 (8%)
Forearm
33 (9%)
Rib
42 (12%)
Other
32 (9%)
Lower leg
26 (7%)
Hand or foot
20 (6%)
Head
14 (4%)
Total
356 (100%)
B. Type of fall injury
n (%)
Head injuries
 
Subdural, subarachnoidal, or intracranial bleeding
26 (7%)
Concussion
18 (5%)
Lacerations
58 (15%)
Other unspecified or superficial injuries
60 (16%)
 
162 (43%)
Other locations
 
Lacerations
26 (7%)
Distorsions and luxations
24 (6%)
Contusions
132 (35%)
  Hip
56 (15%)
  Lower back and pelvic
25 (7%)
  Thorax
20 (5%)
  Shoulder
19 (5%)
  Knee
12 (3%)
Other unspecified or superficial injuries
35 (9%)
 
217 (57%)
Total
379 (100%)
Table. 3
First-year incidence of fractures and fall injuries
 
Controls
Influenza
p value
 
330 200
6604
 
Fracture or fall injury
  Patients, n (%)
25,807 (7.8%)
680 (10.3%)
 < 0.001
  Per 1000 person-years (95% CI)
111 (110–112)
141 (131–152)
 < 0.001
  Unadjusted Cox model, HR (95% CI)
Ref
1.28 (1.19–1.38)
 < 0.001
  Adjusted for age, sex, and Charlson comorbidity index, HR (95% CI)
Ref
1.25 (1.16–1.35)
 < 0.001
  Multivariable adjustment, HR (95% CI)
Ref
1.22 (1.13–1.31)
 < 0.001
Any fracture
  Patients, n (%)
13,186 (4.0%)
356 (5.4%)
 < 0.001
  Per 1000 person-years (95% CI)
55.4 (54.4–56.3)
71.8 (64.7–79.6)
 < 0.001
  Unadjusted Cox model, HR (95% CI)
Ref
1.30 (1.17–1.44)
 < 0.001
  Adjusted for age, sex, and Charlson comorbidity index, HR (95% CI)
Ref
1.27 (1.14–1.41)
 < 0.001
  Multivariable adjustment, HR (95% CI)
Ref
1.24 (1.12–1.38)
 < 0.001
Hip fracture
  Patients, n (%)
3368 (1.0%)
95 (1.4%)
0.001
  Per 1000 person-years (95% CI)
13.9 (13.4–14.4)
18.7 (15.3–22.9)
0.006
  Unadjusted Cox model, HR (95% CI)
Ref
1.35 (1.10–1.65)
0.004
  Adjusted for age, sex, and Charlson comorbidity index, HR (95% CI)
Ref
1.29 (1.05–1.58)
0.02
  Multivariable adjustment, HR (95% CI)
Ref
1.21 (0.99–1.48)
0.07
Fall injury
  Patients, n (%)
14,404 (4.4%)
379 (5.7%)
 < 0.001
  Per 1000 person-years (95% CI)
60.8 (59.8–61.8)
76.6 (69.2–84.7)
 < 0.001
  Unadjusted Cox model, HR (95% CI)
Ref
1.27 (1.15–1.41)
 < 0.001
  Adjusted for age, sex, and Charlson comorbidity index, HR (95% CI)
Ref
1.24 (1.12–1.37)
 < 0.001
  Multivariable adjustment, HR (95% CI)
Ref
1.20 (1.08–1.33)
0.001
HR hazard ratio. Multivariable adjustment included all covariates presented in Table 1, except from the 10 most common diagnoses for admission
Fig. 2
Cumulative hazard of fracture or fall injury in unadjusted Cox models for patients 65 years old or older, first year after being admitted with influenza compared to controls admitted for other reasons
Bild vergrößern
In a multivariable Cox model analyzing the risk of fracture or fall injury, there was no significant interaction between sex and the influenza group variable (p = 0.84), and the incidences and hazard ratios were similar for both men and women (Appendix Table 2 in the Supplementary material).
However, there was a significant interaction between the age and the influenza group variable (p = 0.08). Subgroup analyses revealed a higher risk in influenza patients than in controls of both fracture and fall injury among patients 80 years old or older (Fig. 3, Appendix Table 3 in the Supplementary material). During the first year after discharge, 3743 influenza patients 80 years or older suffered from 456 (12.4%) fractures or fall injuries and their controls from 17 068 (9.1%), corresponding to incident rates of 181 (95% CI, 165–198) and 139 (95% CI, 137–141) fractures per 1000 person-years, respectively. Patients 80 years or older admitted with influenza had a significantly higher risk of fracture or fall injury (hazard ratio (HR) 1.31 (95% CI, 1.19–1.43)) than the controls, also after multivariable adjustments (Fig. 3, Appendix Table 3 in the Supplementary material). The risk of any fracture, hip fracture, and fall injury analyzed separately was significantly and consistently higher among influenza patients than controls (Fig. 3, Appendix Table 3 in the Supplementary material).
Fig. 3
Cumulative hazard of fracture or fall injury in unadjusted Cox models for patients 80 years old or older, first year after being admitted with influenza compared to controls admitted for other reasons
Bild vergrößern
The 1-year mortality did not differ significantly between patients admitted for influenza compared to patients admitted for other causes, 1064 (16.1%) vs. 53 764 (16.3%), p = 0.72, respectively, translating to a hazard ratio of 0.96 (95% CI 0.90–1.02), p = 0.15, in an unadjusted Cox model.

Discussion

To our knowledge, this is the first study with individual patient data, demonstrating that patients 65 years or older admitted with seasonal influenza have a substantially increased risk of injurious falls and fractures during the first year after discharge than age- and sex-matched controls admitted for other reasons. A highly similar risk increase among influenza patients was observed for fall injury, any fracture, and hip fracture. Sensitivity analyses revealed that there were no significant differences between men and women, but the risk of injurious falls and fractures was especially pronounced in the elderly, 80 years or older.
It has previously been reported that influenza also increases the risk of non-respiratory complications such as cardiovascular events, including myocardial infarction and stroke, as well as the risk of death [2]. In contrast, the knowledge regarding musculoskeletal complications of seasonal influenza is very limited. Symptoms commonly observed in influenza patients including dizziness, fatigue, and unsteady gait are also known risk factors for falls in the elderly [16, 17]. A recently published insurance database study found a weak association between influenza-like illness and risk of hip fracture in nursing home residents in the USA, but the analyses was limited to nursing home rates of these conditions, without individual knowledge regarding comorbidities and other relevant factors that could affect the risk of fractures or fall injuries [21]. A recent study from Israel found that hip fracture rates were associated with low temperatures and were higher in the 2-week-period following a period of high weekly rate of influenza, but individual data on influenza patients was not available [22]. Thus, available evidence suggests an increased risk of hip fractures in influenza patients but the lack of necessary data, on individual patient level, taking comorbidity and influenza diagnosis into account, prevented conclusive analyses. In contrast, the present analysis, relying on individual patient data, demonstrates that the risk of fracture and fall injury is elevated after hospital discharge.
It has previously been reported that among the 1.64 million older adults in the USA, over 70% treated in emergency departments for fall injuries were women [23]. We analyzed whether or not women would be at particularly high risk to sustain fractures or injurious falls after influenza. However, we found no interaction between sex and risk of these outcomes. Men and women had a highly similarly increased risk of fractures and injurious falls.
Influenza affects the respiratory system, commonly presents with fever, cough, myalgia, and fatigue, and can induce acute respiratory distress syndrome (ARDS), which has a high mortality rate [24]. In this study, we could not detect an increased mortality in influenza patients, but this finding was most likely affected by the control group, consisting of age- and sex-matched patients admitted for other diagnoses, having considerably more comorbidity than the general population.
Prevention of influenza in older adults using high-dose influenza vaccine is effective [25], and could be used in this population in order to prevent influenza-related complications, and as indicated by the findings in this study, including also fall injuries and fractures in older adults. Among seniors in Sweden, 65 years or older, the vaccination rate for seasonal influenza is around 49% [26], providing opportunity for improvement. The results from the present study indicate that vaccination may also be effective in reducing the number of fractures and other injurious falls in this patient group.
The present study has limitations. First, the observational design prevents assessment of causality. Second, the fracture definitions were based on register data, without guarantees that all fractures were x-ray verified. Third, we did not have access to reliable information on trauma type; however, evidence shows that trauma type does not discriminate osteoporotic from non-osteoporotic fractures [27]. Fourth, since we did not control for influenza diagnoses in primary care, some control patients might have had influenza, which would only further underestimate the associations. Fifth, the study included only patients admitted with influenza and surviving to be discharged. Thus, by limiting the study to survivors, it is likely that the result is an underestimation of the increase in fracture and fall injury risk in influenza patients. Sixth, since only patients admitted to hospital for influenza were studied, the results may not be generalizable to all influenza patients, nor other age groups or populations with different ethnic proportions. Seventh, we were not able to study the risk of fracture or fall injury in the acute phase of influenza disease when patients most commonly present with the most severe symptoms, i.e., during the time when patients were still admitted to hospital, which most likely has resulted in an underestimation of the increased risk induced by influenza. Eighth, even though we chose to start the study after reporting of influenza cases became mandatory, it is possible that the lower prevalence in 2015–2016 is due to delayed compliance in reporting.
Strengths of this study include the large sample size, well-matched controls on both age and sex, and inclusion time, as well as the comprehensive information on risk factors for fracture and fall injuries. To our knowledge, this is the first study using individual patient data, investigating the risk of fractures and fall injury in patients admitted with influenza. In order to avoid a possible bias induced by patients contracting influenza while treated for their fracture or fall injury, we only counted these incidences after hospital discharge. This is supported by a recent investigation of in-ward transmission of influenza at a large, acute-care hospital, which found that 26% of influenza transmission was nosocomial [28]. While falling ill with influenza certainly may be a proxy for general frailty and the association is attenuated with gradual adjustment, the association remains significant even after extensive adjustment. This indicates that influenza may be an independent risk factor.
In conclusion, an increased risk of fractures and fall injuries was observed in influenza patients after discharge from hospital, in comparison to age- and sex-matched controls admitted for other reasons.

Declarations

Conflicts of interest

Dr. Axelsson has received lecture fees from Lilly, Meda/Mylan, and Amgen. Prof. Lorentzon has received lecture fees from Astellas, Amgen, Lilly, UCB Pharma, Radius Health, Meda/Mylan, GE-Lunar, and Santax Medico/Hologic. Mr Litsne has no conflict of interest.
Open AccessThis article is licensed under a Creative Commons Attribution-NonCommercial 4.0 International License, which permits any non-commercial use, sharing, adaptation, distribution and reproduction in any medium or format, as long as you give appropriate credit to the original author(s) and the source, provide a link to the Creative Commons licence, and indicate if changes were made. The images or other third party material in this article are included in the article's Creative Commons licence, unless indicated otherwise in a credit line to the material. If material is not included in the article's Creative Commons licence and your intended use is not permitted by statutory regulation or exceeds the permitted use, you will need to obtain permission directly from the copyright holder. To view a copy of this licence, visit http://creativecommons.org/licenses/by-nc/4.0/.

Publisher's note

Springer Nature remains neutral with regard to jurisdictional claims in published maps and institutional affiliations.
download
DOWNLOAD
print
DRUCKEN
Titel
Fractures and fall injuries after hospitalization for seasonal influenza—a national retrospective cohort study
Verfasst von
K. F. Axelsson
H. Litsne
M. Lorentzon
Publikationsdatum
26.08.2021
Verlag
Springer London
Erschienen in
Osteoporosis International / Ausgabe 1/2022
Print ISSN: 0937-941X
Elektronische ISSN: 1433-2965
DOI
https://doi.org/10.1007/s00198-021-06068-1

Supplementary Information

Below is the link to the electronic supplementary material.
1.
Zurück zum Zitat Thompson WW, Shay DK, Weintraub E, Brammer L, Cox N, Anderson LJ, Fukuda K (2003) Mortality associated with influenza and respiratory syncytial virus in the United States. JAMA 289:179–186CrossRef
2.
Zurück zum Zitat Thompson WW, Shay DK, Weintraub E, Brammer L, Bridges CB, Cox NJ, Fukuda K (2004) Influenza-associated hospitalizations in the United States. JAMA 292:1333–1340CrossRef
3.
Zurück zum Zitat Krammer F, Smith GJD, Fouchier RAM et al (2018) Influenza Nat Rev Dis Primers 4:3CrossRef
4.
Zurück zum Zitat Centers for Disease Control and Prevention (2015) Estimated influenza illnesses and hospitalizations averted by vaccination — United States. https://www.cdc.gov/flu/about/disease/2014-15.htm. Accessed 2020–09–04
5.
Zurück zum Zitat Dennison EM, Sayer AA, Cooper C (2017) Epidemiology of sarcopenia and insight into possible therapeutic targets. Nat Rev Rheumatol 13:340–347CrossRef
6.
Zurück zum Zitat Compston JE, McClung MR, Leslie WD (2019) Osteoporosis. Lancet (London, England) 393:364–376CrossRef
7.
Zurück zum Zitat Murray CJ, Atkinson C, Bhalla K et al (2013) The state of US health, 1990–2010: burden of diseases, injuries, and risk factors. JAMA 310:591–608CrossRef
8.
Zurück zum Zitat Rubenstein LZ (2006) Falls in older people epidemiology risk factors and strategies for prevention. Age Ageing 35(Suppl 2):ii37–ii41CrossRef
9.
Zurück zum Zitat Tinetti ME (2003) Clinical practice. Preventing falls in elderly persons. N Engl J Med 348:42–49CrossRef
10.
Zurück zum Zitat Kannus P, Sievänen H, Palvanen M, Järvinen T, Parkkari J (2005) Prevention of falls and consequent injuries in elderly people. Lancet (London, England) 366:1885–1893CrossRef
11.
Zurück zum Zitat Gill TM, Allore HG, Holford TR, Guo Z (2004) Hospitalization, restricted activity, and the development of disability among older persons. JAMA 292:2115–2124CrossRef
12.
Zurück zum Zitat Kanis JA, Johnell O, De Laet C, Jonsson B, Oden A, Ogelsby AK (2002) International variations in hip fracture probabilities: implications for risk assessment. J Bone Miner Res 17:1237–1244CrossRef
13.
Zurück zum Zitat Guirguis-Blake JM, Michael YL, Perdue LA, Coppola EL, Beil TL (2018) Interventions to prevent falls in older adults: updated evidence report and systematic review for the US Preventive Services Task Force. JAMA 319:1705–1716CrossRef
14.
Zurück zum Zitat Gozalo PL, Pop-Vicas A, Feng Z, Gravenstein S, Mor V (2012) Effect of influenza on functional decline. J Am Geriatr Soc 60:1260–1267CrossRef
15.
Zurück zum Zitat Muthuri SG, Myles PR, Venkatesan S, Leonardi-Bee J, Nguyen-Van-Tam JS (2013) Impact of neuraminidase inhibitor treatment on outcomes of public health importance during the 2009–2010 influenza A(H1N1) pandemic: a systematic review and meta-analysis in hospitalized patients. J Infect Dis 207:553–563CrossRef
16.
Zurück zum Zitat Lord SR, Sherrington C, Menz HB, Close JCT (2007) Falls in older people: risk factors and strategies for prevention. Cambridge University PressCrossRef
17.
Zurück zum Zitat Ganz DA, Latham NK (2020) Prevention of falls in community-dwelling older adults. N Engl J Med 382:734–743CrossRef
18.
Zurück zum Zitat Public Health Agency of Sweden (2020) Groups recommended vaccination for influenza. https://www.folkhalsomyndigheten.se/smittskydd-beredskap/vaccinationer/vacciner-a-o/influensa/. Accessed 2020–09–04
19.
Zurück zum Zitat Axelsson KF, Jacobsson R, Lund D, Lorentzon M (2016) Effectiveness of a minimal resource fracture liaison service. Osteoporos Int 27:3165–3175CrossRef
20.
Zurück zum Zitat Charlson ME, Pompei P, Ales KL, MacKenzie CR (1987) A new method of classifying prognostic comorbidity in longitudinal studies: development and validation. J Chronic Dis 40:373–383CrossRef
21.
Zurück zum Zitat McConeghy KW, Lee Y, Zullo AR, Banerjee G, Daiello L, Dosa D, Kiel DP, Mor VM, Berry SD (2018) Influenza illness and hip fracture hospitalizations in nursing home residents: are they related? J Gerontol A Biol Sci Med Sci 73:1638–1642CrossRef
22.
Zurück zum Zitat Fraenkel M, Yitshak-Sade M, Beacher L, Carmeli M, Mandelboim M, Siris E, Novack V (2017) Is the association between hip fractures and seasonality modified by influenza vaccination? An ecological study. Osteoporos Int 28:2611–2617CrossRef
23.
Zurück zum Zitat Stevens JA, Sogolow ED (2005) Gender differences for non-fatal unintentional fall related injuries among older adults. Inj Prev 11:115–119CrossRef
24.
Zurück zum Zitat Short KR, Kroeze E, Fouchier RAM, Kuiken T (2014) Pathogenesis of influenza-induced acute respiratory distress syndrome. Lancet Infect Dis 14:57–69CrossRef
25.
Zurück zum Zitat DiazGranados CA, Dunning AJ, Kimmel M et al (2014) Efficacy of high-dose versus standard-dose influenza vaccine in older adults. N Engl J Med 371:635–645CrossRef
26.
27.
Zurück zum Zitat Mackey DC, Lui L, Cawthon PM et al (2007) High-trauma fractures and low bone mineral density in older women and men. JAMA 298:2381–2388CrossRef
28.
Zurück zum Zitat Sansone M, Andersson M, Gustavsson L, Andersson LM, Nordén R, Westin J (2020) Extensive hospital in-ward clustering revealed by molecular characterization of influenza A virus infection. Clin Infect Dis

Arthropedia

Grundlagenwissen der Arthroskopie und Gelenkchirurgie erweitert durch Fallbeispiele, Videos und Abbildungen. Zur Fortbildung und Wissenserweiterung, verfasst und geprüft von Expertinnen und Experten der Gesellschaft für Arthroskopie und Gelenkchirurgie (AGA).


Jetzt entdecken!

Neu im Fachgebiet Orthopädie und Unfallchirurgie

Viele Ältere mit ambulant lösbaren Problemen in Notaufnahmen

Ein Drittel der Menschen ab 70 Jahren, die eine Notaufnahme in Deutschland aufsuchen, hat keine dringenden Probleme. Oft stehen Kopfverletzungen oder Komplikationen bei Krankheiten wie Herzinsuffizienz und Hypertonie im Vordergrund, die in die ambulante Versorgung gehören.

Mit LEAP mehr Stabilität nach Kreuzbandriss?

Welches ist die beste Methode zur Rekonstruktion des vorderen Kreuzbands (ACL) bei jungen, sportlich aktiven Patientinnen und Patienten? In einer Real-World-Studie wurde die alleinige ACL-Rekonstruktion – in diesem Fall mit einem BPTB(Bone-Patellar Tendon-Bone)-Autograft – mit einer zusätzlichen lateralen Technik verglichen.

Gips ebenbürtig mit Op. bei Weber-B-Fraktur des Sprunggelenks

Ist eine Weber-B-Fraktur des Außenknöchels mit einem Gipsverband ausreichend behandelt? In einer randomisierten Studie aus Finnland war das Ergebnis auch dann gleichwertig mit einer Op., wenn ein Stresstest auf eine „okkulte“ Instabilität hinwies.

Frau „erspült“ sich ein Kubitaltunnelsyndrom

Beim Abwaschen wurden die Rückenschmerzen jedes Mal unerträglich. Eine 74-Jährige behalf sich mit einem Trick – und erreichte damit, dass ihr nun auch noch der Arm wehtat und die Finger kribbelten.

Update Orthopädie und Unfallchirurgie

Bestellen Sie unseren Fach-Newsletter und bleiben Sie gut informiert.

Bildnachweise
Arthropedia, Hinweisschild Notaufnahme/© huettenhoelscher / Getty images / iStock, Vorbereitung einer Knie-Operation/© Issara / stock.adobe.com (Symbolbild mit Fotomodell), Gebrochener Fuß im Gips/© Aleksandr Kirillov / stock.adobe.com (Symbolbild mit Fotomodell), Frau mit Schmerzen in der linken Hand/© Jacob Wackerhausen / Getty Images / iStock (Symbolbild mit Fotomodell)