Zum Inhalt

Free Kappa light chain in a sample of Egyptian multiple sclerosis patients (a pilot study)

  • Open Access
  • 01.12.2024
  • Research
Erschienen in:

Abstract

Background

Multiple sclerosis is a chronic autoimmune-mediated demyelinating disease of the central nervous system that is usually associated with varying degrees of progressive disability. Free Kappa light chain (FKLC) has attracted growing attention as a significant diagnostic marker of MS. Our aim was to study the diagnostic utility of cerebrospinal fluid free Kappa light chain and related indices in a sample of Egyptian MS patients vs. CSF IgG oligoclonal bands. It was a prospective case–control study of MS patients carried in our hospital during the period from January 2021 till January 2022. Our study carried on 30 patients with multiple sclerosis and other inflammatory neurologic diseases and 20 age and sex matched controls. The study measured FKLC in the CSF and serum sample pairs of patients and control group. Indices calculated using FKLC measured in CSF and serum included; FKLC index, FKLC intrathecal fraction and quotient of FKLC. Indices were used to assess intrathecal synthesis of FKLC considering blood–CSF barrier function. Receiver operating characteristic curve analysis was used to determine diagnostic performance of FKLC and related indices in comparison to CSF–OCB testing.

Results

Measured FKLC levels as well as its calculated indices have shown statistically significant higher values among MS patients against OIND patients and healthy control group. Both FKLC index and FKLC IF were similarly showing 100% diagnostic sensitivity and 100% diagnostic specificity for MS diagnosis.

Conclusions

FKLC biomarkers are proposed to be highly sensitive and easy to detect first-line markers of intrathecal immunoglobulin synthesis with accurate performance and low cost that might prove to be promising diagnostic markers of MS.

Publisher's Note

Springer Nature remains neutral with regard to jurisdictional claims in published maps and institutional affiliations.
ADEM
Acute disseminated encephalo-myelitis
ANOVA
Analysis of variance
APS
Antiphospholipid syndrome
ARR
Annualized relapse rate
AUC
Area under curve
CSF
Cerebro-spinal fluid
CIS
Clinically isolated syndrome
CNS
Central nervous system
DMD
Disease modifying drugs
EDSS
Expanded disability status scale
FKLC
Free Kappa light chain
FKLC IF
Free Kappa light chain intrathecal fraction
FLLC
Free Lambda light chain
HS
Highly significant
MRI
Magnetic resonance imaging
MS
Multiple sclerosis
NMO
Neuromyelitis optica
NPV
Negative predictive values
NS
Non-significant
OIND
Other inflammatory neurologic diseases
OCBs
Oligoclonal bands
PPV
Positive predictive values
PPMS
Primary progressive multiple sclerosis
Q FKLC
Quotient of FKLC
ROC
Receiver operating characteristic
RRMS
Relapsing–remitting multiple sclerosis
S
Significant
SD
Standard deviation
SLE
Systemic lupus erythematosus

Background

Multiple sclerosis (MS) is the most frequent chronic inflammatory demyelinating disease in young adults leading to long term disability. The disease is characterized by inflammation in different regions of the central nervous system which is called dissemination in space. Furthermore, inflammation of the central nervous system has to be recurring which is called dissemination in time. It is considered a complex disorder result from interplay of environmental and genetic factors [1].
Analysis of CSF allows an evaluation of inflammatory processes circumscribed to the CNS and reflects changes in the immunological pattern due to the progression of the pathology [2]. The presence of both magnetic resonance imaging (MRI) criteria for dissemination in space and CSF-specific oligoclonal IgG bands (OCB) will enable to establish the MS diagnosis in patients with a single clinical episode suggestive of central nervous system inflammatory demyelinating disease. However, the assessment of OCB is labor-intensive, requires trained personnel, and is in some cases examiner- and method-dependent, which may affect its reliability [3].
Normally, immunoglobulin light chains are produced by B cells in excess of heavy chains. While majority of light chains are bound to heavy chains to create complete immunoglobulins, small amounts of light chains remain unbound ‘free’ and are secreted as so-called free light chains (FLC). FLCs exist as two isotypes (Kappa or Lambda). Both isotypes are found in different body fluids, including serum, CSF, urine, saliva, tears, and synovial fluid. The physiological levels of FLCs are low, but under various pathological conditions, these levels may be abnormally high [4].
Several studies have indicated that elevated Free Kappa light chain (FKLC) and Free Lambda light chain (FLLC) in the CSF may represent a quantitative tool to demonstrate intrathecal IgG synthesis and thereby support the diagnosis of MS [5]. The considerable methodological advantages as a fast, time- and labor-saving, rater-independent and reliable method [6] make it likely that the FKLC may be used in the future as a screening test and in certain constellations OCB as a confirmation test, for example, in case of borderline FLC results, as already implemented by some clinical laboratories [7]. Moreover, it has been reported that both FKLC index and FKLC IF could help diagnose OCB negative MS [8], or could help diagnosing IgA or IgM OCB positive MS [9] and could identify intrathecal immunoglobulin synthesis in patients presenting with one isolated band on isoelectric focusing [10].
Comparability between the published studies on FKLC in MS is limited due to different methodologies, including immunoassay principles used to assess FLC, selection of patients and controls, in addition to divergent approaches used to calculate intrathecal FLC synthesis and lack of defined cutoff of FLC indices [3].
We aimed to study the diagnostic utility of free Kappa light chain and its related indices in a sample of Egyptian MS patients compared to the current gold standard prove of intrathecal IgG synthesis, the CSF oligoclonal bands (OCBs).

Methods

This was a case–control (pilot study) of patients attending the MS unit, Neurology Department at Ain Shams University Hospitals. The study was carried out after the approval of Ethical committee (000017585). The study included 30 unselected patients with symptoms suggestive of MS (mean age: 30.13 ± 6.85, 8 males and 22 females). In addition, 20 age and sex matched volunteers, without current or previous neurological symptoms or signs, as controls (mean age 31.4 ± 6.96, 5 males and 15 females). Consent was obtained from the patients prior to enrolment in the study and they were informed about the aim and methodology and they had agreed to participate in the study.
Diagnosis of enrolled cases was prospectively made in Neurology Department based on clinical presentation, MRI protocol for MS, and CSF OCBs test results and according to the revised McDonald criteria 2017. Of the entire cohort, 21 patients (70%) were diagnosed with MS, including 18 RRMS (60%) and 3 PPMS patients (10%), 4 patients were diagnosed with CIS (13.3%), in whom, brain and spinal magnetic resonance performed at the time of diagnosis did not fulfill criteria for dissemination in space, yet, CSF–OCBs were positive in 2 cases and negative in 2 cases. Accordingly, these 4 cases were considered as having CIS after exclusion of other differential diagnoses, 5 patients (16.7%) were diagnosed as having other inflammatory neurologic diseases (OINDs), which involved only CNS disorders excluding peripheral neurologic diseases, infections and tumors, so that the group was as close as possible to clinical and/or radiologic MS mimickers. This group included two patients with Neuromyelitis optica (NMO) diagnosed by typical radiological findings and one of the two patients was seropositive for aquaporin-4 antibody, while the second was seronegative, one patient was diagnosed as acute disseminated encephalomyelitis (ADEM) who had typical radiological findings, one patient had antiphospholipid syndrome (APS) with positive clinical and laboratory data and one patient had systemic lupus erythematosus (SLE) with positive clinical and laboratory data.
Two ml of CSF were collected from all subjects included in this study under complete aseptic conditions. The CSF samples were stored at < − 20 °C till time of assay. OCBs in CSF samples were detected by isoelectric focusing with immunofixation using Sebia device (provided by Parc Technologique Leonard de Vinci CP 8010 Lisses 91008 EVRY Cedex-France). Quantitation of FKLC in CSF and serum was performed by nephelometry using BN ProSpec with the FLC immunoassay kit (N Latex FLC Kappa, Siemens, Erlangen, Germany). Measurements of serum and CSF albumin were performed on Cobas 311 autoanalyzer (Roche).
To evaluate intrathecal synthesis of FKLC, the following indices were utilized through applying the following formulas; (1) Quotient of FKLC (Q FKLC) = CSF FKLC/serum FKLC. (2) FKLC index = (CSF FKLC/Serum FKLC)/(CSF albumin/Serum albumin) [11]. (3) FKLC intrathecal fraction (FKLC IF) = FKLC Loc/CSF FKLC × 100 or = (1-FKLC Lim/FKLC Ratio) × 100 [12].
Statistical analysis of data: The collected data were revised, coded, tabulated and introduced to a PC using Statistical Package for Social Science (SPSS) (IBM Corp. Released 2011. IBM SPSS Statistics for Windows, Version 20.0 Armonk, NY: IBM Corp). Data were presented and suitable analysis was done according to the type of data obtained for each parameter. Logistic regressions were implemented for each population to obtain the ROC curves used to measure the diagnostic capacity (area under the curve [AUC], 95% CI) of the different FLC biomarkers. The probability of error at 0.05 was considered significant, while at 0.01 and 0.001 were considered highly significant.

Results

Descriptive statistics. Data of patients as regards patients age and sex in Table 1, clinical presentation; MRI findings and CSF–OCB are shown in Table 2. Definite diagnoses made among patients are shown in Table 3.
Table 1
Demographic data of patients and control group
 
Group
p value–(test of significance)
Cases (30)
Control (20)
Mean ± SD
Mean ± SD
Sex
Male
8 (26.67%)
5 (25%)
0.895 (c)
Female
22 (73.33%)
15 (75%)
Age
30.13 ± 6.85
31.4 ± 6.96
0.528 (T)
(c)Chi square test
(T)Student T test
Table 2
Descriptive statistics of patients as regards clinical presentation, MRI findings and CSF–OCB test results
Patients group (n = 30)
Number
%
Clinical presentation
Numbness
13
43.3
Optic neuritis
12
40
Weakness
9
30.0
Ataxia
3
10.0
Psychiatric manifestations
2
6.7
MRI
Periventricular lesions
22
73.3
Juxta-cortical lesions
11
36.7
Spinal cord lesions
7
23.3
Infra-tentorial lesions
3
10.0
Parietal lesions
1
3.3
Cerebellar lesions
1
3.3
CSF–OCBs
Positive
24
80.0
Negative
6
20.0
MRI: Magnetic resonance imaging
CSF–OCBs: Oligoclonal bands
Table 3
Definite diagnoses among patients
Group
Number of patients (%)
Diagnosis: n (%)
MS
21 (70%)
RRMS: n = 18 (60%)
PPMS: n = 3 (10%)
CIS
4 (13.3%)
Myelitis: n = 2 (6.6%)
Optic neuritis: n = 1(3.3%)
Infratentorial attack: n = 1 (3.3%)
OIND
5 (16.7%)
NMO: n = 2 (6.7%)
SLE: n = 1 (3.3%)
ADEM: n = 1 (3.3%)
APS: n = 1(3.3%)
CIS: Clinically isolated syndrome
MS: Multiple sclerosis
OIND: Other inflammatory neurologic diseases
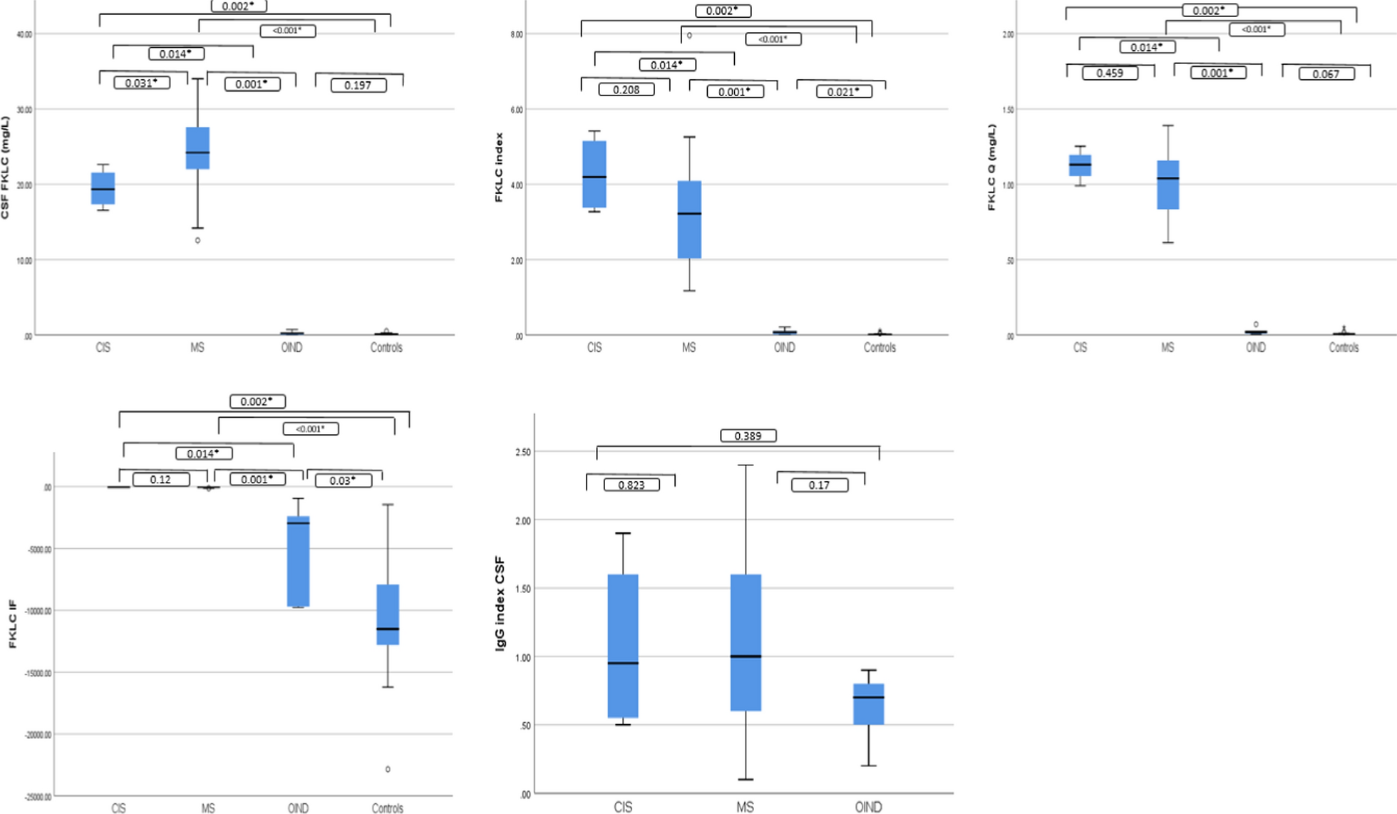
Comparative statistics. CSF–FKLC levels and indices (Q FKLC, FKLC index and FKLC IF) have shown statistically highly significant higher values in MS patients than control group (Table 4, Fig. 1).
Table 4
Comparison of CSF–FKLC biomarkers between MS patients and control group
 
MS (n = 21)
Controls (n = 20)
p value–(test of significance)
Median (IQR) n (%)
Median (IQR) n (%)
p value
Sig
CSF FKLC
24.21 (22–27.6)
0.13 (0.05–0.19)
0.001(M)
S
FKLC Q (mg/L)
1.04 (0.83–1.16)
0.01 (0.01–0.01)
0.001(M)
S
FKLC index
3.22 (2.03–4.09)
0.01 (0.01–0.02)
0.001(M)
S
FKLC IF
− 61.86 (− 83.31–54.1)
− 11,512.41 (− 12,813.72–7926.33)
0.001(M)
S
(M)Mann–Whitney test of significance. MS: Multiple sclerosis
CSF FKLC: Cerebro-spinal fluid free Kappa light chain. FKLC Q: Free Kappa light chain intrathecal fraction quotient. FKLC IF: Free Kappa light chain intrathecal fraction
p value: level of significance:  > 0.05: Non-significant (NS);  < 0.05: Significant (S);  < 0.01: Highly significant (HS)
Fig. 1
Comparison of the KFLC biomarkers values in all studied groups
Bild vergrößern
Furthermore, both MS and CIS groups were compared to OINDs group as regards FKLC biomarkers, CSF IgG index and CSF–OCB positivity. MS patients presented significantly higher levels of FKLC biomarkers (CSF–FKLC levels and related indices), as well as CSF–OCB positivity when compared to OIND patients, meanwhile, IgG index has shown no difference (Table 5). Similar results were also presented by CIS group when compared to the OINDs group, apart from CSF–OCB positivity which, similar to IgG index, has shown no significant difference between CIS and OINDs (Table 6, Fig. 1).
Table 5
Comparison between MS and OIND patients as regards FKLC biomarkers, IgG index and OCB
 
MS (n = 21)
OINDs (n = 5)
p value–(test of significance)
Median (25th–75th percentile) n (%)
Median (25th–75th percentile) n (%)
p value
Sig
CSF FLKC
24.21 (22–27.6)
0.26 (0.07–0.35)
0.001(M)
S
IgG index CSF
1 (0.6–1.6)
0.7 (0.5–0.8)
0.17(M)
NS
Q FLKC (mg/L)
1.04 (0.83–1.16)
0.02 (0.01–0.02)
0.001(M)
S
FKLC index
3.22 (2.03–4.09)
0.08 (0.02–0.1)
0.001(M)
S
FKLC IF
− 61.86 (− 83.31–54.1)
− 2967.17 (− 9702.33–2397.17)
0.001(M)
S
(OCB)
Negative
0 (0%)
4 (80%)
< 0.001(F)
HS
Positive
21 (100%)
1 (20%)
(M)Mann–Whitney test of significance. (F)Fisher’s exact test of significance
OIND: Other inflammatory neurologic diseases. MS: Multiple sclerosis
CSF FKLC: Cerebro-spinal fluid free Kappa light chain. FKLC Q: Free Kappa light chain intrathecal fraction quotient. FKLC IF: Free Kappa light chain intrathecal fraction OCBs: Oligoclonal bands
p value: level of significance:  > 0.05: Non-significant (NS);  < 0.05: Significant (S);  < 0.01: Highly significant (HS)
Table 6
Comparison between CIS and OINDs cases as regards, FKLC biomarkers, IgG index and OCB
 
CIS (n = 4)
OINDs (n = 5)
p value–(test of significance)
Median (25th–75th percentile) n (%)
Median (25th–75th percentile) n (%)
p value
Sig
CSF FLKC
19.34 (17.36–21.57)
0.26 (0.07–0.35)
0.014(M)
S
IgG index CSF
0.95 (0.55–1.6)
0.7 (0.5–0.8)
0.389(M)
NS
Q FLKC (mg/L)
1.13 (1.06–1.2)
0.02 (0.01–0.02)
0.014(M)
S
FKLC index
4.19 (3.38–5.15)
0.08 (0.02–0.1)
0.014(M)
S
FKLC IF
− 55.75 (− 58.22–50.48)
− 2967.17 (− 9702.33–2397.17)
0.014(M)
S
(OCB)
Negative
2 (50%)
4 (80%)
0.524(F)
NS
Positive
2 (50%)
1 (20%)
(M)Mann–Whitney test of significance. (F)Fisher’s exact test of significance
OIND: Other inflammatory neurologic diseases. CIS: Clinically isolated syndrome
CSF FKLC: Cerebro-spinal fluid free Kappa light chain. OCBs: Oligoclonal bands
FKLC Q: Free Kappa light chain intrathecal fraction quotient. FKLC IF: Free Kappa light chain intrathecal fraction
p value: level of significance:  > 0.05: Non-significant (NS);  < 0.05: Significant (S);  < 0.01: Highly significant (HS)
Comparative tests were also applied to assess if any difference could be obtained between MS vs. CIS cases, results have revealed that MS cases were having significantly higher values of CSF–FKLC but none of the related indices has shown that. Also, positivity for CSF–OCB was significantly more prevalent among MS than CIS cases (Table 7, Fig. 1).
Table 7
Comparison between MS and CIS cases as regards, FKLC biomarkers, IgG index and OCB
 
MS (n = 21)
CIS (n = 4)
p value–(test of significance)
Median (25th–75th percentile) n (%)
Median (25th–75th percentile) n (%)
p value
Sig
CSF FKLC
24.21 (22–27.6)
19.34 (17.36–21.57)
0.031(M)
S
IgG index CSF
1 (0.6–1.6)
0.95 (0.55–1.6)
0.823(M)
NS
Q FLKC (mg/L)
1.04 (0.83–1.16)
1.13 (1.06–1.2)
0.459(M)
NS
FKLC index
3.22 (2.03–4.09)
4.19 (3.38–5.15)
0.208(M)
NS
FKLC IF
− 61.86 (− 83.31–54.1)
− 55.75 (− 58.22–50.48)
0.12(M)
NS
(OCB)
Negative
0 (0%)
2 (50%)
0.02(F)
S
Positive
21 (100%)
2 (50%)
(M)Mann–Whitney test of significance. (F)Fisher’s exact test of significance
MS: Multiple sclerosis. CIS: Clinically isolated syndrome OCBs: Oligoclonal bands
CSF FKLC: Cerebro-spinal fluid free Kappa light chain. FKLC Q: Free Kappa light chain intrathecal fraction quotient
FKLC IF: Free Kappa light chain intrathecal fraction
p value: level of significance:  > 0.05: Non-significant (NS);  < 0.05: Significant (S);  < 0.01: Highly significant (HS)
Of note, OIND group was also compared to healthy controls, FKLC index and FKLC IF have presented significantly higher values vs. controls. On the other hand, neither the CSF–FKLC level nor the Q FKLC presented any significant difference between the two groups (Table 8, Fig. 1).
Table 8
Comparison between controls and OIND cases as regards FKLC biomarkers
 
Controls (n = 20)
OINDs (n = 5)
p value
Test of significance
Median (25th–75th percentile) n (%)
Median (25th–75th percentile) n (%)
p value
Sig
CSF FLKC
0.13 (0.05–0.19)
0.26 (0.07–0.35)
0.197(M)
NS
FLKC Q (mg/L)
0.01 (0.01–0.01)
0.02 (0.01–0.02)
0.067(M)
NS
FKLC index
0.01 (0.01–0.02)
0.08 (0.02–0.1)
0.021(M)
S
FKLC IF
− 11,512.41 (− 12,813.72–7926.33)
− 2967.17 (− 9702.33–2397.17)
0.03(M)
S
(M)Mann–Whitney test of significance. OIND: Other inflammatory neurologic diseases
CSF FKLC cerebro-spinal fluid free Kappa light chain, FKLC Q free Kappa light chain intrathecal fraction quotient, FKLC IF free Kappa light chain intrathecal fraction
p value: level of significance:  > 0.05: Non-significant (NS);  < 0.05: Significant (S);  < 0.01: Highly significant (HS)
Inspecting differences as regards CSF FKLC biomarkers and IgG index among MS subtypes and CIS cases, has shown that CSF–FKLC levels were statistically significantly higher in RRMS vs. PPMS and CIS patients. Regarding IgG index, as well as FKLC indices, no statistically significant differences were found between the 3 former subgroups (RRMS, PPMS and CIS) (Table 9).
Table 9
Comparison of IgG index, FKLC levels and related indices among RRMS, PPMS and CIS cases
MS cases (n = 25)
MS subtypes
CIS
Kruskal–Wallis test
RRMS (n = 18)
PPMS (n = 3)
CIS (n = 4)
Median (25th–75th percentile)
Median (25th–75th percentile)
Median (25th–75th percentile)
p value
CSF FKLC (mg/L)
25 (22.7–28.42)*
20.66 (12.56–20.71)
19.34 (17.36–21.57)
0.005(K1)
CSF IgG index
1.05 (0.6–1.6)
0.5 (0.5–1.9)
0.95 (0.55–1.6)
0.731
Q FKLC
1.03 (0.83–1.18)
1.08 (0.61–1.14)
1.13 (1.06–1.2)
0.618
FKLC index
3.36 (2.08–4.64)
1.73 (1.18–4.04)
4.19 (3.38–5.15)
0.233
FKLC IF
− 60.7 (− 71–54.1)
− 83.31 (− 133.66–53.96)
− 55.75 (− 58.22–50.48)
0.208
(K)Kruskal–Wallis test
*Post-hoc test was significant between:
(K1)RRMS group vs. both (CIS and PPMS groups)
p value: level of significance:  > 0.05: Non-significant (NS);  < 0.05: Significant (S);  < 0.01: Highly significant (HS)
RRMS relapsing–remitting multiple sclerosis, PPMS primary progressive multiple sclerosis, CIS clinically isolated syndrome, CSF FKLC cerebro-spinal fluid free Kappa light chain, FKLC Q free Kappa light chain intrathecal fraction quotient, FKLC IF free Kappa light chain intrathecal fraction
Diagnostic performance of FKLC biomarkers. ROC curves were established to select optimal cutoff values of FKLC biomarkers discriminating MS from healthy controls and to assess the overall diagnostic performance of FKLC biomarkers. The curves were also applied to obtain best cutoff points of FKLC biomarkers discriminating MS from OINDs, which can mimic MS presentation, and to compare their performance to OCBs, being the gold standard test in MS diagnosis.
The best cutoff points of CSF FKLC, Q FKLC, FKLC index and FKLC IF to discriminate MS from healthy controls were found to be (> 0.513 mg/L, > 0.051, > 0.121, > − 1457.85, respectively) with 100% calculated sensitivity and 100% calculated specificity with positive and negative predictive values of 100% for each [area under curve (AUC) = 1, for each] (Fig. 2).
Fig. 2
Roc curves to assess diagnostic performances of FKLC biomarkers in separating MS (n = 21) from healthy controls (n = 20)
Bild vergrößern
Moreover, we inspected the best cutoff values of CSF FKLC, Q FKLC, FKLC index and FKLC IF for differentiating MS against OIND group, and were found to be > 0.737 mg/L, > 0.071, > 0.209, > − 948.02, respectively. By comparing FKLC biomarkers to the established laboratory marker of work up of MS, namely, the CSF–OCBs (being the gold standard lab test for MS), all FKLC biomarkers assessed in the present study turned out to have diagnostic sensitivities and negative predictive values similar to that obtained by CSF–OCB (100% for each). On the other hand, CSF–FKLC and the related indices have shown to be of higher diagnostic specificities and positive predictive values (100% and AUC equal to 1 for each) vs. OCB which has shown a diagnostic specificity and a positive predictive value of 80% and 95%, respectively (Fig. 3).
Fig. 3
Roc curves to assess diagnostic performances of FKLC biomarkers and IgG index in separating MS (n = 21) from OINDs (n = 5)
Bild vergrößern
Moreover, we have checked diagnostic performance of IgG index in discriminating MS from OINDs. At the best cut off point (> 0.9), IgG index has shown 100% diagnostic specificity; however, the sensitivity was 52.4% with the positive and negative predictive values of 100% and 33.3%, respectively (AUC = 0.7) (Fig. 3).

Discussion

Multiple sclerosis (MS) is the most common non-traumatic disabling disease affecting young adults [13]. Given its highly variable clinical course, an unmet need for objective diagnostic assessment in MS persists [14].
OCB detection reflects intrathecal B-cell activity, which are critical but nonspecific effector cells in MS. Nevertheless, the level of intrathecal B-cell activity could be an exciting field of research to separate MS from other CNS inflammatory diseases and target treatment. As OCB are a qualitative biomarker, their detection does not permit quantification of the intrathecal B-cell activity. Moreover, isoelectric focusing is a time-consuming procedure that requires an experienced biologist to provide reliable results [15]. Free light chains in the CSF may represent a quantitative tool to demonstrate intrathecal IgG [5]. In the last decade, FKLCs in the CSF have emerged as a new biomarker in MS [16]. However, a strong consensus on its role in MS is still lacking [6]. We examined a total of 50 individuals for CSF FKLC levels and related indices, who were categorized as MS, CIS, and OIND groups in addition to healthy control group.
MS vs. healthy control and OIND groups. Patients with MS showed significantly elevated CSF FKLC levels as compared to healthy control and OIND groups. With regards to FKLC indices, MS group has also presented significantly higher values for all indices vs. controls and OIND. Our results confirm with previous results described by Zeman et al. in 2016 [17], Crespi et al. in 2017 [18], Senel et al. in 2019 [5], Duell et al. 2020 [11]. Ferraro et al. in 2020 [8], and Levraut et al. in 2023 [15]. With this regards, Machado-Santos et al. 2018 [19] have reported the presence of evidences that CNS B-cell activity is higher in MS than in other autoimmune disorders, as pointed out by pathologic analyses, showing a substantial perivascular B-cell infiltrate in MS compared with other inflammatory diseases [16]. Levraut et al. in 2023 have also reported that the high level of FKLC and indices in patient group vs. disease control group is expected, based on the growing evidence that CNS B cell activity is increased in MS with increased intrathecal synthesis of FKLC [15].
Comparing MS to OIND patients as regards the established markers of the work-up of MS: the IgG index and IEF for CSF–OCB, only the OCB was more prevalent among MS cases. Meanwhile, the IgG index has shown no significant difference, in contrast to CSF–FKLC and indices, as mentioned before. A finding which might point to a possible superior clinical impact of FKLC metrics over IgG index in MS diagnosis vs. other mimics. Our results are corroborated by other authors Crespi et al. who demonstrated that FKLC index turns out as superior to IgG index concerning sensitivity, positive and negative predictive values in MS diagnosis. Nevertheless, this point still warrants further studies on larger scales [18, 20].
CIS vs. OIND group. OCBs offer prognostic information concerning the development of MS after a first clinical suggestive event, the CIS. In these cases, detection of OCBs is clinically relevant and can help to identify patients with a high risk of future relapses [21]. Therefore, among our studied groups, CIS cases were also compared vs. OINDs for FKLC metrics as well as IgG index. CSF–FKLC levels and the calculated indices were all significantly higher in CIS cases than OIND patients, which goes in line with other studies [5, 15]. In contrast to FKLC metrics, IgG index failed to reveal any significant difference between our CIS and OIND groups. Similar to IgG index, the CSF–OCBs, which have shown no significantly increased prevalence in CIS compared to OIND. Our results are thus showing that FKLC metrics are still significantly differentiating CIS patients from those presenting with OINDs that could not be achieved by IgG index or OCB. Crespi et al. in 2019 reported that the FKLC index is more efficient than the IgG index as a quantitative test for intrathecal synthesis [17].
MS vs. CIS group. Viewing MS vs. CIS groups has demonstrated comparable results as regards FKLC indices but not the CSF–FKLC levels which were significantly higher among our MS than CIS cases. Partially similar to our results, are what have been reported by Leurs et al. in 2020 [3], and Levraut et al. in 2023 [15], who also found increased CSF–FKLC concentrations in MS than CIS patients, but in contrast to our study, they reported that the significant increase was also involving FKLC indices, which had also been reported in earlier studies by Senel et al. in 2014 [22], Presslauer et al. in 2016 [23], and Leurs et al. in 2020 [3], concerning the FKLC Q and KLC index. On the other hand, CSF–FKLC levels demonstrated comparable values between MS and CIS in a study published by Senel and co-authors in 2019 [5]. The difference between our results and other studies could be attributed to the small number included in our study, and could also be due to different methods used in assay of FKLC in different studies.
As regards the established lab markers in MS, OCB status showed higher percentage of positivity in our MS than CIS cases, however, IgG index was comparable between both groups [15] demonstrated a significantly higher percent of OCB positivity and significantly higher values of IgG index among their MS group than their CIS cases. The comparable values of IgG index in our study might be due to the limited number of cases included in the study, but, since it has been repeatedly reported that IgG index is known to be less sensitive in patients with MS than OCB [24], our finding is not assumed to be an unexpected one.
Healthy controls vs. OIND. The finding that FKLC index and FKLC IF have presented significantly higher values in OIND patients vs. healthy controls, excluding FKLC levels, we could point to superiority of indices against absolute values of FKLC in reflecting intrathecal immunoglobulin synthesis even in OINDs patients as they still maintain an ongoing intrathecal B cell activity, even if less pronounced than MS, nevertheless, is still higher than normal individuals. Our explanation is based on what has been reported in many reports as for example, Leurs et al. in 2020 who have reported that, similar as for the OCB, FKLCs indices can be elevated in inflammatory controls [3].
Diagnostic performance of CSF–FKLC metrics vs. IgG index and OCB. At best cutoff points differentiating MS from normal, diagnostic performances of CSF–FKLC and related indices were tested. FKLC biomarkers equally performed well as regards diagnostic sensitivity, specificity, NPV and PPV (100% each).
Studying diagnostic performance of OCB in differentiating MS from OINDs has shown a sensitivity and a NPV of 100% each, while the diagnostic specificity was 80% with a PPV of 95.5%. Various studies reported different OCBs specificities ranging from (82–94%) and sensitivities ranging from (82–98%) by Falip et al. in 2001 [25], Masjuan et al. in 2006 [26], Christiansen et al. in 2019 [27], and Ferraro et al. in 2020 [28], which are in line with our study, in the aspect that our study and others are all showing a relatively higher sensitivity and NPV than the specificity and the PPV of OCB as regards diagnosis of MS. The slightly lower specificity in our study than the reported range in the above-mentioned previous studies may be due to inclusion of OINDs as a disease control vs. MS, combined with another factor that is the limited number of patients included in this group. In support of this explanation, is a meta-analysis published in 2013, including 13,467 patients, which showed that the diagnostic specificity of OCB diminished if other inflammatory etiologies were considered [29].
With regard to FKLC and related indices at best cutoff points differentiating MS from OINDs, all parameters were presenting sensitivities, specificities, NPVs and PPVs of 100%. The meta-analysis study by Hegen et al. in 2022, has demonstrated that the FKLC IF had a diagnostic sensitivity ranging from 66 to 100% (average: 93%) and a specificity from 53 to 100% (average: 84%), which supports our result [6].
Moreover, we compared diagnostic performance of IgG index vs. FKLC metrics at best cutoff points to discriminate MS from OINDs, which has revealed comparable performance of both with regards to diagnostic specificities and PPVs (100%, each). In contrast, the diagnostic sensitivity and NPV of IgG index were significantly lower (52.4% and 33.3%, respectively) than those presented by FKLC metrics under study (100% each). Rosenstein and co-authors (2021) have reported better diagnostic specificity and sensitivity of FKLC index and FKLC IF than IgG index [30].
As shown in our study, the FKLC measures applied (CSF–FKLC concentration, FKLC index, FKLC IF and FKLC Q) show no difference in diagnostic accuracy. Multiple studies applied comparisons between different FKLC measures (CSF–FKLC concentration, FKLC IF and FKLC index). These studies have also shown similar diagnostic accuracy between all the used measures, however, as has been analysed by Hegen and colleagues, the statistical power for the comparison with the most employed studies was already less than 80% which yet cannot exclude the superiority of one over the other which requires further exploration [6].
Focusing on MS phenotype among our cases, RRMS presented with higher CSF–FKLC levels than PPMS, which was also higher in RRMS when compared to CIS. With regards to indices, FKLC index and FKLC IF were noticed to be higher in RRMS than PPMS but the difference did not reach a statistically significant level. A study by Rosenstein and colleagues 2021 [30] has reported a higher FKLC-index in RRMS than PPMS, however, statistical significance was borderline (p = 0.05). Moreover, a previous study by Levraut et al. in 2023 [15] has demonstrated that CSF FKLC were not statistically different between progressive MS and RRMS but both MS subgroups presented with higher CSF FKLC concentrations than CIS patients, and that RRMS presented with higher FKLC index and FKLC IF than progressive MS and CIS.

Conclusion

We report an elevation of CSF–FKLC and its related indices among MS patients that is significantly differentiating the disease against OINDs. Furthermore, our results show that FKLC calculated indices had similar diagnostic accuracy in MS. Being an automated, fast and rater-independent method, the present study, which goes in corroboration to earlier studies still encourages a potential diagnostic value of CSF–FKLC metrics in MS and also in CIS, although the sample size in this study is relatively small and necessitates validation in a larger patient population.

Acknowledgements

Not applicable.

Declarations

This manuscript was approved from the local Ethical Committee of Faculty of medicine, Ain shams university FWA (000017585). The faculty of medicine, Ain shams university research ethics committee certifies that this observation research of minimal risk extracted from a master thesis, is approved from ethical point of view. All patients signed consents by themselves to use their tests in research purposes.
Not applicable.

Competing interests

None (The authors declare that they have no competing interests).
Open Access This article is licensed under a Creative Commons Attribution 4.0 International License, which permits use, sharing, adaptation, distribution and reproduction in any medium or format, as long as you give appropriate credit to the original author(s) and the source, provide a link to the Creative Commons licence, and indicate if changes were made. The images or other third party material in this article are included in the article's Creative Commons licence, unless indicated otherwise in a credit line to the material. If material is not included in the article's Creative Commons licence and your intended use is not permitted by statutory regulation or exceeds the permitted use, you will need to obtain permission directly from the copyright holder. To view a copy of this licence, visit http://creativecommons.org/licenses/by/4.0/.

Publisher's Note

Springer Nature remains neutral with regard to jurisdictional claims in published maps and institutional affiliations.
Download
Titel
Free Kappa light chain in a sample of Egyptian multiple sclerosis patients (a pilot study)
Verfasst von
Abeer Elsayed Aly Shehab
Salwa Ibrahim Bakr
Rasha Mamdouh Saleh
Dina Aly Ragab
Maryam Gamal Salem
Mohamed Aly Abdel Hafeez
Publikationsdatum
01.12.2024
Verlag
Springer Berlin Heidelberg
DOI
https://doi.org/10.1186/s41983-024-00904-x
1.
Zurück zum Zitat Schwenkenbecher P, Wurster U, Konen F, Gingele S, Sühs K, Wattjes M, et al. Impact of the McDonald criteria 2017 on early diagnosis of relapsing-remitting multiple sclerosis. Front Neurol. 2019;10:188.CrossRefPubMedPubMedCentral
2.
Zurück zum Zitat Sasso B, Agnello L, Bivona G, Bellia C, Ciaccio M. Cerebrospinal fluid analysis in multiple sclerosis diagnosis: an update. Medicina (Kaunas). 2019;55(6):245.CrossRefPubMed
3.
Zurück zum Zitat Leurs E, Twaalfhoven H, Lissenberg-Witte I, Van Pesch V, Dujmovic I, Drulovic J, et al. Kappa free light chains is a valid tool in the diagnostics of MS: a large multicenter study. Mult Scler. 2020;26(8):912–23.CrossRefPubMed
4.
Zurück zum Zitat Kaplan B, Ganelin-Cohen E, Golderman S, Livneh A. Diagnostic utility of kappa free light chains in multiple sclerosis. Expert Review Mol Diagn. 2019;19(4):277–9.CrossRef
5.
Zurück zum Zitat -Senel M, Mojib-Yezdani F, Braisch U, Bachhuber F, Lewerenz J, Ludolph A, et al. CSF free light chains as a marker of intrathecal immunoglobulin synthesis in multiple sclerosis: a blood-CSF barrier related evaluation in a large cohort. Front Immunol. 2019; 10.
6.
Zurück zum Zitat Hegen H, Walde J, Berek K, Arrambide G, Gnanapavan S, Kaplan B, et al. Cerebrospinal fluid kappa free light chains for the diagnosis of multiple sclerosis: a systematic review and meta-analysis. Mult Scler J. 2022;29(2):169–81.CrossRef
7.
Zurück zum Zitat Saadeh RS, Bryant SC, McKeon A, Weinshenker B, Murray DL, Pittock SJ, et al. CSF kappa free light chains: cutoff validation for diagnosing multiple sclerosis. Mayo Clin Proc. 2022;97(4):738–51.CrossRefPubMed
8.
Zurück zum Zitat Ferraro D, Trovati A, Bedin R, Natali P, Franciotta D, Santangelo M, et al. Cerebrospinal fluid free light kappa and lambda chains in oligoclonal band-negative patients with suspected Multiple Sclerosis. Eur J Neurol. 2020;27:461–7.CrossRefPubMed
9.
Zurück zum Zitat Hannich M, Dressel A, Budde K, Petersmann A, Nauck M, Süße M. Kappa free light chains in the context of blood contamination, and other IgA- and IgM-related cerebrospinal fluid disease pattern. Cells. 2021;10(3):616.CrossRefPubMedPubMedCentral
10.
Zurück zum Zitat Süße M, Feistner F, Holbe C, Grothe M, Nauck M, Dressel A, et al. Diagnostic value of kappa free light chains in patients with one isolated band in isoelectric focusing. Clin Chim Acta. 2020;507:205–9.CrossRefPubMed
11.
Zurück zum Zitat Duell F, Evertsson B, Al Nimer F, Sandin Å, Olsson D, Olsson T, Hansson M. Diagnostic accuracy of intrathecal kappa free light chains compared with OCBs in MS. Neurol-Neuroimmunol Neuroinflammation. 2020; 7(4).‏
12.
Zurück zum Zitat Reiber H, Zeman D, Kušnierová P, Mundwiler E, Bernasconi L. Diagnostic relevance of free light chains in cerebrospinal fluid—the hyperbolic reference range for reliable data interpretation in quotient diagrams. Clin Chim Acta. 2019;497:153–62.CrossRefPubMed
13.
Zurück zum Zitat Kobelt G, Thompson A, Berg J. New insights into the burden and costs of multiple sclerosis in Europe. Mult Scler. 2017;23:1123–36.CrossRefPubMedPubMedCentral
14.
Zurück zum Zitat Pryce G, Baker D. Oligoclonal bands in multiple sclerosis; functional significance and therapeutic implications. Does the specificity matter? Mult Scler Relat Disea. 2018;25:131–7.CrossRef
15.
Zurück zum Zitat Levraut M, Laurent-Chabalier S, Ayrignac X, Bigaut K, Rival M, Squalli S, et al. Kappa free light chain biomarkers are efficient for the diagnosis of multiple sclerosis: a large multicenter cohort study. Neurol-Neuroimmunol Neuroinflammation. 2023; 10 (1).‏
16.
Zurück zum Zitat Konen F, Schwenkenbecher P, Jendretzky F, Gingele S, Sühs K-W, Tumani H, et al. The increasing role of kappa free light chains in the diagnosis of multiple sclerosis. Cells. 2021;10:3056.CrossRefPubMedPubMedCentral
17.
Zurück zum Zitat Zeman D, Kušnierová P, Švagera Z, Všianský F, Byrtusova M, Hradilek P, Bartoš V. Assessment of intrathecal free light chain synthesis: comparison of different quantitative methods with the detection of oligoclonal free light chains by isoelectric focusing and affinity-mediated immunoblotting. PLoS ONE. 2016;11(11):e0166556.CrossRefPubMedPubMedCentral
18.
Zurück zum Zitat Crespi I, Sulas M, Mora R, Naldi P, Vecchio D, Comi C, et al. Combined use of kappa free light chain index and isoelectrofocusing of cerebro-spinal fluid in diagnosing multiple sclerosis: performances and costs. Clin Lab. 2017;63(3):551–9.PubMed
19.
Zurück zum Zitat Machado-Santos J, Saji E, Troscher AR, Paunovic M, Liblau R, Gabriely G, et al. The compartmentalized inflammatory response in the multiple sclerosis brain is composed of tissue-resident CD8+ T lymphocytes and B cells. Brain. 2018;141(7):2066–82.CrossRefPubMedPubMedCentral
20.
Zurück zum Zitat Crespi I, Vecchio D, Serino R, Saliva E, Virgilio E, Sulas M, et al. K index is a reliable marker of intrathecal synthesis, and an alternative to IgG index in multiple sclerosis diagnostic work-up. J Clin Med. 2019;8(4):446.CrossRefPubMedPubMedCentral
21.
Zurück zum Zitat Huss AM, Halbgebauer S, Ockl P, Trebst C, Spreer A, Borisow N, et al. Importance of cerebrospinal fluid analysis in the era of McDonald 2010 criteria: a German-Austrian retrospective multicenter study in patients with a clinically isolated syndrome. J Neurol. 2016;263:2499–504. https://doi.org/10.1007/s00415-016-8302-1.CrossRefPubMedPubMedCentral
22.
Zurück zum Zitat Senel M, Tumani H, Lauda F, Presslauer S, Mojib-Yezdani R, Otto M, et al. Cerebrospinal fluid immunoglobulin kappa light chain in clinically isolated syndrome and multiple sclerosis. PLoS ONE. 2014;9(4): e88680.CrossRefPubMedPubMedCentral
23.
Zurück zum Zitat Presslauer S, Milosavljevic D, Huebl W, Aboulenein-Djamshidian F, Krugluger W, Deisenhammer F, et al. Validation of kappa free light chains as a diagnostic biomarker in multiple sclerosis and clinically isolated syndrome: a multicenter study. Mult Scler. 2016;22:502–10.CrossRefPubMed
24.
Zurück zum Zitat Zheng Y, Cai MT, Yang F, Zhou JP, Fang W, Shen CH. IgG index revisited: diagnostic utility and prognostic value in multiple sclerosis. Front Immunol. 2020;11:1799.CrossRefPubMedPubMedCentral
25.
Zurück zum Zitat Falip M, Tintore M, Jardi R, Duran I, Link H, Montalban X. Clinical usefulness of oligoclonal bands. Rev Neurol. 2001;32(12):1120–4.PubMed
26.
Zurück zum Zitat Masjuan J, Alvarez-Cermeno J, Garcia-Barragan N, Díaz-Sánchez M, Espiño M, Sadaba M, et al. Clinically isolated syndromes: a new oligoclonal band test accurately predicts conversion to MS. Neurology. 2006;66(4):576–8.CrossRefPubMed
27.
Zurück zum Zitat Christiansen M, Gjelstrup M, Stilund M, Christensen T, Petersen T, Møller H. Cerebrospinal fluid free kappa light chains and kappa index perform equal to oligoclonal bands in the diagnosis of multiple sclerosis. Clin Chem Lab Med (CCLM). 2019;57(2):210–20.CrossRef
28.
Zurück zum Zitat Ferraro D, Bedin R, Natali P, Franciotta D, Smolik K, Santangelo, Ferraro D, et al. Kappa Index versus CSF oligoclonal bands in predicting multiple sclerosis and infectious/inflammatory CNS disorders. Diagnostics. 2020;10(10):856.CrossRefPubMedPubMedCentral
29.
Zurück zum Zitat Petzold A. Intrathecal oligoclonal IgG synthesis in multiple sclerosis. J Neuroimmunol. 2013;262:1–10.CrossRefPubMed
30.
Zurück zum Zitat Rosenstein I, Rasch S, Axelsson M, Novakova L, Blennow K, Zetterberg H, et al. Kappa free light chain index as a diagnostic biomarker in multiple sclerosis: a real-world investigation. JNC. 2021;159(3):403–637.

Kompaktes Leitlinien-Wissen Neurologie (Link öffnet in neuem Fenster)

Mit medbee Pocketcards schnell und sicher entscheiden.
Leitlinien-Wissen kostenlos und immer griffbereit auf ihrem Desktop, Handy oder Tablet.

Neu im Fachgebiet Neurologie

Bluttest sagt Alzheimerbeginn vorher

  • 25.03.2026
  • Demenz
  • Nachrichten

Fällt ein Bluttest auf pTau im Alter von 60 Jahren positiv aus, blieben noch rund 21 Jahre bis zum Beginn einer Demenz. 70-Jährige haben noch 17 Jahre Zeit, 90-Jährige nur noch 5 Jahre. Darauf deuten Modellrechnungen basierend auf kontinuierlich erhobenen Blutuntersuchungen.

Zur Bedeutung von Angst und Depression vor manifestem Parkinson

Eine große italienische Studie ermöglicht interessante Einblicke in die zeitliche Dynamik von affektiven Störungen vor Ausbruch einer manifesten Parkinson-Erkrankung (PD). Demnach könnten Angst und Depression unter Umständen schon bis zu zehn Jahre vor der PD auftreten. Zugleich bleiben Fragen.

Warum suizidgefährdete Ärztinnen und Ärzte keine Hilfe suchen

Gedanken an eine Selbsttötung gehen Ärztinnen und Ärzten vergleichsweise häufig durch den Kopf. Hilfe wäre möglich, wird aber selten gesucht. Warum eigentlich?

Elektronische Heilberufsausweise: Kartenaustausch jetzt beauftragen

Ärzte und Psychotherapeuten mit einem neuen Heilberufsausweis der Generation 2.1 müssen diesen jetzt mitunter nochmals tauschen. Die KBV appelliert an die Betroffenen, der Aufforderung ihres Anbieters nachzukommen und umgehend eine Austauschkarte zu beantragen.

Update Neurologie

Bestellen Sie unseren Fach-Newsletter und bleiben Sie gut informiert.

Bildnachweise
Die Leitlinien für Ärztinnen und Ärzte, Depression Selbstmordgedanken Einsamkeit /© kinomaster / stock.adobe.com (Symbolbild mit Fotomodell), Junge Frau in Krankenhaus-Kleidung/© gpointstudio / Getty Images / iStock (Symbolbild mit Fotomodell)