Zum Inhalt

Homozygous Loss of Function PIK3CD Mutation in Multiple Siblings Leading To B Cell Dysregulation and Autoimmunity

  • Open Access
  • 01.12.2025
  • Research
Erschienen in:
download
DOWNLOAD
print
DRUCKEN
insite
SUCHEN

Abstract

Phosphatidylinositol 3-kinases (PI3Ks) are heterodimeric lipid kinases that are involved in a diverse array of cellular functions such as growth, metabolism, and migration. Mutations in PIK3CD, which encodes an immune-specific catalytic subunit of PI3K, cause both dominant (activating) and recessive (loss of function) immune deficiencies in humans. Here we report a family with three affected children carrying a novel bi-allelic, truncating mutation in PIK3CD. All three patients exhibited chronic diarrhea and recurrent sinopulmonary infections. Immunoblot confirmed loss of protein along with reduced expression of the associated p85α regulatory subunit. Immune phenotyping showed B cell dysregulation with abnormally high levels of naïve cells. In vitro functional testing of CD19 + and enriched naïve B cells revealed impaired proliferation, and reduction in class-switch recombination upon CD40L and IL-21 stimulation. Our data raise the possibility that PI3K-related dysregulation in human B cells may be broader than in mouse models, where class-switch recombination can still occur with external T cell help. Our study substantially increases the limited number of patients known to have immune deficiency due to loss of PIK3CD.

Publisher’s Note

Springer Nature remains neutral with regard to jurisdictional claims in published maps and institutional affiliations.

Introduction

Class IA Phosphatidylinositol 3-kinases (PI3Ks) are heterodimeric lipid kinases consisting of a catalytic subunit (p110α, p110β, or p110δ) that forms a constitutive association with a regulatory peptide (p85). While p110γ and p110β are widely expressed, leukocytes are the primary source of p110δ expression. Distinct functions for every single p110 isoform have been delineated, mirroring their varying modes of expression and the ways in which they bind to their corresponding receptors. Growth factor, costimulatory, cytokine, and antigen receptors can all activate p110δ, which is highly expressed in both lymphocytes and myeloid cells [1]. PI3Kδ, which consists of p85α (encoded by PIK3R1) and p110δ (encoded by PIK3CD), operates at the leukocyte plasma membrane. It responds to antigen and cytokine receptor stimulation by phosphorylating phosphatidylinositol 4,5-bisphosphate (PIP2) to produce PIP3. This secondary messenger initiates diverse cascades that involve PDK1, AKT, mTOR and downstream targets such as FOXO1, which then contribute to the metabolic and transcriptional alterations needed for lymphocyte proliferation, differentiation, and effector functions [2, 3].
PI3K plays a role in both innate and adaptive immunity. In the former it promotes inflammation in human neutrophils after chemotactic peptide challenge, through activation of reactive oxygen species production [4]. Depending on the context, it can also support or attenuate Toll-like receptor pathways, for example by promoting type I interferon production or by suppressing NFκB-mediated pro-inflammatory transcription [5]. In B cells PI3Kδ cooperates with the tyrosine kinase BTK, downstream of the B cell receptor, for proper triggering of Ca2 + flux and NFκB activation [2, 6]. In T cells PI3Kδ is primarily coupled to CD28, and although it is not critical for NFκB signaling, its downstream phosphorylation of AKT facilitates transcription of IL-2 and nuclear localization of NFAT [7].
PI3Kδ gene mutations are known to cause both gain of function (GOF) and loss of function (LOF) inborn errors of immunity (IEI) in humans. This highlights the critical role that balanced p110δ activity plays in human adaptive immunity [1, 8]. Dominant-acting germline mutations in PIK3CD result in activated PI3Kδ syndrome (APDS), an immune dysregulatory disease that primarily manifests as childhood recurrent sinopulmonary infections, herpesvirus infections, and CD4 + lymphopenia [9]. Cells undergo chronic lymphoproliferation, leading to activation-induced cell death and immune deficiency [2]. For LOF, only 10 patients have been reported to date with germline autosomal recessive deficiency of PIK3CD; however, phenotypic interpretation is complicated by the fact that three of them also had a concurrent mutation [1016]. Here we report the clinical, genetic and molecular findings from three siblings bearing a novel bi-allelic, truncating mutation in PIK3CD. All three patients exhibited autoimmunity and B cell dysregulation, and in vitro analysis of total and of enriched naïve B cells revealed impaired proliferation and class-switching.

METHODS

Study Approval

The institutional review board at King Faisal Specialist Hospital & Research Centre (KFSHRC) approved all research within this study, under RAC # 2080 025. Informed consent was acquired from the mother for herself as well as on behalf of her children. The father was invited to join the study but refused participation. Clinical and family histories were noted at the time of blood draw. PBMCs were isolated using standard Ficoll density gradient centrifugation methods for cryopreservation till ready for use.

Next-Generation Sequencing (NGS)

Whole exome sequencing (WES) was performed on blood-derived genomic DNA using SureSelectXT Target Enrichment system (Illumina NovaSeq 6000, San Diego, CA, USA). Quantitative measures of raw data quality were computed using FastQC, and the reads were aligned to the human reference genome (hg19) using Burrows-Wheeler Aligner (BWA)21. The resulting bam files were assessed for possible PCR duplication. Local realignment and base-quality recalibration were performed using Picard (http://​broadinstitute.​github.​io/​picard) and GATK22, respectively, to guarantee the production of high-quality base calls. MuTect223 was employed to detect somatic mutations, whereas ANNOVARv21.07 was used to annotate mutations throughout different databases. Single nucleotide variations (SNVs) and indels that met the criteria of the conventional MuTect2 filters were subjected to further screening. We utilized the Saudi Human Genome Database to assess whether variants of interest found in the WES data were low-level unreported SNPs segregating in the local population.

Sanger Sequencing

Genomic DNA was obtained from whole blood. Primers incorporating 5’-tagged M13 sequences were designed as needed. DNA sequencing was performed using a BigDye Terminator (Thermo Fisher, Waltham, MA, USA).

RNA Expression Analysis

Lymphoblastoid cell lines were generated via standard protocols from patients and healthy controls. Subsequent to RNA extraction and cDNA synthesis, real-time reverse-transcriptase PCR (Applied Biosystems 7500 Fast Real-Time PCR System, Thermo Fisher) was performed using exon–exon spanning primers. Primer sequences were 5′- GGGTCTACCTGAACTTCCCTG − 3′ and 5′- GCCACTGAGCATGTGGAAG − 3′. Quantification was performed using the QuantiTect SYBR Green mix (Qiagen, Limburg, Netherlands), employing the deltaCt technique to quantify fold difference. Reactions were conducted in triplicate each time, with at least two independent runs, then normalized to GAPDH as the internal control.

Immunoblotting

Lymphoblastoid-derived cell lysates were prepared with RIPA buffer (Sigma, St. Louis, MO, USA) then quantified on a Smart-Spec Plus spectrophotometer (Bio-Rad, Hercules, CA, USA) using the Protein Assay Dye Reagent (Bio-Rad). Protein samples were electrophoresed on an SDS-PAGE (National Diagnostics, Atlanta, GA, USA), and transferred onto a PVDF membrane (GE Healthcare, Waukesha, WI, USA). Primary antibodies utilized in this study included: anti-GAPDH (#2118) (Cell Signaling Technology, Danvers, MA, USA), anti-PIK3CD (ab109006) and anti-p85 (ab86714) (Abcam, Cambridge, UK).

Immunophenotyping

Frozen PBMCs were thawed and rested for 2 h in complete medium (RPMI 1640 containing 10% FBS and 1% penicillin/streptomycin). Cells were then counted and suspended at 106 cells per ml in FACS buffer (2% FBS in PBS) before being stained and analyzed on an LSR II flow cytometer (Becton Dickinson, Mountain View, CA). Gating and antibody details are as described previously [17].

Lymphocyte Stimulation

For the carboxyfluorescein 6 succinimidyl ester (CFSE) proliferation assay, thawed PBMCs were rested for 2 h in complete medium. Cells were then stained with 1 µM CFSE (BD) at 37 degrees for 15 min, washed extensively in complete medium, then seeded in a U-bottom 96-well plate at a density of 1 × 106 cells/ml. For T cell proliferation, CFSE-labelled PBMCs were incubated in the presence or absence of Dynabeads Human T-Activator CD3/CD28 (Thermo Fisher) for 3 days and analyzed by FACS. Experiments on total CD19 + cells were conducted as part of a mixed PBMC population, while those involving enriched naïve B cells were performed on the CD19 + CD27- IgD + subset after processing through a BD FACSMelody Cell Sorter. Cells were stained with CFSE (for the proliferation assay) or not, then treated with CD40L (MEGACD40L, Enzo Life Sciences, Farmingdale, NY) supplemented with IL-2 (202-IL-010) and IL-21 (8879-IL-050) (both R&D Systems, Minneapolis, MN) for the indicated durations. Fluorescent antibodies used for analysis included anti-CD4-APC, anti-CD27-PE, anti-IgM-APC (all BD), anti-IgD-FITC (348206, Biolegend) and anti-CD19-PE-Cy7 (25-0199-42, Thermo Fisher). After addition of 4′,6-diamidino-2-phenylindole (DAPI) for live/dead screening, cells were analyzed on an LSR II flow cytometer (BD) with lymphocyte proliferation assessed as a measure of CFSE loss. DAPI/Annexin V cellular profiling was performed using Annexin V-Alexa Fluor 488 (V13241, Invitrogen).

RESULTS

Clinical cases

Patients P1, P2 and P3 are all siblings born to consanguineous Saudi parents (Fig. 1A). P1 is a 19 year old boy with history of chronic diarrhea, recurrent sinopulmonary infections and dermatitis since the age of 2 months. At age of 1 year full upper and lower endoscopy showed duodenal villous atrophy and mild duodenitis, and antrum biopsy was suggestive of CMV gastritis with no significant colon biopsy findings. At 13 years of age he was evaluated by immunology service to rule out IEI. His complete blood counts and differential, lymphocytes subsets, lymphocytes proliferation and oxidative burst assays were normal. His IgG level was subnormal for age (4.2 gm/L) with undetectable IgM levels (Table 1). He was started on intravenous immunoglobulins with good clinical response in regard to his recurrent sinopulmonary infections. He continued to have chronic diarrhea that on frequent occasions was bloody, but he had normal weight gain and growth. Upper and lower endoscopies were performed on several occasions and showed severe chronic active colitis with ulcerations, epithelial reactive changes with granulomatous tissue formation suggestive of Crohn disease. His diarrhea responded partially to sulfasalazine therapy and short courses of steroids.
Table 1
Clinical, immunological, and molecular details and outcomes of well-characterized PIK3CD LOF patients
References
P1 (this study)
P2 (this study)
P3 (this study)
[16]
[13]
[14]
[15]
[11]
[12]
Sex
Male
Female
Female
NA
Female
Female
Male
Male
Male
Male
Male
Nationality
Saudi
Saudi
Saudi
NA
British
British
Pakistani
Pakistani
Middle East
Pakistani
Pakistan
Age of onset
2 months
5 months
4 months
NA
5 months
1 month
2 years
2 months
9 years
6 years
3 months
Age of diagnosis
13 years
12 years
3 years
NA
-
-
-
16 years
-
14 years
14 years
Current age
19 years
18 years
9 years
NA
20 years
14 years
13 years (death)
 
-
died
died
Chronic bloody diarrhea
Yes
yes
yes
-
-
yes
yes
yes
yes
yes
No
Recurrent sinopulmonary infections
yes
yes
yes
yes
yes
yes
yes
yes
yes
yes
yes
Other infections
   
Septic arthritis
Urinary tract infection
Oral thrush
Oral thrush
 
Osteomyelitis
CMV
colitis
 
Recurrent skin infections
Dermatitis
yes
yes
yes
-
-
-
-
-
-
-
-
Infections
CMV
Streptococcus pneumonia
Haemophilus influenzae
Streptococcus pneumonia
Moraxella catarrhalis
Hepatitis B
Pneumocystis jirovecii pneumonia
 
Pneumocystis jirovecii pneumonia
Parainfluenza virus
Rota virus
Streptococcus pneumonia
Rota virus
 
CMV
candida esophagitis
EBV, Candida
albicans, Staphylococcus aureus, and HSV
Immune dysregulation
IBD
IBD
IBD
IBD
Autoimmune hepatitis
arthritis,
psoriasis
-
 
IBD
Psoriasis
IBD
ITP
IBD
polyarticular arthritis
No
Other clinical features
    
dysmorphism, feeding difficulties, seizures,
developmental dela
    
EBV associated
T cell lymphoproliferative disease
IgG gm/L
4.2
(N: 7–16)
3.6
(N: 6.1–15.7)
3.1
(N: 3.5–12.4)
low
2.7
(N: 5.5-8)
3.2
(N: 5.5-8)
2.83
(N: 5–13)
2.7
(N: 7–16)
2.5
(N: 3.7–15.0)
2.01
(N: 6.5–16)
8.9–13.9
(N: 6.6–12.8)
IgA gm/L
2.4
(N: 0.7-4)
0.68
(N: 0.5-2)
1.19
(N: 0.2-1)
-
low
low
0.16
(N: 0.4–1.8)
0.3
(N: 0.7-4)
0.43–0.68
(N: 0.3–1.2)
0.22
(N: 0.4–3.5)
0.45–0.69
(N: 0.7–3.4)
IgM gm/L
˂0.25
(N: 0.4–2.3)
˂0.25
(N: 0.52–2.4)
0.42
(N: 0.43–2.1)
-
low
low
˂0.15
(N: 0.4–1.8)
0.53
(N: 0.4–2.3)
0.25–0.4
(N: 0.5–2.2)
0.58
(N: 0.5-3)
0.28–0.99
(N: 0.5–2.1)
IgE KU/L
26
(N: 5-500)
3.3
(N: 5-500)
4
(N: 1.6–30)
-
-
-
-
-
18
(N: 0–60)
-
-
CD3/mm3
2532
(N: 1700–1900)
3885
(N: 1700–1900)
4302
(N: 3100–4800)
Moderate lymphopenia
Normal
Normal
3283
(N: 731–5244)
1763
(N: 550–2324)
3794–5463
(N: 1400–2300)
1700
(N: 1400–3300)
1440–1501
(N: 1200–2600)
CD4/mm3
1537
(N: 800–1700)
2366
(N: 800–1700)
3004
(N: 2200–3300)
-
-
-
1687
(N: 391–3312)
822
(N: 280–1596)
1940–2398
(N: 900–5500)
600
(N: 530–1300)
1056–1140
(N: 650–1500)
CD8/mm3
775 (N: 700–1000)
1412 (N: 700–1000)
1155
(N: 1100–1700)
-
-
-
1368
(N: 238–2277)
883
(N: 100–1092)
1680–2866
(N: 400–2300)
800
(N: 330–920)
260–396
(N: 370–1100)
CD19/mm3
439
(N: 400–800)
594
(N: 400–800)
990
(N: 1100–1900)
Near absent
borderline low
borderline low
17
(N: 238–3036)
29
(N: 60–532)
70–228
(N: 600–3100)
400
(N: 110–570)
18–32
(N: 270–860)
CD56/16/mm3
208
(N: 200–400)
145
(N: 200–400)
947
(N: 300–700)
-
-
-
465
(N: 68-1587)
185
(N: 70–868)
282–471
(N: 100–1400)
80
(N: 70–480)
2–57
(N: 100–480)
PHA (% of control)
124%
118%
75%
ND
reduced
reduced
130%
107%
Normal
-
Normal
ConA (% of control)
106%
92%
79%
ND
ND
ND
102%
131%
ND
-
-
Anti-CD3 + CD28 (% of control)
-
-
-
-
-
-
-
-
-
120%
-
NK Function
ND
ND
ND
Reduced
ND
ND
Reduced
Reduced
ND
ND
-
PIK3CD gene variant
Hom c.433delinsGA
Hom c.433delinsGA
Hom c.433delinsGA
compound het
missense &
premature
stop
Hom c.2161 C > T
Hom c.1653_1653delG
Hom. c.703_723delinsGT
Hom c.2558_2559delAT
Hom c.2462G > A
Protein change
p.Q145Efs*51
p.Q145Efs*51
p.Q145Efs*51
 
p.Q721*
p.V552Sfs*26
p.Q170Vfs*41
p.Asp853Glyfs*20
p.R821H
Protein expresion
Absent
Absent
Absent
Reduced
Absent
ND
Absent
present
Normal
Additional mutations
N/A
N/A
N/A
N/A
SKAP: c.del744T: p.L210fs*20 (homozygous)
N/A
N/A
N/A
N/A
TNFRSF9: NM_001561.5: c.170delG: p.G57fs*91 (homozygous)
Mangement and outcome
IVGG, alive
IVGG, alive
IVGG, alive
NA
NA
NA
IVGG, Death
IVGG
IVGG, HSCT
IVGG, Prohylaxis antibiotics, Death
Death due to HLH
CMV cytomegalovirus, HSV herpes simplex virus, IBD inflammatory bowel disease, ITP immune thrombocytopenia purpura, IVGG intravenous immunoglobulins, HSCT hematopoietic stem cell transplantation, ND not done, NA not available, N normal range
Fig. 1
Characterization of three siblings presenting with primary immune deficiency and autoimmunity. (A) Pedigree of the family including genotypes for the individuals who were available for recruitment. The father declined participation. (B) AgileMultiIdeogram output, with regions of homozygosity shared between the affected siblings colored as dark blue across the genome. Arrowhead indicates the cytogenetic location of PIK3CD. (C) Stacked Venn diagram showcasing the WES filtering scheme, and the total number of variants remaining after inclusion of each filter. (D) Protein schematic illustrating the protein domains within PIK3CD, and the autosomal recessive mutations that have been described in the literature. The mutations in blue are associated with complex phenotypes involving two co-segregating disorders, and the one in red is from this study. (E) DNA sequence chromatograms of one patient and one healthy control, for comparison. The associated codon sequence is given above. (F) Real-time RT-PCR data for PIK3CD expression levels in lymphoblastoid cells, from two patients versus four healthy controls. (G) Left: immunoblotting reveals absence of PIK3CD protein in all three patient cells, as well as low levels of the regulatory p85 subunit. GAPDH serves as a loading control. Right: significantly depressed p85 expression in the patients’ lymphoblasts, based on three independent immunoblots and utilizing ImageJ analysis. Asterisks indicate significance levels (*p < 0.05, ****p < 0.0001; unpaired Student’s t-test). Error bars for panels F and G indicate SEMs
Bild vergrößern
P2 is an 18 years old girl with history of chronic diarrhea, recurrent sinopulmonary infections and dermatitis since the age of 5 months. Immunological evaluation at age of 12 years showed normal complete blood counts and differential, lymphocytes subsets, lymphocytes proliferation and oxidative burst assays. Her IgG level was subnormal for age (3.6 gm/L) with undetectable IgM levels and poor antibody response to pneumococcal polysaccharide vaccine (Table 1). Her recurrent chest infections improved after starting intravenous immunoglobulins. She continued to have chronic diarrhea that was frequently bloody, but she also maintained normal weight gain and growth. Upper and lower endoscopies showed colonic heavy infiltration by eosinophils and focal eosinophilic abscesses consistent with eosinophilic colitis. Similar to her brother, the diarrhea responded partially to sulfasalazine therapy and short courses of steroids.
P3 is a 9 years old girl with history of chronic diarrhea and recurrent sinopulmonary infections since the age of 4 months. Immunological evaluation at age of 3 years showed normal complete blood counts and differential, lymphocytes subsets, lymphocytes proliferation and oxidative burst assays. Her IgG level was 3.1 gm/L with normal IgA and IgM levels and her antibody response to pneumococcal polysaccharide vaccine could not be well assessed as she received conjugated pneumococcal vaccines (Table 1). Her recurrent chest infections improved after starting intravenous immunoglobulins. Upper and lower endoscopies showed architectural distortion with focal cryptitis from cecum, ascending and transverse colon biopsies and severe active chronic colitis with crypt abscesses and ulcerations from sigmoid and rectal biopsies with no viral cytopathic changes or granuloma. Her diarrhea was treated mainly with sulfasalazine therapy. Her weight and height are normal in spite of her chronic diarrhea.

Identification of a Novel Loss-of-Function Mutation in PIK3CD

In our quest to analyze the genetics of primary immunodeficiencies in the Gulf region, we recruited this family under an IRB-approved protocol. Informed consent was obtained for all three patients, the unaffected sibling, plus the mother. The father declined participation and therefore was excluded from our study. DNA from all individuals we had access to was submitted for whole-genome genotyping, to determine regions of autozygosity that are shared between all affecteds. This was done under the assumption of an autosomal recessive inheritance pattern, given the nature of the pedigree and the presence of parental consanguinity. Three such regions were highlighted by the software, of which the largest was a 12.3 Mb block on Chr 1 (Fig. 1B). Simultaneously we submitted the DNA from patient P1 for WES, and followed the NGS filtering scheme indicated in Fig. 1C. Once we had limited our search area to the regions of shared autozygosity which were exclusive to the three patients, no variants survived our filtering except for one homozygous truncating mutation in the gene encoding p110δ (PIK3CD: NM_005026.4: c.433delinsGA: p.Q145Efs*51). While autosomal dominant variants affecting this protein are common [1], more recently autosomal recessive, loss of function variants have been described in the context of primary immune deficiency. Our patients’ truncating mutation lies between the ABD (adaptor-binding) and RBD (Ras-binding) domains of PIK3CD, and is further upstream than any of the other autosomal recessive mutations described in the literature (Fig. 1D). Table 1 shows a summary of our patients along with all previously reported, well-characterized cases.
Targeted PCR analysis indicated that this variant was segregating with the disease state in this family (Fig. 1E). By utilizing intron-spanning primers, we quantified the transcripts of this gene in our patient lymphoblasts versus healthy controls using real time RT-PCR. Data showed dramatic decrease in each patient’s PIK3CD mRNA, strongly suggesting that the transcript was under nonsense-mediated decay surveillance (Fig. 1F). To confirm the consequences of this mutation at the protein level, we probed lymphoblast lysate with an antibody directed against PIK3CD and observed no signal from the patient cells (Fig. 1G). Interestingly all patients showed substantially reduced signal for p85, the regulatory subunit that binds p110δ in lymphocytes. Based on multiple protein extractions this p85 reduction was shown to be consistent and significant.

Patient immunophenotypes expose T and B cell dysregulation

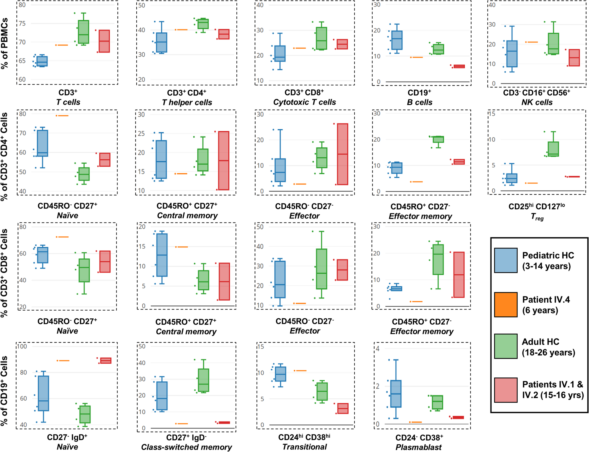
To uncover the immunological effects of this mutation on major lymphocyte populations as well as specific T and B cell compartments, PBMCs from our patients and appropriate age-matched controls were probed with fluorescent cell-surface antibodies then evaluated using flow cytometry (Fig. 2). FACS analysis indicated T cell dysregulation in the youngest patient, with the naïve subpopulation of both CD4 + and CD8 + cells being far in excess of our pediatric controls, while the effector and effector memory compartments were at the low end or outside the range of those controls. The two older patients on the other hand displayed reduced percentage of both CD4 + effector memory and Treg populations, compared to age-matched controls.
Fig. 2
Immunophenotyping of PBMCs from patients, and healthy pediatric (n = 6) and adult (n = 4) controls. Box-and-whiskers indicate percentages of major lymphocyte populations as well as specific T and B cell compartments as assessed using flow cytometry
Bild vergrößern
However the most consistent finding across all three patients was B cell dysregulation (Fig. 2). Overall percentages of CD19 + cells were low, the ratio of naïve B cells was very high, and there was a clear dysfunction in the ability of CD19 + cells to undergo class-switch recombination (CSR) or to form plasmablasts.

Flow cytometry assessment of B and T cell function

To further assess the impact of PIK3CD loss at the cellular level, patient B and T cells were subjected to stimulation and analyzed for basic lymphocyte functions. Assessment of T cell proliferation ability, in the presence of CD3/CD28 beads, indicated drastically increased rates of proliferation in patients (Fig. 3A). A similar trend was observed for the mitogens PHA and ConA (Table 1). Conversely, stimulation of total CD19 + B cells with CD40L and relevant interleukins revealed significantly impaired proliferation capacity (Fig. 3B). The ability of CD19 + cells to class switch in response to continued stimulation was also compromised (Fig. 3C), in line with the immunophenotype data discussed earlier. Because the patients had markedly reduced memory B cell numbers compared to controls, we repeated the proliferation and class-switching experiments using enriched naïve CD19⁺ cells (CD27⁻ IgD⁺). This approach was necessary, as it ensured a more accurate comparison by minimizing the confounding effect of memory B cells, which typically proliferate and class-switch more robustly than naïve cells [18]. Due to the extremely limited patient material and low post-sort recovery, only a small number of replicates could be performed. Nevertheless, the results revealed a consistent trend of impaired proliferation and reduced class-switching in patient-derived naïve B cells (Fig. 3D, E). Collectively, PIK3CD mutation in our patients coincided with compromised proliferation and function of CD19 + B cells.
Fig. 3
T and B cell abnormalities in PIK3CD patients. (A) Left: Box-and-whiskers summary of total CD4 + T cell proliferation data from the PBMCs of the two older patients versus five healthy adult controls, with the individual data points shown. CFSE-stained cells were stimulated for 3 days then gated on viable (DAPI) CD4+ T helper cells. Right: representative CFSE histograms of healthy control and one patient, in the absence (orange) or presence (grey) of Dynabeads stimulation. (B) Left: summary of total CD19 + cell proliferation data of the two older patients versus three healthy adult controls, following 6 days of stimulation. Right: representative CFSE histogram for one patient and one control, without (orange) or with (grey) stimulation. (C) Summary data for all three patients versus three healthy controls, representing the class-switched (IgM IgD) population as a percentage of viable CD19+ cells, following 4 days of stimulation. (D) Left: representative CFSE histogram for one patient and one control, utilizing flow-sorted naïve B cells as the starting population, and following 7 days of stimulation. Right: bar graph showing observed percentages of proliferating cells when starting with naïve B cells. (E) Percentage of cells that underwent class-switching after 4 days of naïve B cell stimulation. For all total CD4 + and total CD19 + experiments, individuals were generally assessed as independent triplicates. Asterisks indicate significance levels (**p < 0.01, ****p < 0.0001; unpaired Student’s t-test). For panel “E” a two-sided Mann-Whitney U test was conducted with exact p-value computed via SciPy. All error bars indicate SEMs
Bild vergrößern

DISCUSSION

Here we describe the clinical, molecular and cellular aspects of a family that segregates a null phenotype of PIK3CD. In leukocytes PI3Kδ, composed of a p85α and p110δ heterodimer, acts upon PIP2 to generate PIP3, an essential mediator of cellular growth and survival. Key downstream effectors of PI3Kδ include Akt, which activates mTOR and thereby facilitates glucolysis and cellular growth, and IL-2 inducible T cell kinase (ITK) in T cells and Bruton tyrosine kinase (BTK) in B cells [1]. In the latter, PIP3 recruits BTK to the cell membrane where activation occurs through autophosphorylation, highlighting the essential role of PI3K in B cell development and function. Indeed, patients with LOF PIK3CD display reduced B cell counts and diminished immunoglobulins [11, 14, 15]. Similarly, patients with p85α mutations that lead to PI3K underactivation also cause defects in B cell development and function [19, 20], including an almost total absence of CD19 + cells in blood, and of B lineage (including pro-B) cells in bone marrow. In line with these reports, immune phenotyping of our patients also revealed low B cell ratio as well as abnormally high naïve, and abnormally low class-switched, CD19 + percentages across all three patients. These findings were also reflected in our in vitro work, which revealed that patients’ total CD19 + and enriched naïve B cells exhibited deficient responses to T cell-dependent stimulation, including weak proliferation activity and poor class-switching. CD19 + cells also displayed increased apoptosis.
The centrality of PI3K in B cell function has been shown across species. Previous work on p110δ-deficient mice revealed a significantly impaired or completely abolished B cell response to T cell-dependent and T cell-independent stimulation [2123], with compromised cell cycle entry following BCR stimulation and the inability of IL-4 to protect B cells from apoptosis [24]. Interestingly, in mice with B cell-specific mutation, suppression of PIP3 lead to an increase in CSR at the expense of plasmablast differentiation, while elevated levels of PI3K activity suppressed immunoglobulin CSR [25, 26]. These studies illustrated that tuning the level of PIP3 plays a role in the B cell’s decision of whether to differentiate into plasmablasts, which generate mainly low-affinity IgM antibodies, or to undergo CSR for eventual secretion of higher affinity (IgA, IgG, IgE) immunoglobulins [2]. Although an attenuated humoral response is indeed observed in Pik3cd-deficient mice, this appears to be a consequence of poor development of follicular helper T cells (TFH) due to the absence of p110δ. In knockout mice the levels of two major effector molecules, Cd40l and Il-21, are reduced in TFH cells. Interestingly, the adoptive transfer of extrinsic, wildtype T cell help into the mice generates a strong class-switched response to immunization, despite the B cells being p110δ-deficient. Hence the impaired humoral response in mice is likely secondary to loss of p110δ in T cells [27]. In our patients however, both the in vivo class-switched CD19 + memory fraction (CD27 + IgD-) and the plasmablast percentage (CD27 + CD38+) were drastically reduced compared to controls. Despite strong exogenous CD40L and IL-21 in vitro stimulation there was evidence of poor CSR outcome in our patients’ cells. Impaired proliferation and class-switching in total CD19⁺ cells could reflect skewed naïve-to-memory B cell ratios. However, similar defects were seen (albeit less pronounced) when using enriched naïve B cells. This may indicate a potential inter-species difference for the role of PIK3CD in B cell function, an observation that warrants further investigation. We note that the role of p110δ in B cells has been elucidated in mice but remains less well studied in humans.
The observed increase in T cell proliferation contrasts sharply with the marked decrease in B cell proliferation and function. Our data showed significantly enhanced T cell proliferation in response to CD3/CD28 stimulation, as well as to PHA and ConA mitogens. This phenomenon has been observed before, not only in other p110δ-deficient patients, but even in Jurkat cell lines that were engineered for removal of the PIK3CD gene [12], indicating that the enhanced proliferation is not simply a function of weakened Treg activity. Murine p110δ-deficient T cells exhibit a similar tendency [23]. This hyperactivation may result from the increased availability of PIP2, which is hydrolyzed by phospholipase Cγ1 (PLCγ1) into crucial secondary messengers that trigger several distal signaling cascades vital for CD3 + activation [7]. Loss of homeostasis between the PI3K and PLCγ1 pathways in p110δ-deficient T cells may therefore provide a boost to T cell activity [12]. In light of this, one of the clinical hallmarks of PIK3CD-deficiency in both mice and humans is enteropathy [1, 23], which was also a consistent finding across all affected members of our family. In PI3Kδ-deficient mice, improper activation of effector T cells by gut microbes leads to colitis, which PI3Kδ-deficient Treg are unable to suppress [23, 28]. Reduced abundance of mRNAs encoding proteins linked to inflammation and cytotoxicity, such as IFN-γ, granzyme B, and perforin, is a characteristic of PI3Kδ-deficient mouse CD8 + T cells stimulated in vitro [29, 30]. In humans, patients who are homozygous for truncating mutations exhibit severe infections alongside inflammatory colitis [11, 14, 15], molecularly characterized as CD8 + expansion into colonic tissue with drastically upregulated expression of TBET and perforin proteins [15]. However, colitis was not observed in the two reports where patients with LOF PIK3CD had concurrent genetic mutations. In the first report, the nature of the hypomorphic missense mutation in p110δ, which was linked to normal expression and residual PIK3CD enzymatic activity, may explain the absence of colitis and the generally normal immunoglobulin readings [12]. In the second report the presence of a homozygous truncating mutation in SKAP (a kinetochore-associated protein), alongside the PIK3CD mutation, resulted in defects in T cell spreading and migration which likely prevented colitis onset [13]. Our data supports the conclusion that CD3 + hyperactivation is a natural consequence of PIK3CD protein loss.
A total of ten p110δ LOF patients have been reported to date. However, two of the patients were not well-characterized [10], while three other patients had a second concomitant mutation which complicated interpretation of the PIK3CD phenotype. If we remove these individuals, we are left with only five well-characterized patients. Our study raises this number significantly to eight, allowing us to better understand the disease phenotype. The majority of the patients came from consanguineous families in the Middle East and Pakistan. Early clinical manifestation during the first few months is frequent, while some instances appear at a later age of 6–9 years. Inflammatory bowel disease with chronic bloody diarrhea and colitis is seen in 7 of the 8 patients. All reported cases had variable hypogammaglobulinemia and a history of recurrent sinopulmonary infections, of which some were caused by opportunistic organisms. Diseases of the immune system dysregulation, such as juvenile idiopathic arthritis, autoimmune hepatitis, autoimmune thrombocytopenia and inflammatory bowel disease, were also common. Clinical management consisted mainly of prophylactic antibiotics, immunoglobulin replacement and antibiotic treatment for acute infections. Immunosuppressive (steroids and 6-mercaptopurine) or anti-inflammatory (mesalazine) medication were used to control autoimmune manifestations [1215]. Two of the eight patients died from pneumonia and sepsis. The remaining patients were followed on conservative therapy. One patient underwent hematopoietic stem cell transplantation with a lack of long term follow up [15], which was not clinically considered in our patients due to their disease course and treatment response.
Our study indicates that loss of PIK3CD in our patient cells coincides with a B cell phenotype that does not adequately respond to T-dependent stimulation. This suggests that the role of PI3Kδ in human B cells differs from what has been observed in mouse models. Further work is warranted to corroborate these findings, and to search for other potential areas of interspecies divergence relating to the PIK3CD pathway in B cells and other lymphocyte populations.

Acknowledgements

We thank the family for their kind participation in this study. We are grateful to the sequencing and genotyping core facilities at KFSH&RC for their invaluable assistance.

Declarations

Competing Interests

The authors declare no competing interests.
Open Access This article is licensed under a Creative Commons Attribution-NonCommercial-NoDerivatives 4.0 International License, which permits any non-commercial use, sharing, distribution and reproduction in any medium or format, as long as you give appropriate credit to the original author(s) and the source, provide a link to the Creative Commons licence, and indicate if you modified the licensed material. You do not have permission under this licence to share adapted material derived from this article or parts of it. The images or other third party material in this article are included in the article’s Creative Commons licence, unless indicated otherwise in a credit line to the material. If material is not included in the article’s Creative Commons licence and your intended use is not permitted by statutory regulation or exceeds the permitted use, you will need to obtain permission directly from the copyright holder. To view a copy of this licence, visit http://​creativecommons.​org/​licenses/​by-nc-nd/​4.​0/​.

Publisher’s Note

Springer Nature remains neutral with regard to jurisdictional claims in published maps and institutional affiliations.

Unsere Produktempfehlungen

e.Med Interdisziplinär

Kombi-Abonnement

Für Ihren Erfolg in Klinik und Praxis - Die beste Hilfe in Ihrem Arbeitsalltag

Mit e.Med Interdisziplinär erhalten Sie Zugang zu allen CME-Fortbildungen und Fachzeitschriften auf SpringerMedizin.de.

e.Med Innere Medizin

Kombi-Abonnement

Mit e.Med Innere Medizin erhalten Sie Zugang zu CME-Fortbildungen des Fachgebietes Innere Medizin, den Premium-Inhalten der internistischen Fachzeitschriften, inklusive einer gedruckten internistischen Zeitschrift Ihrer Wahl.

e.Med Allgemeinmedizin

Kombi-Abonnement

Mit e.Med Allgemeinmedizin erhalten Sie Zugang zu allen CME-Fortbildungen und Premium-Inhalten der allgemeinmedizinischen Zeitschriften, inklusive einer gedruckten Allgemeinmedizin-Zeitschrift Ihrer Wahl.


download
DOWNLOAD
print
DRUCKEN
Titel
Homozygous Loss of Function PIK3CD Mutation in Multiple Siblings Leading To B Cell Dysregulation and Autoimmunity
Verfasst von
Huda Alajlan
Amer Al-Mazrou
Hibah Alruwaili
Safia Sumayli
Ali Almehaidib
Khalid Alsaleem
Sawsan Abu Awwad
Hazem Ghebeh
Monther Al-Alwan
Anas M. Alazami
Hamoud Al-Mousa
Publikationsdatum
01.12.2025
Verlag
Springer US
Erschienen in
Journal of Clinical Immunology / Ausgabe 1/2025
Print ISSN: 0271-9142
Elektronische ISSN: 1573-2592
DOI
https://doi.org/10.1007/s10875-025-01938-3
1.
Zurück zum Zitat Nunes-Santos CJ, Uzel G, Rosenzweig SD. PI3K pathway defects leading to immunodeficiency and immune dysregulation. J Allergy Clin Immunol. 2019;143(5):1676–87.PubMed
2.
Zurück zum Zitat Fruman DA, et al. The PI3K pathway in human disease. Cell. 2017;170(4):605–35.PubMedPubMedCentral
3.
Zurück zum Zitat Preite S, et al. T and B-cell signaling in activated PI3K delta syndrome: from immunodeficiency to autoimmunity. Immunol Rev. 2019;291(1):154–73.PubMed
4.
Zurück zum Zitat Condliffe AM. Sequential activation of class IB and class IA PI3K is important for the primed respiratory burst of human but not murine neutrophils. Blood. 2005;106(4):1432–40.PubMed
5.
Zurück zum Zitat Weichhart T, Hengstschlager M, Linke M. Regulation of innate immune cell function by mTOR. Nat Rev Immunol. 2015;15(10):599–614.PubMedPubMedCentral
6.
Zurück zum Zitat Bojarczuk K, et al. BCR signaling inhibitors differ in their ability to overcome Mcl-1-mediated resistance of CLL B cells to ABT-199. Blood. 2016;127(25):3192–201.PubMed
7.
Zurück zum Zitat Shah K, et al. T cell receptor (TCR) signaling in health and disease. Signal Transduct Target Ther. 2021;6(1):412.PubMedPubMedCentral
8.
Zurück zum Zitat Coulter TI, et al. Clinical spectrum and features of activated phosphoinositide 3-kinase delta syndrome: A large patient cohort study. J Allergy Clin Immunol. 2017;139(2):597–e6064.PubMedPubMedCentral
9.
Zurück zum Zitat Rao VK, et al. Long-term treatment with selective PI3Kdelta inhibitor Leniolisib in adults with activated PI3Kdelta syndrome. Blood Adv. 2024;8(12):3092–108.PubMedPubMedCentral
10.
Zurück zum Zitat Azizi G, et al. The autoimmune manifestations in patients with genetic defects in the B cell development and differentiation stages. J Clin Immunol. 2023;43(4):819–34.PubMedPubMedCentral
11.
Zurück zum Zitat Cohen SB, et al. Human primary immunodeficiency caused by expression of a kinase-dead p110delta mutant. J Allergy Clin Immunol. 2019;143(2):797–9. e2.PubMed
12.
Zurück zum Zitat Rodriguez R, et al. Concomitant PIK3CD and TNFRSF9 deficiencies cause chronic active Epstein-Barr virus infection of T cells. J Exp Med. 2019;216(12):2800–18.PubMedPubMedCentral
13.
Zurück zum Zitat Sharfe N, et al. Dual loss of p110delta PI3-kinase and SKAP (KNSTRN) expression leads to combined immunodeficiency and multisystem syndromic features. J Allergy Clin Immunol. 2018;142(2):618–29.PubMed
14.
Zurück zum Zitat Sogkas G, et al. Primary immunodeficiency disorder caused by phosphoinositide 3-kinase delta deficiency. J Allergy Clin Immunol. 2018;142(5):1650–3. e2.PubMed
15.
Zurück zum Zitat Swan DJ, et al. Immunodeficiency, autoimmune thrombocytopenia and Enterocolitis caused by autosomal recessive deficiency of PIK3CD-encoded phosphoinositide 3-kinase delta. Haematologica. 2019;104(10):e483–6.PubMedPubMedCentral
16.
Zurück zum Zitat Zhang KJ, et al. Identification of a phosphoinositide 3-kinase (PI-3K) p110delta (PIK3CD) deficient individual. J Clin Immunol. 2013;33:673–4.
17.
Zurück zum Zitat Al-Saud B, et al. A unique STK4 mutation truncating only the C-terminal SARAH domain results in a mild clinical phenotype despite severe T cell lymphopenia: case report. Front Immunol. 2024;15:1329610.PubMedPubMedCentral
18.
Zurück zum Zitat Tangye SG, et al. Intrinsic differences in the proliferation of Naive and memory human B cells as a mechanism for enhanced secondary immune responses. J Immunol. 2003;170(2):686–94.PubMed
19.
Zurück zum Zitat Conley ME, et al. Agammaglobulinemia and absent B lineage cells in a patient lacking the p85alpha subunit of PI3K. J Exp Med. 2012;209(3):463–70.PubMedPubMedCentral
20.
Zurück zum Zitat Tang P, et al. Autosomal recessive agammaglobulinemia due to a homozygous mutation in PIK3R1. J Clin Immunol. 2018;38(1):88–95.PubMed
21.
Zurück zum Zitat Clayton E, et al. A crucial role for the p110delta subunit of phosphatidylinositol 3-kinase in B cell development and activation. J Exp Med. 2002;196(6):753–63.PubMedPubMedCentral
22.
Zurück zum Zitat Jou ST, et al. Essential, nonredundant role for the phosphoinositide 3-kinase p110delta in signaling by the B-cell receptor complex. Mol Cell Biol. 2002;22(24):8580–91.PubMedPubMedCentral
23.
Zurück zum Zitat Okkenhaug K, et al. Impaired B and T cell antigen receptor signaling in p110delta PI 3-kinase mutant mice. Science. 2002;297(5583):1031–4.PubMed
24.
Zurück zum Zitat Bilancio A, et al. Key role of the p110delta isoform of PI3K in B-cell antigen and IL-4 receptor signaling: comparative analysis of genetic and Pharmacologic interference with p110delta function in B cells. Blood. 2006;107(2):642–50.PubMed
25.
Zurück zum Zitat Omori SA, et al. Regulation of class-switch recombination and plasma cell differentiation by phosphatidylinositol 3-kinase signaling. Immunity. 2006;25(4):545–57.PubMed
26.
Zurück zum Zitat Suzuki A, et al. Critical roles of Pten in B cell homeostasis and Immunoglobulin class switch recombination. J Exp Med. 2003;197(5):657–67.PubMedPubMedCentral
27.
Zurück zum Zitat Rolf J, et al. Phosphoinositide 3-kinase activity in T cells regulates the magnitude of the germinal center reaction. J Immunol. 2010;185(7):4042–52.PubMed
28.
Zurück zum Zitat Patton DT, et al. Cutting edge: the phosphoinositide 3-kinase p110 delta is critical for the function of CD4 + CD25 + Foxp3 + regulatory T cells. J Immunol. 2006;177(10):6598–602.PubMed
29.
Zurück zum Zitat Pearce VQ, et al. PI3Kdelta regulates the magnitude of CD8 + T cell responses after challenge with Listeria monocytogenes. J Immunol. 2015;195(7):3206–17.PubMedPubMedCentral
30.
Zurück zum Zitat Putz EM, et al. PI3Kdelta is essential for tumor clearance mediated by cytotoxic T lymphocytes. PLoS ONE. 2012;7(7):e40852.PubMedPubMedCentral

Kompaktes Leitlinien-Wissen Innere Medizin (Link öffnet in neuem Fenster)

Mit medbee Pocketcards schnell und sicher entscheiden.
Leitlinien-Wissen kostenlos und immer griffbereit auf ihrem Desktop, Handy oder Tablet.

Neu im Fachgebiet Innere Medizin

Podcast

Depression: Die Zeit bis zum Therapieplatz sinnvoll nutzen

Die Zahl der diagnostizierten Depressionen steigt – gleichzeitig fehlen flächendeckend Therapieplätze. Für Betroffene ist die Hausarztpraxis eine erste Anlaufstelle. Doch wie kann dort der passende Raum entstehen? Allgemeinmedizinerin Prof. Dr. med. Anne Simmenroth und Psychologin Maike Krauthausen berichten, wie niederschwellig Hilfe angeboten werden kann.

Zeitschrift für Allgemeinmedizin, DEGAM

FLT3-Hemmung wirkt auch bei FLT3-ITD-negativer AML

Ergebnisse der Phase-II-Studie QUIWI nach längerem Follow-up sprechen weiter dafür, dass auch Personen mit neu diagnostizierter FLT3-ITD-negativer AML von einer Erweiterung der Standardchemotherapie um den zielgerichteten Wirkstoff Quizartinib profitieren.

Update Innere Medizin

Bestellen Sie unseren Fach-Newsletter und bleiben Sie gut informiert.

Bildnachweise
Die Leitlinien für Ärztinnen und Ärzte, ZFA TALKS - Depression/© (M) seb_ra / Getty Images / iStock (Symbolbild mit Fotomodell) Logo: Springer Medizin Verlag GmbH, Histopathologischer Befund bei akuter myeloischer Leukämie/© National Cancer Institute/cancer.gov