Zum Inhalt

Multimorbidität als Prädiktor für eine stationäre Aufnahme in der klinischen Notfall- und Akutmedizin

Monozentrische Clusteranalyse

Erschienen in:

Zusammenfassung

Hintergrund

Infolge der demografischen Entwicklung ist ein deutlicher Anstieg von multimorbiden Notfallpatient*innen in der klinischen Notfall- und Akutmedizin in Deutschland zu verzeichnen. Zur Definition operationalisierbarer Kriterien für die Notwendigkeit der stationären Aufnahmeindikation in diesem Patientenkollektiv wurde eine hierarchische Clusteranalyse durchgeführt.

Methodik

In einer retrospektiven, monozentrischen Studie wurden Daten von n = 35.249 Notfällen (01/2016–05/2018) analysiert. Multimorbidität (MM) wurde bei Vorliegen von mehr als 5 im Behandlungsverlauf resultierenden ICD-10-GM-Diagnosen definiert. Es erfolgte eine hierarchische Clusteranalyse der zuvor in 112 Subcluster zusammengefassten Diagnosen zur Ermittlung spezifischer Cluster stationärer und ambulanter Fälle.

Ergebnisse

Stationäre Aufnahmen erfolgten bei 81,2 % aller Notfälle (n = 28.633). Die Kriterien der MM wurden bei 54,7 % der stationären (n = 15.652) und 0,97 % der ambulanten Fälle (n = 64) erfüllt. Der Altersunterschied zwischen letzteren war hochsignifikant (68,7/60,8 Jahre; p < 0,001).
Durch hierarchische Clusteranalyse wurden für stationär aufgenommene, multimorbide Patient*innen (MP) 13 Cluster mit unterschiedlichen Diagnosen und für ambulante MP 7 Cluster mit vorrangig hämatologischen Malignomen identifiziert. Die Notaufnahmeverweildauer (VWD) stationärer MP war mehr als doppelt so lang (max. 8,3 h) wie die ambulanter MP (max. 3,2 h).

Schlussfolgerungen

Es wurden für MM typische Diagnosekombinationen in Form von Clustern identifiziert. Im Vergleich zu monodimensionalen oder kombinierten Diagnosen resultiert durch die statistisch erhobene Clusterbildung eine wesentlich genauere Prognose für die Disposition in der klinischen Notfallversorgung als auch für die leistungsrechtliche Prozesszuordnung.

Redaktion

Michael Buerke, Siegen
QR-Code scannen & Beitrag online lesen

Hinweis des Verlags

Der Verlag bleibt in Hinblick auf geografische Zuordnungen und Gebietsbezeichnungen in veröffentlichten Karten und Institutsadressen neutral.
In der klinischen Notfall- und Akutmedizin wurden in der letzten Dekade überwiegend theoretische Modelle mit monodimensionalen Kriterien für die Indikation zur stationären Aufnahme von Notfallpatient*innen entwickelt. Vor dem Hintergrund steigender MM könnten gut operationalisierbare Kriterien für eine stationäre Behandlungsnotwendigkeit dazu beitragen, die VWD in einer Notaufnahme zu minimieren. In diesem Artikel sollen die für MM typischen Cluster für ambulante und stationäre Notfälle präsentiert werden.

Einleitung

In den zentralen Notaufnahmen (ZNA) in Deutschland zeigte sich in der letzten Dekade ein Fallzuwachs von bis zu 9 % pro Jahr [18]. Angesichts des demografischen Wandels und des medizinischen Fortschritts mit verbesserter Diagnostik und Therapie steigt damit die Anzahl der chronischen Erkrankungen einer einzelnen Person [1]. Diese sog. MM wird von der Leitlinienkommission der Deutschen Gesellschaft für Allgemeinmedizin durch 3 oder mehr chronische Erkrankungen definiert.
Zur Einschätzung der Behandlungsdringlichkeit erfolgt in den ZNA eine strukturierte Ersteinschätzung (sog. Triage) aller Patient*innen mittels international validierter, 5‑stufiger Triagesysteme, wie u. a. dem Emergency Severity Index (ESI) oder dem Manchester Triage System (MTS; [5, 16]). Die Leitsymptomatik dieser Patient*innen wird zudem im Rahmen der Triage erhoben und z. B. in Anlehnung an das Canadian Emergency Department Information System (CEDIS) beschrieben: In diesem CEDIS-Katalog sind 171 Vorstellungsgründe als codierte Diagnosen nach dem Katalog der International Statistical Classification of Diseases and Related Health Problems der World Health Organization (ICD-10-WHO) hinterlegt [6].
Um eine stationäre Aufnahmeindikation in der ZNA zu begründen, dienten bisher die sog. Kriterien gemäß German Appropriateness Evaluation Protocol (G-AEP). Sie beinhalten vor allem bestehende Erkrankungen und deren Schweregrad sowie graduierte Behandlungsformen und soziale Umstände der Notfallpatient*innen, die in Zusammenschau eine stationäre Therapie bedingen. Dabei wird jedoch kaum deren kombiniertes Auftreten berücksichtigt.
In Zeiten überfüllter ZNA mit langer Verweildauer (VWD) war es Ziel dieser Studie, im Rahmen einer monozentrischen, retrospektiven Studie operationalisierbare Kriterien für die stationäre Aufnahmenotwendigkeit multimorbider Notfallpatient*innen zu definieren, um eine raschere Zuordnung der Disposition durchführen zu können.

Patient*innen und Methodik

Grundlage dieser retrospektiven, monozentrischen Studie waren die Behandlungsdaten von n = 35.249 Fällen, die im Zeitraum 01.01.2016 bis 31.05.2018 im konservativen Bereich der ZNA der Universitätsmedizin Göttingen versorgt wurden. Hierbei wurden die aus dem Controlling zur Verfügung gestellten Comma-separated-values(csv)-Dateien von im Behandlungsverlauf resultierenden ICD-10-GM-Diagnosen mithilfe des Open-source-Statistikprogramms RStudio (Posit, Boston, USA) analysiert. Als Grundlage diente eine britische Erhebung bei > 106 Patient*innen mit Definition des sog. Hospital-Frailty-Risk-Scores [4].
Zunächst wurden die häufigsten Diagnosen der stationären und der ambulanten Fälle separat ermittelt. Bei sehr vielen, differenzierten Subdiagnosen des ICD-10-GM-Systems wurden jeweils die 3‑stelligen ICD-Diagnosen verwendet.
Als Multimorbide wurden die Fälle definiert, bei denen ≥ 5 Diagnosen vorlagen. Alle weiteren wurden als Nichtmultimorbide weitergeführt. Um jeweils typische Diagnosen zu gewinnen, wurden alle Fälle in Multimorbide mit stationärer Behandlung (n = 15.652) und Multimorbide, die ambulant verblieben (n = 64), separiert. Restliche ambulante Multimorbide (n = 73) mit Ausschlussdiagnosen wurden nicht berücksichtigt.
Die über RStudio in 3‑stellige Subkategorien zusammengefassten Diagnosen, die am häufigsten vorkamen, wurden a priori in 112 Subcluster (Diagnosegruppen) zusammengefasst [4]. Risikofaktorsubcluster, wie „Hypertonie“ (I10–I15) oder „Störung der Blutglukoseregulation“ (E10–E14, E16) wurden wegen allgemein bekannter Verknüpfung zwischen Risikoerkrankung und Folgeerkrankung ausgeschlossen. Um Kombinationen der vermehrt miteinander auftretenden Subcluster aufzuzeigen, wurden mithilfe des RStudio-Pakets psych und der Funktion hclust hierarchische Clusteranalysen durchgeführt. Dabei wurde für jeden Fall ein Vektor aus 112 Subclustern mit den binären Variablen „0“ (kein Subcluster zutreffend) bzw. „1“ (Subcluster zutreffend) erstellt. Anschließend wurden die binären Distanzen berechnet und nach der Ward-D2-Methode in Cluster fusioniert [4]. Hier stellt jeder Fall in sich anfangs ein eigenes Cluster dar und wird iterativ in weitere Cluster zusammengeführt. Mittels Dendrogramm, also einem Baumdiagramm, das die Ähnlichkeitsbeziehungen zwischen einer Gruppe von Entitäten darstellt, und nach abschließender Untersuchung der resultierenden Cluster auf Plausibilität wurde die Anzahl an Clustern ausgewählt, die die größte Steigerung der Heterogenität aufzeigte [4].
Über das Paket „chron“ erfolgte die Berechnung der Gesamt- bzw. ZNA-VWD stationärer MP nach Umwandlung der in den csv-Dateien hinterlegten Zeitangaben vom Factor- in das Character-Format. Die ZNA-VWD ambulanter MP wurde aus dem Informationssystem der ZNA ermittelt.
Um die statistische Signifikanz der Altersunterschiede zwischen den stationären und ambulanten MP – bei Normalverteilung der Daten im Q‑Q-Plot – zu ermitteln, wurde ein Welch-2-Stichproben-t-Test durchgeführt.

Ergebnisse

Charakteristika des Patientenkollektivs der hierarchischen Clusteranalyse

In der monozentrischen, retrospektiven Clusteranalyse wurden in einem Zeitraum von 29 Monaten n = 35.249 Notfälle inkludiert; davon waren 53 % männlich und 47 % weiblich. Eine stationäre Aufnahme erfolgte in 81,2 % der Notfälle, 18,8 % verblieben ambulant (Abb. 1). Die Kriterien der MM waren in 44,6 % (n = 15.716) dieser Notfälle erfüllt (Abb. 2). Dabei wurden 99,6 % (n = 15.652) dieser multimorbiden Notfallpatient*innen stationär aufgenommen, nur 0,4 % (n = 64) konnten aus der Notaufnahme entlassen werden (Abb. 3).
Abb. 1
Anteil stationärer und ambulanter Notfälle im konservativen Bereich der zentralen Notaufnahme der Universitätsmedizin Göttingen im Zeitraum 01.01.2016 bis 31.05.2018
Bild vergrößern
Abb. 2
Analyse des Anteils multimorbider Notfallpatient*innen im Studienkollektiv
Bild vergrößern
Abb. 3
Disposition multimorbider Notfallpatient*innen im Studienzeitraum
Bild vergrößern
Der Altersunterschied zwischen stationären und ambulant verbliebenen MP war hochsignifikant (stationäre MP 68,7/ambulante MP 60,8 Jahre; p < 0,001; 95 %-CI [3,73, 12,18]; t[63,5] = 3,76).

Hierarchische Clusteranalyse der Diagnosekombinationen bei multimorbiden Patient*innen

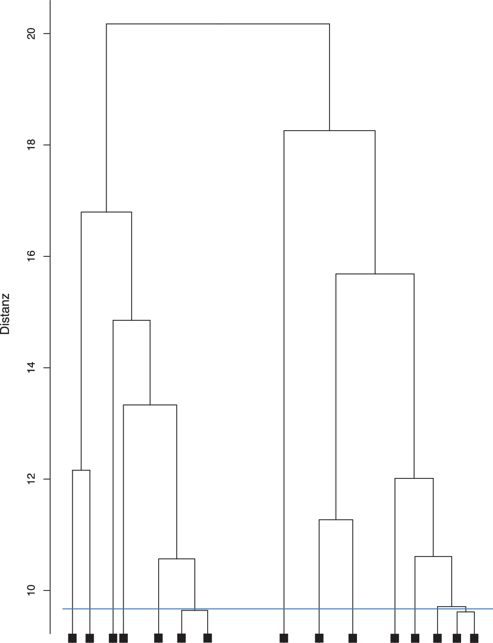
Im Rahmen einer hierarchischen Clusteranalyse wurde ein Dendrogramm erstellt, das die hierarchische Anordnung der einzelnen Cluster verdeutlicht. Der Abstand einer horizontalen Linie, die 2 Cluster verbindet, zu der nächsten horizontalen Linie zeigt die Distanz jedes der Cluster zueinander. Je kleiner die Distanz eines Clusters zu einem anderen ist, desto ähnlicher sind sich diese. Visuell und nach inhaltlicher Überprüfung wurden für die stationären MP 13 Cluster (Abb. 4; Tab. 1) und für die ambulanten MP 7 Cluster (Abb. 5; Tab. 2) in den Diagnosekombinationen identifiziert.
Abb. 4
Ausschnitt aus dem Clusterdendrogramm stationärer, multimorbider Fälle. Die blaue Linie zeigt die Auswahl der 13 Cluster
Bild vergrößern
Tab. 1
Tabellarische Übersicht der Diagnosencluster bei stationären multimorbiden Patient*innen
Cluster
Fallzahlen
n
Clusterbezeichnung
1
428
Gravierende Zentralnervensystemsyndrome bei bekannten strukturellen zerebralen Erkrankungen
2
1265
Isolierte schwere Herzerkrankung
3
872
Schwere Pneumonien mit kardialer Erkrankung und akutem Nierenversagen
4
977
Deutlich symptomatische Infekte
5
629
Heterogene Diagnosekombinationen
6
1368
Schwere Pneumonien bei zerebralen Krankheiten
7
823
Zerebrale transitorische ischämische Attacke (TIA) bei Arrhythmie
8
922
Schwere Herzfunktionsstörung mit Begleiterkrankungen
9
3600
Bronchialerkrankung bei schwerer Herzerkrankung
10
843
Keine relevanten Diagnosekombinationen
11
1500
Systemische Infektionen mit diversen Diagnosekombinationen
12
1039
Zerebrale Erkrankungen und Arrhythmien
13
1388
Aspirationspneumonie und neurologische Erkrankungen
Abb. 5
Clusterdendrogramm ambulanter, multimorbider Fälle. Die blaue Linie zeigt die Auswahl der 7 Cluster
Bild vergrößern
Tab. 2
Tabellarische Übersicht der Diagnosencluster bei ambulanten multimorbiden Patient*innen
Cluster
Fallzahlen
n
Clusterbezeichnung
1
6
Hämatoonkologische Grunderkrankungen mit Begleiterkrankungen des Herzens und der Gefäße
2
7
Arrhythmien und Infekte der Atemwege
3
27
Pulmonale und hämatoonkologische Erkrankungen
4
4
Venen‑/Lymphsystemerkrankungen und endokrine Begleiterkrankungen
5
10
Hämatoonkologische Grunderkrankungen
6
7
Kardiovaskuläre und hämatoonkologische Erkrankungen
7
3
Solitäre Erkrankungen des ZNS
Die Analyse der Cluster mit den häufigsten Diagnosen ambulanter MP zeigte, dass darunter vorrangig das nichtfollikuläre Lymphom sowie die myeloische Leukämie aufgeführt waren. Einzelfallüberprüfungen ergaben, dass es sich bei den beiden größten ambulanten Clustern 3 (n = 27) und 5 (n = 10) um Patient*innen mit hämatoonkologischer Grunderkrankung handelte, bei denen es zu interkurrenten Erkrankungen, wie Pleuraerguss, COPD, Kandidose, akute Bronchitis oder endokrinologische Begleiterkrankungen, gekommen war. Somit wurden hämodynamisch stabile Patient*innen mit ohnehin zeitnah bestehendem ambulantem Termin nicht stationär aufgenommen. Auf Grundlage weiterer Überprüfungen ergaben sich Gründe für eine ambulante Behandlung anderer Patient*innen trotz ausgeprägter MM: So wurden z.B. bei Patient*innen aus dem Pflegeheim nach einer transitorischen ischämischen Attacke (TIA) mit Hinlauftendenzen im Rahmen der Demenzerkrankung vorrangig in der gewohnten Umgebung ambulant weiterbehandelt.

Verweildauer in der ZNA und im Krankenhaus

Stationäre MP aus Cluster 3 und Cluster 11 verblieben am längsten im Krankenhaus (Gesamt-VWD 22,9 und 22,6 Tage). Hier standen vor allem Pneumonien, systemische Infektionen, kardiale Erkrankungen sowie das akute Nierenversagen im Vordergrund.
Bis zur weiteren Versorgung wiesen die stationären MP aus den Clustern 4, 7 und 9 die längste VWD in der ZNA auf (8,3 h; Abb. 6). Diese Cluster umfassten hauptsächlich bakterielle Infektionen, transitorische ischämische Attacken (TIA) oder andere ZNS-Syndrome (ohne Hirninfarkte) sowie chronische Atemwegserkrankungen. Bei den ambulanten MP betrug die maximale VWD in der ZNA höchstens 3,2 h (Cluster 6; Abb. 6). 100 % dieser Fälle wiesen Diagnosen auf, die den kardialen Erkrankungen zuzuordnen waren, 42,9 % davon den hämatologischen Malignomen.
Abb. 6
Verweildauer stationärer und ambulanter multimorbider Fälle in der ZNA
Bild vergrößern

Diskussion

In der vorliegenden retrospektiven Studie wurde erstmalig eine strukturierte, hierarchische Clusteranalyse der Diagnosekombinationen von multimorbiden Notfallpatient*innen im konservativen Bereich einer ZNA der umfassenden Notfallversorgung in Deutschland durchgeführt. In der Analyse über einen 2‑jährigen Zeitraum ergab sich, dass 44,6 % der Notfälle die Kriterien der MM mit mehr als 5 Diagnosen erfüllten, hiervon mussten fast alle Fälle (99,6 %) stationär aufgenommen werden. Die stationären MP waren mit durchschnittlich 68,7 Jahren hochsignifikant älter als die ambulanten MP mit durchschnittlich 60,8 Jahren (p < 0,001). In der Literatur werden stationäre Aufnahmeraten von 20–60 % beschrieben. Allerdings wird auch die Abhängigkeit von Alter und Triagierung (> 60-Jährige mit dringlicher Behandlungsnotwendigkeit bei > 82 %) sowie Fachdisziplin (nichtchirurgische Notfälle mit höherer Rate als chirurgische) deutlich [7, 12]. Die hohe Konversionsrate in dem hier beschriebenen Patientenkollektiv ist einerseits bedingt durch das Altersspektrum und die Triagestufe der eingeschlossenen Patient*innen. Zudem ist die Universitätsmedizin Göttingen ein Krankenhaus der Maximalversorgung mit einem sehr großen Einzugsgebiet sowie eigener Klinik für Geriatrie und einem hohen Anteil von geriatrischen, schwerstkranken Notfallpatient*innen, d. h.: Insbesondere aus der Region werden MM mit hoher Triagestufe zugewiesen, die nachfolgend in den verschiedensten Fachdisziplinen der UMG versorgt werden.
Lai et al. [9] ermittelten demgegenüber im Jahr 2021, dass 95 % der stationären Patient*innen multimorbid waren, allerdings bei einer Definition von MM mit ≥ 2 chronischen Erkrankungen. Angesichts des medizinischen Fortschritts sind allerdings 2 aktive Diagnosen nicht selten.
Der „claims-based frailty index“ (CFI) u. a. über Mortalität, Beeinträchtigungen, Beweglichkeit und Sturzneigung bei Menschen ab 65 Jahren von Kim et al. (2018) stieg mit zunehmendem Alter [8]. Anders als bei diesem „frailty index“ zeigte sich in der vorliegenden Studie jedoch, dass MM auch bei Jüngeren relevant war.
Bei den von Marengoni et al. im Jahr 2009 [11] in Cluster zusammengefassten Erkrankungsgruppen (n = 1099; Einschlussalter ≥ 77 Jahre) erfolgte die Diagnoseerhebung über Fragebögen, klinische Untersuchungen und Laborergebnisse. Durch die Übermittlung der großen Zahl nur an Diagnosen als csv-Dateien konnte dies in der vorliegenden Studie jedoch objektiv und effizient erfolgen.
In der hierarchischen Clusteranalyse der vorliegenden Studie wurden für die n = 15.652 stationären MP 13 Cluster und für die n = 64 ambulanten MP 7 Cluster identifiziert.
Die Wahl einer aussagekräftigen Anzahl an Clustern im Rahmen einer Clusteranalyse gilt allgemein als problematisch, da statistische Methoden bei weit gestreuten Datensätzen nicht immer eindeutige Ergebnisse liefern [17]. In der vorliegenden Studie wurde die Clusteranzahl deshalb mittels Dendrogramm ausgewählt. Lai et al. (2021) identifizierten mit der sog. Elbow-Methode 5 Cluster bei MP > 45 Jahren [9]. Dabei resultiert nach iterativen K‑Means-Clusteranalysen verschiedener Clusteranzahlen eine Graphik, in der es zu einem Knick in Form eines Ellenbogens kommt, an dem die Mittelpunkte der Cluster sich annähern [10]. Auch Lai et al. führten am Ende eine Plausibilitätsprüfung durch, um eine klinisch sinnvolle Clusteranzahl zu erhalten, und definierten am Ende 9 Cluster [9].
Die Studie von Gilbert et al. [4] zeigt im Vergleich zur vorliegenden Studie Gemeinsamkeiten und Unterschiede. Die Gruppe wählte 109 für Frailty charakteristische Diagnosen aus und errechnete durch multiple Regressionsanalysen und c‑Statistik einen Hospital Frailty Risk Score (HFRS). Zusätzlich berücksichtigten sie Aufenthaltsdauer und -kosten. Es zeigten sich Cluster aus Kataraktoperationen, chronischen und akuten Herz- und Lungen- sowie malignen Erkrankungen mit jeweils erhöhtem HFRS. Ein Vergleich der Frailty-typischen Diagnosen mit der vorliegenden Studie zeigte ebenfalls u. a. Vorliegen von Demenz, Delir, „anderen zerebrovaskulären Erkrankungen“, Aspirationspneumonien und Sepsis.
In der vorliegenden Studie umfasst Cluster 5 der stationären Fälle ebenfalls heterogene Krankheitsbilder: Einige dieser Erkrankungen zeigen offensichtlich eine stationäre Aufnahmeindikation an (gastrointestinale Blutung, akutes Nierenversagen), andere nicht (Ernährungsmangel, Adipositas, periphere arterielle Verschlusskrankheit). Im ambulanten Cluster (n = 64) der vorliegenden Studie fanden sich im Wesentlichen hämatoonkologische Erkrankungen.
1987 entwickelten Charlson et al. den Charlson Comorbidity Index mit Aussagen über die Ein-Jahres-Mortalität bei 17 vordefinierten Komorbiditäten. Dieser wurde jedoch nur monodimensional bei 559 Patient*innen entwickelt und bei 685 Patientinnen mit Mammakarzinom validiert [3].
Die Reduktion der VWD der Patient*innen stellt eine wichtige prozessuale Maßnahme für den Patientenflow in der ZNA dar. Ältere Patient*innen verbleiben jedoch in der Regel länger in der ZNA und werden häufiger aufgenommen [2, 13, 14]. Die vorliegende Arbeit zeigt, dass auch jüngere MP eine längere VWD in der ZNA aufweisen – vor allem bei besonderen Diagnosekombinationen, was offensichtlich eine längere Überwachungszeit und erhöhten diagnostischen und therapeutischen Aufwand bedingt. Auch sind organisatorische Faktoren wie Bettenkapazitäten zu berücksichtigen. Es bestätigt sich hinsichtlich der stationären VWD, dass sowohl Grunderkrankungen, wie Immunerkrankungen oder hämatologische Malignome, als auch schwerwiegende Komplikationen, wie Pleuraergüsse oder das akute Nierenversagen, ausschlaggebend für einen längeren Aufenthalt sind. Bei Clustern mit geringer Gesamt-VWD zeigten sich eher zeitnah zu therapierende Erkrankungen wie das Vorhofflimmern, die koronare Herzkrankheit oder der akute Myokardinfarkt [15]. Insgesamt zeigte sich ein Zusammenhang zwischen längerer ZNA- sowie Gesamt-Krankenhaus-VWD und den für MM typischen Subclustern.

Limitationen

Das Design der vorliegenden Studie war lediglich retrospektiv und monozentrisch. Darüber hinaus wurden nach Durchführung der strukturierten Ersteinschätzung und Zuordnung in den konservativen Bereich der zentralen Notaufnahmen hauptsächlich internistische und neurologische Diagnosen berücksichtigt. Des Weiteren ist zu berücksichtigen, dass im Rahmen der Aufnahme von Notfällen nicht regelhaft alle Vorbefunde vorliegen, sodass sich hieraus Limitationen für die Identifikation von MM-Patient*innen ergeben können. Trotz der geringen Zahl der ambulanten Fälle wird im Sinne einer orientierenden Untersuchung ein Zusammenhang zwischen MM und Indikation einer stationären Behandlung deutlich.

Ausblick

Mit weiteren, multizentrischen Studien zur hierarchischen Clusteranalyse von Diagnosekombinationen bei multimorbiden Notfallpatient*innen könnte schließlich die Entwicklung eines MM-Scores erfolgen. Damit wären MP mit erhöhtem Risiko für eine längere ZNA- oder Krankenhaus-VWD zeitnah in der ZNA zu identifizieren. Ergänzend zu aktuellen Kontextfaktoren wäre auch die Einbettung in den Katalog der ambulant durchführbaren Operationen (AOP) zur Begründung einer stationären Aufnahme möglich. Die Limitation der Identifikation von MM bereits in der Notaufnahme könnte durch die zukünftige Einführung der elektronischen Patientenakte behoben werden.

Fazit für die Praxis

Spezifische, MM-typische und operationalisierbare Diagnosencluster sind geeignet, frühzeitig in einer ZNA eine stationäre Aufnahmenotwendigkeit anzuzeigen. Dadurch könnten Prozesse in der ZNA verkürzt, unnötige Aufnahmen reduziert und die Behandlungskosten verringert werden. Dies setzt eine Evaluation der Ergebnisse der hierarchischen Clusteranalyse dieser Pilotstudie in weiteren klinischen Studien voraus.

Einhaltung ethischer Richtlinien

Interessenkonflikt

E. Grüneberg, R. Fliedner, T. Beißbarth, C.A.F. von Arnim und S. Blaschke geben an, dass kein Interessenkonflikt besteht.
Für die Durchführung der Studie liegt ein positives Votum der Ethikkommission der Universitätsmedizin Göttingen vor (Antragsnr. 10/9/21). Für die aufgeführten Studien gelten die jeweils dort angegebenen ethischen Richtlinien.
Open Access Dieser Artikel wird unter der Creative Commons Namensnennung 4.0 International Lizenz veröffentlicht, welche die Nutzung, Vervielfältigung, Bearbeitung, Verbreitung und Wiedergabe in jeglichem Medium und Format erlaubt, sofern Sie den/die ursprünglichen Autor(en) und die Quelle ordnungsgemäß nennen, einen Link zur Creative Commons Lizenz beifügen und angeben, ob Änderungen vorgenommen wurden.
Die in diesem Artikel enthaltenen Bilder und sonstiges Drittmaterial unterliegen ebenfalls der genannten Creative Commons Lizenz, sofern sich aus der Abbildungslegende nichts anderes ergibt. Sofern das betreffende Material nicht unter der genannten Creative Commons Lizenz steht und die betreffende Handlung nicht nach gesetzlichen Vorschriften erlaubt ist, ist für die oben aufgeführten Weiterverwendungen des Materials die Einwilligung des jeweiligen Rechteinhabers einzuholen.
Weitere Details zur Lizenz entnehmen Sie bitte der Lizenzinformation auf http://creativecommons.org/licenses/by/4.0/deed.de.

Hinweis des Verlags

Der Verlag bleibt in Hinblick auf geografische Zuordnungen und Gebietsbezeichnungen in veröffentlichten Karten und Institutsadressen neutral.
download
DOWNLOAD
print
DRUCKEN
Titel
Multimorbidität als Prädiktor für eine stationäre Aufnahme in der klinischen Notfall- und Akutmedizin
Monozentrische Clusteranalyse
Verfasst von
E. Grüneberg
R. Fliedner
T. Beißbarth
C. A. F. von Arnim
Prof. Dr. S. Blaschke
Publikationsdatum
11.09.2024
Verlag
Springer Medizin
Erschienen in
Medizinische Klinik - Intensivmedizin und Notfallmedizin / Ausgabe 5/2025
Print ISSN: 2193-6218
Elektronische ISSN: 2193-6226
DOI
https://doi.org/10.1007/s00063-024-01180-6
1.
Zurück zum Zitat Battegay E, Cheetham M, Holzer BM, Nowak A, Schmidt D, Rampini S (2017) MMsmanagement im Alltagsdilemma. Internist 58:344–353CrossRefPubMed
2.
Zurück zum Zitat Biber R, Bail HJ, Sieber C, Weis P, Christ M, Singler K (2013) Correlation between Age, Emergency Department Length of Stay and Hospital Admission Rate in Emergency Department Patients Aged ≥ 70 Years. Gerontology 59:17–22CrossRefPubMed
3.
Zurück zum Zitat Charlson ME, Pompei P, Ales KL, MacKenzie CR (1987) A new method of classifying prognostic comorbidity in longitudinal studies: development and validation. J Chronic Dis 40:373–383CrossRefPubMed
4.
Zurück zum Zitat Gilbert T, Neuburger J, Kraindler J, Keeble E, Smith P, Ariti C, Arora S, Street A, Parker S, Roberts HC et al (2018) Development and validation of a Hospital Frailty Risk Score focusing on older people in acute care settings using electronic hospital records: an observational study. Lancet 391:1775–1782CrossRefPubMedPubMedCentral
5.
Zurück zum Zitat Gilboy N, Tanabe P, Travers DA (2005) The Emergency Severity Index Version 4: Changes to ESI Level 1 and Pediatric Fever Criteria. J Emerg Nurs 31:357–362CrossRefPubMed
6.
Zurück zum Zitat Grafstein E, Unger B, Bullard M, Innes G, the Canadian Emergency Department Information System (CEDIS) Working Group (2003) Canadian Emergency Department Information System (CEDIS) Presenting Complaint List (Version 1.0). CJEM 5:27–34CrossRefPubMed
7.
Zurück zum Zitat Gries A, Schrimpf AM, von Dercks N (2022) Hospital emergency departments—utilization and resource deployment in the hospital as a function of the type of referral. Dtsch Ärztebl Int 119:640–646PubMedPubMedCentral
8.
Zurück zum Zitat Kim DH, Schneeweiss S, Glynn RJ, Lipsitz LA, Rockwood K, Avorn J (2018) Measuring Frailty in Medicare Data: Development and Validation of a Claims-Based Frailty Index. J Gerontol Ser A 73:980–987CrossRef
9.
Zurück zum Zitat Lai FTT, Beeler PE, Yip BHK, Cheetham M, Chau PYK, Chung RY, Wong ELY, Yeoh E‑K, Battegay E, Wong SYS (2021) Comparing Multimorbidity Patterns Among Discharged Middle-Aged and Older Inpatients Between Hong Kong and Zurich: A Hierarchical Agglomerative Clustering Analysis of Routine Hospital Records. Front Med 8:651–925CrossRef
10.
Zurück zum Zitat Lugner M, Gudbjörnsdottir S, Sattar N, Svensson A‑M, Miftaraj M, Eeg-Olofsson K, Eliasson B, Franzén S (2021) Comparison between data-driven clusters and models based on clinical features to predict outcomes in type 2 diabetes: nationwide observational study. Diabetologia 64:1973–1981CrossRefPubMedPubMedCentral
11.
Zurück zum Zitat Marengoni A, Rizzuto D, Wang H‑X, Winblad B, Fratiglioni L (2009) Patterns of Chronic Multimorbidity in the Elderly Population. J Am Geriatr Soc 57:225–230CrossRefPubMed
12.
Zurück zum Zitat Michael M, Al Agha S, Böhm L, Bosse HM, Pohle AN, Schürmann J, Hannappel O, Tengg E, Weiß C, Bernhard M (2023) Alters- und geschlechtsbezogene Verteilung von Zuführung, Ersteinschätzung, Entlassart und Verweildauer in der zentralen Notaufnahme. Notfall Rettungsmed 26:39–48CrossRef
13.
Zurück zum Zitat Singal BM, Hedges JR, Rousseau EW, Sanders AB, Berstein E, McNamara RM, Hogan TM (1992) Geriatric patient emergency visits. Part I: Comparison of visits by geriatric and younger patients. Ann Emerg Med 21:802–807CrossRefPubMed
14.
Zurück zum Zitat Singler K, Dormann H, Dodt C, Heppner HJ, Püllen R, Burkhardt M, Swoboda W, Roller-Wirnsberger RE, Pinter G, Mrak P, Münzer T (2016) Der geriatrische Patient in der Notaufnahme: Positionspapier der Deutschen Gesellschaft interdisziplinäre Notfall- und Akutmedizin (DGINA), der Deutschen Gesellschaft für Geriatrie (DGG), der Deutschen Gesellschaft für Gerontologie und Geriatrie (DGGG), der Österreichischen Gesellschaft für Geriatrie und Gerontologie (ÖGG) und der Schweizerischen Fachgesellschaft für Geriatrie (SFGG). Notf Rettungsmedizin 19:496–499CrossRef
15.
Zurück zum Zitat Tomer O, Leibowitz D, Einhorn-Cohen M, Shlomo N, Dobrecky-Mery I, Blatt A, Meisel S, Alcalai R (2021) The impact of short hospital stay on prognosis after acute myocardial infarction: An analysis from the ACSIS database. Clin Cardiol 44:748–753CrossRefPubMedPubMedCentral
16.
Zurück zum Zitat van der Wulp I, Schrijvers AJP, van Stel HF (2009) Predicting admission and mortality with the Emergency Severity Index and the Manchester Triage System: a retrospective observational study. Emerg Med J 26:506–509CrossRefPubMed
17.
Zurück zum Zitat Zalay OC (2020) Blind method for discovering number of clusters in multidimensional datasets by regression on linkage hierarchies generated from random data. PLoS ONE 15:e227788CrossRefPubMedPubMedCentral
18.
Zurück zum Zitat Zimmermann M, Brokmann JC, Gräff I, Kumle B, Wilke P, Gries A (2016) Zentrale Notaufnahme – Update 2016. Anaesthesist 65:243–249CrossRefPubMed

Neu im Fachgebiet AINS

Mit den Schmerzen steigen die Troponinspiegel nach Hüft-Op.

Auf mögliche kardiale Auswirkungen postoperativer Schmerzen weist die Subgruppenanalyse des randomisierten kontrollierten HIP-ATTACK-Trials hin. Bei ausgeprägten Schmerzen im Zusammenhang mit einer Hüftoperation stiegen die Troponinspiegel signifikant an – ein Kausalzusammenhang ist damit allerdings noch nicht belegt.

7% durch chronische Schmerzen stark beeinträchtigt

Laut einer Querschnittstudie leiden rund 7% der in Deutschland lebenden über 16-Jährigen unter chronischen Schmerzen, die ihren Alltag stark beeinträchtigen. Außer biologischen scheinen auch psychische und soziale Faktoren mit sogenanntem High-Impact Chronic Pain assoziiert zu sein.

Elektroschrott: Wie Praxen Altgeräte sicher entsorgen

Ob nun Sonogerät, Praxiscomputer oder gar TI-Konnektor: Einfach zum nächsten Wertstoffhof sollten Praxisteams ausgediente Elektrogeräte nicht bringen. Was bei der Entsorgung zu beachten ist. Und wie die Teams sicher sensible Daten auf PC-Festplatte, externem Datenspeicher und TI-Komponenten löschen.

Hypothermie bei Sepsis – ein Warnsignal

  • 04.02.2026
  • Sepsis
  • Nachrichten

Im Fall einer Sepsis ist eine Körpertemperatur unter 36 °C bei älteren Menschen ein Warnsignal. In einer Studie aus Dänemark war bei Hypothermie, nicht aber bei Fieber das Mortalitätsrisiko deutlich erhöht.

e.Med Anästhesiologie - Alles drin für Ihr Fortbildungsziel ​ (Link öffnet in neuem Fenster)

Mit unserem e.Med Abo Anästhesiologie haben Sie jederzeit Zugriff auf aktuelles, ​praxisnahes Fachwissen – kompakt und einfach verfügbar. Jetzt CME-Punkte bequem online sammeln.

Update AINS

Bestellen Sie unseren Fach-Newsletter und bleiben Sie gut informiert.

Bildnachweise
Troponintest/© MdBabul/stock.adobe.com (Symbolbild mit Fotomodell), Verschiedene Tabletten/© zozzzzo / Getty Images / iStock, Ultraschalluntersuchung der Niere/© Your_Photo_Today (Symbolbild mit Fotomodellen), Ohrthermometer/© fresnel6 / Stock.adobe.com (Symbolbild mit Fotomodellen), e.Med Anästhesiologie