Zum Inhalt

Intravitreal Corticosteroid Implantation in Diabetic Macular Edema: Updated European Consensus Guidance on Monitoring and Managing Intraocular Pressure

  • Open Access
  • 05.01.2022
  • Commentary
Erschienen in:

Abstract

Intravitreal therapy for diabetic macular edema can, in susceptible patients, increase intraocular pressure (IOP). As uncontrolled IOP can potentially be sight threatening, monitoring is an essential component of patient management. It can be challenging for retina specialists to ensure that monitoring is rigorous enough to detect and resolve any potential problems at the earliest opportunity without it also being overburdensome for patients who have the lowest risk of developing an IOP rise. We have developed dynamic algorithms that: (1) tailor the frequency and extent of monitoring according to individual susceptibility and current IOP and (2) assist retina specialists in deciding when they should consider a referral to a glaucoma specialist. One algorithm is for patients with a relatively low susceptibility to developing an IOP rise (those whose baseline IOP is < 22 mmHg and who do not have a history of IOP events). Depending on their first post-implantation IOP check, the algorithm classifies them as: low risk if IOP remains < 22 mmHg; medium risk if IOP is 22–25 mmHg and any rise from baseline is < 10 mmHg; or high risk if IOP is > 25 mmHg or any rise from baseline is ≥ 10 mmHg. Thereafter, the algorithm guides on the frequency and extent of monitoring required in each of these groups and, if IOP rises or falls during treatment, patients may move up or down the risk groups accordingly. A different algorithm is provided for patients who are more susceptible to developing an IOP rise (those with a baseline IOP of ≥ 22 mmHg or a prior history of an IOP event). These patients need monitoring more closely so this algorithm has only medium- or high-risk classifications. These algorithms update the previous monitoring guidance by Goñi et al. (Goñi et al. in Ophthalmol Ther 5:47–61, 2016).

Graphical Abstract

Key Summary Points
The intravitreal administration of treatments for diabetic macular edema can, in susceptible patients, increase intraocular pressure (IOP).
Increased IOP can threaten sight if not detected and treated promptly.
It is not possible to determine before treatment which patients will experience an IOP rise but those with a relatively high baseline IOP, a previous IOP rise, or a history of glaucoma may be more susceptible.
IOP should be monitored in all patients throughout the lifespan of their intravitreal treatment, with closer monitoring in those most at risk.
Algorithms are proposed that tailor the frequency and extent of monitoring depending on individual susceptibility and current IOP, with the aim of ensuring that any potentially problematic IOP rise is detected and treated promptly while allowing a lower level of monitoring in patients with a low risk.

Introduction

Treating diabetic macular edema (DME) often necessitates the intravitreal administration of anti-VEGF products and/or corticosteroids, either of which can increase intraocular pressure (IOP) in susceptible patients [17]. Ocular hypertension is an important risk factor for primary open-angle glaucoma and, if untreated, can lead to optic nerve damage and vision loss [8, 9]. Transient ocular hypertension is not generally considered a problem providing that the risk for glaucoma development is minimized [10], but early detection and treatment of an IOP rise are critical to ensuring that it remains transient. IOP monitoring is therefore an essential component of patient management after intravitreal therapy.
This commentary focuses on the issue of IOP monitoring after intravitreal administration of corticosteroid implants. Two such implants are approved for use in DME in Europe—a 700 μg dexamethasone implant (Ozurdex®; Allergan Ltd., Marlow, UK) that offers efficacy for up to approximately 6 months [6] and a longer-acting implant that offers continuous daily dosing of fluocinolone acetonide at 0.2 μg/day for up to 3 years (ILUVIEN®; Alimera Sciences Ltd., Aldershot, UK [7]). Some physicians also inject triamcinolone acetonide intravitreally for the treatment of DME. However, such usage is off-label in Europe, and this product is an injectable suspension rather than an implant (so provides a bolus dose rather than the slower release that is possible with an implant).
Corticosteroid-induced rises in IOP may be related to histological changes in the trabecular extracellular lamina increasing the trabecular resistance to the outflow of aqueous humour [11, 12] and possibly also trabecular fouling due to the repeated injection of silicone present in syringes and needles [13]. The development of corticosteroid-induced glaucoma may be related to environmental factors and gene locus interactions [12]. Although it is not possible to determine prior to treatment which patients will experience an IOP rise, several risk factors have been identified. These include: prior ocular hypertension or glaucoma [1417], especially glaucoma treated with dual or triple therapy [18]; a history of an IOP rise or a prior or current need for IOP-lowering treatment [1921]; a relatively high baseline IOP [14, 20, 22]; myopia [23]; axial length [24]; type 1 diabetes [18]; age [18, 24]; and Latino and South Asian ethnicity [25]. Furthermore, other factors such as implant positioning can also affect the risk post-implantation [26].
Although intravitreal corticosteroid implants are likely to be initiated by retina specialists, the potential complication of an IOP rise is an area in which glaucoma specialists have particular expertise. As a result, good communication between retina specialists and glaucoma specialists is needed for optimum patient outcomes. Guidance to assist retina specialists on the monitoring and management of IOP after intravitreal corticosteroid treatment of DME was published in 2016 [10]. This was 4 years after the first European license approval for the fluocinolone acetonide implant and at that time clinical data with this implant, and especially real-world clinical experience, were limited. Given the increase in clinical experience accumulated since then and the greater number of publications in the literature about corticosteroid implants—including, importantly, several long-term evaluations and numerous real-world evaluations (Table 1)—it is timely to revisit and update the guidance from 2016.
Table 1
Recent data on intraocular pressure (IOP) after intravitreal corticosteroid implantation (from key studies published since the guidance by Goñi et al. in 2016 [10])
https://static-content.springer.com/image/art%3A10.1007%2Fs40123-021-00427-1/MediaObjects/40123_2021_427_Tab1a_HTML.png
https://static-content.springer.com/image/art%3A10.1007%2Fs40123-021-00427-1/MediaObjects/40123_2021_427_Tab1b_HTML.png
± signifies standard deviation
DME diabetic macular edema, med medication, NA not available, SD standard deviation
aCalculated from the paper for the subgroup of patients with DME in the same manner as the authors used for the whole series of patients (i.e., 362 of 1,434 (25.2%) patients with DME had an IOP rise; 77/362 had a prior history of glaucoma and 285/362 had a new onset IOP rise). The authors state that “an IOP of > 25 mmHg was considered as significant ocular hypertension” so it has been assumed this definition applies to this calculation
bPatients received at least two injections, spaced 3–6 months apart, with the outcome analysed 3–6 months after the last injection
cIncludes data from some of the studies already in this table
dAssumes the total number of eyes at baseline in the real-world studies (1283, as shown in Table 2 of Fallico et al., 2021 [40]) is also the same number of eyes evaluated for IOP drops and glaucoma surgery
A group of six glaucoma specialists (FG, KB, JAD, MD, JGF, and AH) and two retina specialists (LK and MN) from across Europe gathered online in January and March 2021 to update the previous consensus guidance for retina specialists. Their recommendations are presented here and are designed to be suitable for implementation across Europe, subject to local adaptations in individual institutions and countries as needed. Key changes from the earlier guidance include:
  • Closer monitoring in patients who are most susceptible to developing an IOP rise (i.e., those with a baseline IOP of ≥ 22 mmHg or a prior history of an IOP event)
  • Closer monitoring in patients whose IOP increases ≥ 10 mmHg from baseline
  • Greater clarity on the timing of monitoring visits
  • Greater flexibility for retina specialists regarding when to initiate IOP-lowering medication and when to refer to a glaucoma specialist (which helps overcome logistical difficulties where local facilities are lacking)
  • Greater clarity on the stepwise introduction of treatments when IOP exceeds 25 mmHg and a de-emphasizing of the potential usefulness of selective laser trabeculoplasty as monotherapy in this scenario
  • The incorporation of a dynamic feedback mechanism which means the guidance continually adapts in line with the latest IOP measurement (to ensure it accurately reflects the current risk level throughout what could be a lengthy period of monitoring).
This article is based on previously conducted studies and does not contain any new studies performed by any of the authors.

Overview of Recent Key Data

Key data published since the previous guidance in 2016 regarding IOP and IOP-lowering treatment following intravitreal corticosteroid implantation are detailed in Table 1, and an overview of the key findings are summarized in Table 2. Overall, these recent data confirm that intravitreal corticosteroid implantation can be associated with a risk of ocular hypertension in some patients, with the risk being greater if patients have had a history of prior IOP events. In addition, the majority of IOP rises are managed with one or two IOP-lowering medications [37] (and so would generally be manageable by retina specialists), with only a small minority of eyes requiring additional medications, laser, or surgery.
Table 2
Summary of key findings from Table 1. Note that the numerous methodological differences between the analyses (especially affecting patient characteristics at baseline, treatment given, and duration of follow-up) preclude cross comparisons
Key findings from evaluations of one or more intravitreal corticosteroid implants
Conclusion
•The incidence of patients with diabetic macular edema (DME) whose intraocular pressure (IOP) increased by ≥ 10 mmHg—or whose IOP was ≥ 25 mmHg, ≥ 30 mmHg, or ≥ 35 mmHg—was greater after injection of an intravitreal dexamethasone implant than after a sham injection procedure (a needleless applicator pressed against the conjunctiva) [27]
Implantation of an intravitreal corticosteroid may increase the likelihood of a clinically significant rise in IOP or ocular hypertension
•The incidence of eyes with DME having an IOP > 25 mmHg was significantly greater after injection of an intravitreal fluocinolone acetonide implant than before implantation [39]
Implantation of an intravitreal corticosteroid may increase the likelihood of ocular hypertension
•During the various follow-up periods after injection of an intravitreal corticosteroid implant, IOP was:
  21 mmHg or greater in 31–60% of patients or eyes [21, 35, 37]
  25 mmHg or greater in 7–37% of patients or eyes [8, 18, 19, 21, 2729, 3135, 37, 39]
  30 mmHg or greater in 5–18% of patients or eyes [19, 21, 27, 28, 3739]
  35 mmHg or greater in 2–8% of patients or eyes [8, 18, 2729, 31, 32, 34, 35]
  Increased by ≥ 10 mmHg in 7–34% of patients or eyes [18, 2729, 31, 32, 34]
A proportion of eyes may develop clinically significant IOP after implantation of an intravitreal corticosteroid
•Relative to eyes without a history of prior IOP events, eyes with a history of prior IOP events that received an intravitreal fluocinolone acetonide implant for DME had a significantly higher incidence of [19]:
  IOP rising by ≥ 10 mmHg (45.7% vs 19.1%; p < 0.001)
  IOP > 25 mmHg (56.4% vs 20.4%; p < 0.001)
  IOP > 30 mmHg (35.1% vs 8.0%; p < 0.001)
  Needing IOP-lowering medication (50.0% vs 17.9%; p < 0.001)
A history of a prior IOP event significantly (p < 0.001) increases the likelihood of an intravitreal corticosteroid implant resulting in:
 IOP rising by ≥ 10 mmHg
 IOP exceeding 25 mmHg or 30 mmHg
 IOP-lowering medication being needed
•The incidence of patients or eyes with DME reported to receive IOP-lowering treatments after injection of an intravitreal corticosteroid implant was:
  Up to 46% for medicationa
  0–1.3% for trabeculoplastya
  0–1.2% for trabeculectomy
  0–3.7% for IOP-lowering surgerya
The vast majority of eyes requiring IOP-lowering therapy after intravitreal corticosteroid implantation are managed with glaucoma medication. Only a small minority of eyes are treated with laser or surgery
aAt least some of these were also required pre-implantation so these data are not necessarily solely attributable to implantation [21, 39]

Pre-implantation Considerations

Patient selection is important for optimal efficacy and safety [39, 41]. From a safety perspective, it is critical to identify which eyes may be most susceptible to developing ocular hypertension so that their suitability for implantation can be considered carefully and their potential need for closer monitoring and additional interventions can be accommodated.
Glaucoma can be a contraindication for intravitreal corticosteroid implantation [6, 7] as it is known to increase the risk of an IOP rise [8, 18]. (In Europe, advanced glaucoma which cannot be adequately controlled by medicinal products alone is a contraindication to intravitreal dexamethasone implantation [6] and pre-existing glaucoma is a contraindication to intravitreal fluocinolone acetonide implantation [7].) Nevertheless, anecdotal reports from glaucoma specialists and the literature [11, 18, 38] show that patients with glaucoma have been successfully treated with intravitreal corticosteroid implants. Such patients could include, for example, those with glaucoma whose IOP is well controlled by medication [42] or stents and those with uveitis and glaucoma who are in great need of corticosteroid treatment and have no suitable alternatives. In such scenarios, the risk-to-benefit equation can be in favour of the need for disease control through the use of intravitreal corticosteroid treatment—although, consequent to this, there will need to be collaboration with a glaucoma specialist to ensure adequate monitoring so that risks are minimized and potential problems are detected and addressed at the earliest opportunity.
Non-glaucomatous patients who may have higher than average susceptibility to a rise in IOP include those with higher IOP at baseline or a history of a prior rise in IOP (including a history of needing IOP-lowering treatment) [19, 21]. It is logical that monitoring may need to be more frequent and/or extensive in these more susceptible patients and, as a result, we advise closer monitoring for patients with a:
  • Baseline IOP of ≥ 22 mmHg (ocular hypertension according to the European Glaucoma Society [43]).
  • History of an IOP rise to > 25 mmHg or an IOP rise of ≥ 10 mmHg.
  • Prior or current need for IOP-lowering treatment.
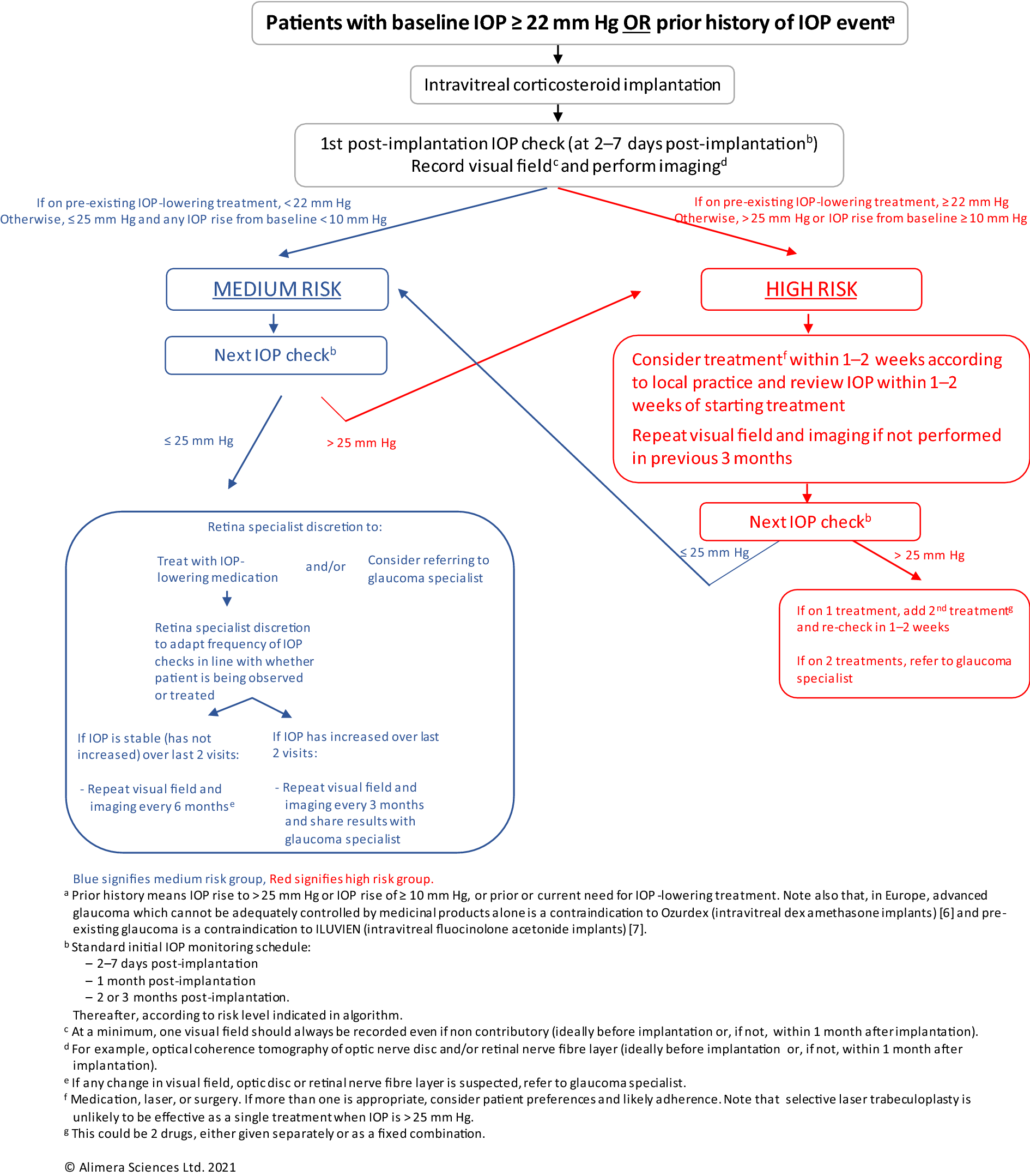
We recommend monitoring less susceptible patients (i.e., those without these criteria) according to the algorithm in Fig. 1 and those who have greater susceptibility (i.e., those with these criteria) according to the modified algorithm in Fig. 2.
Fig. 1
Algorithm for monitoring and treating patients who are less susceptible to a rise in intraocular pressure (IOP) (i.e., patients with a baseline IOP of < 22 mmHg and no prior history of an IOP event). Guidance depends on whether the latest IOP measurement classifies patients as low risk, medium risk, or high risk for developing a potentially concerning IOP rise
Bild vergrößern
Fig. 2
Algorithm for monitoring and treating patients who may be more susceptible to a rise in intraocular pressure (IOP) (i.e., patients with a baseline IOP of ≥ 22 mmHg or a prior history of an IOP event). Guidance depends on whether the latest IOP measurement classifies patients as medium risk or high risk for developing a potentially concerning IOP rise
Bild vergrößern

Post-Implantation Recommendations

IOP should be checked within the first week after implantation [7]. Figure 1 shows that the latest IOP reading and the degree of change in IOP from baseline are used to classify whether a patient has a low, medium, or high risk of developing a potentially concerning IOP rise. The algorithm in Fig. 2 omits the lower risk classifications because patients following this algorithm have inherent risk factors that could remain for the lifetime of any implant—so their monitoring needs to retain a consistently higher level of alertness.
Each risk category is associated with different monitoring and/or treatment recommendations in line with the level of surveillance and intervention that is appropriate (Figs. 1, 2, 3). With each subsequent IOP check, the level of risk is re-evaluated based on the latest IOP level. Therefore, if a patient’s IOP rises and falls during the post-implantation follow-up, then the patient’s risk category may also rise and fall—triggering adaptations to monitoring and/or treatment as necessary. In this way, the algorithms offer a dynamic reflection of a changing clinical situation (Fig. 3).
Fig. 3
Clarification of intraocular pressure (IOP) monitoring requirements in the different risk groups depicted in the algorithms of Figs. 1 and 2. Patients may move between the different risk groups at any time during monitoring depending on their latest IOP
Bild vergrößern
Both algorithms recommend assessing IOP at 2–7 days after implantation [7], 1 month after implantation, and 2 or 3 months after implantation. Thereafter, the frequency of subsequent monitoring depends on the risk category (every 3 months in the low-risk category, at the retina specialist’s discretion in the medium-risk category, and at the glaucoma specialist’s discretion in the high-risk category). The 1-month check has been shown to have value in identifying an increased risk for subsequent ocular hypertension [24] but an increase in IOP can occur at any time during the life of the implant and not only in the weeks and months immediately following implantation. Indeed, with the fluocinolone acetonide implant, it has been reported that the first observation of an IOP > 25 mmHg occurred a mean (± SD) of 418 ± 324 days post-implantation [19]. This wide variability in possible timing underscores the need for regular monitoring throughout the lifespan of the implant. It is similarly important to maintain monitoring throughout the total duration of treatment with repeated dexamethasone implants because, at least in patients with uveitis or retinal vein occlusion, a need for glaucoma surgery has been reported to have arisen after anywhere from one to ten implants—thus, it cannot be assumed that a lack of IOP rise early in treatment precludes the risk of a rise occurring later [8].
Both algorithms show that all patients in the medium- or high-risk groups should have their visual field recorded at least once. This is good clinical practice and important for legal defence reasons, so is valuable even if it is non-contributory.
Imaging of the optic head and/or retinal nerve fibre layer is also advised as soon as a patient is classified as medium or high risk. In the medium-risk group, it should be repeated every 3 months if IOP increases (i.e., is unstable) or every 6 months if IOP has not increased (i.e., is stable). In the high-risk group, it should be monitored every 3 months.
Regarding treatment, in the low-risk group no IOP-lowering treatment is necessary if the IOP remains < 22 mmHg but IOP monitoring should continue at least quarterly for the life of the implant. In the medium-risk group, IOP-lowering treatment may be advised at the discretion of the retina specialist or glaucoma specialist. In the high-risk group, IOP-lowering treatment is usually necessary—initially one treatment and, if this is not sufficiently effective within 1–2 weeks, then two treatments. If these fail to maintain the IOP < 25 mmHg within another 1–2 weeks, the patient should be referred to a glaucoma specialist.
The results of a recent study evaluating referrals to glaucoma specialists from optometric practitioners that were based on IOP alone suggest that limiting referrals to patients who are at least 45 years of age (in addition to having an IOP of at least 25 mmHg) may improve the effectiveness of referrals without missing any patients who have glaucoma or who require IOP-lowering treatment [44]. Currently, we do not know if this might also be the case with referrals from retina specialists.

Hypothetical Patient Scenarios Illustrating the Guidelines in Action

JOHN
 
History
No prior history of intravitreal corticosteroid treatment or raised IOP or glaucoma
Baseline IOP
14 mmHg
Pre-implantation assessment
John does not have any of the above-mentioned factors that might make him more susceptible to an IOP rise and so his retina specialist can consider him for an intravitreal corticosteroid implant without needing to consult glaucoma colleagues
Post-implantation monitoring
John is treated with the intravitreal corticosteroid implant. As he does not have any of the key factors increasing his susceptibility to an IOP rise, his monitoring follows the algorithm for less susceptible patients (Fig. 1). His IOP monitoring starts on the standard schedule (i.e., 2–7 days, 1 month, and 2–3 months after implantation and, thereafter, depending on the relevant risk classification) as follows:
 
7 days post-implantation:
IOP is 19 mmHg, so he is in the low-risk group
 
1 month post-implantation:
IOP is 24 mmHg and, because this is ≥ 10 mmHg higher than his baseline IOP, he moves to the high-risk group. His visual field is recorded, imaging is performed, and he is treated with one topical IOP-lowering medication within 1–2 weeks. He is followed up again 1–2 weeks after starting the medication
 
1.5 months post-implantation:
IOP is 26 mmHg, so a second topical IOP-lowering medication is added to his treatment
 
2 months post-implantation:
IOP is still 26 mmHg, so he is referred to a glaucoma specialist
WILLIAM
 
History
No prior history of intravitreal corticosteroid treatment or raised IOP or glaucoma
Baseline IOP
21 mmHg
Pre-implantation assessment
William does not have any of the above-mentioned factors that might make him more susceptible to an IOP rise and so his retina specialist can consider him for an intravitreal corticosteroid implant without needing to consult glaucoma colleagues
Post-implantation monitoring
William is treated with an intravitreal fluocinolone acetonide implant. As he does not have any of the key factors that could increase his susceptibility to an IOP rise, his monitoring follows the algorithm for less susceptible patients (Fig. 1). His IOP monitoring starts on the standard schedule (i.e., 2–7 days, 1 month, and 2–3 months after implantation and, thereafter, depending on the relevant risk classification) as follows:
 
5 days post-implantation:
IOP remains at 21 mmHg, so he remains in the low-risk group
 
1 month post-implantation:
IOP is 22 mmHg, so he moves to the medium-risk group and has his visual field recorded and imaging performed for the first time
 
2 months post-implantation:
IOP returns to baseline level of 21 mmHg, so he returns to the low-risk group and his next IOP check will be in 3 months
 
5 months post-implantation:
IOP is 21 mmHg, so he remains in the low-risk group and continues with IOP checks quarterly
 
8 months post-implantation:
IOP is 20 mmHg
 
11 months post-implantation:
IOP is 28 mmHg, so he moves to the high-risk group, is treated within 2 weeks with a single topical IOP-lowering drug and, as he has not had his visual field recorded and imaging performed within the last 3 months, these are repeated. His next IOP check is scheduled for 2 weeks after starting the medication
 
12 months post-implantation:
IOP is 22 mmHg, so he moves to the medium-risk group and continues the medication. His retina specialist decides to schedule the next IOP check for 4 weeks later
 
13 months post-implantation:
IOP is 21 mmHg, so has returned to the baseline level. He returns to the low-risk group and continues the medication. His IOP continues to be monitored every 3 months for the 36-month lifespan of the fluocinolone acetonide implant
 
16 months post-implantation:
IOP is 21 mmHg
 
19 months post-implantation:
IOP is 21 mmHg. In this low-risk scenario, a washout of the topical medication can be considered to determine whether or not the medication needs to be continued
 
22 months post-implantation:
IOP is 21 mmHg
 
25 months post-implantation:
IOP is 21 mmHg
 
28 months post-implantation:
IOP is 20 mmHg
 
31 months post-implantation:
IOP is 20 mmHg
 
34 months post-implantation:
IOP is 21 mmHg
ANN
 
History
Ann hates injections but is very motivated to do everything possible to protect her eyesight. She once had an IOP of 28 mmHg a few weeks after a previous intravitreal dexamethasone implant but this was controlled with a single glaucoma medication
Baseline IOP
20 mmHg
Pre-implantation assessment
Because of her prior history of an IOP rise beyond 25 mmHg after intravitreal corticosteroid treatment, Ann is more susceptible than most patients to developing another rise in IOP. As a result, her retina specialist should discuss protocols with the local glaucoma team to help determine Ann’s potential suitability for an intravitreal corticosteroid implant. The glaucoma team can also advise on monitoring and a plan of action if she has another rise in IOP
Post-implantation monitoring
Ann receives a fluocinolone acetonide implant because she can only tolerate the thought of a single injection every 3 years and not more frequently. Because of her prior history of an IOP event, her monitoring starts by following the algorithm for more susceptible patients (Fig. 2). Her visual field is recorded and imaging is performed. Her IOP monitoring starts on the standard schedule (i.e., 2–7 days, 1 month, and 2–3 months after implantation and, thereafter, depending on the relevant risk classification) as follows:
 
5 days post-implantation:
IOP is 20 mmHg, so she is in the medium-risk group
 
1 month post-implantation:
IOP is 21 mmHg, so she stays in the medium-risk group
 
3 months post-implantation:
IOP is 27 mmHg, so she moves to the high-risk group and within 1–2 weeks is treated with a single IOP-lowering medication. Her visual field and imaging are repeated and her IOP is scheduled for review within 1–2 weeks of starting treatment
 
3.5 months post-implantation:
IOP is 25 mmHg, so she moves back to the medium-risk group. Her retina specialist schedules her next IOP check for 4 weeks later
 
4.5 months post-implantation:
IOP remains at 25 mmHg and her retina specialist adds a second topical IOP-lowering medication to reduce IOP further and schedules another IOP check for 6 weeks later
 
6 months post-implantation:
IOP is 25 mmHg. Ann continues with the medication and stays in the medium-risk group. Her retina specialist decides to continue monitoring IOP every 2 months. Because IOP has not increased over the last two visits, visual field and imaging only need to be repeated within 6 months of the last check (which was at 3 months post-implantation), so these are scheduled for the next visit
 
8 months post-implantation:
IOP is 22 mmHg, visual field and imaging are repeated
 
10 months post-implantation:
IOP is 22 mmHg
 
12 months post-implantation
IOP is 21 mmHg
 
14 months post-implantation:
IOP is 21 mmHg, visual field and imaging are repeated
 
16 months post-implantation:
IOP is 21 mmHg
 
18 months post-implantation:
IOP is 21 mmHg
 
20 months post-implantation:
IOP is 21 mmHg, visual field and imaging are repeated. Her retina specialist has concerns over a possible change in the retinal nerve fibre layer so refers Ann to a glaucoma specialist
ELSIE
 
History
Elsie has no prior exposure to intravitreal corticosteroids but has been on IOP-lowering medication for several months
Baseline IOP
19 mmHg
Pre-implantation assessment
Because of her existing need for IOP-lowering medication, Elsie is more susceptible than most patients to experiencing a corticosteroid-induced rise in IOP. Her retina specialist should discuss protocols with the local glaucoma team to help determine the potential suitability of an intravitreal corticosteroid implant. The glaucoma team can also advise on monitoring and a plan of action should a further rise in IOP occur
Post-implantation monitoring
Elsie receives an intravitreal corticosteroid implant and, because she is already on IOP-lowering treatment, her monitoring starts by following the algorithm for more susceptible patients (Fig. 2). Her visual field is recorded and imaging is performed. Her IOP monitoring starts on the standard schedule (i.e., 2–7 days, 1 month, and 2–3 months after implantation and, thereafter, depending on the relevant risk classification) as follows:
 
7 days post-implantation:
IOP is 19 mmHg, so she is in the medium-risk group
 
1 month post-implantation:
IOP is 21 mmHg, so she remains in the medium-risk group. As her IOP values over the last 2 visits have been unstable (i.e., have increased), her visual field and imaging are flagged to be repeated every 3 months and the results are to be shared with a glaucoma specialist
 
3 months post-implantation:
IOP is 22 mmHg and, as indicated previously, visual field and imaging results are repeated and the results shared with a glaucoma specialist for advice on ongoing management

Acknowledgements

Funding

Alimera Sciences, Ltd. (Aldershot, UK) provided funding for the meetings, the development of this manuscript, and the journal’s Rapid Service Fees.

Medical Writing Assistance

Medical writing services were provided by Gill Shears PhD (Write on Target Ltd., Leighton Buzzard, UK).

Authorship

All named authors meet the International Committee of Medical Journal Editors (ICMJE) criteria for authorship for this article, take responsibility for the integrity of the work as a whole, and have given their approval for this version to be published.

Author Contributions

FG facilitated the online meetings, reviewed the first draft manuscript, and approved the final manuscript. KB reviewed the first draft manuscript and approved the final manuscript. JAD reviewed the first draft manuscript and approved the final manuscript. MD reviewed the first draft manuscript and approved the final manuscript. JGF reviewed the first draft manuscript and approved the final manuscript. AH reviewed the first draft manuscript and approved the final manuscript. LK reviewed the first draft manuscript and approved the final manuscript. MN reviewed the first draft manuscript and approved the final manuscript.

Disclosures

All authors received honoraria from Alimera Sciences Ltd. Francisco Goñi also declares that he is/has been a consultant in the last 2 years for Aerie Pharmaceuticals, Allergan-AbbVie, Esteve, Horus Pharma, Omikron, and Thea. Keith Barton also declares that he has been a consultant to Alcon, Allergan, Ivantis, Carl Zeiss Meditec, Santen Pharmaceutical Co. Ltd., Radiance Therapeutics, pH Pharma, Kowa, Glaukos, iStar, EyeD Pharma, Laboratoires Théa, Advanced Ophthalmic Innovations, ELT Sight, Sight Sciences, Alimera Sciences, C-Mer Holdings, and Shifamed/Myra Medical. He has received honoraria from Alcon, Allergan, Laboratoires Théa, Eye Tech Care, Jamjoom Pharma, Santen Pharmaceutical Co. Ltd., and Carl Zeiss Meditec. In addition, he holds a patent with the National University of Singapore and holds stock in Vision Futures Ltd., Vision Medical Events Ltd., Aquesys, MedEther Ophthalmology (Hong Kong) Ltd., and International Glaucoma Surgery Registry Ltd. José António Dias has nothing additional to declare. Michael Diestelhorst also declares that he has utility patents. Julián Garcia-Feijoo also declares that he has been a consultant or advisory board member for Alcon, Allergan, Glaukos Corporation, iSTAR, Alimera, and Santen, Inc. He has received honoraria from Alcon, Allergan, iSTAR, Thea, and Santen, Inc. and has performed research for Alcon, Allergan, Glaukos Corporation, iSTAR, Ivantis, Inc., AJL Ophthalmic, Santen Inc., ZEISS, Heidelberg, Johnson & Johnson, Bausch & Lomb, Thea, and Pfizer. Anton Hommer also declares that he has been a speaker for Aerie, Allergan, Nidek, Santen, and Thea. Laurent Kodjikian also declares financial associations with AbbVie-Allergan, Bayer, Horus, Roche, Thea, and Novartis. Massimo Nicolò also declares that he is/has been a consultant in the last 2 years for Alimera, Allergan, Bayer, Novartis, and Roche.

Compliance with Ethics Guidelines

This article is based on previously conducted studies and does not contain any new studies with human participants or animals performed by any of the authors.

Data Availability

All data analysed during this study are included in this published article.
Open Access This article is licensed under a Creative Commons Attribution-NonCommercial 4.0 International License, which permits any non-commercial use, sharing, adaptation, distribution and reproduction in any medium or format, as long as you give appropriate credit to the original author(s) and the source, provide a link to the Creative Commons licence, and indicate if changes were made. The images or other third party material in this article are included in the article's Creative Commons licence, unless indicated otherwise in a credit line to the material. If material is not included in the article's Creative Commons licence and your intended use is not permitted by statutory regulation or exceeds the permitted use, you will need to obtain permission directly from the copyright holder. To view a copy of this licence, visit http://creativecommons.org/licenses/by-nc/4.0/.
Download
Titel
Intravitreal Corticosteroid Implantation in Diabetic Macular Edema: Updated European Consensus Guidance on Monitoring and Managing Intraocular Pressure
Verfasst von
Francisco J. Goñi
Keith Barton
José António Dias
Michael Diestelhorst
Julián Garcia-Feijoo
Anton Hommer
Laurent Kodjikian
Massimo Nicolò
Publikationsdatum
05.01.2022
Verlag
Springer Healthcare
Erschienen in
Ophthalmology and Therapy / Ausgabe 1/2022
Print ISSN: 2193-8245
Elektronische ISSN: 2193-6528
DOI
https://doi.org/10.1007/s40123-021-00427-1
1.
Zurück zum Zitat Bakri SJ, McCannel CA, Edwards AO, Moshfeghi DM. Persistent ocular hypertension following intravitreal ranibizumab. Graefes Arch Clin Exp Ophthalmol. 2008;246:955–8.CrossRef
2.
Zurück zum Zitat Bressler SB, Almukhtar T, Bhorade A, Diabetic Retinopathy Clinical Research Network Investigators, et al. Repeated intravitreous ranibizumab injections for diabetic macular edema and the risk of sustained elevation of intraocular pressure or the need for ocular hypotensive treatment. JAMA Ophthalmol. 2015;133:589–97.CrossRef
3.
Zurück zum Zitat Reina-Torres E, Wen JC, Liu KC, et al. VEGF as a paracrine regulator of conventional outflow facility. Investig Ophthalmol Vis Sci. 2017;58:1899–1908 [Erratum in: Invest Ophthalmol Vis Sci. 2017;58:2817].
4.
Zurück zum Zitat Lucentis summary of product characteristics. https://www.medicines.org.uk/emc/product/5418/smpc. Accessed 7 July 2021.
5.
Zurück zum Zitat Eylea summary of product characteristics. https://www.medicines.org.uk/emc/product/11273/smpc. Accessed 7 July 2021.
6.
Zurück zum Zitat Ozurdex summary of product characteristics. https://www.medicines.org.uk/emc/medicine/23422. Accessed 7 July 2021.
7.
Zurück zum Zitat Iluvien summary of product characteristics. http://www.medicines.org.uk/emc/medicine/27636. Accessed 7 July 2021.
8.
Zurück zum Zitat Hemarat K, Kemmer JD, Porco TC, Eaton AM, Khurana RN, Stewart JM. Secondary ocular hypertension and the risk of glaucoma surgery after dexamethasone intravitreal implant in routine clinical practice. Ophthalm Surg Lasers Imaging Retina. 2018;49:680–5.CrossRef
9.
Zurück zum Zitat Actis AG, Versino E, Brogliatti B, Rolle T. Risk factors for primary open angle glaucoma (POAG) progression: a study ruled in Torino. Open Ophthalmol J. 2016;10:129–39.CrossRef
10.
Zurück zum Zitat Goñi FJ, Stalmans I, Denis P, et al. Elevated intraocular pressure after intravitreal steroid injection in diabetic macular edema: monitoring and management. Ophthalmol Ther. 2016;5:47–61.CrossRef
11.
Zurück zum Zitat Poli M, Denis P, Dot C, Nordmann J-P. Conduite à tenir face au risque d’hypertonie oculair après injection intra-vitréenne (Ocular hypertension after intravitreal injection: screening and management). Journal français d’ophtalmologie. 2017;40:e77–82.CrossRef
12.
Zurück zum Zitat Razeghinejad MR, Katz LJ. Steroid-induced iatrogenic glaucoma. Ophthalm Res. 2012;47:66–80.CrossRef
13.
Zurück zum Zitat Bakri SJ, Ekdawi NS. Intravitreal silicone oil droplets after intravitreal drug injections. Retina. 2008;28:996–1001.CrossRef
14.
Zurück zum Zitat Vasconcelos-Santos DV, Nehemy PG, Schachat AP, Nehemy MB. Secondary ocular hypertension after intravitreal injection of 4 mg of triamcinolone acetonide: incidence and risk factors. Retina. 2008;28:573–80.CrossRef
15.
Zurück zum Zitat Mazzarella S, Mateo C, Freixes S, et al. Effect of intravitreal injection of dexamethasone 0.7 mg (Ozurdex®) on intraocular pressure in patients with macular edema. Ophthalm Res. 2015;54:143–9.CrossRef
16.
Zurück zum Zitat Vié AL, Kodjikian L, Malclès A, et al. Tolerance of intravitreal dexamethasone implants in patients with ocular hypertension or open-angle glaucoma. Retina. 2017;37:173–8.CrossRef
17.
Zurück zum Zitat Phulke S, Kaushik S, Kaur S, Pandav SS. Steroid-induced glaucoma: an avoidable irreversible blindness. J Curr Glaucoma Pract. 2017;11:67–72.CrossRef
18.
Zurück zum Zitat Malclès A, Dot C, Voirin N, et al. Safety of intravitreal dexamethasone implant (Ozurdex): the SAFODEX study. Incidence and risk factors of ocular hypertension. Retina. 2017;37:1352–9.CrossRef
19.
Zurück zum Zitat Bailey C, Chakravarthy U, Lotery A, Menon G, Talks J. Medisoft Audit Group. Extended real-world experience with the ILUVIEN® (fluocinolone acetonide) implant in the United Kingdom: 3-year results from the Medisoft® audit study. Eye (Lond). 2021. https://doi.org/10.1038/s41433-021-01542-w.CrossRef
20.
Zurück zum Zitat Pacella E, Loffredo L, Malvasi M, et al. Effects of repeated intravitreal injections of dexamethasone implants on intraocular pressure: a 4-year study. Clin Ophthalmol. 2020;14:3611–7.CrossRef
21.
Zurück zum Zitat Eaton A, Koh SS, Jimenez J, Riemann CD. The USER study: a chart review of patients receiving a 0.2 µg/day fluocinolone acetonide implant for diabetic macular edema. Ophthalmol Ther. 2019;8:51–62.CrossRef
22.
Zurück zum Zitat Rhee DJ, Peck RE, Belmont J, et al. Intraocular pressure alterations following intravitreal triamcinolone acetonide. Br J Ophthalmol. 2006;90:999–1003.CrossRef
23.
Zurück zum Zitat Podos SM, Becker B, Morton WR. High myopia and primary open-angle glaucoma. Am J Ophthalmol. 1966;62:1038–43.CrossRef
24.
Zurück zum Zitat Choi MY, Kwon JW. Risk factors for ocular hypertension after intravitreal dexamethasone implantation in diabetic macular edema. Sci Rep. 2020;10:13736.CrossRef
25.
Zurück zum Zitat Sharma A, Kuppermann BD, Bandello F, et al. Intraocular pressure (IOP) after intravitreal dexamethasone implant (Ozurdex) amongst different geographic populations—GEODEX-IOP study. Eye (London). 2020;34:1063–8.CrossRef
26.
Zurück zum Zitat Sudhalkar A, Kodjikian L, Chhablani J, Bhojwani D, Vasavada A. Intraocular dexamethasone implant position in situ and ocular hypertension. Retina. 2018;38:2343–9.CrossRef
27.
Zurück zum Zitat Maturi RK, Pollack A, Uy HS, Ozurdex MEAD Study Group, et al. Intraocular pressure in patients with diabetic macular edema treated with dexamethasone intravitreal implant in the 3-year MEAD study. Retina. 2016;36:1143–52.CrossRef
28.
Zurück zum Zitat Callanan DG, Loewenstein A, Patel SS, et al. A multicenter, 12-month randomized study comparing dexamethasone intravitreal implant with ranibizumab in patients with diabetic macular edema. Graefes Arch Clin Exp Ophthalmol. 2017;255:463–73.CrossRef
29.
Zurück zum Zitat Malclès A, Dot C, Voirin N, et al. Real-life study in diabetic macular edema treated with dexamethasone implant: the Reldex study. Retina. 2017;37:753–60.CrossRef
30.
Zurück zum Zitat Iglicki M, Busch C, Zur D, et al. Dexamethasone implant for diabetic macular edema in naive compared with refractory eyes: the International Retina Group real-life 24-month multicenter study. The IRGREL-DEX Study. Retina. 2019;39:44–51.CrossRef
31.
Zurück zum Zitat Mello Filho P, Andrade G, Maia A, et al. Effectiveness and safety of intravitreal dexamethasone implant (Ozurdex) in patients with diabetic macular edema: a real-world experience. Ophthalmologica. 2019;241:9–16.CrossRef
32.
Zurück zum Zitat Mathis T, Lereuil T, Abukashabah A, et al. Long-term follow-up of diabetic macular edema treated with dexamethasone implant: a real-life study. Acta Diabetol. 2020;57:1413–21.CrossRef
33.
Zurück zum Zitat Rajesh B, Zarranz-Ventura J, Fung AT, for International Ozurdex Study Group, et al. Safety of 6000 intravitreal dexamethasone implants. Br J Ophthalmol. 2020;104:39–46.CrossRef
34.
Zurück zum Zitat Rosenblatt A, Udaondo P, Cunha-Vaz J, ARTES Study Group, et al. A collaborative retrospective study on the efficacy and safety of intravitreal dexamethasone implant (Ozurdex) in patients with diabetic macular edema: the European DME registry study. Ophthalmology. 2020;127:377–93.CrossRef
35.
Zurück zum Zitat Zarranz-Ventura J, Romero-Núñez B, Bernal-Morales C, Hospital Clínic-Hospital Vall de Hebron Intravitreal Dexamethasone Implant Study Group, et al. Differential response to intravitreal dexamethasone implant in naïve and previously treated diabetic macular edema eyes. BMC Ophthalmol. 2020;20:443.CrossRef
36.
Zurück zum Zitat Currie CJ, Holden SE, Berni E, Owens DR. Evaluation of the clinical effectiveness of fluocinolone acetonide 190 µg intravitreal implant in diabetic macular edema: a comparison between study and fellow eyes. Curr Med Res Opin. 2017;33(sup2):19–31.CrossRef
37.
Zurück zum Zitat Chakravarthy U, Taylor SR, Koch FHJ, Castro de Sousa JP, Bailey C, ILUVIEN Registry Safety Study (IRISS) Investigators Group. Changes in intraocular pressure after intravitreal fluocinolone acetonide (ILUVIEN): real-world experience in three European countries. Br J Ophthalmol. 2019;103:1072–7.CrossRef
38.
Zurück zum Zitat Augustin AJ, Bopp S, Fechner M, et al. Three-year results from the Retro-IDEAL study: Real-world data from diabetic macular edema (DME) patients treated with ILUVIEN® (0.19 mg fluocinolone acetonide implant). Eur J Ophthalmol. 2020;30:382–91.CrossRef
39.
Zurück zum Zitat Mansour SE, Kiernan DF, Roth DB, et al. Two-year interim safety results of the 0.2 µg/day fluocinolone acetonide intravitreal implant for the treatment of diabetic macular oedema: the observational PALADIN study. Br J Ophthalmol. 2021;105:414–9.CrossRef
40.
Zurück zum Zitat Fallico M, Maugeri A, Lotery A, et al. Fluocinolone acetonide vitreous insert for chronic diabetic macular oedema: a systematic review with meta-analysis of real-world experience. Sci Rep. 2021;11:4800.CrossRef
41.
Zurück zum Zitat Kodjikian L, Baillif S, Creuzot-Garcher C, et al. Real-world efficacy and safety of fluocinolone acetonide implant for diabetic macular edema: a systematic review. Pharmaceutics. 2021;13:72.CrossRef
42.
Zurück zum Zitat Chhablani J, Wong K, Tan GS, et al. Diabetic macular edema management in Asian population: expert panel consensus guidelines. Asia Pac J Ophthalmol (Phila). 2020;9:426–34.CrossRef
43.
Zurück zum Zitat European Glaucoma Society. Terminology and guidelines for glaucoma, 5th edn. https://www.eugs.org/eng/egs_guidelines_download.asp. Accessed 6 July 2021.
44.
Zurück zum Zitat Nilsson AG, Peters D. Effectiveness of elevated intraocular pressure as a criterion for glaucoma referral after 6 years of follow-up. Clin Ophthalmol. 2021;15:3041–9.CrossRef

Kompaktes Leitlinien-Wissen Innere Medizin (Link öffnet in neuem Fenster)

Mit medbee Pocketcards schnell und sicher entscheiden.
Leitlinien-Wissen kostenlos und immer griffbereit auf ihrem Desktop, Handy oder Tablet.

Neu im Fachgebiet Innere Medizin

Krebsrisiko nach assistierter Reproduktion weitgehend unverändert

Eine australische Studie hat die Krebsinzidenz bei Frauen nach medizinisch assistierter Reproduktion (MAR) untersucht. Insgesamt entspricht das Risiko dem der Allgemeinbevölkerung, einzelne Tumorarten treten jedoch häufiger oder seltener auf.

Wünsche älterer Krebskranker finden offenbar wenig Gehör

In einer US-Studie mit unheilbaren Krebspatientinnen und -patienten gaben die meisten einer bestmöglichen Lebensqualität den Vorzug vor längerem Überleben. Auf diesen Wunsch wurde in der Praxis jedoch nicht erkennbar eingegangen.

Gestationsdiabetes: Weniger adipöse Kinder dank rascher Blutzuckereinstellung?

Kinder von Müttern mit Gestationsdiabetes entwickeln später deutlich häufiger Adipositas. Doch eine US‑Studie zeigt, dass eine frühe und stabile Blutzuckereinstellung der Schwangeren das Risiko für kindliche Adipositas mindern kann. 

Dosierung von Irinotecan vom Metabolismus abhängig machen

Krebskranke, die Irinotecan schlecht verstoffwechseln, haben ein erhöhtes Risiko für schwere toxische Nebenwirkungen. Eine reduzierte Dosis kann davor schützen. Ob dies die Überlebenschancen beeinträchtigt, haben niederländische Medizinerinnen und Mediziner überprüft.

Update Innere Medizin

Bestellen Sie unseren Fach-Newsletter und bleiben Sie gut informiert.

Bildnachweise
Die Leitlinien für Ärztinnen und Ärzte, Hormonelle Behandlung zur ovariellen Stimulation/© Suzi Media / stock.adobe.com (Symbolbild mit Fotomodell), Ältere Frau mit Tabletten in der Hand/© LIGHTFIELD STUDIOS / stock.adobe.com (Symbolbild mit Fotomodell), Frau misst Blutzucker per App und Glukosesensor/© AndreyPopov / Getty Images / iStock (Symbolbild mit Fotomodell), Infusion/© georgeoprea9 / Getty Images / iStock