Zum Inhalt

Leveraging Clinical Data to Enhance the Performance Evaluation of Ceftriaxone Population Pharmacokinetic Models in Children

  • Open Access
  • 18.03.2025
  • Original Research Article
Erschienen in:

Abstract

Introduction

Sepsis affects approximately 8% of pediatric intensive care unit (PICU) admissions in high-income countries. Ceftriaxone, a broad-spectrum beta-lactam antibiotic, is widely used for treating severe infections and bacterial meningitis in children. Despite its frequent use, limited studies address the population pharmacokinetic (popPK) of ceftriaxone in pediatrics. External validation of popPK models is essential to confirm their suitability for individualized dosing in PICU patients, enabling selection of the model best suited to this population.

Methods

This study used data from the EXPAT Kids study, a prospective pharmacokinetics /pharmacodynamics (PK/PD) study. The included popPK models were implemented in NONMEM, with diagnostic goodness-of-fit and visual predictive check analyses performed to assess model accuracy. Predictive performance was evaluated using the relative prediction error, relative root mean square error, and mean (absolute) percentage error.

Results

The predictive performance of the evaluated models varied widely. The included models showed only modest performance and generally seemed to overpredict ceftriaxone concentrations. Unbound ceftriaxone popPK models did not perform adequately. None of the models met all the predefined thresholds for accuracy and precision.

Conclusions

Our external dataset comprised high ceftriaxone trough concentrations, indicating re-evaluation of current ceftriaxone dosing regimens to minimize the risk of overdosing and prevent toxicity. Future research should focus on the fine dosing balance for ceftriaxone, especially in patients with meningitis, by considering adequate exposure while preventing high trough concentrations. Model-informed precision dosing may enhance the use of the optimal individual dosage for critically ill children. However, our findings highlight the importance of externally evaluating ceftriaxone popPK models in the PICU population.

Supplementary Information

The online version contains supplementary material available at https://doi.org/10.1007/s40262-025-01486-4.
Key Points
We found that the predictive performance of the evaluated ceftriaxone population pharmacokinetic models varied widely, showing modest performance and general overprediction of ceftriaxone concentrations. The applied external dataset comprised high ceftriaxone trough concentrations, indicating the need for a re-evaluation of current ceftriaxone dosing regimens to minimize the risk of overdosing and prevent toxicity.

1 Introduction

Sepsis affects approximately 8% of all patients admitted to the pediatric intensive care unit (PICU) in high-income countries [1]. Broad-spectrum beta-lactam antibiotics, such as ceftriaxone, are the backbone to the antimicrobial treatment of sepsis and other severe infections. In addition, ceftriaxone is the first-line antibiotic recommended in Europe for empirical treatment of bacterial meningitis in children [2]. Despite the frequent use of ceftriaxone in pediatric populations, a limited number of studies have explored its population pharmacokinetics (popPK) as a basis for clinical pharmacokinetic (PK) and pharmacodynamic (PD) studies, highlighting a need for further research in this area [37].
Ceftriaxone is considered to have high protein binding (90–95%) and is primarily eliminated via renal excretion [8, 9]. Pathophysiological changes during critical illness, such as increased vascular permeability and fluid resuscitation, can significantly impact the pharmacokinetics (PK) and pharmacodynamics (PD) of hydrophilic ceftriaxone, leading to an increased volume of distribution (Vd). In addition, liver and kidney dysfunction or enhanced renal function known as augmented renal clearance, further alter PK profiles, particularly in PICU patients [10, 11]. The unbound concentration of ceftriaxone varies substantially in critically ill pediatric and adult populations owing to fluctuations in albumin levels [1214]. Treatment with ceftriaxone is, albeit rare, associated with life-threatening toxicity, as mortality due to serious central nervous system (CNS) adverse drugs reactions (ADRs) has been described in literature [15]. Despite all these changes, most drugs, including ceftriaxone, are still prescribed using the one dose fits all principle, only correcting for body weight or renal function.
Model-informed precision dosing (MIPD) offers a personalized approach to optimize drug therapy by integrating individual patient variability in PK parameters, thereby enhancing therapeutic efficacy. Model-informed precision dosing (MIPD) utilizes popPK models to predict drug concentrations on the basis of patient-specific factors such as body weight, age, and renal function. In ceftriaxone therapy, the integration of MIPD with therapeutic drug monitoring (TDM) enables healthcare professionals to personalize dosing regimens. This approach optimizes therapeutic efficacy while minimizing toxicity risks by tailoring treatment to the patient’s unique physiological characteristics. Although multiple popPK models describing ceftriaxone concentrations are available, not all describe the same pediatric population [37]. External validation of these models is essential to confirm their suitability for individualized dosing in PICU patients, enabling selection of the model best suited to this population. This study, therefore, aims to assess the predictive performance of available ceftriaxone popPK models and evaluate their applicability to clinical data from PICU patients.

2 Methods

2.1 Study Design and Data Collection

Ceftriaxone plasma concentrations were acquired from the EXPAT Kids study, which was approved by the Erasmus MC Medical Ethical Committee (NL76194.078.21) (NL9326) [16]. The EXPAT Kids study was a prospective, observational, two-center PK/PD study performed in the PICU departments of Sophia Children’s Hospital Erasmus University Medical Center, Rotterdam, the Netherlands and Wilhelmina Children’s Hospital University Medical Center Utrecht, Utrecht, the Netherlands. All included patients were admitted to the PICU between June 2021 and July 2024 and received intravenous treatment with ceftriaxone [100 mg/kg once daily (every 24 h, maximum dosage of 2000 mg)], infused over 15–30 min, as determined by the clinical team. Patients were included if they were < 18 years old, plasma samples were collected within 36 h after treatment initiation, and a minimum of 2 days of targeted antibiotic therapy was expected. Exclusion criteria were: (a) lack of written informed consent, (b) prematurity (< 37 weeks gestational age), (c) history of anaphylaxis to ceftriaxone, (d) discontinuation of treatment prior to sampling, and (e) prophylactic use of ceftriaxone.
Clinical data were collected during and after ceftriaxone treatment, including demographics (postnatal and gestational age, current body weight, and height), laboratory data, and antibiotic treatment regimens. The estimated glomerular filtration rate (eGFR) was estimated using the bedside Schwartz equation [17] or, for patients under 1 year, according to the methods outlined by De Boer et al. [18]. For missing values, the population median was assumed.

2.2 Sample Collection

For patients with arterial access, one peak concentration (15–45 min after administration) and one trough concentration at the end of the dosing interval were drawn within one single dosing interval. These samples were derived from a dosing interval following the administration of the antibiotic, but no later than 36 h after treatment initiation. In addition, during routine morning lab sampling, a sample was taken. Blood samples were drawn for 5 consecutive days after obtaining trough and peak sampling. For patients lacking arterial access, blood samples were collected exclusively during routine laboratory draws, thereby eliminating the need for additional venipunctures. Blood samples were drawn for a maximum of 6 days, up to seven samples in total.
Blood samples were stored at 2–8 °C immediately after drawing to maintain the integrity and centrifuged at 3000 rpm for 6 min within 24 h after collection. The plasma was transferred to cryovials for frozen storage (−80 °C) until analysis. Plasma concentrations were quantified using a validated ultra-performance liquid chromatography-tandem mass spectrometry (UPLC-MS/MS), in accordance with the bioanalytical method validation guidelines of the Food and Drug Administration (FDA). For the total concentration, after samples were centrifuged and transferred to an auto-sampler vial, 10 μL of supernatant was injected into the UPLC-MS/MS system. For the free concentration, a 60 μL aliquot of plasma was transferred into a Nanosep Ultrafilter 30K membrane and centrifuged for 10 min at 1811 g. After centrifugation, 10 μL of the ultrafiltrate were used for further preparation, as described for the total concentrations. The lower limit of quantification (LLOQ) and upper limit of quantification (ULOQ) were 0.1 mg/L and 95 mg/L, respectively.

2.3 Population Pharmacokinetic Model Selection

A comprehensive literature search was conducted in PubMed to identify popPK models for ceftriaxone in pediatric patients. Models were included if a popPK model was developed in pediatric patients and if the article provided sufficient information to rebuild the model in NONMEM® 7.5 (Icon Development Solutions, Hanover, MD, USA). Subsequently, all selected models were encoded in NONMEM® and analyzed.

2.4 Model Evaluation

Model performance was assessed using diagnostic goodness-of-fit (GOFs) plots generated in R (version 4.0.5), stratified by total and unbound ceftriaxone concentrations. The overall fit of each popPK model to the observed ceftriaxone concentrations was evaluated using visual predictive check (VPC) plots. Both population predictions (PRED) and individual predictions (IPRED) were considered for the interpretation of the predictive performance.
For each model, the relative percentage of predicted concentrations within 20% (F20) and 30% (F30) of the observed concentrations was calculated, with relative thresholds of F20 > 35% and F30 > 50% being considered acceptable [19, 20]. Predictive performance was assessed using the difference between the observed and predicted ceftriaxone concentration. For the interpretation of the predictive performance, both accuracy and precision were evaluated. The accuracy for each model was evaluated using the relative prediction error (rPE) and median prediction error (MDPE). The precision was evaluated using the relative root mean square error (rRMSE) and median absolute prediction error (MAPE). Models were considered clinically acceptable if the rRMSE was below 20%, with the MDPE between – 20 and 20% and the MAPE below 30% [21]. The rPE, rRMSE, MPE, and MAPE were calculated using the following equations, respectively:
$${\text{rPE}} \left( \% \right) = \left( {\frac{{C_{{{\text{pred}}, i}} - C_{{{\text{obs}},i}} }}{{C_{{{\text{obs}},i}} }}} \right) \times 100$$
$${\text{rRMSE }}\left( \% \right) = \sqrt {\frac{1}{n} \times \mathop \sum \limits_{1}^{i} \left( {\frac{{(C_{{{\text{pred}},i}} - C_{{{\text{obs}},i}} )^{2} }}{{C_{{{\text{obs}},i}}^{2} }}} \right)} \times 100$$
$${\text{MDPE}} \left( \% \right) = \frac{100\% }{N} \times {\text{median}}\left( {\frac{{C_{{{\text{pred}},i}} - C_{{{\text{obs}},i}} }}{{C_{{{\text{obs}},i}} }}} \right)$$
$${\text{MAPE}} \left( \% \right) = \frac{100\% }{N} \times {\text{median}}\left( {\left| {\frac{{C_{{{\text{pred}},i}} - C_{{{\text{obs}},i}} }}{{C_{{{\text{obs}},i}} }}} \right|} \right)$$

3 Results

3.1 Patient Demographics from the External Validation Population

Patient demographics are presented in Table 1. A total of 227 ceftriaxone plasma concentrations (132 total, including 95 paired unbound concentrations) were obtained from 36 infants and children and used for the external model validation. The number of total and unbound concentrations is not equal owing to blood volume restrictions, as unbound concentration analysis requires a larger blood volume. Of these concentrations, 66 total and 14 unbound ceftriaxone concentrations were above the ULOQ, and none were below the LLOQ. The median (range) postnatal age was 472.5 days (31.0–6445) and the median (range) body weight was 10 kg (2.5–60). The median (range) serum creatinine was 38 µmol/L (12.0–420.3) and the median (range) serum albumin was 31 g/L (12–39). The measured plasma concentrations ranged from 2.11 to 601.0 mg/L for total and from 0.18 to 281.8 mg/L for unbound ceftriaxone concentrations (concentrations were not corrected for dose). The median total peak concentration within 2 hours of the last dose was 312.0 mg/L (111.6–601.0) and the median total trough concentration (≥ 20 h post-dose) was 37.8 mg/L (2.11–262.7). The ceftriaxone concentrations (total and unbound) versus time after last dose measurements are presented in Fig. 1. For three patients, serum creatinine values were missing and ten patients had missing values for albumin. Furthermore, there were no missing values.
Table 1
Baseline characteristics for the patients in the EXPAT Kids study; values are presented as numbers or percentages, median [25–75% interquartile range] (range)
Characteristic
All patients (n = 36)
Demographic data
 
Age (years)
1.3 [0.4–6.2] (0.1–17.7)
Postnatal age (days)
472.5 [135.3–2276.8] (31.0–6445.0)
Gestational age (weeks)
37.7 [35.9–39.1] (34–41.4)
Sex (% female)
52.7%
Length (cm)
0.7 [0.6–1.1] (0.5–1.9)
Weight (kg)
10.0 [5.5–22.2] (2.5–60.0)
Ceftriaxone dose (mg)
1000 [560–1835] (250–2000)
Ceftriaxone dose (mg/kg)
98.2 [83.0–100.0] (33.3–113.6)
Clinical data at inclusion
 
Albumin (g/L)
31.0 [24.0–34.5] (12.0–39.0)
WBC (×109/L)
12.0 [5.5–17.1] (23.0–3.2)
CRP (mg/L)
67.5 [35.8–120.0] (21.0–316.0)
Serum urea (mmol/L)
3.8 [3.9–14.9] (1.5–44.1)
Serum creatinine (μmol/L)
38.0 [25.1–64.5] (12–420.3)
eGFR (ml/min/1.73 m2)
74.5 [37.5–96.2] (13.7–236.7)
Clinical outcomes
 
ICU LOS (days)
8 [5–17] (2–157)
CRP c-reactive protein, eGFR estimated glomerular filtration rate (calculated using the Schwartz equation), ICU LOS intensive care unit length of stay (calculated from the start of administration of the study antibiotic until ICU discharge), WBC white blood cell count
Fig. 1
Total and unbound ceftriaxone concentrations versus time after dose administration. Ceftriaxone concentrations displayed on a log-scale; the dashed line depicts the ceftriaxone concentration of 100 mg/L to illustrate the trough concentration threshold for toxicity
Bild vergrößern

3.2 Population Pharmacokinetic Model Selection

After the literature search, a total of five popPK models were identified for the external validation [37]. One of these models was excluded because the model could not be interpreted owing to a lack of information from the original manuscript [4]. All models were developed with pediatric patients [PICU (n = 2) [3, 5], hospitalized (n = 2) [6, 7]] but differed in inclusion criteria [Electronic Supplementary Material (ESM) Table S1]. Detailed characteristics of these models and the populations they were based on are provided in ESM Tables S2 and S3. The included models varied in structure (i.e., number of compartments) and included covariate relationships. Most models (3/4) comprised two compartments and included renal function as a covariate relationship on ceftriaxone clearance (eGFR or serum creatinine). All models included body weight as a covariate on clearance and distribution volume. The following covariates were model-specific: blood pH, body temperature, pediatric risk of mortality III (PRISM3) score, albumin, and age. All models included infants and children up to and above 10 years of age. However, the model by Wang et al. was specific for infants with a mean age of 1.05 years [standard deviation (SD 0.57)]. The model by Hartman et al. incorporated unbound ceftriaxone concentrations in the final popPK model using saturable protein binding [3]. Tang Girdwood et al. published two separate models to describe total and unbound ceftriaxone concentrations [5]. None of the included models mentioned the handling of samples under the LLOQ. The values for the covariates—blood pH, body temperature, and PRISM3 score—in the Tang Girdwood et al. model were missing.

3.3 Model Evaluations

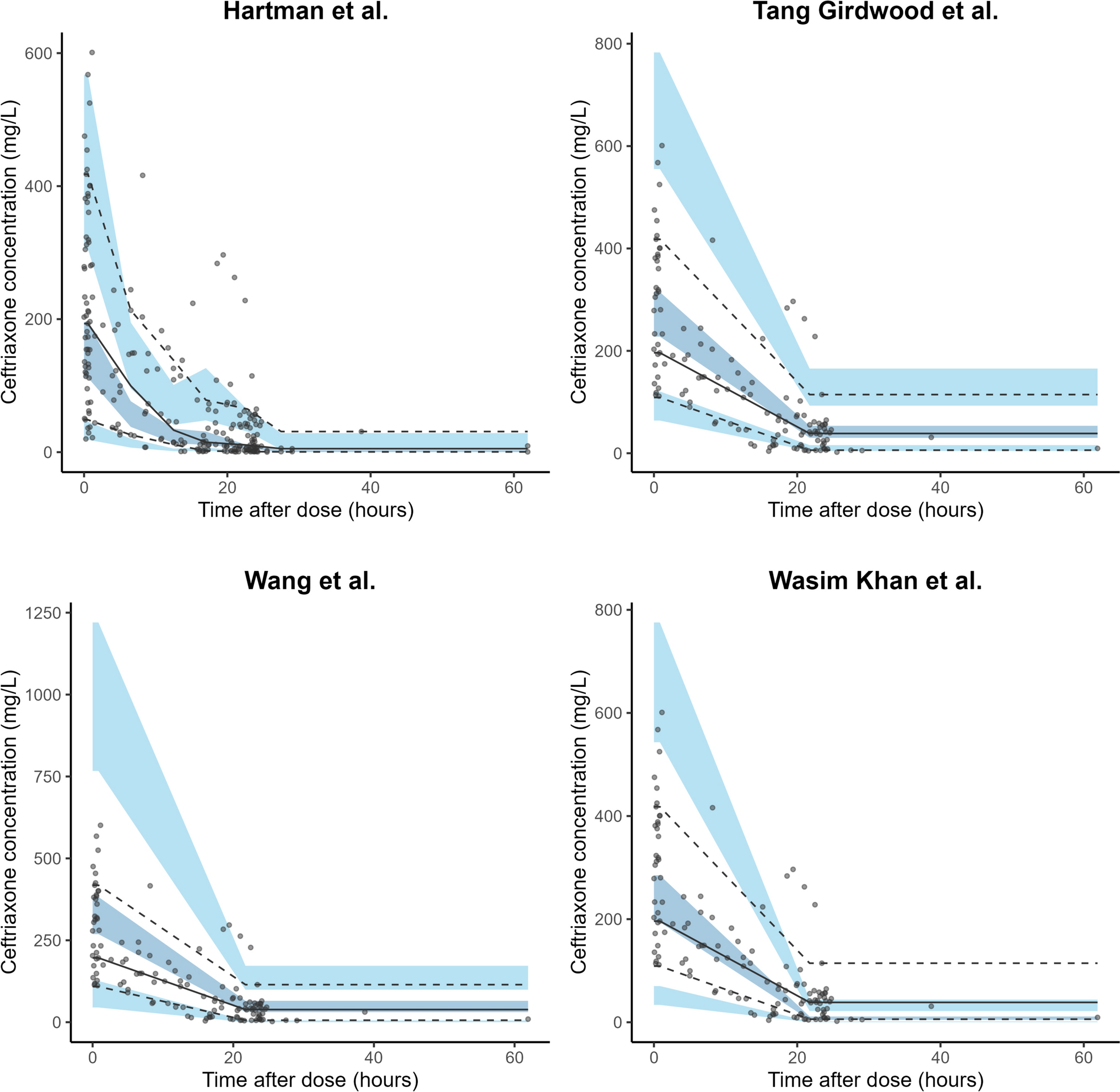
Since none of the included ceftriaxone samples were below the LLOQ, all samples were used for the model evaluation. The predictive performance of ceftriaxone popPK models was highly variable, as illustrated by the predicted ceftriaxone concentrations in the GOF plots (Figs. 2, 3). The PRED GOFs illustrated fair prediction of total ceftriaxone concentrations for the models of Hartman et al. and Tang Girdwood et al. [3, 5]. The population-predicted unbound ceftriaxone concentrations (especially high concentrations) showed high prediction error (Figs. 4, 5). In Figs. 6 and 7, the VPCs for all the included popPK models are depicted. Varying predictive performance amongst the popPK models is visualized in these VPCs, especially in ceftriaxone peak concentrations. Monte Carlo simulations using all the models, except for the Hartman et al. model [3], demonstrate overpredicted ceftriaxone concentrations. Model performance did not follow a trend (under- or overprediction) when included patients with an eGFR < 30 ml/min/1.73 m2 were assessed (data not included).
Fig. 2
Goodness of fit of predicted intravenous total ceftriaxone concentrations. Observed total ceftriaxone concentrations versus population predictions; the black line represents the line of identity and the blue line represents the locally estimated scatterplot smoothing (LOESS) line, which follows the highest density of the measured total ceftriaxone concentration and predictions
Bild vergrößern
Fig. 3
Goodness of fit of individual predicted total intravenous ceftriaxone concentrations. Observed total ceftriaxone concentrations versus individual predictions; the black line represents the line of identity and the blue line represents the LOESS line (locally estimated scatterplot smoothing), which follows the highest density of the measured total ceftriaxone concentration and predictions
Bild vergrößern
Fig. 4
Goodness of fit of predicted intravenous unbound ceftriaxone concentrations. Observed unbound ceftriaxone concentrations versus population predictions; the black line represents the line of identity and the blue line represents the LOESS line (locally estimated scatterplot smoothing), which follows the highest density of the observed unbound ceftriaxone concentration and predictions
Bild vergrößern
Fig. 5
Goodness of fit of individual predicted intravenous unbound ceftriaxone concentrations. Observed unbound ceftriaxone concentrations versus individual predictions; the black line represents the line of identity and the blue line represents the LOESS line (locally estimated scatterplot smoothing), which follows the highest density of the observed unbound ceftriaxone concentration and predictions
Bild vergrößern
Fig. 6
Visual predictive checks of the included popPK models for predicting intravenous total ceftriaxone concentrations (n = 1000). The solid black line represents the median of the measured total clavulanic acid concentrations. The dashed black lines represent the 10th and 90th percentiles of the total ceftriaxone observations. The dark blue shaded areas represent the interval for the median of the model predictions (with 97.5% confidence intervals for these predictions). The light-blue shaded areas represent the 10th and 90th percentiles for the model predictions (both with 97.5% confidence intervals)
Bild vergrößern
Fig. 7
Visual predictive checks of the included pharmacokinetic models for intravenous unbound ceftriaxone concentrations (n = 1000). The solid black line represents the median of the measured ceftriaxone concentrations. The dashed black lines represent the 10th and 90th percentiles of the ceftriaxone observations. The dark blue shaded areas represent the interval for the median of the model predictions (with 97.5% confidence intervals for these predictions). The light blue shaded areas represent the 10th and 90th percentiles for the model predictions (both with 97.5% confidence intervals). A Shows the VPCs for Hartman et al., stratified by route of administration, and B shows the VPCs for Tang Girdwood et al. model of unbound ceftriaxone concentrations (mg/L)
Bild vergrößern
The percentage of total ceftriaxone concentrations predicted by the population models that fell within 20% of the observed values (F20) was between 12.1% and 19.7%. For the F30 criteria, this range was 17.4–31.1%. None of the popPK models met the F20 > 35% and F30 > 50% criteria for PRED, as detailed in ESM Table S4. All models met the F20 and F30 criteria for the IPRED total ceftriaxone concentration.
The performance of predictive accuracy for total ceftriaxone concentrations is visualized in Fig. 8 and for unbound ceftriaxone concentrations in Fig. 9. Detailed predictive performance of the four models can be found in ESM Table S5. For all the models, the precision (rRMSE) was approximately 25% for population predictions. The model with the highest precision was from Khan et al., with a rRMSE of 10.2%. All tested models met the criteria for MDPE ± 20% and MAPE < 30% for IPRED values. On the basis of the evaluated metrics, the model by Khan et al. illustrated a better predictive performance than the other models. Blant–Altman plots illustrated the distribution of the population predicted ceftriaxone concentration prediction errors (ESM Figs. S1 and S2) and showed no evident trend among the predicted concentration range in our dataset.
Fig. 8
Comparison of the relative root mean square error (rRMSE), median percent error (MDPE), and mean absolute percent error (MAPE) for total ceftriaxone concentrations across the included popPK models. The orange barplots represent the performance metrics for individual predictions (IPRED) and the gray barplots represent the performance metrics for population predictions (PRED). The dashed lines represent criteria for acceptable model predictions, which are 20% for rRMSE, − 20 to 20% for MDPE, and 30% for MAPE
Bild vergrößern
Fig. 9
Comparison of the relative root mean square error (rRMSE), median prediction error (MDPE), and median absolute prediction error (MAPE) for unbound ceftriaxone concentrations across the included population pharmacokinetic models. The orange barplots represent the performance metrics for individual predictions (IPRED) and the gray barplots represent the performance metrics for population predictions (PRED). The dashed lines represent criteria for acceptable model predictions, which are 20% for rRMSE, − 20 to 20% for MDPE and 30% for MAPE
Bild vergrößern

4 Discussion

Over the past 2 decades, multiple popPK models of ceftriaxone for pediatric patients have been reported in literature [37]. Among these models, some have described ceftriaxone disposition in the critically ill pediatric population [3, 5]. However, until now, these models have not been externally validated to prove applicability. For this external validation, data acquired through the EXPAT Kids study were used to evaluate predictive performance [16]. Our results show that the ceftriaxone popPK model by Khan et al. performed best using our external population in relation to the performance metrics [3]. However, none of the models showed a clear trend toward over- or underprediction of ceftriaxone concentrations. Both models for unbound ceftriaxone concentrations, by Hartman et al. and Tang-Girdwood et al., performed inadequately [3, 5]. These findings highlight that, despite apparent similarities in patient characteristics, differences in PICU admission criteria and antibiotic quantification methodologies could significantly impact a model’s generalizability and may lead to suboptimal description of concentration-time profiles. Consequently, our results underscore the importance of externally validating the popPK model in the target population before the model is applied for MIPD, as was acknowledged in similar recently published external evaluation studies [1921].
The performance evaluation did not indicate a clear preference for any specific popPK mode. This might largely be explained by the large variability within the critically ill pediatric population. Two popPK models were developed in a PICU population, the Wang et al. model was built with pediatric patients aged 1 month to 2 years with suspected or confirmed bacterial infection, while the Khan et al. model had a wider age range (2–12 years) with patients who were confirmed or suspected of having pneumonia [6, 7]. All model populations received 50 mg/kg and/or 100 mg/kg every 24 h or every 12 h, except for the Wang et al. model, where the median dose was 30 mg/kg. Our dataset consists of PICU patients receiving 100 mg/kg every 24 h, with a wide range of clinical indications, feeding the assumption that the Hartman et al. and Tang Girdwood et al. models would fit best when considering study populations.
“Correct” model selection is primarily guided by the intended purpose of the model. For example, the appliance may be aimed at guiding individualized dosing in a specific clinical setting, informing drug development decisions, or providing insights into variability in drug exposure within specific populations. These goals influence decisions on structural model development and complexity, covariate selection, and the use of specific datasets. Though less effective when all models are biased (i.e., under- or overexposure), choosing multiple models over a single model to interpret a patient’s PK might be beneficial. Model averaging and model ensembling are new statistical approaches that weight models on the basis of their ability to describe the data, the demographics of the population, and other parameters to select the most optimal model or weighted combination of models when using MIPD [2224]. However, if all models over- or underpredict, model re-estimation may be an alternative method for preventing new model development, especially when published models display similar model parameters and covariate relationships [25].
Owing to differences in the study population (covariate ranges), extrapolation of covariate relationships may have resulted in decreased accuracy of model predictions. An example of this may be the age range within the included model (Wang et al. range 0.10–1.99 years) and the external evaluation dataset (EXPAT Kids study, 0.1–17.7 years) High rPE values obtained from the model may be caused by yet unidentified covariate relationships, which were not taken into account in the original modeling process but do have an effect on ceftriaxone PK in PICU patients.
Our data presented relatively high ceftriaxone concentrations in the critically ill pediatric population. Peak concentrations up to 601.0 mg/L and a median trough concentration (20–26 h after dose administration) of 37.8 mg/L (range 2.11–262.7 mg/L). These results illustrated high ceftriaxone exposure among our study population, well above the current clinical breakpoint minimal inhibitory concentration (MIC) of 0.125 mg/L or above the cutoff value for dose reduction (10 times > MIC) [26]. Ceftriaxone is often used in the treatment of meningitis, and a higher ceftriaxone serum concentration is associated with higher penetration through the inflamed blood–brain barrier (BBB) [27]. However, ceftriaxone treatment is associated with possible life-threatening conditions, as illustrated by Lacroix et al., who described serious central nervous system (CNS) adverse drugs reactions (ADRs) leading to mortality [15]. Two cases of CNS ADRs in pediatric patients were reported (age 8 and 12 years). Of all the studied case reports, 9 out of 19 reported trough concentrations above 100 mg/L (none of the children) with a median value of approximately 75 mg/L. Trough concentrations of total ceftriaxone above 100 mg/L are associated with CNS ADRs in high-dose regimens [28]. A recent case report describing a 4-year-old girl with cephalosporin-related neurotoxicity showed total and unbound ceftriaxone trough concentrations of 130 and 33.9 mg/L [29]. All in all, there exist only a few reports of ceftriaxone-induced CNS ADRs in children. This poses the question of whether CNS ADRs often go unrecognized in critically ill pediatric patients owing to concurrent multiorgan dysfunction, intubation, or sedation. Ceftriaxone toxicity is frequently reported in the elderly population, indicating that cerebral frailty or impaired renal function may increase susceptibility [28]. More awareness needs to be created toward ceftriaxone CNS toxicity in fragile populations. All in all, dosing of ceftriaxone poses a critical balance—high serum concentrations for BBB penetration and trough concentrations < 100 mg/L—to prevent AEs. These findings may suggest that additional research is required that distinguishes dosage regimens (i.e., bloodstream infections from meningitis), as patients with bloodstream infections may not require a high dosage to achieve sufficient BBB penetration. In case of meningitis or infections requiring high antibiotic target site concentrations, the available dosing regimens should be applied. In addition, PopPK models may be used to predict the individual concentration-time profile and perform MIPD to provide dosage adjustments, taking the patient’s indication into account. These methods may be supported in the future by prospects such as ADR prediction models constructed by machine learning using electronic patient records [30].
This study has some limitations. Although data inspection was performed prior to model evaluation, errors might remain in the dataset owing to time registration. The effects of incorrect registration of sampling times on model performance has been described earlier [31]. Furthermore, patient values for PHDI and HITEMPDI (model-specific indicators used to account for the effects of pH and temperature, respectively, as referenced in Tang Girdwood et al. [5]), and PRISM3 were not available. This may have impacted the estimation of the corresponding individual PK parameters. However, it was demonstrated in our analysis that adequate population predictions could still be obtained irrespective of the missing covariate values. All in all, it is likely that the predictive performance was reduced by the missing covariates. Covariate relationships from the Tang Girdwoord et al. model were fixed to 0 (except creatinine clearance (CRCL)). Tang Girdwood et al. included the PRISM3 score as a covariate on clearance of the unbound ceftriaxone fraction. The obtained parameter estimate for PRISM3 (–0.0142) indicates a small stepwise decrease in renal function for increasing PRISM3 scores. Both covariates, PHDI and HITEMPDI, exhibit small effects on ceftriaxone clearance (±15%) for the total and unbound ceftriaxone concentrations. In addition, recapture of the models was based on published code or received model codes, as the original NONMEM model code was not available for all included models. However, complicated interpretation of published NONMEM models led to the exclusion of one ceftriaxone popPK model. The original model codes were available for the models from Hartman et al. and Tang Girdwood et al. [3, 5]. As the authors did not specify coping with below the LLOQ concentrations, caution is required when interpreting concentrations below the publication specified LLOQ. Patients who were included in the EXPAT Kids study were sparsely sampled, since most often one sample per dosing interval was available. There are no formal standards for assessing the performance of popPK models in external validation. However, several recent publications set threshold values to evaluate a previously developed popPK model (MDPE ≤ 15%, MAPE ≤ 30%, F20 > 35%, and F30 > 50%) [19, 20, 32]. Some models fulfilled these new standards (F30 and F20 criteria), providing confidence in using these as criteria for acceptability [32]. In this paper, we focused on the criteria for both PRED and IPRED values. However, relying solely on IPRED values can be misleading owing to improved fit and potentially masking inadequate population PK parameter values. Adequacy of the latter is essential to describe the characteristics of the population from the external dataset. Therefore, meeting the performance criteria for PRED values is of higher importance than for IPRED values. Not all evaluated models were developed using data from critically ill PICU patients, which may have decreased model performance. For instance, the models by Wang et al. and Khan et al. tested serum creatinine as a covariate relationship, without results (Hartman et al. and Tang Girdwood et al. did manage to include eGFR). This may be explained by the lack of included critically ill patients with kidney dysfunction in the studies of Wang et al. and Khan et al. Lastly, the external dataset was based on a small group of subjects. This might not be representative of all pediatric patients, as pediatrics encompasses a large population with variable PK parameters. However, significantly larger sample sizes might not be required to perform an external validation [33].
Ceftriaxone is a frequently used antibiotic for the treatment of meningitis and other severe infections. However, studies describing the PK of ceftriaxone in the critically ill pediatric population are scarce. In this study, several published popPK models have been externally validated to compare PK predictions in the complex PICU population. Only the model by Khan et al. managed to satisfy all criteria for model performance; predictive performance varied widely among models and tended to overpredict. Our external dataset comprised high ceftriaxone trough concentrations, indicating that the current dosing regimens for ceftriaxone may need to be re-evaluated to minimize the risk of overdosing and prevent serious CNS ADRs in this fragile population. Future research should focus on the fine dosing balance for ceftriaxone (especially in patients with meningitis), considering adequate exposure but preventing high trough concentrations. Clinicians and pharmacists should be cautious when applying popPK models for MIPD, as adequate model performance is not guaranteed. In the future, advanced methods (such as model averaging/ensembling/re-estimation) could be considered to more accurately predict an optimal individual dosage for critically ill children.

Acknowledgements

This project has received funding from the Erasmus University Medical Center MRace Grant. The funders had no role in the collection, analysis, interpretation of data, writing of the manuscripts, or deciding to publish.

Declarations

Funding

This work was supported by the MRace grant of the Erasmus University Medical Centre, Rotterdam, The Netherlands.

Conflict of interest

Birgit C.P. Koch is an Editorial Board member of Clinical Pharmacokinetics. Birgit C.P. Koch was not involved in the selection of peer reviewers for the manuscript nor any of the subsequent editorial decisions. Stef Schouwenburg, Tim Preijers, Alan Abdulla , Enno D. Wildschut, and Matthijs de Hoog have no conflicts of interest to declare concerning this article.

Ethics approval

The EXPAT Kids study was approved by the Erasmus MC Medical Ethical Committee (NL76194.078.21) (NL9326).
Written, informed consent was obtained from all participants.
Not applicable.

Availability of data and material

The data and material are accessible upon reasonable request by contacting the corresponding author..

Code availability

The model codes that support the findings of this study are accessible upon reasonable request by contacting the corresponding author.
Open Access This article is licensed under a Creative Commons Attribution-NonCommercial 4.0 International License, which permits any non-commercial use, sharing, adaptation, distribution and reproduction in any medium or format, as long as you give appropriate credit to the original author(s) and the source, provide a link to the Creative Commons licence, and indicate if changes were made. The images or other third party material in this article are included in the article's Creative Commons licence, unless indicated otherwise in a credit line to the material. If material is not included in the article's Creative Commons licence and your intended use is not permitted by statutory regulation or exceeds the permitted use, you will need to obtain permission directly from the copyright holder. To view a copy of this licence, visit http://creativecommons.org/licenses/by-nc/4.0/.
download
DOWNLOAD
print
DRUCKEN
Titel
Leveraging Clinical Data to Enhance the Performance Evaluation of Ceftriaxone Population Pharmacokinetic Models in Children
Verfasst von
Stef Schouwenburg
Tim Preijers
Alan Abdulla
Enno D. Wildschut
Birgit C. P. Koch
Matthijs de Hoog
Publikationsdatum
18.03.2025
Verlag
Springer International Publishing
Erschienen in
Clinical Pharmacokinetics / Ausgabe 4/2025
Print ISSN: 0312-5963
Elektronische ISSN: 1179-1926
DOI
https://doi.org/10.1007/s40262-025-01486-4

Supplementary Information

Below is the link to the electronic supplementary material.
1.
Zurück zum Zitat Weiss SL, Peters MJ, Alhazzani W, Agus MSD, Flori HR, Inwald DP, et al. Surviving sepsis campaign international guidelines for the management of septic shock and sepsis-associated organ dysfunction in children. Pediat Crit Care Med. 2020;21(2):e52–106.CrossRef
2.
Zurück zum Zitat van de Beek D, Cabellos C, Dzupova O, Esposito S, Klein M, Kloek AT, et al. ESCMID guideline: diagnosis and treatment of acute bacterial meningitis. Clin Microbiol Infect. 2016;22(Suppl 3):S37-62.CrossRefPubMed
3.
Zurück zum Zitat Hartman SJF, Upadhyay PJ, Hagedoorn NN, Mathôt RAA, Moll HA, van der Flier M, et al. current ceftriaxone dose recommendations are adequate for most critically ill children: results of a population pharmacokinetic modeling and simulation study. Clin Pharmacokinet. 2021;60(10):1361–72.CrossRefPubMedPubMedCentral
4.
Zurück zum Zitat Iida S, Kawanishi T, Hayashi M. Indications for a ceftriaxone dosing regimen in Japanese paediatric patients using population pharmacokinetic/pharmacodynamic analysis and simulation. J Pharm Pharmacol. 2010;63(1):65–72.CrossRef
5.
Zurück zum Zitat Tang Girdwood S, Dong M, Tang P, Stoneman E, Jones R, Yunger T, et al. Population pharmacokinetic modeling of total and free ceftriaxone in critically ill children and young adults and Monte Carlo simulations support twice daily dosing for target attainment. Antimicrob Agents Chemother. 2022;66(1): e0142721.CrossRefPubMed
6.
Zurück zum Zitat Wang et al. Optimal dosing of ceftriaxone in infants based on a developmental population pharmacokinetic-pharmacodynamic analysis. Antimicrob Agents Chemother. 2020;64(11):1547–56.CrossRef
7.
Zurück zum Zitat Khan MW, Wang YK, Wu YE, Tang BH, Kan M, Shi HY, et al. Population pharmacokinetics and dose optimization of ceftriaxone for children with community-acquired pneumonia. Eur J Clin Pharmacol. 2020;76(11):1547–56.CrossRefPubMed
8.
Zurück zum Zitat Popick AC, Crouthamel WG, Bekersky I. Plasma protein binding of ceftriaxone. Xenobiotica. 1987;17(10):1139–45.CrossRefPubMed
9.
Zurück zum Zitat Schaad UB, Stoeckel K. Single-dose pharmacokinetics of ceftriaxone in infants and young children. Antimicrob Agents Chemother. 1982;21(2):248–53.CrossRefPubMedPubMedCentral
10.
Zurück zum Zitat Tang Girdwood S, Tang P, Fenchel M, Dong M, Stoneman E, Jones R, et al. Pharmacokinetic parameters over time during sepsis and the association of target attainment and outcomes in critically ill children and young adults receiving ceftriaxone. Pharmacotherapy. 2023;43(7):609–21.CrossRefPubMed
11.
Zurück zum Zitat Dhont E, Van Der Heggen T, De Jaeger A, Vande Walle J, De Paepe P, De Cock PA. Augmented renal clearance in pediatric intensive care: are we undertreating our sickest patients? Pediatr Nephrol. 2020;35(1):25–39.CrossRefPubMed
12.
Zurück zum Zitat Ewoldt TMJ, Bahmany S, Abdulla A, Muller AE, Endeman H, Koch BCP. Plasma protein binding of ceftriaxone in critically ill patients: can we predict unbound fractions? J Antimicrob Chemother. 2023;78(4):1059–65.CrossRefPubMedPubMedCentral
13.
Zurück zum Zitat Kan M, Shi HY, Han B, Wu YE, Li Q, Guo ZX, et al. Prediction of unbound ceftriaxone concentration in children: simple bioanalysis method and basic mathematical equation. Antimicrob Agents Chemother. 2020. https://doi.org/10.1128/AAC.00779-20.CrossRefPubMedPubMedCentral
14.
Zurück zum Zitat Schleibinger M, Steinbach CL, Töpper C, Kratzer A, Liebchen U, Kees F, et al. Protein binding characteristics and pharmacokinetics of ceftriaxone in intensive care unit patients. Br J Clin Pharmacol. 2015;80(3):525–33.CrossRefPubMedPubMedCentral
15.
Zurück zum Zitat Lacroix C, Bera-Jonville AP, Montastruc F, Velly L, Micallef J, Guilhaumou R. Serious neurological adverse events of ceftriaxone. Antibiotics (Basel). 2021;10(5):540.CrossRefPubMedPubMedCentral
16.
Zurück zum Zitat Schouwenburg S, Wildschut ED, de Hoog M, Koch BCP, Abdulla A. The pharmacokinetics of beta-lactam antibiotics using scavenged samples in pediatric intensive care patients: the EXPAT Kids study protocol. Front Pharmacol. 2021;12: 750080.CrossRefPubMedPubMedCentral
17.
Zurück zum Zitat Schwartz GJ, Muñoz A, Schneider MF, Mak RH, Kaskel F, Warady BA, Furth SL. New equations to estimate GFR in children with CKD. J Am Soc Nephrol. 2009;20(3):629–37.CrossRefPubMedPubMedCentral
18.
Zurück zum Zitat Boer DP, de Rijke YB, Hop WC, Cransberg K, Dorresteijn EM. Reference values for serum creatinine in children younger than 1 year of age. Pediatr Nephrol. 2010;25(10):2107–13.CrossRefPubMedPubMedCentral
19.
Zurück zum Zitat Mao JJ, Jiao Z, Yun HY, Zhao CY, Chen HC, Qiu XY, Zhong MK. External evaluation of population pharmacokinetic models for ciclosporin in adult renal transplant recipients. Br J Clin Pharmacol. 2018;84(1):153–71.CrossRefPubMed
20.
Zurück zum Zitat McCann S, Helfer VE, Balevic SJ, Hornik CD, Goldstein SL, Autmizguine J, et al. Using real-world data to externally evaluate population pharmacokinetic models of dexmedetomidine in children and infants. J Clin Pharmacol. 2024;64(8):963-974.
21.
Zurück zum Zitat El Hassani M, Marsot A. External evaluation of population pharmacokinetic models for precision dosing: current state and knowledge gaps. Clin Pharmacokinet. 2023;62(4):533–40.CrossRefPubMed
22.
Zurück zum Zitat Uster DW, Stocker SL, Carland JE, Brett J, Marriott DJE, Day RO, Wicha SG. A model averaging/selection approach improves the predictive performance of model-informed precision dosing: vancomycin as a case study. Clin Pharmacol Ther. 2021;109(1):175–83.CrossRefPubMed
23.
Zurück zum Zitat Sibieude E, Khandelwal A, Girard P, Hesthaven JS, Terranova N. Population pharmacokinetic model selection assisted by machine learning. J Pharmacokinet Pharmacodyn. 2022;49(2):257–70.CrossRefPubMed
24.
Zurück zum Zitat Agema BC, Kocher T, Öztürk AB, Giraud EL, van Erp NP, de Winter BCM, et al. Selecting the best pharmacokinetic models for a priori model-informed precision dosing with model ensembling. Clin Pharmacokinet. 2024;63:1449–61.CrossRefPubMedPubMedCentral
25.
Zurück zum Zitat Duong A, Simard C, Williamson D, Marsot A. Model re-estimation: an alternative for poor predictive performance during external evaluations? Example of gentamicin in critically ill patients. Pharmaceutics. 2022;14(7):1426.CrossRefPubMedPubMedCentral
26.
Zurück zum Zitat EUCAST. Clinical breakpoints and dosing of antibiotics: EUCAST. 2021. http://www.eucast.org/clinical_breakpoints/. Accessed October, 2024.
27.
Zurück zum Zitat Prásil P, Buchta V, Paterová P, Hanovcová I. (Penetration of ceftriaxone into the cerebrospinal fluid and its relationship to inflammatory markers during bacterial meningitis) Průnik ceftriaxonu do likvoru a jeho v vztah k markerům zánetu v průbehu invazivní bakteriální infekce. Klin Mikrobiol Infekc Lek. 2010;16(2):64–72.
28.
Zurück zum Zitat Le Turnier P, Navas D, Garot D, Guimard T, Bernard L, Tattevin P, et al. Tolerability of high-dose ceftriaxone in CNS infections: a prospective multicentre cohort study. J Antimicrob Chemother. 2019;74(4):1078–85.CrossRefPubMed
29.
Zurück zum Zitat Sylva M, Abdulla A, Koch BCP, Mulder J. Cephalosporin-related neurotoxicity in a ceftriaxone-treated critically ill child: a case report. Case Rep Acute Med. 2023;6(1):19–24.CrossRef
30.
Zurück zum Zitat Denck J, Ozkirimli E, Wang K. Machine-learning-based adverse drug event prediction from observational health data: a review. Drug Discov Today. 2023;28(9): 103715.CrossRefPubMed
31.
Zurück zum Zitat Alihodzic D, Broeker A, Baehr M, Kluge S, Langebrake C, Wicha SG. Impact of inaccurate documentation of sampling and infusion time in model-informed precision dosing. Front Pharmacol. 2020;11:172.CrossRefPubMedPubMedCentral
32.
Zurück zum Zitat Ryu S, Jung WJ, Jiao Z, Chae JW, Yun HY. External evaluation of the predictive performance of seven population pharmacokinetic models for phenobarbital in neonates. Br J Clin Pharmacol. 2021;87(10):3878–89.CrossRefPubMed
33.
Zurück zum Zitat El Hassani M, Liebchen U, Marsot A. Does sample size, sampling strategy, or handling of concentrations below the lower limit of quantification matter when externally evaluating population pharmacokinetic models? Eur J Drug Metab Pharmacokinet. 2024;49(4):419–36.CrossRefPubMed