Zum Inhalt

Low Target Attainment of Intravenous Cefuroxime in Critically Ill Term Neonates and Children: A Pooled Population Pharmacokinetics Study

  • Open Access
  • 03.11.2025
  • Original Research Article
Erschienen in:

Abstract

Background and Objective

Cefuroxime is a widely prescribed beta-lactam antibiotic, particularly in pediatric cardiac and medical–surgical intensive care units. The aim of this study was to describe intravenous cefuroxime disposition in critically ill pediatric patients. Moreover, target attainment of currently applied dosing regimens was evaluated, and suggestions for improving these dosing regimens were provided.

Methods

Two datasets were pooled for population pharmacokinetic (popPK) analysis, using NONMEM version 7.5. To assess the optimal target attainment (> 90% of patients with 100% time [T] > [4×] minimal inhibitory concentration [MIC]8mg/L), pharmacokinetic (PK) profiles of different dosage regimens (intermittent/continuous) were simulated using the estimated popPK parameters.

Results

The cohort consisted of 45 pediatric patients with a median (interquartile range [IQR]) age of 391 days [31–3505] and body weight of 9.0 kg [5.0–29.8]. A two-compartment popPK model with first-order elimination and allometric scaling best described cefuroxime disposition. Intravenous cefuroxime clearance was estimated at 5.29 L/h/70 kg. Postnatal age and creatinine clearance (mL/min/1.73 m2) were the best descriptive covariates for the maturation of cefuroxime clearance. Simulations evaluating the current cefuroxime dosing regimens stratified for estimated glomerular filtration rate (eGFR) levels illustrated moderate (< 90%) (eGFR < 30 and 30–80 mL/min/1.73 m2) and poor (< 20%) (eGFR 80–120 and > 120 mL/min/1.73 m2) cefuroxime target attainment across the entire age range. Alternative dosing regimens, including four times daily schedules and continuous infusion, improved target attainment, particularly in older children and those with augmented renal clearance.

Conclusions

These findings indicate that underexposure due to augmented renal function is possible when applying the current cefuroxime dosing regimens. Future research should focus on individualized dosing strategies to optimize cefuroxime exposure and efficacy in pediatric populations.

Supplementary Information

The online version contains supplementary material available at https://doi.org/10.1007/s40262-025-01577-2.
Key Points
We found that postnatal age and estimated glomerular filtration rate influence cefuroxime clearance.
Applying the current dosing regimens may lead to cefuroxime underexposure, especially in patients with augmented renal function.
Future research should focus on dosage regimens stratified for kidney function, especially in critically ill patients in which augmented renal clearance is frequently observed.

1 Introduction

Cefuroxime is a broad-spectrum, second-generation cephalosporin that is active against both gram-negative and gram-positive bacteria [1]. It is a frequently prescribed beta-lactam antibiotic, especially in cardiac and medical–surgical pediatric intensive care units (PICU) [2, 3]. Although often prescribed, an accurate description of intravenous cefuroxime disposition in critically ill children is still lacking [4].
PICU patients are characterized by highly varying pharmacokinetics (PK) due to a rapidly altering physiology involved with critical illness [5]. This is illustrated by organ dysfunction, which may influence drug distribution and elimination through mechanisms such as capillary leak, edema, and altered kidney function [6]. Fluid shifts cause changes in cefuroxime tissue distribution and clearance. These changes in PK may cause sub- or supra-therapeutic exposure to cefuroxime, ultimately leading to treatment inefficacy, toxicity, or antibiotic resistance [7]. The main elimination route for cefuroxime is renal excretion [8]. This may pose a threat for sufficient antibiotic exposure in the critically ill pediatric population in which augmented renal clearance (ARC) is frequently observed [9].
To reduce morbidity and mortality through the achievement of adequate exposure, a swift initiation of antimicrobial therapy after diagnosis is warranted [10]. For beta-lactam antibiotics such as cefuroxime, target attainment depends on the time (T) the unbound drug concentration (C) exceeds the minimal inhibitory concentration (MIC) of the targeted pathogen (T > MIC). However, which percentage of time above the MIC is applied is a topic of discussion since a multitude of targets are being applied in PK studies, ranging from 40% T > MIC up to 100% T > 6 × MIC [11]. Studies in adults suggest higher targets should be applied in immunocompromised or critically ill patients, ranging from 100% T > MIC to 100% T > 4 × MIC [12].
In critically ill adults, cefuroxime PK indicates that a standard dose by intermittent bolus (1500 mg every 8 h [q8h]) does not achieve target (65% T > MIC) [13]. We identified only one study describing cefuroxime PK in critically ill children, which reported a difference in PK due to a varying severity of illness, but data on target attainment appear lacking [14]. As a consequence, there is a notable deficiency in tailored PK-based dosing regimens for critically ill pediatric patients. Therefore, this study aims to describe intravenous cefuroxime disposition in pediatric intensive care patients using a population PK analysis. Moreover, target attainment (% T > MIC) of currently applied dosing regimens will be evaluated, and suggestions for improvement of these dosing regimens will be provided.

2 Methods

2.1 Study Design and Participants

In this pooled PK study, multiple datasets reporting on cefuroxime plasma concentrations in children admitted to the PICU following intravenous cefuroxime administration were combined. Collected patient information included demographic data, clinical data, laboratory data, and antibiotic dosing data during hospitalization.
The first dataset was part of the EXPAT Kids study (Erasmus MC Sophia Children's Hospital, Rotterdam, the Netherlands, and Wilhelmina Children’s Hospital UMCU, Utrecht, NL9326); a multicenter observational pharmacokinetics and pharmacodynamics trial of beta-lactam antibiotics [15]. Children aged 0–18 years treated with one of the target antibiotics for at least 2 days, from which the first plasma sample could be drawn within 36 h after start of treatment, were eligible. Patients were excluded on the basis of prematurity, prophylactic therapy, use of extracorporeal life support, or when informed consent was not obtained (representatives).
The second dataset consisted of data from the POPSICLE and PERFORM studies (Radboudumc, Nijmegen, the Netherlands, NCT03248349, and Erasmus MC, Rotterdam, NCT03502993). Children aged 0–18 years were eligible when admitted to a level 3 PICU, received intravenous antibiotics, and had a central venous or arterial line in place for clinical reasons. Patients were excluded when informed consent was not obtained (representatives) or when concomitant treatment with extracorporeal life support was present.
Both studies applied the Dutch Children’s Formulary (Kinderformularium) dosage regimen, 70 mg/kg/day q8h when younger than 1 month and 100 mg/kg/day every six h [q6h] when older than 1 month. Both studies used a structured sampling schedule. All samples were centrifuged after sampling and stored at −80 °C until analysis. Additional dataset information on sampling strategy and bioanalysis for each of the individual studies is provided in the Supplementary Information.

2.2 Pharmacokinetic Analysis

Population pharmacokinetic (popPK) analysis and simulations were performed using the nonlinear mixed-effects modeling approach in NONMEM version 7.4 (ICON, Development Solutions, Ellicott City, MD, USA). During the development and evaluation stage of the model, Perl-speaks-NONMEM version 4.2.0, Pirana software version 3.0.0 (Certara, NJ, USA), and R version 4.2.2 (R Foundation for Statistical Computing, Vienna, Austria) were used for PK data exploration. The model development was performed stepwise as follows: (1) selection of structural model; (2) selection of error model; (3) covariate analysis; (4) internal validation. Cefuroxime exhibits moderate protein binding up to 30% in critically ill adults [16, 17]. However, the effects of protein binding could not be evaluated, as only total concentrations for cefuroxime were available; owing to limited protein binding, no correction was performed.

2.3 Covariate Relationship Analysis

No covariate data were missing in the datasets. Details on model development are provided in the Supplementary Information. Samples below the lower limit of quantification (1.25 mg/L) (12/148 samples, 8.1%) were not excluded from the dataset. Data below the lower limit of quantification were handled using the M1 method [18]. Categorical variables were modeled using a proportional model. Continuous covariates were centered on the median and were evaluated as exponential or power relationships. Refinements applied to the model were a priori allometric scaling with a fixed exponent (i.e., 0.75 on clearances, 1 on distribution volume) and inter-individual variability (IIV) on clearance (CLcefu).
The following covariates were tested: sex, postnatal age (PNA), gestational age (GA), postmenstrual age (PMA), serum creatinine (SCR, μmol/L; age adjusted), creatinine clearance (CRCL; estimated glomerular filtration rate [eGFR] in mL/min/1.73 m2), serum urea (mmol/L), C-reactive protein (mg/L), and study center. CRCL was calculated using the bedside Schwartz equation [19]. For ages below and above 2 years, augmented renal clearance cutoff values of 99 and 140 mL/min/1.73 m2 were applied, respectively [20].
Covariates were evaluated using a stepwise forward inclusion (P < 0.05) and backward elimination (P < 0.01) procedure. Goodness-of-fit (GOF) plots and visual predictive checks (VPCs) were used for evaluation of the model performance. Conditional weighted residuals (CWRES) were evaluated to indicate model misspecifications [21]. In addition, sampling importance resampling (SIR) was applied to assess the precision of the parameter estimates [22].

2.4 Dosing Regimen Simulations

Intravenous cefuroxime exposure was evaluated using Monte Carlo simulations (n = 1000) with the final developed popPK model. Dosing simulations were performed to evaluate cefuroxime target attainment following existing dosing regimens. Creatinine clearance was stratified to observe the influence of the covariate on cefuroxime clearance: < 30, 30–80, 80–120, and > 120 mL/min/1.73 m2. An intravenous dosing regimen of cefuroxime 75 mg/kg/day and 100 mg/kg/day three and four times daily (q8h and q6h) was used for the Monte Carlo simulations after considering dosing guidelines for bacterial infections available from literature (Dutch Children’s Formulary, Kinderformularium) (Table 1). In case of eGFR < 30 mL/min/1.73 m2, the total day dosage was divided over two dosage administrations (every 12 h [q12h]). Simulations were performed with virtual patients aged 7 and 28 days, and 1, 10, and 16 years old.
Table 1
Simulated dosing regimens
Age
Weight (kg)
Dosage
Dosing interval
7 days
3.7
75 mg/kg/day
q8h
28 days
4.1
100 mg/kg/day
q8h and q6h
1 year
9.75
100 mg/kg/day
q8h and q6h
10 years
34
100 mg/kg/day
q8h and q6h
16 years
61
100 mg/kg/day (max. 4.5 g daily)
q8h and q6h
From the age of 1 month, both three- (q8h) and four-times-daily (q6h) administrations were considered applicable. Patients with an eGFR < 30 mL/min/1.73 m2 received the same daily total dose, administered over two-times-daily dosing (q12h)
A threshold of 90% of cases in which 100% T > MIC was achieved was used to define adequate treatment. A target of 100% T > MIC was used in the analysis to ensure constant exposure of cefuroxime. The target for the percentage of T > MIC was calculated for the first day of treatment (0–24 h). In addition, target attainment for a range of MIC values (0.125–128 mg/L) and continuous infusion was determined. The cefuroxime species-related breakpoint (MICECOFF) was chosen on the basis of the worst-case pathogen (Enterobacteriaceae) and defined the MIC at 8 mg/L [23].

3 Results

A total of 148 cefuroxime plasma concentrations obtained from 45 children (EXPAT Kids: n = 31, PERFORM: n = 10, POPSICLE: n = 4) were used for the popPK analysis. The median PNA of the population was 391 days (range: 0–6131) with a median GA of 39.3 weeks (range: 26.0–42.0). The median body weight was 9.0 kg (range: 2.8–70.0). Intravenous cefuroxime concentrations ranged from 0.6 to 292.0 mg/L (concentrations not corrected for dose). Of all included patients, 8.9% showed augmented renal clearance. Patient characteristics grouped per dataset are summarized in Table 2.
Table 2
Baseline characteristics
Characteristic
All patients (n = 45)
EXPAT Kids (n = 31)
POPSICLE and PERFORM
study (n = 14)
Weight (kg)
9.0 (2.8–70.0) [3.5–29.8]
6.9 (2.8–70.0) [3.8–29.9]
12.1 (2.8–60.0) [3.6–17.5]
Height (cm)
68 (47–192) [50–130]
61 (49–192) [54–134]
80 (47–174) [53–112]
Sex (female %)
55.6%
64.5%
35.7%
Age (y)
1.07 (0.00–16.80) [0.08–9.60]
0.50 (0.03–16.80) [0.10–10.00]
2.30 (0.00–16.06) [0.05–7.60]
Postnatal age (d)a
391 (0–6131) [31–3502]
184 (11–6131) [35–3634]
841 (0–5861) [17–2767]
Gestational age (wks)
39.3 (26.0–42.0) [37.3–40.5]
39.3 (28.9–42.0) [37.3–40.9]
39.6 (26.0–40.3) [38.8–40.0]
No. of plasma concentrations
148
120
28
No. of samples per individual
3 (1–8)
3 (1–7)
1 (1–8)
Dosage (mg)
225.0 (65.0–1500.0) [102.0–750.0]
173.0 (77.0–1500.0) [106.5–787.5]
300.0 (65.0–1500.0) [109.5–450.0]
Dosage (mg/kg/administration)
25.0
25.0 (21.4–33.5)
25.0 (23.2–35.7)
Creatinine (µmol/L)
27 (14.0–219)
23 (14–219)
34 (17–62)
Creatinine clearance (mL/min/1.73 m2)
81.3 (25.4–181.5)
87.7 (25.4–181.5)
73.9 (45.5–131.8)
Augmented renal clearanceb
8.9% (4)
12.9% (4)
0% (0)
C-reactive protein (mg/L)
54.0 (1.3–375.0)
49.5 (1.3–375.0)
75 (7.6–279.0)
Urea (mmol/L)
3.5 (1.4–36.9)
3.5 (1.4–36.9)
3.0 (2.0–13.8)
Median (range) [interquartile range]
kg, kilogram; y, years; d, days; wks, weeks, no., number; mg, milligram; mL, milliliter; min; minute
aPostnatal age during therapy
bBased on cutoff values of 99 and 140 mL/min/1.73 m2 below and above 2 years old, respectively

3.1 Final Population Pharmacokinetic Model

Cefuroxime pharmacokinetics after intravenous administration were best described by a two-compartment popPK model with first-order elimination and a priori allometric scaling with a fixed exponent (scaled to 70 kg). A mixed-error model was used to describe the residual variability. Detailed results regarding the PK analysis and the final model are described in the Supplementary Information.
Intravenous cefuroxime clearance was estimated at 5.29 L/h/70 kg. CRCL was added as a covariate relationship on CLcefu. PNA was found to best describe maturation of CLcefu as an exponential function. The population PK parameter estimates along with their corresponding IIV (clearance) and residual unexplained variability of the final model and SIR evaluation are presented in Table 3. SIR results showed relative standard errors less than 30% for all structural parameters.
Table 3
Parameter estimates of the final model
Parameter
Parameter estimates (RSE %)
[shrinkage %]
SIR estimates
(95% CI) [RSE%]
Fixed effects
\({\text{CL}}_{\text{cefu }}=\text{TVCL}\times {(\frac{\text{BW}}{70})}^{0.75}\times {(\frac{\text{CRCL}}{81.3})}^{{\theta }_{\text{CRCL}}}\times {(\frac{\text{PNA}}{391})}^{{\theta }_{\text{PNA}}}\)
\(\text{TVCL}\) \((\frac{L}{h}/70\text{kg})\)
5.29 (6.78)
5.30 (4.76–5.92) [6.6]
\({\text{V}1}_{\text{cefu }}=\text{TVV}1\times {(\frac{\text{BW}}{70})}^{1.00}\)
\(\text{TVV}1\) \((\text{L})\)
5.02 (20.1)
4.98 (3.42–5.92) [19.7]
\({\text{V}2}_{\text{cefu }}=\text{TVV}2\times {(\frac{\text{BW}}{70})}^{1.00}\)
\(\text{TVV}2\) \((\text{L})\)
12.3 (9.44)
12.41 (10.51–14.28) [9.3]
\({Q}_{\text{cefu }}=\text{TVQ}\times {(\frac{\text{BW}}{70})}^{0.75}\)
\(\text{TVQ}\) \((\text{L}/\text{h})\)
27.9 (32.9)
28.23 (18.26–44.06) [29.3]
Covariate relationships
\({\theta }_{\text{CLCR}}\)
0.754 (22)
0.766 (0.49–1.02) [21.6]
\({\theta }_{\text{PNA}}\)
0.0869 (30.9)
0.084 (0.043–0.130) [30.0]
Interindividual variability (IIV)
Clearance (%CV)
33.3 (26.1%) [10.5]
33.8 (27.9–40.9) [23.4]
Residual variability
Proportional error (%)
40.1 (7.9)
40.6% (35.8%–46.1%) [7.9%]
Additive error (mg/L)
0.545 (25.6)
0.550 (0.385–0.796) [23.3]
Body weight is scaled to 70 kg. Creatinine clearance and postnatal age are scaled to the dataset median (81.3 mL/min/1.73 m2 and 391 days)
BW, body weight (kg); CI, confidence interval; CLcefu, clearance of cefuroxime; CRCL, estimated creatinine clearance (mL/min/1.73 m2); CV, coefficient of variation; IIV, interindividual variability; PNA, postnatal age (days); RSE, relative standard error; SIR, sampling importance resampling; TVCL, the typical value for clearance; TVQ, the typical value for inter-compartmental clearance; TVV1, the typical value for central compartment; TVV2, the typical value for peripheral compartment; V1cefu, distribution volume of central compartment cefuroxime; V2cefu, distribution volume of peripheral compartment for cefuroxime; Qcefu, inter-compartmental clearance of cefuroxime
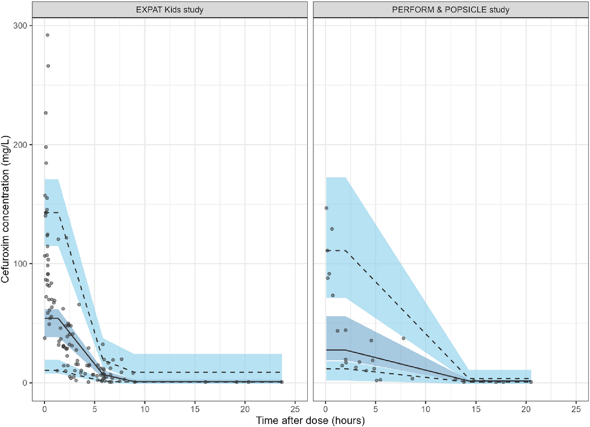
The goodness-of-fit plots (Fig. 1) depict an adequate performance of the final popPK model since the predicted cefuroxime concentrations lie close near the line of identity (y = x). The CWRES plots showed that the majority of points remain between the −2.5 and 2.5 thresholds, demonstrating adequate predictive performance of the final model. All visual and numerical model evaluations demonstrated adequate estimation of the population PK parameters describing cefuroxime concentrations. VPCs stratified for study center depicted adequate model performance and are shown in Fig. 2. Additional figures regarding model diagnostics are provided in the Supplementary Information (Supplementary Figs. S1–S4).
Fig. 1
Goodness of fit of predicted intravenous cefuroxime concentrations (mg/L). Upper panel: observed cefuroxime concentrations versus individual predictions and population predictions. The black line represents the line of identity. The blue line represents the locally estimated scatterplot smoothing (LOESS) line, which follows the highest density of the measured cefuroxime concentration and predictions. Lower panel: conditional weighted residuals versus population predictions and time after the last dose. The blue line represents the linear regression line
Bild vergrößern
Fig. 2
Visual predictive check of the final pharmacokinetic model for intravenous cefuroxime concentrations (n = 1000), stratified by study. The solid black line represents the median of the measured cefuroxime concentrations. The dashed black lines represent the 10th and 90th percentiles of the cefuroxime observations. The dark-blue shaded areas represent the interval for the median of the model-predictions (with 97.5% confidence intervals for these predictions). The light-blue shaded areas represent the 10th and 90th percentiles for the model predictions (both with 97.5% confidence intervals). Left panel: EXPAT Kids study; right panel: PERFORM and POPSICLE study
Bild vergrößern

3.2 Simulations

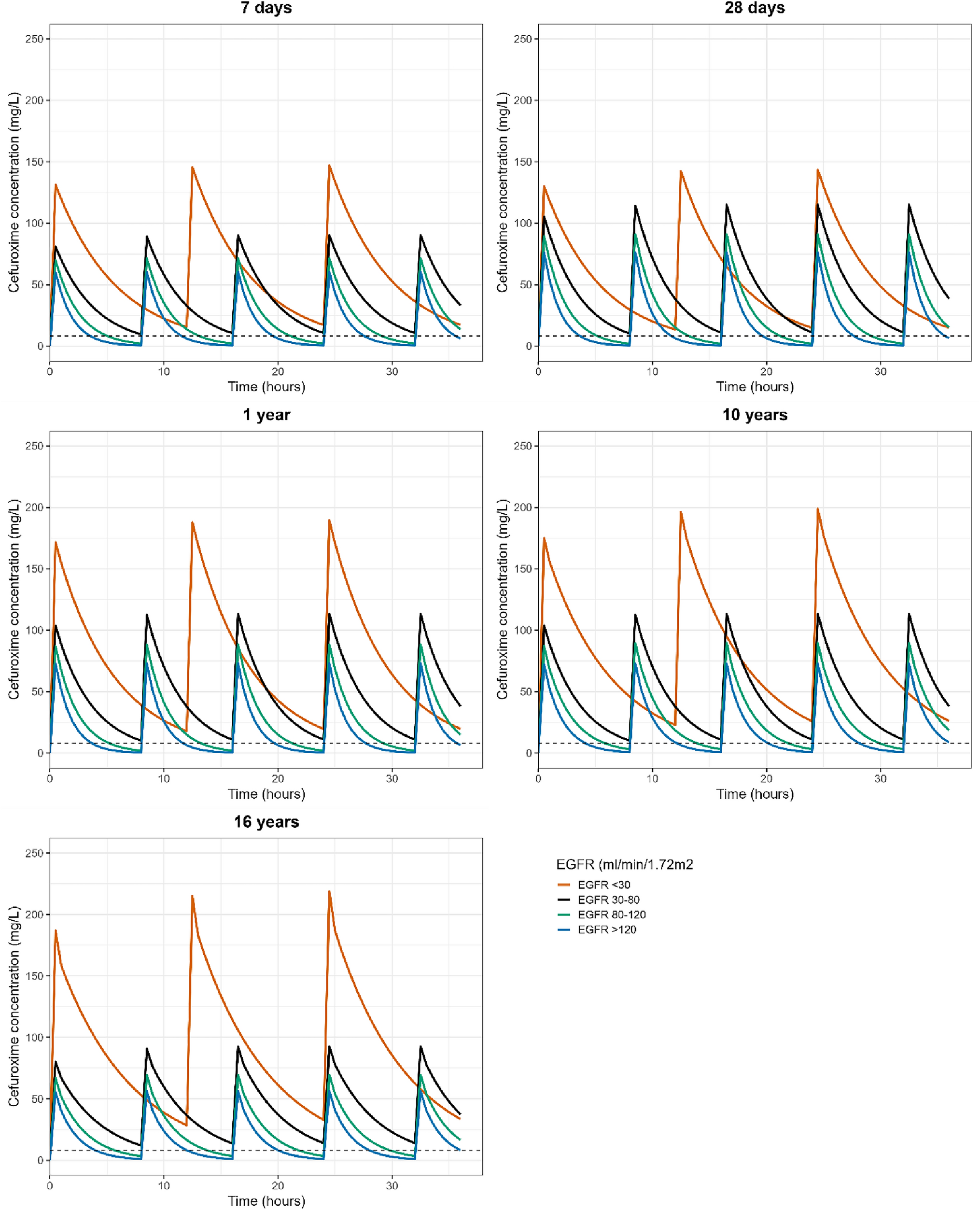
Figure 3 shows simulations for the median concentration–time curve for patients aged 3 days to 16 years old stratified by creatinine clearance level (eGFR: < 30, 30–80, 80–120, > 120 mL/min/1.73 m2). The plots illustrate that for eGFR levels of 80–120 and > 120 mL/min/1.73 m2, no steady-state cefuroxime concentrations were reached, despite achieving 100% T > MIC (8 mg/L) target attainment irrespective of age and dosage. Consequently, almost all drug was cleared at the end of each dosing interval in the two highest eGFR groups. With twice-daily dosing in the renal insufficiency group (eGFR < 30 mL/min/1.73 m2), peak concentrations steadily increased.
Fig. 3
Simulations for patients aged 7 days to 16 years old stratified on the basis of eGFR level (< 30 (orange line), 30–80 (black line), 80–120 (green line), > 120 (blue line) mL/min/1.73 m2). Applied dosage regimens are illustrated in Table 1. A dosing interval of three times daily (q8h) was applied with eGFR > 30 mL/min/1.73 m2. In case of eGFR < 30 mL/min/1.73 m2, cefuroxime was dosed two times daily (q12h). The concentration–time curve illustrates the median concentration among all simulated patients. The dashed line represents the MIC threshold (8 mg/L)
Bild vergrößern
Figure 4 shows the percentage of cases achieving the pharmacodynamic target (100% T > MIC (8 mg/L) in all categories receiving intravenous cefuroxime q8h or q6h during the first day of treatment. None of the simulations reached 100% T > MIC in > 90% of patients, regardless of eGFR level. The two upper eGFR levels (80–120 and > 120 mL/min/1.73 m2) illustrated poor cefuroxime exposure. However, dosing q6h demonstrated higher percentage T > MIC as compared with q8h. The percentage of cases in which T > MIC was achieved by 90% is presented in Supplementary Tables S1 (q8h) and S2 (q6h). In the q8h group, for the two highest eGFR levels, 90% of cases reached at least 20–40% T > MIC, while in the q6h group this range was 30–50%.
Fig. 4
Percentage of patients reaching 100% T > MIC (8 mg/L) stratified for age and eGFR (mL/min/1.73 m2) during the first day (0–24 h) of treatment. Left panel: three-times-daily (q8h) regimen. Age 7 days, 75 mg/kg/day q8h; older ages, 100 mg/kg/day q8h. Right panel: four-times-daily (q6h) regimen. All ages 100 mg/kg/day q6h
Bild vergrößern
In Fig. 5, the mean percentage of target attainment for different eGFR levels across all age ranges receiving cefuroxime q6h is shown. The plots illustrate the same trend among all simulated patients; the higher eGFR levels covered lower target attainment across the MIC range (0.125–128 mg/L).
Fig. 5
Percentage of target attainment in patients for intravenous cefuroxime for a range of MICs during the first day (0–24 h) of treatment. Dosage regimens: 7 days, 75 mg/kg/day q6h; all older ages, 100 mg/kg/day q6h. In case of eGFR < 30 mL/min/1.73 m2, total day dosage divided over two administrations (q12h). MIC, minimal inhibitory concentration
Bild vergrößern
Cefuroxime exposure following alternative dosage regimens (q8h, q6h) is presented in Supplementary Tables S3 and S4. In the 7-day-old patients, a dosage regimen of 100 mg/kg/day q8h reached 40% and 20% target attainment for eGFR levels 80–120 and > 120 mL/min/1.73 m2, respectively. For patients with increased kidney function (> 120 mL/min/1.73 m2), a maximum target attainment of 30% T > MIC was reached in 90% of cases. In the two oldest age ranges (10 and 16 years old), a dosage above the maximum of 4.5 g daily was evaluated, resulting in a percentage T > MIC of 40–60%. Across all ages, similar percentages of target attainment were reached for dosage regimens of 125–150 mg/kg/day, disregarding the 4.5 g maximum daily dosage. For the q6h alternative dosage regimens, slightly higher target attainment percentages are illustrated across all ages. In Supplementary Fig. S5, the potential of cefuroxime continuous infusion is illustrated while applying a standard dosage regimen (loading dose followed by continuous infusion [both 75–100 mg/kg/day]). Across all age ranges and eGFR levels (80–120, > 120 mL/min/1.73 m2) adequate target attainment was observed with steady-state concentrations (Css) above 8 mg/L for median concentration–time curves (n = 1000).

4 Discussion

This pooled popPK analysis describes the disposition of intravenous cefuroxime in term critically ill neonates and children up to 16 years old. Cefuroxime concentrations were best fit by a two-compartment popPK model with a priori allometric scaling. eGFR (CLCR) and PNA were relevant covariates explaining variability in CLcefu. Simulations evaluating present cefuroxime dosing regimens illustrate moderate (< 90%) (eGFR < 30 and 30–80 mL/min/1.73 m2) and poor (< 20%) (eGFR 80–120 and > 120 mL/min/1.73 m2) cefuroxime target attainment across all age ranges. Our results show slightly higher target attainment when dosed q6h (instead of q8h) and while applying regimens with higher dosages, ultimately confirming that in critically ill patients in which target attainment is crucial, higher daily dosage (q6h and q8h dosing) or continuous infusion (standard regimen) may be required to achieve specified targets as compared with patients with normal or augmented kidney function. Simulations for continuous infusion with a loading dose demonstrated 100% T > MIC (Css > MIC8mg/L). Simulations across the MIC range indicated improved target attainment for pathogens with lower MICs, with approximately 90% attainment achieved at an MIC of 1 mg/L regardless of age and eGFR.
In 1982, the first PK data for cefuroxime in neonates were published, illustrating no accumulation of cefuroxime in the fetus after therapy during pregnancy [24]. Additional research in children with bacterial meningitis described cefuroxime penetration both systemically and in the central spine fluid [25]. In a cohort of 11 children, cefuroxime elimination followed a bi-exponential curve, indicating a two-compartmental PK [14]. This is in line with our findings, as our popPK model also demonstrated two elimination phases. In addition, in the same study, disease severity appeared to impact cefuroxime PK when the population was analyzed by control, severe, and very severe illness groups. Volume of distribution appeared higher in the very severely ill group suggesting a larger loading dose of cefuroxime in the initial phase for swift and adequate exposure. Our simulations show adequate exposure (Css > MIC) after a normal loading dose, followed by continuous infusion. Cefuroxime PK in 42 cardiopulmonary bypass (CPB) patients up to 1 year old (median PNA: 125 days) was described by a two-compartment model with allometric scaling [26]. CLcefu was similar between this study and our model (5.15 versus 5.29 L/h/70 kg). In our model, higher values were obtained for the estimates of V1, V2, and Q. Consequently, having higher volume of distribution would lead to lower peak concentrations, and it would likely lead to higher trough concentrations if clearance were the same [27]. Both a PMA hill equation and PNA were tested as covariates, whereas a sigmoid function did not improve model fit or alter population estimates compared with PNA. Although a PMA hill equation is often applied to describe prenatal kidney function maturation, our study population does not contain premature neonates.
Intravenous cefuroxime is rapidly excreted by the kidneys (90% recovery within 6 h) [8]. Augmented renal clearance (ARC) is frequently observed in the critically ill pediatric population, possibly enhancing cefuroxime clearance [28]. Cutoff values to establish ARC in pediatrics range from an eGFR > 130 up to > 200 mL/min/1.73 m2 [29]. However, studies have recommended the use of age-related thresholds to determine ARC in children, as eGFR evolves during the first 2 years of life [9]. Cutoff values of 99 mL/min/1.73 m2 for children under 2 years and 140 mL/min/1.73 m2 for children above 2 years were suggested to identify patients with ARC that may benefit from intensified dosing regimens [20]. Our study illustrated that patients with higher eGFR levels (80–120, > 120 mL/min/1.73 m2) struggle to attain cefuroxime PD target (100% T > MIC), reaching only 30–50% T > MIC (q6h) irrespective of age during the first 24 h of treatment. ARC prevalence ranges from 7.8% to 78% in patients aged 1.25–12 years [30]. In our study, 8.9% of included patients showed ARC on the basis of the above-described cutoffs. This suggests that in addition to age- and weight-based dosing of cefuroxime, eGFR should be taken into account when providing an individualized dose, especially in older children.
In the dosing regimen evaluations, dosages above the current maximum daily dosage of 4.5 g were evaluated (up to 6 g daily q6h). Dosages up to 4.5 g are deemed safe to use (cefuroxime Summary of Product Characteristics (SmPC)), as no toxicity information is available at higher dosages. Cefuroxime safety data are scarce. A recent retrospective pharmacovigilance study examining postmarketing safety for cefuroxime in adults concluded that intravenous administration deserves enhanced monitoring as bolus injections compared with oral administration are more likely to cause “blood pressure decrease” and “anaphylactic shock” when applying normal dosages [31]. Five case reports describe serious neurological adverse events after maximum cefuroxime dosages in adults (4.5–6 g) [32, 33]. All in all, cefuroxime exhibits neurological toxicity while dosing above the SmPC maximum of 4.5 g. This indicates that dosage increases are only deemed possible in patients with augmented kidney function while strictly monitoring the patient.
Simulations of cefuroxime administered using continuous infusion illustrated adequate Css above the MIC of 8 mg/L. The BLING III study, evaluating the benefit of continuous over intermittent infusion (piperacillin–tazobactam/meropenem) in adults, showed no difference in 90-day mortality observed between groups [34]. Albeit generally more accepted in adults, beta-lactam continuous infusion is occasionally applied in children with acceptable tolerance and similar or superior clinical outcomes [35]. However, drug stability and infusion volume present significant challenges. In pediatric continuous infusion, factors such as limited lumen availability, potential drug incompatibilities, and the overall infusion volume complicate treatment, highlighting the need for further research to ensure safety and demonstrate improved clinical efficacy.
Several constraints of this study warrant consideration. Firstly, the popPK analysis was based on a limited number of patients, and dense sampling was not applied. Sparse sampling resulted in the inability to accurately estimate an IIV for V1, V2, or Q. In addition to the clinical validity of the established model, no external dataset was available for validating the model performance. However, to increase the external validity and heterogeneity of the popPK model, data pooling was applied, combining data from three different PICUs. Moreover, internal validation procedures such as SIR and VPCs were applied. None of the included datasets measured free cefuroxime concentrations. Therefore, total concentrations may not accurately reflect the unbound fraction and could overestimate target attainment in the simulations, particularly in patients with hypoalbuminemia or critical illness. Decreased protein binding in critically ill patients is caused by lower albumin levels and competition with accumulating endogenous substances (i.e., urea, bilirubin) [36]. Lastly, no individual MICs were measured, and an MICECOFF of 8 mg/L was used, representing the worst possible MICECOFF. Most pathogens identified at the PICU will have a MIC of 1 mg/L or lower, indicating that target attainment might be higher in most cases [23]. However, until the MIC is determined, therapy should be targeted on the worst-case scenario.
In conclusion, this study presents an intravenous cefuroxime popPK model in term neonates and children admitted to the PICU. Both creatinine clearance and postnatal age are related to cefuroxime clearance in this population. Dosage regimen simulations illustrated low target attainment (20–60%) across all evaluated ages and dosage intervals with an eGFR of 80–120 or > 120 mL/min/1.73 m2 using currently advised dosages and a MIC of 8 mg/L. This indicates that while applying the current dosing regimens, underexposure, especially in patients with augmented renal function, is possible. Future research should focus on dosage regimens stratified for kidney function, especially in critically ill patients in which ARC is frequently observed. There is an urgent need to improve cefuroxime dosing using individualized dosages or continuous infusion and its impact on clinical outcomes.

Acknowledgements

This project has received funding from the Erasmus University Medical Center MRace Grant. The funders had no role in the collection, analysis, and interpretation of data or in writing the manuscript or the decision to publish. The authors declare no conflicts of interest.

Declarations

Funding

This work was supported by the MRace grant of the Erasmus University Medical Centre, Rotterdam, the Netherlands.

Conflicts of Interest

Birgit C.P. Koch and Saskia N. de Wildt are Editorial Board members of Clinical Pharmacokinetics. Birgit C.P. Koch and Saskia N. de Wildt were not involved in the selection of peer reviewers for the manuscript nor any of the subsequent editorial decisions. Stef Schouwenburg, Tim Preijers, Alan Abdulla, Roelie M. Wösten-van Asperen, Stan J.F. Hartman, Saskia N. de Wildt, Matthijs de Hoog, and Enno D. Wildschut have no conflicts of interest to declare concerning this article.

Availability of Data and Material

The data and material are accessible upon reasonable request by contacting the corresponding author.

Ethics Approval

The EXPAT Kids study was approved by the Erasmus MC Medical Ethical Committee (NL76194.078.21) (NL9326).

Author Contributions

All authors made substantial contributions to the conception and design of the PK trial, interpretation of data, and funding acquisition. Stef Schouwenburg and Tim Preijers were responsible for data analysis and directly accessed and verified the underlying data presented here. Stef Schouwenburg drafted the manuscript. All authors provided a critical revision for important intellectual content. All authors approved the final version to be published and agreed to be accountable for all aspects of the work.
Written, informed consent was obtained from all participants. All participants consented to publication.
All participants consented to publication.

Code Availability

The model codes that support the findings of this study are accessible upon reasonable request by contacting the corresponding author.
Open Access This article is licensed under a Creative Commons Attribution-NonCommercial 4.0 International License, which permits any non-commercial use, sharing, adaptation, distribution and reproduction in any medium or format, as long as you give appropriate credit to the original author(s) and the source, provide a link to the Creative Commons licence, and indicate if changes were made. The images or other third party material in this article are included in the article's Creative Commons licence, unless indicated otherwise in a credit line to the material. If material is not included in the article's Creative Commons licence and your intended use is not permitted by statutory regulation or exceeds the permitted use, you will need to obtain permission directly from the copyright holder. To view a copy of this licence, visit http://creativecommons.org/licenses/by-nc/4.0/.
Download
Titel
Low Target Attainment of Intravenous Cefuroxime in Critically Ill Term Neonates and Children: A Pooled Population Pharmacokinetics Study
Verfasst von
Stef Schouwenburg
Tim Preijers
Roelie M. Wösten-van Asperen
Stan J. F. Hartman
Saskia N. de Wildt
Matthijs de Hoog
Birgit C. P. Koch
Alan Abdulla
Enno D. Wildschut
Publikationsdatum
03.11.2025
Verlag
Springer International Publishing
Erschienen in
Clinical Pharmacokinetics / Ausgabe 1/2026
Print ISSN: 0312-5963
Elektronische ISSN: 1179-1926
DOI
https://doi.org/10.1007/s40262-025-01577-2

Supplementary Information

Below is the link to the electronic supplementary material.
1.
Zurück zum Zitat Ginsburg CM, McCracken GH Jr, Petruska M, Olson K. Pharmacokinetics and bactericidal activity of cefuroxime axetil. Antimicrob Agents Chemother. 1985;28(4):504–7.CrossRefPubMedPubMedCentral
2.
Zurück zum Zitat Renk H, Sarmisak E, Spott C, Kumpf M, Hofbeck M, Hölzl F. Antibiotic stewardship in the PICU: impact of ward rounds led by paediatric infectious diseases specialists on antibiotic consumption. Sci Rep. 2020;10(1):8826.CrossRefPubMedPubMedCentral
3.
Zurück zum Zitat Blinova E, Lau E, Bitnun A, Cox P, Schwartz S, Atenafu E, et al. Point prevalence survey of antimicrobial utilization in the cardiac and pediatric critical care unit. Pediatr Crit Care Med. 2013;14(6):e280–8.CrossRefPubMed
4.
Zurück zum Zitat Hartman SJF, Brüggemann RJ, Orriëns L, Dia N, Schreuder MF, de Wildt SN. Pharmacokinetics and target attainment of antibiotics in critically ill children: a systematic review of current literature. Clin Pharmacokinet. 2020;59(2):173–205.CrossRefPubMed
5.
Zurück zum Zitat Thakkar N, Salerno S, Hornik CP, Gonzalez D. Clinical pharmacology studies in critically ill children. Pharm Res. 2017;34(1):7–24.CrossRefPubMed
6.
Zurück zum Zitat Morales Castro D, Dresser L, Granton J, Fan E. Pharmacokinetic alterations associated with critical illness. Clin Pharmacokinet. 2023;62(2):209–20.CrossRefPubMedPubMedCentral
7.
Zurück zum Zitat Abdulla A, Ewoldt TMJ, Purmer IM, Muller AE, Gommers D, Endeman H, et al. A narrative review of predictors for β-lactam antibiotic exposure during empirical treatment in critically ill patients. Expert Opin Drug Metab Toxicol. 2021;17(4):359–68.CrossRefPubMed
8.
Zurück zum Zitat Foord RD. Cefuroxime: human pharmacokinetics. Antimicrob Agents Chemother. 1976;9(5):741–7.CrossRefPubMedPubMedCentral
9.
Zurück zum Zitat Van Der Heggen T, Dhont E, Peperstraete H, Delanghe JR, Vande Walle J, De Paepe P, et al. Augmented renal clearance: a common condition in critically ill children. Pediatr Nephrol. 2019;34(6):1099–106.CrossRefPubMed
10.
Zurück zum Zitat Weiss SL, Peters MJ, Alhazzani W, Agus MSD, Flori HR, Inwald DP, et al. Surviving sepsis campaign international guidelines for the management of septic shock and sepsis-associated organ dysfunction in children. Pediatr Crit Care Med. 2020;21(2):e52–106.CrossRefPubMed
11.
Zurück zum Zitat Morales Junior R, Pereira GO, Tiguman GMB, Juodinis VD, Telles JP, de Souza DC, et al. Beta-lactams therapeutic monitoring in septic children-What target are we aiming for? A scoping review. Front Pediatr. 2022;10:777854.CrossRefPubMedPubMedCentral
12.
Zurück zum Zitat Barreto EF, Webb AJ, Pais GM, Rule AD, Jannetto PJ, Scheetz MH. Setting the beta-lactam therapeutic range for critically ill patients: is there a floor or even a ceiling? Crit Care Explor. 2021;3(6):e0446.PubMedPubMedCentral
13.
Zurück zum Zitat Carlier M, Noë M, Roberts JA, Stove V, Verstraete AG, Lipman J, et al. Population pharmacokinetics and dosing simulations of cefuroxime in critically ill patients: non-standard dosing approaches are required to achieve therapeutic exposures. J Antimicrob Chemother. 2014;69(10):2797–803.CrossRefPubMed
14.
Zurück zum Zitat Olguín HJ, Asseff IL, Vieyra AC, Pérez AG, Saldaña NG, Quesada AC, et al. Effect of severity disease on the pharmacokinetics of cefuroxime in children with multiple organ system failure. Biol Pharm Bull. 2008;31(2):316–20.CrossRefPubMed
15.
Zurück zum Zitat Schouwenburg S, Wildschut ED, de Hoog M, Koch BCP, Abdulla A. The pharmacokinetics of beta-lactam antibiotics using scavenged samples in pediatric intensive care patients: the EXPAT kids study protocol. Front Pharmacol. 2021. https://doi.org/10.3389/fphar.2021.750080.CrossRefPubMedPubMedCentral
16.
Zurück zum Zitat van Raaij JJ, Mabelis NJD, Shudofsky KN, Meenks SD, le Noble J, Janssen PKC. Quantification of total and unbound cefuroxime in plasma by ultra-performance liquid chromatography tandem mass spectrometry in a cohort of critically ill patients with hypoalbuminemia and renal failure. J Clin Lab Anal. 2020;34(3):e23100.CrossRefPubMed
17.
Zurück zum Zitat Benson JM, Boudinot FD, Pennell AT, Cunningham FE, DiPiro JT. In vitro protein binding of cefonicid and cefuroxime in adult and neonatal sera. Antimicrob Agents Chemother. 1993;37(6):1343–7.CrossRefPubMedPubMedCentral
18.
Zurück zum Zitat Bergstrand M, Karlsson MO. Handling data below the limit of quantification in mixed effect models. AAPS J. 2009;11(2):371–80.CrossRefPubMedPubMedCentral
19.
Zurück zum Zitat Schwartz GJ, Schneider MF, Maier PS, Moxey-Mims M, Dharnidharka VR, Warady BA, et al. Improved equations estimating GFR in children with chronic kidney disease using an immunonephelometric determination of cystatin C. Kidney Int. 2012;82(4):445–53.CrossRefPubMedPubMedCentral
20.
Zurück zum Zitat Dhont E, Van Der Heggen T, Snauwaert E, Willems J, Croubels S, Delanghe J, et al. Predictors of augmented renal clearance based on iohexol plasma clearance in critically ill children. Pediatr Nephrol. 2024;39(5):1607–16.CrossRefPubMed
21.
Zurück zum Zitat Hooker AC, Staatz CE, Karlsson MO. Conditional weighted residuals (CWRES): a model diagnostic for the FOCE method. Pharm Res. 2007;24(12):2187–97.CrossRefPubMed
22.
Zurück zum Zitat Dosne AG, Bergstrand M, Karlsson MO. An automated sampling importance resampling procedure for estimating parameter uncertainty. J Pharmacokinet Pharmacodyn. 2017;44(6):509–20.CrossRefPubMedPubMedCentral
23.
Zurück zum Zitat EUCAST. Clinical breakpoints and dosing of antibiotics: EUCAST: 2021. Available from: http://www.eucast.org/clinical_breakpoints/.
24.
Zurück zum Zitat Philipson A, Stiernstedt G. Pharmacokinetics of cefuroxime in pregnancy. Am J Obstet Gynecol. 1982;142(7):823–8.CrossRefPubMed
25.
Zurück zum Zitat del Rio ML, Chrane DF, Shelton S, McCracken GH Jr., Nelson JD. Pharmacokinetics of cefuroxime in infants and children with bacterial meningitis. Antimicrob Agents Chemother. 1982;22(6):990–4.CrossRefPubMedPubMedCentral
26.
Zurück zum Zitat Gertler R, Gruber M, Wiesner G, Grassin-Delyle S, Urien S, Tassani-Prell P, et al. Pharmacokinetics of cefuroxime in infants and neonates undergoing cardiac surgery. Br J Clin Pharmacol. 2018;84(9):2020–8.CrossRefPubMedPubMedCentral
27.
Zurück zum Zitat Morales R Jr., Mizuno T, Paice KM, Hambrick HR, Punt N, Tang Girdwood S. Impact of fluid balance on beta-lactam antibiotics target attainment: insights from a simulation-based meropenem study. Int J Antimicrob Agents. 2024;64(3):107267.CrossRefPubMed
28.
Zurück zum Zitat Dhont E, Van Der Heggen T, De Jaeger A, Vande Walle J, De Paepe P, De Cock PA. Augmented renal clearance in pediatric intensive care: are we undertreating our sickest patients? Pediatr Nephrol. 2020;35(1):25–39.CrossRefPubMed
29.
Zurück zum Zitat Xu WX, Qu Q, Teng XQ, Zhuang HH, Liu SF, Wang Y, et al. Personalized application of antimicrobial drugs in pediatric patients with augmented renal clearance: a review of literature. Eur J Pediatr. 2024;183(1):51–60.CrossRefPubMed
30.
Zurück zum Zitat Rhoney DH, Metzger SA, Nelson NR. Scoping review of augmented renal clearance in critically ill pediatric patients. Pharmacotherapy. 2021;41(10):851–63.CrossRefPubMed
31.
Zurück zum Zitat Jiang C, Zheng X, Li P, Qian J, Li Q. A retrospective pharmacovigilance study of post-marketing safety concerns with cefuroxime. Ther Adv Drug Saf. 2024;15:20420986241258049.CrossRefPubMedPubMedCentral
32.
Zurück zum Zitat van Dam DG, Burgers DM, Foudraine N, Janssen PK, Neef C, le Noble JL. Treatment of cefuroxime-induced neurotoxicity with continuous venovenous haemofiltration. Neth J Med. 2017;75(1):32–4.PubMed
33.
Zurück zum Zitat Herishanu YO, Zlotnik M, Mostoslavsky M, Podgaietski M, Frisher S, Wirguin I. Cefuroxime-induced encephalopathy. Neurology. 1998;50(6):1873–5.CrossRefPubMed
34.
Zurück zum Zitat Dulhunty JM, Brett SJ, De Waele JJ, Rajbhandari D, Billot L, Cotta MO, et al. Continuous vs intermittent β-lactam antibiotic infusions in critically ill patients with sepsis: the BLING III randomized clinical trial. JAMA. 2024;332(8):629–37.CrossRefPubMedPubMedCentral
35.
Zurück zum Zitat Imburgia TA, Kussin ML. A review of extended and continuous infusion beta-lactams in pediatric patients. J Pediatr Pharmacol Ther. 2022;27(3):214–27.PubMedPubMedCentral
36.
Zurück zum Zitat Roberts JA, Pea F, Lipman J. The clinical relevance of plasma protein binding changes. Clin Pharmacokinet. 2013;52(1):1–8.CrossRefPubMed