Zum Inhalt

Milrinone versus dobutamine in acute myocardial infarction-related cardiogenic shock; a propensity score matched analysis

  • Open Access
  • 03.09.2025
  • Original Paper
Erschienen in:

Abstract

Background

Vasopressors and inotropes remain the cornerstone in treatment of acute myocardial infarction-related cardiogenic shock (AMI-CS). Milrinone and dobutamine are both commonly used, yet the optimal inotrope remains unclear. We aimed to identify factors associated with milrinone and dobutamine treatment and assess their effects on 30-day mortality in a large real-world cohort of AMI-CS patients. The Netherlands Heart Registration prospectively records data for percutaneous coronary intervention patients. Between 2017 and 2021, additional retrospective data on CS patients were collected by fourteen Dutch hospitals. Patients who were treated with either milrinone or dobutamine were selected; those treated with both were excluded. Missing data were imputed (30 ×) using multiple imputation, and propensity matched score analysis (PSM) was performed to evaluate the association between milrinone or dobutamine treatment and 30-day mortality.

Results

In total, 739 patients were included (milrinone n = 247, dobutamine n = 492). Prior to matching, milrinone-treated patients exhibited more severely ill baseline and treatment characteristics, and higher 30-day mortality (50.6% vs. 41.5%, p = 0.018). After PSM, 198 patients remained in each group for analysis. Baseline characteristics were well balanced and 30-day mortality rates were similar (46.5% vs. 41.9%, p = 0.362).

Conclusion

In this real-world propensity-matched cohort of AMI-CS patients, no significant difference in 30-day mortality was observed between patients treated with milrinone and dobutamine. Importantly, milrinone patients were more severely ill at baseline, indicating that the choice of inotrope may be influenced by illness severity. This comprehensive study suggests that the selection of inotrope may continue to be guided by individual patient characteristics.

Graphical Abstract

Supplementary Information

The online version contains supplementary material available at https://doi.org/10.1007/s00392-025-02742-0.

Publisher's Note

Springer Nature remains neutral with regard to jurisdictional claims in published maps and institutional affiliations.
AMI-CS
acute myocardial infarction-related cardiogenic shock
MCS
mechanical circulatory support
TIMI
thrombolysis in myocardial infarction
MVD
multivessel disease
LVEF
left ventricular ejection fraction
RVEF
right ventricular ejection fraction

Introduction

Cardiogenic shock (CS) is characterized by a clinical presentation of end-organ hypoperfusion, requiring intervention with vasoactive medication or mechanical circulatory support (MCS) [1, 2]. Although CS complicates only 3–13% of acute myocardial infarction cases (AMI), it remains the leading cause of death [26]. Despite multiple attempts to improve treatment strategies, mortality rates in acute myocardial cardiogenic shock (AMI-CS) have remained persistently around the 40–50% for years [4, 5, 79]. Two decades ago, the SHOCK trial demonstrated lower 6-month mortality after immediate revascularization in AMI-CS patients [10]. Recently, the DANGER shock trial reported a significant survival benefit with the microaxial flow pump, in a highly selected cohort of non-comatose AMI-CS patients with ST-elevation myocardial infarction (STEMI) [11].
Nevertheless, vasopressors and inotropes remain the cornerstone of treatment for CS. Both the European and the American guidelines recommend noradrenaline as the first-line vasopressor, based on two randomized controlled trials (RCTs). comparing noradrenaline to both dopamine and epinephrine, but no recommendation is made on the inotrope of choice [1, 1214].
Dobutamine and milrinone are both frequently used as inotropes in the treatment of CS. Dobutamine is a synthesized catecholamine, stimulating mainly β1 receptors, exhibiting mild vasodilatory effects from β2 stimulation and α1 antagonism at low doses. Milrinone, on the other hand, a phosphodiesterase inhibitor, has inotropic and lusitropic effects, causing more pronounced hypotension due to increased vasodilation. Unlike dobutamine, milrinone does not stimulate β-receptors, lowering the risk for tachycardia and the accompanying increase of myocardial oxygen consumption [15, 16]. This offers a theoretical advantage in preventing myocardial ischemia and arrhythmias, particularly of importance in AMI-CS patients.
The DOREMI trial (n = 192) is the only RCT comparing the effects of dobutamine and milrinone in a CS population and reported no significant difference in primary or secondary clinical outcomes [17]. However, since the DOREMI trial included all-comers with CS, with only a third of the participants (n = 65) being AMI-CS patients, the effects of these two inotropes on outcomes in AMI-CS remain unclear. Therefore, we aimed to identify patient characteristics associated with treatment with milrinone and dobutamine and to assess their effects on 30-day mortality in a large real-world cohort of AMI-CS patients.

Methods

Study design

This observational, retrospective multicenter study utilized prospectively collected data from the Netherlands Heart Registration (NHR). The NHR is a nationwide, physician-driven and patient-focused quality registry. Within the NHR, baseline, procedural, and outcome data are collected [18, 19]. This study was approved by the institutional review board Medical Research Ethics Committees United (W19.270), and a waiver for informed consent was granted.

Data collection and study population

All patients in the Netherlands undergoing percutaneous coronary intervention (PCI) are prospectively registered in the NHR. From January 2017 to September 2021, the registry was expanded with an additional variable set for patients who were in CS. These additional data were collected by 14 hospitals. Further details on the process of data collection have been described previously [20]. Data on vasopressor and inotrope administration, initiated either before PCI or within 24 hours post PCI, were collected, including noradrenaline, adrenaline, dopamine, dobutamine, and milrinone. Patients with missing data for all vasopressors and inotropes were excluded. Patients who were treated with either dobutamine or milrinone were selected, and patients who were treated with both were excluded from the main analyses. For practical reasons ‘milrinone’ refers to treatment with either milrinone or enoximone.

Endpoints

The primary endpoint comprised all-cause 30-day mortality. Mortality status was retrieved from the governmental Personal Records Database. The clinical course was compared between the milrinone and dobutamine groups based on the following process variables: concomitant use of other vasopressors or inotropes, post-PCI thrombolysis in myocardial infarction (TIMI)-flow (0–2 or 3), use of MCS, lactate level post PCI (mmol/L), troponin (ng/L), and CKMB levels (mcg/L) (highest level measured within 1–3 days after admission), left and right ventricular ejection fraction (LVEF and RVEF, in %), and hospital length of stay (LOS) in days.

Statistical analysis

General

Continuous baseline data were presented as either means and standard deviations (SDs) in case of normally distributed variables or medians and interquartile ranges (IQRs) in case of non-normally distributed variables. Normally distributed data were compared with a two-sample t-test, while non-normally variables were analyzed with the Mann–Whitney U test. Categorical data were presented as counts and percentages and were compared using the chi-squared/Fisher’s exact test. Propensity-score matching (PSM) was performed to assess the association between treatment group and the outcome in adjustment for confounding. Mortality at 30 days was analyzed using the Kaplan–Meier method for both the matched and unmatched cohorts, with reporting of log-rank statistics, hazard ratios (HRs) and corresponding confidence intervals (CIs). A p-value < 0.05 was considered statistically significant for all analyses. All statistical analyses were performed using R statistical software (v4.3.2 R Core Team 2023).

Imputation

Data were imputed using multiple imputation to account for missing data. Irrelevant variables, variables containing more than 30% missing data, constant and collinear variables were removed prior to imputation to minimize bias in the imputation process. The imputation was performed using the predictive mean matching method with the MICE package v3.16.0 in R [21]. A total of 30 imputed datasets were generated, ensuring robust estimates across the imputations.

Unmatched illness severity

To compare unmatched illness severity of both groups, the Acute Coronary Syndrome in Cardiogenic Shock (ACCS) risk score was applied [22]. Using the regression formula from Model 2, predicted 30-day mortality was calculated for each patient across 30 imputed datasets. The average scores were then merged with the original dataset, and group means were compared using a t-test.

Propensity score matching

To address potential confounding, we utilized average PSM to compare 30-day mortality and treatment effects of milrinone versus dobutamine. Covariates for the PSM model were selected from variables known at admission, along with angiographic and treatment characteristics assessed at the time of PCI. Selected covariates can be found in Supplemental Table S1.
Propensity scores were calculated per patient across the 30 imputed sets using the R-package MatchThem v1.1.0, with nearest neighbor matching applied within a caliper of 0.10. Quadratic terms were added for all continuous variables to improve balance. These propensity scores were then averaged, and matching was subsequently performed in the original dataset using the MatchIt function to achieve a 1:1 ratio of milrinone to dobutamine patients. Balance was assessed by the standard mean difference (SMD), with an SMD < 0.1 indicating adequate balance.

Subgroup analyses

Subgroup analyses were performed in the matched cohort by logistic regression models to evaluate differences in 30-day mortality across subgroups. These subgroups were based on sex (male/female), age (above or below 65 years), body mass index (BMI) (above or below 30 kg/m²), diabetes (yes/no), baseline renal function (eGFR above or below 60 ml/m2), presentation with an out-of-hospital cardiac arrest (OHCA) (yes/no), etiology of acute coronary syndrome (STEMI or nSTEMI), lactate at admission (above or below 4.5 mmol/l), intubation before admission to the coronary care unit (CCU) or intensive care unit (ICU) (yes/no), presence of multivessel disease (MVD) (yes/no), PCI of the right coronary artery (RCA) (yes/no) and MCS (yes/no). The p-values represent an interaction p-value, indicating whether the association between treatment with milrinone or dobutamine and 30-day mortality is different between the subgroups.

Additional analyses

To provide broader clinical context, an unmatched baseline table including patients treated with both milrinone and dobutamine, and without any inotrope, was added to the supplementary material. In the ‘no inotrope’ group, patients treated with dobutamine, milrinone, adrenaline, and dopamine were excluded, leaving patients treated solely with noradrenaline or without any inotrope. To further explore outcomes, an unmatched Kaplan–Meier analysis was performed. Additionally, a Kaplan–Meier sensitivity analysis of the matched cohort was conducted for patients without an OHCA or in-hospital cardiac arrest (IHCA). As an exploratory analysis, 30-day mortality was compared between patients treated with extracorporeal membrane oxygenation (ECMO) versus Impella, stratified by milrinone and dobutamine group.

Results

Study cohort

The total study cohort consisted of 2222 AMI-CS patients with available vasopressor and inotrope data, of whom 916 (41.2%) received milrinone, dobutamine, or both, as shown in Fig. 1. A total of 177 patients were treated with both milrinone and dobutamine and were excluded from further analyses. As a result, the cohort for the current study consisted of 739 patients treated with either milrinone (n = 247) or dobutamine (n = 492). After PSM, a total of 396 patients were available for analysis; 198 patients in each group.
Fig. 1
Study flow chart
Bild vergrößern
In the unmatched cohort, the mean age was 66.7 (± 12.1) years and 69.8% (n = 516) of the patients were male (Table 1). At baseline, patients treated with milrinone had a higher BMI and were more likely to have experienced a prior coronary event than those treated with dobutamine. Upon admission, milrinone patients presented with a higher heart rate, presented with NSTEMI more often, and had a symptom duration exceeding 3 hours more frequently. Also, milrinone patients were more often intubated prior to CCU or ICU admission. Moreover, these patients had lower levels of hemoglobin, but higher creatinine levels upon admission. At the catheterization laboratory, milrinone patients were more likely to undergo PCI of the ramus circumflex. Using the ACCS-risk score to assess baseline illness severity, the predicted 30-day mortality was 0.515 in the milrinone group and 0.475 in the dobutamine group, with a p-value of 0.025.
Table 1
Baseline table unmatched and matched cohort
Characteristics
Unmatched cohort
Matched cohort
Milrinone, N = 247a
Dobutamine, N = 492a
p-value
Missing %
Milrinone, N = 198a
Dobutamine, N = 198a
SMDb
Baseline characteristics
Age
66.0 (12.0)
67.1 (12.1)
0.235
0
65.8 (12.5)
65.9 (12.5)
0.01
Gender, male
177 (71.7%)
339 (68.9%)
0.441
0
136 (68.7%)
139 (70.2%)
0.03
BMI
27.7 (5.0)
26.6 (4.5)
0.013
14
27.2 (4.2)
27.3 (4.7)
0.03
Diabetes
59 (24.6%)
108 (23.0%)
0.633
3.9
45 (23.6%)
43 (23.1%)
0.01
Prior event
85 (37.1%)
126 (28.8%)
0.028
9.7
61 (33.5%)
58 (32.2%)
0.03
Admission characteristics
MAP (mmHg)
77.7 (22.6)
77.8 (24.1)
0.947
13
78.1 (23.0)
79.0 (24.5)
0.04
Heart rate (bpm)
95.9 (27.5)
82.5 (27.6)
 < 0.001
14
92.4 (27.2)
92.5 (27.4)
0.01
STEMI (vs. NSTEMI)
178 (72.1%)
425 (86.4%)
 < 0.001
0
163 (82.3%)
160 (80.8%)
0.04
Symptoms > 3 h
120 (56.1%)
169 (40.0%)
 < 0.001
14
87 (49.7%)
85 (50.6%)
0.02
OHCA
116 (47.2%)
201 (41.0%)
0.113
0.4
93 (47.2%)
92 (46.7%)
0.01
Witnessed arrest
80 (33.1%)
167 (34.6%)
0.670
2.0
72 (37.3%)
71 (36.8%)
0.01
Resuscitation duration ≥ 30 min
32 (14.0%)
55 (11.7%)
0.654
5.1
28 (15.1%)
26 (13.8%)
0.04
IHCA
16 (6.5%)
28 (5.7%)
0.685
0.4
11 (5.6%)
14 (7.1%)
0.06
Intubated before CCU/ICU admission
168 (68.6%)
274 (56.4%)
0.001
1.1
131 (66.8%)
129 (66.2%)
0.01
Laboratory values at admission
   
Lactate (mmol/l)
5.6 (2.6, 9.5)
6.0 (3.0, 9.6)
0.243
22
5.6 (2.7, 9.4)
5.8 (2.8, 9.8)
0.05
Hemoglobin (mmol/l)
8.0 (1.6)
8.3 (1.4)
0.028
3.8
8.2 (1.4)
8.2 (1.4)
0.05
Glucose (mmol/l)
12.8 (8.6, 18.7)
13.4 (9.4, 17.8)
0.203
9.3
13.2 (9.1, 19.0)
13.3 (10.2, 17.3)
0.01
Creatinine (μmol/l)
111.0 (88.0, 139.0)
103.0 (82.0, 123.0)
0.002
8.7
106.0 (85.0, 134.0)
106.0 (88.0, 130.0)
0.07
Angiography
Left main
47 (19.0%)
76 (15.4%)
0.218
0
37 (18.7%)
29 (14.6%)
0.11
LAD
110 (44.5%)
214 (43.5%)
0.788
0
87 (43.9%)
91 (46.0%)
0.04
RCX
71 (28.7%)
92 (18.7%)
0.002
0
51 (25.8%)
54 (27.3%)
0.03
RCA
74 (30.0%)
142 (28.9%)
0.757
0
58 (29.3%)
57 (28.8%)
0.01
Pre-TIMI flow 2–3
66 (31.1%)
96 (23.7%)
0.046
17
49 (28.8%)
40 (25.2%)
0.08
Multivessel disease
164 (66.4%)
299 (61.1%)
0.164
0.4
131 (66.2%)
127 (64.5%)
0.04
BMI body mass index, CCU critical care unit, ICU intensive care unit, IHCA in-hospital cardiac arrest, LAD left anterior descending artery, MAP mean arterial pressure, NSTEMI non-ST-elevation myocardial infarction, OHCA out-of-hospital cardiac arrest, RCA right coronary artery, RCX ramus circumflex, STEMI ST-elevation myocardial infarction, TIMI-flow thrombolysis in myocardial infarction
aMean (SD); n (%); median (Q1; Q3)
bStandardized mean difference
After PSM, all baseline, admission, and treatment characteristics assessed at the time of PCI were well balanced, except for a slight imbalance in the prevalence of the left main as the culprit (SMD 0.11).

Outcomes in the unmatched cohort

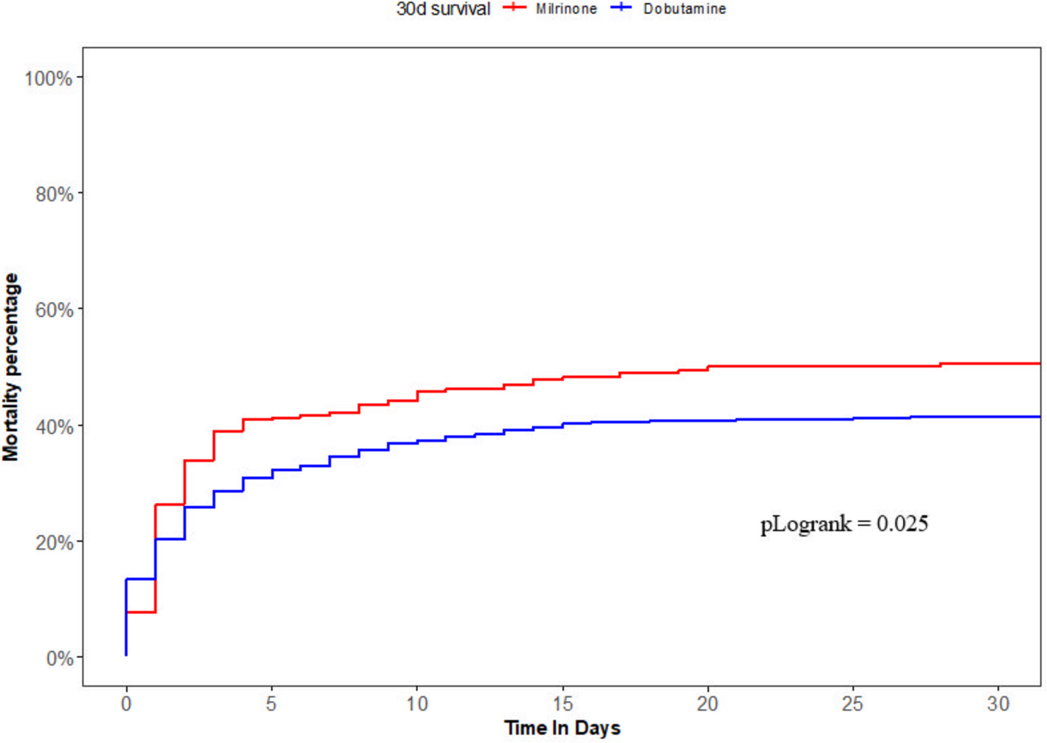
In the unmatched cohort, 30-day mortality rates were higher in patients treated with milrinone (50.6% vs. 41.5%, p = 0.018), with a corresponding unadjusted HR for 30-day survival of 0.77, 95% CI 0.62–0.97 (Table 2 and Fig. 2). Additionally, concomitant noradrenaline support and MCS usage were higher in milrinone patients. Post-PCI TIMI 3 flow was achieved more often, but they had lower LVEFs at the time of shock than the dobutamine group.
Table 2
Clinical course and outcomes
Characteristics
Unmatched cohort
Matched cohort
Milrinone, N = 247a
Dobutamine, N = 492a
p-value
Missing %
Milrinone, N = 198a
Dobutamine, N = 198a
p-value
Treatment characteristics during admission
Noradrenaline
227 (91.9%)
391 (79.5%)
 < 0.001
0
181 (91.4%)
161 (81.3%)
0.003
Adrenaline
44 (17.8%)
87 (17.7%)
0.965
0
32 (16.2%)
38 (19.2%)
0.429
Dopamine
3 (1.2%)
7 (1.4%)
1.000
0
3 (1.5%)
2 (1.0%)
1.000
Post-TIMI flow 3
188 (86.2%)
332 (79.0%)
0.027
14
145 (82.9%)
135 (79.9%)
0.478
Mechanical circulatory support
101 (41.1%)
160 (32.6%)
0.023
0.3
82 (41.6%)
66 (33.5%)
0.096
Laboratory values
Troponins, ng/Lb
5063.0 (1730.0, 10,000.0)
5716.0 (1630.0, 12,655.0)
0.362
15
5,717.0 (1,730.0, 10,000.0)
6,188.5 (1,732.0, 12,325.0)
0.570
CKMB, mcg/Lb
305.5 (113.5, 594.0)
285.0 (83.0, 587.0)
0.451
50
335.0 (127.0, 608.0)
302.0 (100.0, 600.0)
0.527
Clinical outcomes
LVEF
25.0 (25.0, 40.0)
33.0 (25.0, 40.0)
0.001
32
25.0 (25.0, 40.0)
30.0 (25.0, 40.0)
0.348
RVEF
40.0 (40.0, 55.0)
40.0 (40.0, 55.0)
0.391
57
40.0 (40.0, 55.0)
40.0 (40.0, 55.0)
0.672
Length of stay, days
7.0 (1.0, 17.0)
7.0 (1.0, 14.0)
0.662
20
8.0 (1.0, 18.0)
5.0 (1.0, 12.0)
0.159
Mortality at 30 days
125 (50.6%)
204 (41.5%)
0.018
0
92 (46.5%)
83 (41.9%)
0.362
LVEF left ventricular ejection fraction, RVEF right ventricular ejection fraction, TIMI-flow thrombolysis in myocardial infarction
an (%); median (Q1; Q3)
bHighest level measured within 1–3 days after admission
Fig. 2
Kaplan–Meier curves of the unmatched cohort
Bild vergrößern

Outcomes after propensity score matching

After PSM, the 30-day mortality rates were similar between both groups (46.5% vs. 41.9%, p = 0.362), with an unadjusted HR for 30-day survival of 0.88, 95% CI 0.66–1.19 (Table 2 and Fig. 3). Consistently with the unmatched cohort, the milrinone group more frequently required additional noradrenaline. All other clinical course characteristics showed no significant differences between the milrinone and dobutamine group.
Fig. 3
Kaplan–Meier curves of the matched cohort
Bild vergrößern

Subgroup analyses

Subgroup analyses, assessing the association between treatment with milrinone or dobutamine and 30-day mortality in defined subgroups, are displayed in Fig. 4. None of the individual subgroups exhibited a significant association with 30-day mortality, nor a significant interaction p-value.
Fig. 4
Subgroup analyses
Bild vergrößern

Additional analyses

The baseline table including patients treated with both milrinone and dobutamine, and with no inotrope, is provided in Supplemental Table S2. The Kaplan–Meier curves are provided in Supplemental Figure S1, showing higher 30-day mortality for patients treated with both milrinone and dobutamine and lower mortality for the ‘No inotrope’ group (p-Logrank < 0.001). Supplemental Figure S2 presents the Kaplan–Meier curves for patients without OHCA or IHCA of the matched cohort, showing no significant difference in 30-day mortality (unadjusted HR for 30-day survival 0.76, 95% CI 0.47–1.21).
Stratified by treatment group, Supplemental Tables 3 and 4 show the number of devices used and mortality by device type (Impella vs. ECMO). No significant differences in 30-day mortality were observed between the devices in either the unmatched or matched cohorts.

Discussion

In this observational, real-world cohort — to our knowledge the largest available cohort comparing milrinone and dobutamine treatment in patients with AMI-CS undergoing PCI — we identified baseline characteristics associated with treatment with milrinone and dobutamine and investigated their effects on 30-day mortality using propensity-score matching methods.
In the unmatched cohort (n = 739), baseline, admission and catheterization laboratory characteristics differed significantly between the milrinone group (n = 247) and dobutamine group (n = 492). Upon admission, the milrinone patients presented with significantly higher heart rates, were more likely to present with NSTEMI and a consequently longer duration of symptoms before presentation, had higher levels of creatinine and more often experienced an IHCA. In the catheterization laboratory, they were more frequently intubated prior to CCU/ICU admission. Importantly, 30-day mortality (50.6% vs. 41.5%, p = 0.018), concomitant noradrenaline and MCS usage, and the ACCS-risk scores were higher in the milrinone group, indicating that these patients were more severely ill.
After PSM on 25 variables available at the catheterization laboratory, resulting in 198 patients per group, baseline, admission and catheterization laboratory characteristics became comparable. Also, 30-day mortality rates were now similar between the groups (46.5% vs. 41.9%, p = 0.362).
Both the European and American guidelines do not recommend a specific inotrope in AMI-CS treatment [1, 14]. The European guidelines recommend inotropes when needed to overcome the increased afterload often associated with noradrenaline use, and in patients with left ventricular systolic dysfunction, low cardiac output and low systolic blood pressure (e.g., < 90 mmHg) (14). The American guidelines suggest the addition of an inotropic agent in several CS subtypes [1]. This latter recommendation is based on a PSM analysis, comparing CS patients who received a vasopressor alone (noradrenaline, epinephrine, and dopamine) to those receiving a combination of a vasopressor and an inotrope, in which a lower short-term mortality was observed in the combination group [23]. The guidelines additionally recommend making the choice of inotrope based on the cause or presentation of CS; further considerations may include heart rate, systemic vascular resistance, renal function, prior β-blockade treatment and inotrope half-life [1].
Current evidence on the selection of inotrope is limited. The DOREMI trial is the only RCT (n = 192) comparing the effects of milrinone and dobutamine in CS patients, showing no significant differences in primary and secondary endpoints, including mortality [17]. However, only 65 patients (33.8%) of their cohort concerned AMI-CS patients [24]. Our study cohort and even the matched groups were substantially larger. Studies comparing milrinone to dobutamine have also been conducted in other patient populations, including a small RCT in patients awaiting cardiac transplant and an observational study of heart failure patients on chronic milrinone and dobutamine infusions [25, 26]. Both studies reported no difference in mortality. A meta-analysis on patients with CS or a low cardiac output state, including both the DOREMI trial in CS patients and the RCT on cardiac transplant patients, along with 9 observational studies, found no survival benefit for either inotrope in the combined RCT data [27]. However, a reduction in all-cause in-hospital mortality with milrinone was observed in the pooled data of the observational studies, most of which were of low methodologic quality. Moreover, a cohort study of patients with CS due to acute decompensated heart failure (ADHF-CS) showed a benefit of milrinone after PSM [28]. However, AMI-CS patients were excluded from this analysis and two-thirds of those included had long-standing heart failure before admission. This type of acute-on-chronic DHF-CS involves a subacute problem with a more gradual decline and chronic compensation mechanisms, contrasting the acute presentation of AMI-CS.
Inotrope selection in AMI-CS patients remains variable in clinical practice due to limited evidence. Theoretically, milrinone is often preferred in patients with pulmonary hypertension due to its potential lusitropic effects, which reduce pulmonary artery and central venous pressures more effectively than dobutamine [16, 29]. Milrinone may also be favored in patients at risk of tachyarrhythmias and myocardial ischemia, as it does not affect β-receptors and reduces myocardial oxygen consumption [15, 16, 3032]. Milrinone also has a more pronounced vasodilatory effect, underscored by the higher use of noradrenaline in both the unmatched and matched cohorts, though no differentiation can be made whether noradrenaline had been started before or after milrinone or dobutamine initiation. Accordingly, in bradycardic and severely hypotensive patients, dobutamine may be the preferred inotrope. Also, in cases of acute kidney injury (AKI), where milrinone accumulation is a potential concern, dobutamine may be preferred agent [33]. A substudy of the DOREMI trial reported that milrinone was associated with lower risk of death in patients without AKI but not in those with AKI [34].
Of note, as a result of the PSM method, the milrinone patients were matched to the sicker dobutamine patients. Among dobutamine patients in the matched cohort, this is evident by the increase in heart rate, incidence of OHCA, and number of mechanically ventilated patients. As a result, 30-day mortality is higher in the dobutamine group within the matched cohort, whereas it remains unchanged in the milrinone group.
In the matched cohort, no association was found between treatment and mortality in any of the subgroups. Even among patients who underwent PCI of the right coronary artery (RCA), who might be expected to benefit most from milrinone, no difference was observed. However, RCA infarctions can also cause both severe hypotension and atrioventricular node block, in which case dobutamine may be preferred. These nuanced distinctions cannot be assessed with the existing data in this study. In the DOREMI trial, no mortality differences were observed in a small subgroup of patients with right ventricular involvement as well [17]. Importantly, in a sensitivity analysis excluding OHCA and IHCA patients, outcomes remained unchanged, suggesting that cardiac arrest did not drive the overall findings.
Lastly, although differences between Impella and ECMO devices in terms of hemodynamic profiles, complications and effectiveness might have influenced the comparison between milrinone and dobutamine, no significant differences in 30-day mortality were observed between devices in either the unmatched or matched cohorts. However, these findings are hypothesis generating due to low numbers of patients.
In this large national cohort of AMI-CS patients, no significant differences were found in 30-day mortality in a PSM cohort of milrinone and dobutamine patients. This is consistent with previously published small-sized data on patients with CS from various etiologies, heart failure patients, and patients awaiting cardiac transplant [17, 2527]. These findings suggest that the choice of inotrope may continue to be tailored to individual patient characteristics at the discretion of the treating physician. Additionally, in our cohort lower unadjusted mortality was reported for patients who did not receive any inotrope. Accordingly, we await the results of the DOREMI-II trial, comparing milrinone and dobutamine to placebo, revising the foundational question whether inotropes are indicated at all in the CS population, as this has never been properly established [35].

Limitations

Our study has several limitations inherent to observational cohort studies. One limitation is that we only had access to data on whether inotropes were administered during the period prior to PCI to 24 h post PCI. Therefore, this analysis lacks data on dosages, infusion rates, and duration. Another limitation is that, despite PSM, confounding by indication cannot be eliminated, as treatment decisions were made by treating physicians based on individual patient characteristics. Additionally, data on hemodynamic measurements and arrhythmic complications were missing. Furthermore, numbers in our subgroup and device comparison analyses were small and 95% CIs were not adjusted for multiple comparisons; therefore, these results should be considered hypothesis-generating rather than conclusive regarding treatment effects. Baseline characteristics and Kaplan–Meier curves of patients treated with both milrinone and dobutamine, and no inotrope, were exploratory; no conclusions should be drawn. Moreover, a center effect, with a specific preference for one inotrope over the other, could not be identified in this cohort. Lastly, data on LVEF, RVEF, and CKMB levels were incomplete.

Conclusion

In this real-world propensity-matched cohort of patients with acute myocardial infarction-related cardiogenic shock, no significant difference in 30-day mortality was observed between patients treated with milrinone and dobutamine. Importantly, milrinone patients were sicker before matching, indicating that the choice of inotrope may be influenced by the severity of the illness. This comprehensive study suggests that the choice of inotrope may continue to be guided by individual patient characteristics.

Acknowledgements

Members of the PCI Registration Committee of the Netherlands Heart Registration (NHR): Dr. J. M. Cheng (Albert Schweitzer ziekenhuis), Dr. M. Meuwissen (Amphia Ziekenhuis), Dr. M. Grundeken (Amsterdam UMC), Dr. R. Al Hashimi (Canisius Wilhelmina Ziekenhuis), Dr. K. Teeuwen (Catharina Ziekenhuis), Dr. M. Magro (Elisabeth-TweeStedenZiekenhuis), Dr. R. Diletti (Erasmus Medisch Centrum), Dhr. B. J. Sorgdrager (Haaglanden Medisch Centrum), Dhr. C. E. Schotborgh (HagaZiekenhuis), Dr. R. J. R. Snijder (Isala), Dr. J. Polad (Jeroen Bosch Ziekenhuis), Dr. R. Scherptong (Leids Universitair Medisch Centrum), Dr. E. Bakker (Maasstad Ziekenhuis), Prof. dr. A.J.W. van’'t Hof (Maastricht UMC+, Zuyderland Medisch Centrum), Dhr. F. Spano (Meander Medisch Centrum), Dhr. J. Brouwer (Medisch Centrum Leeuwarden), Dhr. K. G. van Houwelingen (Medisch Spectrum Twente), Dr. J. van Ramshorst (Noordwest Ziekenhuisgroep), Dr. G. Amoroso (Onze Lieve Vrouwe Gasthuis), Dhr. C. Camaro (Radboudumc), Dr. P. W. Danse (Rijnstate), Dr. K. Sjauw (St. Antonius Ziekenhuis), Dr. E. K. Arkenbout (Tergooi), Dhr. W. T. Ruifrok (Treant Zorggroep), Dr. A. O. Kraaijeveld (UMC Utrecht), Dr. E. Lipsic (Universitair Medisch Centrum Groningen), Dr. L. Hoebers (Viecuri Medisch Centrum), Dhr. R. Erdem (ZorgSaam Ziekenhuis).

Declarations

This study was approved by the institutional review board Medical research Ethics Committees United (W19.270) and a waiver for informed consent was granted.

Competing interests

The authors declare no competing interests.
Open Access This article is licensed under a Creative Commons Attribution 4.0 International License, which permits use, sharing, adaptation, distribution and reproduction in any medium or format, as long as you give appropriate credit to the original author(s) and the source, provide a link to the Creative Commons licence, and indicate if changes were made. The images or other third party material in this article are included in the article's Creative Commons licence, unless indicated otherwise in a credit line to the material. If material is not included in the article's Creative Commons licence and your intended use is not permitted by statutory regulation or exceeds the permitted use, you will need to obtain permission directly from the copyright holder. To view a copy of this licence, visit http://creativecommons.org/licenses/by/4.0/.

Publisher's Note

Springer Nature remains neutral with regard to jurisdictional claims in published maps and institutional affiliations.
download
DOWNLOAD
print
DRUCKEN
Titel
Milrinone versus dobutamine in acute myocardial infarction-related cardiogenic shock; a propensity score matched analysis
Verfasst von
Sanne ten Berg
Margriet Bogerd
Elma J. Peters
Marijke J. C. Timmermans
Wim K. Lagrand
Luuk C. Otterspoor
Alexander P. J. Vlaar
Annemarie E. Engström
José P. S. Henriques
the PCI Registration Committee of the Netherlands Heart Registration
Publikationsdatum
03.09.2025
Verlag
Springer Berlin Heidelberg
Erschienen in
Clinical Research in Cardiology / Ausgabe 10/2025
Print ISSN: 1861-0684
Elektronische ISSN: 1861-0692
DOI
https://doi.org/10.1007/s00392-025-02742-0

Supplementary Information

Below is the link to the electronic supplementary material.
1.
Zurück zum Zitat van Diepen S, Katz JN, Albert NM, Henry TD, Jacobs AK, Kapur NK, Kilic A, Menon V, Ohman EM, Sweitzer NK, Thiele H, Washam JB, Cohen MG (2017) Contemporary management of cardiogenic shock: a scientific statement from the American Heart Association. Circulation 136:e232–e268PubMed
2.
Zurück zum Zitat Thiele H, Ohman EM, de Waha-Thiele S, Zeymer U, Desch S (2019) Management of cardiogenic shock complicating myocardial infarction: an update 2019. Eur Heart J 40:2671–2683CrossRefPubMed
3.
Zurück zum Zitat Karami M, Peters EJ, Lagrand WK, Houterman S, den Uil CA, Engstrom AE, Otterspoor LC, Ottevanger JP, Ferreira IA, Montero-Cabezas JM, Sjauw K, van Ramshorst J, Kraaijeveld AO, Verouden NJW, Lipsic E, Vlaar AP, Henriques JPS, On behalf of the Pci Registration Committee of the Netherlands Heart R, (2021) Outcome and predictors for mortality in patients with cardiogenic shock: a Dutch nationwide registry-based study of 75,407 Patients with acute coronary syndrome treated by PCI. J Clin Med 10
4.
Zurück zum Zitat Jeger RV, Radovanovic D, Hunziker PR, Pfisterer ME, Stauffer JC, Erne P, Urban P, Investigators APR (2008) Ten-year trends in the incidence and treatment of cardiogenic shock. Ann Intern Med 149:618–626CrossRefPubMed
5.
Zurück zum Zitat Rathod KS, Koganti S, Iqbal MB, Jain AK, Kalra SS, Astroulakis Z, Lim P, Rakhit R, Dalby MC, Lockie T, Malik IS, Knight CJ, Whitbread M, Mathur A, Redwood S, MacCarthy PA, Sirker A, O’Mahony C, Wragg A, Jones DA (2018) Contemporary trends in cardiogenic shock: incidence, intra-aortic balloon pump utilisation and outcomes from the London Heart Attack Group. Eur Heart J Acute Cardiovasc Care 7:16–27PubMed
6.
Zurück zum Zitat Backhaus T, Fach A, Schmucker J, Fiehn E, Garstka D, Stehmeier J, Hambrecht R, Wienbergen H (2018) Management and predictors of outcome in unselected patients with cardiogenic shock complicating acute ST-segment elevation myocardial infarction: results from the Bremen STEMI Registry. Clin Res Cardiol 107:371–379CrossRefPubMed
7.
Zurück zum Zitat Thiele H, Akin I, Sandri M, Fuernau G, de Waha S, Meyer-Saraei R, Nordbeck P, Geisler T, Landmesser U, Skurk C, Fach A, Lapp H, Piek JJ, Noc M, Goslar T, Felix SB, Maier LS, Stepinska J, Oldroyd K, Serpytis P, Montalescot G, Barthelemy O, Huber K, Windecker S, Savonitto S, Torremante P, Vrints C, Schneider S, Desch S, Zeymer U, Investigators C-S (2017) PCI strategies in patients with acute myocardial infarction and cardiogenic shock. N Engl J Med 377:2419–2432CrossRefPubMed
8.
Zurück zum Zitat Thiele H, Freund A, Gimenez MR, de Waha-Thiele S, Akin I, Poss J, Feistritzer HJ, Fuernau G, Graf T, Nef H, Hamm C, Bohm M, Lauten A, Schulze PC, Voigt I, Nordbeck P, Felix SB, Abel P, Baldus S, Laufs U, Lenk K, Landmesser U, Skurk C, Pieske B, Tschope C, Hennersdorf M, Wengenmayer T, Preusch M, Maier LS, Jung C, Kelm M, Clemmensen P, Westermann D, Seidler T, Schieffer B, Rassaf T, Mahabadi AA, Vasa-Nicotera M, Meincke F, Seyfarth M, Kersten A, Rottbauer W, Boekstegers P, Muellenbach R, Dengler T, Kadel C, Schempf B, Karagiannidis C, Hopf HB, Lehmann R, Bufe A, Baumanns S, Oner A, Linke A, Sedding D, Ferrari M, Bruch L, Goldmann B, John S, Mollmann H, Franz J, Lapp H, Lauten P, Noc M, Goslar T, Oerlecke I, Ouarrak T, Schneider S, Desch S, Zeymer U, Investigators E-S (2021) Extracorporeal life support in patients with acute myocardial infarction complicated by cardiogenic shock - design and rationale of the ECLS-SHOCK trial. Am Heart J 234:1–11CrossRefPubMed
9.
Zurück zum Zitat Thiele H, Schuler G, Neumann FJ, Hausleiter J, Olbrich HG, Schwarz B, Hennersdorf M, Empen K, Fuernau G, Desch S, de Waha S, Eitel I, Hambrecht R, Bohm M, Kurowski V, Lauer B, Minden HH, Figulla HR, Braun-Dullaeus RC, Strasser RH, Rochor K, Maier SK, Mollmann H, Schneider S, Ebelt H, Werdan K, Zeymer U (2012) Intraaortic balloon counterpulsation in acute myocardial infarction complicated by cardiogenic shock: design and rationale of the intraaortic balloon pump in cardiogenic shock II (IABP-SHOCK II) trial. Am Heart J 163:938–945CrossRefPubMed
10.
Zurück zum Zitat Hochman JS, Sleeper LA, Webb JG, Sanborn TA, White HD, Talley JD, Buller CE, Jacobs AK, Slater JN, Col J, McKinlay SM, LeJemtel TH (1999) Early revascularization in acute myocardial infarction complicated by cardiogenic shock. SHOCK Investigators. Should we emergently revascularize occluded coronaries for cardiogenic shock. N Engl J Med 341:625–634CrossRefPubMed
11.
Zurück zum Zitat Moller JE, Engstrom T, Jensen LO, Eiskjaer H, Mangner N, Polzin A, Schulze PC, Skurk C, Nordbeck P, Clemmensen P, Panoulas V, Zimmer S, Schafer A, Werner N, Frydland M, Holmvang L, Kjaergaard J, Sorensen R, Lonborg J, Lindholm MG, Udesen NLJ, Junker A, Schmidt H, Terkelsen CJ, Christensen S, Christiansen EH, Linke A, Woitek FJ, Westenfeld R, Mobius-Winkler S, Wachtell K, Ravn HB, Lassen JF, Boesgaard S, Gerke O, Hassager C, DanGer Shock I (2024) Microaxial flow pump or standard care in infarct-related cardiogenic shock. N Engl J Med 390:1382–1393CrossRefPubMed
12.
Zurück zum Zitat De Backer D, Biston P, Devriendt J, Madl C, Chochrad D, Aldecoa C, Brasseur A, Defrance P, Gottignies P, Vincent JL, Investigators SI (2010) Comparison of dopamine and norepinephrine in the treatment of shock. N Engl J Med 362:779–789CrossRefPubMed
13.
Zurück zum Zitat Levy B, Clere-Jehl R, Legras A, Morichau-Beauchant T, Leone M, Frederique G, Quenot JP, Kimmoun A, Cariou A, Lassus J, Harjola VP, Meziani F, Louis G, Rossignol P, Duarte K, Girerd N, Mebazaa A, Vignon P, Collaborators, (2018) Epinephrine versus norepinephrine for cardiogenic shock after acute myocardial infarction. J Am Coll Cardiol 72: 173–182
14.
Zurück zum Zitat McDonagh TA (2021) 2021 ESC Guidelines for the diagnosis and
15.
Zurück zum Zitat treatment of acute and chronic heart failure. In: Editor (ed)^(eds) Book 2021 ESC guidelines for the diagnosis and
16.
Zurück zum Zitat treatment of acute and chronic heart failure. City, pp. 3599–3726
17.
Zurück zum Zitat Jain P, Shehab S, Muthiah K, Robson D, Granegger M, Drakos SG, Jansz P, Macdonald PS, Hayward CS (2019) Insights into myocardial oxygen consumption, energetics, and efficiency under left ventricular assist device support using noninvasive pressure-volume loops. Circ Heart Fail 12CrossRefPubMed
18.
Zurück zum Zitat Eskandr AM, Metwally AA, Abu Elkassem MS, Sadik SA, Elmiligy AE, Mourad M, Hussein L (2018) Dobutamine and nitroglycerin versus milrinone for perioperative management of pulmonary hypertension in mitral valve surgery. A randomized controlled study. J Cardiothorac Vasc Anesth 32:2540–2546CrossRefPubMed
19.
Zurück zum Zitat Mathew R, Di Santo P, Jung RG, Marbach JA, Hutson J, Simard T, Ramirez FD, Harnett DT, Merdad A, Almufleh A, Weng W, Abdel-Razek O, Fernando SM, Kyeremanteng K, Bernick J, Wells GA, Chan V, Froeschl M, Labinaz M, Le May MR, Russo JJ, Hibbert B (2021) Milrinone as compared with dobutamine in the treatment of cardiogenic shock. N Engl J Med 385:516–525CrossRefPubMed
20.
Zurück zum Zitat Timmermans MJC, Houterman S, Daeter ED, Danse PW, Li WW, Lipsic E, Roefs MM, van Veghel D, Registration PCIRCotNH, the Cardiothoracic Surgery Registration Committee of the Netherlands Heart R (2022) Using real-world data to monitor and improve quality of care in coronary artery disease: results from the Netherlands Heart Registration. Neth Heart J 30:546–556CrossRef
21.
Zurück zum Zitat Derks L, Medendorp NM, Houterman S, Umans V, Maessen JG, van Veghel D, all Registration Committees of the Netherlands Heart R (2024) Building a patient-centred nationwide integrated cardiac care registry: intermediate results from the Netherlands. Neth Heart J 32:228–237CrossRef
22.
Zurück zum Zitat Peters EJ, Berg ST, Bogerd M, Timmermans MJC, Kraaijeveld AO, Bunge JJH, Teeuwen K, Lipsic E, Sjauw KD, Geuns RMV, Dedic A, Dubois EA, Meuwissen M, Danse P, Verouden NJW, Bleeker G, Cabezas JMM, Ferreira IA, Engstrom AE, Lagrand WK, Otterspoor LC, Vlaar APJ, Henriques JPS, On behalf of the participating centers of the Pci Registration Committee of the Netherlands Heart R, (2023) Characteristics, treatment strategies and outcome in cardiogenic shock complicating acute myocardial infarction: a contemporary Dutch cohort. J Clin Med 12
23.
Zurück zum Zitat van Buuren S, Groothuis-Oudshoorn K (2011) mice: multivariate imputation by chained equations in R. In: Editor (ed)^(eds) Book mice: multivariate imputation by chained equations in R. City, pp. 1–67
24.
Zurück zum Zitat Peters EJ, Kunkel JB, Bogerd M, Ten Berg S, Timmermans MJC, Helgestad OKL, Ravn HB, Kraaijeveld AO, Otterspoor LC, Sjauw KD, Lipsic E, Engstrom AE, Vlaar APJ, Hassager C, Moller JE, Henriques JPS, (2025) Development and validation of a risk score in acute myocardial infarction related cardiogenic shock. Eur Heart J Acute Cardiovasc Care
25.
Zurück zum Zitat Pirracchio R, Parenica J, Resche Rigon M, Chevret S, Spinar J, Jarkovsky J, Zannad F, Alla F, Mebazaa A, network G, (2013) The effectiveness of inodilators in reducing short term mortality among patient with severe cardiogenic shock: a propensity-based analysis. PLoS One 8: e71659
26.
Zurück zum Zitat Jung RG, Di Santo P, Mathew R, Abdel-Razek O, Parlow S, Simard T, Marbach JA, Gillmore T, Mao B, Bernick J, Theriault-Lauzier P, Fu A, Lau L, Motazedian P, Russo JJ, Labinaz M, Hibbert B (2021) Implications of myocardial infarction on management and outcome in cardiogenic shock. J Am Heart Assoc 10CrossRefPubMedPubMedCentral
27.
Zurück zum Zitat Aranda JM Jr, Schofield RS, Pauly DF, Cleeton TS, Walker TC, Monroe VS Jr, Leach D, Lopez LM, Hill JA (2003) Comparison of dobutamine versus milrinone therapy in hospitalized patients awaiting cardiac transplantation: a prospective, randomized trial. Am Heart J 145:324–329CrossRefPubMed
28.
Zurück zum Zitat Gorodeski EZ, Chu EC, Reese JR, Shishehbor MH, Hsich E, Starling RC (2009) Prognosis on chronic dobutamine or milrinone infusions for stage D heart failure. Circ Heart Fail 2:320–324CrossRefPubMed
29.
Zurück zum Zitat Abdel-Razek O, Di Santo P, Jung RG, Parlow S, Motazedian P, Prosperi-Porta G, Visintini S, Marbach JA, Ramirez FD, Simard T, Labinaz M, Mathew R, Hibbert B (2023) Efficacy of milrinone and dobutamine in cardiogenic shock: an updated systematic review and meta-analysis. Crit Care Explor 5PubMedPubMedCentral
30.
Zurück zum Zitat Rodenas-Alesina E, Luis Scolari F, Wang VN, Brahmbhatt DH, Mihajlovic V, Fung NL, Otsuki M, Billia F, Overgaard CB, Luk A (2023) Improved mortality and haemodynamics with milrinone in cardiogenic shock due to acute decompensated heart failure. ESC Heart Fail 10:2577–2587CrossRefPubMedPubMedCentral
31.
Zurück zum Zitat Eichhorn EJ, Konstam MA, Weiland DS, Roberts DJ, Martin TT, Stransky NB, Salem DN (1987) Differential effects of milrinone and dobutamine on right ventricular preload, afterload and systolic performance in congestive heart failure secondary to ischemic or idiopathic dilated cardiomyopathy. Am J Cardiol 60:1329–1333CrossRefPubMed
32.
Zurück zum Zitat Feneck RO, Sherry KM, Withington PS, Oduro-Dominah A, European Milrinone Multicenter Trial G, (2001) Comparison of the hemodynamic effects of milrinone with dobutamine in patients after cardiac surgery. J Cardiothorac Vasc Anesth 15: 306–315
33.
Zurück zum Zitat Bendersky R, Chatterjee K, Parmley WW, Brundage BH, Ports TA (1981) Dobutamine in chronic ischemic heart failure: alterations in left ventricular function and coronary hemodynamics. Am J Cardiol 48:554–558CrossRefPubMed
34.
Zurück zum Zitat Grose R, Strain J, Greenberg M, LeJemtel TH (1986) Systemic and coronary effects of intravenous milrinone and dobutamine in congestive heart failure. J Am Coll Cardiol 7:1107–1113CrossRefPubMed
35.
Zurück zum Zitat Heidenreich PA, Bozkurt B, Aguilar D, Allen LA, Byun JJ, Colvin MM, Deswal A, Drazner MH, Dunlay SM, Evers LR, Fang JC, Fedson SE, Fonarow GC, Hayek SS, Hernandez AF, Khazanie P, Kittleson MM, Lee CS, Link MS, Milano CA, Nnacheta LC, Sandhu AT, Stevenson LW, Vardeny O, Vest AR, Yancy CW (2022) 2022 AHA/ACC/HFSA guideline for the management of heart failure: a report of the American College of Cardiology/American Heart Association Joint Committee on Clinical Practice Guidelines. Circulation 145:e895–e1032PubMed
36.
Zurück zum Zitat Di Santo P, Dehghan K, Mao B, Jung RG, Fadare D, Paydar J, Parlow S, Motazedian P, Prosperi-Porta G, Abdel-Razek O, Joseph J, Goh CY, Chung K, Mulloy A, Ramirez FD, Simard T, Hibbert B, Mathew R, Russo JJ (2023) Milrinone vs dobutamine for the management of cardiogenic shock: implications of renal function and injury. JACC Adv 2CrossRefPubMedPubMedCentral
37.
Zurück zum Zitat Parlow S, Santo PD, Sterling LH, Goodliffe L, Motazedian P, Prosperi-Porta G, Morgan B, Koopman Z, Jung RG, Lepage-Ratte MF, Robinson L, Feagan H, Simard T, Wells GA, Kyeremanteng K, Ainsworth C, Amin F, Marbach JA, Fernando SM, Labinaz M, Belley-Cote EP, Hibbert B, Mathew R (2023) Inotrope versus placebo therapy in cardiogenic shock: rationale and study design of the CAPITAL DOREMI2 trial. Am Heart J 262:83–89CrossRefPubMed

Neu im Fachgebiet Kardiologie

Vorhofflimmern: Das waren die Top-Studien 2025

Neue Studien haben 2025 praxisrelevante Informationen zur Behandlung von Patienten mit Vorhofflimmern geliefert, so etwa zur Antikoagulation bei gleichzeitiger Koronarerkrankung sowie zum möglichen Verzicht auf Antikoagulation nach Katheterablation.

Schwere Koronarstenose, wenig Herzbeschwerden: Wie kann das sein?

Das Ausmaß der Myokardischämie und die Schwere der pektanginösen Symptome stehen bei stabiler KHK in keiner engen Beziehung. Warum das so ist, hat eine britische Forschergruppe versucht zu ergründen.

Häufige Fehler in der Hypertonietherapie – darauf sollten Sie achten!

Bluthochdruck wird trotz klarer Leitlinien noch immer zu selten korrekt erkannt und konsequent behandelt. Ein aktueller Übersichtsartikel fasst typische Fehlerquellen von der Blutdruckmessung über die Diagnostik bis hin zur Therapie zusammen und zeigt, wie sich die Versorgung mit einfachen Maßnahmen verbessern lässt.

Wie vorgehen bei erhöhtem Troponin ohne erkennbare Myokardschädigung?

Erhöhte kardiale Troponine gelten als Schlüsselmarker des Myokardinfarkts. In seltenen Fällen beruhen stark erhöhte Werte jedoch nicht auf einer Myokardschädigung, sondern auf Störfaktoren. Wie sollte man mit einem derartigen Verdacht umgehen?

EKG Essentials: EKG befunden mit System

In diesem CME-Kurs können Sie Ihr Wissen zur EKG-Befundung anhand von zwölf Video-Tutorials auffrischen und 10 CME-Punkte sammeln.
Praxisnah, relevant und mit vielen Tipps & Tricks vom Profi.

Update Kardiologie

Bestellen Sie unseren Fach-Newsletter und bleiben Sie gut informiert.

Bildnachweise
Älterer Mann beim EKG/© Roman_23203 / stock.adobe.com (Symbolbild mit Fotomodellen), Blutdruckmessung bei Patient/© Soloviova Liudmyla / stock.adobe.com (Symbolbild mit Fotomodell), Ärztin spricht mit Patienten/© Robert Kneschke / stock.adobe.com (Symbolbild mit Fotomodellen), EKG befunden mit System - EKG Essential/© Springer Medizin Verlag GmbH