Zum Inhalt

Noncontact Conjunctiva: A Better Mitomycin C Application Site for Trabeculectomy

  • Open Access
  • 07.04.2023
  • ORIGINAL RESEARCH
Erschienen in:

Abstract

Introduction

Bleb scarring is the most important complication of trabeculectomy. Changing the application position of mitomycin C (MMC) during trabeculectomy might affect the surgery outcome. Our aim is to compare the effectiveness and safety of intraocular pressure (IOP) lowering in two different application sites of mitomycin in trabeculectomy.

Methods

This retrospective trial compared the surgical outcomes of 177 eyes that underwent trabeculectomy with adjunctive mitomycin C. In 70 eyes, an MMC-soaked sponge was applied under the scleral flap without touching Tenon’s capsule. In 107 eyes, an MMC-soaked sponge was applied under the scleral flap covered by Tenon’s capsule. Outcome measures were the IOP, best-corrected visual acuity (BCVA), success rates, and incidence of complications.

Results

Within both groups, a highly significant IOP reduction was seen during follow-up. The effectiveness in reducing IOP and the change in best-corrected visual acuity (BCVA) were similar between the two groups. Thin-walled blebs and postoperative hypotony were seen more often when MMC-soaked sponges were applied under the scleral flap covered by Tenon’s capsule (P = 0.008 and P = 0.012, respectively). There was no significant difference in BCVA or other complications in either group.

Conclusion

Since the effectiveness of IOP reduction was similar between both groups and with a low incidence of thin-walled blebs and hypotony, the subscleral application without touching Tenon’s capsule seems to be the safer application site of MMC during trabeculectomy.
Yunru Liao and Yafen Liu contributed equally to this work and are co-first authors.
Key Summary Points
Why carry out this study?
Bleb scarring is the most important complication of trabeculectomy. The process of scarring can be affected by adjusting the concentration and duration of mitomycin C.
The application position of MMC has not been examined in a previous study or guidelines for glaucoma.
What did the study ask?
It was hypothesized that changing the application position of MMC during trabeculectomy might help to strengthen the effect and avoid the side effects.
What was learned from the study?
Compared with conventional placement on the scleral surface and subconjunctival space, the use of MMC in trabeculectomy only on sclera without touching the conjunctiva and Tenon’s capsule has the same positive effect of lowering IOP and can effectively reduce the occurrence of thin-walled avascular blebs and hypotony, avoid a series of related complications, and improve the safety of trabeculectomy.

Introduction

Glaucoma filtration surgery is known to be the most effective treatment used to lower intraocular pressure in glaucoma patients [1, 2]. Trabeculectomy is a classic antiglaucoma surgical technique in which part of the trabecular meshwork is removed to create a tunnel between the anterior chamber and the subconjunctival space, forming a controlled leaking area for aqueous humor (a filtration bleb) [1, 3]. Excessive wound healing of conjunctiva and Tenon’s capsule results in scarring and often leads to surgery failure [4].
The use of cytotoxic drugs, such as 5-fluorouracil and mitomycin C (MMC), is frequently utilized in and after glaucoma filtration surgery to reduce postoperative scar formation and to improve the surgery outcome [510]. These cytotoxic drugs are effective in preventing ocular fibrosis through inhibiting the proliferation of fibroblasts and endothelial cells by inhibiting DNA replication and mitosis and the synthesis of proteins [1, 11]. However, these drugs still have many vision-threatening complications that cannot be ignored, such as corneal toxicity, thin-walled avascular blebs, blebitis, bleb leakage, widespread cell death, hypotony, endophthalmitis, etc. [1222].
Most previous studies mainly focused on different aspects of MMC administration, including exposure time, dose, and size of application area [2328]. However, the application position of MMC during trabeculectomy has not been examined in a previous study or guidelines for glaucoma. Most of the complications of MMC occur on the surface of the conjunctiva. If we change the site of action, it might help to strengthen its effect and avoid its side effects. Moreover, such research can provide a clinical basis for the standardization of trabeculectomy and raise the surgery success rate.

Methods

This was a retrospective study that followed the guidelines of the Declaration of Helsinki. The study was approved by the Ethical Committee of Zhongshan Ophthalmic Center (2022KYPJ237). Subjects were (1) aged 18–80 years, (2) diagnosed with either primary open-angle glaucoma (POAG) or primary angle-closure glaucoma (PACG), and (3) having the first trabeculectomy without any other glaucoma surgery. Eyes with diagnoses other than those described above, history of conjunctiva surgery, glaucoma surgery, internal eye surgery, glaucoma surgery on the other eye, or a history of severe eye disease were excluded. Consecutive patients undergoing MMC-enhanced trabeculectomy between January 2020 and December 2021 were included in the study. All surgeries were performed by one surgeon (N.A.). The techniques for trabeculectomy have been described elsewhere [8, 29, 30]. In all cases, a limbus cornea-based conjunctival flap was performed. The experimental group was divided into two groups according to MMC application technique. In group 1, MMC was applied only on the sclera over the proposed sclera flap site without touching conjunctiva or tenon tissue. In group 2, MMC was applied to the sclera flap site and subconjunctival space. The specific method is shown in Figs. 1 and 2. The cotton sponges soaked in MMC (0.2–0.3 mg/ml, 8 × 6 mm2, 2–3 min) were applied in the subconjunctival space, taking care to avoid having the sponges touch the conjunctival flap edges. After removing the sponge, the sclera and subconjunctiva area were irrigated with 100 ml of balanced salt solution. The duration and concentration of MMC was decided on the basis of risk factors for failure [23, 28, 31]. Postoperative management included a topical steroid–antibiotic combination (tobramycin and dexamethasone eye drops; S.A. ALCON-COUVREUR N.V.) four times daily for at least 1 month. Depending on the degree of inflammation, pranoprofen eye drops (Senju Pharmaceutical Co. Ltd.) or prednisolone acetate eye drops (prednisolone acetate ophthalmic suspension 1%; Allergan) were added.
Fig. 1
MMC-soaked sponge only on the sclera over the proposed sclera flap site without touching conjunctiva or tenon tissue (group 1)
Bild vergrößern
Fig. 2
MMC-soaked sponge on the sclera flap site and subconjunctival space (group 2)
Bild vergrößern
In the early postoperative period, if the filtration was insufficient and the IOP was higher than 21 mmHg, the filtration bleb was massaged until it was elevated and dispersed. Suture-released, subconjunctival, 5 mg 5-fluorouracil (5-FU) administration or even slit lamp needle revision with subconjunctival 5-FU 5 mg administration were performed in cases of incipient bleb failure. The frequency of postoperative visits was 1 day, 3 days, 7 days, 14 days, 21 days, 1 month, 2 months, 3 months, and 6 months, and other additional visits determined based on postoperative ocular condition. Visual acuity, IOP, and slit lamp findings were recorded for each patient. All observations of bleb morphology were confirmed by two independent researchers. The disagreements were referred to a glaucoma expert. All complications were documented and managed accordingly. All complications were calculated by eyes and were still counted as one eye if repeated in the same patient.
According to the global glaucoma guidelines, complete success was defined as postoperative patients with IOP ≤ 21 mmHg and ≥ 6 mmHg after surgery without using glaucoma medications. Qualified success was defined as patients with IOP ≤ 21 mmHg after using glaucoma medications. If the IOP was ≥ 21 mmHg with maximum glaucoma medications 3 months after surgery, the operation was considered a failure. To further assess the differences in success rates between the two groups, we further subdivide completed success rates according to the following criteria: criteria A, IOP of 21 mmHg or less with either 15% or greater reduction in IOP compared with the preoperative IOP level; criteria B, IOP of 18 mmHg or less with either 20% or greater reduction in IOP compared with the preoperative IOP level; criteria C, IOP of 15 mmHg or less with either 25% or greater reduction in IOP compared with the preoperative IOP level; criteria D, IOP of 12 mmHg or less with either 30% or greater reduction in IOP compared with the preoperative IOP level. Qualified success rate was similarly subdivided according to the same IOP level but with glaucoma medications.
SPSS (Microsoft SPSS Statistics 23.0) was used for statistical analysis. Data with a normal distribution are reported as the means ± standard deviations (SDs) and were analyzed by Student’s paired t-test. The Mann–Whitney U-test was used for intergroup differences of a single variable. The chi-squared test was used for categorical variables. Fisher’s exact test was used to analyze complications. Kaplan–Meier survival analyses were used to analyze the complete success rates of surgery, and the log-rank test was used to analyze the differences. P < 0.05 was considered statistically significant.

Results

In all, 196 eyes of 192 patients were included in our retrospective study between January 2020 and December 2021, and seven patients were excluded because of excluded standards (three for glaucoma-related secondary surgical intervention and four for glaucoma surgery of the other eye). Twelve eyes were excluded for loss of communication or absence of a clinical appointment. The total number of cases with complete data records was 177 eyes (177 patients).
The patient demographics and baseline characteristics are presented in Table 1, 70 eyes of 70 patients from group 1 and 107 eyes of 107 patients from group 2.
Table 1
Patient demographic and clinical characteristics
 
Group 1#
Group 2#
I value
Patients
   
No. (%)
70 (41.9%)
107 (58.1%)
 
Eyes
   
No. (%)
70 (41.9%)
107 (58.1%)
 
Right
36 (51.4%)
58 (54.2%)
0.719b
Left
34 (48.6%)
49 (45.8%)
 
Age
   
Mean ± SD
56.21 ± 11.84
55.41 ± 13.83
0.703c
Range
25 to 79
24 to 80
 
Sex
   
Male
37 (52.9%)
63 (58.9%)
0.432c
Female
33 (47.1%)
44 (41.1%)
 
Preoperation baseline IOP
   
Mean ± SD
23.32 ± 1.33
22.36 ± 0.98
0.678c
Range
6.9 to 51
6.2 to 52.2
 
Preoperation BCVA (logMAR)*
   
Medium
0.2
0.3
0.954c
Range
−0.20 to 1.60
−0.1 to 1.60
 
Preoperation baseline medications
   
Mean ± SD
2.98 ± 0.11
2.76 ± 0.09
0.110b
Range
1 to 4
1 to 4
 
Glaucoma subtype
   
POAG
23 (32.9%)
36 (33.8%)
0.914b
PACG
47 (67.1%)
71 (66.4%)
 
*Snellen visual acuity measurements were converted into logMAR equivalents. Counting fingers at 2 ft was considered equivalent to the Snellen value 20/2000, which corresponds to a logMAR of 2.0. Hand motion acuity was considered equivalent to the Snellen value 20/20000, which corresponds to a logMAR of 3.0
#Group 1 MMC on the sclera without touching conjunctiva or tenon tissue; group 2 MMC on the sclera and subconjunctival space
aStudent’s paired t-test
bChi-squared test
cMann–Whitney U-test
Comparing the concentration and duration of MMC between the two experimental groups, the average concentration of MMC in group 1 was 0.254 mg/ml, and the average action duration was 2.7 min, while in group 2, it was 0.259 mg/ml and 2.8 min, respectively. The Mann–Whitney U-test showed that there was no significant difference in MMC concentration (P = 0.547) or duration (P = 0.114) between the two groups.
The preoperative baseline IOP was 23.32 ± 1.33 mmHg in group 1 and 22.36 ± 0.98 mmHg in group 2. The IOP of both groups obviously decreased after surgery. Because IOP data did not conform to normal distribution functions, data of the two groups at each follow-up time point are presented using median and interquartile range in Table 2 and changed into log-normal functional data to fit the normal distribution. Figure 3 illustrates the IOP change (log-normal functional data) after trabeculectomy in the two groups. The difference between the two groups was not significantly different at any time interval (repeated-measures ANOVA, P = 0.374).
Table 2
Summary table of the median IOP (interquartile range) in each group after surgery
Time after surgery
Group 1
Group 2
P-valuesa
1 day
16.3 (4.9)
22.0 (9.8)
0.474
1 week
16.6 (5.2)
19.0 (7.3)
0.063
2 weeks
14.3 (3.2)
21.5 (7.7)
0.070
1 month
14.8 (3.3)
17.6 (4.7)
0.595
2 months
15.3 (4.5)
17.7 (3.5)
0.729
3 months
15.5 (7.6)
17.9 (2.9)
0.803
6 months
15.9 (6.4)
16.7 (2.3)
0.858
The units of data are mmHg
aMann–Whitney U-test
Fig. 3
IOPs before and after trabeculectomy
Bild vergrößern
To compare the influence of MMC application position on the change in best corrected visual acuity (BCVA) after trabeculectomy, Snellen visual acuity measurements were used before and after surgery and converted into logMAR equivalents. Figure 4 shows the mean value and standard deviation of BCVA at each time point. Repeated-measures ANOVA showed that there was no statistically significant difference in BCVA between the two groups (P = 0.760).
Fig. 4
BCVA before and after surgery
Bild vergrößern
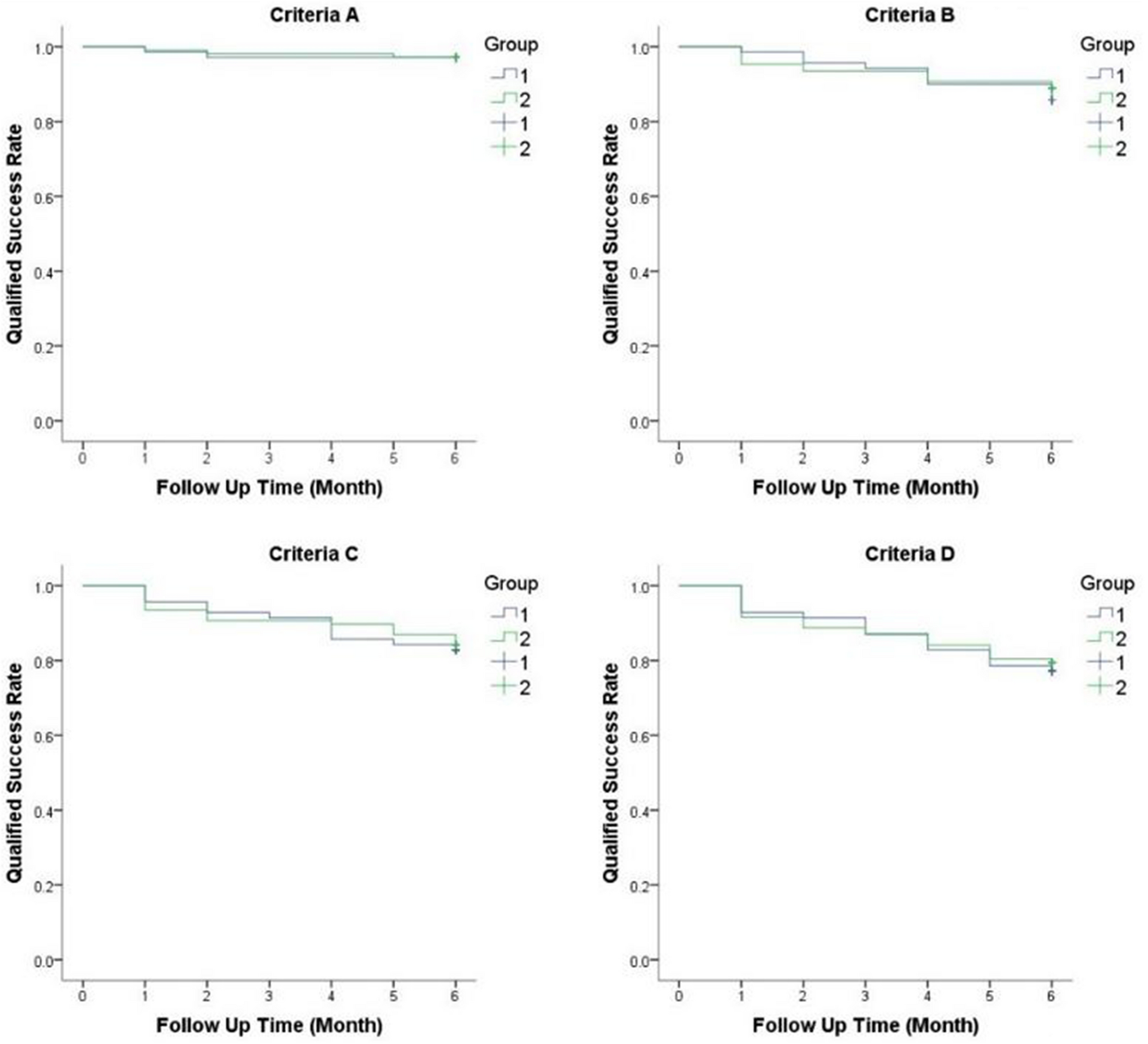
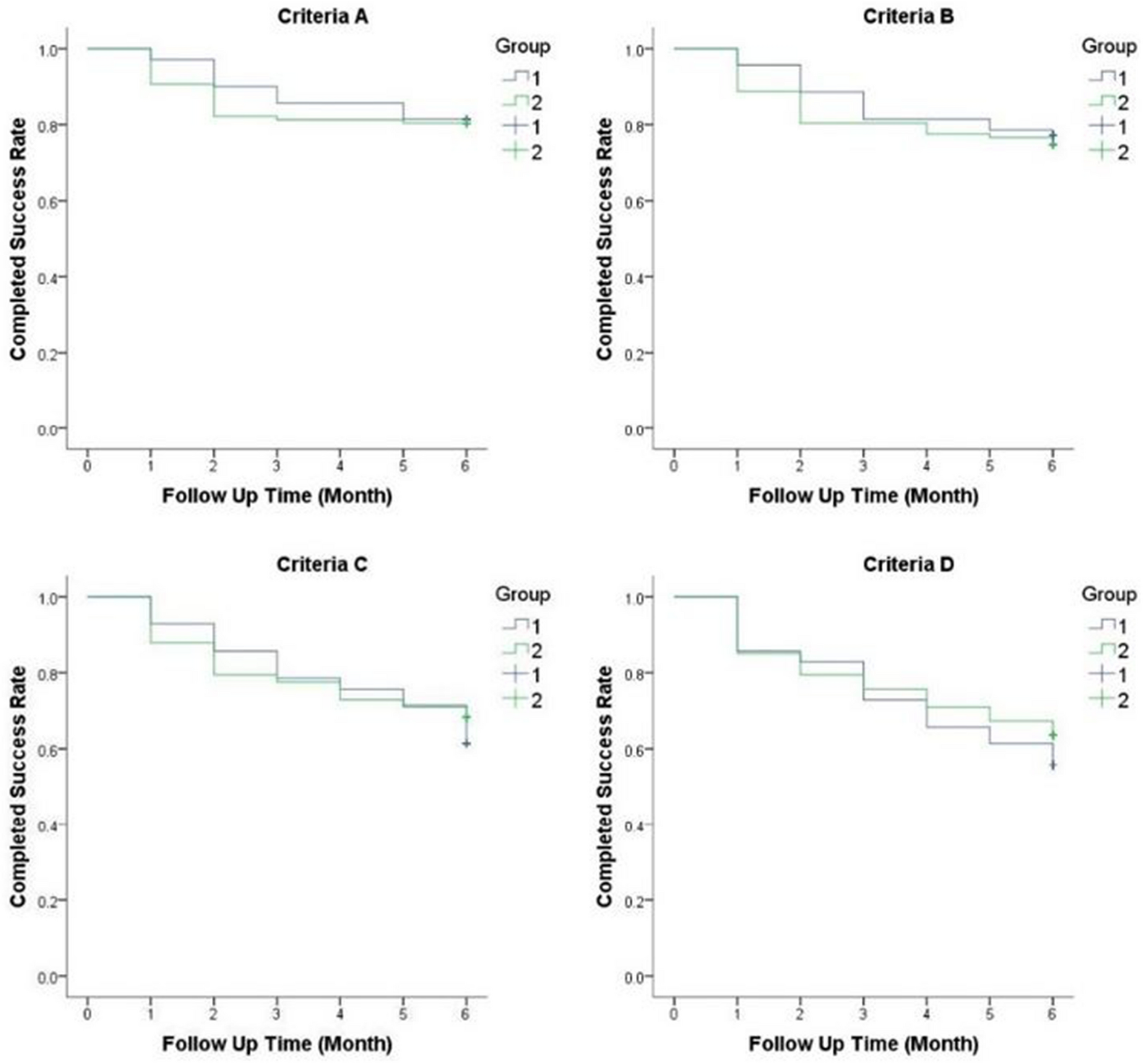
According to criteria A, at 6 months after surgery in this study, a total of 68 cases (97.1%) in group 1 were considered as qualified successes, of which 57 (81.4%) were qualified as complete successes, while 104 cases (97.2%) in group 2 were considered qualified successes, of which 86 (80.4%) were considered complete successes. The qualified success rate and complete success rate of different criteria for the two groups were analyzed by the log rank test, and the difference was not statistically significant. According to different criteria, the monthly average success rate and statistical results of the two groups after trabeculectomy are presented in Table 3. Kaplan–Meier survival analysis was carried out, and the results are shown in Figs. 5 and 6.
Table 3
Mean success ratesa of two groups at each follow-up time after trabeculectomy
 
1 month
2 months
3 months
4 months
5 months
6 months
P-valueb
Completed success rate
       
Criteria A
       
 Group 1
97.1
90.0
85.7
85.7
81.4
81.4
0.775
 Group 2
90.7
82.2
81.3
81.3
80.4
80.4
Criteria B
       
 Group 1
95.7
88.6
81.4
81.4
78.6
77.1
0.665
 Group 2
88.8
80.4
80.4
77.6
76.6
74.8
Criteria C
       
 Group 1
92.9
85.7
78.6
75.7
71.4
61.4
0.517
 Group 2
87.9
79.4
77.6
72.9
71.0
68.2
Criteria D
       
 Group 1
85.7
82.9
72.9
65.7
61.4
55.7
0.380
 Group 2
85.0
79.4
75.7
71.0
67.3
63.6
Qualified success rate
       
Criteria A
       
 Group 1
98.6
97.1
97.1
97.1
97.1
97.1
0.980
 Group 2
99.1
98.1
98.1
98.1
97.2
97.2
Criteria B
       
 Group 1
98.6
95.7
94.3
90.0
90.0
85.7
0.584
 Group 2
95.3
93.5
93.5
90.7
90.7
88.8
Criteria C
       
 Group 1
95.7
92.9
91.4
85.7
84.3
82.9
0.832
 Group 2
93.5
90.7
90.7
89.7
86.9
84.1
Criteria D
       
 Group 1
92.9
91.4
87.1
82.9
78.6
77.1
0.751
 Group 2
91.6
88.8
86.9
84.1
80.4
79.4
aThe units of data are %
bLog-rank test
Fig. 5
Kaplan–Meier survival analysis of completed success for eyes of patients of two groups
Bild vergrößern
Fig. 6
Kaplan–Meier survival analysis of qualified success for eyes of patients of two groups
Bild vergrößern
Slit lamp and anterior segment photography were used to observe and record the shape of blebs after trabeculectomy at each postoperative visit. Details on bleb characteristics and the frequency of bleb leaks and early needle revision are given in Table 4. Three eyes (4.3%) with bleb avascularity were observed in group 1, and 19 eyes (17.8%) were observed in Group 2. There was a statistically significant difference in the incidence of avascular bleeding between the two groups (P = 0.008). Figure 7 shows the shape of the blebs after trabeculectomy.
Table 4
Bleb characteristics and frequency of early needle revision after trabeculectomy
Bleb characteristics
Group 1
Group 2
P-valuea
Encapsulated blebs
3(4.3%)
4(3.7%)
0.855
Avascularity blebs
3(4.3%)
19(17.8%)
0.008**
Bleb leaks
0
1(0.9%)
0.417
Early needle revision
3(4.3%)
11(10.3%)
0.148
Early needle revision timeb (mean ± SD)
5.67 ± 0.577
4.00 ± 1.897
0.169
aChi-squared and Fisher’s exact test
bThe units of data are weeks
**P < 0.01
Fig. 7
Bleb morphology after trabeculectomy (A Bleb in group 1; B Bleb in group 2)
Bild vergrößern
Although no hypotensive macular degeneration was observed, hypotony was found in nine eyes (8.4%) in group 2, but not observed in group 1 (P = 0.012). No other complications, such as choroidal detachment, keratitis, blebitis, endophthalmitis, or hypotensive macular degeneration, were found in any of the cases. In both groups 1 and 2, there were two eyes with a postoperative shallow anterior chamber within 1 month after surgery, and the anterior chamber depth was restored to normal after symptomatic treatment. The chi-squared and Fisher’s exact test was used for statistical analysis, and the difference was not statistically significant (P = 0.665). There was one patient in group 2 who had delayed bleb leakage. The leakage disappeared, and the IOP increased after restorative therapy.

Discussion

Glaucoma is a leading cause of blindness worldwide [32]. Although minimally invasive glaucoma surgery (MIGS) is considered a safer and less traumatic surgical intervention, trabeculectomy is still considered the gold standard glaucoma filtration surgery [3335]. To improve the success rate of trabeculectomy, cytotoxic drugs such as MMC and 5-FU are routinely used during and after surgery. However, the application of MMC creates new complications in trabeculectomy, such as corneal toxicity, thin-walled avascular blebs, blebitis, bleb leakage, widespread cell death, hypotony, endophthalmitis, etc. [36].
Our results suggest that placing MMC only on the scleral surface without touching conjunctiva and Tenon’s tissue has the same complete success rate and qualified success rate as placing MMC on the sclera flap site and subconjunctival space. We supposed that this is because the maintenance of the reduction of IOP after trabeculectomy depends on the long-term drainage of aqueous humor from within the eye into the extraocular connective tissue. Current studies [37] believe that the maintenance of an open scleral flap can drain aqueous humor into the small irregular conjunctival channels at the edge of the scleral flap, then to the lymph vessels and tiny veins in the conjunctiva, an then to the systemic circulation. As a result, the application of MMC only on the sclera can effectively inhibit scar formation and keep the sclera flap open to maintain the effect of trabeculectomy.
Furthermore, placing MMC only on the scleral surface without touching conjunctiva and Tenon’s tissue can effectively reduce the incidence of thin-walled avascular blebs after trabeculectomy compared with placing MMC on the sclera flap site and subconjunctival space (4.3%, 3 eyes versus 17.8%, 19 eyes). We consider this to be due to MMC’s cytotoxic effect. MMC induces apoptosis by activating endogenous and exogenous apoptotic signals and is associated with mitochondrial dysfunction [11, 38]. Therefore, MMC can effectively inhibit the proliferation of fibroblasts and the occurrence of scar after trabeculectomy. However, because of its nonspecificity, it also inhibits the proliferation of normal conjunctival cells and leads to the formation of thin-walled avascular blebs [17]. Noncontact conjunctiva and tenon tissue can effectively avoid this side effect. Meanwhile, for the same reason, noncontact conjunctiva and tenon tissue can avoid over-filtration and avoid the occurrence of postoperative hypotony (0%, 0 eyes versus 8.4%, 9 eyes). Moreover, in our experimental observations, noncontact conjunctiva using MMC will not increase the incidence of post-trabeculectomy complications.
Furthermore, our results confirm that placing the MMC-soaked sponge only under the scleral flap without touching the conjunctiva and Tenon’s tissue had a good IOP lowering effect, which was similar to that of the conventional placement of the MMC-soaked sponge on both the scleral flap and subconjunctiva. The complete success rate (81.4% versus 80.4%) and qualified success rate (97.1% versus 97.2%) were not significantly different between the two experimental groups. As in a previous study [39, 40], the scar tissue mainly formed between tenons tissue and sclera, while MMC can effectively inhibit the proliferation of collagen. In our study, using MMC only under the sclera flap can effectively keep the flow from anterior chamber to the subconjunctiva, and ensure the success rate of trabeculectomy. Changing the MMC application position also seems to be an effective way to improve the success rate of the surgery. Zhang’s research [41] was similar to our idea, focusing on reducing the application size of MMC sponge in the bleb area. Compared with previous studies, Vass [42] pointed out that there was no significant difference between intrascleral and episcleral application of MMC on postoperative IOP reduction, while the study by Beatty [43] also had similar results. Therefore, changing the MMC action site seems to be an effective way to ensure the trabeculectomy success rate and reduce postoperative complications.
Our study was retrospective and had limitations. Although there was no significant differences in baseline data between the two groups during data analysis, patient group assignment was not completely randomized. The duration of this experiment was set as half a year after the operation. According to previous studies, postoperative complications are more likely to occur in the early postoperative period, and fewer complications occur 6 months after the operation. In a future study, we will further increase the accuracy of this experiment by increasing the number of cases and extending the follow-up time. Meanwhile, prospective, multicenter, randomized, controlled clinical trials can be carried out in the future to observe the influence of MMC at different application positions for trabeculectomy postoperative recovery.

Conclusions

According to this study, compared with conventional placement on the scleral surface and subconjunctival space, the use of MMC in trabeculectomy only on sclera without touching the conjunctiva and Tenon’s capsule has the same positive effect of lowering IOP and can effectively reduce the occurrence of thin-walled avascular blebs and hypotony to avoid a series of related complications and improve the safety of trabeculectomy. In summary, the use of MMC applied on the scleral surface without touching the conjunctiva and Tenon’s capsule can be used as the preferred placement of MMC-soaked sponges in trabeculectomy.

Acknowledgements

Funding

This study was supported by the National Natural Science Foundation of China (81970808, 82271080). The authors are funding the journal’s Rapid Service Fee.

Author Contributions

Co-first author, Yunru Liao and Yafen Liu; Conceptualization, Yunru Liao, Yafen Liu and Mingkai Lin; Data curation, Yao Liu and Yunru Liao; Funding acquisition, Chengguo Zuo and Mingkai Lin; Investigation, Jiawei Ren, Xi Qin, Wei Huang and Huishan Lin; Methodology, Jiawei Ren and Mingkai Lin; Project administration, Mingkai Lin; Supervision, Xi Qin and Xinbo Gao; Validation, Xinbo Gao; Writing—original draft, Yunru Liao; Writing—review and editing, Chengguo Zuo and Mingkai Lin. All authors have read and agreed to the published version of the manuscript.

Disclosures

Yunru Liao, Yafen Liu, Xinbo Gao, Jiawei Ren, Huishan Lin, Yao Liu, Wei Huang, Chengguo Zuo and Mingkai Lin have nothing to disclose.

Compliance with Ethics Guidelines

The study involved human participants and was approved by the Ethical Committee of Zhongshan Ophthalmic Center (2022KYPJ237). As the whole study was a retrospective study and all the patients had completed the full follow-up when the data were collected, there was no artificial selection bias due to different groups in the process of patient selection, surgical treatment and postoperative follow-up observation. Written informed consent for participation was not required for this study in accordance with national legislation and institutional requirements.

Data Availability

The data are available upon reasonable request to the corresponding author.
Open AccessThis article is licensed under a Creative Commons Attribution-NonCommercial 4.0 International License, which permits any non-commercial use, sharing, adaptation, distribution and reproduction in any medium or format, as long as you give appropriate credit to the original author(s) and the source, provide a link to the Creative Commons licence, and indicate if changes were made. The images or other third party material in this article are included in the article's Creative Commons licence, unless indicated otherwise in a credit line to the material. If material is not included in the article's Creative Commons licence and your intended use is not permitted by statutory regulation or exceeds the permitted use, you will need to obtain permission directly from the copyright holder. To view a copy of this licence, visit http://creativecommons.org/licenses/by-nc/4.0/.
download
DOWNLOAD
print
DRUCKEN
Titel
Noncontact Conjunctiva: A Better Mitomycin C Application Site for Trabeculectomy
Verfasst von
Yunru Liao
Yafen Liu
Xinbo Gao
Jiawei Ren
Huishan Lin
Yao Liu
Wei Huang
Chengguo Zuo
Mingkai Lin
Publikationsdatum
07.04.2023
Verlag
Springer Healthcare
Erschienen in
Ophthalmology and Therapy / Ausgabe 3/2023
Print ISSN: 2193-8245
Elektronische ISSN: 2193-6528
DOI
https://doi.org/10.1007/s40123-023-00706-z
1.
Zurück zum Zitat Van Bergen T, Van de Velde S, Vandewalle E, Moons L, Stalmans I. Improving patient outcomes following glaucoma surgery: state of the art and future perspectives. Clin Ophthalmol. 2014;8:857–67.CrossRefPubMedPubMedCentral
2.
Zurück zum Zitat Burr J, Azuara-Blanco A, Avenell A, Tuulonen A. Medical versus surgical interventions for open angle glaucoma. Cochrane Database Syst Rev. 2012;CD004399.
3.
Zurück zum Zitat Hitchings R. Initial treatment for open-angle glaucoma- medical, laser, or surgical? Surgery is the treatment of choice for open-angle glaucoma. Arch Ophthalmol. 1998;116:241–2.CrossRefPubMed
4.
Zurück zum Zitat Addicks EM, Quigley HA, Green WR, Robin AL. Histologic characteristics of filtering blebs in glaucomatous eyes. Arch Ophthalmol. 1983;101:795–8.CrossRefPubMed
5.
Zurück zum Zitat Anand N, Arora S, Clowes M. Mitomycin C augmented glaucoma surgery: evolution of filtering bleb avascularity, transconjunctival oozing, and leaks. Br J Ophthalmol. 2006;90:175–80.CrossRefPubMedPubMedCentral
6.
Zurück zum Zitat Beckers HJ, Kinders KC, Webers CA. Five-year results of trabeculectomy with mitomycin C. Graefes Arch Clin Exp Ophthalmol. 2003;241:106–10.CrossRefPubMed
7.
Zurück zum Zitat WuDunn D, Cantor LB, Palanca-Capistrano AM, et al. A prospective randomized trial comparing intraoperative 5-fluorouracil vs mitomycin C in primary trabeculectomy. Am J Ophthalmol. 2002;134:521–8.CrossRefPubMed
8.
Zurück zum Zitat Nguyen AH, Fatehi N, Romero P, et al. Observational outcomes of initial trabeculectomy with mitomycin C in patients of African descent vs patients of European descent: five-year results. JAMA Ophthalmol. 2018;136:1106–13.CrossRefPubMedPubMedCentral
9.
Zurück zum Zitat Lama PJ, Fechtner RD. Antifibrotics and wound healing in glaucoma surgery. Surv Ophthalmol. 2003;48:314–46.CrossRefPubMed
10.
Zurück zum Zitat Zada M, Pattamatta U, White A. Modulation of fibroblasts in conjunctival wound healing. Ophthalmology. 2018;125:179–92.CrossRefPubMed
11.
Zurück zum Zitat Seong GJ, Park C, Kim CY, et al. Mitomycin-C induces the apoptosis of human Tenon’s capsule fibroblast by activation of c-Jun N-terminal kinase 1 and caspase-3 protease. Investig Ophthalmol Vis Sci. 2005;46:3545–52.CrossRef
12.
Zurück zum Zitat Giovingo M. Complications of glaucoma drainage device surgery: a review. Semin Ophthalmol. 2014;29:397–402.CrossRefPubMed
13.
Zurück zum Zitat Zhivov A, Beck R, Guthoff RF. Corneal and conjunctival findings after mitomycin C application in pterygium surgery: an in-vivo confocal microscopy study. Acta Ophthalmol. 2009;87:166–72.CrossRefPubMed
14.
Zurück zum Zitat Jampel HD, Solus JF, Tracey PA, et al. Outcomes and bleb-related complications of trabeculectomy. Ophthalmology. 2012;119:712–22.CrossRefPubMed
15.
Zurück zum Zitat Bansal A, Ramanathan US. Ocular decompression retinopathy after trabeculectomy with mitomycin-C for angle recession glaucoma. Indian J Ophthalmol. 2009;57:153–4.CrossRefPubMedPubMedCentral
16.
Zurück zum Zitat Belyea DA, Dan JA, Stamper RL, Lieberman MF, Spencer WH. Late onset of sequential multifocal bleb leaks after glaucoma filtration surgery with 5-fluorouracil and mitomycin C. Am J Ophthalmol. 1997;124:40–5.CrossRefPubMed
17.
Zurück zum Zitat Muckley ED, Lehrer RA. Late-onset blebitis/endophthalmitis: incidence and outcomes with mitomycin C. Optom Vis Sci. 2004;81:499–504.CrossRefPubMed
18.
Zurück zum Zitat Membrey WL, Poinoosawmy DP, Bunce C, Hitchings RA. Glaucoma surgery with or without adjunctive antiproliferatives in normal tension glaucoma: 1 intraocular pressure control and complications. Br J Ophthalmol. 2000;84:586–90.CrossRefPubMedPubMedCentral
19.
Zurück zum Zitat Hu CY, Matsuo H, Tomita G, et al. Clinical characteristics and leakage of functioning blebs after trabeculectomy with mitomycin-C in primary glaucoma patients. Ophthalmology. 2003;110:345–52.CrossRefPubMed
20.
Zurück zum Zitat Greenfield DS, Liebmann JM, Jee J, Ritch R. Late-onset bleb leaks after glaucoma filtering surgery. Arch Ophthalmol. 1998;116:443–7.CrossRefPubMed
21.
Zurück zum Zitat Dreyer EB, Chaturvedi N, Zurakowski D. Effect of mitomycin C and fluorouracil-supplemented trabeculectomies on the anterior segment. Arch Ophthalmol. 1995;113:578–80.CrossRefPubMed
22.
Zurück zum Zitat Costa VP, Wilson RP, Moster MR, Schmidt CM, Gandham S. Hypotony maculopathy following the use of topical mitomycin C in glaucoma filtration surgery. Ophthalmic Surg. 1993;24:389–94.PubMed
23.
Zurück zum Zitat Sihota R, Angmo D, Chandra A, Gupta V, Sharma A, Pandey RM. Evaluating the long-term efficacy of short-duration 0.1 mg/ml and 0.2 mg/ml MMC in primary trabeculectomy for primary adult glaucoma. Graefes Arch Clin Exp Ophthalmol. 2015;253:1153–9.
24.
Zurück zum Zitat Alwitry A, Abedin A, Patel V, Moodie J, Rotchford A, King AJ. Primary low-risk trabeculectomy augmented with low-dose mitomycin-C. Eur J Ophthalmol. 2009;19:971–6.CrossRefPubMed
25.
Zurück zum Zitat Megevand GS, Salmon JF, Scholtz RP, Murray AD. The effect of reducing the exposure time of mitomycin C in glaucoma filtering surgery. Ophthalmology. 1995;102:84–90.CrossRefPubMed
26.
Zurück zum Zitat Costa VP, Comegno PE, Vasconcelos JP, Malta RF, Jose NK. Low-dose mitomycin C trabeculectomy in patients with advanced glaucoma. J Glaucoma. 1996;5:193–9.CrossRefPubMed
27.
Zurück zum Zitat Mietz H, Krieglstein GK. Three-year follow-up of trabeculectomies performed with different concentrations of mitomycin-C. Ophthalmic Surg Lasers. 1998;29:628–34.CrossRefPubMed
28.
Zurück zum Zitat Kim YY, Sexton RM, Shin DH, et al. Outcomes of primary phakic trabeculectomies without versus with 0.5- to 1-minute versus 3- to 5-minute mitomycin C. Am J Ophthalmol. 1998;126:755–62.
29.
Zurück zum Zitat Lim R. The surgical management of glaucoma: a review. Clin Exp Ophthalmol. 2022;50:213–31.CrossRefPubMed
30.
Zurück zum Zitat Zuo C, Lin S, Wu K, et al. One-month IOP in mitomycin C-augmented trabeculectomy can predict long-term IOP control in chronic primary angle-closure glaucoma. Int Ophthalmol. 2019;39:2335–40.CrossRefPubMed
31.
Zurück zum Zitat Kitazawa Y, Suemori-Matsushita H, Yamamoto T, Kawase K. Low-dose and high-dose mitomycin trabeculectomy as an initial surgery in primary open-angle glaucoma. Ophthalmology. 1993;100:1624–8.CrossRefPubMed
32.
Zurück zum Zitat Quigley HA, Broman AT. The number of people with glaucoma worldwide in 2010 and 2020. Br J Ophthalmol. 2006;90:262–7.CrossRefPubMedPubMedCentral
33.
Zurück zum Zitat Gedde SJ, Schiffman JC, Feuer WJ, et al. Treatment outcomes in the tube versus trabeculectomy (TVT) study after five years of follow-up. Am J Ophthalmol. 2012;153(789–803): e782.
34.
Zurück zum Zitat Lavia C, Dallorto L, Maule M, Ceccarelli M, Fea AM. Minimally-invasive glaucoma surgeries (MIGS) for open angle glaucoma: a systematic review and meta-analysis. PLoS ONE. 2017;12: e0183142.CrossRefPubMedPubMedCentral
35.
Zurück zum Zitat Weinreb RN, Aung T, Medeiros FA. The pathophysiology and treatment of glaucoma: a review. JAMA. 2014;311:1901–11.CrossRefPubMedPubMedCentral
36.
Zurück zum Zitat Bindlish R, Condon GP, Schlosser JD, D'Antonio J, Lauer KB, Lehrer R. Efficacy and safety of mitomycin-C in primary trabeculectomy: five-year follow-up. Ophthalmology. 2002;109:1336–41 (discussion 1341–1332).
37.
Zurück zum Zitat Molteno AC, Bevin TH, Dempster AG, Sarris M, McCluskey P. Otago Glaucoma Surgery Outcome Study: cytology and immunohistochemistry of trabeculectomy blebs. Investig Ophthalmol Vis Sci. 2013;54:4991–9.CrossRef
38.
Zurück zum Zitat Al Habash A, Aljasim LA, Owaidhah O, Edward DP. A review of the efficacy of mitomycin C in glaucoma filtration surgery. Clin Ophthalmol. 2015;9:1945–51.PubMedPubMedCentral
39.
Zurück zum Zitat Seet LF, Toh LZ, Chu SWL, Finger SN, Chua JLL, Wong TT. Upregulation of distinct collagen transcripts in post-surgery scar tissue: a study of conjunctival fibrosis. Dis Model Mech. 2017;10:751–60.PubMedPubMedCentral
40.
Zurück zum Zitat Cabourne E, Clarke JC, Schlottmann PG, Evans JR. Mitomycin C versus 5-fluorouracil for wound healing in glaucoma surgery. Cochrane Database Syst Rev. 2015;CD006259.
41.
Zurück zum Zitat Zhang X, Song Y, Liebmann J, Weinreb RN. A modified technique in applying sponge soaked with mitomycin C in trabeculectomy. Asia Pac J Ophthalmol (Phila). 2021;10:548–52.CrossRefPubMed
42.
Zurück zum Zitat Vass C, Menapace R, Strenn K, Rainer G. Episcleral versus combined episcleral and intrascleral application of mitomycin-C in trabeculectomy. Ophthalmic Surg Lasers. 1998;29:714–21.CrossRefPubMed
43.
Zurück zum Zitat Beatty S, Potamitis T, Kheterpal S, O’Neill EC. Trabeculectomy augmented with mitomycin C application under the scleral flap. Br J Ophthalmol. 1998;82:397–403.CrossRefPubMedPubMedCentral

Kompaktes Leitlinien-Wissen Innere Medizin (Link öffnet in neuem Fenster)

Mit medbee Pocketcards schnell und sicher entscheiden.
Leitlinien-Wissen kostenlos und immer griffbereit auf ihrem Desktop, Handy oder Tablet.

Neu im Fachgebiet Innere Medizin

Vorhofflimmern: Das waren die Top-Studien 2025

Neue Studien haben 2025 praxisrelevante Informationen zur Behandlung von Patienten mit Vorhofflimmern geliefert, so etwa zur Antikoagulation bei gleichzeitiger Koronarerkrankung sowie zum möglichen Verzicht auf Antikoagulation nach Katheterablation.

Frühe CAR-T-Zell-Therapie halbiert Sterberate bei multiplem Myelom

Erhalten Menschen mit multiplem Myelom bereits nach dem ersten Versagen einer Lenalidomid-Behandlung eine CAR-T-Zell-Therapie gegen BCMA, wird die Sterberate im Vergleich zu einer Standardbehandlung um 45% reduziert. Das belegt ein Update einer Phase-3-Studie.

Zufallsbefund vergrößerte Milz: Droht hämatologischer Krebs?

Wird in der Bildgebung inzidentell eine vergrößerte Milz diagnostiziert, stellt sich die Frage nach der Ursache. Ab welcher Größe das Risiko für hämatologische Malignome und Lebererkrankungen steigt, hat ein dänisches Team untersucht.

Beeinflusst Farbenblindheit die Blasenkrebsprognose?

Forschende aus den USA sind in elektronischen Gesundheitsakten auf einen Zusammenhang von Farbenblindheit und Blasenkarzinomen gestoßen. Was zunächst merkwürdig klingt, lässt sich prinzipiell recht schlüssig erklären …

Update Innere Medizin

Bestellen Sie unseren Fach-Newsletter und bleiben Sie gut informiert.

Bildnachweise
Die Leitlinien für Ärztinnen und Ärzte, Älterer Mann beim EKG/© Roman_23203 / stock.adobe.com (Symbolbild mit Fotomodellen), Infusionstherapie/© Trsakaoe / stock.adobe.com, Älterer Mann bei MRT-Untersuchung/© gilaxia/Getty Images/iStock (Symbolbild mit Fotomodell), Blut in Toilette/© stylefoto24 / stock.adobe.com