Zum Inhalt

Pathophysiology and causes of hyperkalemia: unraveling causes beyond kidney dysfunction

  • Open Access
  • 11.06.2025
  • Invited review article
Erschienen in:

Abstract

This review article series on water and electrolyte disorders is based on the “Electrolyte Winter Seminar” that is held annually for young nephrologists in Japan. This seminar includes lively discussions based on cases, which have been partly included in this series as self-assessment questions. In this fourth article of the series, we have focused on the pathophysiology of potassium and the diagnosis of hyperkalemia. Hyperkalemia is associated with increased overall mortality, cardiovascular mortality, hospitalization, and progression to end-stage renal disease. Although most patients with hyperkalemia exhibit impaired kidney function, some exhibit normal kidney function. Therefore, accurately diagnosing the underlying cause of hyperkalemia is crucial for its appropriate management. In this review, we have first discussed the pathophysiology of potassium regulation. We have then highlighted the causes of hyperkalemia other than chronic kidney disease, including pseudohyperkalemia, which is often overlooked in clinical practice, and hypoaldosteronism, which can cause hyperkalemia even in patients with normal or mildly impaired kidney function. Finally, we have shared practical “Tips and Pearls” on hyperkalemia for clinicians that are applicable in daily practice.
the Electrolyte Winter Seminar Collaborative Group: These authors are processed as collabrators.

Publisher's Note

Springer Nature remains neutral with regard to jurisdictional claims in published maps and institutional affiliations.

Introduction

Hyperkalemia is associated with an increased mortality rate [1]. Although most patients with hyperkalemia exhibit impaired kidney function, some exhibit normal kidney function. Therefore, it is crucial to accurately diagnose the underlying cause of hyperkalemia. Inappropriate potassium restriction and potassium-binding medications may be prescribed, especially in patients with pseudohyperkalemia, potentially leading to adverse events such as hypokalemia, constipation, and unnecessary medical costs. In addition, improper management during fasting conditions in patients on dialysis can lead to life-threatening hyperkalemia. This review outlines the pathophysiology of potassium and the causes of hyperkalemia, primarily those other than kidney dysfunction.

Definition and prevalence of hyperkalemia

Hyperkalemia is defined as a plasma potassium concentration of ≥ 5.0 mEq/L [2, 3]. The kidneys play a crucial role in potassium homeostasis. Consequently, as kidney function declines, the prevalence of hyperkalemia increases [47]. A report based on Japanese claims data found that the prevalence of hyperkalemia (> 5.1 mEq/L) increased with worsening chronic kidney disease (CKD) stage: 7.2% in stage 1, 10.3% in stage 2, 13.2% in stage 3a, 24.6% in stage 3b, 43.7% in stage 4, and 51.2% in stage 5 [5]. Although the prevalence of hyperkalemia varies widely depending on comorbidities, particularly diabetes, heart failure, CKD, and concomitant medications, it follows a linear trend with the decline in renal function. Therefore, hyperkalemia management is crucial in patients with CKD.

Consequences of hyperkalemia

The presence of hyperkalemia is associated with an increased risk of mortality. A large-scale observational study using Japanese claims data demonstrated a linear relationship between increasing serum potassium levels and higher mortality risk at 3 years across CKD stages G3a, G3b, G4, and G5 [5]. In this study, using a serum potassium range of 3.6–5.0 mEq/L as the reference, potassium levels of 5.1–5.4 mEq/L, which are typically considered manageable in CKD care, were associated with a significantly increased risk of mortality (hazard ratio [HR]: 7.6). Furthermore, potassium levels between 5.5 and 5.9 mEq/L were associated with an even higher mortality risk (HR: 10.6). Moreover, this study demonstrated a U-shaped relationship between potassium abnormalities and 1-year mortality risk. This trend has been confirmed by a meta-analysis of global cohort studies. Compared with a reference level of 4.2 mEq/L, the overall adjusted HR for all-cause mortality was 1.22 (95% confidence interval [CI] 1.15–1.29) at a serum potassium level of 5.5 mEq/L and 1.49 (95% CI 1.26–1.76) at a serum potassium level of 3.0 mEq/L [7]. This meta-analysis also showed that hyperkalemia was associated with cardiovascular mortality and progression to end-stage kidney disease (ESKD). The association between hyperkalemia and mortality could be explained by the induction of malignant arrhythmias and their consequences, such as hypotension, myocardial ischemia, and sudden cardiac death [7]. While there is no randomized control trial to conclusively prove that hyperkalemia is a cause of death or other major adverse cardiovascular events, the robust observational evidence and the plausible pathophysiology are sufficient for clinicians and guidelines to consider hyperkalemia an important risk factor. Moreover, although there is currently no clear consensus on the optimal target range for serum potassium levels, the Japanese CKD Clinical Practice Guidelines 2018 and 2023 recommend maintaining serum potassium levels between 4.0 and < 5.5 mEq/L in patients with CKD, as this may reduce the risk of all-cause mortality and cardiovascular events [8].
Hyperkalemia is associated with an increased number of hospitalizations (1.2 to 1.6 times greater) compared with normokalemia [9]. In addition, the total medical costs for patients with hyperkalemia are significantly higher than those for patients with normokalemia. A Japanese cohort study found that the frequency of repeat hyperkalemic episodes, rather than the severity of hyperkalemia, was associated with higher long-term healthcare costs [10].

Pathophysiology of hyperkalemia

Potassium distribution

The total amount of potassium in the human body is estimated to be approximately 3000–3500 mmol (50–75 mEq/kg) [11]. Unlike sodium, which is present in large amounts in the extracellular fluid (ECF), approximately 98% of the total body potassium is located in the intracellular fluid (ICF), primarily in the muscle. Serum potassium levels are tightly regulated through intracellular–extracellular shifts and urinary excretion. According to the Ministry of Health, Labour and Welfare’s Dietary Intake Standards for Japanese (2020 Edition), the recommended daily potassium intake for Japanese adults is 2000–2500 mg (51.2–63.9 mmol). In healthy adults, approximately 90%–95% of the ingested potassium is excreted in the urine, while around 5–10% is excreted in the stool. However, fecal potassium excretion is about three times higher in patients on hemodialysis than in healthy individuals, reaching up to 35%–80% of the dietary potassium intake (up to 3000 mg per day) in some patients on hemodialysis [12, 13]. Consistent with this, a case report described a hemodialysis patient who developed severe hyperkalemia during management with a temporary ileostomy following ischemic colitis. After restoration of bowel continuity, serum potassium levels returned to baseline, accompanied by evidence of increased fecal potassium excretion, suggesting that impaired colonic potassium secretion contributed to the hyperkalemia [14].

Factors influencing the intracellular and extracellular distribution of potassium

The major physiological factors that stimulate the movement of potassium from the ECF compartment to the ICF compartment are insulin and epinephrine. The regulation of extrarenal potassium handling by insulin and β₂-adrenergic agonists is primarily mediated through the stimulation of Na⁺/K⁺-ATPase activity in skeletal muscle cells. In contrast to β-adrenergic stimulation, α-adrenergic stimulation promotes the movement of potassium from the ICF compartment to the ECF compartment, leading to an increase in plasma potassium levels [15]. However, the cellular mechanisms underlying this process remain unknown.
Acid–base disturbances also affect the potassium distribution in the body. Metabolic acidosis, in particular, promotes potassium efflux from the cells. However, the impact of metabolic acidosis on plasma potassium levels depends on the underlying cause: hyperchloremic metabolic acidosis (normal anion gap acidosis) or high anion gap acidosis (organic acidosis) (Fig. 1). The effect of acidosis on potassium homeostasis depends on whether the proton enters the cells with or without accompanying anions. If a proton enters the cells without an accompanying anion, potassium moves out into the extracellular space. In contrast, when a proton enters along with an anion, potassium remains within the cells, preventing an extracellular shift of potassium. Cells have low permeability to chloride; therefore, in hyperchloremic metabolic acidosis—including renal tubular acidosis and diarrhea-related acidosis—anions like chloride cannot enter the cells, leading to potassium efflux into the extracellular space. In contrast, the cells are highly permeable to organic anions. As a result, in conditions involving organic acids, such as ketoacidosis or lactic acidosis, the proton is transported into the cells along with its conjugate anions, minimizing potassium movement [16]. Therefore, only hyperchloremic metabolic acidosis significantly impacts serum potassium levels, whereas high anion gap acidosis does not cause notable potassium shifts.
Fig. 1
Mechanism of hyperkalemia in metabolic acidosis: normal anion gap vs. high anion gap. Organic acid ions (OA) are cell-permeable, whereas chloride ions (Cl) are not. K+, potassium ion; H+, proton
Bild vergrößern

Mechanism of potassium excretion in the urinary tract

Most of the ingested potassium is excreted via the kidneys, with the site of excretion localized to the aldosterone-sensitive distal nephron. In particular, the principal cells of the cortical collecting duct play a major role in potassium secretion. Four main factors—aldosterone action, sodium flow, urine flow, and luminal negative charge—promote potassium excretion in the distal nephron (Fig. 2). Aldosterone stimulates epithelial sodium channel (ENaC) activity via mineralocorticoid receptors, increasing both the number of channels and their probability of opening [17].
Fig. 2
Mechanisms of potassium excretion in the principal cells of the renal cortical collecting duct. The circled numbers represent the four factors that promote renal potassium excretion: (1) aldosterone action, (2) sodium flow, (3) urine flow, and (4) luminal negative charge. Aldo, aldosterone; ENaC, epithelial sodium channels; MR, mineralocorticoid receptor; ROMK, renal outer medullary potassium channel
Bild vergrößern
Furthermore, aldosterone enhances Na⁺/K⁺-ATPase activity in collecting duct cells, and its downstream kinase, serum- and glucocorticoid-regulated kinase 1 (SGK1), increases the surface expression of the renal outer medullary potassium channel (ROMK; also known as Kir1.1) by phosphorylating serine 44 [18], thereby stimulating potassium secretion into the tubular lumen. Sodium entering the collecting duct is reabsorbed through ENaC, creating an electrically negative luminal environment, which facilitates potassium secretion via the renal outer medullary potassium channel. Thus, potassium excretion is influenced not only by the amount of sodium delivered to the renal tubular lumen but also by an increase in the luminal negative charge, such as that caused by metabolic alkalosis or alkaline agent administration. In addition, increased urine flow enhances potassium excretion by both increasing sodium delivery to the distal nephron and amplifying the potassium concentration gradient between the tubular lumen and principal cells.

Response to oral potassium loading

Because potassium intake promotes urinary potassium excretion, hyperkalemia due to excessive potassium intake rarely occurs in healthy individuals. In a study where potassium intake in healthy adults was increased from 100 mEq/day to 400 mEq/day, urinary potassium excretion reached 300 mEq/day by the second day of increased intake, and the serum potassium concentration increased only to 4.8 mEq/L [19]. This indicates that an increase in blood potassium concentration stimulates aldosterone secretion and enhances potassium excretion from the principal cells of the collecting duct in an aldosterone-independent manner [20]. Interestingly, potassium loading itself has been reported to dephosphorylate the sodium–chloride cotransporter (NCC) in the distal tubule, increasing sodium delivery to the collecting duct and thereby promoting potassium excretion in the principal cells [20]. This phenomenon, referred to as the “gut factor,” represents a gastrointestinal–renal potassium signaling axis and mediates potassium excretion independently of changes in serum potassium concentration and aldosterone [21, 22].

Cause of hyperkalemia

Since the kidneys are the primary organs responsible for potassium excretion, the causes of hyperkalemia can be more clearly understood by categorizing them into kidney dysfunction and other conditions (Table 1).
Table 1
Mechanisms and causes of hyperkalemia
Pseudohyperkalemia
 Localized potassium release at the blood sampling site
  Hemolysis, fist clenching
 Sample contamination with K+ EDTA
 Potassium efflux inside the blood collection tube
  Thrombocytosis, leukocytosis, familial pseudohyperkalemia (ABCB6, SLC4 A1, PIEZO1)
Other than kidney dysfunction
 Abnormal potassium distribution
  Insulin deficiency, beta-blockers, hyperchloremic metabolic acidosis, hyperkalemic periodic paralysis, hyperosmolar substances in ESKD/AKI, fasting hyperkalemia in ESKD
 Decreased kidney excretion due to hypoaldosteronism: Type IV RTA
  Diseases: diabetic nephropathy, PHAII/Gordon syndrome, adrenal insufficiency
  Medications: ACEi, ARB, direct renin inhibitors, aldosterone synthase inhibitors, NSAIDs, heparin, MRA, trimethoprim, pentamidine, CNI
 Abnormal potassium release from cells
  Rhabdomyolysis, tumor lysis syndrome
Kidney dysfunction
 CKD, AKI
ACEi Angiotensin-converting enzyme inhibitor, AKI Acute kidney injury, ARB Angiotensin II receptor blockers, CKD Chronic kidney disease, CNI Calcineurin inhibitors, ESKD End-stage kidney disease, MRA Mineralocorticoid receptor antagonist, NSAIDs Nonsteroidal anti-inflammatory drugs, PHAII Pseudohypoaldosteronism type 2, RTA Renal tubular acidosis

Causes of hyperkalemia other than kidney dysfunction

Pseudohyperkalemia

Pseudohyperkalemia refers to conditions in which laboratory potassium measurements are falsely elevated, despite normal physiological potassium levels in the bloodstream. These discrepancies can lead to unnecessary treatment, emphasizing the importance of careful interpretation of the potassium test results. Clinicians should be aware of these artifacts. Pseudohyperkalemia should be suspected when an elevated serum potassium level is observed in the absence of identifiable risk factors, such as excessive potassium intake, kidney dysfunction, diabetes, or medication-induced hyperkalemia. Notably, the affected patients exhibited no electrocardiogram abnormalities or muscular symptoms because the elevated potassium levels were confined to the test tube and did not reflect the patient’s actual state. Some causes of pseudohyperkalemia are described below.
Localized potassium release at the blood sampling site
Extracellular potassium levels are largely influenced by hematologic cells, as 98% of the body’s potassium resides intracellularly [23]. Hemolysis during blood collection, which is caused by fine-gauge needles, excessive suction, vigorous shaking, or improper centrifugation, commonly leads to pseudohyperkalemia. A concurrent elevation in lactate dehydrogenase (LDH), aspartate aminotransferase, and serum iron levels can help distinguish hemolysis-related pseudohyperkalemia from true hyperkalemia.
Fist clenching during tourniquet use is another major cause of pseudohyperkalemia. Repeated handgrip exercises while a tourniquet is applied can increase serum potassium levels by up to 1.4 mEq/L [24]. Although the tourniquet itself has minimal effect, it impairs the washout of potassium released from exercising muscle [25]. Therefore, patients should be instructed to avoid fist clenching or repeated handgrip exercises during blood collection.
Ethylenediaminetetraacetic acid (EDTA) contamination
EDTA contamination from improper handling of anticoagulant tubes can falsely elevate potassium levels [26]. Possible contamination scenarios include blood collection from an EDTA-2 K tube or contamination of the syringe tip when injecting blood into an EDTA-2 K tube. When such contamination is significant, EDTA chelates divalent and trivalent ions, leading to decreased levels of zinc, magnesium, and calcium. Because zinc serves as a coenzyme for alkaline phosphatase (ALP), a reduction in ALP levels may also occur [26]. However, in cases of mild contamination, differentiation is only possible by directly measuring EDTA-2 K. In such cases, retesting is recommended.
Leukocytosis and thrombocytosis
Patients with myeloproliferative disorders may exhibit pseudohyperkalemia due to potassium release from white blood cells or platelets during coagulation [27]. Differentiation can be achieved by collecting blood in heparinized tubes and measuring potassium in the plasma. Alternatively, immediate transport of the blood sample to the laboratory can help prevent artifactual potassium elevation and ensure accurate measurement.
Potassium leakage from red blood cells in the cold and long-term storage in normal subjects
Delays in sample processing, particularly at low temperatures (4 °C), can lead to potassium leakage from the red blood cells, resulting in spurious hyperkalemia. This issue is especially relevant when blood samples collected in outpatient clinics are transported to a remote central laboratory for analysis, especially during cold seasons. Consequently, a phenomenon known as “seasonal pseudohyperkalemia” may occur [28].
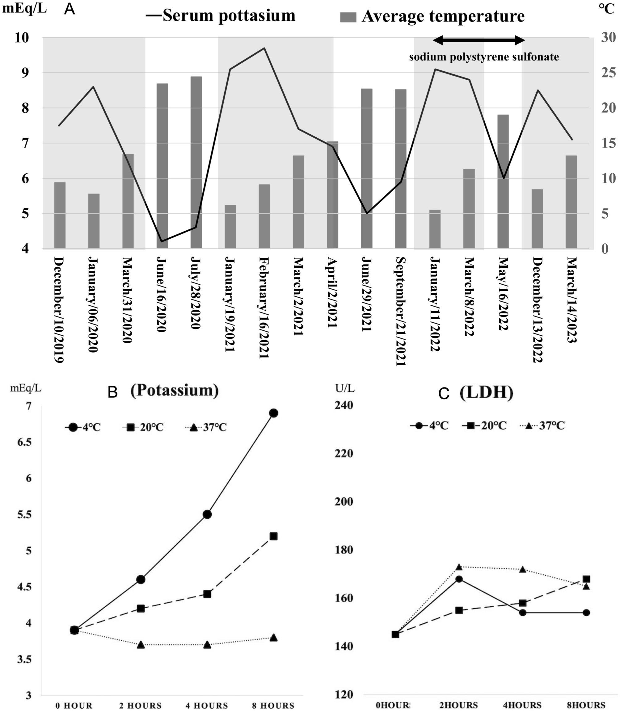
Self-assessment question 1 A woman in her 70 s with type 2 diabetes and dyslipidemia presented with refractory hyperkalemia on routine blood tests at the clinic over several years. She was taking only an anagliptin–metformin combination tablet and rosuvastatin. As shown in Fig. 3A, her potassium levels fluctuated between 4.5 and 9.7 mEq/L. Despite these elevated potassium levels, she remained asymptomatic, with stable blood pressure and no signs of fatigue or muscle weakness. Her electrocardiogram was also normal. At a tertiary hospital, her serum potassium level was measured at 3.7 mEq/L, her complete blood count was unremarkable, and her estimated glomerular filtration ratio (eGFR) was 89.3 mL/min/1.73 m2. The other electrolytes—including calcium and magnesium—were within normal ranges. Specific examinations revealed no evidence of hypoaldosteronism or metabolic acidosis. To further investigate her potassium abnormalities, nephrologists measured her serum potassium and LDH levels under various storage conditions, including different temperatures and storage durations, as shown in Fig. 3B and C.
Fig. 3
Clinical and laboratory features suggesting familial pseudohyperkalemia. A Serum potassium trajectory based on the examination date and average monthly temperatures in Yokohama, Japan. The gray-shaded area indicates the cold season (October to April). B Serum potassium levels measured under different storage temperatures (4 °C, 20 °C, and 37 °C) and durations. C Serum lactate dehydrogenase (LDH) levels under the same storage conditions.
Modified from CEN Case Reports 2024[29]
Bild vergrößern
Question: What is the most likely cause of this patient’s hyperkalemia?
A. Adrenal insufficiency.
B. Familial pseudohyperkalemia.
C. Hemolysis-induced hyperkalemia.
D. Laboratory contamination with EDTA.
The correct answer is B.
Familial pseudohyperkalemia (FP)
Figure 3A demonstrates fluctuating serum potassium levels at the clinic, while Fig. 3B and C show a temperature-dependent increase in potassium without a corresponding increase in LDH, strongly suggesting FP [29]. FP is a rare, autosomal dominant disorder caused by mutations in ABCB6 and SLC4 A1, leading to abnormal potassium leakage from red blood cells at lower temperatures and even at room temperature (e.g., 20 °C). The storage conditions of the blood samples at the clinic, including low temperature and prolonged storage, induced pseudohyperkalemia in these patients. In contrast, at the tertiary hospital, the interval from blood collection to examination was within a few minutes to 1 h, preventing potassium leakage from red blood cells even in patients with FP, allowing for proper differentiation. Unlike EDTA contamination (D), FP does not cause calcium or magnesium depletion. The patient’s normal LDH levels do not support hemolysis-induced hyperkalemia (C). Stable blood pressure and absence of fatigue did not support adrenal insufficiency (A). This case is based on a CEN Case Report published in 2024 [29].
In FP, misdiagnosis can result in repeated and unnecessary investigations. FP also poses a transfusion risk, as affected donors may exhibit elevated potassium levels in stored blood, particularly at low temperatures [30, 31]. This is especially hazardous for neonates and critically ill patients. Therefore, proper recognition of FP is crucial to avoid mismanagement and ensure patient safety.

Hyperkalemia other than kidney dysfunction, except pseudohyperkalemia

Abnormal potassium distribution
As mentioned above, insulin and sympathetic stimulation facilitate the movement of potassium from the extracellular to the intracellular space. Consequently, insulin deficiency and β-blocker administration can lead to hyperkalemia. In addition, hyperchloremic metabolic acidosis—in which only protons enter cells while potassium is released—also contributes to hyperkalemia.
Hyperkalemic periodic paralysis is a congenital disorder characterized by intracellular and extracellular potassium distribution abnormalities. It is an autosomal dominant condition caused by a gain-of-function missense variant in the SCN4 A gene, which encodes a sodium channel in skeletal muscle cells [32]. In patients with hyperkalemic periodic paralysis, episodes of weakness and paralysis are typically triggered by exposure to cold, rest following pain relief, fasting, or the ingestion of small amounts of potassium.
Hyperkalemia can also be induced by the administration of hyperosmolar substances, such as immunoglobulins [33] and radiocontrast agents [34]. The osmotic loading of these substances causes the osmotic movement of water out of the cell. Consequently, the resulting increase in the intracellular potassium concentration due to water loss promotes passive potassium efflux through the plasma membrane’s potassium channels. In addition, potassium is thought to move through the water pores in the cell membrane via the frictional forces between the solvent (water) and the solute. However, hyperkalemia is unlikely to occur if renal potassium excretion is normal, as most reported cases involve patients with kidney failure.
Self-assessment question 2 A 72-year-old anuric maintenance hemodialysis patient with a 5-year history of dialysis underwent ablation for atrial fibrillation. After the three-hour-long procedure, the patient was unable to eat. Following the ablation, the patient’s heart rate and blood pressure dropped to 30 bpm and 74/40 mmHg (normal: 140/80 mmHg), respectively. A blood test revealed a serum potassium level of 6.6 mEq/L. What is the most likely cause of this patient’s hyperkalemia?
Question:
A. Postoperative nonsteroidal anti-inflammatory drug (NSAID) administration.
B. Consumption of a large amount of raw vegetables and fresh fruit for dinner the previous night.
C. Fasting hyperkalemia.
D. Insufficient dialysis due to hemodialysis not being performed the previous day.
The correct answer is C.
Fasting hyperkalemia
Although not widely recognized, dialysis patients can develop hyperkalemia after prolonged fasting (≥ 8 h), a condition known as “fasting hyperkalemia” [3537]. Fasting hyperkalemia occurs due to the suppression of endogenous insulin secretion during fasting, leading to the shift of potassium from the ICF to the ECF. Unlike healthy individuals who can readily excrete excess extracellular potassium in the urine, dialysis patients lack this adaptive mechanism and are therefore prone to hyperkalemia. Fasting hyperkalemia may be observed when dialysis patients fast in preparation for surgery or diagnostic studies or when they are unable to eat. Fasting hyperkalemia in patients with ESKD can be prevented through intravenous glucose administration, which stimulates insulin secretion. Furthermore, in diabetic dialysis patients with impaired endogenous insulin secretion, insulin must be coadministered with glucose.
Decreased potassium excretion from the kidneys due to hypoaldosteronism
Even in the absence of kidney dysfunction, hyperkalemia can occur due to a reduction in aldosterone activity, which promotes potassium excretion from the principal cells of the collecting ducts (Fig. 2). The widely used term “hypoaldosteronism” encompasses both reduced aldosterone secretion and decreased responsiveness to aldosterone. In addition to hyperkalemia, hypoaldosteronism is associated with hyperchloremic metabolic acidosis, known as type 4 renal tubular acidosis. This metabolic acidosis results from decreased urinary ammonia excretion. Therefore, measuring the urine anion and osmolality gaps enables the estimation of urinary ammonium excretion, which has diagnostic utility [38, 39].
In patients with diabetes, decreased plasma renin activity leads to hypoaldosteronism. The underlying cause of hyporeninemia is thought to be either a defect in the conversion of the precursor prorenin to its active form renin [40] or the suppression of renin secretion due to diabetes-associated fluid overload.
Various drugs are known to cause hyperkalemia due to hypoaldosteronism. Drugs that directly or indirectly inhibit aldosterone production—such as angiotensin-converting enzyme inhibitor (ACEi), angiotensin II receptor blocker (ARB), direct renin inhibitors, and aldosterone synthase inhibitors [41, 42]—cause hypoaldosteronism and induce hyperkalemia [43]. Prostaglandins stimulate renin production. Therefore, NSAIDs, which are prostaglandin inhibitors, indirectly reduce aldosterone production by inhibiting renin production. Heparin has been shown to directly inhibit aldosterone production in the renal cortex by reducing the number and affinity of angiotensin II receptors on glomerular zone cells [44].
Some drugs induce hypoaldosteronism by reducing the responsiveness to aldosterone. mineralcorticoid receptor antagonist (MRA) competes with aldosterone for receptor sites. Two antibiotics, trimethoprim (usually given as trimethoprim sulfamethoxazole) and pentamidine, can also induce hyperkalemia by closing ENaC in the collecting ducts [45].
Pseudohypoaldosteronism type 2 (PHAII), also known as Gordon’s syndrome, is characterized by hypertension, hyperkalemia, metabolic acidosis, and normal kidney function [46]. Hyperkalemia in PHAII is caused by abnormalities in the lysine-deficient protein kinase (WNK) 1 and WNK4, which regulate NCC phosphorylation in the distal nephron. Mutant WNK4 or WNK1 proteins lead to NCC hyperphosphorylation, increasing sodium reabsorption via NCC and reducing sodium delivery to the collecting duct [47]. Consequently, potassium excretion from the principal cells is impaired, resulting in hyperkalemia.
Calcineurin inhibitors (CNIs) are commonly used in nephrology, such as for nephrotic syndrome and as antirejection therapy for transplant recipients. Calcineurin regulates NCC dephosphorylation through a calmodulin-dependent pathway [48] and by inhibiting the WNK-SPAK (Ste20-proline-alanine-rich kinase) pathway [49]. Therefore, CNIs increase the amount of phosphorylated NCC, decrease sodium reabsorption in the collecting ducts, reduce potassium excretion from the principal cells, and can lead to hyperkalemia [50]. Thus, CNIs can propose the same symptoms and electrolyte abnormalities that resemble Gordon syndrome (PHAII). A unique case study introduced a kidney transplant recipient with hypertension and hyperkalemia. Based on the pathophysiology, a thiazide diuretic was found to be effective in this case, leading the authors to conclude that it was “tacrolimus-induced Gordon-like syndrome” [51].
Abnormal potassium release from cells
Increased tissue destruction, with causes such as rhabdomyolysis, crush syndrome, and tumor lysis, releases intracellular potassium into the ECF.

The main cause of hyperkalemia: kidney dysfunction

Typically, in patients with CKD, plasma potassium levels remain below 5.5 mEq/L until the GFR drops below 15 mL/min [52]. A decrease in eGFR by 15 mL/min is associated with an approximately two-fold increase in the likelihood of hyperkalemia [7]. A cohort study investigating serum potassium trajectories in patients transitioning to dialysis found that serum potassium levels did not continuously increase, even with an average GFR of 25 mL/min/1.73 m2 and a starting serum potassium level of 4.5 mEq/L. Despite a high incidence of sporadic hyperkalemia (41.1% for serum potassium > 5.5 mEq/L), the crude potassium slope was only + 0.008 mEq/L per year, and after adjusting for background factors, comorbidities, medications, and eGFR, the adjusted potassium slope was negative at −0.15 mEq/L per year [53]. However, this threshold may be exceeded in cases of oliguria, high dietary potassium intake, tissue breakdown, or impaired aldosterone secretion or sensitivity [52]. A cross-sectional study found that acute kidney injury (AKI), potassium-sparing diuretics, CKD stage, and ACEi were significant risk factors for hyperkalemia (> 5.0 mEq/L), with AKI having the highest odds ratio [54]. These studies suggest that even in advanced CKD, the frequency of marked hyperkalemia remains low with appropriate potassium control and monitoring (e.g., potassium restriction and the use of potassium binders), but attention must be paid to AKI-associated complications.

Tips and pearls of the pathophysiology and causes of hyperkalemia

Low body mass index (BMI) and frailty as under-recognized risk factors for hyperkalemia

Recent evidence suggests that a low BMI and reduced muscle mass are important but often overlooked risk factors for hyperkalemia. An international cohort study demonstrated an inverse correlation between BMI and serum potassium concentrations, implying that the loss of muscle mass may predispose patients to hyperkalemia [7]. Consistent with this, hyperkalemia has been reported to be more prevalent in patients with lower BMIs [7]. Several mechanisms may explain this association. First, individuals with lower BMIs may have a smaller volume of distribution for drugs, potentially leading to higher serum drug concentrations and an increased risk of hyperkalemia-related toxicity. Second, GFR estimation methods can be influenced by body composition; for instance, the iothalamate method may overestimate this parameter in individuals with a BMI of ≤ 25 kg/m2, resulting in an underestimation of the true risk of hyperkalemia [55]. Additionally, frailty and sarcopenia, which are common in the elderly and people with low BMIs, are associated with decreased skeletal muscle mass and, consequently, reduced intracellular potassium storage capacity [56]. This physiological change limits the buffering ability for potassium influx and increases susceptibility to hyperkalemia, particularly when potassium intake is high or potassium excretion is impaired. Furthermore, caution is warranted when administering potassium to patients with a low muscle mass, as serum potassium levels may overshoot due to impaired intracellular uptake. Notably, these associations between low BMI and hyperkalemia have been observed even after stratification by kidney function [7, 55].

Why does the serum potassium level increase after hospital admission?

As described earlier, potassium excretion is influenced by distal sodium delivery and urine flow within the collecting duct. In clinical practice, patients with CKD may develop hyperkalemia by the second or third day of hospitalization. One predisposing factor is the implementation of a low-salt diet upon admission. This dietary restriction leads to ECF loss within a few days, which reduces the renal blood flow. Additionally, low-salt diets are often also high in potassium (e.g., the DASH [Dietary Approaches to Stop Hypertension] diet). A Japanese cohort study revealed that patients with high salt consumption largely decreased their body weight soon after being admitted and placed on a salt-restriction diet [57]. Consequently, less sodium reaches the distal nephron, impairing urinary potassium excretion and leading to hyperkalemia.

Dual renin-angiotensin system inhibitor (RASi) should be avoided

Nonsteroidal MRA is effective in inhibiting CKD progression and cardiovascular events in patients with diabetic nephropathy [58, 59]. Based on this evidence, the combination of an ACEi or ARB with a nonsteroidal MRA is recommended. In contrast, there is little or no established evidence supporting the concomitant use of ACEi and ARB [60, 61]. A systematic review and meta-analysis demonstrated that dual RASi (ACEi + ARB) is significantly associated with an increased risk of hyperkalemia and AKI compared to monotherapy [62]. Meanwhile, although the combination of ACEi/ARB and MRA is also associated with hyperkalemia, it does not increase the risk of AKI compared to monotherapy [62]. Additionally, as described in our previous review[63], hyperkalemia is significantly more likely with ACEi/ARB + steroidal MRA than with ACEi/ARB + nonsteroidal MRA [62]. Consequently, the Kidney Disease: Improving Global Outcomes (KDIGO) 2024 Clinical Practice Guideline recommends avoiding any combination of ACEi, ARB, and direct renin inhibitors in patients with CKD, regardless of diabetes status [64].

Conclusions

Hyperkalemia is commonly defined as a condition in which the serum potassium level is ≥ 5.0 mEq/L. While hyperkalemia evaluation, understanding the dynamics of potassium in the body, including cellular potassium shifts and renal potassium excretion, is important. In addition, distinguishing true hyperkalemia from pseudohyperkalemia is crucial. Abnormal potassium excretion from the kidneys can result from both kidney dysfunction and hypoaldosteronism. Hypoaldosteronism can be further classified into aldosterone deficiency and aldosterone resistance. In summary, hyperkalemia can have causes beyond kidney dysfunction, underscoring the importance of performing a differential diagnosis based on pathophysiology.

Acknowledgements

We thank all young nephrologists in Japan who participated in the Electrolyte Winter Seminar for their lively discussions.

Declarations

Conflict of interest

Csaba P. Kovesdy reports receiving royalties from UpToDate for two chapters and from Springer for co-editing a textbook on renal nutrition. He has received consulting fees from Abbott, Akebia, Ardelyx, AstraZeneca, Bayer, Boehringer Ingelheim, Cara Therapeutics, CSL Behring, CSL Vifor, Eli Lilly, GSK, Pharmacosmos, ProKidney, and Renibus. He has also received payment for expert testimony from Takeda and travel support from AstraZeneca, Bayer, and Boehringer Ingelheim. He has served on the executive or scientific committees of the DIALIZE-O and GRAZE trials (AstraZeneca) and on the advisory boards for Bayer (CardioRenal Council, FOUNTAIN Program). He is the President-Elect of the International Society of Renal Nutrition and Metabolism. All other authors declare no conflicts of interest relevant to this manuscript.

Ethical approval

Not applicable.
Not applicable.
Open Access This article is licensed under a Creative Commons Attribution 4.0 International License, which permits use, sharing, adaptation, distribution and reproduction in any medium or format, as long as you give appropriate credit to the original author(s) and the source, provide a link to the Creative Commons licence, and indicate if changes were made. The images or other third party material in this article are included in the article's Creative Commons licence, unless indicated otherwise in a credit line to the material. If material is not included in the article's Creative Commons licence and your intended use is not permitted by statutory regulation or exceeds the permitted use, you will need to obtain permission directly from the copyright holder. To view a copy of this licence, visit http://creativecommons.org/licenses/by/4.0/.

Publisher's Note

Springer Nature remains neutral with regard to jurisdictional claims in published maps and institutional affiliations.
Download
Titel
Pathophysiology and causes of hyperkalemia: unraveling causes beyond kidney dysfunction
Verfasst von
Takuya Fujimaru
Kazuhito Hirose
Masahiko Yazawa
Masahiko Nagahama
Csaba P. Kovesdy
the Electrolyte Winter Seminar Collaborative Group
Publikationsdatum
11.06.2025
Verlag
Springer Nature Singapore
Erschienen in
Clinical and Experimental Nephrology / Ausgabe 11/2025
Print ISSN: 1342-1751
Elektronische ISSN: 1437-7799
DOI
https://doi.org/10.1007/s10157-025-02711-x
1.
Zurück zum Zitat Hougen I, Leon SJ, Whitlock R, Rigatto C, Komenda P, Bohm C, et al. Hyperkalemia and its association with mortality, cardiovascular events, hospitalizations, and intensive care unit admissions in a population-based retrospective cohort. Kidney Int Rep. 2021;6:1309–16.PubMedPubMedCentralCrossRef
2.
Zurück zum Zitat Clase CM, Carrero J-J, Ellison DH, Grams ME, Hemmelgarn BR, Jardine MJ, et al. Potassium homeostasis and management of dyskalemia in kidney diseases: conclusions from a Kidney Disease: Improving Global Outcomes (KDIGO) Controversies Conference. Kidney Int. 2020;97:42–61.PubMedCrossRef
3.
Zurück zum Zitat Inker LA, Grams ME, Levey AS, Coresh J, Cirillo M, Collins JF, et al. Relationship of estimated GFR and Albuminuria to concurrent laboratory abnormalities: an individual participant data meta-analysis in a Global Consortium. Am J Kidney Dis. 2019;73:206–17.PubMedCrossRef
4.
Zurück zum Zitat Jain N, Kotla S, Little BB, Weideman RA, Brilakis ES, Reilly RF, et al. Predictors of hyperkalemia and death in patients with cardiac and renal disease. Am J Cardiol. 2012;109:1510–3.PubMedCrossRef
5.
Zurück zum Zitat Kashihara N, Kohsaka S, Kanda E, Okami S, Yajima T. Hyperkalemia in real-world patients under continuous medical care in Japan. Kidney Int Rep. 2019;4:1248–60.PubMedPubMedCentralCrossRef
6.
Zurück zum Zitat Oka T, Hamano T, Sakaguchi Y, Yamaguchi S, Kubota K, Senda M, et al. Proteinuria-associated renal magnesium wasting leads to hypomagnesemia: a common electrolyte abnormality in chronic kidney disease. Nephrol Dial Transpl. 2019;34:1154–62.CrossRef
7.
Zurück zum Zitat Kovesdy CP, Matsushita K, Sang Y, Brunskill NJ, Carrero JJ, Chodick G, et al. Serum potassium and adverse outcomes across the range of kidney function: a CKD Prognosis Consortium meta-analysis. Eur Heart J. 2018;39:1535–42.PubMedPubMedCentralCrossRef
8.
Zurück zum Zitat Japanese Society of Nephrology. Essential points from evidence-based clinical practice guidelines for chronic kidney disease 2018. Clin Exp Nephrol. 2019;23:1–15.CrossRef
9.
Zurück zum Zitat Dashputre AA, Gatwood J, Sumida K, Thomas F, Akbilgic O, Potukuchi PK, et al. Association of dyskalemias with short-term health care utilization in patients with advanced CKD. J Manag Care Spec Pharm. 2021;27:1403–15.PubMed
10.
Zurück zum Zitat Kanda E, Kashihara N, Kohsaka S, Okami S, Yajima T. Clinical and economic burden of hyperkalemia: a nationwide hospital-based cohort study in Japan. Kidney Med. 2020;2:742-752.e1.PubMedPubMedCentralCrossRef
11.
Zurück zum Zitat Boddy K, King PC, Hume R, Weyers E. The relation of total body potassium to height, weight, and age in normal adults. J Clin Pathol. 1972;25:512–7.PubMedPubMedCentralCrossRef
12.
Zurück zum Zitat Sumida K, Yamagata K, Kovesdy CP. Constipation in CKD. Kidney Int Rep. 2020;5:121–34.PubMedCrossRef
13.
Zurück zum Zitat Sussman-Dabach EJ, Joshi S, Dupuis L, White JA, Siavoshi M, Slukhinsky S, et al. Preventing potential pitfalls of a liberalized potassium diet in the hemodialysis population. Semin Dial. 2024;37:317–25.PubMedCrossRef
14.
Zurück zum Zitat Kononowa N, Dickenmann MJ, Kim MJ. Severe hyperkalemia following colon diversion surgery in a patient undergoing chronic hemodialysis: a case report. J Med Case Rep. 2013;7:207.PubMedPubMedCentralCrossRef
15.
Zurück zum Zitat Williams ME, Gervino EV, Rosa RM, Landsberg L, Young JB, Silva P, et al. Catecholamine modulation of rapid potassium shifts during exercise. N Engl J Med. 1985;312:823–7.PubMedCrossRef
16.
Zurück zum Zitat Aronson PS, Giebisch G. Effects of pH on potassium: new explanations for old observations. J Am Soc Nephrol. 2011;22:1981–9.PubMedPubMedCentralCrossRef
17.
Zurück zum Zitat Rossier BC, Baker ME, Studer RA. Epithelial sodium transport and its control by aldosterone: the story of our internal environment revisited. Physiol Rev. 2015;95:297–340.PubMedCrossRef
18.
Zurück zum Zitat Yoo D, Kim BY, Campo C, Nance L, King A, Maouyo D, et al. Cell surface expression of the ROMK (Kir 1.1) channel is regulated by the aldosterone-induced kinase SGK-1 and protein kinase A. J Biol Chem. 2003;278:23066–75.PubMedCrossRef
19.
Zurück zum Zitat Rabelink TJ, Koomans HA, Hené RJ, Dorhout Mees EJ. Early and late adjustment to potassium loading in humans. Kidney Int. 1990;38:942–7.PubMedCrossRef
20.
Zurück zum Zitat Palmer LG, Frindt G. Regulation of apical K channels in rat cortical collecting tubule during changes in dietary K intake. Am J Physiol. 1999;277:F805-812.PubMed
21.
Zurück zum Zitat Preston RA, Afshartous D, Rodco R, Alonso AB, Garg D. Evidence for a gastrointestinal-renal kaliuretic signaling axis in humans. Kidney Int. 2015;88:1383–91.PubMedCrossRef
22.
Zurück zum Zitat Duan X-P, Zheng J-Y, Jiang S-P, Wang M-X, Zhang C, Chowdhury T, et al. mTORc2 in distal convoluted tubule and renal K + excretion during high dietary K + intake. J Am Soc Nephrol. 2024;35:1149–63.PubMedPubMedCentralCrossRef
23.
Zurück zum Zitat Palmer BF, Clegg DJ. Physiology and pathophysiology of potassium homeostasis. Adv Physiol Educ. 2016;40:480–90.PubMedCrossRef
24.
Zurück zum Zitat Don BR, Sebastian A, Cheitlin M, Christiansen M, Schambelan M. Pseudohyperkalemia caused by fist clenching during phlebotomy. N Engl J Med. 1990;322:1290–2.PubMedCrossRef
25.
Zurück zum Zitat Saleh-Anaraki K, Jain A, Wilcox CS, Pourafshar N. Pseudohyperkalemia: three cases and a review of literature. Am J Med. 2022;135:e150–4.PubMedCrossRef
26.
Zurück zum Zitat Cornes MP, Ford C, Gama R. Spurious hyperkalaemia due to EDTA contamination: common and not always easy to identify. Ann Clin Biochem. 2008;45:601–3.PubMedCrossRef
27.
Zurück zum Zitat Ranjitkar P, Greene DN, Baird GS, Hoofnagle AN, Mathias PC. Establishing evidence-based thresholds and laboratory practices to reduce inappropriate treatment of pseudohyperkalemia. Clin Biochem. 2017;50:663–9.PubMedCrossRef
28.
Zurück zum Zitat Sodi R, Davison AS, Holmes E, Hine TJ, Roberts NB. The phenomenon of seasonal pseudohypokalemia: effects of ambient temperature, plasma glucose and role for sodium-potassium-exchanging-ATPase. Clin Biochem. 2009;42:813–8.PubMedCrossRef
29.
Zurück zum Zitat Takaki R, Kohatsu K, Kuwano K, Yazawa M. Hyperkalemia presentation at a clinic during the cold season. CEN Case Rep. 2025;14:34–8.PubMedCrossRef
30.
Zurück zum Zitat Andolfo I, Russo R, Manna F, De Rosa G, Gambale A, Zouwail S, et al. Functional characterization of novel ABCB6 mutations and their clinical implications in familial pseudohyperkalemia. Haematologica. 2016;101:909–17.PubMedPubMedCentralCrossRef
31.
Zurück zum Zitat Bawazir WM, Flatt JF, Wallis JP, Rendon A, Cardigan RA, New HV, et al. Familial pseudohyperkalemia in blood donors: a novel mutation with implications for transfusion practice. Transfusion. 2014;54:3043–50.PubMedCrossRef
32.
Zurück zum Zitat Jurkat-Rott K, Lehmann-Horn F. Genotype-phenotype correlation and therapeutic rationale in hyperkalemic periodic paralysis. Neurotherapeutics. 2007;4:216–24.PubMedCrossRef
33.
Zurück zum Zitat Daphnis E, Stylianou K, Alexandrakis M, Xylouri I, Vardaki E, Stratigis S, et al. Acute renal failure, translocational hyponatremia and hyperkalemia following intravenous immunoglobulin therapy. Nephron Clin Pract. 2007;106:c143-148.PubMedCrossRef
34.
Zurück zum Zitat Sirken G, Raja R, Garces J, Bloom E, Fumo P. Contrast-induced translocational hyponatremia and hyperkalemia in advanced kidney disease. Am J Kidney Dis. 2004;43:e31-35.PubMedCrossRef
35.
Zurück zum Zitat Allon M, Takeshian A, Shanklin N. Effect of insulin-plus-glucose infusion with or without epinephrine on fasting hyperkalemia. Kidney Int. 1993;43:212–7.PubMedCrossRef
36.
Zurück zum Zitat Putcha N, Allon M. Management of hyperkalemia in dialysis patients. Semin Dial. 2007;20:431–9.PubMedCrossRef
37.
Zurück zum Zitat Hyperkalemia YJ. Inpatient paniK. Adv Chronic Kidney Dis. 2017;24:267–71.CrossRef
38.
Zurück zum Zitat Soleimani M, Rastegar A. Pathophysiology of renal tubular acidosis: core curriculum 2016. Am J Kidney Dis. 2016;68:488–98.PubMedCrossRef
39.
Zurück zum Zitat Fujimaru T, Shuo T, Nagahama M, Taki F, Nakayama M, Komatsu Y. Assessing urine ammonium concentration by urine osmolal gap in chronic kidney disease. Nephrology (Carlton). 2021;26:809–13.PubMedCrossRef
40.
Zurück zum Zitat Lush DJ, King JA, Fray JC. Pathophysiology of low renin syndromes: sites of renal renin secretory impairment and prorenin overexpression. Kidney Int. 1993;43:983–99.PubMedCrossRef
41.
Zurück zum Zitat Laffin LJ, Rodman D, Luther JM, Vaidya A, Weir MR, Rajicic N, et al. Aldosterone synthase inhibition with Lorundrostat for uncontrolled hypertension: the target-HTN randomized clinical trial. JAMA. 2023;330:1140–50.PubMedPubMedCentralCrossRef
42.
Zurück zum Zitat Freeman MW, Halvorsen Y-D, Marshall W, Pater M, Isaacsohn J, Pearce C, et al. Phase 2 Trial of Baxdrostat for treatment-resistant hypertension. N Engl J Med. 2023;388:395–405.PubMedCrossRef
43.
Zurück zum Zitat Mae H, Fujimaru T, Shimoyama K, Kadota N, Konishi K, Itou Y, et al. Association of serum sodium minus chloride level at initiation of angiotensin-converting enzyme inhibitors or angiotensin receptor blockers and hyperkalemia in patients with CKD: a case control study. Ren Replace Ther. 2024;10:24.CrossRef
44.
Zurück zum Zitat Oster JR, Singer I, Fishman LM. Heparin-induced aldosterone suppression and hyperkalemia. Am J Med. 1995;98:575–86.PubMedCrossRef
45.
Zurück zum Zitat Choi MJ, Fernandez PC, Patnaik A, Coupaye-Gerard B, D’Andrea D, Szerlip H, et al. Brief report: trimethoprim-induced hyperkalemia in a patient with AIDS. N Engl J Med. 1993;328:703–6.PubMedCrossRef
46.
Zurück zum Zitat O’Shaughnessy KM. Gordon Syndrome: a continuing story. Pediatr Nephrol. 2015;30:1903–8.PubMedCrossRef
47.
Zurück zum Zitat Yang S-S, Morimoto T, Rai T, Chiga M, Sohara E, Ohno M, et al. Molecular pathogenesis of pseudohypoaldosteronism type II: generation and analysis of a Wnk4(D561A/+) knockin mouse model. Cell Metab. 2007;5:331–44.PubMedCrossRef
48.
Zurück zum Zitat Shoda W, Nomura N, Ando F, Mori Y, Mori T, Sohara E, et al. Calcineurin inhibitors block sodium-chloride cotransporter dephosphorylation in response to high potassium intake. Kidney Int. 2017;91:402–11.PubMedCrossRef
49.
Zurück zum Zitat Hoorn EJ, Walsh SB, McCormick JA, Zietse R, Unwin RJ, Ellison DH. Pathogenesis of calcineurin inhibitor-induced hypertension. J Nephrol. 2012;25:269–75.PubMedPubMedCentralCrossRef
50.
Zurück zum Zitat Hoorn EJ, Walsh SB, McCormick JA, Fürstenberg A, Yang C-L, Roeschel T, et al. The calcineurin inhibitor tacrolimus activates the renal sodium chloride cotransporter to cause hypertension. Nat Med. 2011;17:1304–9.PubMedPubMedCentralCrossRef
51.
Zurück zum Zitat Dupont V, Colosio C, Hureaux M, Mokri L, Schvartz B, Vuiblet V, et al. The Case | severe hypertension and hyperkalemia in a kidney transplant recipient. Kidney Int. 2019;96:529–30.PubMedCrossRef
52.
Zurück zum Zitat Palmer BF, Clegg DJ. Hyperkalemia across the Continuum of Kidney Function. Clin J Am Soc Nephrol. 2018;13:155–7.PubMedCrossRef
53.
Zurück zum Zitat Dashputre AA, Sumida K, Potukuchi PK, Kar S, Obi Y, Thomas F, et al. Potassium trajectories prior to dialysis and mortality following dialysis initiation in patients with advanced CKD. Nephron. 2021;145:265–74.PubMedCrossRef
54.
Zurück zum Zitat Ravioli S, Pluess E, Funk G-C, Walter P, Schwarz C, Exadaktylos AK, et al. Dyskalemias in patients with acute kidney injury presenting to the emergency department are common and independent predictors of adverse outcome. Int J Clin Pract. 2021;75:e13653.PubMedCrossRef
55.
Zurück zum Zitat Weinberg JM, Appel LJ, Bakris G, Gassman JJ, Greene T, Kendrick CA, et al. Risk of hyperkalemia in nondiabetic patients with chronic kidney disease receiving antihypertensive therapy. Arch Intern Med. 2009;169:1587–94.PubMedCrossRef
56.
Zurück zum Zitat Fujisawa C, Umegaki H, Sugimoto T, Huang CH, Fujisawa H, Sugimura Y, et al. Older adults with a higher frailty index tend to have electrolyte imbalances. Exp Gerontol. 2022;163:111778.PubMedCrossRef
57.
Zurück zum Zitat Mihara Y, Kado H, Yokota I, Shiotsu Y, Sonomura K, Kusaba T, et al. Rapid weight loss with dietary salt restriction in hospitalized patients with chronic kidney disease. Sci Rep. 2019;9:8787.PubMedPubMedCentralCrossRef
58.
Zurück zum Zitat Pitt B, Filippatos G, Agarwal R, Anker SD, Bakris GL, Rossing P, et al. Cardiovascular Events with Finerenone in Kidney Disease and Type 2 Diabetes. N Engl J Med. 2021;385:2252–63.PubMedCrossRef
59.
Zurück zum Zitat Bakris GL, Agarwal R, Anker SD, Pitt B, Ruilope LM, Rossing P, et al. Effect of finerenone on chronic kidney disease outcomes in type 2 diabetes. N Engl J Med. 2020;383:2219–29.PubMedCrossRef
60.
Zurück zum Zitat Doulton TWR, He FJ, MacGregor GA. Systematic review of combined angiotensin-converting enzyme inhibition and angiotensin receptor blockade in hypertension. Hypertension. 2005;45:880–6.PubMedCrossRef
61.
Zurück zum Zitat Natale P, Palmer SC, Navaneethan SD, Craig JC, Strippoli GF. Angiotensin-converting-enzyme inhibitors and angiotensin receptor blockers for preventing the progression of diabetic kidney disease. Cochrane Database Syst Rev. 2024;4:CD006257.PubMed
62.
Zurück zum Zitat Whitlock R, Leon SJ, Manacsa H, Askin N, Rigatto C, Fatoba ST, et al. The association between dual RAAS inhibition and risk of acute kidney injury and hyperkalemia in patients with diabetic kidney disease: a systematic review and meta-analysis. Nephrol Dial Transpl. 2023;38:2503–16.CrossRef
63.
Zurück zum Zitat Terashita M, Yazawa M, Murakami N, Nishiyama A, Electrolyte Winter Seminar Collaborative Group. Water and electrolyte abnormalities in novel pharmacological agents for kidney disease and cancer. Clin Exp Nephrol. 2025;
64.
Zurück zum Zitat Kidney Disease: Improving Global Outcomes (KDIGO) CKD Work Group. KDIGO. Clinical practice guideline for the evaluation and management of chronic kidney disease. Kidney Int. 2024;2024(105):S117-314.

Kompaktes Leitlinien-Wissen Innere Medizin (Link öffnet in neuem Fenster)

Mit medbee Pocketcards schnell und sicher entscheiden.
Leitlinien-Wissen kostenlos und immer griffbereit auf ihrem Desktop, Handy oder Tablet.

Neu im Fachgebiet Innere Medizin

Urothelkarzinome – eine relevante Erstmanifestation des Lynch-Syndroms (Link öffnet in neuem Fenster)

Antonia Schuler, Universitätsklinikum Bonn, Nationales Zentrum für erbliche Tumorerkrankungen, forscht am Lynch-Syndrom, einem der häufigsten erblichen Tumorprädispositionssyndrome, und hierbei insbesondere an Urothelkarzinomen. Die Erkenntnisse Ihrer Studiengruppe könnten zukünftig die Früherkennung und Therapie des Lynch-Syndroms verbessern.

Deutsche Krebsgesellschaft e. V. und Stiftung Deutsche Krebshilfe

Blut-Hirn-Schranke auf Labor-Chip simuliert (Link öffnet in neuem Fenster)

Hirntumoren sind nach wie vor schlecht therapierbar. Eine Ursache ist die Blut-Hirn-Schranke, die viele Therapeutika daran hindert in Hirntumoren einzudringen. Michelle Zimmer, EPO Experimental Pharmacology & Oncology Berlin-Buch, arbeitet an einem Modell, das die Blut-Hirn-Schranke simuliert, um so die Permeabilität von Medikamenten besser untersuchen zu können.

Deutsche Krebsgesellschaft e. V. und Stiftung Deutsche Krebshilfe

Magen-Darm-Krebs: Wirklich immer früher?

Gastrointestinale Tumoren bei jungen Menschen werden in vielen Ländern häufiger. Ob das ein realer Anstieg ist, ist sehr umstritten. Auf dem Deutschen Krebskongress in Berlin wurden mögliche Ursachen, Früherkennungsstrategien sowie präventive und therapeutische Ansätze für jüngere Erkrankte diskutiert.  

Deutsche Krebsgesellschaft e. V. und Stiftung Deutsche Krebshilfe

Immuntherapie bei Krebs – eine komplexe Frage der Kombination

Das Prinzip, die körpereigene Immunabwehr zur Therapie von Krebserkrankungen zu nutzen, ist Teil des klinischen Alltags geworden. Den Weg zur Heilung machen bei vielen Karzinomen wahrscheinlich erst Kombinationsstrategien möglich – etwa aus Op., Checkpoint-Inhibition und Krebsimpfung.

Deutsche Krebsgesellschaft e. V. und Stiftung Deutsche Krebshilfe

Update Innere Medizin

Bestellen Sie unseren Fach-Newsletter und bleiben Sie gut informiert.

Bildnachweise
Die Leitlinien für Ärztinnen und Ärzte, Antonia Schuler/© Renate Babnik / DKG e.V., Michelle Zimmer/© Renate Babnik / DKG e.V., Darmpolypen/© selvanegra / Getty Images / iStock, Inhalt eines Fläschchens wird aufgezogen/© MarianVejcik / Getty Images / iStock