Zum Inhalt

Pembrolizumab plus either epacadostat or placebo for cisplatin-ineligible urothelial carcinoma: results from the ECHO-307/KEYNOTE-672 study

  • Open Access
  • 01.07.2024
  • Research
Erschienen in:

Abstract

Background

Indoleamine 2,3- dioxygenase 1 (IDO1) is an immunosuppressive enzyme that has been correlated with shorter disease-specific survival in patients with urothelial carcinoma (UC). IDO1 may counteract the antitumor effects of immune checkpoint inhibitors. Epacadostat is a potent and highly selective inhibitor of IDO1. In the phase I/II ECHO-202/KEYNOTE-037 study, epacadostat plus pembrolizumab resulted in a preliminary objective response rate (ORR) of 35% in a cohort of patients with advanced UC.

Methods

ECHO-307/KEYNOTE-672 was a double-blinded, randomized, phase III study. Eligible adults had confirmed locally advanced/unresectable or metastatic UC of the urinary tract and were ineligible to receive cisplatin-based chemotherapy. Participants were randomly assigned (1:1) to receive epacadostat (100 mg twice daily) plus pembrolizumab (200 mg every 3 weeks) or placebo plus pembrolizumab for up to 35 pembrolizumab infusions. The primary endpoint was investigator-assessed ORR per Response Evaluation Criteria in Solid Tumors (version 1.1).

Results

A total of 93 patients were randomized (epacadostat plus pembrolizumab, n = 44; placebo plus pembrolizumab, n = 49). Enrollment was stopped early due to emerging data from the phase III ECHO-301/KEYNOTE-252 study. The median duration of follow-up was 64 days in both arms. Based on all available data at cutoff, ORR (unconfirmed) was 31.8% (95% CI, 22.46–55.24%) for epacadostat plus pembrolizumab and 24.5% (95% CI, 15.33–43.67%) for placebo plus pembrolizumab. Circulating kynurenine levels numerically increased from C1D1 to C2D1 in the placebo-plus-pembrolizumab arm and decreased in the epacadostat-plus-pembrolizumab arm. Epacadostat-plus-pembrolizumab combination treatment was well tolerated with a safety profile similar to the placebo arm. Treatment discontinuations due to treatment-related adverse events were more frequent with epacadostat (11.6% vs. 4.1%).

Conclusions

Treatment with epacadostat plus pembrolizumab resulted in a similar ORR and safety profile as placebo plus pembrolizumab in cisplatin-ineligible patients with previously untreated locally advanced/unresectable or metastatic UC. At a dose of 100 mg twice daily, epacadostat did not appear to completely normalize circulating kynurenine levels when administered with pembrolizumab. Larger studies with longer follow-up and possibly testing higher doses of epacadostat, potentially in different therapy settings, may be warranted.

Trial registration

ClinicalTrials.gov identifier: NCT03361865, retrospectively registered December 5, 2017.

Supplementary Information

The online version contains supplementary material available at https://doi.org/10.1186/s12885-023-10727-3.
Arjun V. Balar and Ronald de Wit are co-senior authors.

Publisher’s Note

Springer Nature remains neutral with regard to jurisdictional claims in published maps and institutional affiliations.
AE
Adverse event
BCG
Bacillus Calmette-Guérin
C
Cycle
CI
Confidence interval
CPS
Combined positive score
D
Day
ECOG
Eastern Cooperative Oncology Group
IDO1
Indoleamine 2,3- dioxygenase 1
NS
Not significant
NYHA
New York Heart Association
ORR
Objective response rate
OS
Overall survival
PD-L1
Programmed death-ligand 1
PFS
Progression-free survival
RECIST
Response Evaluation Criteria in Solid Tumors
UC
Urothelial carcinoma

Background

Cisplatin-based chemotherapy has been a standard first-line treatment for patients with locally advanced/unresectable or metastatic urothelial carcinoma (UC) for many years and remains an important component of care in the era of immunotherapy. For patients with locally advanced or metastatic UC without disease progression on first-line cisplatin- or carboplatin-based chemotherapy, recent data from the randomized, phase III JAVELIN Bladder 100 trial showed that maintenance treatment with the programmed death-ligand 1 (PD-L1) inhibitor avelumab plus best supportive care significantly improved overall survival (OS) compared with best supportive care alone [1]. Based on these results, this switch maintenance treatment has been approved in the United States (US), [2] and first-line cisplatin-based chemotherapy followed by avelumab maintenance is a new preferred regimen for cisplatin-eligible patients [3].
More than half of patients are cisplatin-ineligible due to poor performance status, renal dysfunction, and/or the presence of comorbidities [4, 5]; chemotherapy-related toxicity is also a concern. Carboplatin-based chemotherapy is a conventionally used alternative for cisplatin-ineligible patients [3, 68] and can be used with maintenance avelumab maintenance in the absence of disease progression, [1, 3] but these regimens are associated with lower response rates relative to cisplatin-based chemotherapy [9].
The immune checkpoint inhibitors atezolizumab or pembrolizumab can also be used in the first-line treatment of cisplatin-ineligible patients with UC whose tumors express PD-L1 based on the companion assay [3, 6, 7] or those who are not candidates for any platinum-based regimen (irrespective of PD-L1 status; certain countries such as the US only) [3]. However, only about one-quarter of cisplatin-ineligible patients with UC respond to single-agent atezolizumab or pembrolizumab [10, 11], although a higher objective response rate (ORR; 47%) has been observed in pembrolizumab-treated patients with PD-L1–positive tumors [12]. Thus, there remains a need for first-line treatment strategies that can increase the number of cisplatin-ineligible patients with advanced UC who benefit from immunotherapy.
Because cancer cells can exploit multiple mechanisms to evade the immune system [13], combination immunotherapy has the potential to enhance antitumor activity. Indoleamine 2,3- dioxygenase 1 (IDO1) is a tryptophan-catabolizing enzyme whose expression can be up-regulated by interferon [14]. IDO1 contributes to the immunosuppression of the tumor microenvironment [15], and elevated levels of IDO1 have been correlated to shorter survival in ovarian and endometrial cancers, as well as UC [1618]. IDO1 has also been shown to blunt the activity of immune checkpoint inhibitors [19]. IDO1 and PD-L1 are co-expressed in a number of cancers [2023], and preclinical studies have demonstrated the additive or synergistic effects of combined inhibition of IDO1 and PD-L1 [19, 24]. Therefore, we hypothesized that inhibiting IDO1 may augment the antitumor activity of immune checkpoint inhibitors in advanced UC.
Epacadostat, a potent and highly selective inhibitor of IDO1, has been shown to normalize levels of circulating kynurenine in patients with advanced solid malignancies when administered as monotherapy twice daily at doses of 100 mg or higher [25]. In the phase I/II ECHO-202/KEYNOTE-037 study (NCT02178722), epacadostat plus pembrolizumab resulted in a preliminary ORR of 35% (13/37) and was generally well tolerated in a cohort of patients with advanced UC [26]. Based on these encouraging results, the phase III ECHO-307/KEYNOTE-672 study, which compared epacadostat plus pembrolizumab with placebo plus pembrolizumab in cisplatin-ineligible patients with advanced UC, was undertaken to determine if efficacy could be improved with the combination.

Methods

Study design and participants

ECHO-307/KEYNOTE-672 (NCT03361865) was an international, placebo-controlled, double-blinded, randomized, phase III study. Eligible adults (≥ 18 years) had confirmed locally advanced/unresectable or metastatic UC of the urinary tract that was measurable per Response Evaluation Criteria in Solid Tumors (RECIST) version 1.1 [27], were ineligible to receive cisplatin-based therapy (eg, Eastern Cooperative Oncology Group performance status of 2 within 14 days before randomization, creatinine clearance between ≥ 30 and < 60 mL/min), had not received prior systemic chemotherapy for advanced UC (patients who received neoadjuvant or adjuvant platinum-containing chemotherapy and experienced recurrence > 12 months from completion of that chemotherapy were permitted), and provided tumor tissue for the central analysis of PD-L1. Exclusion criteria included disease suitable for local therapy with curative intent, known additional malignancy that is progressing or has required active treatment in the previous 3 years, active CNS metastases and/or carcinomatous meningitis, and active autoimmune disease requiring systemic treatment in the previous 2 years.

Treatment and procedures

Participants were randomly assigned (1:1) to receive epacadostat plus pembrolizumab or placebo plus pembrolizumab for up to 35 pembrolizumab infusions (approximately 2 years) or until disease progression, unacceptable toxicity, or another study withdrawal criterion was met. Randomization was stratified by Bajorin risk score (0 vs. 1 vs. 2) and PD-L1 expression (combined positive score [CPS] per immunohistochemistry ≥ 10 vs. < 10). Intravenous pembrolizumab 200 mg was administered every 3 weeks, and epacadostat (or matching placebo) 100 mg was given orally twice daily. On day 1 of cycles 1 and 2 (C1D1 and C2D1, respectively), blood for serum pharmacodynamics analyses of kynurenine was drawn pre-dose from patients while they were in a fasting state.

Study conduct

The study was initiated on December 4, 2017. On May 2, 2018, a strategic decision was made to permanently stop enrollment. The study was subsequently unblinded after the last patient completed the week 9 imaging assessment for efficacy analysis. The strategic decision to discontinue enrollment occurred after the phase III ECHO-301/KN-252 study did not show clinical benefit of combining epacadostat (100 mg twice daily) with pembrolizumab compared with placebo plus pembrolizumab in patients with advanced melanoma. The decision to stop enrollment was not based on new safety concerns observed in this study.
ECHO-307/KEYNOTE-672 was conducted in compliance with the Declaration of Helsinki, the International Council on Harmonization Guidelines for Good Clinical Practice, and applicable national and local regulatory requirements. The study protocol was approved by the Independent Ethics Committee/Institutional Review Board at each participating site, and all patients provided written informed consent.

Endpoints

The original dual primary endpoints of ECHO-307/KEYNOTE-672 were progression-free survival (PFS) per independent central review and OS. A protocol amendment, initiated when enrollment was stopped, changed the primary endpoint to investigator-assessed ORR per RECIST version 1.1. ORR was defined as the proportion of patients with best response of complete response or partial response. Safety was assessed throughout the study, with adverse events (AEs) coded per Medical Dictionary for Regulatory Activities version 21.0 and graded per Common Terminology Criteria for Adverse Events version 4.03. The tertiary and exploratory objectives were estimation of efficacy by PD-L1 expression, evaluation of the pharmacodynamics of epacadostat as assessed by evaluating change from baseline in circulating kynurenine, evaluation of the pharmacokinetics of epacadostat, and identification of molecular biomarkers.

Statistics

The original target enrollment was 650 patients, but when enrollment was stopped, the target was revised to 100 participants. The analysis population for efficacy analyses was the intention-to-treat population (ie, all randomized patients).
ORR was determined for each treatment group; the corresponding 95% confidence intervals were calculated using the Clopper-Pearson exact method. Although study efficacy procedures (including imaging) were discontinued after week 9 (first on-study imaging), a number of patients had completed scans beyond week 9 at the time that enrollment was terminated. Thus, ORR was assessed in two ways: based on investigator assessments using all available scans at the time of cutoff, as well as only those data collected at week 9.
The safety analysis population was the all participants as treated population (ie, all randomized patients who received ≥ 1 dose of study treatment). Safety outcomes were summarized using descriptive statistics.
The pharmacodynamics analysis population for evaluation of circulating kynurenine levels included patients who provided blood samples on C1D1 and C2D1. Paired T tests within each treatment arm were used for comparisons of circulating kynurenine levels. The cutoff date for these analyses was August 15, 2018.

Results

Participants

A total of 93 cisplatin-ineligible patients with advanced UC were randomized (epacadostat plus pembrolizumab, n = 44; placebo plus pembrolizumab, n = 49) (Fig. 1). One patient randomized to epacadostat plus pembrolizumab was not treated. In both treatment arms, the most common reason for study drug discontinuation was disease progression. Patients with ongoing clinical benefit could continue study treatment (per investigator discretion), and at data cutoff, 62.8% and 59.2% of treated patients were receiving open-label epacadostat plus pembrolizumab or pembrolizumab, respectively.
Fig. 1
Patient disposition. AE adverse event
Bild vergrößern
Most patients presented with metastatic disease (epacadostat plus pembrolizumab, 86.4%; placebo plus pembrolizumab, 91.8%), and approximately half had tumors with PD-L1 CPS ≥ 10 (56.8% and 55.1%, respectively) (Table 1). In the epacadostat-plus-pembrolizumab arm, the median (range) duration of exposure to each agent was 86 (6–189) and 85 (1–171) days, respectively. In the control arm, the median (range) duration of exposure to placebo and pembrolizumab was 85 (3–167) and 85 (1–167) days, respectively. The median duration of follow-up was 64 days in both arms.
Table 1
Patient demographics and disease characteristics
 
Epacadostat + pembrolizumab
(n = 44)
Placebo + pembrolizumab (n = 49)
Male, n (%)
33 (75.0)
38 (77.6)
Median age, years (range)
74.0 (51–90)
72.0 (50–88)
Age ≥ 65 years, n (%)
35 (79.5)
40 (81.6)
Race, n (%)
 White
33 (75.0)
37 (75.5)
 Asian
9 (20.5)
8 (16.3)
 Unknown
2 (4.5)
4 (8.2)
ECOG performance status scorea
 0
8 (18.2)
12 (24.5)
 1
15 (34.1)
18 (36.7)
 2
21 (47.7)
19 (38.8)
Disease status at screening, n (%)
 Locally advanced/unresectable
6 (13.6)
4 (8.2)
 Metastatic
38 (86.4)
45 (91.8)
Metastases location, n (%)
 Visceral disease
27 (61.4)
35 (71.4)
 Lymph node only
12 (27.3)
8 (16.3)
 Neither visceral disease nor lymph node only
5 (11.4)
6 (12.2)
Liver metastases present, n (%)
5 (11.4)
11 (22.4)
Primary tumor location, n (%)
 Upper tract
8 (18.2)
9 (18.4)
 Lower tract
36 (81.8)
35 (71.4)
 Unknown
0
5 (10.2)
Prior neoadjuvant/adjuvant platinum-based chemotherapy, n (%)
6 (13.6)
6 (12.2)
Prior BCG therapy, n (%)
2 (4.5)
4 (8.2)
Bajorin risk score
 0
7 (15.9)
9 (18.4)
 1
27 (61.4)
25 (51.0)
 2
10 (22.7)
15 (30.6)
PD-L1 status, n (%)
 CPS ≥ 10
25 (56.8)
27 (55.1)
 CPS < 10
19 (43.2)
22 (44.9)
Primary reason for cisplatin-ineligibility,b n (%)
 ECOG performance status score ≥ 2
20 (45.5)
15 (30.6)
 Creatinine clearance < 60 mL/min
13 (29.5)
20 (40.8)
 Grade ≥ 2 audiometric hearing loss
3 (6.8)
5 (10.2)
 Grade ≥ 2 peripheral neuropathy
2 (4.5)
2 (4.1)
 NYHA class III heart failure
1 (2.3)
2 (4.1)
 Multiple reasons
5 (11.4)
4 (8.2)
 Missing
0
1 (2.0)
BCG Bacillus Calmette-Guérin, CPS combined positive score, ECOG Eastern Cooperative Oncology Group, NYHA New York Heart Association, PD-L1 programmed death-ligand 1
aAssessed during screening
bAssessed by the study investigator during screening

Response rates

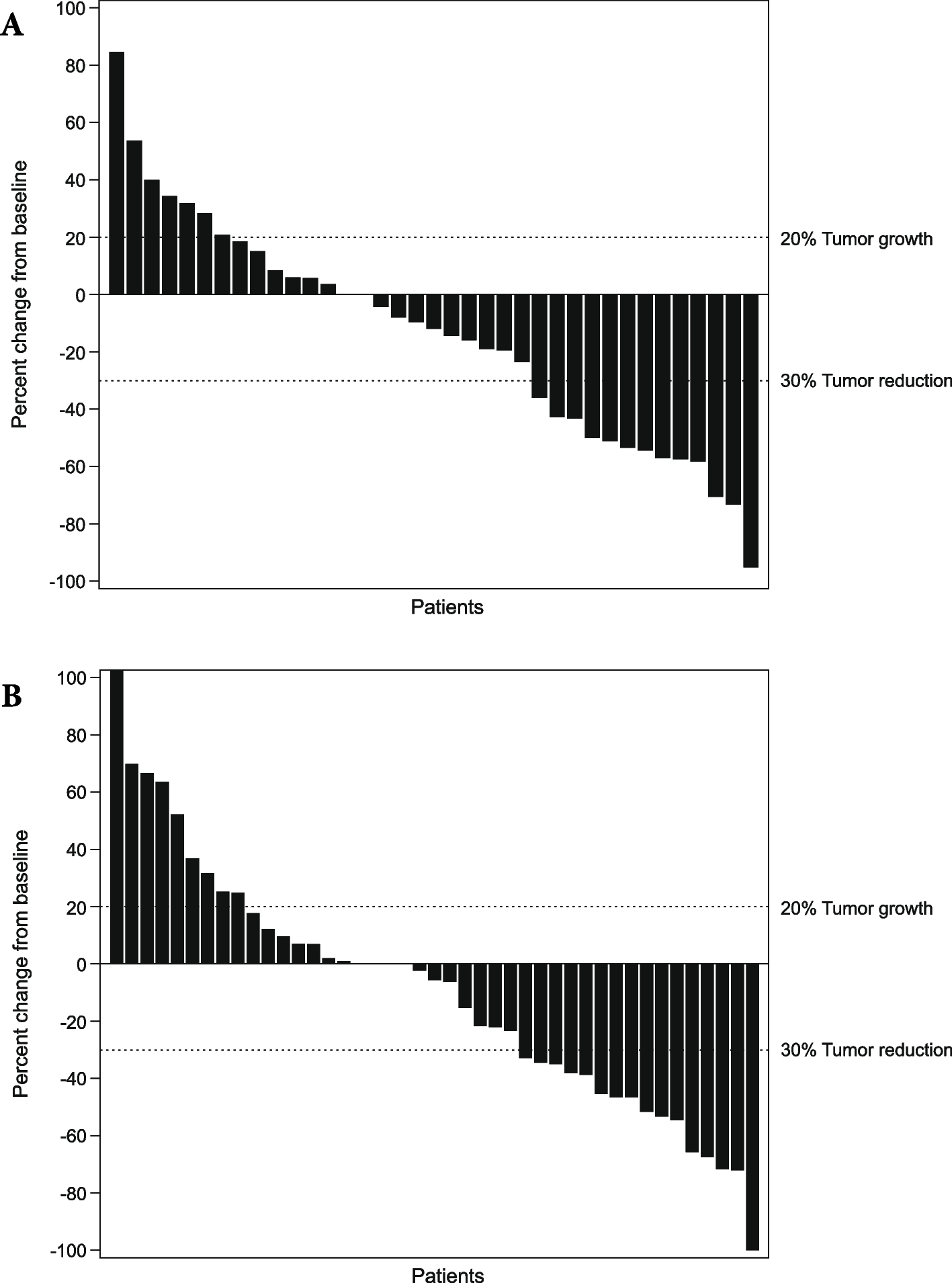
Based on all available data at cutoff, ORR (unconfirmed) was 31.8% (95% CI, 22.46–55.24%) for epacadostat plus pembrolizumab and 24.5% (95% CI, 15.33–43.67%) for placebo plus pembrolizumab (Table 2). The corresponding values based on data from the week 9 visit only were 27.3% and 20.4% (Supplementary Table 1). Waterfall plots for the best change in target lesion size from baseline using all available data at cutoff and data from the week 9 visit only are summarized in Fig. 2 and Supplementary Fig. 1, respectively.
Table 2
Investigator-assessed best overall response per RECIST version 1.1 (intent-to-treat analysis)a
n, (%)
Epacadostat + pembrolizumab
(n = 44)
Placebo + pembrolizumab (n = 49)
ORRb [95% CIc]
14 (31.8) [22.46–55.24]
12 (24.5) [15.33–43.67]
Complete response
2 (4.5)
1 (2.0)
Partial response
12 (27.3)
11 (22.4)
Stable disease
13 (29.5)
10 (20.4)
Progressive disease
10 (22.7)
20 (40.8)
No assessmentd
7 (15.9)
7 (14.3)
CI confidence interval, ORR objective response rate, RECIST Response Evaluation Criteria in Solid Tumors
aBased on all available data at cutoff; responses were unconfirmed
bIncludes patients with an unconfirmed complete or partial response
cPer the Clopper-Pearson exact method
dIncludes patients with a baseline but no post-baseline assessment, including those who discontinued or died before the first post-baseline scan
Fig. 2
Maximum percentage change from baseline in tumor size per investigator assessment (intent-to-treat analysis). a Epacadostat plus pembrolizumab. b Placebo plus pembrolizumab
Bild vergrößern
ORR was also assessed by PD-L1 status. Based on all available data at cutoff, the ORR (unconfirmed) was 26.3% (5/19) for epacadostat plus pembrolizumab and 31.8% (7/22) for placebo plus pembrolizumab among patients with CPS < 10. The corresponding ORRs for patients with CPS ≥ 10 were 36.0% (9/25) and 18.5% (5/27) in the epacadostat-plus-pembrolizumab and placebo-plus-pembrolizumab groups, respectively.

Safety and tolerability

The rates of AEs, including treatment-emergent grade ≥ 3 AEs and treatment-related grade ≥ 3 AEs, were similar in both treatment arms (Table 3). Immune-related AEs occurred in seven patients in the epacadostat-plus-pembrolizumab group and in five patients in the placebo-plus-pembrolizumab group. Treatment-emergent serious AEs were reported in 13 patients in each treatment arm. The only serious AEs reported in more than one patient in a treatment arm were urinary tract infection (epacadostat plus pembrolizumab, n = 3; placebo plus pembrolizumab, n = 4) and acute kidney injury (placebo plus pembrolizumab, n = 2). Three patients in the epacadostat-plus-pembrolizumab arm experienced a treatment-related serious AE (left ventricular dysfunction, encephalitis, herpes zoster). Five patients in the placebo-plus-pembrolizumab arm experienced a treatment-related serious AE (Huntington's disease, cholestatic hepatitis, infusion-related reaction, autoimmune nephritis, interstitial lung disease).
Table 3
Safety summary (as-treated analysis)a
Patients, n (%)
Epacadostat + pembrolizumab
(n = 43)
Placebo + pembrolizumab (n = 49)
Any AE
39 (90.7)
43 (87.8)
Treatment-related AE
25 (58.1)
29 (59.2)
Grade ≥ 3 AE
22 (51.2)
20 (40.8)
 Treatment-related
9 (20.9)
7 (14.3)
Serious AE
13 (30.2)
13 (26.5)
 Treatment-related
3 (7.0)
5 (10.2)
Discontinued study drug due to an AE
6 (14.0)
7 (14.3)
 Treatment-related
5 (11.6)
2 (4.1)
Discontinued study drug due to a serious AE
3 (7.0)
4 (8.2)
 Treatment-related
2 (4.7)
1 (2.0)
Death
2 (4.7)
1 (2.0)
 Treatment-related
0
0
The relatedness of an AE to study drug was determined by the investigator. “Discontinued study drug due to an AE” means that ≥ 1 study drug was discontinued due to an AE
AE, adverse event
aNon-serious AEs up to 30 days of last dose and serious AEs up to 90 days of last dose are included
In total, 11.6% of patients in the epacadostat-plus-pembrolizumab arm compared with 4.1% in the placebo-plus-pembrolizumab arm discontinued study drug due to a treatment-related AE. No treatment-related AE resulted in death.

Pharmacodynamic activity of epacadostat

Circulating kynurenine levels at baseline (C1D1) and after one cycle of treatment (C2D1) are shown in Fig. 3. Compared with baseline, median kynurenine levels at C2D1 were numerically higher in the placebo-plus-pembrolizumab arm (3.3 µM vs. 3.8 µM) and were lower in the epacadostat-plus-pembrolizumab arm (3.2 µM vs. 2.9 µM). Median kynurenine levels remained above the median level observed in healthy subjects (1.5 µM) [25] at each time point and across both treatment arms.
Fig. 3
Pharmacodynamic effect of epacadostat 100 mg twice daily dosing as shown by change from baseline in circulating kynurenine levels. The number of samples assessed was 43 in the placebo plus pembrolizumab group (36 for C2) and 34 in the epacadostat plus pembrolizumab group. Statistical analyses were conducted using paired t-tests within each treatment arm. The dotted line indicates the median kynurenine level in healthy subjects (1.5 μM) [25]. C cycle, D day, ns not significant
Bild vergrößern

Discussion

Based on the available clinical data, the clinical benefit of targeting both IDO1 and PD-(L)1 in patients with advanced UC or other solid tumors has not been demonstrated. The response rates in the present study are comparable to the confirmed ORR (29%) observed in the phase II KEYNOTE-052 study, which explored first-line treatment with pembrolizumab monotherapy in cisplatin-ineligible patients with advanced UC [12]. In the phase III ECHO-301/KEYNOTE-252 study in patients with unresectable or metastatic melanoma, no statistically significant differences with the addition of epacadostat to pembrolizumab were found on the dual primary endpoints (median PFS: 4.7 vs. 4.9 months, one-sided P = 0.52; median OS, not reached in either arm) after a median duration of follow-up of 12.4 months [28]. Combination treatment with the IDO1 inhibitor navoximod and the PD-L1 inhibitor atezolizumab was assessed in a phase I study of patients with advanced solid tumors, including UC. The regimen was tolerable and antitumor activity was seen, but the benefit of adding navoximod to atezolizumab was not apparent [29]. The IDO1 inhibitor BMS-986205 in combination with nivolumab is being evaluated in a phase I/IIa trial for patients with solid tumors. Among patients with advanced urothelial cancer with no prior immune-oncology therapy (n = 27), there was evidence of activity (ORR, 37%) at a median follow up of 24 weeks [30].
Going forward, the pharmacodynamics results from our study suggest that exploration of higher doses of epacadostat are warranted. In contrast to previously reported results for epacadostat monotherapy at doses of 100 mg or higher [25], treatment with epacadostat 100 mg twice daily in combination with pembrolizumab did not lead to complete normalization of circulating kynurenine levels in our study. A numerical, though not statistically significant, increase from baseline in kynurenine levels was also observed in the pembrolizumab/placebo arm. These results suggest that higher doses of epacadostat may possibly be needed to fully suppress kynurenine production. This hypothesis is supported by findings from a retrospective analysis showing that doses of epacadostat ≥ 600 mg BID were needed to durably control kynurenine production when administered with a checkpoint inhibitor [31]. Epacadostat plus pembrolizumab was generally tolerable in this patient population, with a safety profile comparable to that of pembrolizumab monotherapy. No new safety concerns were identified, although the proportion of patients who discontinued study drug due to a treatment-related AE was higher with the combination regimen (11.6% vs. 4.1%). Other avenues of future study include evaluation of additional biomarkers, which may assist in the identification of patients most likely to benefit from combined inhibition of IDO1 and PD-(L)1 [32]. In addition, treatment with IDO1 inhibition may potentially be more effective earlier in the disease course. The phase III ENERGIZE trial (NCT03661320) is currently investigating IDO1 inhibition in combination with nivolumab before and after radical cystectomy in patients with muscle-invasive bladder cancer. The phase II CheckMate 9UT trial (NCT03519256) is investigating nivolumab monotherapy and combinations with IDO1 inhibition, with bacillus Calmette-Guerin (BCG), or the triple combination for patients with BCG-unresponsive, non-muscle invasive bladder cancer [33].
Our understanding of the role of immune checkpoint inhibition in the first-line treatment of cisplatin-ineligible patients with advanced/metastatic UC is rapidly evolving. At the time the current study was designed, the rationale for the pembrolizumab monotherapy control arm in cisplatin-ineligible patients was based on promising results from the single-arm phase II KEYNOTE-052 study, [11] which supported the accelerated approval of this agent in the US. The recent DANUBE study investigated durvalumab alone, durvalumab plus tremelimumab, or chemotherapy in previously untreated unresectable, locally advanced or metastatic urothelial cancers and included patients who were cisplatin-ineligible [34]. The authors noted relatively similar OS among cisplatin-ineligible and eligible patients in each treatment group, while they also suggested that CTLA-4 inhibition did not add significant clinical benefit to PD-L1 inhibition in the first-line setting [34].
The addition of immune checkpoint inhibition to platinum-based chemotherapy has also been tested in two recent studies in patients with advanced/metastatic UC. In the randomized phase III KEYNOTE-361 study, the addition of pembrolizumab to cisplatin- or carboplatin-based chemotherapy yielded numerically longer PFS and OS, but this did not reach the prespecified thresholds for statistical significance [35]. In the randomized phase III IMvigor130 trial, the addition of atezolizumab to cisplatin- or carboplatin-based chemotherapy significantly improved PFS, but the difference in median PFS was only about 2 months, while there was no significant OS difference [36]. As noted previously, results from the JAVELIN Bladder 100 trial have led to the adoption of a sequential treatment strategy consisting of platinum-based chemotherapy followed by switch maintenance avelumab for patients with no progression on chemotherapy as a new standard of care.

Conclusions

In this study, combining epacadostat 100 mg twice daily with pembrolizumab resulted in an ORR similar to that of pembrolizumab monotherapy in cisplatin-ineligible patients with previously untreated locally advanced/unresectable or metastatic UC. No new safety concerns were identified, and the safety profile of the combination regimen was similar to that of pembrolizumab plus placebo. Epacadostat 100 mg twice daily did not fully normalize circulating kynurenine levels when administered with pembrolizumab. Firm conclusions based on these results cannot be made because the study was halted early, resulting in a relatively small sample size (N = 93) and a short duration of follow-up.

Acknowledgements

The authors would like to thank all study site personnel and the patients for their participation in this study. The authors would also like to acknowledge the contributions of Tara Frenkl, MD, who contributed to the original protocol design and supported initiation of the study. Editorial and medical writing support for this manuscript were provided by Tiffany DeSimone, PhD, of Ashfield Medcomms, an Inizio Company, and were funded by Incyte Corporation and Merck Sharp & Dohme LLC, a subsidiary of Merck & Co., Inc., Rahway, NJ, USA.

About this supplement

This article has been published as part of BMC Cancer Volume 23 Supplement 1, 2023: Epacadostat, an IDO1 inhibitor, in combination with pembrolizumab: results from clinical trials in patients with advanced solid tumors. The full contents of the supplement are available online at https://bmccancer.biomedcentral.com/articles/supplements/volume-23-supplement-1.

Declarations

The study protocol was approved by the independent ethics committee/institutional review board at each institution (Asan Medical Center IRB/IEC; Bashkortostan State Medical University; Bellberry Human Research Ethics Committee; CEIC de la Comunidad Foral de Navarra; Chang Gung Medical Foundation Institutional Review Board; Chungnam National University Hospital IRB; Comitato Etico Della Fondazione IRCCS Fondazione IRCCS Istituto Nazionale dei Tumori; Comitato Etico Istituto Nazionale dei Tumori—IRCCS Fondazione Pascale; Comitato Etico Regione Toscana Area Vasta Sud-Est—Sezione di Arezzo Segreteria C.E.A.V.S.E. Az. USL Toscana Sud Est; Comité de Protection des Personnes Est 1; Commissie Medische Ethiek GZA; Communal non profit enterprise Regional Clinical Oncology Center; Institutional Review Board, National Cheng Kung University Hospital; Ivanovo Regional Oncology Dispensary; Komisja Bioetyczna Przy Okręgowej Izbie Lekarskiej W Warszawie; Kyiv City Clinical Oncology Center; Macquarie University Human Research Ethics Committee. Medical Sciences; Meir Hospital IRB-Committee; MI Dnipr Regional Clinical Hospital named after I.I. Mechnikov; MI Odessa Regional Oncological Centre; National Medical Research Radiological Centre; NSLHD Human Research Ethics Committee; Ontario Cancer Research Ethics Board; Pokrovskaya City Hospital IRB/IEC; Rabin Medical Center IRB-Committee; Rambam Health Care Campus; Russian Scientific Center of Roentgenoradiology IRB/IEC; Ryazan Regional Clinical Oncology Dispensary; Samsung Medical Center IRB/IEC; Seoul National University Hospital, IRB Biomedical Research Institute; Severance Hospital Institutional Review Board; Sheba Medical Center EC; Soroka Medical Center Yitzchak Rager Avenue Helsinki Committee; Stichting BEBO—Dup1; Taipei Veterans General Hospital Institutional Review Board 2; University of Tsukuba Hospital Institutional Review Board; US Oncology, Inc. IRB). All patients provided written informed consent before initiating treatment.
Not applicable.

Competing interests

AN has received honoraria from Roche, Merck, AstraZeneca, Janssen, Bristol-Myers Squibb, and Foundation Medicine; served in a consulting or advisory role for Merck, Roche, Bayer, Astra Zeneca, Clovis Oncology, Janssen, Incyte, Seattle Genetics/Astellas, Bristol-Myers Squibb, Rainier Therapeutics, GlaxoSmithKline, and Ferring; received research funding to the institution from Merck, AstraZeneca, and Ipsen; received support for travel/accommodations/expenses from Merck, AstraZeneca, and Ipsen, and declares spousal employment and stock ownership with Bayer. MSVdH has received funding to the institute from AstraZeneca, Bristol-Myers Squibb, Roche; served in an advisory role for AstraZeneca, Bristol-Myers Squibb, Roche, Seattle Genetics, MSD/Merck & Co., Inc., Janssen and Astellas, all paid to institute. DT reports no conflicts of interest to disclose. AP has served in an advisory role for AstraZeneca, Bristol-Myers Squibb, Roche, MSD/Merck & Co., Janssen, Pfizer, Teva, Astellas, Bayer, and Eisai. HG received honoraria from Pfizer; served in a consulting or advisory role for Pfizer, Ipsen, Bristol-Myers Squibb, AstraZeneca, Janssen-Cilag, Merck Sharp & Dohme, and Roche; and has received support for travel/accommodations from AstraZeneca. BYA received personal fees for consulting, advisory boards, lectures and personal grants and institutional grants for trials from Astrazeneca, Astellas, Bayer, BMS, Eisai, Ferring, Janssen, Ipsen, Merck, MSD, Pfizer, Roche, and Sanofi. FXP is an advisory board member for Bayer and Janssen. RL has served in a consulting/advisory role for Pfizer, Bristol-Myers Squibb, MSD, Roche, Isotopia, AstraZeneca, Bayer, Astellas, and Janssen. MDS reports consulting for Amgen, Astellas, AstraZeneca, Basilea, Bayer, Bioclin, BMS, EISAI, ESSA, Ferring, Immunomedics, Ipsen, Janssen, MSD, Merck & Co., Inc., Novartis, Pfizer, Pierre Fabre Oncology, Roche, Sandoz, Sanofi, and SeaGen. PG reports consulting to 4D Pharma, Aadi Bioscience, Asieris Pharmaceuticals, Astellas Pharma, AstraZeneca, BostonGene, Bristol Myers Squibb, CG Oncology, Dyania Health, Exelixis, Fresenius Kabi, G1 Therapeutics, Genentech, Gilead Sciences, Guardant Health, ImmunityBio, Infinity Pharmaceuticals, Janssen, Lucence, Mirati Therapeutics, MSD, Pfizer, PureTech, Regeneron, Roche, Seattle Genetics, Silverback Therapeutics, Strata Oncology, QED Therapeutics, Merck KGaA, and UroGen Pharma; his institution has received research funding from Bavarian Nordic, Bristol Myers Squibb, Clovis Oncology, Debiopharm Group, G1 Therapeutics, Gilead Sciences, GlaxoSmithKline, Mirati Therapeutics, MSD, Pfizer, QED Therapeutics, and Merck KGaA. JC and MM are salaried employees of and own stock in Incyte Corporation. RK and CJ are salaried employees of and own stock in Merck & Co., Inc. AVB reports consulting/advisory roles for Genentech, Incyte, Janssen, Merck & Co., Inc., Pfizer, AstraZeneca/Medimmune, Nektar, Seattle Genetics, and Immunomedics; contracted research for Genentech (institution), Merck & Co., Inc. (institution), AstraZeneca/Medimmune (institution), Nektar, Seattle Genetics (institution), and Immunomedics (institution); speaking engagements for Genentech, Merck & Co., Inc., and AstraZeneca/Medimmune; steering and/or scientific advisory committee membership for Merck & Co., Inc., and Nektar; and equity and scientific advisory board membership for EpiVax Oncology. RdW reports consulting/advisory roles for Merck, Sanofi, Astellas, Bayer, and Janssen; speaker fees from Merck and Sanofi; and research grants (institution) from Sanofi and Bayer.
Open AccessThis article is licensed under a Creative Commons Attribution 4.0 International License, which permits use, sharing, adaptation, distribution and reproduction in any medium or format, as long as you give appropriate credit to the original author(s) and the source, provide a link to the Creative Commons licence, and indicate if changes were made. The images or other third party material in this article are included in the article's Creative Commons licence, unless indicated otherwise in a credit line to the material. If material is not included in the article's Creative Commons licence and your intended use is not permitted by statutory regulation or exceeds the permitted use, you will need to obtain permission directly from the copyright holder. To view a copy of this licence, visit http://creativecommons.org/licenses/by/4.0/. The Creative Commons Public Domain Dedication waiver (http://creativecommons.org/publicdomain/zero/1.0/) applies to the data made available in this article, unless otherwise stated in a credit line to the data.

Publisher’s Note

Springer Nature remains neutral with regard to jurisdictional claims in published maps and institutional affiliations.
Download
Titel
Pembrolizumab plus either epacadostat or placebo for cisplatin-ineligible urothelial carcinoma: results from the ECHO-307/KEYNOTE-672 study
Verfasst von
Andrea Necchi
Michiel S. Van der Heijden
Dmytro Trukhin
Avivit Peer
Howard Gurney
Boris Y. Alekseev
Francis X. Parnis
Raya Leibowitz
Maria De Santis
Petros Grivas
Jason Clark
Mihaela Munteanu
Ritesh Kataria
Calvin Jia
Arjun V. Balar
Ronald de Wit
Publikationsdatum
01.07.2024
Verlag
BioMed Central
Erschienen in
BMC Cancer / Ausgabe Sonderheft 1/2024
Elektronische ISSN: 1471-2407
DOI
https://doi.org/10.1186/s12885-023-10727-3
1.
Zurück zum Zitat Powles T, Park SH, Voog E, Caserta C, Valderrama BP, Gurney H, et al. Avelumab maintenance therapy for advanced or metastatic urothelial carcinoma. N Engl J Med. 2020;383(13):1218–30.CrossRefPubMed
2.
Zurück zum Zitat Avelumab [package insert]. Rockland: EMD Serono, Inc.; 2020.
3.
Zurück zum Zitat Galsky MD, Balar AV, Black PC, et al. Society for Immunotherapy of Cancer (SITC) clinical practice guideline on immunotherapy for the treatment of urothelial cancer. J Immunother Cancer. 2021;9:e002552. https://doi.org/10.1136/jitc-2021-002552.
4.
Zurück zum Zitat Galsky MD, Hahn NM, Rosenberg J, Sonpavde G, Hutson T, Oh WK, et al. Treatment of patients with metastatic urothelial cancer “unfit” for cisplatin-based chemotherapy. J Clin Oncol. 2011;29(17):2432–8.CrossRefPubMed
5.
Zurück zum Zitat Bellmunt J, Mottet N, De Santis M. Urothelial carcinoma management in elderly or unfit patients. EJC Suppl. 2016;14(1):1–20.CrossRefPubMedPubMedCentral
6.
Zurück zum Zitat European Association of Urology Guidelines. Muscle-invasive and metastatic bladder cancer. https://uroweb.org/guideline/bladder-cancer-muscle-invasive-and-metastatic/. Accessed 15 Apr 2020.
7.
Zurück zum Zitat ESMO Guidelines Committee. eUpdate – bladder cancer treatment recommendations. 2019. https://www.esmo.org/guidelines/genitourinary-cancers/bladder-cancer/eupdate-bladder-cancer-treatment-recommendations2. Accessed 23 Jan 2020.
8.
Zurück zum Zitat Necchi A, Pond GR, Raggi D, Giannatempo P, Vogelzang NJ, Grivas P, et al. Efficacy and safety of gemcitabine plus either taxane or carboplatin in the first-line setting of metastatic urothelial carcinoma: a systematic review and meta-analysis. Clin Genitourin Cancer. 2017;15(1):23-30.e2.CrossRefPubMed
9.
Zurück zum Zitat Galsky MD, Chen GJ, Oh WK, Bellmunt J, Roth BJ, Petrioli R, et al. Comparative effectiveness of cisplatin-based and carboplatin-based chemotherapy for treatment of advanced urothelial carcinoma. Ann Oncol. 2012;23(2):406–10.CrossRefPubMed
10.
Zurück zum Zitat Balar AV, Galsky MD, Rosenberg JE, Powles T, Petrylak DP, Bellmunt J, et al. Atezolizumab as first-line treatment in cisplatin-ineligible patients with locally advanced and metastatic urothelial carcinoma: a single-arm, multicentre, phase 2 trial. Lancet. 2017;389(10064):67–76.CrossRefPubMed
11.
Zurück zum Zitat Balar AV, Castellano D, O’Donnell PH, Grivas P, Vuky J, Powles T, et al. First-line pembrolizumab in cisplatin-ineligible patients with locally advanced and unresectable or metastatic urothelial cancer (KEYNOTE-052): a multicentre, single-arm, phase 2 study. Lancet Oncol. 2017;18(11):1483–92.CrossRefPubMed
12.
Zurück zum Zitat O’Donnell PH, Balar AV, Vuky J, Castellano DE, Bellmunt J, Powles T, et al. KEYNOTE-052: Phase 2 study evaluating first-line pembrolizumab (pembro) in cisplatin-ineligible advanced urothelial cancer (UC)— Updated response and survival results. J Clin Oncol. 2019;37(15_suppl):4546–4546.CrossRef
13.
Zurück zum Zitat Quezada SA, Peggs KS. Exploiting CTLA-4, PD-1 and PD-L1 to reactivate the host immune response against cancer. Br J Cancer. 2013;108(8):1560–5.CrossRefPubMedPubMedCentral
14.
Zurück zum Zitat Taylor MW, Feng GS. Relationship between interferon-gamma, indoleamine 2,3-dioxygenase, and tryptophan catabolism. FASEB J. 1991;5(11):2516–22.CrossRefPubMed
15.
Zurück zum Zitat Mellor AL, Munn DH. IDO expression by dendritic cells: tolerance and tryptophan catabolism. Nat Rev Immunol. 2004;4(10):762–74.CrossRefPubMed
16.
Zurück zum Zitat Okamoto A, Nikaido T, Ochiai K, Takakura S, Saito M, Aoki Y, et al. Indoleamine 2,3-dioxygenase serves as a marker of poor prognosis in gene expression profiles of serous ovarian cancer cells. Clin Cancer Res. 2005;11(16):6030–9.CrossRefPubMed
17.
Zurück zum Zitat Ino K, Yoshida N, Kajiyama H, Shibata K, Yamamoto E, Kidokoro K, et al. Indoleamine 2,3-dioxygenase is a novel prognostic indicator for endometrial cancer. Br J Cancer. 2006;95(11):1555–61.CrossRefPubMedPubMedCentral
18.
Zurück zum Zitat Tsai YS, Jou YC, Tsai HT, Cheong IS, Tzai TS. Indoleamine-2,3-dioxygenase-1 expression predicts poorer survival and up-regulates ZEB2 expression in human early stage bladder cancer. Urol Oncol. 2019;37(11):810.e17-810.e27.CrossRefPubMed
19.
Zurück zum Zitat Holmgaard RB, Zamarin D, Munn DH, Wolchok JD, Allison JP. Indoleamine 2,3-dioxygenase is a critical resistance mechanism in antitumor T cell immunotherapy targeting CTLA-4. J Exp Med. 2013;210(7):1389–402.CrossRefPubMedPubMedCentral
20.
Zurück zum Zitat Takada K, Kohashi K, Shimokawa M, Haro A, Osoegawa A, Tagawa T, et al. Co-expression of IDO1 and PD-L1 in lung squamous cell carcinoma: potential targets of novel combination therapy. Lung Cancer. 2019;128:26–32.CrossRefPubMed
21.
Zurück zum Zitat Xu-Monette ZY, Xiao M, Au Q, Padmanabhan R, Xu B, Hoe N, et al. Immune profiling and quantitative analysis decipher the clinical role of immune-checkpoint expression in the tumor immune microenvironment of DLBCL. Cancer Immunol Res. 2019;7(4):644–57.CrossRefPubMed
22.
Zurück zum Zitat Rosenbaum MW, Gigliotti BJ, Pai SI, Parangi S, Wachtel H, Mino-Kenudson M, et al. PD-L1 and IDO1 are expressed in poorly differentiated thyroid carcinoma. Endocr Pathol. 2018;29(1):59–67.CrossRefPubMedPubMedCentral
23.
Zurück zum Zitat Spranger S, Spaapen RM, Zha Y, Williams J, Meng Y, Ha TT, Gajewski TF. Up-regulation of PD-L1, IDO, and T(regs) in the melanoma tumor microenvironment is driven by CD8(+) T cells. Sci Transl Med. 2013;5(200):200ra116.CrossRefPubMedPubMedCentral
24.
Zurück zum Zitat Spranger S, Koblish HK, Horton B, Scherle PA, Newton R, Gajewski TF. Mechanism of tumor rejection with doublets of CTLA-4, PD-1/PD-L1, or IDO blockade involves restored IL-2 production and proliferation of CD8(+) T cells directly within the tumor microenvironment. J Immunother Cancer. 2014;2:3.CrossRefPubMedPubMedCentral
25.
Zurück zum Zitat Beatty GL, O’Dwyer PJ, Clark J, Shi JG, Bowman KJ, Scherle PA, et al. First-in-human phase I study of the oral inhibitor of indoleamine 2,3-dioxygenase-1 epacadostat (INCB024360) in patients with advanced solid malignancies. Clin Cancer Res. 2017;23(13):3269–76.CrossRefPubMedPubMedCentral
26.
Zurück zum Zitat Smith DC, Gajewski T, Hamid O, Wasser JS, Olszanski AJ, Patel SP, et al. Epcadostat plus pembrolizumab in patients with advanced urothelial carcinoma: preliminary phase I/II results of ECHO-202/KEYNOTE-037. J Clin Oncol. 2017;35(15_suppl):4503–4503.CrossRef
27.
Zurück zum Zitat Eisenhauer EA, Therasse P, Bogaerts J, Schwartz LH, Sargent D, Ford R, et al. New response evaluation criteria in solid tumours: revised RECIST guideline (version 1.1). Eur J Cancer. 2009;45(2):228–47.CrossRefPubMed
28.
Zurück zum Zitat Long GV, Dummer R, Hamid O, Gajewski TF, Caglevic C, Dalle S, et al. Epacadostat plus pembrolizumab versus placebo plus pembrolizumab in patients with unresectable or metastatic melanoma (ECHO-301/KEYNOTE-252): a phase 3, randomised, double-blind study. Lancet Oncol. 2019;20(8):1083–97.CrossRefPubMed
29.
Zurück zum Zitat Jung KH, LoRusso P, Burris H, Gordon M, Bang YJ, Hellmann MD, et al. Phase I study of the indoleamine 2,3-dioxygenase 1 (IDO1) inhibitor navoximod (GDC-0919) administered with PD-L1 Inhibitor (atezolizumab) in advanced solid tumors. Clin Cancer Res. 2019;25(11):3220–8.CrossRefPubMedPubMedCentral
30.
Zurück zum Zitat Luke JJ, Tabernero J, Joshua A, Desai J, Varga AI, Moreno V, Gomez-Roca CA, Markman B, De Braud FG, Patel SP, et al. BMS-986205, an indoleamine 2, 3-dioxygenase 1 inhibitor (IDO1i), in combination with nivolumab (nivo): Updated safety across all tumor cohorts and efficacy in advanced bladder cancer (advBC). J Clin Oncol. 2019;37(7_suppl):358–358.CrossRef
31.
Zurück zum Zitat Smith M, Newton R, Owens S, Gong X, Tian C, Malesk J, Leopold L. Retrospective pooled analysis of epacadostat clinical studies identifies doses required for maximal pharmacodynamic effect in anti-PD-1 combination studies. J ImmunoTherapy Cancer. 2020;8(suppl 3):Abstract 28.
32.
Zurück zum Zitat Eynde BJVd, Baren Nv, Baurain JF. Is there a clinical future for IDO1 inhibitors after the failure of epacadostat in melanoma? Ann Rev Cancer Biol. 2020;4(1):241–56.CrossRef
33.
Zurück zum Zitat Hahn NM, Chang S, Meng M, Shore ND, Konety BR, Steinberg GD, Gschwend J, Nishiyama H, Palou J, Taylor JA, et al. A phase II, randomized study of nivolumab (NIVO), NIVO plus linrodostat mesylate, or NIVO plus intravesical bacillus Calmette-Guerin (BCG) in BCG-unresponsive, high-risk, nonmuscle invasive bladder cancer (NMIBC): CheckMate 9UT. J Clin Oncol. 2020;38(15_suppl):TPS5090–TPS5090.CrossRef
34.
Zurück zum Zitat Powles T, van der Heijden MS, Castellano D, Galsky MD, Loriot Y, Petrylak DP, et al. Durvalumab alone and durvalumab plus tremelimumab versus chemotherapy in previously untreated patients with unresectable, locally advanced or metastatic urothelial carcinoma (DANUBE): a randomised, open-label, multicentre, phase 3 trial. Lancet Oncol. 2020;S1470–2045(20):30541–6.
35.
Zurück zum Zitat Alva A, Csőszi T, Ozguroglu M, Matsubara N, Geczi L, Cheng SY, et al. LBA23 Pembrolizumab (P) combined with chemotherapy (C) vs C alone as first-line (1L) therapy for advanced urothelial carcinoma (UC): KEYNOTE-361. Ann Oncol. 2020;31:S1155.
36.
Zurück zum Zitat Galsky MD, Arija JÁA, Bamias A, Davis ID, De Santis M, Kikuchi E, et al. Atezolizumab with or without chemotherapy in metastatic urothelial cancer (IMvigor130): a multicentre, randomised, placebo-controlled phase 3 trial. Lancet. 2020;395(10236):1547–57.CrossRefPubMed

Neu im Fachgebiet Onkologie

Oligometastasiertes Mammakarzinom: Was bringen invasive Lokaltherapien?

Falls invasive lokalregionale Maßnahmen bei einem neudiagnostizierten oligometastasierten Mammakarzinom erwogen werden, könnte es prognostisch womöglich günstig sein, (auch) den Primarius zu resezieren. Dafür spricht zumindest eine retrospektive Kohortenstudie aus den USA. Allerdings bleiben viele Fragen offen.

Adnexläsion zufällig im CT entdeckt? Die Befundung fällt selbst Fachleuten schwer!

Ist eine Läsion benigne oder maligne? Und um welche Art handelt es sich genau? Ergebnisse einer kleinen US-Studie zu inzidentellen CT-Befunden sprechen dafür, dass sich auch Expertinnen und Experten bei Adnex-Auffälligkeiten häufig uneins sind – und einige maligne Läsionen verkennen.

Real-World Daten bestätigen Nivolumab bei Kopf-Hals-Tumoren

In der nicht-interventionellen Real-World-Studie HANNA wurde Nivolumab bei Menschen mit rezidiviertem oder metastasiertem Plattenepithelkarzinom der Kopf-Hals-Region in verschiedenen Therapielinien geprüft. Ein Kollege präsentierte auf dem diesjährigen Krebskongress in Berlin die finalen Daten.

Wie Mikrobiom und Komedikation Immuntherapien beeinflussen

Die Effektivität von Checkpoint-Inhibitoren wird unter anderem durch das Mikrobiom und Komedikationen beeinflusst. Wie Ballaststoffe wirken und welche Medikamente man nicht zusammen mit der Immuntherapie geben sollte, zeigten eine Kollegin und ein Kollege auf dem DKK in Berlin auf.

Update Onkologie

Bestellen Sie unseren Fach-Newsletter und bleiben Sie gut informiert.

Bildnachweise
Radiologie-Assistent bereitet Frau für CT vor/© Peakstock/stock.adobe.com (Symbolbild mit Fotomodellen), Plattenepithelkarzinom/© Springer Medizin Verlag GmbH, Frau bereitet Müsli auf Waage zu/© DragonImages / Stock.adobe.com (Symbolbild mit Fotomodell)