Zum Inhalt

Polyphenolic protection: the role of mangiferin in mitigating neurodegeneration and neuroinflammation

  • Open Access
  • 22.07.2025
  • Review
Erschienen in:

Abstract

Mangiferin, a polyphenol of natural occurrence predominantly present in Mangifera indica, has attracted significant interest because of its multiplicity of pharmacological activities, of which its neuroprotective activity is of particular interest. Herein, the review delves into the biosynthetic mechanisms, structural properties, and action mechanisms responsible for the therapeutic value of mangiferin in neurological disorders. Of special note is that mangiferin has antioxidative, anti-inflammatory, and anti-apoptotic activities, which are responsible for its effectiveness in reducing cognitive impairments and neuronal damage in disorders such as Alzheimer’s disease, Parkinson’s disease, Huntington’s disease, stroke, epilepsy, depression, anxiety, and general cognitive decline. Though being of low bioavailability, more recent approaches such as chemical derivatization, nanoparticle-mediated drug delivery, and intranasal delivery have the promise to enhance its central nervous system (CNS) delivery. By combining preclinical and mechanistic studies, the review herein highlights the potential of mangiferin as a multitherapeutic neuroprotectant and addresses new approaches to facilitate its clinical application.

Publisher's Note

Springer Nature remains neutral with regard to jurisdictional claims in published maps and institutional affiliations.

Introduction

Neurodegenerative diseases and psychiatric disorders are the chief causes of worldwide health morbidity due to their complex pathogenesis and limited curative therapies (Gadhave et al. 2024). Oxidative stress, neuroinflammation, and mitochondrial dysfunctions form the core of their etiology. Due to this fact, multitarget neuroprotective natural compounds have become more prominent, Mangiferin (Abbas et al. 2025), which is a glucosylxanthone with most of its origins in Mangifera indica, has exhibited considerable pharmacological activity in an extensive range of biological platforms (Zivković et al. 2024).
With an xanthone skeleton possessing a number of hydroxyl groups and an attached glucose unit, mangiferin possesses numerous effects like antioxidant, anti-inflammatory, antidiabetic, anticancer, and neuroprotective activities (Zivković et al. 2024). This has been proven by huge experimental evidence with in vitro and in vivo models of Alzheimer’s, Parkinson’s, Huntington’s disease, stroke, epilepsy, and mood disorders. Its capacity to regulate multiple key molecular pathways such as NF-κB, NLRP3 inflammasome, PI3K/Akt, and Nrf2/ARE further establishes its therapeutic value (Zhang et al. 2024b).
Nonetheless, clinical translation of mangiferin is obfuscated by its poor bioavailability with limited solubility and complete metabolism (Zivković et al. 2024). Thus, there is a need for the design of new delivery systems and chemical analogs to maximize its complete neurotherapeutic potential. In this review, it is hoped that current evidence of the neuroprotective effects of mangiferin will be synthesized and the avenues for future research mapped out in CNS disorders (Ehianeta et al. 2016).

Biosynthesis of mangiferin

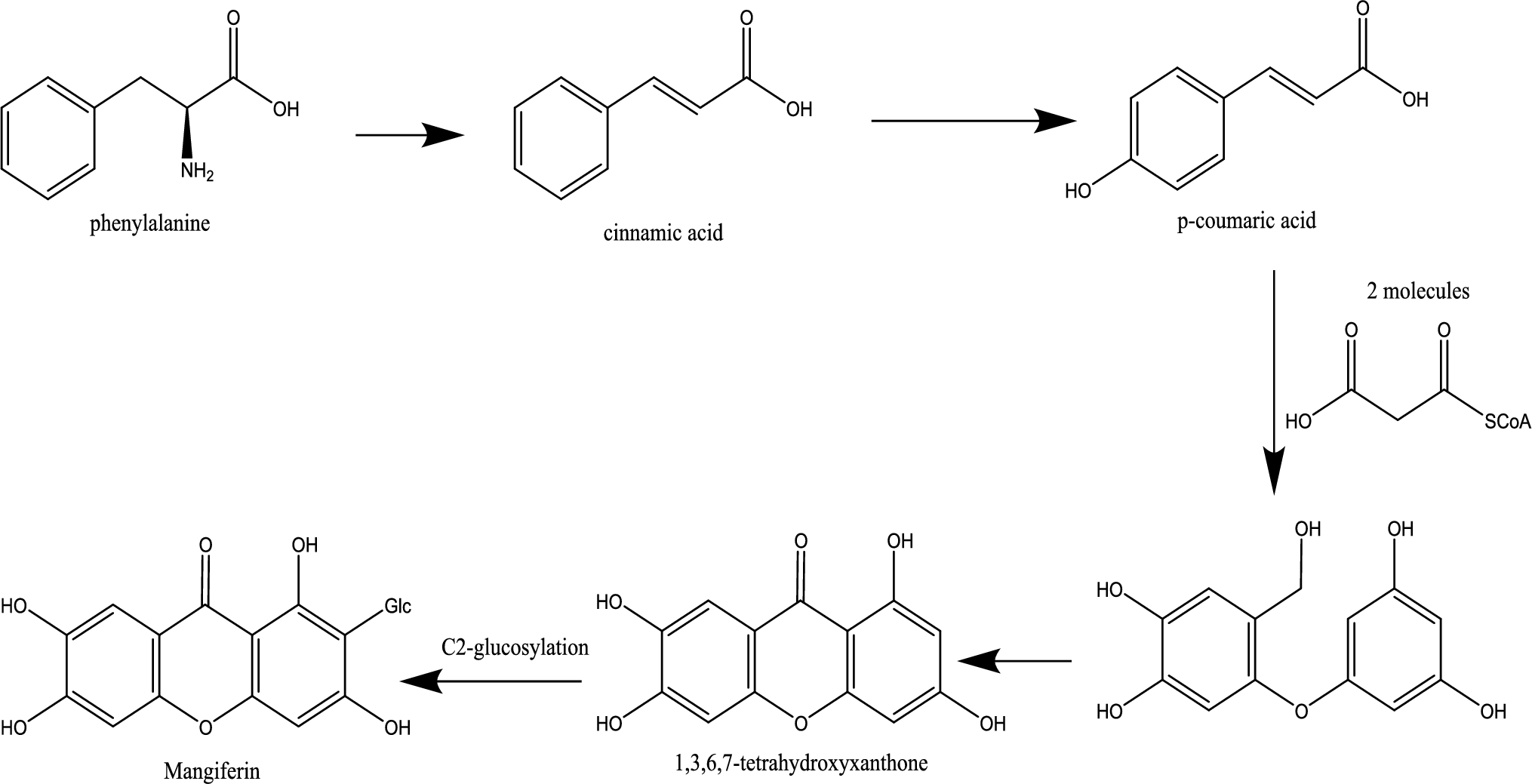
Mangiferin is a glucosylxanthone. Biosynthesis of mangiferin occurs by the synthesis of xanthone aglycone and glycosylation of xanthone core with a glucose moiety. xanthones are present in lower and higher plants as well as fungi and lichens. The biogenesis of these compounds varies according to the oxygenation pattern. This biosynthesis was derived from a combination of the shikimic acid pathway and acetate-malonate polyketide pathway (Remali et al. 2022). In more detail, it was assumed that the acetate-malonate polyketide pathway produced ring A, while the shikimic acid pathway supplied ring B (Peres et al. 2000; Dutta et al. 2023). First, the phenylalanine ammonia-lyase (PAL) catalyzes the conversion of phenylalanine to cinnamic acid. The cinnamic acid further generates p-coumaric acid then caffeic acid. The 1,3,6,7-tetrahydroxyxanthone, norathyriol, is more likely to be produced when maclurin directs phenolic oxidative coupling between the OH at the C2 position of the benzophenone ring A and the C6` of the benzophenone ring B. This condensation between shikimate and acetate-derived moieties forms the benzophenone intermediate (Ehianeta et al. 2016).
This biogenetic route of mangiferin was confirmed by a retrobiosynthetic approach using the aerial parts of Anemarrhena asphodeloides. This method based on feeding 14C-labeled shikimate and malonate derivatives (López-Cárdenas et al. 2023). According to the data, maclurin is the biogenetic precursor of norathyriol, which is produced by the condensation of a C6-C3 shikimate precursor with two molecules of malonate in a convergent manner (Fujita and Inoue 1980a). Three observations further bolstered this proposal: (a) commercial maclurin contains norathyriol as an impurity; (b) maclurin undergoes chemical or photochemical oxidation to produce norathyriol in vitro; and (c) maclurin and norathyriol have previously been isolated from Symphonia globulifera heartwood (Fujita and Inoue 1981). Moreover, this proposal confirmed by another evidence using a method based on the oxidation of maclurin into norathyriol by direct yeast catalyst. The result strongly suggests that direct phenolic oxidative coupling of maclurin produced norathyriol. The glycosylation of xanthone was investigated to predict the introduction of a glucose unit was occurred at which stage of the biosynthetic pathway maclurin or norathyriol (Fujita and Inoue 1980b). According to experiments, C-glucosylation took place at the maclurin stage before norathyriol was formed (Tanaka et al. 1984). Consequently, these results showed that 3-C-glucosylmaclurin is a possible intermediate in the biosynthesis of mangiferin as well as other related C-glucosylxanthones. Indeed, phenolic oxidative ring closure of 3-C-glucosylmaclurin can provide four isomeric C-glucosylxanthones: mangiferin, isomangiferin, 1,3,5,6-tetrahydroxy-2-C-glucoside and 1,3,5,6-tetrahydroxy-4-C-glucoside. This biosynthetic route can explain the cooccurrence of mangiferin and isomangiferin with 1,3,5,6-tetrahydroxyxanthone-C-glucosides as well as the formation of homomangiferin by 3-O-methylation of mangiferin in a later stage (Ghosal and Chaudhuri 1973) (Fig. 1).
Fig. 1
Biosynthesis pathway of mangiferin
Bild vergrößern

Structure-activity relationship of mangiferin

The structure–activity relationship (SAR) of mangiferin has been extensively investigated owing to its diverse pharmacological activities, which include antioxidant, anti-inflammatory, antidiabetic, anticancer, and neuroprotective effects (Imran et al. 2017). These activities are associated with its structure, as the backbone of mangiferin is a xanthone, characterised by a tricyclic aromatic system with a dibenzo-γ-pyrone configuration. Additionally, a C-glucosyl linkage is present at position 2 of the xanthone ring, accompanied by four hydroxyl groups on the aromatic rings at positions 1, 3, 6, and 7 (Benard and Chi 2015). The quantity and arrangement of hydroxyl groups are essential for its antioxidant and radical scavenging efficacy. Particularly, hydroxyl groups at positions 1 and 3 play a crucial role in metal chelation and the neutralisation of reactive oxygen species (ROS) (Kaurav et al. 2023). C-Glucosylation at C2 enhances stability against hydrolysis. β-D-glucose improves aqueous solubility and bioavailability. The elimination or modification of the glucose unit frequently diminishes anti-inflammatory and antiviral efficacy (Ain et al. 2023). The planar aromatic xanthone core is crucial for DNA intercalation, which is pertinent to anticancer efficacy. Derivatives in which this core is altered or disrupted forfeit their significant biological features (Benard and Chi 2015). The methylation or acylation of hydroxyl groups can modify lipophilicity, possibly enhancing cellular permeability, but frequently diminishes activity. The antioxidant activity diminished when the hydroxyl groups in the glucose or norathyriol moieties were subjected to methylation or acetylation. The antioxidant efficacy of norathyriol is highly contingent upon its hydroxyl groups. The antioxidant capabilities are decreased when –OH groups are methylated or acetylated at the C3, C6, and C7 positions. Only R7 requires modification to –COCH = CH-C6H5 to substantially diminish the antioxidant capabilities (Dar et al. 2005). The data indicate that the –OH groups are essential for antioxidant activities, suggesting that metal chelation significantly contributes to the actions of mangiferin. The ability to form stable mangiferin-Fe2 + /Fe3 + complexes prevents lipid peroxidation and the Fenton reaction. Mangiferin exhibited antidiabetic properties via many pathways. These pathways encompass the enhancement of β-cell proliferation, pancreatic islet regeneration, and the healing of severe islet damage induced by STZ. The esterification of the –OH groups of MGF with –COCH₃, –COCH₂CH₃, and –COCH₂CH₂CH₃ enhanced the pharmacophore’s capacity to restore injured islets and doubled the hypoglycemic effects (Klaman et al. 2000). Another mechanism involves the suppression of protein-tyrosine phosphatase 1B (PTP1B), which significantly promotes the dephosphorylation of the active insulin receptor, hence diminishing insulin signalling (Elchebly et al. 1999). Replacing hydroxyl groups at the C3, C6, and C7 positions with (CH2)9 CH3 results in a derivative that demonstrated 100% inhibition of PTP1B at 50 μM (Xue-Jian et al. 2013). This signifies a substantial improvement, given that the parent MGF inhibited just 24.07% of PTP1B activity at 500 μM (Hu et al. 2007). The dimerization of mangiferin enhanced its antiviral activity relative to the parent mangiferin (Abdel-Mageed et al. 2014). The antipyretic efficacy of mangiferin was marginally enhanced by exchanging 5-H with 5-CH₂R (R = diphenylamine) (Singh et al. 2011).

Distribution of mangiferin

Mangiferin (Table 1) is mainly derived from Mangifera indica, but it can also be obtained from a variety of other plants (Jyotshna et al. 2016).
Table 1
Distribution of mangiferin
Plant name
Family
Part used
Amount
Method used
Refs
Mangifera indica (XH-2)
Anacardiaceae
Seed Kernel
1.04 mg/g
HPLC
Luo et al., (2012)
Mangifera indica (XH-2)
Anacardiaceae
Peel
0.67 mg/g
HPLC
Luo et al., (2012)
Mangifera indica (ZHM)
Anacardiaceae
Peel Seed Kernel
7.34 mg/g, 2.43 mg/g
HPLC, HPLC
Luo et al., (2012)
Mangifera indica (LPM)
Anacardiaceae
Peel Seed Kernel
7.49 mg/g, 0.67 mg/g
HPLC, HPLC
Luo et al., (2012)
Mangifera indica
Anacardiaceae
(leaves) The Thawai cultivar leaves. The Namdokmai,
1.94 ± 0.13–13.79 ± 0.84% dry wt
ELISA
Yusakul et al., (2012)
Mangifera indica Dashahri
Anacardiaceae
Mangiferin content in hot methanolic extract from dry leaves
13.48%
HPLC
Saxena et al., (2024)
Mangifera indica Dashahri
Anacardiaceae
Mangiferin content in dry leaves
2.34%
HPLC
Saxena et al., (2024)
Mangifera indica Chausa
Anacardiaceae
Mangiferin content in hot methanolic extract from dry leaves
13.22%
HPLC
Saxena et al., (2024)
Mangifera indica Chausa
Anacardiaceae
Mangiferin content in dry leaves
3.00%
HPLC
Saxena et al., (2024)
Mangifera indica Langra
Anacardiaceae
Mangiferin content in hot methanolic extract from dry leaves
9.20%
HPLC
Saxena et al., (2024)
Mangifera indica Langra
Anacardiaceae
Mangiferin content in dry leaves
0.96%
HPLC
Saxena et al., (2024)
Mangifera indica Lucknow safeda
Anacardiaceae
Mangiferin content in hot methanolic extract from dry leaves
11.48%
HPLC
Saxena et al., (2024)
Mangifera indica Lucknow safeda
Anacardiaceae
Mangiferin content in dry leaves
1.36%
HPLC
Saxena et al., (2024)
Mangifera indica Gola
Anacardiaceae
Mangiferin content in hot methanolic extract from dry leaves
12.70%
HPLC
Saxena et al., (2024)
Mangifera indica Gola
Anacardiaceae
Mangiferin content in dry leaves
1.46%
HPLC
Saxena et al., (2024)
Cyclopia intermedia
Fabaceae
Aerial parts
1.69 g per 100 g
RP-HPLC
Joubert et al., (2003)
Cyclopia maculata
Fabaceae
Aerial parts
1.63 g per 100 g
RP-HPLC
Joubert et al., (2003)
Cyclopia sessiliflora
Fabaceae
Aerial parts
1.04 g per 100 g
RP-HPLC
Joubert et al., (2003)
Cyclopia genistoides
Fabaceae
Aerial parts
3.61 g per 100 g
RP-HPLC
Joubert et al., (2003)
Swertia franchetiana
Gentianaceae
Whole plant
2.00–6.00 mg/g
HPLC
Kshirsagar et al., (2016)
Swertia mussotti
Gentianaceae
Whole plant
15.10–44.21 mg/g
HPLC
Kshirsagar et al., (2016)
Swertia punicea
Gentianaceae
Whole plant
0.42–8.86 mg/g
HPLC
Kshirsagar et al., (2016)
Swertia chirayita
Gentianaceae
Whole plant
0.69–3.03 mg/g
HPLC
Kshirsagar et al., (2016)
Swertia densifolia
Gentianaceae
Whole plant
6.02 mg/g
HPLC
Kshirsagar et al., (2016)
Canscora perfoliata
Gentianaceae
Whole plant
1.407 ± 0.1%
HPTLC
Deepak et al., (2019)
Aphloia theiformis
Aphloiaceae
leaves
Not specified
HPLC
UPLC–QTOF–MS
Grauzdytė et al., (2020)
Mangiferin is derived primarily from Mangifera indica but is also found in other plants. In Mangifera indica (XH-2), seed kernel contains 1.04 mg/g and peel contains 0.67 mg/g of mangiferin by HPLC quantitation. In the ZHM cultivar of M. indica, 7.34 mg/g is in the peel and 2.43 mg/g in the seed kernel. The LPM cultivar contains 7.49 mg/g in the peel and 0.67 mg/g in the seed kernel, also determined by HPLC (Luo et al. 2012).
Leaves of different cultivars of M. indica have leaves with varying content of mangiferin. The Thawai cultivar, which is rare, has the highest content of 13.79 ± 0.84% dry weight, whereas the Thai cultivar Namdokmai, which is more common, has 12.41 ± 0.60% dry weight. The mangiferin content in leaves of all the cultivars studied ranged from 1.94 ± 0.13 to 13.79 ± 0.84% when measured by ELISA (Yusakul et al. 2012).
Other cultivars such as Dashahri, Chausa, Langra, Lucknow Safeda, and Gola have been quantitated for mangiferin content in hot methanolic extracts and dry leaf state by HPLC. Dashahri yielded 13.48% mangiferin in hot methanolic extracts and 2.34% in dry leaves. Chausa yielded 13.22% in methanolic extract and 3.00% in dry leaves. Langra yielded 9.20% in methanolic extract and 0.96% in dry leaves. Lucknow Safeda yielded 11.48% in extract and 1.36% in dry leaves. Gola exhibited 12.70% in extract and 1.46% in dry leaves (Saxena et al. 2024).
In the genus Cyclopia of the family Fabaceae, aerial parts of C. intermedia, C. maculata, C. sessiliflora, and C. genistoides contain mangiferin content ranging from 1.04 to 3.61 g per 100 g as analyzed by RP-HPLC. Specifically, C. genistoides had the most at 3.61 g/100 g (Joubert et al. 2003).
Within the Gentianaceae family, whole plants of Swertia franchetiana, Swertia mussotti, Swertia punicea, Swertia chirayita, and Swertia densifolia were analyzed by HPLC. Their mangiferin content was quite different: S. franchetiana (2.00–6.00 mg/g), S. mussotti (15.10–44.21 mg/g), S. punicea (0.42–8.86 mg/g), S. chirayita (0.69–3.03 mg/g), and S. densifolia (6.02 mg/g) (Kshirsagar et al. 2016).
The whole plant of Canscora perfoliata (Gentianaceae) contained 1.407 ± 0.1% mangiferin content as approximated by HPTLC. Mangiferin was also found in leaves of Aphloia theiformis (Aphloiaceae), but the quantity was not specified. It was quantified using HPLC and UPLC–QTOF–MS (Kshirsagar et al. 2016).

Effect of mangiferin on neurodegenerative diseases

Mangiferin is considered an effective molecule for different neuro diseases as shown in Fig. 2 and Table 2.
Fig. 2
Pharmacological effect of mangiferin
Bild vergrößern
Table 2
Effect of mangiferin on neurological disorder
Neurological Disorder
Experimental study
In vitro using In vivo on
cell lines animal model
Dose
In vitro In vivo
Mechanism
References
Alzheimer’s disease
Murine BV2 microglial cells
 
50–150 μg/mL
 
↓ NF-κB and NLRP3 signaling pathway
Lei et al., (2021)
 
Male Swiss albino mice
 
(20 and 40 mg/kg, p.o) daily for 21 days
↓cognitive deficits, ↓hippocampal BDNF depletion
Kasbe et al., (2015)
 
Swiss
Albino mice
 
(40, 20 and 10 mg/kg, i.p.) for 14 days
Improve the learning and memory
Hao et al., (2019)
 
Male SAMP8 mice
 
(100 and 200 mg/kg, p.o) daily for 60 days
• Improve learning and memory
• keep hippocampus cell integrity
• ↓reduce brain Aβ accumulation
• ↓brain LPO level
Du et al., (2019)
 
Male Albino mice
 
(10, 20, 40 mg/kg, p.o)
• Improve memory deficits
• ↓AChE
• ↓NF-kB
Jung et al., (2009)
Neuro-2A
Male sprague–dawley rats
(10 and 20 μg/ml)
50 and 100 mg/kg p.o
• ↓AChE
• ↓5-LOX
Sethiya and Mishra, (2014)
 
APPswe/PS1d9 (APP/PS1) mice
 
50 mg/kg/day
Orally for 22 weeks
• Improve central pathology
• ↓Cognitive deficits
Infante-Garcia et al., (2017)
Parkinson’s disease
SH-SY5Y cells
   
• ↓oxidative damage
• ↓neuro-inflammation
Zhou et al., (2023)
 
Male C57BL/6 mice
 
(10, 20, 40 mg/kg, p.o) for 14 days
• ↓oxidative stress
• ↓apoptosis
Kavitha et al., (2013)
PC12 cell line
Male C57BL/6 mice
(1 μM, 10 μM, 20 μM, 50 μM, 100 μM)
30 mg/kg/day for 14 days intraperitoneal
• ↓α-synuclein
• ↓AKR1C3
• ↑ Wnt/β-catenin
Huang et al., (2024)
 
Male Wistar rats
 
(15 µg, 30 µg, and 45 µg) for 28 days through the cannula
• ↑ Locomotor activity
• ↓oxidative stress
• ↓inflammatory markers
Tiwari et al., (2021)
 
Wild-type AB zebrafish
 
25, 50, 100 mg/L
• ↓mitochondrial-related oxidative stress
Qin et al., (2024)
 
Male Wistar rats
 
45 μg for 28 days
• Anti-inflammatory
• Anti-parkinsonism
Tiwari et al., (2022)
 
Male Wistar rats
 
45 μg for 28 days
• Anti-inflammatory
• Anti-oxidant
Tiwari et al., (2024a)
 
C57BL/6 mice
 
20 mg/kg
• Recovering mitochondrial ultrastructure
• Enhancing ATP contents
Wang et al., (2022)
N2A cells
 
100 µM
 
• ↓oxidative stress
Amazzal et al., (2007)
SK-N-SH neuroblastoma cell line
 
(2.5, 5, 10, 20 and 40 μg/ml)
 
• ↑mitochondrial membrane potential
• ↓ apoptosis
Kavitha et al., (2014)
PC12 cells
 
20 and 80 μM
 
• ↓oxidative damage
Shi et al., (2017)
Huntington’s disease
 
Mixed-gender Wistar rats
 
(10, 20 mg/kg, p.o.) for 14 days
• ↓oxidative damage
• ↓neuro-inflammation
Lum et al., (2023b)
Cognitive Disorder
 
male Kunming mice
 
50 mg/kg orally for 11 days
• ↓cognitive deficits
• ↓ HO-1
• ↓ IL-6
Fu et al., (2015)
hippocampal neuronal cell line HT22
old male C57/BL6 mice
25–250 µM
40 mg/kg/day intragastrica-lly for 6 weeks
• ↓cognitive deficits
• ↓Tau-associated kinases
Chen et al., (2024)
 
Male Sprague–Dawley rats
 
(15, 30, and 60 mg/kg p.o.) for 8 weeks
• ↑Cognitive performances
• ↓oxidative stress
Liu et al., (2013)
 
male Kunming mice
 
12.5 and 50 mg/kg/day
for 8 weeks
• ↑PI3K/Akt/Nrf2 signaling
• ↓oxidative stress
• ↓Apoptosis
Zhang et al., (2023)
 
Male young Wistar Rats
 
20 and 40 mg/kg for 21 days
• ↓memory and motor deficits
• ↓oxidative damage
• ↓neuro-inflammation
• ↓ BDNF depletion
Arora et al., (2020)
Stroke and Ischemic brain injury
 
Sprague–Dawley rats
 
(50, 100, 200 mg/kg, intragastrically)
• ↓ Oxidative stress
• ↑ PI3K/Akt/mTOR
• ↓ Apoptosis
Xi et al., (2018)
Mouse neuroblastoma (N2a) cells
 
(100 μM)
 
• ↑SIRT1/PGC-1α
• ↓Oxidative stress
• ↓ Apoptosis
Chen et al., (2021)
 
C57BL/6 mice
 
(5, 20 mg/kg, p.o.)
• ↓ NF-κB signalling pathway
Hao et al., (2023)
 
Sprague‒Dawley rats
 
(40 mg/kg, ip)
• Modulation of lipid metabolism
Zhang et al., (2024a)
 
Sprague–Dawley rats
 
(100 mg/Kg)
• ↓ NLRP3-inflammasome
Fan et al., (2017)
Depression
Microglial BV2 cells
Female BALA/c mice
(10,20,40 μM)
(20 and 60 mg/kg, ip)
• ↓ MAPK in microglia
Yan et al., (2022)
 
Swiss mice
 
(40 mg/kg; p.o.)
• ↓ Oxidonitrosative stress
• ↓ IDO activity
Luo et al., (2017)
 
Swiss mice
 
(20, 40 mg/kg, p.o.)
• ↓ Oxidative stress
• ↓ Neuroinflammation
Jangra et al., (2014)
 
Male ICR mice
 
(20, 40 mg/kg, intragastrically)
• ↓NLRP3-inflammasome
• ↓ neuro-inflammation
Cao et al., (2017)
Epilepsy
 
Swiss albino mice
 
(25 mg/kg; p.o.)
• Neurotransmitters modulation
• ↓ Oxidative stress
• ↓ Neuro-inflammation
Li et al., (2024)
Anxiety
 
Swiss mice
 
(40 mg/kg; p.o.)
• ↓ Oxidonitrosative stress
• ↓ IDO activity
Luo et al., (2017)
 
Swiss mice
 
20 and 40 mg/kg, p.o.)
• ↓ Oxidative stress
• ↓ Neuro-inflammation
Jangra et al., (2014)

Effect of mangiferin on alzheimer’s disease

Mangiferin demonstrates anti-neuroinflammatory effects against LPS-induced inflammation via regulating microglial macrophage polarisation and suppressing the NF-κB and NLRP3 signalling pathways. Moreover, mangiferin treatment significantly reduced the production of NO, IL-1β, IL-6, and TNF-α, in addition to decreasing the mRNA and protein expression of iNOS and COX-22 Mangiferin at a dosage of 40 mg/kg alleviated AlCl3-induced neurotoxicity in the hippocampus by inhibiting oxidative-nitrosative stress, inflammation, acetylcholinesterase activity, and preventing the depletion of brain-derived neurotrophic factor, while also reducing cognitive dysfunction resulting from chronic AlCl3 administration (Kasbe et al. 2015). Mangiferin (40, 20, and 10 mg/kg) significantly improved cognitive learning and memory retention. Pre-treatment with Mangiferin restored raised whole brain acetylcholinesterase levels, lipid peroxidation, and reduced glutathione caused by scopolamine and normal ageing. Mangiferin mitigated the increased levels of dopamine and noradrenaline throughout the brain (Biradar et al. 2012). Mangiferin exhibits neuroprotective effects against Aβ owing to its antioxidant and anti-inflammatory mechanisms. Mangiferin significantly elevates dopamine concentrations in the substantia nigra and alleviates the impact of neurotoxins linked to oxidative stress, mitochondrial dysfunction, and apoptosis (Feng et al. 2019). Furthermore, mangiferin has been shown to improve learning and memory in the Morris Water Maze test, maintain hippocampus cell integrity, reduce the accumulation of brain Aβ species, and decrease levels of brain lipid peroxidation (Du et al. 2019). Mangiferin (20 mg/kg) ameliorated long-term cholinergic memory impairments by acetylcholinesterase inhibition or cholinergic receptor stimulation and suppression of NF-kB activation (Jung et al. 2009). Mangiferin may safeguard against β amyloid-induced neurotoxicity in the Neuro 2A brain cell line, while also inhibiting AChE and 5-LOX, demonstrating considerable antioxidant effects and reversing amnesia (Sethiya and Mishra 2014). The oral treatment of mangiferin significantly reduced tau hyperphosphorylation in the cortex and hippocampus. Moreover, inflammatory processes, evaluated via microglial and astrocytic loads, were reduced in mice treated with mangiferin. Moreover, neuronal morphological alterations, such as aberrant neurite curvature and dystrophies, significantly increased in APP/PS1 mice, were substantially ameliorated by extended mangiferin treatment. The reduction of these pathological traits correlated with notable improvements in episodic and spatial memory in APP/PS1 mice treated with mangiferin (Infante-Garcia et al. 2017).

Effect of mangiferin on parkinson’s disease

Mangiferin improved motor function and reduced the activation of microglia and astrocytes in a mouse model of Parkinson’s disease. Mangiferin decreased reactive oxygen species (ROS) levels while augmenting glutathione (GSH) and superoxide dismutase (SOD) concentrations. Mangiferin markedly enhanced the expression of GIT1, p-ERK, Nrf2, HO-1, and SOD, while concurrently inhibiting Keap1 expression, both in vitro and in vivo (Zhou et al. 2023). Furthermore, mangiferin exhibits a therapeutic effect against Parkinson’s disease by regulating GIT1 and its downstream Keap1/Nrf2 pathways (Zhou et al. 2023). Mangiferin mitigated MPTP-induced behavioural deficits, oxidative stress, apoptosis, dopaminergic neuronal degeneration, and dopamine depletion. Thus, the overexpression of the anti-apoptotic Bcl-2 protein and the suppression of the pro-apoptotic Bax by mangiferin have been shown to alleviate the neurotoxicity and apoptosis induced by MPTP (Kavitha et al. 2013). Mangiferin decreased α-synuclein accumulation and suppressed AKR1C3 expression, therefore stimulating the Wnt/β-catenin signaling pathway (Huang et al. 2024). Treatment with mangiferin (45 µg/kg) significantly improves key locomotor activity metrics, reduces oxidative stress, and lowers indications of inflammatory stress. The activity of caspases was reduced, and a significant decrease in the activity of both cyclooxygenase 1 and 2 was observed (Tiwari et al. 2021). Researchers found that mangiferin slowed the progression of Parkinson’s disease in zebrafish by maintaining the homeostatic expression of several genes. By controlling the expression of crucial genes such as lrrk2, vps35, atp13a, dnajc6, and uchl1, mangiferin reduces mitochondrial-related oxidative stress in zebrafish models of Parkinson’s disease (Qin et al. 2024). The levels of pro-inflammatory cytokines, COX-2, total nitrite (NOx), and FOS B are reduced in rats with 6-OHDA lesions when treated with 45 μg of mangiferin and 10 mg/kg of 7-NI, either alone or in combination. Locomotor parameters are also dramatically improved (Tiwari et al. 2022). Additionally, mangiferin therapy decreased myeloperoxidase (MPO) levels and alleviated oxidative stress. Accompanied by a decrease in caspase-3, caspase-9, and COX-2 activity in rats with 6-OHDA lesions (Tiwari et al. 2024a). The substantia nigra of MPTP-induced Parkinson’s disease rats may express more tyrosine hydroxylase, and mangiferin may improve motor impairments. In addition, MGF raised mitochondrial ATP levels and improved mitochondrial ultrastructure. Mitochondrial growth factor (MGF) may influence the levels of Drp1 and other mitophagic proteins including PINK1, Parkin, NIX, BNIP3, FUNDC1, and p62 (Wang et al. 2022). By restoring GSH levels, protecting N2A cells from MPP + -induced cytotoxicity, and lowering mRNA expression of SOD1 and CAT, mangiferin proved crucial. Along with ROS neutralization (Amazzal et al. 2007). Pre-treatment with mangiferin markedly improved cell survival, mitigated the reduction in mitochondrial membrane potential, and diminished rotenone-induced apoptosis in a cellular model of Parkinson’s disease (Kavitha et al. 2014). Mangiferin demonstrates neuroprotective properties against H2O2 neurotoxicity through the activation of Nrf2/ARE signaling in PC12 cells (Shi et al. 2017).

Effect of mangiferin on huntington’s disease

Mangiferin mitigated the histopathological modifications that 3-NP induced in the hippocampus, striatum, and cortex of the brain. Mangiferin’s antioxidant and anti-inflammatory properties appear to protect the brain from oxidative injury and neuroinflammation. Mangiferin demonstrated a significant decrease in brain malondialdehyde (MDA) levels, an increase in reduced glutathione (GSH) levels, and enhanced activities of succinate dehydrogenase (SDH), superoxide dismutase (SOD), and catalase (CAT). Additionally, the levels of tumour necrosis factor-alpha (TNF-α), interleukin-1 beta (IL-1β), and interleukin-6 (IL-6) decreased (Lum et al. 2023b).

Effect of mangiferin on stroke and ischemic brain injury

In fact, Xi et al. (2018) have proposed that mangiferin may have neuroprotective properties in a perinatal hypoxic-ischemic brain injury model in rodents. A study has indicated that mangiferin can enhance the neuroprotective effects of isoflurane. It has been reported that the anti-apoptotic proteins Bcl-2 are significantly increased in co-treatment with mangiferin, while the apoptotic proteins Bad and Bax are decreased. Additionally, apoptosis is suppressed. Additionally, the findings of this investigation have demonstrated the function of mangiferin in the neutralisation of ROS, which mitigates oxidative stress by reducing the production of ROS and the level of MDA. In the interim, the administration of isoflurane and mangiferin resulted in an increase in GSH levels. Furthermore, mangiferin enhances the neuroprotective effects of isoflurane by activating the phosphoinositide 3-kinase (PI3K)/protein kinase B (Akt) signalling pathway. The administration of mangiferin has been reported to increase the expression of mTORC2 and p-mTORC2, resulting in the phosphorylation and activation of Akt. This process then inactivates GSK-3b and NF-κB, thereby contributing to the amelioration of neonatal ischaemic brain injury.
An earlier study has addressed mangiferin as a potential therapy drug for blast-induced traumatic brain injury (Fan et al. 2017). In rodents, mangiferin exhibited anti-inflammatory and anti-oxidant effects by establishing blast-induced traumatic brain injury models. Mangiferin has been demonstrated to reduce brain damage by reducing ROS/TXNIP and thioredoxin (TRX)-interacting protein. This inhibits the activation of the NOD-like receptor family, pyrin domain-containing 3 (NLRP3) inflammasome, which in turn reduces the activated capaspase-1 and contributes to the reduction of IL-1β. Consequently, oxidative stress is alleviated and endogenous antioxidants are enhanced. Furthermore, mangiferin has been reported to have an anti-inflammatory effect by inhibiting the secretion of TNF-α.
Additionally, Hao et al. (2023) have suggested that mangiferin possesses neuroprotective properties against focal cerebral ischaemia. Mangiferin has been demonstrated to mitigate the brain injury caused by a blocked middle cerebral artery in rodents by administering it at concentrations of 5 and 20 mg/kg. This treatment contributes to the improvement of neurological function, the reduction of brain swelling, and the reduction of infarct size. Mangiferin has been shown to suppress neuroinflammation, thereby attenuating focal cerebral ischaemia. Mangiferin has been demonstrated to significantly impede the nuclear expression of NF-κB p65 and the phosphorylation of IκBα, resulting in the suppression of the activation of the NF-κB signalling pathway. In addition, mangiferin has been demonstrated to reduce the expression levels of a variety of inflammatory mediators, such as TNF-α, IL-1β, iNOS, and COX-2.
A prior study has proven the neuroprotective impacts of mangiferin in ischemic stroke rats (Zhang et al. 2024a). It has been reported that mangiferin modulates lipid metabolism, thereby relieving poststroke cognitive impairment.
An earlier study has suggested neuroprotective effects of mangiferin against cerebral hypoxia/reoxygenation brain injury in neuroblastoma cells (Chen et al. 2021). According to reports, mangiferin prevents oxidative stress, apoptosis, and mitochondrial dysfunction via increasing SIRT1/PGC-1 α signalling, which in turn increases the expression of NRF1, UCP2, and Bcl2. On top of that, mangiferin is known to increase Nrf2 expression, a cytoprotective transcription factor that controls the expression of genes like NQO1 and HO-1 that code for antioxidant enzymes and proteins.

Effect of mangiferin on epilepsy

A prior study has illustrated the antiepileptic benefits of mangiferin against seizures triggered by the chemical convulsant pentylenetetrazol in mice (Li et al. 2024). Forced swim tests and actophotometer results showed that mangiferin reduced seizure severity and sadness. In addition, seizure-induced mice treated with mangiferin had lower ratings for seizure severity and less convulsions, since mangiferin greatly increased GABA levels and inhibited glutamate synthesis. Also, in the brain tissue of seizure-induced mice, co-treatment with mangiferin increased levels of Na +, K + -ATPase and Ca2 + ATPase. These enzymes are critical for the start and end of convulsions. Mangiferin also showed anti-inflammatory and antioxidant capabilities by lowering levels of nitric oxide and malondialdehyde, increasing the activity of glutathione and superoxide dismutase, and lowering levels of TNF-α, IL-1β, and COX-2, which are cytokines that promote inflammation. Collectively, the neuroprotective effects of mangiferin against epilepsy are thought to be due to its ability to regulate oxidant imbalance, reduce neurotransmitter levels, and inhibit the production of pro-inflammatory cytokines.

Effect of mangiferin on depression and anxiety

Depression

A prior study has revealed the beneficial impact of mangiferin in mitigating postpartum depression in a hormone-simulated pregnancy mice model along with ovariectomy (Yan et al. 2022). Some studies have shown that mangiferin can help reduce symptoms of postpartum depression in mice. Research has shown that mangiferin can reduce inflammation in the brain, which could be a factor in postpartum depression. It has been shown that mangiferin greatly inhibits the MAPK signalling pathway, which is supported by the fact that it lowers the levels of IBAl, a marker for microglia, which in turn reduces microglial activation and the levels of inflammatory cytokines, including TNF-α, IL-6, and IL-1ꞵ.
An earlier study has explored the antidepressant effect of mangiferin in corticosterone-treated rats (Luo et al. 2017). Results from the forced swimming test (FST) and the tail suspension test (TST) showed a decrease in immobility time when administered concurrently with mangiferin, suggesting that the corticosterone-mediated depressive-like behaviour was eased. According to reports, mangiferin can improve the neurobehavioral changes caused by corticosterone in four ways: (1) by lowering kynurenine production by suppressing indoleamine 2,3-dioxygenase (IDO) activity in the hippocampus, which in turn reduces the negative effects of corticosterone on the brain; (2) by increasing levels of brain-derived neurotrophic factor (BDNF); (3) by restoring GSH activity and reducing levels of malondialdehyde (MDA); (4) by inhibiting NF-κB activation, neuroinflammation is suppressed, and proinflammatory cytokines like IL-1β and TNF-α and nitrite levels are reduced.
The antidepressant action of mangiferin has been hypothesised by Jangra et al. (2014). Research in mice has shown that mangiferin can protect neurones against the changes in behaviour and biochemistry caused by lipopolysaccharide (LPS). Mangiferin reportedly exerts its neuroprotective effects via reducing levels of BDNF in the prefrontal cortex and hippocampus and by blocking chronic inflammation and oxidative stress. It has been demonstrated that mangiferin reduces IL-1β levels, increases BDNF levels, and restores the activity of SOD and catalase. The favourable effects of mangiferin are supported by the fact that it reduces anhedonic behaviour, a hallmark of depression, and by the results of the FST and the TST. A prior study that established chronic mild stress (CMS) in a mouse model indicated that mangiferin possesses antidepressant properties (Cao et al. 2017). Increasing body weight, decreasing sucrose intake, improving locomotor activity, and decreasing immobility time in the FST and TST are all ways in which mangiferin has been shown to display antidepressant effects in CMS mice. Inhibiting the high levels of IL-1β, IL-18, and TNF-α in the hippocampus, mangiferin exerts anti-inflammatory and neuroprotective properties, which may help reduce depression symptoms. Meanwhile, it has been shown that mangiferin’s anti-inflammatory effects are mediated by blocking the NLRP3-inflammasome/caspase-1/IL-1β pathway, which is believed to have a role in the development of depression. Additionally, Mangiferin improved hypothalamic–pituitary–adrenal axis dysfunction by lowering CMS mice’s high blood corticosterone levels.
An in vitro study suggested the inhibitory role of mangiferin on microglia-mediated inflammation, participating in the amelioration of postpartum depression (Yan et al. 2022). Mangiferin has been shown to reverse the LPS-induced boost in iNOS, p-JNK, and p-p38 levels, thereby blocking the MAPK signalling pathway and reliably reducing the levels of the downstream inflammatory cytokines TNF-α, IL-6, and IL-1ꞵ.

Anxiety

An earlier study demonstrated the neuroprotective effect of mangiferin in a corticosterone-induced anxiety model in mice (Luo et al. 2017). Results from the elevated plus maze (EPM) and the light–dark exploration tests show that mangiferin reduces anxiety-induced behavioural abnormalities. Reducing the kynurenine/tryptophan ratio confirms that mangiferin reduces anxiety via raising BDNF levels and lowering IDO-induced kynurenine levels in the hippocampus. Research has shown that mangiferin can help reduce inflammation in the hippocampus and oxidative-nitrosative stress caused by corticosterone. It also has anti-inflammatory and antioxidant effects. Reasons given for mangiferin’s positive effects include lowering MDA levels, restoring GSH activity, inhibiting NF-κB activation, and lowering nitrite and proinflammatory cytokine levels (IL-1β and TNF-α).
An earlier study has suggested the neuroprotective effects of mangiferin on lipopolysaccharide-induced anxiety-like effects in mice (Jangra et al. 2014). Evidence from the open field test, elevated plus maze, and light–dark box studies shows that mangiferin has anti-anxiety benefits. Inhibition of neuroinflammation, oxidative stress, and maintenance of BDNF levels in the brain of mice are the mechanisms linked to mangiferin’s neuroprotective benefits. According to reports, mangiferin reduced IL-1β levels, increased BDNF in the hippocampus, decreased nitrite levels, and reduced the anti-oxidant activity of enzymes such as SOD and catalase.

Effect of mangiferin on cognitive disorders

Memory and learning enhancement

Mangiferin may demonstrate neuroprotective properties against LPS-induced cognitive impairments. Moreover, mangiferin may modulate HO-1 expression, thus inhibiting the release of pro-inflammatory factors and reducing LPS-induced IL-6 production (Fu et al. 2015). Murine hippocampal cells (HT22) co-treated with MGF significantly attenuated FA-induced cytotoxicity and dose-dependently inhibited Tau hyperphosphorylation. The protective effects were also demonstrated to be achieved via reducing FA-induced endoplasmic reticulum stress (ERS), as evidenced by the downregulation of ERS markers GRP78 and CHOP and the upregulation of downstream Tau-associated kinases GSK-3β and CaMKII. Moreover, MGF markedly reduced FA-induced oxidative damage, which includes ERS-related Ca2 + excess, ROS generation, and mitochondrial dysfunction. Afterwards, studies showed that C57/BL6 mice with FA-induced cognitive deficits significantly improved their spatial learning and long-term memory after receiving 40 mg/kg/day of MGF intragastrically for 6 weeks. This improvement was brought about by a decrease in Tau hyperphosphorylation as well as levels of GRP78, GSK-3β, and CaMKII in the brain tissue (Chen et al. 2024). Reductions in escape latency and increases in platform crossings and target quadrant percentage show that mangiferin significantly improved the behavioural performance of diabetic rats. In diabetic rats, this was linked to lower levels of advanced glycation end-products and their receptor (RAGE), interleukin-1β, tumour necrosis factor-α, and malondialdehyde, as well as higher levels of glutathione and enhanced activity and expression of glyoxalase 1 (Liu et al. 2013). Mangiferin may also interact with proteins linked to age-related oxidative stress and cell death. In an experiment with aged rats, mangiferin successfully reduced the histological changes brought on by D-gal in the brain and liver. In addition to lowering AChE and MDA levels in blood, liver, and brain tissues, mangiferin treatment greatly increased the activity of antioxidant enzymes (SOD, T-AOC, GSH-Px, and CAT). In addition to improving exploratory abilities, MAN reduced learning and memory deficits. In hepatic tissues, mangiferin may also regulate the expression of apoptotic proteins (Bax, Bcl-2, and Caspase-9) and proteins linked to the PI3K/Akt/Nrf2 signalling pathway (Zhang et al. 2023). Animals given mangiferin treatment showed significant improvement in motor and cognitive deficits compared to animals given QA. Moreover, the levels of MDA, nitrite, and pro-inflammatory cytokines were lowered in the striatum and hippocampus, and the GSH concentration was restored following treatment of mangiferin (40 mg/kg). Acute cholinergic dysfunction (AChE), loss of brain-derived neurotrophic factor (BDNF), and mitochondrial dysfunction were all ameliorated by MGF treatment (Arora et al. 2020).

Animal and human toxicity

Mangiferin has demonstrated low toxicity profiles in both in vitro and in vivo studies. In numerous rodent models, doses ranging from 10 to 200 mg/kg administered orally or intraperitoneally over periods of 14–60 days have not shown any signs of acute or subchronic toxicity, including neurotoxicity. Instead, mangiferin consistently exerted beneficial effects on cognitive function, locomotor activity, and behavioral parameters, indicating favorable CNS tolerability (Kavitha et al. 2013; Du et al. 2019; Lum et al. 2023b).
In vitro studies using neuronal cell lines such as PC12, N2A, SH-SY5Y, and HT22 confirm that mangiferin does not induce cytotoxicity at concentrations up to 100 μM. On the contrary, it protects against various neurotoxins (e.g., MPP +, formaldehyde, and rotenone) by reducing apoptosis, mitochondrial dysfunction, oxidative stress, and inflammatory signaling (Chen et al. 2024; Shi et al. 2017; Kavitha et al. 2014). These findings support its CNS safety and therapeutic potential.
With respect to human application, mangiferin is a naturally occurring xanthone C-glucoside primarily found in Mangifera indica (mango) and is commonly consumed as part of the human diet. While mangiferin itself is not yet approved as a standalone pharmaceutical by major regulatory authorities such as the US. FDA or EMA, it has been included as a bioactive ingredient in several over-the-counter nutraceutical formulations due to its antioxidant, anti-inflammatory, and antidiabetic properties. It’s generally recognized safety in food sources and as a nutraceutical further supports its translational potential.
However, clinical data are currently limited, and further studies including dose-escalation and long-term safety evaluations in humans are warranted. Future clinical trials should assess pharmacokinetics, blood–brain barrier permeability, and potential drug interactions to fully characterize its safety and efficacy profile in human neurological conditions.

Pharmacokinetics and bioavailability and potential therapeutic applications

Mangiferin, a naturally occurring phytochemical compound (polyphenol) found in the mango tree (Mangifera indica), has demonstrated substantial neuroprotective properties. Studies have reported its effectiveness in protecting neuronal cells from damage induced by oxidative stress and inflammation, both of which are prominent in promoting neurological disorders, including Alzheimer’s and Parkinson’s (Zivković et al. 2024). Mangiferin possesses various advantages over the current drugs on the market. Initially, it has a diverse pharmacological profile, which includes antioxidant, anti-inflammatory, and anti-apoptotic activities that contribute to its neuroprotective amenities (Shivam and Gupta, 2024). Mangiferin has been demonstrated to affect many molecular targets, such as NF-κB, Nrf2-HO-1, and PI3K/Akt pathways, which are critical in the etiology of neurodegenerative disorders (Turkar et al. 2024). In contrast, many market drugs used for treating neurological conditions target an individual molecular pathway and may render serious side effects such as GIT and cardiac problems, liver and kidney damage, cognitive impairment and mood swings (Xiang et al. 2024).
Nevertheless, there are limitations with its absorption and metabolism in the central nervous system (CNS). Mangiferin is extensively metabolized in the liver and gastrointestinal tract following ingestion, which drastically lowers its bioavailability (Iqbal et al. 2024). This indicates that a small fraction of mangiferin that is consumed reaches the bloodstream and then the CNS, revealing its low concentration in the CNS (Mahmood et al. 2025). Several enzymes are involved in the metabolism of mangiferin, further breaking it down into smaller metabolites, which may or may not retain the inherent biological activities of mangiferin. These metabolites may be further broken down in the liver or excreted through urine (Fuentes-Rios et al. 2025).
Enhancing mangiferin’s bioavailability in the CNS is crucial for maximizing its therapeutic potential. Multiple approaches have been proposed to address the challenges related to its absorption and administration (Samadarsi et al. 2024). One promising method is the establishment of mangiferin derivatives. Mangiferin’s chemical structure is being modified in order to increase its solubility, stability, and overall pharmacokinetic profile (Shah et al. 2025). These compounds may improve absorption and distribution throughout the body, elevating the amount of mangiferin that reaches CNS.
Mangiferin derivatives have been studied recently and compared to the parent molecule, 3,6,7-tribenzoyl-mangiferin, typically of which the latter showed similar to better analgesic and anti-inflammatory activities than the parent mangiferin (Ahmad et al. 2024). Similarly, mangiferin -2′,3,3′,4′,6,6′,7-heptasulfate was found to be a more potent anticoagulant than the parent molecule (Ehianeta et al. 2016).
Many other modifications were conducted aiming to increase mangiferin bioavailability, such as glycosylating the mangiferin using Arlhrobacler nicolianae (da Rocha Ferreira et al. 2013), sugar esters, lipase derivatization (He et al. 2015).
Many studies are adopting such techniques to increase the therapeutic outcomes of mangiferin. This was efficiently achieved by complexation with a phospholipid (Lipoid E80) at 1:1 molar ration; such modification produced a complex with completely different and fortunately higher mangiferin permeability (Khurana et al. 2017).
Also, co-administration of mangiferin with permeation enhancers is another option being researched. These enhancers can temporarily breach the blood–brain barrier (BBB), rendering mangiferin more easily absorbed into the CNS. This approach must be carefully monitored to prevent damaging the BBB and ensuring the safe distribution of mangiferin (Li et al. 2008). The exact mechanism by which mangiferin cross the BBB is still unknown; however, some studies suggested that the daily oral administration of Mangifera indica L. extract crossed the BBB and offered neuronal protection (Liu et al. 2012). Magniferin levels following a single oral dose of Rhizoma Anemarrhenae extract were investigated, in which traces of the drug were detected in the brain (Long et al. 2020).
Meanwhile, the generation of prodrugs is another approach for increasing mangiferin’s bioavailability. Prodrugs are inert chemicals that transform into active drugs once inside the body (Lum et al. 2023a). Prodrugs can boost mangiferin distribution to the CNS by avoiding specific metabolic pathways, hence increasing its therapeutic efficacy. Mangiferin was believed to function as a prodrug, being converted into a number of different metabolites at a particular location in the body that may have more potent biologic effects than the original substance (Ma et al. 2014). Mangiferin was found to be de-glycosylated by intestinal bacteria to Norathyriol, with lower antioxidant but much higher anticancer activity against colon cancer than the parent molecule. Norathyriol, being an expensive molecule, no studies have been performed yet to compare its oral bioavailability to Mangiferin, although research points towards its possible higher bioavailability (Sánchez et al. 2001).
Furthermore, intranasal drugs’ administration is a non-invasive approach that has attracted attention due to its ability to deliver drugs directly into the brain. Mangiferin, when administered intranasally, can circumvent the BBB and reach the CNS more efficiently (Souza et al. 2020). This approach is a promising alternative to established oral and intravenous means of administration. Intranasal application of polysorbate-80-coated Mangiferin PLGA nanoparticles was used to treat cerebral ischemia (de Souza et al. 2013). This formulation efficiently achieved a high drug level in the brain while escaping first-pass effect. Large drug payload (76.08 ± 4.91%) with controlled and sustained release of mangiferin with prolonged retention time and high permeation (> 83%) directly to the brain treating cerebral ischemia at very small drug doses, are fruitful outcomes achieved by this study.
Moreover, mangiferin’s therapeutic efficacy can potentially be augmented through combination therapy, in which it is coupled with other compounds having neuroprotective properties with synergistic properties (De Souza, 2012). This method may assist overcome some of the bioavailability difficulties associated with mangiferin and increase its overall efficacy in treating CNS-related conditions. These tactics represent continuing research efforts to maximize mangiferin’s therapeutic benefits.
A combination of mangiferin with nitro-L-arginine methyl ester (L-NAME) achieved synergistic neuroprotective activity, improved the forelimb akinesia and motor function in experimental rats. Such a combination statistically decreased the oxidative stress level that exacerbates the neurological damage in animals. Similar results were achieved when combining levodopa with mangiferin (Tiwari et al. 2024b). The anticancer effect of mangiferin was found to be significantly potentiated when combined with gallic acid (Wang et al. 2010).
Additionally, advanced drug delivery technologies, such as nanoparticles, liposomes, and micelles, have also shown promise in increasing mangiferin’s bioavailability (Yang et al. 2013). These systems can encapsulate mangiferin, preventing it from degradation and increasing its absorption. Furthermore, they can be tailored to target specific tissues, such as the brain, boosting the concentration of mangiferin in the CNS.
Citric pectin, pumpkin pectin and chitosan are examples of natural polymers used to encapsulate mangiferin using the spray drying technique (Siddiqui et al. 2024). The nature of polysaccharide, its charge and the type of surfactant used greatly impact the drug retention in the particles; where positively charged chitosan was found to have three times lower drug retention capacity for mangiferin than the negatively charged pectins.
Inclusion of mangiferin in B-cylcodextrin was found to be useful in increasing the bioavailability, thermal stability and water solubility of the drug payload (Alshati et al. 2023).
A phospholipidic complex of mangiferin was synthesized and subsequently incorporated into NLCs made of Compritol 888 as the solid lipid and Labrafil M 2125 as the liquid lipid. The system showed a high encapsulation efficiency and offered a sustained release lasting up to 10 h. Additionally, compared to mangiferin alone, these NLCs more effectively inhibited the efflux activity of P-gp in Caco-2 cells, leading to a significant increase in all: the area under the curve, time to peak absorption (tmax), and peak plasma concentration (Cmax) (Kumari et al. 2021).
Mangiferin was also formulated in NLCs based on Labrasol, Glyceryl monostearate, Tween 80 and Miglyol (Santonocito et al. 2023). Such a combination succeeded in increasing the ophthalmic bioavailability of mangiferin 5.69-fold compared to the drug solution.
By investigating the challenges of mangiferin’s bioavailability and CNS delivery, current research hopes to unlock the full potential of mangiferin in combating several neurodegenerative disorders as a promising phytochemical compound as well as other CNS disorders.

Conclusion

Mangiferin is a potential phytochemical with outstanding neuroprotective potential in various neurological disorders. Through its mechanisms of action involving antioxidant activity, anti-inflammatory effects, protection against mitochondrial injury, and modulation of neurotransmitters, mangiferin successfully opposes pathophysiologic processes involved in neurodegeneration and neuroinflammation. Clinical usefulness is, nonetheless, compromised by limited permeability across the CNS along with poor bioavailability.
To counter these issues, advanced methods such as chemical modifications, nanoparticle encapsulation, prodrug formation, and intranasal delivery have been studied and shown encouraging outcomes in terms of enhancing the pharmacokinetic profile of mangiferin. Moreover, combination therapies and synergistic formulation enhance its applicability as a versatile neuroprotective compound.
Future research should target taking preclinical information to the level of clinical trials, optimizing delivery methods, and establishing long-term safety and efficacy profiles. With further research, mangiferin may provide a novel, effective, and tolerable treatment for managing numerous neurodegenerative and neuropsychiatric conditions.
a polyphenolic xanthone naturally present predominantly in Mangifera indica (mango). The compound has been of interest to scientists due to its remarkable antioxidant, anti-inflammatory, and anti-apoptotic activity. Such bioactivities make mangiferin a promising therapeutic agent for many neurodegenerative and neuropsychiatric disorders such as Alzheimer’s disease, Parkinson’s disease, Huntington’s disease, ischemic stroke, epilepsy, anxiety, depression, and overall cognitive impairment.
The neuroprotection offered by mangiferin is the result of its multi-targeted modes of action. It modulates key inflammatory and oxidative stress pathways such as NF-κB, NLRP3, PI3K/Akt, and Nrf2/ARE. It also influences signaling pathways involved in neuroplasticity and neurotransmission, such as the MAPK cascade and BDNF regulation. These mechanisms allow mangiferin to intervene at several pathological checkpoints in neuronal injury and disease development.
The compound’s pharmacological benefits are supported by in vitro and in vivo studies, demonstrating that mangiferin attenuates neuroinflammation, suppresses oxidative stress, prevents tau hyperphosphorylation, limits amyloid-beta deposition, and protects mitochondrial integrity. It also improves motor coordination, cognition, and neurotransmitter balance in animal models of neurodegeneration. In addition, mangiferin structure–activity relationship (SAR) studies reveal that C-glucosylation and the presence of hydroxyl groups are essential for its efficacy.
Despite its therapeutic promise, mangiferin’s clinical application is hindered by its poor bioavailability and low ability to cross the blood–brain barrier. To bypass these limitations, researchers are exploring various drug delivery methods such as nanoparticle encapsulation, prodrug synthesis, phospholipid complexes, and intranasal administration. These are aimed at enhancing its stability, absorption, and CNS targeting.
Overall, mangiferin is a potent, multi-target neuroprotective drug with the potential to intervene in multiple pathways of neurodegenerative diseases. While preclinical data are encouraging, more studies—particularly clinical trials and improved drug delivery systems are needed to achieve its successful therapeutic use in humans.

Declarations

Conflict of interest

The author declares they have no conflict of interest.

Ethical approval

Not Applicable.
Not applicable.

Human and animal ethics

Not applicable.
Open Access This article is licensed under a Creative Commons Attribution 4.0 International License, which permits use, sharing, adaptation, distribution and reproduction in any medium or format, as long as you give appropriate credit to the original author(s) and the source, provide a link to the Creative Commons licence, and indicate if changes were made. The images or other third party material in this article are included in the article's Creative Commons licence, unless indicated otherwise in a credit line to the material. If material is not included in the article's Creative Commons licence and your intended use is not permitted by statutory regulation or exceeds the permitted use, you will need to obtain permission directly from the copyright holder. To view a copy of this licence, visit http://creativecommons.org/licenses/by/4.0/.

Publisher's Note

Springer Nature remains neutral with regard to jurisdictional claims in published maps and institutional affiliations.
Download
Titel
Polyphenolic protection: the role of mangiferin in mitigating neurodegeneration and neuroinflammation
Verfasst von
Aya M. Mustafa
Ghadir A. Bastawesy
Shymaa Hatem
Roxane Abdel-Gawad Moussa
Dina M. Hal
Mariam H. Fawzy
Mahmoud A. Mansour
Mohamed S. Abd El Hafeez
Publikationsdatum
22.07.2025
Verlag
Springer International Publishing
Erschienen in
Inflammopharmacology / Ausgabe 8/2025
Print ISSN: 0925-4692
Elektronische ISSN: 1568-5608
DOI
https://doi.org/10.1007/s10787-025-01854-3
Zurück zum Zitat Abbas K, Mustafa M, Alam M, Habib S, Ahmad W, Adnan M, Hassan MI, Usmani N (2025) Multi-target approach to alzheimer’s disease prevention and treatment: antioxidant, anti-inflammatory, and amyloid-modulating mechanisms. Neurogenetics 26:1–20CrossRef
Zurück zum Zitat Abdel-mageed WM, Bayoumi SA, Chen C, Vavricka CJ, Li L, Malik A, Dai H, Song F, Wang L, Zhang J (2014) Benzophenone c-glucosides and gallotannins from mango tree stem bark with broad-spectrum anti-viral activity. Bioorg Med Chem 22:2236–2243PubMedCrossRef
Zurück zum Zitat Ahmad N, Khan MF, Ullah Z, Chaudhary AA, Alawam AS, Khalid MS, Ali MT (2024) Development and evaluation of polysorbate-80 coated mangiferin plga nanoparticles used in the treatment of cerebral ischemia. Polym Bull 81:7035–7069CrossRef
Zurück zum Zitat Ain QU, Iqbal MO, Khan IA, Bano N, Naeem M, Jamaludin MI, Devaraj S (2023) Phytochemical, Antioxidant, Antipyretic and anti-inflammatory activities of aqueous-methanolic leaf extract of mangifera indica. Am J Transl Res 15:4533PubMedPubMedCentral
Zurück zum Zitat Alshati F, Alahmed TAA, Sami F, Ali MS, Majeed S, Murtuja S, Hasnain MS, Ansari MT (2023) Guest-host relationship of cyclodextrin and its pharmacological benefits. Curr Pharm des 29:2853–2866PubMedCrossRef
Zurück zum Zitat Amazzal L, Lapotre A, Quignon F, Bagrel D (2007) Mangiferin protects against 1-methyl-4-phenylpyridinium toxicity mediated by oxidative stress in n2a cells. Neurosci Lett 418:159–164PubMedCrossRef
Zurück zum Zitat Arora MK, Kisku A, Jangra A (2020) Mangiferin ameliorates intracerebroventricular-quinolinic acid-induced cognitive deficits, Oxidative stress, and neuroinflammation in wistar rats. Indian J Pharmacol 52:296–305PubMedPubMedCentralCrossRef
Zurück zum Zitat Benard O, Chi Y (2015) Medicinal properties of mangiferin, Structural features, Derivative synthesis, Pharmacokinetics and biological activities. Mini Rev Med Chem 15:582–594PubMedCrossRef
Zurück zum Zitat Biradar SM, Joshi H, Chheda TK (2012) Neuropharmacological effect of mangiferin on brain cholinesterase and brain biogenic amines in the management of Alzheimer’s disease. Eur J Pharmacol 683:140–147PubMedCrossRef
Zurück zum Zitat Cao C, Su M, Zhou F (2017) Mangiferin inhibits hippocampal nlrp3 inflammasome and exerts antidepressant effects in a chronic mild stress mice model. Behav Pharmacol 28:356–364PubMedCrossRef
Zurück zum Zitat Chen M, Wang Z, Zhou W, Lu C, Ji T, Yang W, Jin Z, Tian Y, Lei W, Wu S (2021) Sirt1/pgc-1α signaling activation by mangiferin attenuates cerebral hypoxia/reoxygenation injury in neuroblastoma cells. Eur J Pharmacol 907:174236PubMedCrossRef
Zurück zum Zitat Chen F, Wang N, Tian XY, Su J, Qin Y, He RQ, He XP (2024) The protective effect of mangiferin on formaldehyde-induced ht22 cell damage and cognitive impairment. Pharmaceutics 15(16):1568
Zurück zum Zitat Da RochaFerreira F, Valentim IB, Ramones ELC, Trevisan MTS, Olea-Azar C, Perez-Cruz F, De Abreu FC, Goulart MOF (2013) Antioxidant activity of the mangiferin inclusion complex with β-cyclodextrin. Lwt Food Sci Technol 51:129–134CrossRef
Zurück zum Zitat Dar A, Faizi S, Naqvi S, Roome T, Zikr-ur-rehman S, Ali M, Firdous S, Moin ST (2005) Analgesic and antioxidant activity of mangiferin and its derivatives: the structure activity relationship. Biol Pharm Bull 28:596–600PubMedCrossRef
Zurück zum Zitat De Souza R (2012) Mangiferin: microencapsulation in pectin/chitosan systems. In: vitro intestinal metabolism and anticancer activity. Ph. D in chemistry, University of cearà. pp 1–242
Zurück zum Zitat De Souza JRR, Feitosa JP, Ricardo NM, Trevisan MTS, De Paula HCB, Ulrich CM, Owen RW (2013) Spray-drying encapsulation of mangiferin using natural polymers. Food Hydrocoll 33:10–18CrossRef
Zurück zum Zitat Deepak M, Sulaiman C, Balachandran I, Chandran KPS (2019) Isolation characterization and high-performance thin-layer chromatographic quantification of active xanthonoid mangiferin from canscora perfoliata. Jpc-J Planar Chromatogr Modern Tlc 32:231–235CrossRef
Zurück zum Zitat Du Z, Fanshi F, Lai YH, Chen JR, Hao E, Deng J, Hsiao CD (2019) Mechanism of anti-dementia effects of mangiferin in a senescence accelerated mouse (samp8) model. Biosci Rep 39:BSR20190488PubMedPubMedCentralCrossRef
Zurück zum Zitat Dutta T, Das T, Gopalakrishnan AV, Saha SC, Ghorai M, Nandy S, Kumar M, Radha, Ghosh A, Mukerjee N (2023) Mangiferin: the miraculous xanthone with diverse pharmacological properties. Naunyn-Schmiedeberg’s Arch Pharmacol 396:851–863CrossRef
Zurück zum Zitat Ehianeta TS, Laval S, Yu B (2016) Bio-and chemical syntheses of mangiferin and congeners. BioFactors 42:445–458PubMedCrossRef
Zurück zum Zitat Elchebly M, Payette P, Michaliszyn E, Cromlish W, Collins S, Loy AL, Normandin D, Cheng A, Himms-hagen J, Chan C-C (1999) Increased insulin sensitivity and obesity resistance in mice lacking the protein tyrosine phosphatase-1b gene. Science 283:1544–1548PubMedCrossRef
Zurück zum Zitat Fan K, Ma J, Xiao W, Chen J, Wu J, Ren J, Hou J, Hu Y, Gu J, Yu B (2017) Mangiferin attenuates blast-induced traumatic brain injury via inhibiting nlrp3 inflammasome. Chem Biol Interact 271:15–23PubMedCrossRef
Zurück zum Zitat Feng ST, Wang ZZ, Yuan YH, Sun HM, Chen NH, Zhang Y (2019) Mangiferin: a multipotent natural product preventing neurodegeneration in alzheimer’s and parkinson’s disease models. Pharmacol Res 146:104336PubMedCrossRef
Zurück zum Zitat Fu Y, Liu H, Song C, Zhang F, Liu Y, Wu J, Wen X, Liang C, Ma K, Li L, Zhang X, Shao X, Sun Y, Du Y, Song Y (2015) Mangiferin regulates cognitive deficits and heme oxygenase-1 induced by lipopolysaccharide in mice. Int Immunopharmacol 29:950–956PubMedCrossRef
Zurück zum Zitat Fuentes-Rios D, Sanchez-Rodriguez A, Lopez-Rios L, Garcia-Gonzalez E, Martinez-Canton M, Galvan-Alvarez V, Gallego-Selles A, Martin-Rincon M, Calbet JA, Vega-Morales T (2025) Human pharmacokinetic profiling and comparative analysis of mangiferin and its monosodium derivative from mangifera indica extracts using uhplc-ms/ms with 1h nmr and maldi-tof confirmation. Molecules 30:461PubMedPubMedCentralCrossRef
Zurück zum Zitat Fujita M, Inoue T (1980a) Biosynthesis of mangiferin in anemarrhena asphodeloides bunge. I. The origin of the xanthone nucleus. Chem Pharm Bull 28:2476–2481CrossRef
Zurück zum Zitat Fujita M, Inoue T (1980b) Biosynthesis of mangiferin in anemarrhena asphodeloides bunge. II. C-glucosylation of mangiferin. Chem Pharm Bull 28:2482–2486CrossRef
Zurück zum Zitat Fujita M, Inoue T (1981) Further studies on the biosynthesis of mangiferin in anemarrhena asphodeloides: hydroxylation of the shikimate-derived ring. Phytochemistry 20:2183–2185CrossRef
Zurück zum Zitat Gadhave DG, Sugandhi VV, Jha SK, Nangare SN, Gupta G, Singh SK, Dua K, Cho H, Hansbro PM, Paudel KR (2024) Neurodegenerative disorders: mechanisms of degeneration and therapeutic approaches with their clinical relevance. Age Res Rev 2024:102357CrossRef
Zurück zum Zitat Ghosal S, Chaudhuri RK (1973) New tetraoxygenated xanthones of canscora decussata. Phytochemistry 12:2035–2038CrossRef
Zurück zum Zitat Grauzdytė D, Pukalskas A, El Kalamouni C, Venskutonis PR (2020) Mangiferin rich products from aphloia theiformis (vahl) benn leaves: extraction, Fractionation, Phytochemical characterization, and Antioxidant Properties. Molecules 25:2081PubMedPubMedCentralCrossRef
Zurück zum Zitat Hao S, Li S, Wang J, Zhao L, Yan Y, Wu T, Zhang J, Wang C (2019) C-phycocyanin suppresses the in vitro proliferation and migration of non-small-cell lung cancer cells through reduction of ripk1/nf-κb activity. Mar Drugs 17:362PubMedPubMedCentralCrossRef
Zurück zum Zitat Hao T, Chen C, Yang S, Zhang Y, Liang F (2023) Mangiferin exerts neuroprotective effects against focal cerebral ischemia in mice by regulating nf-κb signaling pathway. Metab Brain Dis 38:383–391PubMedCrossRef
Zurück zum Zitat He B, Wu X, Chu J, Wu B, Zhang S, Ouyang P (2015) Fructosylated mangiferin and preparation method therefor and use thereof. Google patents
Zurück zum Zitat Hu H-G, Wang M-J, Zhao Q-J, Liao H-L, Cai L-Z, Song Y, Zhang J, Yu S-C, Chen W-S, Liu C-M (2007) Synthesis of mangiferin derivatives as protein tyrosine phosphatase 1b inhibitors. Chem Nat Compd 43:663–666CrossRef
Zurück zum Zitat Huang W, Wang Y, Huang W (2024) Mangiferin alleviates 6-ohda-induced parkinson’s disease by inhibiting akr1c3 to activate wnt signaling pathway. Neurosci Lett 821:137608PubMedCrossRef
Zurück zum Zitat Imran M, Arshad MS, Butt MS, Kwon J-H, Arshad MU, Sultan MT (2017) Mangiferin: a natural miracle bioactive compound against lifestyle related disorders. Lipids Health Dis 16:1–17CrossRef
Zurück zum Zitat Infante-Garcia C, Ramos-Rodriguez JJ, Delgado-Olmos I, Gamero-Carrasco C, Fernandez-Ponce MT, Casas L, Mantell C, Garcia-Alloza M (2017) Long-term mangiferin extract treatment improves central pathology and cognitive deficits in app/ps1 mice. Mol Neurobiol 54:4696–4704PubMedCrossRef
Zurück zum Zitat Iqbal H, Inam-Ur-Raheem M, Munir S, Rabail R, Kafeel S, Shahid A, Mousavi Khaneghah A, Aadil RM (2024) Therapeutic potential of mangiferin in cancer: unveiling regulatory pathways, Mechanisms of action, And bioavailability enhancements–an updated review. Food Sci Nutr 12:1413–1429PubMedCrossRef
Zurück zum Zitat Jangra A, Lukhi MM, Sulakhiya K, Baruah CC, Lahkar M (2014) Protective effect of mangiferin against lipopolysaccharide-induced depressive and anxiety-like behaviour in mice. Eur J Pharmacol 740:337–345PubMedCrossRef
Zurück zum Zitat Joubert E, Otto F, Grüner S, Weinreich B (2003) Reversed-phase hplc determination of mangiferin, Isomangiferin and hesperidin in cyclopia and the effect of harvesting date on the phenolic composition of c. Genistoides Eur Food Res Technol 216:270–273CrossRef
Zurück zum Zitat Jung K, Lee B, Han SJ, Ryu JH, Kim DH (2009) Mangiferin ameliorates scopolamine-induced learning deficits in mice. Biol Pharm Bull 32:242–246PubMedCrossRef
Zurück zum Zitat Jyotshna, Khare P, Shanker K (2016) Mangiferin: a review of sources and interventions for biological activities. BioFactors 42:504–514PubMedCrossRef
Zurück zum Zitat Kasbe P, Jangra A, Lahkar M (2015) Mangiferin ameliorates aluminium chloride-induced cognitive dysfunction via alleviation of hippocampal oxido-nitrosative stress, Proinflammatory cytokines and acetylcholinesterase level. J Trace Elem Med Biol 31:107–112PubMedCrossRef
Zurück zum Zitat Kaurav M, Kanoujia J, Gupta M, Goyal P, Pant S, Rai S, Sahu KK, Bhatt P, Ghai R (2023) In-depth analysis of the chemical composition, Pharmacological effects, Pharmacokinetics, and patent history of mangiferin. Phytomed plus 3:100445CrossRef
Zurück zum Zitat Kavitha M, Nataraj J, Essa MM, Memon MA, Manivasagam T (2013) Mangiferin attenuates mptp induced dopaminergic neurodegeneration and improves motor impairment, Redox balance and bcl-2/bax expression in experimental parkinson’s disease mice. Chem Biol Interact 206:239–247PubMedCrossRef
Zurück zum Zitat Kavitha M, Manivasagam T, Essa MM, Tamilselvam K, Selvakumar GP, Karthikeyan S, Thenmozhi JA, Subash S (2014) Mangiferin antagonizes rotenone: induced apoptosis through attenuating mitochondrial dysfunction and oxidative stress in sk-n-sh neuroblastoma cells. Neurochem Res 39:668–676PubMedCrossRef
Zurück zum Zitat Khurana RK, Bansal AK, Beg S, Burrow AJ, Katare O, Singh KK, Singh B (2017) Enhancing biopharmaceutical attributes of phospholipid complex-loaded nanostructured lipidic carriers of mangiferin: systematic development, Characterization and evaluation. Int J Pharm 518:289–306PubMedCrossRef
Zurück zum Zitat Klaman LD, Boss O, Peroni OD, Kim JK, Martino JL, Zabolotny JM, Moghal N, Lubkin M, Kim Y-B, Sharpe AH (2000) Increased energy expenditure, Decreased adiposity, and tissue-specific insulin sensitivity in protein-tyrosine phosphatase 1b-deficient mice. Mol Cell Biol 20:5479–5489PubMedPubMedCentralCrossRef
Zurück zum Zitat Kshirsagar PR, Gaikwad NB, Panda S, Hegde HV, Pai SR (2016) Reverse phase-ultra flow liquid chromatography-diode array detector quantification of anticancerous and antidiabetic drug mangiferin from 11 species of swertia from India. Pharmacogn Mag 12:S32PubMedPubMedCentralCrossRef
Zurück zum Zitat Kumari S, Dandamudi M, Rani S, Behaeghel E, Behl G, Kent D, O’Reilly NJ, O’Donovan O, Mcloughlin P, Fitzhenry L (2021) Dexamethasone-loaded nanostructured lipid carriers for the treatment of dry eye disease. Pharmaceutics 13:905PubMedPubMedCentralCrossRef
Zurück zum Zitat Lei LY, Wang RC, Pan YL, Yue ZG, Zhou R, Xie P, Tang ZS (2021) Mangiferin inhibited neuroinflammation through regulating microglial polarization and suppressing nf-kappab, Nlrp3 pathway. Chin j Nat Med 19:112–119PubMed
Zurück zum Zitat Li Y-J, Sui Y-J, Dai Y-H, Deng Y-L (2008) Lc determination and pharmacokinetics study of mangiferin in rat plasma and tissues. Chromatographia 67:957–960CrossRef
Zurück zum Zitat Li Z, Gao Z, Chang C, Gao Z (2024) Anticonvulsive effect of glucosyl xanthone mangiferin on pentylenetetrazol (ptz)-induced seizure-provoked mice. Appl Biochem Biotechnol 196:2161–2175PubMedCrossRef
Zurück zum Zitat Liu R, Liu Z, Zhang C, Zhang B (2012) Nanostructured lipid carriers as novel ophthalmic delivery system for mangiferin: improving in vivo ocular bioavailability. J Pharm Sci 101:3833–3844PubMedCrossRef
Zurück zum Zitat Liu YW, Zhu X, Yang QQ, Lu Q, Wang JY, Li HP, Wei YQ, Yin JL, Yin XX (2013) Suppression of methylglyoxal hyperactivity by mangiferin can prevent diabetes-associated cognitive decline in rats. Psychopharmacology 228:585–594PubMedCrossRef
Zurück zum Zitat Long Y, Yang Q, Xiang Y, Zhang Y, Wan J, Liu S, Li N, Peng W (2020) Nose to brain drug delivery-a promising strategy for active components from herbal medicine for treating cerebral ischemia reperfusion. Pharmacol Res 159:104795PubMedCrossRef
Zurück zum Zitat López-Cárdenas FG, Pérez-Jiménez J, Mateos-Briz R, Zamora-Gasga VM, Sánchez-Burgos JA, Sáyago-Ayerdi SG (2023) Advances in mangiferin: biosynthetic pathways. Springer, Bioavailability and bioactivity. Handbook of dietary flavonoids
Zurück zum Zitat Lum PT, Sekar M, Seow LJ, Shaikh MF, Arulsamy A, Retinasamy T, Gan SH, Gnanaraj C, Esa NM, Ramachawolran G (2023a) Neuroprotective potency of mangiferin against 3-nitropropionic acid induced huntington’s disease-like symptoms in rats: possible antioxidant and anti-inflammatory mechanisms. Front Pharmacol 14:1189957PubMedPubMedCentralCrossRef
Zurück zum Zitat Lum PT, Sekar M, Seow LJ, Shaikh MF, Arulsamy A, Retinasamy T, Gan SH, Gnanaraj C, Esa NM, Ramachawolran G, Subramaniyan V, Chinni SV, Wu YS (2023b) Neuroprotective potency of mangiferin against 3-nitropropionic acid induced huntington’s disease-like symptoms in rats: possible antioxidant and anti-inflammatory mechanisms. Front Pharmacol 14:1189957PubMedPubMedCentralCrossRef
Zurück zum Zitat Luo F, Lv Q, Zhao Y, Hu G, Huang G, Zhang J, Sun C, Li X, Chen K (2012) Quantification and purification of mangiferin from chinese mango (mangifera indica l.) Cultivars and its protective effect on human umbilical vein endothelial cells under h2o2-induced stress. Int J Mol Sci 13:11260–11274PubMedPubMedCentralCrossRef
Zurück zum Zitat Luo G-Q, Liu L, Gao Q-W, Wu X-N, Xiang W, Deng W-T (2017) Mangiferin prevents corticosterone-induced behavioural deficits via alleviation of oxido-nitrosative stress and down-regulation of indoleamine 2, 3-dioxygenase (ido) activity. Neurol Res 39:709–718PubMedCrossRef
Zurück zum Zitat Ma H, Chen H, Sun L, Tong L, Zhang T (2014) Improving permeability and oral absorption of mangiferin by phospholipid complexation. Fitoterapia 93:54–61PubMedCrossRef
Zurück zum Zitat Mahmood R, Perusomula RS, Gobalakrishnan P, Begum T, Khan SL (2025) Repurposing nafithromycin for lung cancer therapy: targeting urokinase-type plasminogen activator (upa) via molecular docking and dynamics study
Zurück zum Zitat Peres V, Nagem TJ, De Oliveira FF (2000) Tetraoxygenated naturally occurring xanthones. Phytochemistry 55:683–710PubMedCrossRef
Zurück zum Zitat Qin F, Zhang M, Wang P, Dai Z, Li X, Li D, Jing L, Qi C, Fan H, Qin M, Li Y, Huang L, Wang T (2024) Transcriptome analysis reveals the anti-parkinson’s activity of mangiferin in zebrafish. Biomed Pharmacother 179:117387PubMedCrossRef
Zurück zum Zitat Remali J, Sahidin I, Aizat WM (2022) Xanthone biosynthetic pathway in plants: a review. Front Plant Sci 13:809497PubMedPubMedCentralCrossRef
Zurück zum Zitat Samadarsi R, Nayak A, Dutta D (2024) In vitro study of the cytoprotective and antimutagenic potential of mangiferin encapsulated nanoparticles. Bionanoscience 14:27–36CrossRef
Zurück zum Zitat Sánchez GM, Candelario-Jalil E, Giuliani A, León O-S, Sam S, Delgado R, Núñez Sellés AJ (2001) Mangifera indica l. Extract (qf808) reduces ischaemia-induced neuronal loss and oxidative damage in the gerbil brain. Free Radical Res 35:465–473CrossRef
Zurück zum Zitat Santonocito D, Barbagallo I, Distefano A, Sferrazzo G, Vivero-Lopez M, Sarpietro MG, Puglia C (2023) Nanostructured lipid carriers aimed to the ocular delivery of mangiferin: in vitro evidence. Pharmaceutics 15:951PubMedPubMedCentralCrossRef
Zurück zum Zitat Saxena P, Sharma D, Gautam P, Niranjan A, Rastogi S (2024) Hplc-dad quantification of mangiferin, Antioxidant potential and essential oil composition of the leaves of five varieties of mangifera indica l. Of north India. Natural Prod Res 2024:1–12
Zurück zum Zitat Sethiya NK, Mishra S (2014) Investigation of Mangiferin, as a promising natural polyphenol Xanthone on multiple targets of Alzheimer’s disease. J Biol Active Prod Nature 4:111–119
Zurück zum Zitat Shah BV, Chopra H, Medithi S, Ungarala VR (2025) Nutritional potency of mangifera indica l.(mango): focus on mango as antioxidant. Curr Funct Foods 3:E200324228150CrossRef
Zurück zum Zitat Shi J, Qin B, Zhang Y, Kikuta K (2017) Targeting nfr2/arf signaling is important for mangiferin protecting pc12 cells against hydrogen peroxide-induced apoptosis. Int J Clin Exp Med 10:10113–10122
Zurück zum Zitat Shivam, Gupta AK (2024) Neuroprotective effects of isolated mangiferin from swertia chirayita leaves regulating oxidative pathway on streptozotocin-induced diabetic neuropathy in experimental rats. Central Nervous Syst Agents Med Chemistrychem-Central Nervous Syst Agents 24:182–195CrossRef
Zurück zum Zitat Siddiqui SA, Singh P, Utama DT, Samatra MY, Ahmad A, Wani SA (2024) Encapsulation of bioactive compounds in foods for diabetics-sources, Encapsulation technologies, Market trends and future perspectives—a systematic review. Food Bioprod Proc
Zurück zum Zitat Singh SK, Sinha SK, Prasad S, Kumar R, Bithu BS, Kumar SS, Singh P (2011) Synthesis and evaluation of novel analogues of mangiferin as potent antipyretic. Asian Pac J Trop Med 4:866–869PubMedCrossRef
Zurück zum Zitat Souza JR, Trevisan MTS, Feitosa JP, Ricardo NM, Hull WE, Erben G, Würtele G, Breuer A, Frei E, Ulrich CM (2020) Transformation of mangiferin to norathyriol by human fecal matrix in anaerobic conditions: comprehensive nmr of the xanthone metabolites, Antioxidant capacity, and comparative cytotoxicity against cancer cell lines. Natural Prod Commun 15:1934578x20910286CrossRef
Zurück zum Zitat Tanaka T, Sueyasu T, Nonaka G, Nishioka I (1984) Tannins and related compounds. Xxi. Isolation and characterization of galloyl and p-hydroxybenzoyl esters of benzophenone and xanthone c-glucosides from mangifera indica l. Chem Pharm Bull 32:2676–2686CrossRef
Zurück zum Zitat Tiwari PC, Chaudhary MJ, Pal R, Kartik S, Nath R (2021) Pharmacological, Biochemical and immunological studies on protective effect of mangiferin in 6-hydroxydopamine (6-ohda)-induced parkinson’s disease in rats. Ann Neurosci 28:137–149PubMedPubMedCentralCrossRef
Zurück zum Zitat Tiwari PC, Chaudhary MJ, Pal R, Nath R (2022) Effects of mangiferin and its combination with nnos inhibitor 7-nitro-indazole (7-ni) in 6-hydroxydopamine (6-ohda) lesioned parkinson’s disease rats. Fundam Clin Pharmacol 36:944–955PubMedCrossRef
Zurück zum Zitat Tiwari PC, Chaudhary MJ, Pal R, Nath R (2024a) Role of nitric oxide modulators in neuroprotective effects of mangiferin in 6-hydroxydopamine-induced parkinson’s disease in rats. Ann Neurosci 31:186–203PubMedCrossRef
Zurück zum Zitat Tiwari PC, Chaudhary MJ, Pal R, Nath R (2024b) Role of nitric oxide modulators in neuroprotective effects of mangiferin in 6-hydroxydopamine-induced parkinson’s disease in rats. Ann Neurosci 31:186–203PubMedCrossRef
Zurück zum Zitat Turkar MK, Sahu R, Jain D (2024) A comprehensive review on the synthesis of mangiferin derivatives and their multiple biological activities. Curr Org Chem.
Zurück zum Zitat Wang Z, Wang R, Tian J, Zhao B, Wei X-F, Su Y-L, Li C-Y, Cao S-G, Ji T-F, Wang L (2010) The effect of ultrasound on lipase-catalyzed regioselective acylation of mangiferin in non-aqueous solvents. J Asian Nat Prod Res 12:56–63PubMedCrossRef
Zurück zum Zitat Wang XL, Feng ST, Wang YT, Zhang NN, Guo ZY, Yan X, Yuan YH, Wang ZZ, Chen NH, Zhang Y (2022) Mangiferin, A natural glucoxilxanthone, Inhibits mitochondrial dynamin-related protein 1 and relieves aberrant mitophagic proteins in mice model of parkinson’s disease. Phytomedicine 104:154281PubMedCrossRef
Zurück zum Zitat Xi J-S, Wang Y-F, Long X-X, Ma Y (2018) Mangiferin potentiates neuroprotection by isoflurane in neonatal hypoxic brain injury by reducing oxidative stress and activation of phosphatidylinositol-3-kinase/akt/mammalian target of rapamycin (pi3k/akt/mtor) signaling. Med Sci Monitor Int Med J Exp Clin Res 24:7459
Zurück zum Zitat Xiang G, Guo S, Xing N, Du Q, Qin J, Gao H, Zhang Y, Wang S (2024) Mangiferin, A potential supplement to improve metabolic syndrome: current status and future opportunities. Am J Chin Med 52:355–386PubMedCrossRef
Zurück zum Zitat Xue-Jian L, Zheng-Cai D, Bu-Ming L, Wen-Ji H, Wen-Jie L, Jia-Gang D (2013) Synthesis and hypoglycemic activity of esterified-derivatives of mangiferin. Chin J Nat Med 11:296–301
Zurück zum Zitat Yan M, Bo X, Zhang X, Zhang J, Liao Y, Zhang H, Cheng Y, Guo J, Cheng J (2022) Mangiferin alleviates postpartum depression–like behaviors by inhibiting mapk signaling in microglia. Front Pharmacol 13:840567PubMedPubMedCentralCrossRef
Zurück zum Zitat Yang X, Zhao Y, Chen Y, Liao X, Gao C, Xiao D, Qin Q, Yi D, Yang B (2013) Host–guest inclusion system of mangiferin with β-cyclodextrin and its derivatives. Mater Sci Eng, C 33:2386–2391CrossRef
Zurück zum Zitat Yusakul G, Kitirattrakarn W, Tanwanichkul N, Tanaka H, Putalun W (2012) Development and application of an enzyme-linked immunosorbent assay for specific detection of mangiferin content in various cultivars of mangifera indica leaves using anti-mangiferin polyclonal antibody. J Food Sci 77:C414-c419PubMedCrossRef
Zurück zum Zitat Zhang J, Chen YM, Wang ZX, Zhou WB, Ullah H, Cao JX, Liu YP, Cheng GG (2023) The protective effect and mechanism of mangiferin on d-galactose-induced oxidative stress and cognitive impairment in aging mice by an integrated network pharmacology and experimental validation strategy. Food Front 4:1927–1945CrossRef
Zurück zum Zitat Zhang H, Wang L, Wang X, Deng L, He B, Yi X, Li J (2024a) Mangiferin alleviated poststroke cognitive impairment by modulating lipid metabolism in cerebral ischemia/reperfusion rats. Eur J Pharmacol 977:176724PubMedCrossRef
Zurück zum Zitat Zhang L-Y, Zhang S-Y, Wen R, Zhang T-N, Yang N (2024b) Role of histone deacetylases and their inhibitors in neurological diseases. Pharmacol Res 2024:107410CrossRef
Zurück zum Zitat Zhou H, Mao Z, Zhang X, Li R, Yin J, Xu Y (2023) Neuroprotective effect of mangiferin against parkinson’s disease through g-protein-coupled receptor-interacting protein 1 (git1)-mediated antioxidant defense. ACS Chem Neurosci 14:1379–1387
Zurück zum Zitat Zivković J, Kumar KA, Rushendran R, Ilango K, Fahmy NM, El-Nashar HA, El-Shazly M, Ezzat SM, Melgar-Lalanne G, Romero-Montero A (2024) Pharmacological properties of mangiferin: bioavailability, Mechanisms of action and clinical perspectives. Naunyn Schmiedebergs Arch Pharmacol 397:763–781PubMedCrossRef