Zum Inhalt

Population Pharmacokinetic and Pharmacodynamic Modelling and Simulation for Nedosiran Clinical Development and Dose Guidance in Pediatric Patients with Primary Hyperoxaluria Type 1

  • Open Access
  • 02.07.2025
  • Original Research Article
Erschienen in:

Abstract

Background and Objectives

Nedosiran (Rivfloza®) is an RNA interference (RNAi) therapy approved for individuals aged ≥ 2 years with primary hyperoxaluria type 1 (PH1), a rare autosomal-recessive disorder causing renal failure and systemic oxalosis. Nedosiran silences lactate dehydrogenase (LDH) mRNA in hepatocytes, reducing oxalate levels. This study evaluated the model-informed clinical development of nedosiran to support proposed doses in children aged 2 to < 12 years with PH1.

Methods

A population pharmacokinetic/pharmacodynamic (Pop-PK/PD) model characterizing the plasma concentration-time profile of nedosiran and its effect on the spot urine oxalate-to-creatinine ratio (Uox/Cr) was developed using data from six trials. Simulations assessed spot Uox/Cr reduction in children aged 2 to < 12 years for the proposed dosing regimen versus those aged ≥ 12 years weighing ≥ 50 kg with similar renal function.

Results

The datasets included 2087 PK (N = 148) and 668 spot Uox/Cr (N = 41, with PH1) observations. Body weight, estimated glomerular filtration rate (eGFR), and PH type were covariates in the PK model, with body weight in low and high percentiles affecting nedosiran exposures. Moderate renal impairment (eGFR 30–59 mL/min/1.73 m2) increased exposure, while only age was significant for baseline Uox/Cr in the PD model. Simulations showed similar Uox/Cr reduction and times to maximum effect in children aged 2 to < 12 years, treated once-monthly (Q1M) with 3.5 mg/kg, compared to those aged ≥ 12 years treated Q1M with 170 mg.

Conclusions

Simulations based on the final Pop-PK/PD model support the 3.5 mg/kg Q1M dosing regimen in children aged 2 to < 12 years with PH1 and relatively intact kidney function (eGFR ≥30 mL/min/1.73 m2).

Trial Registration

Trials are registered at ClinicalTrials.gov with study numbers NCT03392896 (PHYOX1), NCT03847909 (PHYOX2), NCT04042402 (PHYOX3), and NCT05001269 (PHYOX8) and at EudraCT with study numbers 2018-003098-91 (PHYOX2) and 2018-003099-10 (PHYOX3).

Supplementary Information

The online version contains supplementary material available at https://doi.org/10.1007/s40262-025-01540-1.
Key Points
Population PK and PK/PD models were developed to support the proposed dosing regimens of nedosiran for children aged 2 to < 12 years with primary hyperoxaluria type 1 (PH1) based on kidney function.
This modelling and simulation analysis supports the selected dosing regimen of nedosiran of 3.5 mg/kg once-monthly in children aged 2 to < 12 years with PH1 and relatively intact kidney function (eGFR ≥ 30 mL/min/1.73 m2).
This study provides evidence supporting the efficacy and safety of the 3.5 mg/kg once-monthly dosing regimen of nedosiran in pediatric patients with PH1 aged 2 to < 12 years. This could lead to more precise and effective dosing guidelines for young children, potentially improving clinical outcomes and reducing the risk of systemic oxalosis and kidney damage in this vulnerable population.

1 Introduction

Primary hyperoxaluria (PH) is a group of rare genetic disorders that typically manifest in childhood or adolescence. It encompasses three genetically distinct sub-types: PH1, PH2 and PH3, which are defined by specific mutations in genes encoding specific enzymes involved in glyoxylate metabolism in the liver [14]. Primary hyperoxaluria-1 is the most common and severe form, accounting for 70% to 80% of PH cases. It is caused by an autosomal recessive mutation of the AGXT gene, leading to a deficiency in alanine-glyoxylate aminotransferase enzyme (AGT), which results in the overproduction of oxalate by the liver [5]. Once released into the bloodstream, excessive amounts of insoluble oxalate are filtered by the kidneys. This excess oxalate binds to calcium, leading to the primary clinical manifestation of calcium-oxalate stones in the urinary tract (urolithiasis) or kidneys (nephrolithiasis). Excess systemic oxalate may then deposit in the kidney parenchyma (nephrocalcinosis), causing progressive kidney damage [48]. As kidney function declines, urinary excretion of oxalate decreases, and oxalate accumulates in the body, leading to systemic oxalosis. When severe kidney failure develops, patients may require a kidney transplant, often preceded by a period of intensive dialysis [1, 2, 4, 9, 10].
Primary hyperoxaluria-1 accounts for nearly all instances of clinically diagnosed pediatric oxalosis [1113]. Managing a child with PH1 involves addressing the possible challenges of systemic oxalosis, end-stage renal disease (ESRD) and preventing multi-organ damage [13]. This is particularly time-sensitive due to the disease’s rapid progression, which can occur in infancy [8].
To date, two RNA interference (RNAi) treatment therapies for PH1 have been approved. In 2020, the FDA and EMA approved lumasiran (OXLUMO®, Alnylam Pharmaceuticals, Inc.), which reduces hepatic oxalate production by targeting the synthesis of glycolate oxidase (GO) enzyme [14]. In 2023, the FDA approved nedosiran (RIVFLOZA®, Dicerna Pharmaceuticals, Inc., a Novo Nordisk Company) for adults and children aged ≥ 2 years, with PH1 and relatively intact kidney function [estimated glomerular filtration rate (eGFR) ≥ 30 mL/min/1.73 m2] [1517].
Nedosiran is a subcutaneously (SC) administered, synthetic, double-stranded siRNA oligonucleotide conjugated to an N-acetyl-d-galactosamine (GalNAc) ligand. This ligand is designed to target delivery to hepatocytes via the asialoglycoprotein receptor (ASGPR), enhancing liver tissue exposure and reducing renal clearance of nedosiran [1821]. Once internalized into hepatocytes, the siRNA disrupts the mRNA encoding the enzyme lactate dehydrogenase (LDH), which metabolizes glyoxylate to oxalate [15]. Suppression of LDH reduces hepatic oxalate production at its source in the liver, thereby decreasing oxalate levels and their associated complications [19, 2226].
Clinical studies have explored the potential of nedosiran in treating PH1, PH2, and PH3 (Table 1). The first-in-human phase 1 PHYOX1 clinical study (NCT03392896) in adult healthy volunteers (HVs) and children aged ≥ 6 years and adults with PH1 or PH2 demonstrated that nedosiran had a favorable safety and tolerability profile, with predictable PKs and proof-of-concept PDs. Simulations from a population pharmacokinetic/pharmacodynamic (Pop-PK/PD) model led to the identification of a fixed once-monthly (Q1M) dose of 170 mg (sodium salt; equivalent to 160 mg free acid) in adults as the optimal nedosiran dosing strategy. This dose regimen had the highest proportion of patients, with 75.7% reaching normal or 89.1% reaching near-normal 24-h urinary oxalate (Uox) excretion at Week 52 among all other doses simulated [18]. Based on these simulations, the following dose regimens according to age and weight were selected and confirmed in the pivotal phase 2 and 3 studies PHYOX2 (NCT03847909, EudraCT 2018-003098-91) and PHYOX3 (NCT04042402, EudraCT 2018-003099-10): patients aged ≥ 12 years and ≥ 50 kg a dose of 170 mg nedosiran Q1M, patients aged ≥ 12 years and < 50 kg a dose of 136 mg nedosiran (sodium salt; equivalent to 128 mg free acid) Q1M, and patients aged 6 to ≤ 11 years a dose of 3.5 mg/kg nedosiran (sodium salt; equivalent to 3.3 mg/kg free acid) Q1M (not to exceed 170 mg) [27, 28].
Table 1
Overview of studies included in Pop-PK and Pop-PK/PD models
Study
Study description
Dose and participants*
Sampling
PHYOX1
TRN: NCT03392896
Date of registration: 2018-01-08
Status: completed
A placebo-controlled, single-blind, single-center phase 1 study in HVs and open-label multicenter study in patients with PH (PH1 and PH2) to evaluate the safety, tolerability, PK, and PD of single ascending doses of nedosiran solution for SC injection use
Group A—HVs (adults)
• 0.3 mg/kg (n = 3)
• 1.5 mg/kg (n = 3)
• 3 mg/kg (n = 3)
• 6 mg/kg (n = 3)
• 12 mg/kg (n = 3)
Group B—PH patients (adults and children aged ≥ 6 y)
• 1.5 mg/kg (n = 6)
• 3 mg/kg (n = 8)
• 6 mg/kg (n = 4)
Plasma
• Day 1: 5, 15, and 30 min and 1, 2, 4, 6, 8, and 12 h after the injection, and at Days 2 (24 h), 3 (48 h), 8 (168 h), 15 (336 h), 22 (504 h) and 29 (672 h).
24-h urine collection (Group B)
• Screening, Day 8, 15, 22, 43, 57, and every 28 days until urine oxalate returned to 80% of baseline values
PHYOX2
TRN: NCT03847909
Date of registration: 2019-02-20
TRN: EudraCT: 2018-003098-91
Date of registration: 2019-03-05
Status: completed
A randomized, double-blinded, placebo controlled multi-dose phase 2 study to evaluate nedosiran dosing in children and adults with PH1 or PH2
Adult participants (aged ≥ 18 y)*
• 136 mg Q1M (n = 1) (< 50 kg)
• 170 mg Q1M (n = 13) (≥ 50 kg)
Adolescent participants (aged 12–17 y)*
• 136 mg Q1M (n = 1) (< 50 kg)
• 170 mg Q1M (n = 5) (≥ 50 kg)
Pediatric participants (aged 6–11 y)*
• 3.5 mg/kg Q1M (n = 3, not exceeding 136 mg)
Plasma
Aged ≥ 18 y:
• Days 1 and 30: pre-dose (0), 0.083, 0.25, 0.5, 1, 2, 4, 6, 10, 12, and 24 h post-dose
• Day 150: pre-dose (0), 2, 6, and 12 h post-dose
Aged 6–17 y:
• Days 1 and 30: pre-dose (0), 0.5, 2, 10, and 24 h post-dose
• Day 150: pre-dose (0), 2, and 10 h post-dose
24-h and single spot urine collection
• Screening, Day 30, 60, 90, 120, 150, 180, and end of treatment
PHYOX3
TRN: NCT04042402
Date of registration: 2019-02-20
TRN: EudraCT 2018-003099-10
Date of registration: 2019-06-12
Status: ongoing and enrolling by invitation
A phase 3, open-label 4-year extension roll-over study to evaluate the long-term safety and efficacy of nedosiran in patients with PH (PH1, PH2, and PH3)
Adult participants (aged ≥ 18 y)
• 170 mg Q1M (n = 35, in analysis)
Adolescent participants (aged 12–17 y)
• 136 mg Q1M (n = 1, in analysis) (< 50 kg)
• 170 mg Q1M (n = 9, in analysis) (≥ 50 kg)
Pediatric participants (aged < 12 y)
• 3.5 mg/kg Q1M (n = 22, in analysis, not exceeding 170 mg)
Plasma
Aged ≥ 18 y:
• Days 1 and 30: pre-dose (0), 0.083, 0.25, 0.5, 1, 2, 4, 6, 10, 12, and 24 h post-dose
• Day 150: pre-dose (0), 2, 6, and 12 h post-dose
Aged 6–17 y:
• Days 1 and 30: pre-dose (0), 0.5, 2, 10, and 24 h post-dose
• Day 150: pre-dose (0), 2, and 10 h post-dose
24-h and spot urine collection
• Screening, Day 30, 60, 90, 120, 150, 180 and end of treatment
PHYOX5
TRN: NA
Status: completed
A phase 1, open-label study to evaluate the PK following single SC injection of nedosiran in adults with severe RI with or without HD
Group 1b—Severe RI with HD
• 170 mg (n = 8)—8 h before HD
Group 1bb—Severe RI with HD
• 170 mg (n = 8)—2 h after HD
Group 2b—Severe RI without HD
• 170 mg (n = 8)
Group 3c—Normal RF
• 170 mg (n = 10)
Plasma
• Pre-dose (0), 0.25, 0.5, 1, 2, 4, 6, 8, 10, 12, 24, 48, 72, 96, 168, 336, and 672 h post-dose
PHYOX6
TRN: NA
Status: completed
A phase 1 open-label, single-dose escalation, parallel group study in healthy adult Japanese and Caucasian participants to evaluate the safety, tolerability, and PK of nedosiran
Group 1: Japanese adults
• 1.5 mg/kg (n = 6)
• 3 mg/kg (n = 6)
• 6 mg/kg (n = 6)
Group 2: Caucasian adults
• 1.5 mg/kg (n = 6)
• 3 mg/kg (n = 6)
• 6 mg/kg (n = 6)
Plasma
• Pre-dose (0), 0.25, 0.5, 1, 2, 4, 6, 8, 10, 12, 24, 48, 72, 168, and 336 h post-dose
PHYOX8
TRN: NCT05001269
Date of registration: 2021-08-11
Status: actively recruiting
A multi-dose open label phase 2 study to evaluate the safety, PK, and efficacy of nedosiran in pediatric patients aged from 0–11 y with PH (PH1, PH2, and PH3) and relatively intact renal function
Pediatric participants (aged < 12 y)
• 3.5 mg/kg Q1M (n = 21 in analysis, not exceeding 170 mg)
Plasma
• Day 1: one sample in the 0- to 4-h post-dose window and one sample in the 4- to 24-h post-dose window
• Day 2: one single sample during the visit
• Day 150: pre-dose, one sample in the 0- to 4-h post-dose window and one sample in the 4- to 24-h post-dose window
Spot urine collection (6 samples at screening, 4 samples at other visits)
• Screening, Day 30, 60, 90, 120, 150, 180, and end of treatment
HD hemodialysis, HV healthy volunteer, NA not applicable, PD pharmacodynamics, PH primary hyperoxaluria, PK pharmacokinetics, Q1M once-monthly, RF renal filtration, RI renal impairment, SC subcutaneous, TRN trial registration number
*Including only participants randomized for nedosiran treatment
In PHYOX2, adults and children aged 6 to 17 years demonstrated that nedosiran Q1M treatment, based on age and body weight, significantly reduced plasma oxalate and Uox excretion in PH1 patients [27]. PHYOX3, an ongoing phase 3 study, is enrolling patients who were rolled over from PHYOX1 and PHYOX2 to monitor long-term safety and efficacy. An interim analysis demonstrated that Q1M treatment of nedosiran substantially reduces Uox excretion for at least 30 months [28]. PHYOX8 (NCT05001269) is an ongoing phase 2 study to evaluate the efficacy, safety, and PK of nedosiran in pediatric patients from birth to 11 years of age with PH1, PH2, and PH3 and relatively intact renal function (eGFR ≥ 30 mL/min/1.73 m2) (Table 1). After completing 6 months of treatment in the PHYOX8 study, patients are eligible to roll over into the PHYOX3 study.
Building upon the prior Pop-PK and Pop-PK/PD models, which were based on data from a single ascending dose phase 1 study (PHYOX1) with 15 HVs and 10 patients with PH [18], an updated model with additional data from the PHYOX2, PHYOX3, PHYOX5, and PHYOX6 studies was used to evaluate the PK of nedosiran and the relationship between exposure and efficacy response of reduction in 24-h Uox. The purpose was to further support the development of nedosiran across a broader range of circumstances, including different age groups, weights, and renal functions. Simulations supported the determined pediatric dose of 3.5 mg/kg Q1M nedosiran dosing regimen in PH1 patients aged ≥ 6 years with relatively intact kidney function [29].
Here, we present a further updated Pop-PK/PD model based on the model described by Zhang et al. [29]. Incorporating additional data from pediatric patients of the studies PHYOX8 and PHYOX3, this model utilized data from pediatric and adult participants across a total of six clinical trials. We further developed the PD model based on spot urine oxalate-to-creatinine ratio (Uox/Cr) data as the PD endpoint from two phase 2 (PHYOX2 and PHYOX8) and one phase 3 (PHYOX3) studies, where the mean of 4 spot urine measurements was recorded at each visit. The primary objective was to characterize the Pop-PK and Pop-PK/PD relationship of nedosiran, specifically focusing on its impact on exposure and spot Uox/Cr in patients with PH1 aged 2 to < 12 years. The aim was to support the clinical development of nedosiran in pediatric patients by confirming the proposed nedosiran dosing regimen of 3.5 mg/kg Q1M in children aged 2 to < 12 years with PH1 and relatively intact kidney function.

2 Materials and Methods

2.1 Study Population

A total of 148 participants (34 pediatric and 114 adult participants) from the six clinical studies, PHYOX1, PHYOX2, PHYOX3, PHYOX5, PHYOX6, and PHYOX8 (Table 1), were included as part of the Pop-PK analysis. For the Pop-PK/PD analysis, a total of 41 participants (24 pediatric and 17 adult participants) with PH1 and at least one post-baseline spot Uox/Cr value were included from studies PHYOX2, PHYOX3, and PHYOX8. No patients in PHYOX1 were included in the PD modelling because no spot Uox/Cr samples were collected in that study (only 24-h urine collection). In contrast, patients rolling over from PHYOX2 and PHYOX8 to PHYOX3 were included, as they had available spot Uox/Cr baseline values from their initial studies; however, they were not considered as new patients after rolling over in the PD modelling analysis. Participants’ demographics included in the Pop-PK analysis and the PK/PD analysis are presented in Supplementary Table S1 and Table S2, respectively. For the ongoing studies PHYOX8 and PHYOX3, the PK and PD data in this analysis included the data at cut-off dates of August 21, 2023, and October 30, 2023, respectively.
The studies were conducted according to the provisions of the Declaration of Helsinki and Good Clinical Practice Guidelines of the International Conference on Harmonisation [30].

2.1.1 Bioanalysis of Plasma and Urine Samples

The plasma concentration data for nedosiran were obtained following a single SC dose in 85 healthy adult volunteers and single or multiple SC doses in 49 (85%) patients with PH1 and 14 (9.5%) patients with PH2, respectively, across the six clinical studies (PHYOX1, PHYOX2, PHYOX3, PHYOX5, PHYOX6 and PHYOX8) (Table 1). The 148 patients were grouped into different dosing subgroups based on age and body weight (Supplementary Tables S1 and S2).
The bioanalytical methods for the concentration analysis of nedosiran in plasma and oxalate in urine have been previously described [31]. In brief, blood samples were collected on specified visit days to measure plasma nedosiran concentrations before and after administration. Prior to these PK visits, spot urine samples were collected from participants with PH. In PHYOX2 and prior to subsequent roll-over into PHYOX3, single-spot urine samples were taken, whereas multiple-spot urine samples were collected in PHYOX8. Additional details of plasma and urine sampling can be found in Table 1.
Nedosiran concentrations in plasma were analyzed using anion-exchange high-performance liquid chromatography (AEX-HPLC) with a DNA-Pac PA100 column (Thermo Fisher). The mobile phase consisted of a gradient containing 25 mM Trizma buffer (pH = 8), 30% acetonitrile, and 1 mM EDTA in water, flowing at 1 mL/min. Detection was performed via a fluorescence detector (Shimadzu 20Axs), with a lower limit of quantitation (LLOQ) of 1.0 ng/mL.
Urinary oxalate concentrations were measured using an enzymatic oxalate kit from Trinity Biotech (Bray, Ireland). This method involves oxalate oxidation by oxalate oxidase, followed by hydrogen peroxide (H2O2) detection via a peroxidase reaction. Urinary creatinine concentrations were determined by utilizing a central laboratory calibrated according to national standards. The LLOQs for spot urine creatinine and oxalate were 375 μmol/L and 50 μmol/L, respectively. Spot Uox/Cr were not available if either analyte was below its LLOQ.

2.1.2 PK Data

Nedosiran plasma concentration data were collected from 2087 samples of 148 participants across six clinical studies (PHYOX1, PHYOX2, PHYOX3, PHYOX5, PHYOX6, and PHYOX8) and included in the Pop-PK analysis. In PHYOX2 and PHYOX3, eight plasma samples per patient were collected for those aged 6–17 years. In PHYOX8, six plasma samples were collected per patient, while in PHYOX5 and PHYOX6, 15 and 16 plasma samples, respectively, were collected per patient (Table 1).
For the PK analysis, the participants were grouped into six age-based subgroups: ages 0 to < 2 years (n = 1), 2 to < 6 years (n = 12), 6 to < 9 years (n = 6), 9 to < 12 years (n = 5), 12 to < 18 years (n = 10), and ≥ 18 years (n = 114) (Supplementary Table S1). The PK population in the PHYOX3 study included one additional patient with PH2, who was a sibling of one of the rollover patients from PHYOX1. Nedosiran PK plasma concentration data from 16 rollover participants from PHYOX1 to PHYOX3 were included in the PK analysis, and these participants were considered as the same patient in the analysis but with new covariate values.
Samples with a LLOQ value below 1.0 ng/mL were excluded from the PK analysis, resulting in 11% (281/2501) of the PK samples being below this threshold. As anticipated, most of these samples (233/281) were collected more than one week after dosing, as nedosiran exhibits half-life in plasma ranged from 4.6 to 13.8 h [18]. Furthermore, a sensitivity analysis conducted during model development indicated that including samples LLOQ using the M3 method [32] had no effects on the parameter estimates and covariate effects and did not impact the exposure outcomes.

2.2 Pop-PK Model Development

The Pop-PK model for nedosiran was further developed based on previously published models [18, 29]. A schematic representation as part of a Pop-PK/PD model is shown in Fig. 1. In brief, the Pop-PK model structure included a two-compartment disposition, with dual-transit absorption model to better describe the dual absorption (i.e., slow and fast pathways) of nedosiran following SC administration. A dual linear and non-linear Michaelis–Menten model was used to describe the more-than-proportional increase in exposure as the dose increased.
Fig. 1
Schematic representation of the POP-PK/PD model. Ceff effect compartment concentration, CL/F apparent clearance, Eff the inhibitory effect of nedosiran on the zero-order production rate of Uox/Cr, FR1 fraction of the dose absorbed via the slow pathway, γ Hill coefficient, IC50 half maximal inhibitory concentration, Imax maximum inhibitory effect, ka1 absorption transit rate constant for the slow pathway, ka2 absorption transit rate constant for the fast pathway, ke0 first-order equilibrium rate constant of effect compartment, kin zero-order production rate of spot Uox/Cr, KM Michaelis-Menten constant, kout first-order elimination rate of spot Uox/Cr, λ equilibration half-life in the effect compartment, Q/F apparent inter-compartmental clearance, SC subcutaneous, Uox/Cr spot urine oxalate-to-creatinine ratio, Vc/F apparent volume of distribution for the central compartment, Vmax maximum metabolic rate, Vp/F apparent volume of distribution for the peripheral compartment
Bild vergrößern
Inter-individual variability (IIV) with log-normal distribution was considered for the apparent volume of distribution (Vc/F), maximum metabolic rate (Vmax) and the absorption transit rates (ka1 and ka2), and IIV with a logit-normal distribution for the fraction of the dose absorbed via the slow pathway FR1. The residual unexplained variability was described with an exponential error model.
Goodness of fit (GOF) plots and visual predictive checks (VPCs) (Figs S1 and S2) were used to evaluate the Pop-PK model. The relative standard error (RSE) of the parameters, derived from the estimated asymptotic variance-covariance matrix for all the estimates, and shrinkage of IIV, were considered to assess the robustness of the PK model.
A covariate analysis was performed by reassessing the following previously identified significant covariates: eGFR on CL/F and Vc/F, body weight on both absorption transit rates ka1 and ka2, body weight on Vmax, and PH type in the slow absorption transit rate ka1. The covariate formulas are included in Table 2. The eGFR for each participant was estimated using the formulas listed in supplementary Table S3. For the pediatric participants, the renal maturation function (RMF) that describes the increase in glomerular filtration rate with post-menstrual age (PMA) in weeks, RMF = PMA3.4/(PMA3.4 + 47.63.4), was included in the derivation of their eGFR [33]. The individual age and eGFR for the participants aged < 18 years are listed in supplementary Table S4.
Table 2
Parameter estimates of Pop-PK model of nedosiran
Parameter
Label
Units
Estimates
RSE (%)
95% CI
Shrinkage (%)
CL/F
Apparent clearance
L/h
6.10
11.4
[4.74; 7.47]
NA
Vc/F
Apparent volume of distribution
L
148
6.07
[130; 165]
NA
Ka1
First-order absorption rate constant for the Slow pathway
1/h
0.212
6.78
[0.184; 0.240]
NA
Ka2
First-order absorption rate constant for the fast pathway
1/h
14.9
4.48
[13.6; 16.2]
NA
FR1
Fraction of the dose absorbed via the slow pathway
 
0.692
2.20
[0.662; 0.721]
NA
Vp/F
Apparent volume for the peripheral compartment
L
6560
22.4
[3690; 9440]
NA
Q/F
Apparent inter-compartmental clearance
L/h
2.79
13.0
[2.08; 3.51]
NA
Vmax
Maximum metabolic rate
mg/h
3.37
20.9
[1.99; 4.75]
NA
KM
Michaelis–Menten constant
ng/mL
248
26.7
[118; 378]
NA
CL.EGFR
EGFR on CL/F
 
0.969
11.6
[0.749; 1.19]
NA
Vc.EGFR
EGFR on Vc/F
 
0.174
18.1
[0.112; 0.236]
NA
ka.BW
BW on ka1 and ka2
 
-0.221
47.9
[−0.428; 0.0135]
NA
CL.BW
BW on CL/F
 
0.750
Fixed
Fixed
NA
V.BW
BW on Vc/F and Vp/F
 
1.00
Fixed
Fixed
NA
Ka1.PH
PH Type 1 on ka1
 
1.32
9.66
[1.07; 1.57]
NA
Vmax.BW
BW on Vmax
 
0.492
14.2
[0.355; 0.629]
NA
Vc/F.IIV
IIV on Vc/F (CV%)
%
27.9
11.1
NA
23.7
Ka1.IIV
IIV on ka1 (CV%)
%
49.3
11.8
NA
16.8
Ka2.IIV
IIV on ka2 (CV%)
%
53.4
17.1
NA
8.94
Vmax.IIV
IIV on Vmax (CV%)
%
35.1
10.4
NA
11.5
FR1.IIV
IIV on FR1 (additive on logit) (SD)
 
0.342
17.5
NA
35.4
ExpError
Exponential residual error (CV%)
%
30.8
4.81
NA
12.6
BW body weight, CI confidence interval, CL/F apparent clearance, CV coefficient of variation, EGFR estimated glomerular filtration rate, FR1 fraction of the dose absorbed via the slow pathway, IIV inter-individual (between-subject) variability, ka1 absorption transit rate constant for the slow pathway, ka2 absorption transit rate constant for the fast pathway, KM Michaelis–Menten constant, NA not applicable, PH primary hyperoxaluria, PK pharmacokinetics, Pop population, Q/F apparent inter-compartmental clearance, RSE relative standard error, Vc/F apparent volume of distribution for the central compartment, Vmax maximum reaction rate, Vp/F apparent volume of distribution for the peripheral compartment
Covariate formulas:
CL/F = TVCL × (BW/BWref)CL.BW × (eGFR/eGFRref)CL.eGFR
Vc/F = TVVc × (BW/BWref)V.BW × (eGFR/eGFRref)Vc.eGFR
Q/F = TVQ × (BW/BWref)CL.BW
Vp/F = TVVp × (BW/BWref)V.BW
Ka1 = TVKa1 × (BW/BWref)ka.BW × (Ka1.PH)PH
Ka2 = TVKa2 × (BW/BWref)ka.BW
Vmax = TVVmax × (BW/BWref)
TV refers to the typical population estimate for the covariate reference values
Reference values are: BWref = 70 kg and eGFRref = 90 mL/min/1.73 m2. Covariate units are: BW is in kg EGFR is in mL/min/1.73 m2 and PH = 1 for PH1 subjects and 0 for PH2 and healthy volunteers
The estimation of the Pop-PK parameters was carried out in NONMEM, using the FOCE+i method.

2.2.1 Pop-PK Model Simulations

The Pop-PK model was used to perform simulations on a virtual population to compare exposures for different age groups and renal functions. The virtual population was generated from the WHO z-scores weight-for-age tables [34] (children aged up to 10 years) and the continuous NHANES datasets from periods 1999 to 2012 [35], and, for the pediatric participants, the renal maturation function (RMF) was included in the derivation of their eGFR [33, 36]. The different age groups and renal categories were uniformly sampled across sex. Each group consisted of 1000 virtual PH1 patients. The following age ranges were considered: from 2 to < 6 years, from 6 to < 9 years, from 9 < 12 years, from 12 to < 18 years, and ≥ 18 years. The following renal categories were considered: normal renal function: ≥ 90 mL/min/1.73 m2, mild renal impairment: 60–89 mL/min/1.73 m2, moderate renal impairment: 30–59 mL/min/1.73 m2.

2.2.2 PD Data

Data from 668 spot Uox/Cr observations of 41 patients with PH1, collected from the phase 2 studies PHYOX2 and PHYOX8 and the phase 3 study PHYOX3, were utilized for building the Pop-PK/PD model. Spot urine samples were collected for each patient at screening and on a monthly basis. For studies PHYOX8 and PHYOX3, 6 spot urine samples were collected over a 3-day period at screening, and 4 spot urine samples were collected over a 2-day period during treatment. The baseline value considered for each subject in the PD model was the average of the 6 samples at screening. The 4 samples collected monthly during treatment were included as individual values at their corresponding collection times to contribute to the estimation of the residual variability of the PD model.
For the Pop-PD analysis, the participants were grouped based on age into six groups: ages 0 to < 2 years (n = 0), 2 to < 6 years (n = 8), 6 to < 9 years (n = 5), 9 to < 12 years (n = 5), 12 to < 18 years (n = 6), and ≥ 18 years (n = 17) (Supplementary Table S2). The PD population in the PHYOX3 study included 8 rollover patients with PH1 who were on placebo in the PHYOX2 study and had Uox/Cr observations in PHYOX3. In PHYOX3, baseline was considered to be that of the parent study.

2.2.3 Pop-PK/PD Model Development

The development of a Pop-PK/PD model (schematic shown in Fig. 1), with spot Uox/Cr as a PD-dependent variable, was achieved by integrating previously published models [18, 29] and combining the updated Pop-PK model with a longitudinal Pop-PD model expressed by ordinary differential equations. The Pop-PD model comprised an indirect model with an effect compartment to describe the sustained effect of nedosiran on the reduction in spot Uox/Cr and to account for the relatively fast elimination of nedosiran from the plasma (< 1 week). In the final Pop-PK/PD model, the predicted individual plasma concentrations from the Pop-PK model drive the effect on Uox/Cr, with the drug effect of nedosiran modelled as a sigmoidal maximum inhibitory effect (Imax) function inhibiting the production of Uox/Cr. Body weight, age and eGFR were assessed as continuous covariates on half maximal inhibitory concentration (IC50) and Imax [37] and, based on the reported results by Matos et al. [37], age was included and evaluated as a covariate for Uox/Cr baseline (the covariate formula is included in Table 3). The estimation of the PD parameters was performed in NONMEM, using the FOCE+i method.
Table 3
Parameter estimates of Pop-PK/PD model of nedosiran
Parameter
Label
Units
Estimates
RSE (%)
95% CI
Shrinkage (%)
Kout
First-order elimination rate of Uox/Cr
1/wk
0.338
Fixed
Fixed
NA
BSL
Baseline spot urine oxalate to creatinine ratio
mmol/mol
264
11.9
[202; 325]
NA
Imax
Maximum inhibitory effect (proportion)a
 
0.687
3.50
[0.640; 0.734]
NA
IC50
Half maximal inhibitory concentration in the effect compartment
ng/mL
1.68
21.0
[0.992; 2.38]
NA
Gamma
Hill coefficient
 
2.56
Fixed
Fixed
NA
Lambda
Equilibration half-life in the effect compartment
week
21.9
Fixed
Fixed
NA
AGE.BSL
AGE on Uox/Cr BSL
 
−0.450
14.6
[−0.578; −0.321]
NA
BSL.IIV
IIV on BSL (CV%)
%
42.2
9.73
NA
4.42
IC50.IIV
IIV on IC50 (CV%)
%
85.2
17.9
NA
34.1
PropError
Proportional residual error (CV%)
%
35.5
8.88
NA
3.42
Covariate formula: BSL = TVBSL × (AGE/AGEref)AGE.BSL. TV refers to the typical population estimate for the covariate reference value. Reference value is: AGEref = 6 years. Covariate unit is: AGE is in years
BSL baseline, CI confidence interval, CV coefficient of variation, IC50 half maximal inhibitory concentration, IIV inter-individual (between-subject) variability, Imax maximum inhibitory effect, kout elimination rate constant in PD compartment, PK/PD pharmacokinetics/pharmacodynamics, Pop population, RSE relative standard error, Uox/Cr spot urine oxalate-to-creatinine ratio
aCorresponding to 68.7%
GOF plots and VPCs were used to evaluate the Pop-PK/PD model (Figs 2 and 3). The RSE of the parameters and shrinkage of IIV were considered to assess the robustness of the PK/PD model.
Fig. 2
Standard GOF plots of the final Pop-PK/PD model. GOF goodness of fit, PK/PD pharmacokinetics/pharmacodynamics, Pop population, Uox/Cr spot urine oxalate-to-creatinine ratio
Bild vergrößern
Fig. 3
Visual predictive check (VPCs) for the final Pop-PK/PD model stratified by study. Dashed blue lines represent observed 5th and 95th percentiles, solid red line represent observed median, and shaded areas represent 95% CI around the model predicted 5th, median, and 95th percentiles. CI confidence interval, PK/PD pharmacokinetics/pharmacodynamics, Pop population, Uox/Cr spot urine oxalate-to-creatinine ratio
Bild vergrößern

2.2.4 Pop-PK/PD Model Simulations

The same virtual population, age and renal groups considered for the PK simulations (see section above) were used to perform Pop-PK/PD simulations to compare the efficacy across groups. Only PH1 participants were considered for the PK/PD simulations. The estimated parameters and corresponding IIV of the final PK and PD models were sampled to perform the simulations of the virtual patients. The uncertainties on the PK/PD parameters were not included in the simulations.

2.2.5 Software

Analyses were performed using NONMEM version 7.5.1 (ICON, Hanover, MD) and Perl-speaks-NONMEM (PsN) version 5.3.1. Data management, simulations, computation of summary statistics, and graphical analyses were performed using R version 4.2.0.

3 Results

3.1 Updated Pop-PK Model and Pop-PK/PD Model Estimation and Validation

The previous Pop-PK model [29] was revised with successful convergence and covariance steps. The updated parameter estimates (Table 2) align closely with the estimates reported in Zhang et al. [29], and the covariates that were significant in the previous Pop-PK model remain unchanged. This remains significant, despite the relatively high uncertainty (approximately 48%) in the estimated covariate body weight on the absorption rates (parameter KA.BW), likely due to sparse sampling in pediatric patients, which limits characterization of absorption in the low weight range and the effect of potential outlier observations. This resulted in an order of the finite volume (OFV) reduction of 4.6 (p value < 0.05), justifying its retention in the model. The sensitivity analysis of potential outliers reduced the uncertainty of this covariate and resulted in an OFV reduction of 19.1 (p value < 0.001).
The eta- and eps-shrinkages were < 25% except for the random effects of FR1 (fraction of the dosed absorbed via the slow pathway), which reached 35%, and probably due to the sparse sampling in the pediatric patients.
The initial set of PD parameters in the Pop-PK/PD model demonstrated a high condition number and high uncertainty in some of the parameters. When fixing the elimination rate from the PD compartment kout, equilibrium half-life constant λ, and the Hill exponent γ to previous estimates from the 24-h urine oxalate PD model [29], it resulted in an acceptable PD fit with successful convergence and covariance steps. Parameter estimates of the Pop-PD model are provided in Table 3. The eta- and eps-shrinkages were < 5% except for the random effects of IC50, which was 34%.

3.2 Covariate Analysis of Relative Exposure and PD Endpoint

The impact of covariates on nedosiran exposure was assessed using the updated Pop-PK model (Fig. 4). The reference individual is an adult of 75 kg weight, with PH1, and normal renal function, receiving a dose regimen of 170 mg Q1M. The same dose regimen was considered for all categories. The covariates evaluated were therefore renal function (considering the middle-range value of eGFR for the group), body weight (two categories: 5th and 95th percentiles of the participants aged ≥ 12 years), and PH subtype (type 1 vs type 2 or HV).
Fig. 4
Covariate effects on relative exposure. Forest plots show data represented as AUCtau,ss (a) and Cmax,ss (at steady state) (b), respectively, relative to a reference participant profile (PH1 adult of 75 kg body weight with eGFR = 100 mL/min/1.73 m2 and 170 mg Q1M dose regimen). Forest plots show medians and 90% CI of relative exposure. Vertical dotted lines represent the bioequivalence limits [0.80, 1.25]. AUC area under the concentration-time curve, AUCtau,ss AUC over the dosing interval at steady state, CI confidence intervals, Cmax,ss maximum concentration at steady state, PH primary hyperoxaluria, Q1M once-monthly
Bild vergrößern
Body weight in the 95th percentile showed a decrease in relative exposures at steady state, with fold of decrease in median AUCtau and Cmax values of 0.76 (90% confidence interval [CI] 0.71, 0.81) and 0.71 (90% CI 0.65, 0.78), respectively, both close to the lower limit of the bioequivalence range 0.80, 1.25. Body weight in the 5th percentile showed an increase in relative exposures at steady state, with fold of increase in median AUCtau and Cmax values of 1.45 (90% CI 1.37, 1.54) and 1.57 (90% CI 1.42, 1.71), respectively, both exceeding the upper bioequivalence limit of 1.25. Moderate renal impairment (eGFR 30–59 mL/min/1.73 m2) correlated with an increase in AUCtau and Cmax, with folds of 1.42 (90% CI 1.35, 1.51) and 1.27 (90% CI 1.17, 1.36), respectively, where both PK parameters exceed the upper bioequivalence limit. The PH subtype status showed no effect on exposure of nedosiran.
Age was identified as a significant covariate of Uox/Cr at baseline, showing that younger individuals exhibited higher spot Uox/Cr levels, which declined with increasing age. This finding is consistent with established medical knowledge [37]. When including age, body weight, or eGFR as covariates on IC50, none were found to be significant and the relatively high IIV of IC50 was not reduced.

3.2.1 Simulated Nedosiran Exposures

Comparisons of model-based simulations of nedosiran fold changes in exposures, AUCtau and Cmax at steady state (AUCtau,ss and Cmax,ss), across age ranges for different renal function parameters are presented in Fig. 5. The group, aged ≥ 12 years with a weight ≥ 50 kg and corresponding renal function, served as the reference.
Fig. 5
Comparison of simulated fold changes in nedosiran (AUCtau and Cmax at steady state) across age ranges for the renal functions PH1 with normal renal function (a), PH1 with mild renal impairment (b), and moderate renal impairment (c), using as reference the group age ≥ 12 and weight ≥ 50 kg with corresponding renal function. The solid black line represents no change from the median of the reference group. Dashed red or orange lines represent the 50–200%, 80–125% or 80–150% range of the reference group. The blue dots and error bars represent the median and 95% PI. AUC area under the concentration-time curve, AUCtau,ss AUC over the dosing interval at steady state, CI confidence intervals, Cmax,ss maximum concentration at steady state, PH1 primary hyperoxaluria type 1, PI prediction interval
Bild vergrößern
For all age groups between 2 to < 12 years receiving Q1M 3.5 mg/kg with a maximum dose of either 136 mg or 170 mg, the median AUCtau,ss was within 0.8-fold to 1.5-fold, and the median Cmax,ss was below 2-fold compared to the reference group (patients aged ≥ 12 years and weight ≥ 50 kg, Q1M 170 mg) with corresponding renal function.
In detail, for the group aged 9 to < 12 years, the median AUCtau,ss was above 1-fold but below 1.5-fold, and the median Cmax,ss ranged from above 1-fold to below 2-fold compared to the reference group. For the group aged 6 to < 9 years, similar results were observed with the median AUCtau,ss between 1- and 1.5-fold, and the median Cmax,ss ranging from above 1-fold to below 2-fold. In the age group 2 to < 6 years, the median AUCtau,ss was similar to the reference group, and the median Cmax,ss was below 2-fold.

3.2.2 PK/PD Simulations

Simulations with the final Pop-PK/PD model were performed to compare the time profiles of the PD endpoint, spot Uox/Cr, across age groups and renal functions, using as a reference the population aged ≥ 12 years and weighing ≥ 50 kg with a dosing regimen of 170 mg Q1M. The median and 90% prediction interval (PI) time profiles across age ranges and different renal function categories are shown in Figs. 6 and 7.
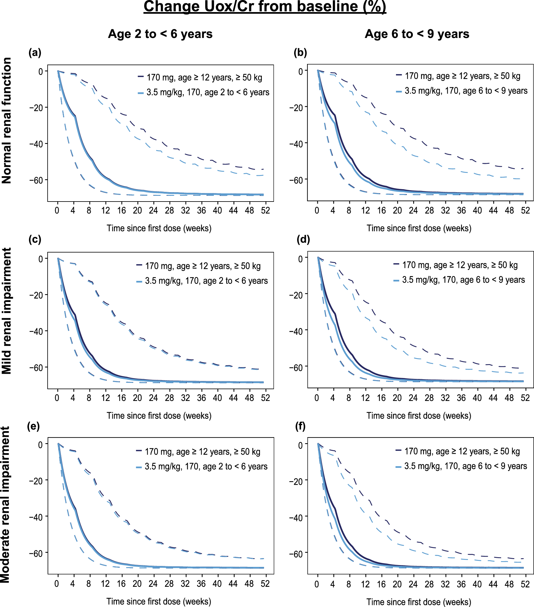
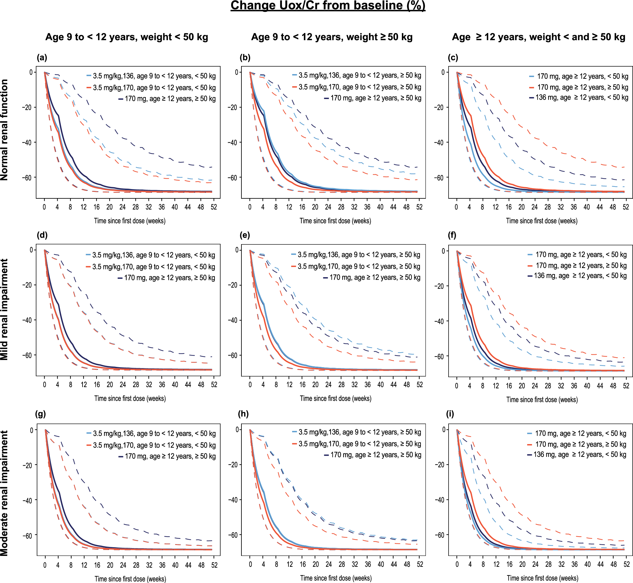
Fig. 6
Simulated change in mean spot Uox/Cr from baseline in patients with PH1 treated with nedosiran, comparing different age groups for various renal functions. Comparison of the age group from 2 to < 6 years (3.5 mg/kg Q1M) versus age ≥ 12 years and weight ≥ 50 kg (170 mg Q1M) for different renal functions for normal renal function (a), mild renal impairment (c), and moderate renal impairment different renal functions (e). Comparison from 6 to < 9 years with weight < 50 kg (3.5 mg/kg Q1M, with max dose of 136 or 170 mg) versus age ≥ 12 years with weight ≥ 50 kg (170 mg Q1M) for normal renal function (b), mild renal impairment (d), and moderate renal impairment different renal functions (f). Solid lines represent medians and dashed lines 90% PI. PH1 primary hyperoxaluria type 1, PI prediction interval, Q1M once-monthly, Uox/Cr spot urine oxalate-to-creatinine ratio
Bild vergrößern
Fig. 7
Simulated change in mean spot Uox/Cr from baseline in patients with PH1 treated with nedosiran, comparing different age and weight combinations for various renal functions. Comparison of the age group from 9 to < 12 years with weight < 50 kg (3.5 mg/kg Q1M) with a max dose of 136 and 170 mg, respectively, versus age ≥ 12 years with weight ≥ 50 kg (170 mg Q1M) for normal renal function (a), mild renal impairment (d), and moderate renal impairment different renal functions (g). Simulated spot Uox/Cr in patients with PH1. Comparison of the age group from 9 to < 12 years with weight ≥ 50 kg (3.5 mg/kg Q1M) and with a max dose of 136 and 170 mg, respectively, versus age ≥ 12 years and weight ≥ 50 kg (170 mg Q1M) for normal renal function (b), mild renal impairment (e), and moderate renal impairment different renal functions (h). Simulated spot Uox/Cr in patients with PH1. Comparison of the age group ≥ 12 years with weight ≥ 50 kg and weight < 50 kg, respectively, and a dose of 170 mg Q1M, versus age ≥ 12 years with weight < 50 kg and a dose of 136 mg Q1M for normal renal function (c), mild renal impairment (f), and moderate renal impairment different renal functions (i) Solid lines represent medians and dashed lines 90% PI. PH1 primary hyperoxaluria type 1, PI prediction interval, Q1M once-monthly, Uox/Cr spot urine oxalate-to-creatinine ratio
Bild vergrößern
When comparing the change of Uox/Cr from baseline, in all groups aged < 12 years (Q1M 3.5 mg/kg with a maximum dose of 170 mg), the median and 90% PI time profiles were similar to the reference group. The predicted median time from start of treatment to reach the plateau was similar, at around 12 to 16 weeks. The predicted percentage of patients reaching a 60% Uox/Cr reduction after 26 weeks of treatment is shown in Table 4 for the different renal function parameters.
Table 4
Simulated percentage of patients with primary hyperoxaluria type 1 reaching 60% spot urine oxalate-to-creatinine ratio reduction after 26 weeks of treatment with nedosiran for various levels of renal functions
 
Patients (%)
Group
Normal renal function
Mild renal impairment
Moderate renal impairment
136 mg, age ≥ 12 y, <5 0 kg
88
92.2
95.7
136 mg, age ≥ 12 y, ≥ 50 kg
70.6
80.1
83
170 mg, age ≥ 12 y, < 50 kg
94.9
95.7
98.7
170 mg, age ≥ 12 y, ≥ 50 kg
78.1
88
91.1
3.5 mg/kg, 136, age 2 to < 6 y
81.7
86.8
92.1
3.5 mg/kg, 136, age 6 to < 9 y
86.1
92.1
94.8
3.5 mg/kg, 136, age 9 to < 12 y, < 50 kg
89.9
93.7
96.8
3.5 mg/kg, 136, age 9 to < 12 y, ≥ 50 kg
79.6
87.3
90.3
3.5 mg/kg, 170, age 2 to < 6 y
82
88.9
90.7
3.5 mg/kg, 170, age 6 to < 9 y
88.3
92.3
94.8
3.5 mg/kg, 170, age 9 to < 12, < 50 kg
89.4
93.7
96.9
3.5 mg/kg, 170, age 9 to < 12 y, ≥ 50 kg
87.2
92.6
94.7

4 Discussion

Here, we present nedosiran Pop-PK/PD modelling and simulation results for the treatment of pediatric patients aged from 2 to < 12 years with PH1. The final Pop-PK and Pop-PK/PD models used in this study were updated based on the prior models described by Zhang et al. [29]. The multi-sampled Uox/Cr was chosen as the primary endpoint for the pivotal clinical study PHYOX8 and the final Pop-PK/PD model, as this had been a practically acceptable measure of the effect of nedosiran in children, as observed in the PHYOX2 study, in comparison to a 24-h Uox measurement in adolescents and adults. This ratio is believed to mitigate potential biases that may arise from spot urine collections or variations in renal function, given that creatinine and oxalate levels tend to change in a similar direction under altered physiological conditions.
In our previous study [29], a comprehensive dataset comprising PK data from 143 HVs and patients with PH1 or PH2 and PD data (24-h Uox) from 46 patients with PH1 enabled the identification of significant covariates in the Pop-PK model, such as body weight, eGFR, and disease status. In this Pop-PK model, additional data were added from pediatric patients aged < 18 years from PHYOX3 (n = 1) and PHYOX8 (n = 21) to the dataset and patients who rolled over from PHYOX1 to PHYOX3 (n = 16) were not considered as new patients, unlike in the previous Pop-PK model. This resulted in 2087 PK data from 148 participants, including HVs and patients with PH1 or PH2. Additionally, 688 spot Uox/Cr observations from 41 patients with PH1 were included to develop the final Pop-PK and Pop-PK/PD models.
In the final Pop-PK model, a covariate analysis identified body weight, eGFR, and PH type as significant covariates. Simulated from the final Pop-PK model, body weight was associated with variations in nedosiran exposures, showing increased exposure in participants with the 5th percentiles and decreased exposure in participants with the 95th percentiles of body weight. Moderate renal impairment (eGFR 30–59 mL/min/1.73 m2) was associated with increased exposure. In contrast, mild renal impairment (eGFR 60–89 mL/min/1.73 m2), PH2 type, and status as an HV showed no significant effect on nedosiran exposure. In addition, the plasma concentrations of nedosiran in one participant with transient treatment-emergent anti-drug antibodies were comparable to those of the other participants.
The sparse PK sampling from pediatric participants from the PHYOX8 study limits the accuracy of their estimated individual PK parameters. However, the results of the same PK structural model, derived previously for adults, adolescents, and children aged ≥ 9 years [29], hold well also for pediatric participants aged 2 to < 9 years.
The limited range of nedosiran exposures from patients with available spot urine collection, Q1M dosing of 170 mg in adults and adolescents aged ≥ 12 years of age weighing ≥ 50 kg, and 3.5 mg/kg (not exceeding either 136 mg or 170 mg) in children aged < 12 years, prevents a full characterization of the sigmoidal maximum inhibitory effect. The absence of spot urine measurements after discontinuation of the treatment limits the estimation of certain PD and disease-related parameters: the equilibration half-life and Hill exponent in the effect compartment (γ and λ), and the elimination rate in the PD compartment in the absence of treatment (kout). The Pop-PK/PD model, therefore, has limited robustness outside of the investigated exposure range and after treatment cessation.
The Pop-PK/PD model was used to assess the effect of covariates on efficacy response based on simulations in pediatric subpopulations. No significant covariates were identified for the IC50 and Imax within the Pop-PD model. However, age was identified as a significant covariate affecting the baseline spot urine oxalate to creatinine ratio (Uox/Cr).
Evaluation of the Pop-PK and Pop-PK/PD models, by means of goodness of fit (GOF) and visual predictive check (VPC) plots, showed that they were adequately able to describe both the median trend and variability in the observed PK and PD efficacy data. Overall, the updated and final Pop-PK and Pop-PK/PD models were considered adequate for descriptive and predictive purposes.
Based on simulations with the final Pop-PK model, the PK characteristics of nedosiran in pediatric patients aged 2 to < 12 years were similar to those in adolescent (aged ≥ 12 to < 18 years) and adult patients. Nedosiran plasma concentrations peaked approximately 6–12 h post-dose and then declined with a biphasic disposition. No accumulation of nedosiran at steady state was identified, with plasma concentrations close to or below LLOQ before each monthly dose.
Simulations with the final Pop-PK/PD model showed similar reductions of spot Uox/Cr over treatment time and similar time to reach the maximum effect in pediatric patients with PH1 across the different age groups: 2 to < 6 years, 6 to < 9 years, and 9 to < 12 years, as well as across the differing kidney functions of normal, mild and moderate renal impairment on the dose regimen of 3.5 mg/kg Q1M, when compared to patients with PH1 aged ≥ 12 years and weighing ≥ 50 kg with the dose regimen 170 mg Q1M.
Additionally, Pop-PK/PD simulations showed a marginal improvement in the reduction of spot Uox/Cr for the population aged 9 to < 12 years with weight < 50 kg when the dose of 3.5 mg/kg Q1M is capped at 170 mg instead of 136 mg, and both maximum doses showed similar fold changes in exposures when compared to age ≥ 12 years weighing ≥ 50 kg with similar renal function.
The simulations support that the nedosiran dose of 3.5 mg/kg Q1M is as efficacious in children with PH1 aged 2 to < 12 years as in adults and adolescents with PH1 aged ≥ 12 years and weighing ≥ 50 kg administered with 170 mg Q1M.

5 Conclusions

The Pop-PK/PD modelling and simulations of nedosiran treatment support the current therapeutic dosing regimen being studied in children aged 2 to < 12 years with PH1 and relatively intact kidney function.

Acknowledgments

Authors thank the patients and their families, nurses and study coordinators, and all investigators involved in this study, including members of the PHYOX1, PHYOX2, PHYOX3, PHYOX5, PHYOX6 and PHYOX8 studies, without whom the study would not have been possible. The sponsor was involved in the study design, collection, analysis, and interpretation of data, as well as data checking of information provided in the manuscript. Medical writing and editorial support were provided by Kati Rehberg, PhD of Novo Nordisk A/S (Denmark).

Declarations

Funding

This study was supported by Dicerna Pharmaceuticals, Inc., a Novo Nordisk Company (Lexington, MA, USA).

Conflict of interest

All authors are employees, and SZ and VR are shareholders of Novo Nordisk.

Ethics approval

The institutional review board or ethics committee at each participating center approved the final study protocols.
Written informed consent was obtained from all adult participants and participating children’s parents or legal guardians. The safety review committee convened at predefined decision points and the occurrence of any potential dose-limiting toxicities to ensure the acceptability of continued nedosiran administration within each study (and cohort) and of dose escalation to subsequent cohorts (where applicable).
Not applicable.

Availability of data and material

Data will be made available, on reasonable request.

Code availability

Not applicable.

Author contributions

Steven Zhang was responsible for the study conception and design. Model development and simulations were performed by Pablo Gamallo. Verity Rawson ensured medical accuracy. All authors participated in the interpretation of the study data, drafting of the manuscript, critical revision, and approval of the final version of the manuscript.
Open Access This article is licensed under a Creative Commons Attribution-NonCommercial 4.0 International License, which permits any non-commercial use, sharing, adaptation, distribution and reproduction in any medium or format, as long as you give appropriate credit to the original author(s) and the source, provide a link to the Creative Commons licence, and indicate if changes were made. The images or other third party material in this article are included in the article's Creative Commons licence, unless indicated otherwise in a credit line to the material. If material is not included in the article's Creative Commons licence and your intended use is not permitted by statutory regulation or exceeds the permitted use, you will need to obtain permission directly from the copyright holder. To view a copy of this licence, visit http://creativecommons.org/licenses/by-nc/4.0/.
download
DOWNLOAD
print
DRUCKEN
Titel
Population Pharmacokinetic and Pharmacodynamic Modelling and Simulation for Nedosiran Clinical Development and Dose Guidance in Pediatric Patients with Primary Hyperoxaluria Type 1
Verfasst von
Steven Zhang
Pablo Gamallo
Verity Rawson
Publikationsdatum
02.07.2025
Verlag
Springer International Publishing
Erschienen in
Clinical Pharmacokinetics / Ausgabe 9/2025
Print ISSN: 0312-5963
Elektronische ISSN: 1179-1926
DOI
https://doi.org/10.1007/s40262-025-01540-1

Supplementary Information

Below is the link to the electronic supplementary material.
1.
Zurück zum Zitat Cochat P, Rumsby G. Primary hyperoxaluria. N Engl J Med. 2013;369(7):649–58. https://doi.org/10.1056/NEJMra1301564.CrossRefPubMed
2.
Zurück zum Zitat Hoppe B. An update on primary hyperoxaluria. Nat Rev Nephrol. 2012;8(8):467–75. https://doi.org/10.1038/nrneph.2012.113.CrossRefPubMed
3.
Zurück zum Zitat Sas DJ, Harris PC, Milliner DS. Correction to: recent advances in the identification and management of inherited hyperoxalurias. Urolithiasis. 2020;48(1):93. https://doi.org/10.1007/s00240-019-01166-6.CrossRefPubMed
4.
Zurück zum Zitat Rumsby G, Cochat P. Primary hyperoxaluria (in Eng). N Engl J Med. 2013;369(22):2163. https://doi.org/10.1056/NEJMc1311606.CrossRefPubMed
5.
Zurück zum Zitat Hopp K, et al. Phenotype-genotype correlations and estimated carrier frequencies of primary hyperoxaluria (in Eng). J Am Soc Nephrol. 2015;26(10):2559–70. https://doi.org/10.1681/ASN.2014070698.CrossRefPubMedPubMedCentral
6.
Zurück zum Zitat Liu A, et al. Nedosiran, a candidate siRNA drug for the treatment of primary hyperoxaluria: design, development, and clinical studies (in Eng). ACS Pharmacol Transl Sci. 2022;5(11):1007–16. https://doi.org/10.1021/acsptsci.2c00110.CrossRefPubMedPubMedCentral
7.
Zurück zum Zitat Shee K, Stoller ML. Perspectives in primary hyperoxaluria—historical, current and future clinical interventions (in Eng). Nat Rev Urol. 2022;19(3):137–46. https://doi.org/10.1038/s41585-021-00543-4.CrossRefPubMed
8.
Zurück zum Zitat Groothoff JW, et al. Clinical practice recommendations for primary hyperoxaluria: an expert consensus statement from ERKNet and OxalEurope (in Eng). Nat Rev Nephrol. 2023;19(3):194–211. https://doi.org/10.1038/s41581-022-00661-1.CrossRefPubMed
9.
Zurück zum Zitat Harambat J, Fargue S, Bacchetta J, Acquaviva C, Cochat P. Primary hyperoxaluria. Int J Nephrol. 2011;2011: 864580. https://doi.org/10.4061/2011/864580.CrossRefPubMedPubMedCentral
10.
Zurück zum Zitat Edvardsson VO, et al. Hereditary causes of kidney stones and chronic kidney disease (in Eng). Pediatr Nephrol. 2013;28(10):1923–42. https://doi.org/10.1007/s00467-012-2329-z.CrossRefPubMedPubMedCentral
11.
Zurück zum Zitat Hoppe B, Beck BB, Milliner DS. The primary hyperoxalurias. Kidney Int. 2009;75(12):1264–71. https://doi.org/10.1038/ki.2009.32.CrossRefPubMedPubMedCentral
12.
Zurück zum Zitat van der Hoeven SM, van Woerden CS, Groothoff JW. Primary hyperoxaluria type 1, a too often missed diagnosis and potentially treatable cause of end-stage renal disease in adults: results of the Dutch cohort. Nephrol Dial Transplant. 2012;27(10):3855–62. https://doi.org/10.1093/ndt/gfs320.CrossRefPubMed
13.
Zurück zum Zitat Mandrile G, et al. Data from a large European study indicate that the outcome of primary hyperoxaluria type 1 correlates with the AGXT mutation type. Kidney Int. 2014;86(6):1197–204. https://doi.org/10.1038/ki.2014.222.CrossRefPubMed
14.
Zurück zum Zitat Garrelfs SF, Gansner JM, Lieske JC. Lumasiran, an RNAi therapeutic for primary hyperoxaluria type 1. Reply (in Eng). N Engl J Med. 2021;385(20): e69. https://doi.org/10.1056/NEJMc2107661.CrossRefPubMed
15.
Zurück zum Zitat Ariceta G, Barrios K, Brown BD, Hoppe B, Rosskamp R, Langman CB. Hepatic lactate dehydrogenase a: an RNA interference target for the treatment of all known types of primary hyperoxaluria (in Eng). Kidney Int Rep. 2021;6(4):1088–98. https://doi.org/10.1016/j.ekir.2021.01.029.CrossRefPubMedPubMedCentral
16.
Zurück zum Zitat Syed YY. Correction to: nedosiran: first approval. Drugs. 2024;84(2):255. https://doi.org/10.1007/s40265-024-01996-8.CrossRefPubMedPubMedCentral
17.
Zurück zum Zitat FDA. RIVFLOZA (nedosiran) injection, for subcutaneous use. https://www.accessdata.fda.gov/drugsatfda_docs/label/2023/215842s000lbl.pdf. Accessed.
18.
Zurück zum Zitat Hoppe B, et al. Safety, pharmacodynamics, and exposure-response modeling results from a first-in-human phase 1 study of nedosiran (PHYOX1) in primary hyperoxaluria. Kidney Int. 2022;101(3):626–34. https://doi.org/10.1016/j.kint.2021.08.015.CrossRefPubMed
19.
Zurück zum Zitat Lai C, et al. Specific inhibition of hepatic lactate dehydrogenase reduces oxalate production in mouse models of primary hyperoxaluria (in Eng). Mol Ther. 2018;26(8):1983–95. https://doi.org/10.1016/j.ymthe.2018.05.016.CrossRefPubMedPubMedCentral
20.
Zurück zum Zitat Hu B, et al. Therapeutic siRNA: state of the art (in eng). Signal Transduct Target Ther. 2020;5(1):101. https://doi.org/10.1038/s41392-020-0207-x.CrossRefPubMedPubMedCentral
21.
Zurück zum Zitat Godinho BMDC, et al. PK-modifying anchors significantly alter clearance kinetics, tissue distribution, and efficacy of therapeutics siRNAs (in eng). Mol Ther Nucleic Acids. 2022;29:116–32. https://doi.org/10.1016/j.omtn.2022.06.005.CrossRefPubMedPubMedCentral
22.
Zurück zum Zitat Poore RE, Hurst CH, Assimos DG, Holmes RP. Pathways of hepatic oxalate synthesis and their regulation (in eng). Am J Physiol. 1997;272(1 Pt 1):C289–94. https://doi.org/10.1152/ajpcell.1997.272.1.C289.CrossRefPubMed
23.
Zurück zum Zitat Mdluli K, Booth MP, Brady RL, Rumsby G. A preliminary account of the properties of recombinant human glyoxylate reductase (GRHPR), LDHA and LDHB with glyoxylate, and their potential roles in its metabolism (in eng). Biochim Biophys Acta. 2005;1753(2):209–16. https://doi.org/10.1016/j.bbapap.2005.08.004.CrossRefPubMed
24.
Zurück zum Zitat Smith LH, Bauer RL, Craig JC, Chan RP, Williams HE. Inhibition of oxalate synthesis: in vitro studies using analogues of oxalate and glycolate (in eng). Biochem Med. 1972;6(4):317–32. https://doi.org/10.1016/0006-2944(72)90018-x.CrossRefPubMed
25.
Zurück zum Zitat Williams HE, Smith LH. Hyperoxaluria in L-glyceric aciduria: possible pathogenic mechanism (in eng). Science. 1971;171(3969):390–1. https://doi.org/10.1126/science.171.3969.390.CrossRefPubMed
26.
Zurück zum Zitat Holmes RP, Assimos DG. Glyoxylate synthesis, and its modulation and influence on oxalate synthesis (in Eng). J Urol. 1998;160(5):1617–24 [Online]. https://www.ncbi.nlm.nih.gov/pubmed/9783918.
27.
Zurück zum Zitat Baum MA, et al. PHYOX2: a pivotal randomized study of nedosiran in primary hyperoxaluria type 1 or 2 (in Eng). Kidney Int. 2023;103(1):207–17. https://doi.org/10.1016/j.kint.2022.07.025.CrossRefPubMed
28.
Zurück zum Zitat Groothoff J, et al. Nedosiran safety and efficacy in PH1: interim analysis of PHYOX3. Kidney Int Rep. 2024;9(5):1387–96. https://doi.org/10.1016/j.ekir.2024.02.1439.CrossRefPubMedPubMedCentral
29.
Zurück zum Zitat Zhang S, et al. Nedosiran population pharmacokinetic and pharmacodynamic modelling and simulation to guide clinical development and dose selection in patients with primary hyperoxaluria type 1. Br J Clin Pharmacol. 2024. https://doi.org/10.1111/bcp.16194.CrossRefPubMed
30.
Zurück zum Zitat ICH Harmonised Tripartite Guideline. Guideline for Good Clinical Practice E6(R2), Current Step 5 version, 1 December. [Online]. Available: ICH: E 6 (R2): Guideline for good clinical practice—Step 5 (europa.eu)
31.
Zurück zum Zitat Amrite A, Fuentes E, Marbury TC, Zhang S. "Safety, pharmacokinetics, and exposure-response modeling of nedosiran in participants with severe chronic kidney disease (in Eng). Clin Pharmacol Drug Dev. 2023. https://doi.org/10.1002/cpdd.1320.CrossRefPubMed
32.
Zurück zum Zitat Beal SL. Ways to fit a PK model with some data below the quantification limit. J Pharmacokinet Pharmacodyn. 2001;28(5):481–504. https://doi.org/10.1023/a:1012299115260.CrossRefPubMed
33.
Zurück zum Zitat Anderson BJ, Holford NH. Tips and traps analyzing pediatric PK data. Paediatr Anaesth. 2011;21(3):222–37. https://doi.org/10.1111/j.1460-9592.2011.03536.x.CrossRefPubMed
34.
Zurück zum Zitat World Health Organization. The WHO child growth standards. Weight-for-age. https://www.who.int/tools/child-growth-standards/standards/weight-for-age.
35.
Zurück zum Zitat National Center for Health Statistics (Center for Disease Control and Prevention). National Health and Nutrition Examination Survey. Continuous NHANES. https://wwwn.cdc.gov/Nchs/Nhanes/.
36.
Zurück zum Zitat Rhodin MM, et al. Human renal function maturation: a quantitative description using weight and postmenstrual age. Pediatr Nephrol. 2009;24(1):67–76. https://doi.org/10.1007/s00467-008-0997-5.CrossRefPubMed
37.
Zurück zum Zitat Matos V, Van Melle G, Werner D, Bardy D, Guignard JP. Urinary oxalate and urate to creatinine ratios in a healthy pediatric population (in Eng). Am J Kidney Dis. 1999;34(2): e1. https://doi.org/10.1053/AJKD034000e6.CrossRefPubMed