Zum Inhalt

Population Pharmacokinetics of Atogepant for the Prevention of Migraine

  • Open Access
  • 12.11.2025
  • Original Research Article
Erschienen in:

Abstract

Background and Objective

Atogepant is an oral calcitonin gene-related peptide receptor antagonist developed for the preventive treatment of migraine. This work aimed to develop a population pharmacokinetic (popPK) model to support dosage regimen selection during the clinical development of atogepant in patients with episodic migraine (EM) or chronic migraine (CM) and to guide the dosing recommendations for regulatory approval.

Methods

Pharmacokinetic data collected from 12 phase 1 studies, 1 phase 2b/3 study, and 1 phase 3 study in healthy participants and patients with EM were used to develop a popPK model that was externally validated with data from a CM phase 3 study and a phase 3 study in patients with EM for whom two to four classes of conventional oral preventive treatments have failed. The model was built and evaluated using nonlinear mixed-effect modeling and diagnostic assessments.

Results

The final model featured three disposition compartments, with linear elimination from the central compartment and a sequential zero-/first-order lagged absorption process. Formulation, dose, food status, liver function, concomitant medication, and body weight were each found to have a statistically significant influence on atogepant’s pharmacokinetics. Absorption was affected by dose and formulation, the apparent central volume of distribution (V1/F) increased with body weight, relative bioavailability (Frel) modestly increased with dose, and a high-fat meal lengthened absorption lag time. Severe hepatic impairment and coadministration of itraconazole, quinidine, or a single rifampin dose decreased apparent clearance (CL/F) by ~37% and ~66%, ~29%, and ~13%, respectively, while coadministration of multiple rifampin doses increased CL/F by 1.82-fold. Frel increased by 1.95 and 2.4 fold with coadministration of itraconazole and a single rifampin dose, respectively, and decreased by ~25% with multiple rifampin doses. Mild/moderate renal impairment, coadministration of breast cancer resistance protein (BCRP) inhibitors, BCRP substrates and statins, age, and sex had no clinically relevant effect on atogepant pharmacokinetics. No statistically significant differences were observed in atogepant’s pharmacokinetics between healthy participants and patients with migraine.

Conclusions

The pharmacokinetics of atogepant are similar in healthy participants and patients with CM or EM. Dose adjustments owing to intrinsic factors of age, sex, race, and body weight, or owing to concomitant medications consisting of P-glycoprotein (P-gp) inhibitors, BCRP inhibitors, oral contraceptive components (ethinyl estradiol and levonorgestrel), famotidine, esomeprazole, sumatriptan, acetaminophen, and naproxen are not necessary. Atogepant’s popPK model provides a valuable tool for evaluating specific questions for patients, healthcare providers, and regulatory agencies. Integration into other modeling approaches has also aided in model-informed drug development decisions.

Clinical Trial Registration

NCT03855137 (EudraCT number: 2018-004337-32).

Supplementary Information

The online version contains supplementary material available at https://doi.org/10.1007/s40262-025-01566-5.
Key Points
The pharmacokinetics of atogepant have been evaluated in a variety of populations but have not been comprehensively published.
Atogepant’s population pharmacokinetic model has guided dose recommendations for clinical trials, identified potentially significant covariates to prioritize in clinical studies, and dose modifications for special populations and concomitant medication use.
No significant pharmacokinetic differences were observed between healthy participants and patients with migraine.

1 Introduction

Improvement in migraine management and quality of life of individuals with migraine, a debilitating neurological disease, has made substantial progress through the discovery of calcitonin gene-related peptide (CGRP) and therapeutics that block CGRP function [14]. CGRP plays a central role in migraine pathophysiology [57]. When released, it causes vasodilation and neurogenic inflammation, ultimately resulting in the symptoms of migraine (e.g., nausea, vomiting, photo- and phono-phobia, and headache pain) [5]. Two classes of drugs, small-molecule CGRP receptor antagonists (also known as gepants) [8, 9] and CGRP monoclonal antibodies [10], have been developed and approved for acute and/or preventive migraine treatment [11].
Before the development of CGRP-targeting medications, referred to as migraine-specific or disease-specific medications, a variety of traditional medications (e.g., anticonvulsants, antidepressants, and antihypertensives) were borrowed from other indications and used for the preventive treatment of migraine. While traditional medications have shown efficacy in migraine prevention, these medications present several challenges to patients and healthcare providers, such as long titration to reach therapeutic doses and undesirable side effects confounded with slow response to efficacy or lack of efficacy, which lead to challenges with patient adherence [1213, 14]. The approval of eight CGRP-targeting medications for episodic and/or chronic migraine (EM and/or CM) since 2018 has significantly transformed migraine treatment.
Atogepant (Qulipta/Aquipta) is a selective gepant [15] and received approval by the US Food and Drug Administration (FDA) in September 2021 and April 2023 for the preventive treatment of EM and CM, respectively. The European Medicines Agency approved atogepant for preventive treatment of EM and CM in 2023. Atogepant has been approved for the preventive treatment of migraine (EM, or both EM and CM) in adults in > 50 countries. While the development of gepants encountered challenges relating to oral bioavailability and hepatic safety issues, efficacy was observed in the first gepant clinical trial for olcegepant in 2004 [16]. Through medicinal chemistry initiatives to eliminate these challenges, second-generation gepants were developed void of hepatic safety issues and with pharmacological properties that provide fast-acting relief for acute treatment and long-term safety for preventive treatment.
Atogepant’s pharmacology has been well characterized in 21 phase 1, 1 phase 2b/3, and 2 phase 3 clinical studies in healthy participants, participants with hepatic impairment, and patients with EM or CM [15]. Atogepant achieves a pharmacologically effective concentration within 30 min following oral administration of a 60-mg dose and a maximum plasma concentration (Cmax) of ~740 ng/mL with a median time to reach Cmax of ~1–2 h [17]. The half-life (t1/2) of atogepant is ~11 h, and the area under the concentration–time curve (AUC) is ~3470 ng h/mL. Atogepant pharmacokinetics (PK) are dose-proportional up to a 300-mg single dose and multiple doses of 170 mg/day with no accumulation and no clinically significant food effect [15, 17]. Atogepant is primarily metabolized by cytochrome P450 3A4 (CYP3A4), is a substrate of P-gp, BCRP, organic anion transporter popypeptide 1B1 (OATP1B1), OATP1B3, and OAT1 transporters, and is primarily excreted in feces [17, 18]. Extensive drug–drug interaction studies have been conducted for atogepant, enabling well-informed dose recommendations, when needed, across a broad range of comedications [15].
Population PK plays a valuable role in drug development by characterizing the time course of a drug’s disposition and exposure within a population. Population PK models are developed in the early phase of drug development and re-evaluated and matured as more data are collected. This allows for the evaluation of progressively more specific and complicated questions to be asked regarding the impact of covariates (such as ethnicity, body weight [actual], formulation, sex [biological], age, and hepatic/renal function for adults, as well as drug-metabolizing enzyme maturity for pediatric patients) on the PK of a drug. Atogepant’s population PK have not been previously reported. Population PK modeling was conducted at multiple stages throughout the development of atogepant to better inform on dosage regimen selection. Herein, we report a comprehensive summary of the population PK model developed and validated throughout the clinical development of atogepant.

2 Methods

2.1 Clinical Studies Included in the Analysis

At four key timepoints during atogepant’s clinical development, population PK were assessed to inform dosing decisions and identify significant covariates. A summary of the studies included at each stage of the development of the atogepant population PK model is provided in Supplementary Table S1. The initial model was built following the completion of the first five phase 1 clinical studies in healthy participants (referred to within as the Phase 1 Model), and the dosage form had evolved from a solution to a tablet. This model served as the foundation for further development following the completion of the EM phase 2b/3 study. At this point, the dataset was extended with the data from the EM phase 2b/3 study and seven additional phase 1 studies (Phase 2 Model). Finally, after the pivotal phase 3 ADVANCE [19] trial for EM, the dataset was again extended with these data, and model development was finalized (Phase 3 Model). External validation of the model was performed following the pivotal phase 3 trials PROGRESS [20] for CM and ELEVATE [21] for patients with EM for whom two to four classes of conventional oral preventive treatments have failed. Overall, PK data from 12 phase 1, 1 phase 2b/3, and 2 phase 3 studies in healthy participants and patients with migraine were utilized to develop and validate the final phase 3 model for atogepant (see Supplementary Fig. S1). The dosage regimens evaluated throughout these studies and the number of data points/patients used for these analyses are summarized in Supplementary Table S2. The Phase 3 Model methods and results and external validation with CM and EM patient data are provided herein, and the Phase 1 Model and Phase 2 Model information is provided in the Supplementary Methods.
The studies included in these analyses were conducted in accordance with Good Clinical Practice guidelines and the ethical principles that have their origin in the Declaration of Helsinki. The protocol and informed consent forms were approved by the institutional review boards or ethics committees for each study site, and participants provided written informed consent before any study-related procedures were performed.

2.2 Analytical Methods and Data Handling

Atogepant plasma and dried blood sample (DBS) concentrations were determined with validated liquid chromatography methods with tandem mass spectrometric detection as described in a previous publication and the Supplementary Methods [22]. The lower limit of quantitation (LLOQ) for atogepant in plasma was 0.1 ng/mL (0.16 nM) for studies MK-8031-P001 and MK-8031-P002, and 1.0 ng/mL (1.66 nM) for the majority of other studies included in these analyses (see Supplementary Table S1). The linear range of calibration for an LLOQ of 0.1 ng/mL, 1.0 ng/mL, and 10 ng/mL was 0.1–1000 ng/mL, 1.0–1000 ng/mL, and 10–10000 ng/mL, respectively [22]. The LLOQ for DBS analysis was 2.5 ng/mL, and the linear range of calibration was 2.50–2500 ng/mL. The defined criteria for accuracy and precision were ≤ 15%, except at the LLOQ, where it was required to be ≤ 20%.
Individuals were defined as evaluable for the population PK analysis if they had at least one atogepant dose administration and at least one post-dose PK sample. Samples below the assay LLOQ were treated as missing and excluded from the analysis. Data were inspected for consistency and outliers. Cleaning rules were applied to exclude unexpectedly high concentrations on the basis of the known PK profiles of atogepant. Observations with large conditional weighted residuals (|CWRES| > 6) were excluded from the analysis. Observed concentrations at ≥ 96 h after taking a dose, dose-normalized concentrations ≥ 1.00 nM/mg at > 24 h after taking a dose, or ≥ 0.1 nM/mg at > 72 h after taking a dose were flagged as outliers in the dataset, as these were inconsistent with atogepant’s expected PK profiles, and excluded from the analysis.

2.3 Population Pharmacokinetic Analyses

2.3.1 Phase 3 Model Development

Data construction and exploratory graphical analyses were performed using R (version 3.5.2 or higher). Nonlinear mixed-effects modeling was used to develop the atogepant population PK model using data from healthy participants and patients with migraine after single- or multiple-dose administration of atogepant in the respective pooled datasets (see Supplementary Table S1 and S2). Model development was performed using NONMEM® (version 7.4, ICON Development Solutions, Ellicott City, MD, USA), and the preferred method of estimating the parameters was the first-order conditional estimation with ε and η interaction (FOCE INTER). Post-processing of NONMEM analysis results was carried out in R (version 3.5.2 or higher).
In general, the structural models were built first. Once the structural models were established, models were developed in order of increasing complexity, beginning with simple models and proceeding until further improvement in fit was not supported by the data. This principle was applied to both (1) the search for structural model components (characterizing such elements as residual variability structure or the number of apparent distribution compartments) to arrive at the structural model and (2) the evaluation of patient covariate effects.
The structural model included residual variability as either additive, proportional, or a combination of both. Interindividual variability (IIV) was incorporated with a log-normal distribution. Specifically, the structural model is given by the following. The jth predicted atogepant plasma concentration in the ith subject, Cij, takes the form:
$${C}_{\text{ij}}=f({\text{\rm X}}_{\text{i}},{\text{\rm P}}_{\text{i}}, {\eta }_{\text{i}}, {t}_{\text{ij}}, {\epsilon }_{\text{ij}})$$
where Xi, Pi, and ηi are the vectors of patient covariates, individual typical parameter estimates, and inter-individual random effects for subject i, respectively; tij is the time of the jth observation for subject i; and \({\epsilon }_{\text{ij}}\) is the unexplained, random residual error for observation ij. The residual variability (or within-subject variability) was assumed to be a function of normally distributed random effects with mean 0, and models for residual error took one of the following forms:
$$\begin{aligned}{C}_{\text{ij}}&={F}_{\text{ij}}+ {\epsilon }_{\text{ij}}\\ {C}_{\text{ij}}&={F}_{\text{ij}}\bullet (1+{\epsilon }_{\text{ij}})\\ {C}_{\text{ij}}&={F}_{\text{ij}}\bullet \left(1+{\epsilon }_{2\text{ij}}\right)+ {\epsilon }_{\text{ij}},\end{aligned}$$
for additive, proportional, or combination error models, respectively, and where Fij denotes the model prediction for the jth observation for subject i. The components of the intra-subject random effects were assumed to be multivariate normal with mean value 0:
$$\left({\epsilon }_{1},\dots , {\epsilon }_{\text{n}}\right) \sim {\rm M}V{\rm N}(0,\Sigma )$$
in which Σ is the variance–covariance matrix of the residual variability components. Any off-diagonal elements of this matrix were assumed to be 0.
IIV was incorporated with a log-normal distribution, as follows:
$${\rm P}_{\text{i}}={{\rm P}_{\text{TV}}e}^{{\eta }_{\text{i}}}$$
with Pi being the estimate of the individual parameter value, PTV the estimate for the population typical value, and ηi being the approximate proportional deviation of the ith individual from that mean. The random effects for the parameters were modeled according to a multivariate normal distribution, with mean value 0:
$$\left({\eta }_{1},\dots , {\eta }_{\text{n}}\right) \sim {\rm M}V{\rm N}(0,\Omega )$$
in which Ω is the variance–covariance matrix of the random effects components η. Any off-diagonal elements of this matrix were initially assumed to be 0. Correlations between the random effects were subsequently assessed/evaluated.
Once the structural model was identified, the predictive value of individual patient characteristics was assessed using a covariate search. If the proportion of patients that did not provide a covariate value was > 10%, that covariate was not included in the population analysis. Continuous covariates Xi, on a particular model parameter, Pi, were included in the model using a power model:
$${P}_{\text{i}}={P}_{\text{TV}}{\left.\left(\frac{{X}_{\text{i}}}{\widetilde{X}}\right.\right)}^{{\theta }_{\text{x}}}$$
with θX being the power estimate for the covariate effect and \(\widetilde{X}\) a reference value for the covariate (usually the median). Categorical covariates with M categories were included as follows:
$${P}_{\text{i}} = {P}_{\text{TV}}\left.\left(1 + {\theta }_{\text{Xm}}\right.\right)$$
in which θXm represents the fractional change in P for category m of covariate X. The parametrization chosen was such that PTV represented the value of the parameter for the level of X, which constituted the largest proportion in the population. If more than two categories were available, the fractional change for each group was estimated in relation to the group that constituted the largest proportion of the population. The effects of covariates listed in Supplementary Table S3 were assessed for inclusion in the final population PK model.
During model development, a difference in objective function value (OFV), ΔOFV, of 6.63 was used between two nested models differing in one parameter (corresponding to a nominal P < 0.01 in a chi-squared test with 1 degree of freedom). For the stepwise covariate modeling (SCM), a ΔOFV of 6.63 was used for an effect to be included in the model during forward inclusion and ΔOFV of 10.8 (corresponding to a nominal P < 0.001) for retention of an effect during backward elimination. A model was considered stable if a minimum of three different sets of initial estimates resulted in similar parameter estimates and OFV as assessed using retries in PsN [23]. Model stability was assessed throughout the model development, especially for the base model before covariate exploration.
In the first step of the Phase 3 Model development, the structural model was built on the basis of data from 12 phase 1 studies and the phase 2b/3 study, following the structure of the Phase 2 Model. Once the structural model was established, the IIV and residual variability models were revised to account for potential differences in the atogepant PK in healthy participants and patients with EM. Then, potential covariates (see Supplementary Table S3) influencing atogepant PK were evaluated through SCM to obtain the full PK model. Lastly, data from the phase 3 ADVANCE study were added, the full PK model was updated, and the covariates were re-evaluated to obtain the final Phase 3 Model. Details regarding specifics for the Phase 1 Model and Phase 2 Model are provided in the Supplementary Methods.

2.3.2 Model Evaluation

Models were developed and evaluated on the basis of successful minimization and completion of the covariance step in NONMEM, assessment of standard goodness-of-fit (GOF) plots including visual predictive checks (VPCs), reductions in NONMEM OFV for hierarchical models, and reductions in IIV and residual variability. The final population PK models were primarily evaluated with diagnostic plots, including overall GOF, VPCs, and individual plots of observed and overlaid predicted plasma concentration–time courses.
The VPCs were performed using the VPC tool as implemented in PsN [23]. The observed data were overlaid with median and 2.5th and 97.5th percentiles of the observed data. The 95% confidence intervals (CIs) around the corresponding percentiles for 200 simulated replicates of the dataset were included. Prediction-corrected VPCs (pcVPCs) were used when applicable to account for different dosing regimens.
The final model was determined on the basis of maximized likelihood (lowest stable OFV), physiological plausibility of parameter values, successful numerical convergence, acceptable parameter precision (relative standard errors < 50%), low condition number (< 1000), and acceptable VPCs [24].

2.3.3 Phase 3 Model Validation

For PK assessment of the CM population from the PROGRESS study and the EM population from the ELEVATE study, graphical and numerical GOF assessments and pcVPCs were used to evaluate the atogepant Phase 3 Model performance with respect to its capacity to adequately describe the PK profiles obtained in patients from the PROGRESS and ELEVATE study. As the PK of atogepant were expected to be similar among the different populations, the approach to these analyses was to apply the previous Phase 3 Model without modifications (e.g., no re-estimation, MAXEVAL = 0) to the PROGRESS and ELEVATE populations.

2.3.4 Derived Pharmacokinetic Parameters

The following PK parameters at steady state were derived using each individual’s Bayesian post hoc model estimates from the final model: area under the concentration–time curve from time 0 to 24 h after dosing (AUC24), trough concentration (Ctrough), Cmax, average concentration (Cavg), and the daily time above atogepant plasma concentrations of 4.2, 8.4, and 16.9 ng/mL (T1, T2, and T3, respectively). The concentration threshold for T2 corresponds to the effective concentration that results in 90% inhibition of the CGRP receptor (EC90). T1 and T3 correspond to ½ × EC90 and 2 × EC90, respectively.

3 Results

3.1 Demographics and Data Summary

A summary of the demographics for the participants included in the population PK analyses for the Phase 1, 2, and 3 Models and the CM and EM validations is presented in Table 1. In the Phase 3 Model, atogepant plasma and DBS concentrations of participants providing PK data in 14 clinical studies (12 phase 1, 1 phase 2b/3, and 1 phase 3 study; see Supplementary Table S1) were included in the population PK analysis. Going from the Phase 2 Model to the Phase 3 Model, study MK-8031-P001 with atogepant solution formulation was excluded. A total of 11,763 observations from 1356 participants were included in model development. Out of these, 1431 and 2192 observations from 414 and 522 participants came from the phase 2b/3 and phase 3 studies, respectively. In the Phase 3 Model evaluation with the phase 3 CM PROGRESS population, a total of 1542 observations from 350 patients contributed to the PK analysis. In the Phase 3 Model evaluation of the EM ELEVATE population, a total of 562 observations from 127 patients contributed to the PK analysis. A summary of the data used in each model by the number of participants, dose, and formulation is presented in Supplementary Table S2.
Table 1
Demographics for healthy participants and patients included in the population pharmacokinetic analysis
Demographic
Phase 1 Model; healthy participants
Phase 2 Model: healthy participants and EM patients
Phase 3 Model: healthy participants and EM patients
Model evaluation: CM PROGRESS patients
Model evaluation: EM ELEVATE patientsa
 
(n = 99)
(n = 631)
(n = 1356)
(n = 350)
(n = 127)
Age (years)
Mean (SD)
35.9 (15.4)
38.7 (13)
40 (12)
42.7 (12)
41.3 (10)
Median (range)
29.0 (18–78)
37 (18–78)
39.0 (18.0–78.0)
43.0 (18.0–70.0)
41.0 (19.0–67.0)
Body weight (kg)
Mean (SD)
76.8 (10.0)
79.3 (18)
80.8 (20)
73.0 (21)
71.7 (15)
Median (range)
76.8 (52–107.5)
76.9 (40.7–153)
77.6 (40.7–196)
69.4 (42.3–172)
70.0 (46.1–67.0)
Sex
Female, n (%)
33 (33.3%)
424 (67.2%)
1013 (74.7%)
310 (88.6%)
115 (90.6%)
Male, n (%)
66 (66.7%)
207 (32.8%)
343 (25.3%)
40 (11.4%)
12 (9.4%)
Race
Asian
1 (1%)
38 (6.0%)
48 (3.5%)
88 (25.1%)
2 (1.6%)
Black/African American
15 (15.2%)
103 (16.3%)
243 (17.9%)
12 (3.4%)
2 (1.6%)
Caucasian
80 (80.8%)
474 (75.1%)
1031 (76.0%)
244 (69.7%)
121 (95.3%)
Multiple
3 (3%)
14 (2.2%)
26 (1.9%)
4 (1.1%)
2 (1.6%)
Native American/Alaska Native
0
1 (0.2%)
4 (0.3%)
2 (0.6%)
0
Pacific Islander
0
1 (0.2%)
3 (0.2%)
0
0
Not used
0
0
1 (0.1%)
0
0
Height (cm)
Mean (SD)
174.2 (83)
168 (8.8)
167 (8.7)
165 (8.4)
167 (8.2)
Median (range)
174.0 (154–196)
168 (146–198)
166 (146–204)
165 (144–200)
165 (149–196)
Cotreatment
No cotreatment
99 (199%)
560 (88.7%)
1260 (92.9%)
350 (100.0%)
127 (100.0%)
Famotidine pretreatment
15 (15.2%)
0
0
0
0
Itraconazole
0
40 (6.3%)
40 (2.9%)
0
0
Quinidine
0
0
25 (1.8%)
0
0
Rifampin
0
31 (4.9%)
31 (2.3%)
0
0
Statins
Concomitant statin
NA
NA
67 (4.9%)
18 (5.1%)
4 (3.1%)
No statin
NA
NA
1289 (95.1%)
332 (94.9%)
123 (96.9%)
HI
No HI
NA
NA
1332 (98.2%)
350 (100.0%)
127 (100.0%)
Mild HI
NA
NA
8 (0.6%)
0
0
Moderate HI
NA
NA
8 (0.6%)
0
0
Severe HI
NA
NA
8 (0.6%)
0
0
Creatinine clearance (mL/min)
Mean (SD)
121.1 (26.1)b
NA
134 (46)
107 (26)
108 (25)
Median (range)
119.2 (60–193.8)b
NA
127 (46.5–392)
103 (53.2–150)
105 (58.8–150)
Renal function per Cockcroft–Gault
Normal renal function (> 90 mL/min)
NA
NA
1182 (87.2%)
251 (71.7%)
90 (70.9%)
Mild RI (60–89 mL/min)
NA
NA
161 (11.9%)
93 (26.6%)
36 (28.3%)
Moderate RI (30–59 mL/min)
NA
NA
13 (1.0%)
6 (1.7%)
1 (0.8%)
CM, chronic migraine; EM, episodic migraine; HI, hepatic impairment; NA; not analyzed; RI, renal impairment; SD, standard deviation
aPatients with EM who were failed by two to four conventional oral preventive migraine treatments. See Supplementary Table S1 for detailed study information
bn = 82

3.2 Phase 3 Population Pharmacokinetic Model

3.2.1 Phase 3 Model Description

Model descriptions of the Phase 1 and Phase 2 Models are provided in the Supplementary Methods. The Phase 3 Model consisted of a three-compartment model with a sequential zero-/first-order lag time absorption model and linear elimination from the central compartment, which best described the overall PK profile. This is the same model structure as determined in the Phase 2 Model. The parameter estimates of the final models are presented in Table 2 for comparison. The final model equations are as follows:
$$\begin{aligned}{\text{CL}}/F = \left\{\begin{aligned}22.9{\text{ L}}/{\text{h, in healthy participants}}\\ 17.4{\text{ L}}/{\text{h, in patients}}\end{aligned}\right.\\ \quad \times (1 - 0.662) {\text{ with itraconazole}} \\ \quad \times (1 - 0.128) {\text{ with rifampin }}({\text{after first dose}}) \\ \quad \times (1 + 0.818){\text{ with rifampin }}({\text{after multiple doses}}) \\ \quad \times (1 - 0.285) {\text{ with quinidine}} \\ \quad \times (1 - 0.366) {\text{ with severe hepatic impairment}},\end{aligned}$$
$${V}_{1}/F = 86.1 \text{L} \cdot {\left(\frac{\text{bodyweight}}{76.8 \text{kg}}\right)}^{0.411}$$
$$\begin{aligned}{F}_{\text{rel}}&={\left(\frac{\text{dose}}{60 \text{mg}}\right)}^{0.119}\\ & \quad \times \, \left( {{1} - 0.{248}} \right) {\,\text{with rifampin }}\left( {\text{after first dose}} \right) \hfill \\ & \quad\times \, ({1} + {1}.{42}) {\,\text{ with rifampin }}\left( {\text{after multiple doses}} \right) \hfill \\ & \quad \times \, ({1} + 0.{949}) {\,\text{ with itraconazole}}\end{aligned}$$
$$\begin{aligned}{\text{ALAG}}_{0}&=0.276\text{ h}\\ &\quad \times \, ({1} + 0.{672}) {\text{ with food}} \end{aligned}$$
$$\begin{aligned}{\text{TK}}_{0} &= 0.908\text{ h }\cdot {\left(\frac{\text{dose}}{60\text{ mg}}\right)}^{0.199}\\ & \quad \times \, \left( {{1 } - \, 0.{353}} \right) {\,\text{for phase 1}}/{\text{formulations 3 and 4}}\end{aligned}$$
Table 2
Parameter estimates for atogepant population pharmacokinetic models
Alias
Phase 1 Model
Phase 2 Modela
Phase 3 Modela
Estimate
Estimate
Estimate
RSE (%)
95% CI
Absorption rate constant [ka (/h)]
2.44
1.31
   
Apparent clearance patients [CL/F (L/h)]
 
18.2
17.4
2
(16.8–18.1)
Apparent clearance healthy participants [CL/F (L/h)]
19.82
18.2
22.9
2.4
(21.8–23.9)
Duration zero-order absorption [Tk0 (h)]
  
0.908
4.7
(0.824–0.992)
Apparent central volume of distribution [V1/F (L)]
73.52
72.9
86.1
2.3
(82.2–89.9)
Apparent first intercompartmental clearance [Q/F (L/h)]
2.75
0.771
1.43
10
(1.15–1.71)
Apparent first peripheral volume of distribution [V2/F (L)]
47.97
91.7
40.5
7.3
(34.7–46.3)
Apparent second intercompartmental clearance [Q2/F (L/h)]
 
1.99
1.68
7.4
(1.44–1.93)
Apparent second peripheral volume of distribution [V3/F (L)]
 
22.3
13.0
11.9
(9.96–16.0)
Lag time [ALAG (h)]
0.30
0.298
0.276
0.5
(0.273–0.279)
Female sex on CL/F
−0.19
    
Famotidine pre-treatment on Frel
−0.15
    
Oral solution/formulation 2 tablet on Frel
−0.67/−0.17
    
Famotidine pre-treatment on ka
−0.51
    
Fraction zero-order absorption (Fk0)
  
0.693
2.9
(0.654–0.732)
Blood-plasma ratio
 
0.567
0.573
2
(0.550–0.596)
Itraconazole effect on CL/F
 
−0.691
−0.662
0.6
(−0.669 to −0.654)
Rifampin effect on CL/F after first dose
  
−0.128
14.2
(−0.164 to −0.0924)
Rifampin effect on CL/F following multiple doses
 
1.10
0.818
3.9
(0.756–0.881)
Effect of solution on ALAG
 
−0.191
   
Exponential effect of dose on Frel
 
0.163
   
Effect of solution on Frel
 
−0.547
   
Exponential effect of dose on ka
 
−0.252
   
Quinidine effect on CL/F
  
−0.285
3.4
(−0.305 to −0.266)
Itraconazole effect on Frel
  
0.949
11.4
(0.737–1.16)
Rifampin effect on Frel following multiple doses
  
−0.248
15.7
(−0.325 to −0.172)
Rifampin effect on Frel after first dose
  
1.42
11
(1.12–1.73)
Effect of severe hepatic impairment on CL/F
  
−0.366
19
(−0.503 to −0.230)
Food effect on ALAG
  
0.672
2.1
(0.644–0.699)
Exponential dose effect on Frel
  
0.119
11.2
(0.0928–0.145)
Formulation 2 tablet effect on ka/formulation 4 tablet effect on ka
−0.44/−0.42
 
−0.353
22.3
(−0.507 to −0.198)
Exponential weight effect on V1/F
  
0.411
11.7
(0.317–0.505)
Exponential dose effect on ka
−0.41
 
0.199
9
(0.164–0.234)
ω2CL/F
0.151
0.0724
0.0243
9.9
(0.0196–0.0290)
ω2V1/F
0.136
    
ω2ka
0.537
0.683
   
ω2tk0
  
0.163
5.8
(0.144–0.182)
ω2Frel
  
0.234
5
(0.211–0.257)
ω2IOVFrel
 
0.228
0.0373
3.5
(0.0347–0.0399)
ω2Q/F
0.197
0.550
0.471
17.1
(0.313–0.629)
CovQ/F,V2/F
  
0.422
14.6
(0.301–0.543)
ω2V2/F
0.422
 
0.601
14.5
(0.430–0.772)
σprop
0.12
0.339
0.307
0.5
(0.304–0.310)
σprop (study CGP-PK-02)
 
0.252
0.228
1.4
(0.222–0.235)
σprop (study CGP-MD-01)
 
0.572
0.585
3.1
(0.550–0.620)
σprop (ADVANCE and PROGRESS studies)
  
0.491
2
(0.472–0.510)
ALAG, absorption lag time; CL/F, apparent clearance; Frel, relative bioavailability; IIV, inter-individual variability; ka, absorption rate constant; NONMEM, nonlinear mixed-effects modeling software; population PK, population pharmacokinetic; Q, apparent first intercompartmental clearance; Q2/F, apparent second intercompartmental clearance; RSE, relative standard error; V1/F, apparent central volume of distribution; V2/F, apparent first peripheral volume of distribution; V3/F, apparent second peripheral volume of distribution; ω2X, variance of the IIV of parameter X; Cov ω2Xω2Y, covariance of the IIV of parameters X and Y. IIV is derived from variance according to \(\sqrt{{w}^{2}}\)⋅100
aData from healthy participants and patients with episodic migraine were included
Healthy participants and patients with EM shared the same population PK model parameters, except for apparent clearance (CL/F), which was 22.9 L/h in healthy participants and was found to be 23.7% lower in patients with EM (CL/F = 17.4 L/h). Separate CL/F estimates for each patient study resulted in comparable parameter estimates with overlapping 95% CIs. Consequently, the combined patient CL/F was retained.
The apparent central volume of distribution (V1/F) was 86.1 L, and blood concentrations were predicted to be 57.3% of those in plasma. Approximately 69% of the orally bioavailable dose was absorbed through a zero-order process. The duration of the zero-order absorption (Tk0) was 0.908 hours, and the derived first-order absorption rate constant (ka) was 2.48/h, which was linked to the zero-order input parameters through ka = Fk0/[Tk0 · (1 − Fk0)] where Fk0 is the fraction zero-order absorption.
Formulation, dose, food status, liver function, concomitant medication, and body weight were each found to have a statistically significant influence on atogepant PK (Fig. 4). Participants with severe hepatic impairment had a 36.6% lower CL/F relative to participants with normal liver function or mild or moderate hepatic impairment. Coadministration of atogepant with the strong cytochrome P450 (CYP) 3A4 inhibitor, itraconazole, and the P-glycoprotein (P-gp) inhibitor, quinidine, resulted in a 66.2% and 28.5% lower CL/F. Moreover, itraconazole-mediated CYP 3A4 inhibition of enterocytes resulted in a 1.95-fold higher relative bioavailability (Frel) of atogepant. Frel and CL/F were 2.4-fold higher and 12.8% lower, respectively, following coadministration of single-dose atogepant and single-dose rifampin. Following the coadministration of multiple rifampin doses and a single atogepant dose, CL/F increased 1.82-fold, and Frel decreased by 24.8%. Concomitant statins were not found to have a significant effect on atogepant CL/F and Frel and were not found to have a significant effect on any of the PK parameters.
V1/F was found to increase with body weight, and the estimated exponent was 0.411. Zero-order absorption and first-order absorption were affected by dose and formulation. Tk0 increased at higher doses, and the formulation 1 tablet used in early phase 1 studies had a 35% shorter Tk0 compared with the formulation 5 tablet used in the phase 2b/3 and phase 3 studies. Frel was estimated to increase modestly with increasing dose levels and was approximately 1.24-fold higher at the 60-mg dose compared with the 10-mg dose. The administration of atogepant following a high-fat meal lengthened absorption lag time from 0.276 to 0.46 h but otherwise had no impact. Further evaluation of the effect of selected covariates of interest on atogepant PK can be found in Sect. 3.4.
IIV was included on CL/F, Tk0, apparent first intercompartmental clearance (Q/F), and apparent first peripheral volume of distribution (V2/F) and estimated to be 15.6%, 40.4%, 68.6%, and 77.5% coefficient of variation (CV), respectively. For Frel, estimates for both IIV and inter-occasion variability (IOV) were included, with estimates of 48.4% and 19.3% CV.
Residual variability was included as a proportional error model with separate error terms for the phase 1 study CGP-PK-02, the phase 2b/3 study, and the ADVANCE phase 3 study. The error term for all phase 1 studies except CGP-PK-02 was estimated to be 30.7% CV. The error terms for CGP-PK-02, the EM phase 2b/3, and the phase 3 studies were estimated to be 22.8%, 58.5%, and 49.1% CV, respectively.

3.2.2 Phase 3 Model Evaluation

Model evaluation of the Phase 1 and Phase 2 Models are provided in the Supplementary Methods. Parameters of the final Phase 3 Model were estimated with sufficient precision (i.e., relative standard error < 50%, based on the covariance step in NONMEM). The covariance step was successful while the minimization step was terminated owing to rounding errors. A sensitivity analysis suggested robustness of the model.
η-shrinkage was high (> 30%) across all parameters, and values for CL/F, Tk0, Frel, IOV on Frel, Q/F, and V2/F were 44%, 34%, 43.9%, 58%, 52%, and 56%, respectively. When sparse sampling data from the EM phase 2b/3 and the ADVANCE studies were excluded, shrinkage was notably lower, ranging from 14.9 to 28%. Moreover, the effective shrinkage of dose-normalized Cavg was given by 12.8% [25].
The final Phase 3 Model demonstrated appropriate agreement between predicted and observed data values (Fig. 1). The CWRES were randomly scattered around the predicted range and across time (Fig. 1). The normal quantile–quantile plot and a density plot of the CWRES indicated no major violation of the normality assumption, and the corresponding GOF plots stratified by atogepant study did not reveal any substantial bias (data not shown). Generally, the diagnostic plots of residuals indicated that there was no substantial bias or lack of fit in the full model. The pcVPCs of the final Phase 3 Model stratified by study and dose are shown in Fig. 2. Observed atogepant concentrations were reasonably well predicted by the model.
Fig. 1
Goodness-of-fit plots for the final episodic migraine Phase 3 Model (left) and the external validation for the chronic migraine data (right). The upper panels depict observed and predicted concentrations on the normal scale, whereas the middle plots show log–log concentrations. The lower panels present conditional weighted residuals over PRED and time. Magenta line, Loess smooth (95% confidence interval is green shaded area); Black line, line of identity; PRED, population predictions; IPRED, individual predictions. Note: 1 nM of atogepant is equal to 0.6035 ng/mL
Bild vergrößern
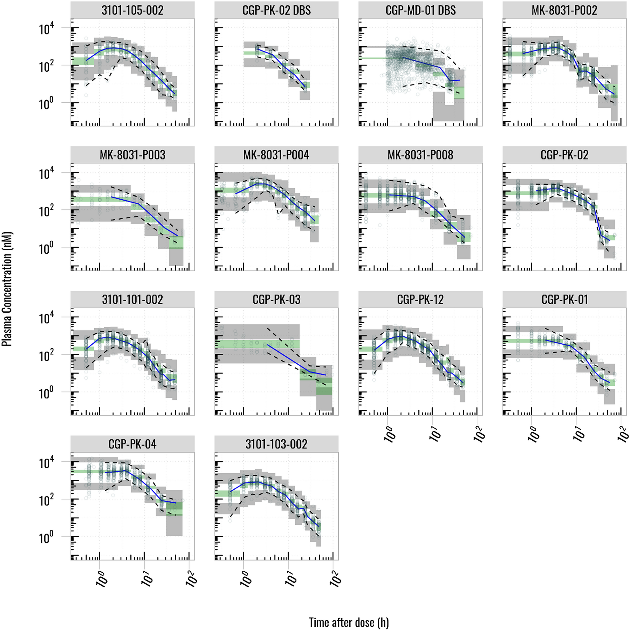
Fig. 2
Prediction-corrected visual predictive checks by study for the Phase 3 Model. Circles: observations; solid blue line: median of the observed atogepant concentrations; dashed lines: 2.5th and 97.5th percentiles of the observed atogepant concentrations; shaded areas: the 95% CI around the prediction-corrected median (green area), and 2.5th and 97.5th percentiles of the simulated concentrations (gray areas). See Supplementary Table S1 for study details
Bild vergrößern

3.3 External Validation of the Phase 3 Model with Data from Patients with CM

Demographic summaries of patients with CM indicated a similar (patient) population with respect to age, sex, hepatic function, and comedication use (Table 1). Slightly more females (88.6% versus 74.7%) and more Asian participants (25.1% versus 3.5%) potentially contributed to the lower median body weight (69.4 kg versus 77.6 kg) in the CM population. Body weight was incorporated as a covariate on V1/F in the Phase 3 Model.
In the CM analysis, η-shrinkage was calculated for the CM population of the PROGRESS study and was of similar magnitude as in the Phase 3 Model: CL/F (49%), Tk0 (48%), Frel (15%), IOV on Frel (71%), Q/F (72%), and V2/F (75%).
The Phase 3 Model demonstrated appropriate agreement between predicted and observed PROGRESS study plasma concentrations during validation (Fig. 1), with adequate GOF. The VPCs of the Phase 3 Model stratified by the CM regimens are shown in Fig. 3a. While an under-prediction of Cmax was observed in Fig. 3a, this could not be explained by demographic differences in the study populations, including a larger fraction of females, Asian race, and/or lower body weight. The sampling scheme of the PROGRESS study did not specifically target Cmax. The individual predictions were considered adequate to obtain model-derived individual atogepant exposure metrics. An exploratory analysis of exposure predictions by geographical region was performed comparing the predicted exposure metrics of patients living in Asian countries (China, Japan, and Korea) versus non-Asian countries (North America and Europe). Still, it did not indicate substantial differences by geographical region. Overall, the PROGRESS study atogepant concentrations were reasonably well predicted by the Phase 3 Model and of comparable quality to the description of the EM data.
Fig. 3
Visual predictive checks by atogepant dosing regimen for the Phase 3 Model. External validation with a the PROGRESS study chronic migraine population and b the ELEVATE study episodic migraine population. Patients with episodic migraine in the PROGRESS study were previously failed by two to four conventional oral preventive treatments. Circles: observations; solid black line: median of the observed atogepant concentrations; solid green line: median of the simulated atogepant concentrations; dashed lines: 2.5th and 97.5th percentiles of the observed atogepant concentrations; shaded areas: 95% CI around the median (green area) and 2.5th and 97.5th percentiles of the simulated concentrations (gray areas). BID, twice daily; QD, once daily
Bild vergrößern

3.4 Covariate Evaluation

A comprehensive analysis of covariate effects for all populations studied is shown in Fig. 4.
Fig. 4
Forest plots for patients from the EM phase 2b/3 study (CGP-MD-01), EM phase 3 ADVANCE study, and the CM phase 3 PROGRESS study. Dots and error bars represent the geometric mean ratio and corresponding 95% CI of model-predicted 60 mg steady-state exposures relative to reference groups. The vertical black line shows the exposure ratio of 1 relative to the reference group. AUC24, area under the plasma concentration–time curve from time 0 to 24 h; BCRP, breast cancer resistance protein; Cmax, maximum plasma concentration
Bild vergrößern
Figure 4 presents a forest plot based on a combined dataset containing data for patients with EM from the phase 2b/3 study and the phase 3 ADVANCE study and patients with CM from the PROGRESS study. The covariates consisting of age (reference group: < 65 years old), any BCRP inhibitor use (reference group: none), any BCRP substrate use (reference group: none), any statin use (reference group: none), body weight (reference group: participants weighing between 60 and 100 kg), race (reference group: white participants), renal function (reference group: healthy participants), and sex (reference group: male participants) were evaluated. The exposure metrics were given as steady-state AUC24 and Cmax for a daily atogepant dose of 60 mg. Overall, the impact of age, BCRP inhibitors, BCRP substrates, statins, body weight, race, renal function, and sex showed < 20% effect on model-predicted steady-state exposures compared with their reference groups, and, thus, the effects were not considered to be clinically significant. In detail, the use of BCRP inhibitors, BCRP substrates, and statins was expected to change atogepant AUC24 by a 1% decrease, 3% decrease, and 14 % increase, respectively. Similarly, the use of BCRP substrates and statins was expected to change atogepant Cmax by a 3% decrease and 13% increase, respectively. No change in atogepant Cmax was expected for BCRP inhibitors. One was included in all CIs (i.e., no effect) for age, BCRP inhibitors, and BCRP substrates.

3.5 External Validation of Phase 3 Model with Data from Patients with EM for Whom Two to Four Classes of Other Oral Preventive Treatments Failed

Demographics for this population of patients with EM are presented in Table 1. Most of these patients were Caucasian (95.3%) and female (90.6%), without concomitant statin use (96.9%). Demographics including creatinine clearance, renal function, and age range were all similar to patients in the CM PROGRESS study. Covariates were evaluated, and no trends between PK parameters and the continuous covariates of body weight and CL/F were observed. Asian descent appeared to influence CL/F; however, no significant trends were detected for race or sex. The Phase 3 Model generally predicted atogepant concentrations versus time profiles adequately, and while the 5th and 95th percentiles were predicted accurately throughout, underpredictions were observed for the median Cmax. The VPCs are shown in Fig. 3b. Overall, the diagnostic plots of residuals indicated no substantial structural bias and an adequate model fit.

3.6 Summary of Individual Predicted Atogepant Steady-State Exposures

A summary of individual predicted atogepant steady-state exposures stratified by treatment arm and study is presented in Table 3.
Table 3
Summary of individual predicted atogepant steady-state exposures by treatment arm and study
Treatment Arm
EM phase 2b/3 study (CGP-MD-01)
EM phase 3 ADVANCE study (3101-301-02)
CM PROGRESS study (3101-303-002)
EM ELEVATE study (3101-304-002)
10 mg QD
30 mg QD
60 mg QD
30 mg BID
60 mg BID
10 mg QD
30 mg QD
60 mg QD
60 mg QD
30 mg BID
60 mg QD
na
92
182
177
79
87
214
223
222
178
172
126
AUC24 (ng⋅h/mL)
Mean (SD)
461 (160)
1710 (860)
3640 (2200)
3900 (2000)
7940 (4700)
525 (340)
1830 (1300)
3740 (2300)
3330 (200)
3770 (210)
3530 (180)
Median (5th to 95th percentile)
464 (168–1250)
1590 (735–7440)
3450 (949–23,800)
3180 (1210–11,400)
6900 (1990–35,100)
464 (128–3920)
1560 (455–11,200)
3220 (813–21,000)
2900 (526–21,800)
3230 (795–13,700)
3310 (299–11,400)
Ctrough (ng/mL)
Mean (SD)
2.80 (1.4)
11.2 (16)
23.6 (30)
60.7 (44)
133 (140)
3.24 (3.1)
12.0 (16)
23.8 (30)
18.8 (24)
56.1 (43)
15.4 (13)
Median (5th to 95th percentile)
2.58 (0.738–9.95)
8.97 (3.68–203)
19.5 (5.07–335)
44.5 (13.3–277)
101 (26.1–972)
2.62 (0.576–35.2)
8.85 (2.02–202)
18.4 (3.63–373)
14.4 (2.23–287)
42.4 (8.87–269)
13.4 (2.70–98.1)
Cmax (ng/mL)
Mean (SD)
74.5 (25)
260 (110)
545 (280)
327 (140)
634 (270)
81.7 (42)
271 (150)
561 (270)
528 (210)
326 (160)
655 (290)
Median (5th to 95th percentile)
73.9 (23.6–172)
247 (77.4–998)
514 (145–2860)
284 (117–830)
590 (182–2040)
73.3 (17.4–415)
244 (431–1420)
504 (137–2650)
504 (112–1510)
296 (805–1030)
620 (166–1580)
Cavg (ng/mL)
Mean (SD)
19.2 (6.7)
71.3 (36)
152 (93)
162 (85)
331 (200)
21.9 (14)
76.1 (54)
156 (94)
139 (85)
157 (87)
147 (75)
Median (5th to 95th percentile)
19.3 (7.01–52.2)
66.2 (30.6–310)
144 (39.5–992)
132 (50.6–476)
287 (829–1460)
19.3 (5.35–163)
65.1 (19.0–466)
134 (33.9–874)
120 (21.9–908)
135 (33.1–571)
138 (12.5–474)
Time (hr) above ½EC90 (4.2 ng/mL or 7 nM)
Mean (SD)
17.8 (3.5)
24.0 (0.19)
24.0 (0.0)
12.0 (0.0)
12.0 (0.0)
18.1 (3.8)
23.7 (1.2)
24.0 (0.22)
23.9 (0.88)
24.0 (0.0)
23.9 (0.79)
Median (5th to 95th percentile)
18.0 (9.00–24.0)
24.0 (21.5–24.0)
24.0 (24.0–24.0)
12.0 (12.0–12.0)
12.0 (12.0–12.0)
18.0 (8.00–24.0)
24.0 (16.0–24.0)
24.0 (21.5–24.0)
24.0 (15.5–24.0)
24.0 (24.0–24.0)
24.0 (17.5–24.0)
Time (hr) above EC90 (8.4 ng/mL or 14 nM)
Mean (SD)
12.5 (3.0)
22.7 (2.0)
23.9 (0.66)
12.0 (0.0)
12.0 (0.0)
13.0 (3.7)
22.3 (3.0)
23.6 (1.5)
23.4 (1.8)
24.0 (0.0)
22.6 (2.6)
Median (5th to 95th percentile)
12.5 (6.00–24.0)
24.0 (15.0–24.0)
24.0 (17.5–24.0)
12.0 (12.0–12.0)
12.0 (12.0–12.0)
12.5 (4.50–24.0)
24.0 (12.0–24.0)
24.0 (15.0–24.0)
24.0 (11.0–24.0)
24.0 (24.0–24.0)
24.0 (12.5–24.0)
Time (hr) above 2×EC90 (16.9 ng/mL or 28 nM)
Mean (SD)
8.06 (2.2)
17.0 (3.0)
22.5 (2.7)
12.0 (0.23)
12.0 (0.0)
8.66 (3.3)
17.0 (3.8)
22.1 (3.3)
20.6 (3.6)
23.8 (1.0)
19.2 (4.7)
Median (5th to 95th percentile)
8.00 (3.00–17.0)
16.5 (10.5–24.0)
24.0 (12.5–24.0)
12.0 (10.0–12.0)
12.0 (12.0–12.0)
8.50 (1.00–24.0)
16.5 (8.00–24.0)
24.0 (11.0–24.0)
21.2 (7.50–24.0)
24.0 (15.0–24.0)
20.5 (0.00–24.0)
AUC24, area under the concentration–time curve from 0 to 24 h after dosing; Cavg, average concentration; Cmax, maximum concentration; Ctrough, trough concentration; BID, twice daily; EC90, the effective concentration to illicit 90% inhibition of the calcitonin gene-related peptide receptor; EM, episodic migraine; QD, once daily; SD, standard deviation. Note: See Table S1 for individual study details
aThe number of participants in the efficacy population of each study. Additional participants were imputed using population estimates and individual covariates

4 Discussion

A population PK model was developed for atogepant using data from 12 phase 1 studies, 1 phase 2b/3 study, and 1 phase 3 study in healthy participants (n = 351) and patients with EM (n = 936) to support the clinical development of atogepant in EM. The model was later evaluated and validated with data from patients with CM (PROGRESS study; n = 350) to identify any potential disease-related differences in atogepant PK and to support the approval of atogepant for CM. The model was also validated with data from patients with EM who have been failed by conventional oral preventive treatments (ELEVATE study; n = 127). In both cases, the population PK model was confirmed to be able to characterize atogepant PK.
The overall PK profile of atogepant was best described by a three-compartment model with a sequential zero-/first-order lag time absorption model and linear elimination from the central compartment. CL/F in patients with migraines was 23.7% lower than in healthy participants. V1/F in healthy participants and patients was 86.1 L, and blood concentrations were predicted to be 57.3% of those in plasma. Model-derived distribution volumes assume concentration equilibrium between all compartments without net flux (steady state). In contrast, the volume of distribution calculations in phase 1 studies [26] were based on the terminal elimination phase (pseudo-distribution equilibrium), with lower concentrations in the central compartment relative to the peripheral compartments and subsequent re-distribution into the central compartment driven by the concentration gradient. As a result, V1/F at steady state is lower than at pseudo-distribution equilibrium in the terminal phase. Consistent with the values in phase 1 studies, the V1/F estimate based on terminal elimination slopes is higher than model-derived V1/F at steady state [18].
Formulation, dose, food status, liver function, concomitant medication, and body weight were each found to have a statistically significant influence on atogepant PK in the modeling analysis, although the nature and magnitude of the effects varied. V1/F was found to increase with body weight, and the estimated exponent was 0.411. This reflects a mild relationship between body weight and volume, as the exponent of 0.411 is far smaller than the allometric value of 1.0. Absorption parameters were affected by dose and formulation. Tk0 increased at higher doses, and the formulation 1 tablet had a 35% shorter duration compared with the formulation 5 tablet. Frel was estimated to increase modestly with increasing dose levels and was approximately 1.24-fold higher at the 60-mg dose compared with the 10-mg dose. This effect was not clinically significant and small, relative to the overall intersubject variability in PK parameters.
In agreement with the conclusions from the dedicated phase 1 studies [18, 27], coadministration of atogepant with the strong CYP3A4 inhibitor itraconazole and the P-gp inhibitor quinidine was estimated to result in a 66.2% and 28.5% lower CL/F, respectively. Moreover, itraconazole-mediated CYP3A4 inhibition of enterocytes resulted in a 1.95-fold higher Frel of atogepant. Rifampin-mediated CYP3A4 induction resulted in 1.82-fold increased CL/F and 24.8% decreased Frel following coadministration of multiple rifampin doses and a single atogepant dose. The overall increase in atogepant exposures with a single dose of rifampin is likely mediated through OATP1B1 inhibition by rifampin.
The effect of age, body weight, race, renal function, and sex, as well as comedication with BCRP inhibitors, BCRP substrates, or statins on atogepant pharmacometrics were solely investigated through population PK modeling using populations from the phase 2b/3 and phase 3 studies in patients with EM or CM. The covariates’ impact on model-predicted steady-state AUC24 and Cmax following a daily dose of 60 mg atogepant was less than 20%. These effects were not considered to be clinically significant. In detail, the use of BCRP inhibitors or BCRP substrates was expected to decrease atogepant AUC24 by 1% or 3%, respectively, and statins were expected to increase AUC24 by 14%. Similarly, the use of BCRP substrates or statins was expected to decrease atogepant Cmax by 3% or increase Cmax by 13%, respectively. BCRP inhibitors had no impact on atogepant Cmax. Mild or moderate renal impairment was predicted to have no relevant effect on atogepant PK.
Some limitations of the atogepant population PK model were observed throughout these analyses. In the CM population, an underprediction of Cmax was observed; this could not be explained by demographic differences in the study populations, including a larger fraction of females, Asian race, and/or lower body weight. A similar underprediction of Cmax was seen for the ELEVATE study in patients with EM who were failed by two to four conventional oral preventive treatments, but both phase 3 sampling schemes did not specifically target Cmax, and the underprediction was of marginal importance for the subsequent ER analysis; thus, the population PK model was used for making dose-adjustment recommendations and for approval of the label in the EM and CM populations.
Throughout atogepant’s clinical development, its population PK model has provided valuable insight in comparing atogepant PK across populations and identifying intrinsic and extrinsic factors that may impact atogepant’s PK. No dose modifications are recommended for differences in age, sex, race, or body weight on the basis of these PK analyses. Factors affecting atogepant’s PK that were determined from both population PK modeling as well as dedicated phase 1 studies were found to be consistent, providing confidence in the covariate model findings not evaluated in dedicated phase 1 studies. In addition, this population PK model enabled further investigation into dosage regimens through exposure–response modeling for efficacy and safety assessments in key clinical trials, which will be presented in a future publication. Overall, the successful filing and approval of atogepant for EM and CM was supported in part by the findings presented herein.

Acknowledgements

The authors thank AbbVie employee, Stormy Koeniger, PhD, for medical writing support.

Declarations

Funding

AbbVie funded these studies and participated in the trial design, research, analysis, data collection and interpretation, and the publication’s review and approval. All authors had access to relevant data and participated in the drafting, review, and approval of this publication. No honoraria or payments were made for authorship.

Conflicts of Interest

Louisa Schlachter, Sven Stodtmann, and Ramesh R. Boinpally are AbbVie employees and may hold AbbVie stock or options. Alexander Voelkner, Fredrik Jonsson, and Hendrik Maxime Lagraauw are employees of qPharmetra LLC.

Data Sharing

AbbVie is committed to responsible data sharing regarding the clinical trials we sponsor. This includes access to anonymized, individual, and trial-level data (analysis data sets), as well as other information (e.g., protocols, clinical study reports, or analysis plans), as long as the trials are not part of an ongoing or planned regulatory submission. This includes requests for clinical trial data for unlicensed products and indications. These clinical trial data can be requested by any qualified researchers who engage in rigorous, independent, scientific research, and will be provided following review and approval of a research proposal, statistical analysis plan (SAP), and execution of a data sharing agreement (DSA). Data requests can be submitted at any time after approval in the USA and Europe and after acceptance of this manuscript for publication. The data will be accessible for 12 months, with possible extensions considered. For more information on the process or to submit a request, visit the following link: https://vivli.org/ourmember/abbvie/, then select “Home.”

Ethics Approval

The studies reported herein were conducted in accordance with the International Council for Harmonisation (ICH) guidelines, applicable regulations, and guidelines governing clinical study conduct and the ethical principles that have their origin in the Declaration of Helsinki. Approval was granted by institutional review boards and independent ethics committees at participating institutions.
All participants provided written consent prior to participation or study-related procedures.
All individual participants signed informed consent regarding publishing their data.

Code Availability

Not applicable.

Author Contributions

Conceptualization: L.S., S.S., and R.R.B. Data curation, formal analysis, methodology, and visualization: all authors. Writing—original draft: L.S. All authors critically reviewed and edited drafts of this manuscript and approved the final draft for publication.
Open Access This article is licensed under a Creative Commons Attribution-NonCommercial 4.0 International License, which permits any non-commercial use, sharing, adaptation, distribution and reproduction in any medium or format, as long as you give appropriate credit to the original author(s) and the source, provide a link to the Creative Commons licence, and indicate if changes were made. The images or other third party material in this article are included in the article's Creative Commons licence, unless indicated otherwise in a credit line to the material. If material is not included in the article's Creative Commons licence and your intended use is not permitted by statutory regulation or exceeds the permitted use, you will need to obtain permission directly from the copyright holder. To view a copy of this licence, visit http://creativecommons.org/licenses/by-nc/4.0/.
Download
Titel
Population Pharmacokinetics of Atogepant for the Prevention of Migraine
Verfasst von
Louisa Schlachter
Sven Stodtmann
Alexander Voelkner
Fredrik Jonsson
Hendrik Maxime Lagraauw
Ramesh R. Boinpally
Publikationsdatum
12.11.2025
Verlag
Springer International Publishing
Erschienen in
Clinical Pharmacokinetics / Ausgabe 1/2026
Print ISSN: 0312-5963
Elektronische ISSN: 1179-1926
DOI
https://doi.org/10.1007/s40262-025-01566-5

Supplementary Information

Below is the link to the electronic supplementary material.
1.
Zurück zum Zitat Alabbad S, Figueredo N, Yuan H, Silberstein S. Developments in targeting calcitonin gene-related peptide. Expert Rev Neurother. 2024;24(5):477–85. https://doi.org/10.1080/14737175.2024.2332754.CrossRefPubMed
2.
Zurück zum Zitat Waliszewska-Prosol M, Raffaelli B, Straburzynski M, Martelletti P. Understanding the efficacy and tolerability of migraine treatment: a deep dive into CGRP antagonists. Expert Rev Clin Pharmacol. 2024;17(11):1039–51. https://doi.org/10.1080/17512433.2024.2417655.CrossRefPubMed
3.
Zurück zum Zitat Puledda F, Silva EM, Suwanlaong K, Goadsby PJ. Migraine: from pathophysiology to treatment. J Neurol. 2023;270(7):3654–66. https://doi.org/10.1007/s00415-023-11706-1.CrossRefPubMedPubMedCentral
4.
Zurück zum Zitat Lipton RB, Halker Singh RB, Mechtler L, McVige J, Ma J, Yu SY, et al. Patient-reported migraine-specific quality of life, activity impairment and headache impact with once-daily atogepant for preventive treatment of migraine in a randomized, 52-week trial. Cephalalgia. 2023;51(8):3331024231190296. https://doi.org/10.1177/03331024231190296.CrossRefPubMed
5.
Zurück zum Zitat Edvinsson L. The trigeminovascular pathway: role of CGRP and CGRP receptors in migraine. Headache. 2017;57(Suppl 2):47–55. https://doi.org/10.1111/head.13081.CrossRefPubMed
6.
Zurück zum Zitat Lassen LH, Haderslev PA, Jacobsen VB, Iversen HK, Sperling B, Olesen J. CGRP may play a causative role in migraine. Cephalalgia. 2002;22(1):54–61. https://doi.org/10.1046/j.1468-2982.2002.00310.x.CrossRefPubMed
7.
Zurück zum Zitat Goadsby PJ, Edvinsson L. The trigeminovascular system and migraine: studies characterizing cerebrovascular and neuropeptide changes seen in humans and cats. Ann Neurol. 1993;33(1):48–56. https://doi.org/10.1002/ana.410330109.CrossRefPubMed
8.
Zurück zum Zitat Cho S, Kim B-K. Update of gepants in the treatment of chronic migraine. Curr Pain Headache Rep. 2023;27(10):561–9. https://doi.org/10.1007/s11916-023-01167-6.CrossRefPubMed
9.
Zurück zum Zitat Tepper D. Gepants. Headache. 2020;60(5):1037–9. https://doi.org/10.1111/head.13791.CrossRefPubMed
10.
Zurück zum Zitat Tso AR, Goadsby PJ. Anti-CGRP monoclonal antibodies: the next era of migraine prevention? Curr Treat Options Neurol. 2017;19(8):27. https://doi.org/10.1007/s11940-017-0463-4.CrossRefPubMedPubMedCentral
11.
Zurück zum Zitat Edvinsson L. CGRP receptor antagonists and antibodies against CGRP and its receptor in migraine treatment. Br J Clin Pharmacol. 2015;80(2):193–9. https://doi.org/10.1111/bcp.12618.CrossRefPubMedPubMedCentral
12.
Zurück zum Zitat Nicolas S, Nicolas D. Triptans. Treasure Island: StatPearls; 2025.
13.
Zurück zum Zitat Ha H, Gonzalez A. Migraine headache prophylaxis. Am Fam Physician. 2019;99(1):17–24.PubMed
14.
Zurück zum Zitat Coordination Group for Mutual Recognition and Decentralised Procedures (CMDh). European Medicines Agency Website. Topiramate article 31—new measures to avoid topiramate exposure in pregnancy. October 13, 2023. Accessed Apr 22, 2025. Available at: https://www.ema.europa.eu/en/documents/referral/topiramate-article-31-referral-new-measures-avoid-topiramate-exposure-pregnancy_en.pdf.
15.
Zurück zum Zitat Boinpally R, Shebley M, Trugman JM. Atogepant: mechanism of action, clinical and translational science. Clin Transl Sci. 2024;17(1):e13707. https://doi.org/10.1111/cts.13707.CrossRefPubMedPubMedCentral
16.
Zurück zum Zitat Olesen J, Diener HC, Husstedt IW, Goadsby PJ, Hall D, Meier U, et al. Calcitonin gene-related peptide receptor antagonist BIBN 4096 BS for the acute treatment of migraine. N Engl J Med. 2004;350(11):1104–10. https://doi.org/10.1056/NEJMoa030505.CrossRefPubMed
17.
Zurück zum Zitat QULIPTA (atogepant). North Chicago, IL, USA. AbbVie Inc. https://www.accessdata.fda.gov/drugsatfda_docs/label/2023/215206s004lbl.pdf. Revised June 2023. Accessed Feb 5, 2025.
18.
Zurück zum Zitat Boinpally R, Chen W, McGeeney D, Trugman JM. Effects of CYP3A4 inhibition/induction and OATP inhibition on the pharmacokinetics of atogepant in healthy adults. Pain Manag. 2023. https://doi.org/10.2217/pmt-2023-0056.CrossRefPubMed
19.
Zurück zum Zitat Lipton RB, Pozo-Rosich P, Blumenfeld AM, Li Y, Severt L, Stokes JT, et al. Effect of atogepant for preventive migraine treatment on patient-reported outcomes in the randomized, double-blind, phase 3 ADVANCE trial. Neurology. 2023;100(8):e764–77. https://doi.org/10.1212/WNL.0000000000201568.CrossRefPubMedPubMedCentral
20.
Zurück zum Zitat Pozo-Rosich P, Ailani J, Ashina M, Goadsby PJ, Lipton RB, Reuter U, et al. Atogepant for the preventive treatment of chronic migraine (PROGRESS): a randomised, double-blind, placebo-controlled, phase 3 trial. Lancet. 2023. https://doi.org/10.1016/S0140-6736(23)01049-8.CrossRefPubMed
21.
Zurück zum Zitat Tassorelli C, Nagy K, Pozo-Rosich P, Lanteri-Minet M, Sacco S, Nezadal T, et al. Safety and efficacy of atogepant for the preventive treatment of episodic migraine in adults for whom conventional oral preventive treatments have failed (ELEVATE): a randomised, placebo-controlled, phase 3b trial. Lancet Neurol. 2024;23(4):382–92. https://doi.org/10.1016/S1474-4422(24)00025-5.CrossRefPubMed
22.
Zurück zum Zitat Blumenfeld AM, Boinpally R, De Abreu Ferreira R, Trugman JM, Dabruzzo B, Ailani J, et al. Phase Ib, open-label, fixed-sequence, drug-drug interaction, safety, and tolerability study between atogepant and ubrogepant in participants with a history of migraine. Headache. 2023;63(3):322–32. https://doi.org/10.1111/head.14433.CrossRefPubMed
23.
Zurück zum Zitat Lindbom L, Pihlgren P, Jonsson EN. PsN-Toolkit–a collection of computer intensive statistical methods for non-linear mixed effect modeling using NONMEM. Comput Methods Programs Biomed. 2005;79(3):241–57. https://doi.org/10.1016/j.cmpb.2005.04.005.CrossRefPubMed
24.
Zurück zum Zitat Bergstrand M, Hooker AC, Wallin JE, Karlsson MO. Prediction-corrected visual predictive checks for diagnosing nonlinear mixed-effects models. AAPS J. 2011;13(2):143–51. https://doi.org/10.1208/s12248-011-9255-z.CrossRefPubMedPubMedCentral
25.
Zurück zum Zitat Bergstrand M. Application relevant shrinkage metrics. Abstract/poster (Abstr 10663) presented at: Population Approach Group Europe (PAGE 31); June 28-30, 2023; Plalexco A Coruna, Spain. www.page-meeting.org/?abstract=10663.
26.
Zurück zum Zitat Boinpally R, Spaventa J, Chen K, Butler M. Evaluation of the pharmacokinetic interaction and safety of atogepant co-administered with acetaminophen or naproxen in healthy participants: a randomized trial. Clin Drug Investig. 2021;41(6):557–67. https://doi.org/10.1007/s40261-021-01034-5.CrossRefPubMedPubMedCentral
27.
Zurück zum Zitat Boinpally R, Borbridge L, Wangsadipura V. Pharmacokinetics and safety of atogepant co-administered with quinidine gluconate in healthy participants: a phase 1, open-label, drug-drug interaction study. Clin Pharmacol Drug Dev. 2024;13(8):930–7. https://doi.org/10.1002/cpdd.1407.CrossRefPubMed