Zum Inhalt

Population Pharmacokinetics of Cobicistat and its Effect on the Pharmacokinetics of the Anticancer Drug Olaparib

  • Open Access
  • 05.02.2025
  • Original Research Article
Erschienen in:

Abstract

Objectives

Pharmacokinetic (PK) boosting is the intentional use of strong inhibitors of metabolic enzymes or transporters to boost the systemic exposure of a therapeutic drug. PK boosting is expanding to therapeutic areas outside human immunodeficiency virus (HIV) therapy. Data on the PK of the booster cobicistat and its effect on CYP3A-substrates outside of HIV therapy are lacking. This study aimed to describe the PK of once- and twice-daily cobicistat regimens in healthy volunteers and patients with rheumatoid arthritis, cancer, or HIV infection and to investigate the interplay between cobicistat and the anticancer drug olaparib.

Methods

Cobicistat levels from 683 samples from 66 subjects in four clinical trials were included in the analysis. For olaparib, 261 samples from 12 subjects from one trial were included. Population PK analysis was performed by nonlinear mixed-effects modelling.

Results

Both cobicistat and olaparib PK were adequately described by a well-stirred liver model with one central compartment and Erlang type absorption. Cobicistat PK was similar across patient populations and dosing regimens. Cobicistat increased olaparib prehepatic bioavailability 1.65-fold (RSE 6%) and decreased intrinsic clearance 0.34-fold (RSE 6.5%). A correlation between olaparib PK and cobicistat exposure could not be identified. The interindividual variability in olaparib clearance was lower with cobicistat than without cobicistat.

Conclusions

The developed pharmacokinetic models adequately described cobicistat and olaparib plasma concentrations. PK boosting with cobicistat at 150 mg twice daily led to an increase in olaparib bioavailability and decrease in clearance. This effect was not correlated with cobicistat exposure, which may reflect saturation of the boosting effect of cobicistat at this dose.

Trial Registration Numbers (date of registration)

NCT02565888 (30-09-2015), NCT00825929 (19-01-2009), Netherlands Trial Register NL7766 (18-12-2018), NCT05078671 (22-09-2021).

Supplementary Information

The online version contains supplementary material available at https://doi.org/10.1007/s40262-025-01480-w.
Key Points
Cobicistat pharmacokinetics were similar in different populations and dosing regimens.
Cobicistat increases olaparib bioavailability and decreases olaparib intrinsic clearance, which appears to be at its plateau effect.

1 Introduction

Pharmacokinetic (PK) boosting is the intentional use of drug–drug interactions to enhance drug exposure. The drug is combined with perpetrator drug that impacts the metabolism or transport of the therapeutic drug, hereby influencing the bioavailability and/or metabolism. Examples are cytochrome P450 (CYP)3A and P-gp inhibitors to boost the systemic exposure of the substrates [1]. Inhibition of CYP3A and P-gp in the gut and CYP3A in the liver increases the plasma exposure of CYP3A-substrates by increasing bioavailability and reducing systemic clearance. Boosting is a promising tool to facilitate lower or less frequent dosing of CYP3A-substrates, which can reduce the costs of expensive therapies and improve patient convenience [2]. PK boosting is standard practice for several drugs used in the treatment of patients living with human immunodeficiency virus (HIV) [3]. However, the potential benefits of boosting are explored in many more therapeutic areas [2, 4, 5].
The PK booster cobicistat is a mechanism-based inhibitor that binds covalently to CYP3A and inhibits the intestinal drug transporter P-gp [6]. It is approved at 150 mg once daily (OD) to boost antiretroviral drugs [7]. To date, cobicistat PK has only been studied in healthy volunteers and patients living with HIV. It shows nonlinear PK, which is attributed to autoinhibition of its metabolism [8]. It is assumed that PK is similar in different populations and that the same cobicistat dose should be used. A better understanding of cobicistat PK should substantiate the application of the cobicistat dose in other populations.
The combination of olaparib with cobicistat is one of those promising PK boosting strategies. Olaparib is an expensive anticancer drug with an approved dose of 300 mg twice daily (BID), which can be reduced to 100 mg BID in the presence of a strong CYP3A-inhibitor, reducing treatment costs [912]. Systemic exposure to olaparib is variable and patients with high exposures experience more side effects [13, 14]. PK boosting can reduce the interindividual variability, which can lead to better predictable exposure levels and less patients with side effects due to high exposures [15].
Recently, we showed in a randomized, cross-over study that PK boosting of olaparib is feasible: the reduced, boosted dose of olaparib 100 mg BID with the PK booster cobicistat 150 mg BID did not lead to underexposure [16]. In non-compartmental PK analysis, no distinction could be made between the prehepatic and systemic effect of cobicistat. This knowledge could be valuable to fully comprehend the contribution of presystemic effects of P-gp and CYP3A-inhibition versus the hepatic CYP3A-inhibition on olaparib PK. Moreover, it remains unknown whether boosting reduces the interindividual variability of olaparib, as hypothesized.
We aimed to describe the PK of once and twice daily cobicistat regimens in healthy subjects and patients with rheumatoid arthritis (RA), cancer, or HIV infection and to investigate the interplay between cobicistat and olaparib exposure to substantiate the dose of cobicistat in different therapeutic areas.

2 Methods

2.1 Cobicistat Pharmacokinetic data

Cobicistat PK data from four clinical trials were pooled. In brief, the DATE-4 study (clinicaltrials.gov NCT02565888 [17]) compared the PK of daclatasvir with the fixed-dose combination of atazanavir/cobicistat with the combination with the separate agents atazanavir and ritonavir in 16 healthy subjects [18]. The PANNA study (clinicaltrials.gov NCT00825929 [19]) compared the PK of elvitegravir and cobicistat in 12 pregnant women living with HIV in their third trimester to postpartum as the control for the non-pregnant situation [20]. As cobicistat PK was markedly different in the third trimester, only postpartum data were included in this analysis. The PRACTICAL study (Netherlands Trial Register NL7766 [21]) evaluated the PK of reduced-dose tofacitinib boosted with cobicistat compared with standard-dose tofacitinib in 26 patients with rheumatoid arthritis (RA) [4]. Finally, the PROACTIVE study (clinicaltrials.gov NCT05078671 [22]) compared a reduced dose of olaparib with cobicistat with the standard olaparib monotherapy in 12 patients with solid tumors [16].
In the first three studies, cobicistat 150 mg once daily (OD) was used. In the PROACTIVE study, cobicistat was administered 150 mg twice daily (BID). All studies used dense PK sampling over one dosing interval (i.e., 12 or 24 h) at steady state after at least 7 days (± 2 days) of treatment. Further details and patient demographics are provided in Table 1.
Table 1
Subject demographics and sample data
Boosted medication
Atazanavir
Elvitegravir
Tofacitinib
Olaparib
Total
Study acronym
DATE-4
PANNA
PRACTICAL
PROACTIVE
 
Subjects (n)
16
12
26
12
66
Study population
Healthy volunteers
Postpartum with HIV
Rheumatoid arthritis
Cancer
 
Sex (male)
8 (50%)
0 (0%)
11 (42%)
5 (42%)
24 (36%)
Age [range]
48 [21–55]
33 [22–41]
59 [49–67]
63 [55–78]
51.5 [21–78]
Body weight (kgs) [range]
73 [58–90]
72 [52–87]
81 [54–124]
67 [54–104]
74 [52–124]
Dose cobicistat
150 mg OD
150 mg OD
150 mg OD
150 mg BID
  
Dose olaparib
100 mg BID
300 mg BID
 
Cobicistat samples (n)
184
116
254
130
130
683
 < LLQ (n)
10
0
4
0
0
14
Olaparib samples (n)
131
130
261
 < LLQ (n)
0
0
0
LLQ,lower limit of quantification
Cobicistat plasma concentrations were analyzed by the bioanalytical laboratory of the Department of Pharmacy of the Radboud university medical center (Nijmegen, the Netherlands) using a validated liquid chromatography-based assay with a lower limit of quantification (LLQ) of 0.03 mg/L. The laboratory participates in external quality assurance programs for quantification of antiretroviral drugs [23].

2.2 Olaparib Pharmacokinetic Data

Olaparib PK data were collected from 12 patients in the PROACTIVE study (Table 1). Olaparib 300 mg BID was used for 1 week in the standard monotherapy. Olaparib 100 mg BID was used in combination with cobicistat for 1 week in the boosted therapy. Olaparib plasma concentrations were measured using cross-validated liquid chromatography tandem mass-spectrometry at three investigational sites [24, 25]. The maximal deviation in measured concentrations for quality control samples of 0.583, 2.00, and 5.000 μg/ml was 10.6%, 9.3%, and 7.8%, respectively. The limits of quantification for olaparib of the three assays used in this study were 0.20–20.00 μg/ml, 0.005–10.00 μg/ml, and 0.10–10.00 μg/ml, respectively.

2.3 Pharmacokinetic Model Development

First, a PK model for cobicistat was developed. Subsequently, a PK model for olaparib monotherapy was built. Finally, the data from the boosted olaparib therapy were included and the effect of cobicistat on olaparib PK was evaluated. As there were no intravenous data available, all reported pharmacokinetic parameters are relative to the unknown absolute bioavailability.
Population PK analysis was performed by means of nonlinear mixed-effects modelling with the NONMEM® software package (version 7.5.1) using the first-order conditional estimation with interaction (FOCE-I) method. The user interfaces Pirana (version 2.9.9) and Perl-Speaks NONMEM (version 4.7) were used. R (version 4.1.3) with the packages Xpose4 (version 4.7.3) and Xpose (version 0.4.18) was used for data preparation, graphical visualization, and evaluation [26]. Samples below the LLQ were included in the PK analysis on the basis of the ‘All data’ method [27].
Mechanistic well-stirred liver models [28] were developed for cobicistat and olaparib. In this model, the intrinsic hepatic clearance (CLint) was estimated with Eqs. 13, assuming a hepatic blood flood (QH) of 90 L/h, hematocrit (Ht) of 0.44, and an unbound fraction in plasma (fu) of 0.025 for cobicistat and 0.181 for olaparib [7, 29]. Both one and two compartments were evaluated. Several approaches were applied to describe oral absorption, including first-order absorption, lag-time, and Erlang-type absorption [30].
The hepatic plasma flow (QHP) in L/h was calculated according to Eq. 1:
$${Q}_{HP}={Q}_{H}\cdot \left(1-Ht\right)$$
(1)
The hepatic extraction ratio (EH) was calculated according to Eq. 2:
$${E}_{H}=\frac{{CL}_{int}\cdot fu}{{Q}_{HP}+\left({CL}_{int}\cdot fu\right)}$$
(2)
Finally, the hepatic clearance (CLH) in L/h was defined according to Eq. 3:
$${CL}_{H}={E}_{H}*{Q}_{HP}$$
(3)
The interindividual variability (IIV) was assumed to be log-normally distributed with Eq. 4:
$${P}_{i}={\theta }_{pop}\cdot {e}^{{\eta }_{i}}$$
(4)
where Pi represents the parameter estimate for the ith individual, θpop is the typical parameter value for the population, and ηi is the difference between the individual and the typical population value for that parameter in the ith individual.
For residual variability, additive, proportional and combined error models were evaluated, with and without a separate additive error for samples below the LLQ.
Allometric scaling was applied a priori to a standardized total body weight (TBW) of 70 kg with allometric components of 0.75, 1, and − 0.25 for flow, volume, and absorption parameters, respectively.
The intrinsic clearance was assumed to be directly proportional to the liver volume and was therefore scaled to the estimated liver volume (VL) in liters, which was based on total body weight (TBW) in kg according to Eqs. 56 [31]:
$${V}_{L}=0.10\cdot {TBW}^{0.59}$$
(5)
$${CL}_{int}={\theta }_{CLint}\cdot {V}_{L}$$
(6)

2.4 Cobicistat Covariate Model

For cobicistat, the different studies, reflecting the patient populations, cobicistat dose, and boosted comedication, were evaluated as covariates on both prehepatic bioavailability and intrinsic clearance according to Eq. 7:
$$P={P}_{0}\cdot {\theta }^{study}$$
(7)
where P represents the adjusted parameter, P0 represents the unadjusted parameter, θ is the relative effect of the covariate on the parameter with a binary covariate for each study.
The covariates for atazanavir, elvitegravir, tofacitinib, and olaparib were included in the model on the basis of physiological plausibility and statistical significance (p < 0.01).

2.5 Olaparib Covariate Model

For olaparib, after addition of the data from the boosted olaparib therapy, the effect of PK boosting was initially evaluated as a binary covariate separately on prehepatic bioavailability and intrinsic clearance. If both were significant, the combination of both covariates in the model was tested. The effect of separate IIV estimates for olaparib intrinsic clearance for each treatment arm in the model was tested to evaluate the effect of boosting on the pharmacokinetic variability. If significant, separate IIV estimates for the monotherapy and boosted therapy were included. Then, the ratio between intrinsic clearance in the boosted versus monotherapy was calculated. Finally, the association between cobicistat area under the plasma concentration-time curve one dosage interval (AUCτ) and this ratio was visually evaluated. The cobicistat AUCτ was calculated with Eq. 8 under the assumption of linear pharmacokinetics:
$${AUC}_{\tau }= \frac{Dose}{{CL}_{H}/F}$$
(8)
If a physiologically plausible relationship was observed, cobicistat AUCτ was evaluated as a covariate for olaparib intrinsic clearance. Cobicistat was included in the model on the basis of physiological plausibility and statistical significance (p < 0.01).

2.6 Model Evaluation

Models were required to achieve a successful minimization and covariance step and were evaluated according to best practice [32]. Parameter precision was evaluated with the relative standard error (RSE) of the covariance step. Nested models were evaluated by drop in objective function value (OFV) corresponding to a statistical significance level of p < 0.01. Prediction-corrected visual predictive checks (pcVPC) based on 1000 samples were performed for the final models of cobicistat and olaparib [33]. For cobicistat, standard 2.5%, 50%, and 97.5% percentiles of the observed and simulated data were calculated. For olaparib, 12.5%, 50%, and 87.5% percentiles of the observed and simulated data were calculated, as the number of patients in the analysis was limited to 12.
A sensitivity analysis was performed to evaluate the assumption of 0.44 as hematocrit fraction by assessing the impact of the assumption of low and high values for hematocrit (0.30 and 0.50).

3 Results

3.1 Cobicistat Model

In total, 683 cobicistat plasma samples in 66 patients were included in the analysis, of which 14 (2.1%) were below the LLQ but above the limit of detection.
Cobicistat PK was best described with one central compartment with Erlang-type absorption through three transit compartments with one linear transition rate constant for absorption (ktr) through all transition compartments. The model structure is depicted in Fig. 1. Interindividual variability was included for the transition rate constant, central volume of distribution, and intrinsic clearance. A combined proportional and additive error model best described the residual error. No separate additive error for samples below the LLQ could be estimated.
Fig. 1
Final structural model of cobicistat
Bild vergrößern
All study covariates, i.e., DATE-4 (daclatasvir), PANNA (elvitegravir), PRACTICAL (tofacitinib), and PROACTIVE (olaparib), improved the model fit on either prehepatic bioavailability or intrinsic clearance in univariate testing. The covariate PROACTIVE on the intrinsic clearance was selected for further model development, with the highest decline in OFV and physiological plausibility. The intrinsic clearance of cobicistat was 1.21-fold higher (RSE 16.3%) in patients in the PROACTIVE study compared with the other studies (p < 0.001). After inclusion of PROACTIVE as covariate on the cobicistat intrinsic clearance, no other covariates significantly improved the model.
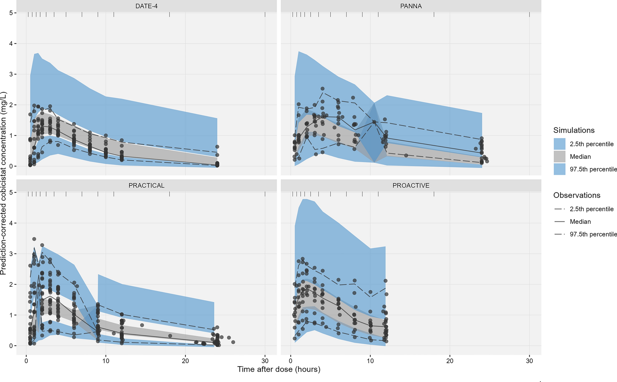
The final cobicistat model adequately described the observed data, as illustrated in the goodness-of-fit plots (Online Resource Fig. 1) and the pcVPC (Online Resource Fig. 2). Final population PK estimates are presented in Table 2. The model performed similarly across the studies with different boosted medication, doses, and patient populations, as depicted in the stratified pcVPC in Fig. 2. The model code can be found in Online Resource Material 1. Cobicistat AUC over 24 h in the various studies is depicted in Fig. 3. Low or high hematocrit fractions did not lead to relevant changes in PK parameter estimates, showing that our assumption of a hematocrit fraction of 0.44 did not relevantly impact our analysis.
Fig. 2
Stratified prediction-corrected visual predictive check (VPC) of the final cobicistat model stratified per study. Y-axis represents cobicistat concentrations in mg/L. The observations are indicated by the circles. The median (continuous line) and 2.5th and 97.5th percentiles (dashed line) of the observations are shown, as well as the 95% confidence interval around the median (grey-shaded areas) and 2.5th and 97.5th percentiles (blue-shaded areas) of the simulated data.
Bild vergrößern
Table 2
Parameter estimates for the final cobicistat population pharmacokinetic model
  
Estimate
RSE (%)
Shrinkage (%)
Population parameters
ktr (h−1)
3.92
12.3
 
Vc (L)
69.7
5.6
 
CLint (L.h−1.Lliver−1)
322
6.7
 
CLint-olaparib
1.21
16.3
 
Between-subject variability
ktr
79.3
8.2
6
Vc
37.1
14.4
9
CLint
48.1
12.3
1
Residual variability
Proportional
17.3
3
13
Additive (mg/L)
0.033
13.2
13
All PK parameters are scaled to a person of 70 kg. Volume and clearance parameters are relative to absolute bioavailability. Between-subject variability and proportional residual variability is depicted as coefficient of variance in % with \(\sqrt{({\varepsilon }^{{\omega }^{2}}-1)}\). Additive residual variability is depicted as standard deviation
RSE relative standard error, ktr transition rate constant, Vc apparent central volume of distribution, CLint apparent intrinsic clearance per liter of liver volume, Lliver liver volume in liters, CLint-olaparib relative influence of olaparib on cobicistat intrinsic clearance
Fig. 3
Cobicistat AUC over 24 h per study. For DATE-4, PANNA, and PRACTICAL, cobicistat is given 150 mg once daily. For PROACTIVE, cobicistat is given 150 mg twice daily.
Bild vergrößern

3.2 Olaparib Model

In total, 261 olaparib plasma samples in 12 patients were included, of which none were below the LLQ.
Olaparib monotherapy PK was best described with one central compartment with Erlang-type absorption through one transit compartment with one linear transition rate constant for absorption through this compartment. The model structure is depicted in Fig. 4. A combined proportional and additive error model best described the residual error. No separate additive error for samples below the LLQ could be estimated.
Fig 4
Final structural model of olaparib
Bild vergrößern
PK boosting had a significant effect on prehepatic bioavailability alone (p < 0.0001; 276% increase) and intrinsic clearance of olaparib alone (p < 0.0001; 76% decrease). Combining PK boosting on both prehepatic bioavailability and intrinsic clearance improved the model compared with intrinsic clearance alone (p < 0.0001). The boosted therapy resulted in a 65% (RSE 6%) increase in prehepatic bioavailability and a 63% (RSE 6.5%) decrease in intrinsic clearance.
The model significantly improved after inclusion of separate interindividual variability estimates for the monotherapy and the boosted therapy with a significant decline in OFV (−51; p < 0.0001), minor improvements in goodness-of-fit plots, and stable shrinkage. The estimate for interindividual variability in intrinsic clearance was lower for the boosted therapy compared with the monotherapy (coefficient of variation 52.6% versus 43.2%, respectively). The inhibition of olaparib intrinsic clearance did not correlate with cobicistat AUCτ (Online Resource Fig. 3). The final model included interindividual variability for transition rate constant, central volume of distribution, and intrinsic clearance for monotherapy and boosted therapy.
The final olaparib model adequately described the observed data, as illustrated in the goodness-of-fit plots (Online Resource Fig. 4) and the pcVPC (Online Resource Fig. 5). Final population PK estimates are depicted in Table 3. The model performed similarly for both treatment arms, as depicted in the stratified pcVPC in Fig. 5. The model code can be found in Online Resource Material 2. Low or high hematocrit fractions did not lead to relevant changes in PK parameter estimates.
Fig. 5
Stratified prediction-corrected visual predictive check of the final olaparib model stratified per treatment. Y-axis represents olaparib concentrations. The observations are indicated by the circles. The median (continuous line) and 12.5th and 87.5th percentiles (dashed line) of the observations are shown, as well as the 75% confidence interval around the median (grey-shaded areas) and 12.5th and 87.5th percentiles (blue-shaded areas) of the simulated data.
Bild vergrößern
Table 3
Parameter estimates for the final olaparib population pharmacokinetic model
  
Estimate
RSE (%)
Shrinkage (%)
Population parameters
ktr (h−1)
3.51
15.2
 
Vc (L)
31.6
8.7
 
Clint (L.h−1.Lliver−1)
45.6
14.4
 
F1cobicistat
1.65
6
 
CLint-cobicistat
0.37
6.5
 
Between-subject variability
ktr
53.2
30.7
9
Vc
22.1
16.6
10
CLint-without cobicistat
52.6
17.4
1
CLint-with cobicistat
43.2
13.9
1
Residual variability
Proportional
12.0
33.1
9
Additive (mg/L)
0.369
27.9
9
All PK parameters are scaled to a person of 70 kg. Volume and clearance parameters are relative to absolute bioavailability. Between-subject variability and proportional residual variability is depicted as coefficient of variance in % with \(\sqrt{({\varepsilon }^{{\omega }^{2}}-1)}\). Additive residual variability is depicted as standard deviation
RSE relative standard error, ktr transition rate constant, Vc apparent central volume of distribution, CLint apparent intrinsic clearance per liter of liver volume, Lliver liver volume in liters, F1cobicistat relative influence of cobicistat on olaparib bioavailability, CLint-cobicistat relative influence of cobicistat on olaparib intrinsic clearance, CLint-without cobicistat between-subject variability of olaparib intrinsic clearance without cobicistat, CLint-with cobicistat between-subject variability of olaparib intrinsic clearance with cobicistat

4 Discussion

In this study, we described the cobicistat population PK across different populations, indications and two different dosing regimens. Cobicistat intrinsic clearance was higher in the PROACTIVE study with olaparib and twice daily cobicistat dosing compared with the other studies; thus no autoinhibition and linear PK was observed. Moreover, we evaluated olaparib PK with and without cobicistat. Cobicistat was found to both increase olaparib prehepatic bioavailability and decrease olaparib intrinsic clearance. The inhibition of intrinsic clearance was not associated with cobicistat exposure. The interindividual variability in clearance was reduced in combination with cobicistat.
This is the first population PK evaluation of the effect of cobicistat on a CYP3A-substrate outside of antiretroviral therapy. Due to the dense PK sampling for both cobicistat and olaparib, we were able to develop adequate models for both drugs. We could also separately assess the effect of cobicistat on prehepatic bioavailability (i.e., CYP3A and P-gp inhibition) and systemic clearance (i.e., CYP3A-inhibition) with the well-stirred liver model. Moreover, we were able to identify the different sources of variability and found that the variability in olaparib intrinsic clearance is lower with cobicistat. This further strengthens the hypothesis that boosting olaparib will lead to better predictable exposures. Furthermore, we did not see decreased olaparib clearance with higher cobicistat exposures at cobicistat 150 mg BID, suggesting that we have reached a saturated CYP3A-inhibiting effect of cobicistat at this dose.
We have identified higher intrinsic clearance of cobicistat in the PROACTIVE study, which can be attributed to the selection of a population with relatively higher clearance of CYP3A-substrates. Patients in the PROACTIVE study presented with low olaparib exposure at the standard dose compared with previous studies (AUC0–12h 29.4 μg × h/mL, 95% CI 22.2–38.0, versus 49.0 μg × h/mL, range 16.5–183) [16, 34]. In addition, the olaparib clearance in our study population was higher compared with previous studies (8.4 L/h versus 3.6 L/h) [34]. As olaparib is mainly metabolized by CYP3A, the low olaparib levels and high clearance are likely related to high CYP3A-activity [16]. The high CYP3A-activity in these patients is substantiated with the 1.21-fold higher cobicistat intrinsic clearance compared with the subjects in other studies. This further strengthens the evidence that patients in the PROACTIVE study had a higher CYP3A-activity than the overall population.
No autoinhibition or nonlinear PK of cobicistat could be identified. Previous work by Mathias et al. showed cobicistat clearance to be significantly reduced after multiple doses compared with a single dose. Moreover, the steady state cobicistat clearance reduced more than dose-proportional in the dose range from 50 to 300 mg [8]. We were not able to identify any nonlinearity or autoinhibition in our data, which is likely attributed to the limited dose levels tested. No effect of twice-daily dosing versus once-daily dosing was found, but this effect might be lost in the selection of patients with high CYP3A-activity in the PROACTIVE study with twice-daily dosing.
To our knowledge, this is the first study evaluating cobicistat PK in patients with rheumatoid arthritis and patients with solid tumors. PK boosting is emerging in several therapeutic fields as a promising strategy to improve exposure, patient convenience, and affordability [2, 5]. To date, cobicistat PK has only been described for healthy volunteers and patients living with HIV [7, 8]. In this study, we found similar PK across different patient populations. Moreover, we were able to further characterize the interplay between cobicistat and olaparib PK. Previous work using noncompartmental PK analysis showed that cobicistat increases olaparib dose-normalized AUCτ 4.35-fold, Cmax was similar despite a threefold dose reduction, and Ctrough increased approximately fourfold [16]. This suggested that cobicistat influenced both olaparib bioavailability and clearance. In this analysis, we confirmed these observations and have quantified that cobicistat increased prehepatic bioavailability with 65% (RSE 6%) and intrinsic clearance was reduced by 63% (RSE 6.5%). The effect of cobicistat on olaparib intrinsic clearance was not associated with cobicistat AUCτ. Moreover, the interindividual variability of olaparib intrinsic clearance was lower with cobicistat, in line with the hypothesis that PK boosting reduces variability by achieving a low CYP3A-acitivty in everyone. This could lead to better predictable olaparib levels.
This study has several limitations. First, the hematocrit fraction was fixed at 0.44 for the well-stirred liver models, as hematocrit data were not available from patients in all studies. On the basis of the sensitivity analysis, it is not expected that this will have majorly impacted the results. Second, there was no reference group for cobicistat PK without possible covariates. Cobicistat PK could have been influenced in each study by disease status and/or concomitant use of other drugs that affected CYP3A activity. Compared with previous studies in healthy volunteers and patients with HIV, we found a lower apparent volume of distribution (70 L compared with 92 L and 77 L, respectively) and lower apparent clearance (8.3 L/h compared with 16 L/h and 15 L/h, respectively) [35, 36]. As we are lacking a good reference population, it remains unknown whether these differences are related to the disease status and/or concomitant use of other drugs. Nonetheless, our model described cobicistat PK well in the target populations in which boosting is a promising tool. Finally, the analysis of olaparib PK is based on a relatively small population of 12 patients. In this population, no exposure–effect relationship between cobicistat AUCτ and inhibition of olaparib intrinsic clearance could be identified. In previous dose-finding studies of cobicistat, an exposure–effect relationship in terms of inhibition of midazolam clearance was identified with near-maximal CYP3A-inhibition at cobicistat doses of ≥ 100 mg OD [8]. Moreover, Barceló et al. evaluated the relationship between cobicistat exposure and elvitegravir clearance at cobicistat 150 mg OD [35]. They identified an exposure–effect relationship with a decrease in elvitegravir clearance with increasing cobicistat AUC. A reduction of cobicistat AUC by 50% would increase elvitegravir clearance by 117%. This exposure–effect flattened at higher cobicistat exposures, and an increase of cobicistat AUC by 25% and 50% would decrease elvitegravir clearance by 22% and 36%, respectively [35]. Due to the lack of data from elvitegravir clearance without cobicistat, no distinction between causality and correlation could be made in this relation. Taken together with our data, these studies suggest that cobicistat shows an exposure–effect at 100–150 mg OD, but at the dose of 150 mg BID, no relationship between systemic exposure and systemic effect is observed and the inhibitory effect is saturated. Twice-daily dosing of cobicistat with olaparib is believed to be valuable to obtain a similar presystemic effect on the bioavailability by CYP3A-inhibition in the gut. However, on the basis of our data, lower systemic exposure might reach similar systemic effects.
Overall, we have described the PK for cobicistat and olaparib with and without cobicistat. This work provides valuable knowledge into cobicistat in different populations, which is instrumental for the development of PK boosting strategies outside of HIV treatment. Moreover, the interplay between cobicistat and the anticancer drug olaparib has been further elucidated. In the presence of cobicistat, olaparib prehepatic bioavailability increases and intrinsic clearance decreases. The variability in intrinsic clearance is reduced, which suggests that olaparib exposure levels might be more predictable in the presence of cobicistat.

Acknowledgements

The authors would like to thank Angela Colbers for sharing the data from the PANNA study.

Declarations:

Funding

This work is funded by ZonMw, The Netherlands Organization for Health Research and Development, as part of the Goed Gebruik Geneesmiddelen program (grant no. 10140021910005).

Conflicts of Interest

N.v.E. reports research funding paid to the institute from Astellas and Ipsen. D.B. reports to be co-founder of Global DDI Solutions BV. A.d.B. reports grants to the Sint Maartenskliniek for research and quality of care from Abbvie, Novartis, Lilly, Galapagos, Alfasigma, Celltrion, Pfizer, Sanofi, and Gilead. S.K. reports consulting fees from NaDeNo, paid to his employer. R.t.H. reports research funding from Amgen and consulting fees from Academic Medical Education and Samsung Bioepis, paid to his employer. J.O. and A.H. report no potential competing interests. Alwin Huitema is an Editorial Board member of Clinical Pharmacokinetics. Alwin Huitema was not involved in the selection of peer reviewers for the manuscript nor any of the subsequent editorial decisions.

Availability of Data and Material

The data that support the findings of this study are available from the corresponding author upon reasonable request and following legal approval.

Ethics Approval

The ethical approval statement for the previously performed prospective studies have been published elsewhere.
Informed consent was acquired from each individual participant incorporated in the study.

Code Availability

Model codes are available at the Online Resource.

Author Contributions

J.O., A.H., and R.t.H. conceptualized and designed the study; all authors contributed to the data collection; J.O. and R.t.H. performed the analyses; J.O., N.v.E., D.B., S.K., A.H., and R.t.H. interpreted the results; and J.O. wrote the first draft of the manuscript. All authors critically reviewed the manuscript and approved the final version.
Open Access This article is licensed under a Creative Commons Attribution-NonCommercial 4.0 International License, which permits any non-commercial use, sharing, adaptation, distribution and reproduction in any medium or format, as long as you give appropriate credit to the original author(s) and the source, provide a link to the Creative Commons licence, and indicate if changes were made. The images or other third party material in this article are included in the article's Creative Commons licence, unless indicated otherwise in a credit line to the material. If material is not included in the article's Creative Commons licence and your intended use is not permitted by statutory regulation or exceeds the permitted use, you will need to obtain permission directly from the copyright holder. To view a copy of this licence, visit http://creativecommons.org/licenses/by-nc/4.0/.
download
DOWNLOAD
print
DRUCKEN
Titel
Population Pharmacokinetics of Cobicistat and its Effect on the Pharmacokinetics of the Anticancer Drug Olaparib
Verfasst von
Joanneke K. Overbeek
Nielka P. van Erp
David M. Burger
Alfons A. den Broeder
Stijn L. W. Koolen
Alwin D. R. Huitema
Rob ter Heine
Publikationsdatum
05.02.2025
Verlag
Springer International Publishing
Erschienen in
Clinical Pharmacokinetics / Ausgabe 3/2025
Print ISSN: 0312-5963
Elektronische ISSN: 1179-1926
DOI
https://doi.org/10.1007/s40262-025-01480-w

Supplementary Information

Below is the link to the electronic supplementary material.
1.
Zurück zum Zitat Larson KB, Wang K, Delille C, Otofokun I, Acosta EP. Pharmacokinetic enhancers in HIV therapeutics. Clin Pharmacokinet. 2014;53(10):865–72. https://doi.org/10.1007/s40262-014-0167-9.CrossRefPubMed
2.
Zurück zum Zitat Eisenmann ED, Talebi Z, Sparreboom A, Baker SD. Boosting the oral bioavailability of anticancer drugs through intentional drug-drug interactions. Basic Clin Pharmacol Toxicol. 2022;130 Suppl 1(1):23–35. https://doi.org/10.1111/bcpt.13623.CrossRefPubMed
3.
Zurück zum Zitat Boffito M, Back D, Gatell JM. Twenty years of boosting antiretroviral agents: where are we today? AIDS. 2015;29(17):2229–33. https://doi.org/10.1097/qad.0000000000000800.CrossRefPubMed
4.
Zurück zum Zitat van der Togt CJT, Verhoef LM, van den Bemt BJF, den Broeder N, Ter Heine R, den Broeder AA. Pharmacokinetic boosting to enable a once-daily reduced dose of tofacitinib in patients with rheumatoid arthritis and psoriatic arthritis (the PRACTICAL study). Ther Adv Musculoskelet Dis. 2022;14:1759720x221142277. https://doi.org/10.1177/1759720x221142277.CrossRefPubMedPubMedCentral
5.
Zurück zum Zitat Westra N, Touw D, Lub-de Hooge M, Kosterink J, Oude Munnink T. Pharmacokinetic boosting of kinase inhibitors. Pharmaceutics. 2023. https://doi.org/10.3390/pharmaceutics15041149.CrossRefPubMedPubMedCentral
6.
Zurück zum Zitat Marzolini C, Gibbons S, Khoo S, Back D. Cobicistat versus ritonavir boosting and differences in the drug-drug interaction profiles with co-medications. J Antimicrob Chemother. 2016;71(7):1755–8. https://doi.org/10.1093/jac/dkw032.CrossRefPubMed
7.
Zurück zum Zitat U.S. Food and Drug Administration. Tybost (cobicistat). Label. 2021. https://www.accessdata.fda.gov/drugsatfda_docs/label/2021/203094s016lbl.pdf. Accessed 27 Aug 2024.
8.
Zurück zum Zitat Mathias AA, German P, Murray BP, Wei L, Jain A, West S, et al. Pharmacokinetics and pharmacodynamics of GS-9350: a novel pharmacokinetic enhancer without anti-HIV activity. Clin Pharmacol Ther. 2010;87(3):322–9. https://doi.org/10.1038/clpt.2009.228.CrossRefPubMed
9.
Zurück zum Zitat Bruin MAC, Sonke GS, Beijnen JH, Huitema ADR. Pharmacokinetics and pharmacodynamics of PARP inhibitors in oncology. Clin Pharmacokinet. 2022;61(12):1649–75. https://doi.org/10.1007/s40262-022-01167-6.CrossRefPubMedPubMedCentral
10.
Zurück zum Zitat Tutt ANJ, Garber JE, Kaufman B, Viale G, Fumagalli D, Rastogi P, et al. Adjuvant olaparib for patients with BRCA1- or BRCA2-mutated breast cancer. N Engl J Med. 2021;384(25):2394–405. https://doi.org/10.1056/NEJMoa2105215.CrossRefPubMedPubMedCentral
11.
Zurück zum Zitat Clarke NW, Armstrong AJ, Thiery-Vuillemin A, Oya M, Shore N, Loredo E, et al. Abiraterone and olaparib for metastatic castration-resistant prostate cancer. NEJM Evid. 2022;1(9):EVIDoa200043. https://doi.org/10.1056/EVIDoa2200043.CrossRef
12.
Zurück zum Zitat U.S. Food and Drug Administration. Lynparza (olaparib). Label. 2023. https://www.accessdata.fda.gov/drugsatfda_docs/label/2023/208558s028lbl.pdf Accessed 27 Aug 2024.
13.
Zurück zum Zitat Zhou D, Li J, Learoyd M, Bui K, Berges A, Milenkova T, et al. Efficacy and safety exposure-response analyses of olaparib capsule and tablet formulations in oncology patients. Clin Pharmacol Ther. 2019;105(6):1492–500. https://doi.org/10.1002/cpt.1338.CrossRefPubMed
14.
Zurück zum Zitat Mohmaed Ali MI, Bruin MAC, Dezentje VO, Beijnen JH, Steeghs N, Huitema ADR. Exposure-response analyses of olaparib in real-life patients with ovarian cancer. Pharm Res. 2023;40(5):1239–47. https://doi.org/10.1007/s11095-023-03497-x.CrossRefPubMed
15.
Zurück zum Zitat Ramanathan S, Mathias AA, German P, Kearney BP. Clinical pharmacokinetic and pharmacodynamic profile of the HIV integrase inhibitor elvitegravir. Clin Pharmacokinet. 2011;50(4):229–44. https://doi.org/10.2165/11584570-000000000-00000.CrossRefPubMed
16.
Zurück zum Zitat Overbeek JK, Guchelaar NAD, Mohmaed Ali MI, Ottevanger PB, Bloemendal HJ, Koolen SLW, et al. Pharmacokinetic boosting of olaparib: a randomised, cross-over study (PROACTIVE-study). Eur J Cancer. 2023;194: 113346. https://doi.org/10.1016/j.ejca.2023.113346.CrossRefPubMed
17.
Zurück zum Zitat ClinicalTrials.gov. Identifier NCT02565888. A drug-drug interaction study between daclatasvir and atazanavir/​ritonavir or atazanavir/​cobicistat (DATE-4). 2020. https://clinicaltrials.gov/study/NCT02565888?term=NCT02565888&rank=1. Accessed 5 Aug 2024.
18.
Zurück zum Zitat Smolders EJ, Colbers EP, de Kanter CT, Velthoven-Graafland K, Drenth JP, Burger DM. Daclatasvir 30 mg/day is the correct dose for patients taking atazanavir/cobicistat. J Antimicrob Chemother. 2017;72(2):486–9. https://doi.org/10.1093/jac/dkw429.CrossRefPubMed
19.
Zurück zum Zitat ClinicalTrials.gov. Identifier NCT00825929. Pharmacokinetics of antiretroviral agents in HIV-infected Pregnant Women. (PANNA). 2024. https://clinicaltrials.gov/study/NCT00825929?term=NCT00825929&rank=1. Accessed 5 Aug 2024.
20.
Zurück zum Zitat Bukkems V, Necsoi C, Tenorio CH, Garcia C, Rockstroh J, Schwarze-Zander C, et al. Clinically significant lower elvitegravir exposure during the third trimester of pregnant patients living with human immunodeficiency virus: data from the Pharmacokinetics of ANtiretroviral agents in HIV-infected pregNAnt women (PANNA) network. Clin Infect Dis. 2020;71(10):e714–7. https://doi.org/10.1093/cid/ciaa488.CrossRefPubMedPubMedCentral
21.
Zurück zum Zitat CCMO Research with human participants. Identifier NTR7766. PRACTICAL study: Pharmaco-enhancement in rheumatoid arthritis with cobicistat to dose tofacitinib in clinic adequately low. A within-subject sequential study. 2024. https://www.onderzoekmetmensen.nl/en/trial/48994. Accessed 5 Aug 2024.
22.
Zurück zum Zitat ClinicalTrials.gov. Identifier NCT05078671. Pharmacokinetic boosting of olaparib to improve exposure, tolerance and cost-effectiveness (PROACTIVE). 2024. https://clinicaltrials.gov/study/NCT05078671?term=NCT05078671&rank=1. Accessed 5 Aug 2024.
23.
Zurück zum Zitat DiFrancesco R, Tooley K, Rosenkranz SL, Siminski S, Taylor CR, Pande P, Morse GD. Clinical pharmacology quality assurance for HIV and related infectious diseases research. Clin Pharmacol Ther. 2013;93(6):479–82. https://doi.org/10.1038/clpt.2013.62.CrossRefPubMed
24.
Zurück zum Zitat Bruin MAC, de Vries N, Lucas L, Rosing H, Huitema ADR, Beijnen JH. Development and validation of an integrated LC-MS/MS assay for therapeutic drug monitoring of five PARP-inhibitors. J Chromatogr B Analyt Technol Biomed Life Sci. 2020;1138: 121925. https://doi.org/10.1016/j.jchromb.2019.121925.CrossRefPubMed
25.
Zurück zum Zitat Krens SD, van der Meulen E, Jansman FGA, Burger DM, van Erp NP. Quantification of cobimetinib, cabozantinib, dabrafenib, niraparib, olaparib, vemurafenib, regorafenib and its metabolite regorafenib M2 in human plasma by UPLC-MS/MS. Biomed Chromatogr. 2020;34(3): e4758. https://doi.org/10.1002/bmc.4758.CrossRefPubMedPubMedCentral
26.
Zurück zum Zitat Keizer RJ, Karlsson MO, Hooker A. Modeling and simulation workbench for NONMEM: tutorial on Pirana, PsN, and Xpose. CPT Pharmacomet Syst Pharmacol. 2013;2(6): e50. https://doi.org/10.1038/psp.2013.24.CrossRef
27.
Zurück zum Zitat Keizer RJ, Jansen RS, Rosing H, Thijssen B, Beijnen JH, Schellens JH, Huitema AD. Incorporation of concentration data below the limit of quantification in population pharmacokinetic analyses. Pharmacol Res Perspect. 2015;3(2): e00131. https://doi.org/10.1002/prp2.131.CrossRefPubMedPubMedCentral
28.
Zurück zum Zitat Pang KS, Rowland M. Hepatic clearance of drugs. I. Theoretical considerations of a “well-stirred” model and a “parallel tube” model. Influence of hepatic blood flow, plasma and blood cell binding, and the hepatocellular enzymatic activity on hepatic drug clearance. J Pharmacokinet Biopharm. 1977;5(6):625–53. https://doi.org/10.1007/bf01059688.CrossRefPubMed
29.
Zurück zum Zitat U.S. Food and Drug Administration. Lynparza (olaparib). Clin Pharmcol Biopharmaceut Rev. [Internet]. Available from: https://www.accessdata.fda.gov/drugsatfda_docs/nda/2012/203756Orig1s000ClinPharmR.pdf. Accessed 21 Oct 2024.
30.
Zurück zum Zitat Rousseau A, Léger F, Le Meur Y, Saint-Marcoux F, Paintaud G, Buchler M, Marquet P. Population pharmacokinetic modeling of oral cyclosporin using NONMEM: comparison of absorption pharmacokinetic models and design of a Bayesian estimator. Ther Drug Monit. 2004;26(1):23–30. https://doi.org/10.1097/00007691-200402000-00006.CrossRefPubMed
31.
Zurück zum Zitat Small BG, Wendt B, Jamei M, Johnson TN. Prediction of liver volume—a population-based approach to meta-analysis of paediatric, adult and geriatric populations—an update. Biopharm Drug Dispos. 2017;38(4):290–300. https://doi.org/10.1002/bdd.2063.CrossRefPubMed
32.
Zurück zum Zitat Nguyen TH, Mouksassi MS, Holford N, Al-Huniti N, Freedman I, Hooker AC, et al. Model evaluation of continuous data pharmacometric models: metrics and graphics. CPT Pharmacomet Syst Pharmacol. 2017;6(2):87–109. https://doi.org/10.1002/psp4.12161.CrossRef
33.
Zurück zum Zitat Bergstrand M, Hooker AC, Wallin JE, Karlsson MO. Prediction-corrected visual predictive checks for diagnosing nonlinear mixed-effects models. Aaps J. 2011;13(2):143–51. https://doi.org/10.1208/s12248-011-9255-z.CrossRefPubMedPubMedCentral
34.
Zurück zum Zitat Zhou D, Li J, Bui K, Learoyd M, Berges A, Milenkova T, et al. Bridging olaparib capsule and tablet formulations using population pharmacokinetic meta-analysis in oncology patients. Clin Pharmacokinet. 2019;58(5):615–25. https://doi.org/10.1007/s40262-018-0714-x.CrossRefPubMed
35.
Zurück zum Zitat Barceló C, Gaspar F, Aouri M, Panchaud A, Rotger M, Guidi M, et al. Population pharmacokinetic analysis of elvitegravir and cobicistat in HIV-1-infected individuals. J Antimicrob Chemother. 2016;71(7):1933–42. https://doi.org/10.1093/jac/dkw050.CrossRefPubMed
36.
Zurück zum Zitat U.S. Food and Drug Admnistration. Tybost (cobicistat). Clin Pharmacol Biopharmaceut Rev. 2014. https://www.accessdata.fda.gov/drugsatfda_docs/nda/2014/203094Orig1Orig2s000ClinPharmR.pdf. Accessed 27 Aug 2024.