Zum Inhalt

Real-World Data on Morphological and Functional Responses After Switching to Faricimab in Recalcitrant, Chronic Diabetic Macular Edema

  • Open Access
  • 12.05.2025
  • ORIGINAL RESEARCH
Erschienen in:

Abstract

Introduction

This study aimed to assess the morphological and functional effects of faricimab in patients with chronic diabetic macular edema (DME) who had an insufficient response to previous treatments.

Methods

We conducted a single-center, retrospective study including eyes with pretreated chronic DME that were switched to faricimab and received at least three injections. The main outcome measures were central subfield thickness (CST) and best-corrected visual acuity (BCVA) changes before and after switching to faricimab.

Results

Twenty-two eyes from 18 patients were analyzed, with a mean pretreatment period of 5.7 years. Most eyes had been treated with two or more intravitreal agents. Before switching to faricimab, the mean CST was 468.5 ± 163.6 µm, which decreased to 383.1 ± 125.3 µm, 362.8 ± 93.4 µm (p = 0.207), and 339.5 ± 94.3 µm (p < 0.001) after the first, second, and third injections, respectively. BCVA showed improvement from 0.48 to 0.37 logMAR after the third injection, though the change was only statistically significant after the first injection (p = 0.022).

Conclusions

The study demonstrated significant CST reduction in patients with chronic DME in a real-world setting, even after prolonged treatment, suggesting that faricimab can lead to morphological and functional benefits in these cases. Further data are needed to explore the real-world, long-term effects and durability of faricimab in chronic DME.
Prior Presentation: Parts of the data included in this manuscript were presented as a poster at the Annual Meeting of the DOG 2024, held in Berlin, Germany.
Key Summary Points
Why carry out the study?
Chronic diabetic macular edema (DME) remains a therapeutic challenge, particularly in patients with an insufficient response to previous treatments.
Faricimab is a novel angiopoietin-2 (Ang-2) and vascular endothelial growth factor (VEGF) inhibitor that may offer improved efficacy in refractory DME.
This retrospective study evaluated the morphological and functional effects of faricimab in a real-world clinical setting in patients with chronic DME.
What was learned from the study?
Switching to faricimab resulted in a significant reduction in central subfield thickness (CST) after three injections.
These findings suggest that faricimab may be an effective option for patients with chronic DME who have not responded adequately to prior therapies.

Introduction

As of today, center-involving diabetic macular edema (DME) is treated with intravitreal treatment (IVT) of anti-vascular endothelial growth factor (anti-VEGF) as standard. Various studies showed the effect of anti-VEGF with an improvement of visual acuity and reduction of central subfield thickness (CST) in patients with DME [1]. However, some patients require IVT in short treatment intervals or continue to have persistent macular edema with visual impairment despite switching to different anti-VEGF agents or intravitreal steroids [2].
Current studies are leading to an increasingly better understanding of the pathophysiology. In addition to VEGF, many other biological pathways are involved in retinal vascular diseases. These include the angiopoietin/tyrosine kinase with immunoglobulin and epidermal growth factor homology domains (Ang/Tie) pathway. Under normal conditions, cell survival and vascular stability are supported by the binding of angiopoietin-1 (Ang-1) to the Tie2 receptor. Under hyperglycemic and hypoxic conditions, angiopoietin-2 (Ang-2) is upregulated and inhibits the Ang-1/Tie2 axis, leading to vascular destabilization [3]. Ang-2 sensitizes blood vessels to VEGF-A and therefore vascular leakage, neovascularization, and inflammation is promoted [4].
In 2022, the FDA and EMA approved the first antibody that targets both VEGF and Ang-2, faricimab. Phase 3 studies YOSEMITE and RHINE showed noninferiority of faricimab compared to aflibercept every 8 weeks, respectively. During the first and second years of treatment, a high number of patients achieved functional and morphological improvement with extended dosing intervals, up to every 16 weeks [5, 6]. YOSEMITE and RHINE mostly included treatment-naïve eyes. Only 25% of study eyes were permitted to be previously treated [5].
Initial real-world data confirm a strong morphological and functional response to faricimab in treatment-naïve DME patients [7, 8].
The aim of this study was therefore to evaluate the efficacy of faricimab in patients with chronic DME who have had an insufficient response to prolonged treatment with other intravitreal agents in real-world settings.

Methods

Study Population

In this single-center, retrospective study, we selected 47 eyes treated with faricimab for DME at the Department of Ophthalmology, LMU University Hospital Munich, between October 2022 and March 2024. The Smart Eye Database (SmEyeDat) was used for preselection. Inclusion criteria were: (i) completion of three faricimab IVTs, (ii) prior treatment with at least one other anti-VEGF agent and/or intravitreal steroid implants, and (iii) evidence of persistent intraretinal fluid (IRF) in the fovea and visual impairment due to DME despite previous treatment for more than 6 months, or (iv) recurrence or deterioration of chronic DME after cessation of insufficient prior treatment. Exclusion criteria included coexisting retinal diseases such as age-related macular degeneration, a history of central vein occlusion, or uveitis. Patients who underwent panretinal laser coagulation, focal laser treatment, or cataract surgery during the observation period were excluded. The minimum time before switching to faricimab after the dexamethasone implant was 3 months.
After applying the inclusion and exclusion criteria, 22 eyes were finally selected for analysis. Recorded epidemiological data included age, sex, affected eye, and the type and date of the initial diagnosis of diabetes mellitus.

Ethical Approval

The study adhered to the ethical guidelines of the Declaration of Helsinki, and institutional review board approval was obtained from the Ethics Committee of Ludwig-Maximilians-University Munich (study identifier 24-0638). Due to the retrospective nature of the study, the Ethics Committee waived the requirement for obtaining informed consent.

Pretreatment and Faricimab Treatment

All eyes had received pretreatment with at least one other anti-VEGF agent, which could include ranibizumab, aflibercept, bevacizumab, or brolucizumab. Additional treatments with intraocular steroids, such as dexamethasone implant or fluocinolone acetonide implant, were also considered. The number of IVTs administered for each agent was recorded. Visits for the first (P0) and the last IVT of pretreatment, before switching to faricimab (P-1), and the next available follow-up (P-1 FU), were documented.
After switching to faricimab, every visit during the first three IVTs of faricimab (F1–F3) and, if available, the visit after the third IVT (F4) were recorded.
For each visit, the documented data included the date, best-corrected visual acuity (BCVA) converted from decimal units in the logarithm of the minimum angle resolution (logMAR) units, HbA1c levels if available, and optical coherence tomography (SD-OCT) results.

Multimodal Imaging

Multimodal imaging, including SD-OCT and near-infrared scanning, was performed using the Spectralis HRA + OCT system from Heidelberg Engineering (Version 1.10.12.0) at each visit. Automated CST measurements were obtained with manual correction of segmentation if necessary.

Statistical Analysis

Statistical analysis was carried out using IBM SPSS Statistics 29.0 Software (SPSS Inc., IBM Software Group, Chicago, IL, USA). Descriptive statistics such as mean, standard deviation (SD), median, range, minimum, maximum, and relevant percentages were calculated.
The Shapiro–Wilk test indicated that the data did not follow a normal distribution. Therefore, the Friedman test was employed to evaluate CST over the course of the treatment period. Subsequent pairwise comparisons of the values were conducted using post hoc analysis. A significance level of p < 0.05 was used for all tests to determine statistical significance.
The results were displayed graphically using Prism 10 for macOS, Version 10.2.3 (GraphPad Software, Boston, MA, USA).

Results

Demographical Data

In total, 22 eyes of 18 patients met the above-mentioned inclusion criteria. The distribution between the sexes was equal, with 11 eyes from female patients (50%) and 11 eyes from male patients (50%). The mean age at the time of the first intravitreal treatment was 57.3 ± 10.3 years. Type I diabetes mellitus was diagnosed in three patients (20%) and type II diabetes mellitus in 15 patients (80%). An overview of the demographic data is provided in Table 1.
Table 1
Demographical data
Number of patients/eyes (n/n)
18/22
Age (years)
57.7 ± 10.3
Sex (n)
 
 Male
11 (50%)
 Female
11 (50%)
Eye (n)
 
 Right
12 (54.5%)
 Left
10 (45.5%)
Diabetes mellitus
 
 Type 1
3 (13.6%)
 Type 2
19 (86.4%)
Previous intravitreal treatments (IVTs) (n)
20.7 ± 13.2
Last IVT before switch (n)
 
 Ranibizumab
4 (18.2%)
 Aflibercept
9 (40.9%)
 Bevacizumab
1 (4.5%)
 Brolucizumab
2 (9%)
 Dexamethasone implant
5 (22.7%)
 Fluocinolone acetonide implant
1 (4.5%)
Before switching to faricimab, there was an average pretreatment period of 5.7 ± 3.3 years with an average of 20.7 ± 13.3 IVTs. Most of the patients, representing 15 out of 22 eyes (68.2%), had received pretreatment with at least two different intravitreal agents. Furthermore, 18% of the eyes (four out of 22) had been treated with four or five different intravitreal agents. In one case, the exact number and timing of prior IVTs could not be retrieved in full detail due to pretreatment at another hospital. However, based on the referral documentation and clinical history, the patient had received extensive anti-VEGF therapy for more than 6 months and fulfilled all other inclusion criteria.
Most eyes had received aflibercept (nine out of 22 eyes, 40.9%) before switching to faricimab, followed by dexamethasone implant (five out of 22 eyes, 22.7%) and ranibizumab (four out of 22 eyes, 18.2%). Single cases involved brolucizumab (two out of 22 eyes, 9.1%), fluocinolone acetonide implant (one out of 22 eyes, 4.5%), or bevacizumab (one out of 22 eyes, 4.5%).
The average time between the last IVT of the pretreatment phase and the subsequent follow-up visit was 1.6 months ± 1.5 months. At this visit, six out of 22 eyes (27.3%) were immediately switched to faricimab. The remaining 15 out of 22 eyes (68.2%) received their first faricimab IVT 9.7 months ± 13.5 months later.

Central Subfield Thickness

Prior to the first IVT in our department, the mean CST was 513.4 µm ± 187.6 µm (P0). During the pretreatment period, CST decreased to 440.3 µm ± 184.8 µm at the final IVT (P-1) before the switch. The Friedman test indicated no significant reduction in CST during this period (p = 0.207). The follow-up visit after P-1 showed a non-significant change in CST to 395.4 µm ± 177.5 µm (p = 1.0). By the time the decision was made to switch to faricimab (F1), the CST had significantly increased to 468.5 µm ± 163.6 µm (p = 0.018). After the initial faricimab treatment, CST decreased to 383.1 µm ± 125.3 µm (p = 0.207) after the first injection (F2), to 362.8 µm ± 93.4 µm (p = 0.079) after the second injection (F3), and to 339.5 µm ± 94.3 µm after the third injection (F4). The first significant reduction was observed after the third injection compared to both F1 (p < 0.001) and P0 (p = 0.001). Follow-up data for F4 were available for 18 of the 22 eyes. CST measurements over time are shown in Table 2 and Fig. 1.
Table 2
Central subfield thickness (CST) and best-corrected visual acuity (BCVA)
 
CST (µm)
BCVA (logMAR)
First injection ever (P0)
513.4 ± 187.6
0.41 ± 0.28
Last injection of pretreatment (P-1)
440.3 ± 184.8
0.40 ± 0.38
Next available follow-up (P-1 FU)
395.4 ± 177.5
0.36 ± 0.41
First injection of faricimab (F1)
468.5 ± 163.6
0.48 ± 0.42
Second injection of faricimab (F2)
383.1 ± 125.3
0.33 ± 0.33
Third injection of faricimab (F3)
362.8 ± 93.4
0.34 ± 0.34
Fourth injection of faricimab (F4)
339.5 ± 94.3
0.37 ± 0.40
Fig. 1
Changes in central subfield thickness (CST) over time. P-1 = last injection of pretreatment, P-1 FU = next follow-up after P-1, F1 = first injection of faricimab, F2 = second injection of faricimab, F3 = third injection of faricimab, F4 = fourth injection of faricimab, *statistically significant
Bild vergrößern
Clinical examples of reduction in CST in OCT scans in two patients are given in Fig. 2 and in Fig. 3.
Fig. 2
Example of a 74-year-old female patient who had received 24 intravitreal anti-VEGF injections prior to switching to faricimab. (i) Optical coherence tomography (OCT) scan before the switch shows pronounced diabetic macular edema (DME) with intraretinal fluid (IRF) and central photoreceptor layer and retinal pigment epithelium disruption, indicative of advanced retinal damage. (ii) One month after the first faricimab injection, there is a strong morphological response. (iii) Following the second injection, further gradual improvement in retinal morphology is observed, with a continued decrease in IRF. (iv) After the third injection, the OCT shows stable findings with minimal residual edema. Despite the anatomical improvement, visual acuity remains limited due to pre-existing, irreversible central retinal atrophy
Bild vergrößern
Fig. 3
Example of a 63-year-old male patient who had received 27 intravitreal anti-VEGF injections and intravitreal corticosteroids prior to switching to faricimab. (i) Optical coherence tomography (OCT) scan before the switch reveals a large central intraretinal fluid (IRF) cyst, accompanied by structural disruption in the ellipsoid zone, indicating photoreceptor damage. (ii) Following the first faricimab injection, a partial reduction in the size of the IRF cyst is observed. (iii) After the second injection, continued regression of the IRF is evident. (iv) By the third injection, the IRF cyst has completely resolved, although a persistent loss of the central ellipsoid zone remains visible, suggesting limited potential for full functional recovery
Bild vergrößern

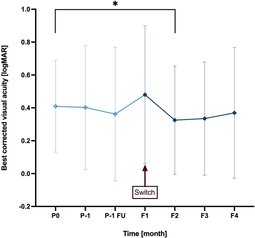
Best-Corrected Visual Acuity

BCVA results are presented in Fig. 4 and Table 2. A slight improvement in BCVA can be observed, from 0.48 logMAR ± 0.42 logMAR at the visit before the switch to 0.33 logMAR ± 0.33 logMAR after the first faricimab injection (F2) and 0.37 logMAR ± 0.40 logMAR at the visit after the third faricimab injection (F4). However, these changes in BCVA were not statistically significant with the exception of BCVA improvement from P0 to F2 (p = 0.022).
Fig. 4
Changes in best-corrected visual acuity (BCVA) over time. P-1 = last injection of pretreatment, P-1 FU = next follow-up after P-1, F1 = first injection of faricimab, F2 = second injection of faricimab, F3 = third injection of faricimab, F4 = fourth injection of faricimab, *statistically significant
Bild vergrößern

Safety

Regarding the safety profile, no cases of intraocular inflammation, endophthalmitis, vasculitis, retinal artery occlusion, or procedure-related complications were observed during the short-term follow-up of all patients.

Discussion

The clinical introduction of faricimab in the treatment portfolio of patients with DME is of particular interest when treating diabetic eye complications [9].
As a bispecific monoclonal antibody that is not only inhibiting the VEGF pathway but also addressing the angiopoietin-Tie2 pathway [3, 4], its morphological and functional response and benefits for patients with DME in a real-world setting are currently under research.
In this study, an inadequate treatment response to prior anti-VEGF or steroid IVT was defined as persistent or worsened fluid despite regular longstanding IVT. Whereas in patients with neovascular age-related macular degeneration, the complete resolution of intraretinal fluid is indispensable as a marker of treatment success, residual persistent intraretinal fluid in DME is observed and is only resorbed over time. However still, the greatest reduction of intraretinal fluid is aimed in patients with DME to maintain visual function.
In this study, we focused on the morphological outcomes in OCT during the first three injections after switching to faricimab. Although eyes have undergone an extensive and longstanding treatment with an average of 20.7 ± 13.2 injections before switching, the clinical response was not sufficient to allow observation or cessation of IVT. Nevertheless, faricimab achieved a significant reduction after the third injection in these heavily pretreated eyes. However, visual function remained stable with a non-significant tendency towards improvement, which is understandable in the light of a mean pretreatment period of 5.7 ± 3.3 years.
These findings are consistent with other real-world data from the US, such as the TAHOE trial, where a reduction of 45.29 µm could be seen after the first three injections of faricimab [9]. Rush et al. even observed a CMT reduction from 400.2 (385.3–415.3) µm at baseline to 340.6 (324.3–356.9) µm over a 12-month follow-up, with greater reduction during the loading phase of four injections and 82.4% of patients on an 8-week interval after 1 year [10].
Other real-world data, such as FARETINA-DME in the US and FARWIDE-DME in the UK are also currently focusing not only on the real-world treatment response but also on potential extension to longer intervals compared to pretreatment in patients with DME with promising results [9].
Limitations of this study include the small sample size, its retrospective design, the absence of a control group, and the short-term follow-up. Despite these limitations, our study provides valuable insight into a specific and clinically relevant subgroup of patients with DME—those with persistent fluid despite long-term prior treatment with anti-VEGF agents and/or intravitreal steroids. This patient population is often underrepresented in large registry studies such as FARETINA. Additionally, one patient with incomplete documentation of prior treatment history was included based on clear clinical evidence of long-term anti-VEGF therapy and complete follow-up data during the study period. While this introduces a minor limitation, we believe the inclusion is justified and does not affect the overall validity of the findings. Longer and larger trials are warranted to gain more insight on real-world, long-term efficacy and the potential of longer treatment intervals that the dual inhibition of VEGF-A and Ang-2 has shown in the pivotal studies.
However, the additional value of the dual inhibition of VEGF-A and Ang-2 in terms of longer intervals and fluid reduction is of special importance for patients with DME who typically show a heterogeneous variety of phenotypical appearance in real-world and whose adherence to a longstanding intravitreal therapy over years is challenging [11].
In our study all patients not only showed DME refractory to other VEGF agents and/or steroid implants but also showed morphological biomarkers for chronicity and functional limitation such as giant cysts, hyperreflective foci or defects in the ellipsoid zone. This might have masked an even greater benefit in visual function than noted in this study population.

Conclusions

In conclusion, our real-world data confirm further significant morphological efficacy in patients with chronic DME undergoing longstanding prior treatment without sufficient morphological response and functional stability. In the future, longer observational studies, cross-over randomized trials, and the careful evaluation of biomarkers might help to work out the benefits that faricimab as a bispecific antibody may highlight from older VEGF inhibitors or steroid implants.

Acknowledgements

We thank the participants of the study.

Declarations

Conflict of Interest

The authors declare no competing interests related to this study. However, Tina R. Herold received previous speaker fees from Novartis Pharma GmbH, Bayer Vital GmbH, AbbVie Deutschland GmbH, Novo Nordisk Pharma GmbH, and Roche AG. Jakob Siedlecki received previous speaker fees from Roche AG, Apellis Pharmaceuticals, Novartis Pharma, Carl Zeiss Meditec, Bayer AG, AbbVie, and Heidelberg Engineering. Jakob Siedlecki received personal consultation fees from Roche AG, Bayer AG, Novartis Pharma GmbH, AbbVie, and Apellis Pharmaceuticals. Benedikt Schworm received previous speaker fees and travel expenses from Novartis Pharma GmbH and Topcon Corporation. Siegfried G. Priglinger received previous speaker fees and travel expenses from Novartis Pharma GmbH, Oertli AG, Bayer AG, Alcon Pharm GmbH, and Allergan GmbH. Viktoria Deiters, Franziska Eckardt and Anna Lorger declare no financial disclosures.

Ethical Approval

The study adhered to the ethical guidelines of the Declaration of Helsinki, and institutional review board approval was obtained from the Ethics Committee of Ludwig-Maximilians-University Munich (study identifier 24-0638). Due to the retrospective nature of the study, Ethics Committee waived the need for obtaining informed consent.
Open Access This article is licensed under a Creative Commons Attribution-NonCommercial 4.0 International License, which permits any non-commercial use, sharing, adaptation, distribution and reproduction in any medium or format, as long as you give appropriate credit to the original author(s) and the source, provide a link to the Creative Commons licence, and indicate if changes were made. The images or other third party material in this article are included in the article's Creative Commons licence, unless indicated otherwise in a credit line to the material. If material is not included in the article's Creative Commons licence and your intended use is not permitted by statutory regulation or exceeds the permitted use, you will need to obtain permission directly from the copyright holder. To view a copy of this licence, visit http://creativecommons.org/licenses/by-nc/4.0/.
download
DOWNLOAD
print
DRUCKEN
Titel
Real-World Data on Morphological and Functional Responses After Switching to Faricimab in Recalcitrant, Chronic Diabetic Macular Edema
Verfasst von
Viktoria Deiters
Anna Lorger
Franziska Eckardt
Jakob Siedlecki
Benedikt Schworm
Siegfried G. Priglinger
Tina R. Herold
Publikationsdatum
12.05.2025
Verlag
Springer Healthcare
Erschienen in
Ophthalmology and Therapy / Ausgabe 7/2025
Print ISSN: 2193-8245
Elektronische ISSN: 2193-6528
DOI
https://doi.org/10.1007/s40123-025-01162-7
1.
Zurück zum Zitat Seo KH, Yu SY, Kim M, Kwak HW. Visual and morphologic outcomes of intravitreal ranibizumab for diabetic macular edema based on optical coherence tomography patterns. Retina. 2016;36(3):588–95.CrossRefPubMed
2.
Zurück zum Zitat Maggio E, Sartore M, Attanasio M, Maraone G, Guerriero M, Polito A, et al. Anti-vascular endothelial growth factor treatment for diabetic macular edema in a real-world clinical setting. Am J Ophthalmol. 2018;195:209–22.CrossRefPubMed
3.
Zurück zum Zitat Heier JS, Singh RP, Wykoff CC, Csaky KG, Lai TYY, Loewenstein A, et al. The angiopoietin/tie pathway in retinal vascular diseases: a review. Retina. 2021;41(1):1–19.CrossRefPubMed
4.
Zurück zum Zitat Joussen AM, Ricci F, Paris LP, Korn C, Quezada-Ruiz C, Zarbin M. Angiopoietin/Tie2 signalling and its role in retinal and choroidal vascular diseases: a review of preclinical data. Eye (Lond). 2021;35(5):1305–16.CrossRefPubMed
5.
Zurück zum Zitat Wykoff CC, Abreu F, Adamis AP, Basu K, Eichenbaum DA, Haskova Z, et al. Efficacy, durability, and safety of intravitreal faricimab with extended dosing up to every 16 weeks in patients with diabetic macular oedema (YOSEMITE and RHINE): two randomised, double-masked, phase 3 trials. Lancet. 2022;399(10326):741–55.CrossRefPubMed
6.
Zurück zum Zitat Wong TY, Haskova Z, Asik K, Baumal CR, Csaky KG, Eter N, et al. Faricimab treat-and-extend for diabetic macular edema: two-year results from the randomized phase 3 YOSEMITE and RHINE trials. Ophthalmology. 2024;131(6):708–23.CrossRefPubMed
7.
Zurück zum Zitat Quah NQX, Javed K, Arbi L, Hanumunthadu D. Real-world outcomes of faricimab treatment for neovascular age-related macular degeneration and diabetic macular edema. Clin Ophthalmol. 2024;18:1479–90.CrossRefPubMedPubMedCentral
8.
Zurück zum Zitat Giancipoli E, Guglielmi A, Bux AV, Clima GME, Pignatelli F, Boscia F, et al. Real-world outcomes of a loading phase with intravitreal faricimab in neovascular age-related macular degeneration (n-AMD) and diabetic macular edema (DME). Ophthalmol Ther. 2024;3(8):2163–84.
9.
Zurück zum Zitat Penha FM, Masud M, Khanani ZA, Thomas M, Fong RD, Smith K, et al. Review of real-world evidence of dual inhibition of VEGF-A and ANG-2 with faricimab in NAMD and DME. Int J Retina Vitreous. 2024;10(1):5.CrossRefPubMedPubMedCentral
10.
Zurück zum Zitat Rush RB. One-year results of faricimab for aflibercept-resistant diabetic macular edema. Clin Ophthalmol. 2023;17:2397–403.CrossRefPubMedPubMedCentral
11.
Zurück zum Zitat Weiss M, Sim DA, Herold T, Schumann RG, Liegl R, Kern C, et al. Compliance and adherence of patients with diabetic macular edema to intravitreal anti-vascular endothelial growth factor therapy in daily practice. Retina. 2018;38(12):2293–300.CrossRefPubMed

Kompaktes Leitlinien-Wissen Innere Medizin (Link öffnet in neuem Fenster)

Mit medbee Pocketcards schnell und sicher entscheiden.
Leitlinien-Wissen kostenlos und immer griffbereit auf ihrem Desktop, Handy oder Tablet.

Neu im Fachgebiet Innere Medizin

Demografische Variablen mit dem Rezidivrisiko bei Darmpolypen assoziiert

Bei der Festlegung der Intervalle für Kontrollkoloskopien nach einer Polypektomie sollten nicht ausschließlich polypenbezogene Merkmale berücksichtigt werden. Wie eine internationale Studie zeigt, beeinflussen auch individuelle demografische Faktoren, wie Geschlecht, Body-Mass-Index und Ethnie, das Rezidivrisiko.

Ist die Mundmikrobiota mit Pankreaskrebs assoziiert?

In einer Kohortenstudie wurde ein Zusammenhang zwischen oralen Bakterien und Pilzen und dem Auftreten von Pankreaskarzinomen gesehen. Diese Assoziation könnte helfen, Patientinnen und Patienten für gezielte Vorsorgeuntersuchungen ausfindig zu machen.

Herzstillstand beim Marathon: Die letzten Meter sind die gefährlichsten!

Ein Team aus Frankreich hat Fälle von plötzlichem Herzstillstand während des Paris-Marathons ausgewertet. In fast 90% waren Männer betroffen, und zwar überwiegend auf dem letzten Kilometer vor dem Ziel.

BMI-angepasste NT-proBNP-Schwelle bringt keinen Nutzen

Patienten mit Adipositas weisen erniedrigte Spiegel des N-terminalen pro-B-Typ-natriuretischen Peptids (NT-ProBNP) auf. Ob sich das auf die NT-proBNP-gestützte Diagnostik von Herzinsuffizienz auswirkt, haben britische Mediziner untersucht.

Update Innere Medizin

Bestellen Sie unseren Fach-Newsletter und bleiben Sie gut informiert.

Bildnachweise
Die Leitlinien für Ärztinnen und Ärzte, Vorbereitung für Koloskopie/© Eugene Nekrasov / Getty Images / iStock (Symbolbild mit Fotomodellen), Eine Speichelprobe wird entnommen/© Animaflora PicsStock / stock.adobe.com (Symbolbild mit Fotomodell), Menschen bei einer Laufveranstaltung/© TeamDaf / stock.adobe.com (Symbolbild mit Fotomodellen)