Zum Inhalt

ROMosozumab early experience in female patients with severe osteoporosis in an Italian real-world setting, the ROMEO study

  • Open Access
  • 13.10.2025
  • Original Article
Erschienen in:

Abstract

Summary

The impact of romosozumab on the bone mineral density surrogate threshold effect (BMD-STE) in postmenopausal women with severe osteoporosis is unknown. Significant BMD gains with romosozumab were observed and 60% of patients achieved the BMD-STE at month 12, regardless of bisphosphonate pre-exposure. Romosozumab offers effective treatment in high-risk fracture patients.

Purpose

A real-life study to investigate the impact of romosozumab on the bone mineral density surrogate threshold effect (BMD-STE) for minimal fracture risk reduction. 

Methods

A retrospective analysis of postmenopausal women with severe osteoporosis newly treated with romosozumab from 29 November 2022 until 01 July 2024 (extraction date). BMD of the lumbar spine (L1–L4), femoral neck, and total hip was assessed at baseline and months 6 and 12, and the BMD-STE was evaluated. Blood serum samples were assayed for bone turnover markers and calcium-phosphate metabolism. Subgroup analyses compared patients minimally exposed to bisphosphonates with patients pre-exposed to bisphosphonates. Patients contributed to the analysis according to their observation period.

Results

Overall, 133 postmenopausal women with severe osteoporosis newly treated with romosozumab were included (mean age 72.5 ± 9.5 years, lowest T score -3.3 ± 0.87); 70 patients were followed up to month 6, and 41 patients up to month 12. Significant increases in BMD were observed at all sites (all p < 0.05 vs. baseline). At month 6, 56.4% of patients reached the STE for minimal fracture risk reduction for all fractures. Among patients with a lumbar spine T-score ≤ -2.5 at baseline, 18.2% and 32.0% reached the T-score target (> -2.5) at months 6 and 12, respectively. P1nP levels increased significantly and CTX levels decreased significantly at months 3 and 6, (all p < 0.05 vs. baseline).

Conclusion

The rapid increase in BMD with romosozumab supports its use for reducing fracture risk in postmenopausal women with severe osteoporosis, regardless of prior bisphosphonate exposure.

Supplementary Information

The online version contains supplementary material available at https://doi.org/10.1007/s00198-025-07722-8.

Publisher's Note

Springer Nature remains neutral with regard to jurisdictional claims in published maps and institutional affiliations.

Introduction

Osteoporosis is a metabolic bone disease characterized by decreased bone mass and increased fracture risk [1]. The humanized monoclonal antibody, romosozumab, binds and inhibits sclerostin; this has the dual effect of decreasing bone resorption and increasing bone formation [24]. In Italy, reimbursement approval for romosozumab was granted in 2022 for the treatment of postmenopausal women with osteoporosis at high risk of fractures. Although the latest ISS (Istituto Superiore di Sanità) National Guidelines suggest the use of romosozumab as first-line treatment in female patients at high risk of fracture, romosozumab is authorized as second-line in Italy due to the reimbursement criteria reported in Nota 79 (Agenzia Italiana del Farmaco –AIFA) [5].
An increase in bone mineral density (BMD) is associated with a reduction in fracture risk, making BMD a crucial parameter in assessing the efficacy of osteoporosis treatments [6]. The BMD surrogate threshold effect (STE) refers to the smallest treatment effect observed on a surrogate marker that can reliably (with 95% confidence) predict a corresponding effect on a clinical outcome [7]. As an example, an increase of > 4.6% in total hip BMD is paralleled by a > 50% risk reduction of vertebral fractures. The BMD-STE has been validated by a large meta-regression analysis of randomized controlled trials, including trials of romosozumab [8]. However, while previous observational studies have explored the effects of anti-osteoporosis treatments (such as bisphosphonates, denosumab, and teriparatide) on achieving BMD-STE [7] limited research has investigated the impact of romosozumab on this outcome in real-life [9].
Based on these considerations, we conducted a real-life study to investigate the proportion of patients undergoing romosozumab therapy who achieved the BMD-STE for minimal fracture risk reduction. Additionally, we compared outcomes between romosozumab-naïve patients and those previously exposed to bisphosphonates. Lastly, we investigated the effects of romosozumab on bone turnover markers (BTMs) and calcium-phosphate metabolism.

Methods

This study was a retrospective analysis of prospectively collected data of postmenopausal women with severe osteoporosis treated with romosozumab according to clinical practice at the University of Verona Hospital, Italy. Data were collected from the electronic medical records, from patient history, and clinical database of the Rheumatology Section of the University of Verona Hospital from 29 November 2022 until 01 July 2024 (i.e., the extraction date). For each patient, the index date corresponded with the date of first romosozumab prescription (Day 0) and will end on the earliest between the dates of loss to follow-up, death, end of database coverage, or end of romosozumab treatment. (Fig. 1).
Fig. 1
Study design and assessment windows. Timeline of data collection and analysis for the study cohort, anchored at the cohort entry date (Index date, Day 0), defined as the date of the first romosozumab prescription
Bild vergrößern
The Covariate Assessment Windows include: baseline conditions assessed on day −1; disease history assessed from day −730 to day −1; prior osteoporosis treatments were extracted from electronic prescribing records in the [−183, −1] day window, chosen to maximize specificity and accuracy. Prior exposure to bisphosphonates was defined as > 3 months of continuous oral bisphosphonates in the last 2 years prior to romosozumab initiation or any prior treatment with IV bisphosphonates. Treatments prior to this window or missing from prescription data were collected from patient history.
The study was conducted according to the protocol REUMABANK approved by the Ethics Committee of the University of Verona Hospital, in accordance with the 1964 Helsinki Declaration and its later amendments or comparable ethical standards.

Study cohort

The study cohort consisted of female patients with severe postmenopausal osteoporosis newly treated with at least one dose of romosozumab 210 mg/month. To be included in the study, postmenopausal women had to have documented severe osteoporosis, as defined by WHO definition (a BMD of 2.5 standard deviations below that of young adults –T-score ≤ 2.5– along with to the presence of one or more fragility fractures) [10], and a 10-year major osteoporotic fracture (MOF) risk ≥ 20% (as determined using DeFRA, a validated fracture risk assessment tool derived from FRAX [1113]); AND a T-score at the spine or femur of < −2.5 (or < −2.0 if there were ≥ 2 moderate or severe vertebral fractures or if there was a femoral fracture in the previous 2 years) and history of ≥ 1 moderate or severe vertebral fractures or ≥ 2 mild vertebral fractures or ≥ 1 femoral fracture; OR a T-score at the spine or femur of < −2.5 and history of ≥ 2 non-vertebral non-femoral fractures (including non-vertebral, non-femoral MOF, and non-MOF fractures).
Patients were excluded if they had a history of previous myocardial infarction or stroke, a history of bone diseases other than osteoporosis (e.g., Paget’s disease of the bone), a history of malignancy of the bone, severe liver or kidney disease (eGFR < 30 ml/min or Child–Pugh grade B or C), or uncontrolled endocrine disease (i.e., hypocalcemia, primary hyperparathyroidism).

Study procedure

BMDs of the lumbar spine (L1–L4), femoral neck, and total hip were measured using dual-energy X-ray absorptiometry (DXA) with the QDR Hologic Delphi machine at baseline and after 6 and 12 months of romosozumab. The variation coefficient was 1% for the vertebral site and 1.2% for the femoral neck. Least Significant Change (LSC) for lumbar spine and total hip BMD was calculated using the formula LSC = 2.77 × variation coefficient. This corresponded to an LSC of 2.77% for the lumbar spine and 3.32% for the total hip, allowing the identification of changes exceeding measurement variability. Vertebral fracture assessment (VFA) was used to detect the presence of new vertebral fractures.
Blood samples were collected in the morning after overnight fasting at baseline and months 3, 6, and 12. Serum samples were aliquoted and stored at −80 °C until they were assayed for markers, including C-terminal telopeptide of type I collagen (CTX, a biomarker of bone resorption), Procollagen I Intact N-Terminal Peptide (P1NP, a biomarker of bone formation), 25OH-Vitamin D (25OHVitD), and parathyroid hormone (PTH). CTX and P1NP measurements were performed using the IDS-ISYS Multi-Discipline Automated Analyzer based on chemiluminescence technology, with an intra-assay coefficient of variation of 3.0% for P1NP and 2.0% for CTX. PTH was quantified using an enzyme-linked immunosorbent assay (ELISA) technique, with an intra-assay variability of 6% and an inter-assay variability of 7%. The LIAISON® 25OHVitD assay was used to measure 25OHVitD, with an intra-assay variability of 8% and an inter-assay variability of 12%. To limit inter-assay variability, all samples were measured in a single batch. To assess whether changes in BTMs exceeded analytical error, we calculated the LSC for CTX and P1NP using LSC = 2.77 × variation coefficient [14], yielding thresholds of 5.54% for CTX and 8.31% for P1NP. These values were used to define whether individual changes were clinically meaningful.

Statistical analysis

According to the nature of the study, each patient contributed to the analysis according to their observation period. The evaluable population was divided into two cohorts: the Minimal Exposure to Bisphosphonates (MEB) population, defined as all evaluable patients with < 3 months of continuous exposure to bisphosphonate in the last 2 years prior to romosozumab initiation, and patients with prior exposure to bisphosphonates, defined as > 3 months of continuous oral bisphosphonates in the last 2 years prior to romosozumab initiation or ever treated with IV bisphosphonates.
All variables were summarized using descriptive statistics. For continuous variables, summary statistics (number of available observations, mean, SD, minimum, median, maximum, and first and third quartiles where relevant) are presented. Categorical variables were summarized by the frequency of patients and the proportion of patients in each category and were compared using the χ2 test.
Changes in BMD and serum markers and between-group differences (i.e., MEB patients versus those pre-exposed to bisphosphonates) were analyzed with mixed-effect model analysis for repeated measures and adjusted for prior bisphosphonate exposure, age, and initial BMD levels. Patient ID was the random effect.
The proportion of patients achieving the BMD-STE was calculated at months 6 and 12. STE estimates for changes in total hip BMD were retrieved from the FNIH-ASBMR SABRE Project [8].
The False Discovery Rate (FDR) approach with the two-stage step-up method of Benjamini, Krieger and Yekutieli (Q value 5% of FDR) [15] was used to account for multiplicity.
All differences were considered significant when the p-value was < 0.05.
Statistical analyses were performed using JASP 0.19.0.0 and GraphPad Prism version 10.4.0 (GraphPad Software, San Diego, CA, USA).

Study size

As the study’s objectives were descriptive, no a priori hypothesis was made. Therefore, the sample size was based on feasibility criteria. Data from the pivotal ARCH trial demonstrated a 13.8% increase in lumbar spine BMD at 12 months (95% CI: 12.70, 14.95) with ROMO. This corresponds to an effect size (∣δ∣) of 0.575, representing a medium effect size. Based on a one-sample t-test assumption, appropriate for our prospective observational study involving a single arm, we estimated that a sample size of 34 participants would be sufficient to reliably detect an effect size of ∣δ∣ ≥ 0.575 with a probability of at least 0.9, using a two-sided test with a maximum Type I error rate of α = 0.05. Similarly, in the ARCH trial, ROMO increased lumbar spine BMD by 11.0% (95% CI: 9.95, 11.97) in 6 months, which corresponds to an effect size of (∣δ∣) of 0.510 and an estimated sample size (β = 0.9 and α = 0.05) for one-sample t-test of 43. Therefore, we analyzed the data once > 40 patients completed 12 months of follow-up and > 50 patients reached 6 months of observation.

Results

Cohort characteristics

At the extraction date, 133 primary postmenopausal women with severe osteoporosis newly treated with romosozumab were included in the study (mean age 72.5 ± 9.5 years; mean age at menopause 49.2 ± 4.4 years) (Table 1). The patient with CKD showed an estimated glomerular filtration rate > 30 mL/min (mild disease), and PTH levels within the normal range. These features, i.e. mild renal impairment and no evidence of secondary causes of bone loss, parallel the inclusion criteria of pivotal trial [16], and allowed the patient to be included in the analysis. Similarly, patients with rheumatologic conditions receiving glucocorticoids showed laboratory parameters within normal ranges and were maintained in the study. In addition, treatment with denosumab or teriparatide occurred before romosozumab initiation. Specifically, the last denosumab injection occurred a median of 6 years earlier (IQR 4–9), and the last teriparatide injection a median of 3 years earlier (IQR 2–6).
Table 1
Baseline characteristics
Characteristica
Evaluable population
(n = 133)
MEB population
(n = 91)
Prior exposure to BIs
(n = 42)
Mean age, years
72.5 ± 9.5
72.0 ± 9.0
73.2 ± 10.1
Mean age at menopause, years
49.2 ± 4.4
48.9 ± 4.3
50.6 ± 5.1
Prevalent vertebral fracture
100 (75.2%)
78 (85.7%)
33 (78.6%)
Median (IQR) number of vertebral fractures
2.0 (1.0–4.0)
2.0 (1.0–3.0)
2.0 (1.0–4.0)
Prevalent hip fracture
24 (18.0%)
16 (12.0%)
8 (19.0)
Comorbidities
82 (61.6%)
43 (47.2%)
34 (81.0%)
Major CV disease
4 (3.0%)
2 (2.2%)
2 (4.8%)
DVT
2 (1.5%)
2 (2.2%)
0
VTE
2 (1.5%)
0
2 (4.8%)
Minor CV disease or risk factor
54 (40.6%)
36 (39.5%)
18 (42.9%)
Hypertension
35 (26.3%)
24 (26.4%)
11 (26.2%)
Dyslipidemia
15 (11.3%)
12 (13.2%)
3 (7.1%)
PAD
1 (0.7%)
0
1 (2.4%)
Hematological disease
16 (12.0%)
8 (8.8%)
8 (19.1%)
Multiple Myeloma (smoldering)
10 (7.5%)
6 (6.6%)
4 (9.5%)
MGUS
5 (3.7%)
2 (2.2%)
3 (7.1%)
Lymphoma
1 (0.7)
0
1 (2.4%)
CKD
8 (6.0%)
5 (5.5%)
3 (7.1%)
Associated rheumatologic diseases
26 (19.5%)
18 (19.8%)
8 (19.1%)
Prior treatment (ever)
   
Oral Bisphosphonates
61 (45.9%)
42 (46.1%)
19 (45.2%)
IV Bisphosphonates
30 (22.6%)
0
30 (71.4%)
Denosumab
21 (15.8%)
11 (12.1%)
10 (23.8%)
Teriparatide
8 (6.0%)
8 (8.7%)
0
Exposure to anti-resorptive prior to study entryb
42 (31.6%)
na
42 (100%)
Mean femoral neck BMD, g/cm2
0.648 ± 0.104
0.640 ± 0.107
0.666 ± 0.094
Mean total hip BMD, g/cm2
0.689 ± 0.107
0.675 ± 0.113
0.720 ± 0.085
Mean lumbar spine BMD, g/cm2
0.813 ± 0.146
0.800 ± 0.147
0.840 ± 0.140
Abbreviations: BI, bisphosphonates; BMD, bone mineral density; CKD, chronic kidney disease; CV, cardiovascular; DVT, deep vein thrombosis; IQR, interquartile range; IV, intravenous; MEB, minimally exposed to bisphosphonates; MGUS, monoclonal gammopathy of undetermined significance; na, not applicable; PAD, Peripheral Arterial Disease; SD, standard deviation; VTE, venous thromboembolism.
aData are shown as mean ± SD, median (IQR), or n (%).
bDefined as > 3 months of continuous oral bisphosphonates within 12 months from study entry or ever treated with IV bisphosphonates.
All the patients included in the evaluable population were on vitamin D treatment; 40 patients (30%) were on calcium treatment and 3 patients (2.2%) on low-dose, short-term glucocorticoids (less than 3 months and less than 5 mg/die).
The lowest T score was −3.3 ± 0.87. Of these patients, 91 (68.4%) had limited exposure to anti-resorptive drugs (i.e., MEB population), and 42 patients (31.6%) had prior exposure to bisphosphonates. Overall, 70 patients were followed up to month 6, and 41 patients up to month 12.
At baseline, the mean femoral neck BMD was 0.648 ± 0.104 g/cm2, the mean total hip BMD was 0.689 ± 0.107 g/cm2, and the mean lumbar spine BMD was 0.813 ± 0.146 g/cm2. Complete baseline characteristics of the study population are shown in Table 1.

Bone mineral density (BMD)

Compared with baseline, BMD increased significantly at all sites at month 6 and month 12 in the study population (femoral neck + 3.9% and + 6.6%, p < 0.01; total hip + 3.4% and + 3.7%, p < 0.01; lumbar spine + 7.5% and + 10.9%, p < 0.0001, respectively). MEB patients had higher increases in BMD at the femoral neck, total hip, and lumbar spine at month 6 and month 12 than patients pre-exposed to bisphosphonates, but the between-group differences were not statistically significant (Fig. 2). A single fragility fracture was observed during follow-up: one patient sustained a vertebral fracture confirmed by radiography at 12 months.
Fig. 2
Bone mineral density (BMD) changes at the femoral neck, total hip, and lumbar spine in patients treated with romosozumab 
Abbreviations: BPs, bisphosphonates; MEB, minimal exposure to bisphosphonates.
*p-value < 0.05, **p-value < 0.01, *** p-value < 0.001, ****p-value < 0.0001 vs. baseline in patients treated with romosozumab naïve to treatment; †p-value < 0.05, ††p-value < 0.01 vs. baseline in patients exposed to bisphosphonates. Error bars show 95% confidence intervals.
Bild vergrößern
At month 6, 56.4% of patients reached the STE for minimal fracture risk reduction for all fractures, increasing to 60.0% at month 12 (Fig. 3A). Similarly, the proportion of patients reaching STEs at month 6 and month 12, respectively, was 59.0% and 65.7% for vertebral fractures, 38.5% and 42.9% for hip fractures, and 53.8% and 57.1% for non-vertebral fractures (Fig. 3A).
Fig. 3
Proportion of patients reaching surrogate threshold effect (STE) for minimum fracture risk reduction. STE is a specific threshold of BMD improvement or fracture risk reduction that is associated with a meaningful clinical benefit, such as a reduced risk of fracture risk
(A) Percentage of the overall study population reaching STEs for minimum fracture risk reduction at 6 and 12 months, across different fracture types (all fractures, vertebral, hip, and non-vertebral) and risk reduction thresholds.
(B) Comparison of patients reaching STE in previously exposed to bisphosphonates (BPs, orange bars) versus the MEB population (purple bars) at 6 and 12 months.
* p value<0.05 vs. patients pre-exposed to bisphosphonates
Abbreviations: BPs, bisphosphonates; MEB, minimal exposure to bisphosphonates; STE, surrogate threshold effect.
Bild vergrößern
Significantly more MEB patients reached the STE for all fractures, vertebral fractures, hip fractures, and non-vertebral fractures at month 6 than those previously exposed to bisphosphonates; this difference was not observed at month 12, and the proportion of patients reaching STEs was similar between groups at all sites (Fig. 3B).
Longer treatment duration increased the probability of achieving a non-osteoporotic T-score target (i.e., > −2.5) at the lumbar spine (Fig. 1S). Among patients with a lumbar spine T-score ≤ −2.5 at baseline, 18.2% and 32.0%, respectively, reached a non-osteoporotic T-score target of > −2.5 at month 6 and month 12.

Bone turnover markers (BTMs)

Statistically significant increases in P1nP levels were observed at month 3 (+ 76.2%) and month 6 (+ 34.6%) in the study population (both p < 0.01 vs. baseline); at month 12, P1nP returned to baseline levels (Fig. 4). CTX levels decreased significantly at month 3 (−22.6%) and month 6 (−26.6%) (both p < 0.05 vs. baseline) and showed a gradual increase towards baseline levels at month 12 (Fig. 4). For P1NP, values of mean (DS) were 76.072 (60.182) at baseline, 73.986 (34.016) at month 6, and 55.000 (29.849) at month 12 for MEB group, vs 32.607 (14.170) at baseline, 44.447 (19.837) at month 6, 33.750 (17.514) at month 12 for BI group. For CTX, mean (DS) were 0.413 (0.218) at baseline, 0.0287 (0.217) at month 6, 0.297 (0.233) at month 12 for MEB, and 0.066 (0.041) at baseline, 0.084 (0.073) at month 6, and 0.109 (0.094) at month 12 for BI group.
Fig. 4
Bone turnover markers (BTMs) in patients treated with romosozumab
Abbreviations: CTX, C-terminal telopeptide of type I collagen; P1nP, Procollagen I Intact N-Terminal Peptide.
* p value<0.05, ** p value<0.01, **** p value <0.0001 vs baseline. Error bars show 95% confidence intervals.
Bild vergrößern

Calcium and phosphate metabolism

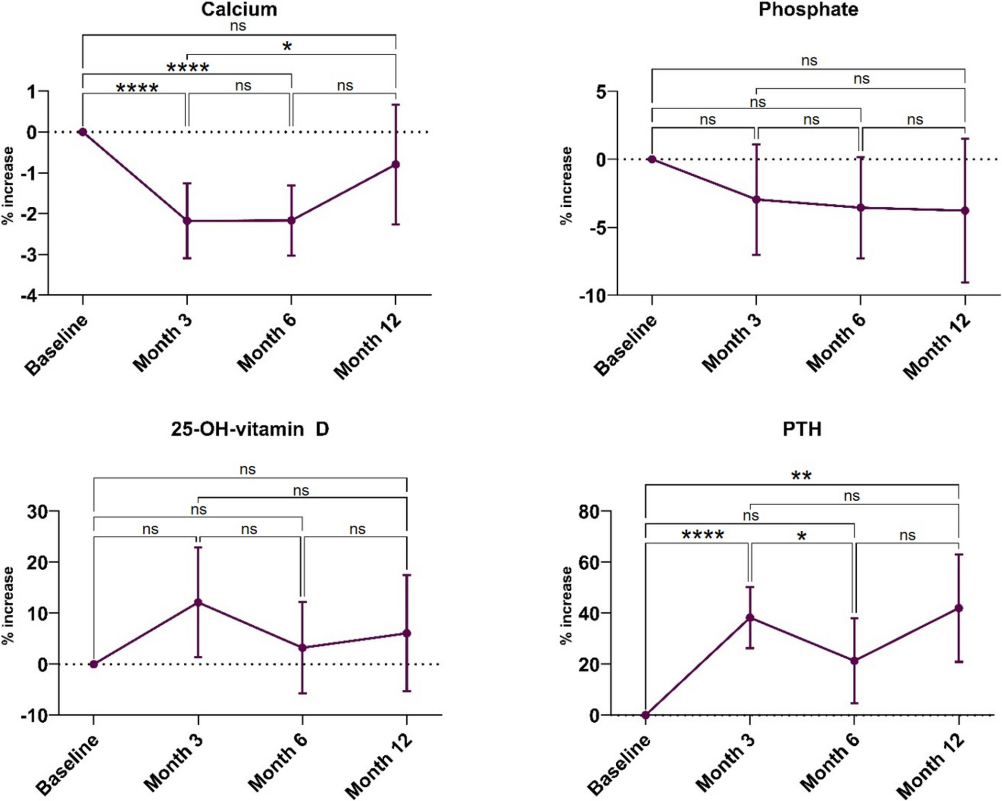
Calcium levels in the study population decreased significantly by −2.2% at month 3 and month 6 (both p < 0.0001 vs. baseline) but returned towards baseline levels at month 12 (+ 1.7% increase from month 3 to month 12; p < 0.05). PTH increased significantly at month 3 and month 12 compared with baseline (+ 38.2% and + 42.0%, respectively; p < 0.01) (Fig. 5). No significant changes were observed in phosphate and 25OHVitD levels over time (Fig. 5).
Fig. 5
Change in calcium, phosphate, parathyroid hormone (PTH), and vitamin D levels in patients treated with romosozumab
Abbreviations: CTX, C-terminal telopeptide of type I collagen; P1nP, Procollagen I Intact N-Terminal Peptide
* p value < 0.05, ** p value < 0.01, **** p value < 0.0001 vs baseline. Error bars show 95% confidence intervals.
Bild vergrößern

Treatment pattern

All 133 patients received vitamin D supplements (1000 IU/day) throughout the study period, and 30% (n = 40) took supplemental calcium supplements (1200 mg/day elementary calcium). Of the 41 patients who were followed up to month 12, five were subsequently treated with alendronate, 12 with zoledronic acid, and 24 with denosumab.

Adverse events

At the time of data cut-off, a substantial proportion of patients were still undergoing treatment. Preliminary observations did not reveal unexpected safety concerns. Overall, 17 (12.8%) patients experienced adverse events (Table 2). No cardiovascular events were reported during the treatment period, including within the first 6 months following treatment initiation. A total of 9 patients (6.8%) discontinued treatment due to adverse events, with 4 discontinuations occurring before month 3, and 5 between month 3 and month 6. Patients’ death was not attributable to treatment, as one is related to de novo metastatic cancer at month 3, and one to the evolution to metastatic cancer in previously diagnosed breast cancer at month 3.
Table 2
Unsolicited adverse events and treatment discontinuation
Patients with any adverse event during treatment, n (%)
17 (12.8%)
Diffuse musculoskeletal pain and headache
15 (11.3%)
Pruritus
1 (0.7%)
Serious cardiovascular event
Cancer
2 (1.5%)
Death
2 (1.5%)
Event leading to discontinuation of treatment
9 (6.8%)
Before M3
Between M3 and M6
After M6
4 (44.4%)
5 (55.6%)

Discussion

Here, we present a retrospective analysis of postmenopausal osteoporosis patients treated with romosozumab. Overall, we observed significant increases in BMD at all measured sites after 6 and 12 months of therapy, with more than 50% of patients achieving the BMD-STE. Patients included in the study were all with primary postmenopausal osteoporosis, including the patient presenting mild CKD [16], and those receiving low-dose, short-term glucocorticoids.
Our results align with previous studies that demonstrated significant BMD gains with romosozumab in patients with severe osteoporosis [24]. Notably, our study showed that over half of patients reached the BMD-STE for minimal fracture risk reduction at any site as early as 6 months of treatment, with further increases observed by month 12.
Romosozumab predominantly stimulates modeling-based and overflow remodeling bone formation, leading to a rapid net positive bone balance [17]. This effect is evidenced by the significant increase in the bone formation marker P1nP paralleled by a decrease in the bone resorption marker CTX that we observed during the first six months of therapy. All the patients in the cohort study had discontinued previous treatment at least two years before the initiation of romosozumab, thus we can exclude any significant carry-over effect on the outcomes reported, given the sufficient wash-out period. When comparing patients with minimal exposure to antiresorptive therapy with those previously exposed to bisphosphonates, we found that MEB patients achieved STE earlier than patients with greater prior exposure to bisphosphonates. Moreover, similarly to what found in this study, the overall BMD responses were attenuated in patients pre-treated with bisphosphonates, as previously reported [18]. While it is well established that bisphosphonates can exert prolonged skeletal retention and antiresorptive activity, particularly with intravenous formulations, BPs may show a gradual decline in pharmacodynamic effect over time. The antiresorptive effect of BPs may gradually decrease with time, allowing partial reactivation of bone remodeling units, which may in turn influence the anabolic response to subsequent romosozumab therapy [19]. Nonetheless, an almost equal proportion of patients reached STE by month 12 regardless of prior bisphosphonate exposure. This observation suggests that pretreatment with bisphosphonates may only delay the achievement of STE. Bisphosphonates decrease the available remodeling space and hamper the romosozumab response. However, as the effects of bisphosphonates wane, new bone remodeling units reactivate and romosozumab may exert its full anabolic potential, allowing these patients to further increase BMD to eventually reach the STE.
As expected, we observed significant changes in calcium-phosphate metabolism during romosozumab therapy. Serum calcium levels decreased during the first six months, accompanied by a compensatory increase in PTH levels. This pattern may be caused by a "hungry bone" phenomenon, in which accelerated bone formation leads to increased uptake of calcium into bone tissue, coupled with reduced bone resorption resulting in a transient decrease in serum calcium [20]. The subsequent compensatory rise in PTH restored serum calcium levels. By month 12, calcium returned to baseline levels, while PTH remained elevated, potentially reflecting ongoing adjustments in mineral metabolism associated with enhanced bone formation or the suppression of bone remodeling, which is prevalent in the second 6-month period of romosozumab treatment [3, 21]. Either way, these findings have important clinical implications. Indeed, every patient treated with romosozumab should receive vitamin D and calcium supplements, at a dose that is slightly higher than currently recommended by international guidelines in postmenopausal women.
A key strength of this study is its real-world setting, which enhances the applicability of our findings to routine clinical practice. However, several limitations must be acknowledged. The retrospective design and incomplete follow-up data, with only a portion of patients reaching the 12-month evaluation, may introduce bias and limit the generalizability of the results. Nonetheless, we performed a careful sample size estimation, which confirmed that the number of patients reaching the 6-month, and 12-month evaluations was sufficient to detect the observed large differences in BMD. The lack of a control group also prevents direct comparisons with other treatment modalities. Future prospective studies with larger sample sizes and longer follow-up periods are necessary to confirm our findings. Additionally, we acknowledge that it is important for clinicians to recognize that the data reflect group-level trends and are not intended to guide individual clinical decisions.
The rapid increase in BMD with romosozumab supports its use for reducing fracture risk in postmenopausal women with severe osteoporosis, even in those with prior bisphosphonate exposure. Romosozumab significantly increased BMD in all subgroups and at all sites as early as 6 months of therapy regardless of prior bisphosphonate exposure. Our findings support the effectiveness of romosozumab as a first-line treatment in patients at imminent risk for fracture (i.e., within 6–12 months), in whom a rapid increase in BMD is of the utmost importance. In addition, we showed that romosozumab was effective on BMD even in patients pre-treated with bisphosphonates.

Acknowledgements

Editorial assistance was provided by Melanie Gatt (PhD) on behalf of Health Publishing & Services Srl. This assistance was funded by UCB in accordance with Good Publication Practice (GPP) 2022 guidelines.

Declarations

The study was conducted according to the protocol RWE0988 approved by our local Ethics Committee, in accordance with the 1964 Helsinki Declaration and its later amendments or comparable ethical standards. Informed consent was collected for each participant.
Patients provided consent for the publication of anonymized data.

Conflict of interest

Giovanni Adami has received advisory board honoraria, consultancy fees, and/or speaker fees from Theramex, UCB, Lilly, Galapagos, Fresenius Kabi, Amgen, BMS, Abiogen, and Pfizer. Davide Gatti has received advisory board honoraria, consultancy fees, and/or speaker fees from Abiogen, Celgene, Eli-Lilly, Neopharmed-Gentili, Pfizer, and UCB. Maurizio Rossini reports advisory board honoraria, consultancy fees, and/or speaker fees from AbbVie, Eli-Lilly, Italfarmaco, Neopharmed-Gentili, Theramex, UCB, outside the submitted work. Ombretta Viapiana has received advisory board honoraria and speaker fees from Gilead, Fresenius Kabi, Biogen, Eli-Lilly, UCB, Abbvie, MSD, and BMS. Angelo Fassio reports personal fees from Abiogen, Novartis, and Neopharmed. Marta Bartezaghi and Rachele Fornari are employees of UCB. Filippo Montanari, Anna Piccinelli1, Francesco Pollastri, Francesca Mastropaolo, Francesco Giorgio, Camilla Benini have nothing to declare.
Open Access This article is licensed under a Creative Commons Attribution-NonCommercial 4.0 International License, which permits any non-commercial use, sharing, adaptation, distribution and reproduction in any medium or format, as long as you give appropriate credit to the original author(s) and the source, provide a link to the Creative Commons licence, and indicate if changes were made. The images or other third party material in this article are included in the article's Creative Commons licence, unless indicated otherwise in a credit line to the material. If material is not included in the article's Creative Commons licence and your intended use is not permitted by statutory regulation or exceeds the permitted use, you will need to obtain permission directly from the copyright holder. To view a copy of this licence, visit http://creativecommons.org/licenses/by-nc/4.0/.

Publisher's Note

Springer Nature remains neutral with regard to jurisdictional claims in published maps and institutional affiliations.
Download
Titel
ROMosozumab early experience in female patients with severe osteoporosis in an Italian real-world setting, the ROMEO study
Verfasst von
Giovanni Adami
Marta Bartezaghi
Filippo Montanari
Anna Piccinelli
Francesco Pollastri
Francesca Mastropaolo
Francesco Giorgio
Camilla Benini
Angelo Fassio
Maurizio Rossini
Davide Gatti
Rachele Fornari
Ombretta Viapiana
Publikationsdatum
13.10.2025
Verlag
Springer London
Erschienen in
Osteoporosis International / Ausgabe 12/2025
Print ISSN: 0937-941X
Elektronische ISSN: 1433-2965
DOI
https://doi.org/10.1007/s00198-025-07722-8

Supplementary Information

Below is the link to the electronic supplementary material.
1.
Zurück zum Zitat Kanis JA, Cooper C, Rizzoli R, Reginster JY, Scientific Advisory Board of the European Society for C, Economic Aspects of O et al (2019) European guidance for the diagnosis and management of osteoporosis in postmenopausal women. Osteoporos Int 30(1):3–44.https://doi.org/10.1007/s00198-018-4704-5
2.
Zurück zum Zitat Cosman F, Crittenden DB, Adachi JD, Binkley N, Czerwinski E, Ferrari S et al (2016) Romosozumab treatment in postmenopausal women with osteoporosis. N Engl J Med 375(16):1532–1543. https://doi.org/10.1056/NEJMoa1607948CrossRefPubMed
3.
Zurück zum Zitat Saag KG, Petersen J, Brandi ML, Karaplis AC, Lorentzon M, Thomas T et al (2017) Romosozumab or alendronate for fracture prevention in women with osteoporosis. N Engl J Med 377(15):1417–1427. https://doi.org/10.1056/NEJMoa1708322CrossRefPubMed
4.
Zurück zum Zitat Singh S, Dutta S, Khasbage S, Kumar T, Sachin J, Sharma J et al (2022) A systematic review and meta-analysis of efficacy and safety of Romosozumab in postmenopausal osteoporosis. Osteoporos Int 33(1):1–12. https://doi.org/10.1007/s00198-021-06095-yCrossRefPubMed
5.
Zurück zum Zitat Agenzia Italiana del Farmaco (AIFA). Nota 79. 11 February 2025]; Available from: https://www.aifa.gov.it/en/nota-79.
6.
Zurück zum Zitat Bouxsein ML, Eastell R, Lui LY, Wu LA, de Papp AE, Grauer A et al (2019) Change in bone density and reduction in fracture risk: a meta-regression of published trials. J Bone Miner Res 34(4):632–642. https://doi.org/10.1002/jbmr.3641CrossRefPubMed
7.
Zurück zum Zitat Adami G, Bertelle D, Fassio A, Benini C, Gatti D, Viapiana O et al (2023) OP0242 proportion of patients reaching the bone mineral density (BMD) surrogate threshold effect (STE) with bisphosphonates, denosumab and teriparatide. Ann Rheum Dis 82:161–162. https://doi.org/10.1136/annrheumdis-2023-eular.461CrossRef
8.
Zurück zum Zitat Eastell R, Vittinghoff E, Lui LY, McCulloch CE, Pavo I, Chines A et al (2022) Validation of the Surrogate Threshold Effect for Change in Bone Mineral Density as a Surrogate Endpoint for Fracture Outcomes: The FNIH-ASBMR SABRE Project. J Bone Miner Res 37(1):29–35. https://doi.org/10.1002/jbmr.4433CrossRefPubMed
9.
Zurück zum Zitat Chapurlat R, Bergh J, Ralston S, Ferrari S, McClung M, Lorentzon M et al (2022) Proportion of Patients Who Reach the BMD Surrogate Threshold Effect on Romosozumab: a Post Hoc Analysis of the Randomised FRAME and ARCH Phase 3 Trials. Bone Reports 16:101194. https://doi.org/10.1016/j.bonr.2022.101194CrossRef
10.
Zurück zum Zitat AQ WHO., S.G.o.t. Prevention, M.o. Osteoporosis (2003) Prevention and management of osteoporosis : report of a WHO scientific group. World Health Organization, Geneva
11.
Zurück zum Zitat Adami G, Biffi A, Porcu G, Ronco R, Alvaro R, Bogini R et al (2023) A systematic review on the performance of fracture risk assessment tools: FRAX, DeFRA, FRA-HS. J Endocrinol Invest 46(11):2287–2297. https://doi.org/10.1007/s40618-023-02082-8CrossRefPubMedPubMedCentral
12.
Zurück zum Zitat Adami S, Bianchi G, Brandi ML, Di Munno O, Frediani B, Gatti D et al (2010) Validation and further development of the WHO 10-year fracture risk assessment tool in Italian postmenopausal women: project rationale and description. Clin Exp Rheumatol 28(4):561–570PubMed
13.
Zurück zum Zitat Bonaccorsi G, Fila E, Cervellati C, Romani A, Giganti M, Rossini M et al (2015) Assessment of fracture risk in a population of postmenopausal Italian women: a comparison of two different tools. Calcif Tissue Int 97(1):50–57. https://doi.org/10.1007/s00223-015-0009-2CrossRefPubMed
14.
Zurück zum Zitat Nishizawa Y, Miura M, Ichimura S, Inaba M, Imanishi Y, Shiraki M et al (2019) Executive summary of the Japan Osteoporosis Society guide for the use of bone turnover markers in the diagnosis and treatment of osteoporosis (2018 edition). Clin Chim Acta 498:101–107. https://doi.org/10.1016/j.cca.2019.08.012CrossRefPubMed
15.
Zurück zum Zitat Benjamini Y, Krieger AM, Yekutieli D (2006) Adaptive linear step-up procedures that control the false discovery rate. Biometrika 93(3):491–507. https://doi.org/10.1093/biomet/93.3.491CrossRef
16.
Zurück zum Zitat Miller PD, Adachi JD, Albergaria BH, Cheung AM, Chines AA, Gielen E et al (2022) Efficacy and safety of romosozumab among postmenopausal women with osteoporosis and mild-to-moderate chronic kidney disease. J Bone Miner Res 37(8):1437–1445. https://doi.org/10.1002/jbmr.4563CrossRefPubMed
17.
Zurück zum Zitat Eriksen EF, Chapurlat R, Boyce RW, Shi Y, Brown JP, Horlait S et al (2022) Modeling-based bone formation after 2 months of Romosozumab treatment: results from the FRAME clinical trial. J Bone Miner Res 37(1):36–40. https://doi.org/10.1002/jbmr.4457CrossRefPubMed
18.
Zurück zum Zitat Cosman F, Kendler DL, Langdahl BL, Leder BZ, Lewiecki EM, Miyauchi A et al (2022) Romosozumab and antiresorptive treatment: the importance of treatment sequence. Osteoporos Int 33(6):1243–1256. https://doi.org/10.1007/s00198-021-06174-0CrossRefPubMedPubMedCentral
19.
Zurück zum Zitat Adami G, Saag KG (2025) Expert perspective: how, when, and why to potentially stop antiresorptive drugs in osteoporosis. Arthritis Rheumatol. https://doi.org/10.1002/art.43179CrossRefPubMedPubMedCentral
20.
Zurück zum Zitat Cartwright C, Anastasopoulou C (2025) Hungry Bone Syndrome. [Updated 2025 Feb 6]. In: StatPearls [Internet]. Treasure Island (FL): StatPearls Publishing. Available from: https://www.ncbi.nlm.nih.gov/books/NBK549880/
21.
Zurück zum Zitat McClung MR, Brown JP, Diez-Perez A, Resch H, Caminis J, Meisner P et al (2018) Effects of 24 months of treatment with romosozumab followed by 12 months of denosumab or placebo in postmenopausal women with low bone mineral density: a randomized, double-blind, phase 2, parallel group study. J Bone Miner Res 33(8):1397–1406. https://doi.org/10.1002/jbmr.3452CrossRefPubMed

Arthropedia

Grundlagenwissen der Arthroskopie und Gelenkchirurgie erweitert durch Fallbeispiele, Videos und Abbildungen. Zur Fortbildung und Wissenserweiterung, verfasst und geprüft von Expertinnen und Experten der Gesellschaft für Arthroskopie und Gelenkchirurgie (AGA).


Jetzt entdecken!

Neu im Fachgebiet Orthopädie und Unfallchirurgie

Linkshändige orthopädische Chirurgen: Spezies mit Handicap?

Es ist jetzt auch schon wieder rund 600 Millionen Jahre her, dass sich mit dem Erscheinen der Zweiseitentiere die Lateralität ausgebildet hat. In chirurgischen Fächern wie der Orthopädie hat das Folgen bis auf den heutigen Tag. Linkshänder wissen, wovon die Rede ist.

Mit Glukokortikoiden überbrücken? Studie stützt europäische Rheuma-Leitlinie

Glukokortikoide, die zu Beginn einer krankheitsmodifizierenden Rheumatherapie begleitend eingesetzt werden, lassen sich in den allermeisten Fällen planmäßig ausschleichen und absetzen: Das Ergebnis der ARCTIC-Studie spricht diesbezüglich für die europäische und gegen die US-amerikanische Leitlinie.

7% durch chronische Schmerzen stark beeinträchtigt

Laut einer Querschnittstudie leiden rund 7% der in Deutschland lebenden über 16-Jährigen unter chronischen Schmerzen, die ihren Alltag stark beeinträchtigen. Außer biologischen scheinen auch psychische und soziale Faktoren mit sogenanntem High-Impact Chronic Pain assoziiert zu sein.

Elektroschrott: Wie Praxen Altgeräte sicher entsorgen

Ob nun Sonogerät, Praxiscomputer oder gar TI-Konnektor: Einfach zum nächsten Wertstoffhof sollten Praxisteams ausgediente Elektrogeräte nicht bringen. Was bei der Entsorgung zu beachten ist. Und wie die Teams sicher sensible Daten auf PC-Festplatte, externem Datenspeicher und TI-Komponenten löschen.

Update Orthopädie und Unfallchirurgie

Bestellen Sie unseren Fach-Newsletter und bleiben Sie gut informiert.

Bildnachweise
Arthropedia, Hand greift nach Skalpell/© Morsa Images / Getty Images / iStock, Verschiedene Tabletten/© zozzzzo / Getty Images / iStock, Ultraschalluntersuchung der Niere/© Your_Photo_Today (Symbolbild mit Fotomodellen)