Zum Inhalt

Sequential occurrence of BCR::ABL1-negative MPN and CML and vice versa: results from a real world cohort

  • Open Access
  • 04.09.2025
  • Original Article
Erschienen in:

Abstract

Chronic myeloid leukemia (CML) and BCR::ABL1-negative MPN were thought to be mutually exclusive, but synchronous and sequential cases have been reported. We screened 35,001 patients for BCR::ABL1 fusion or JAK2, CALR, or MPL mutations to investigate the sequential development of CML and BCR::ABL1 negative-MPNs. We discovered that 5.6% had primary CML followed by BCR::ABL1-negative MPN, and 5.8% had the reverse sequence. Notably, we identified higher JAK2 variant allele frequencies (VAFs) in patients developing secondary CML. Previous MPN did not compromise the effectiveness of tyrosine kinase inhibitors (TKI) in treating secondary CML. The emergence of secondary MPN appeared to be unrelated to JAK2 VAF progression or BCR::ABL1 transcript levels. Our research indicates that newly detected leukocytosis or thrombocytosis should prompt consideration of secondary MPN. It also showed that secondary CML had no negative impact on response to therapy when patients were treated according to CML guidelines.

Supplementary Information

The online version contains supplementary material available at https://doi.org/10.1007/s12185-025-04046-5.

Publisher's Note

Springer Nature remains neutral with regard to jurisdictional claims in published maps and institutional affiliations.

Introduction

Myeloproliferative neoplasms (MPN) are a heterogeneous group of hematological disorders defined by clonal proliferation of blood cells. BCR::ABL1 fusions define CML, whereas mutations in the genes JAK2, CALR, or MPL are associated with most of the BCR::ABL1-negative MPN [14]. While CML and BCR::ABL1-negative MPN have been considered to be mutually exclusive [5], the WHO classification requires the exclusion of the BCR::ABL1 fusion in all cases of suspected MPN that cannot be clinically classified as Polycythemia vera [6]. In recent years, many cases have been reported of rare events of synchronous or sequential occurrence of CML and BCR::ABL1-negative MPN clones [7]. The relationship between synchronously diagnosed CML and BCR::ABL1-negative MPN was investigated in a report of 23 patients that we published in 2016 [8]. In the present publication, we analyzed the relationship between two MPN clones in patients with sequential diagnosis of CML and BCR::ABL1-negative MPN and vice versa in a retrospective study.

Material and methods

35,001 patients with BCR::ABL1-negative MPN or CML were diagnosed at our institution between August 2005 and January 2023. Of these, 27,896 patients showed a JAK2, CALR, and/or MPL mutation, indicating the diagnosis of a BCR::ABL1-negative MPN. 7,105 patients had a BCR::ABL1 fusion, confirming the diagnosis of CML. During follow-up, changes in blood counts suggested a secondary BCR::ABL1-negative MPN or CML. Progression of CML was ruled out based on the detection of a stable or decreasing BCR::ABL1 ratio. Therefore, repeat testing for JAK2, CALR, and MPL mutations was initiated in 337 patients with CML and repeat testing for the BCR::ABL1 fusion was performed in 953 patients with BCR::ABL1-negative MPN, respectively. Among patients with CML, 318 patients were negative for JAK2, CALR, or MPL mutation (CML), whereas 19 patients (5.6%) with CML were positive for JAK2, CALR, or MPL mutation and had acquired a secondary BCR::ABL1-negative MPN (CML + MPN). In the group of patients with BCR::ABL1-negative MPN, 898 patients were negative for the BCR::ABL1 fusion (MPN). Only 55 patients (5.8%) were positive for the BCR::ABL1 fusion and had a secondary CML (MPN + CML, Supplemental Fig. 1). Patients published by Martin-Cabrera P. et al. were excluded [8]. Additionally, cases of CML that were not tested for MPN drivers and cases of MPN that were not tested for BCR::ABL1 at the time of initial diagnosis were excluded.
All patients had given written informed consent for the use of genetic and clinical data in accordance with the Declaration of Helsinki. The study was approved by our internal institutional review board. Samples were analyzed by either Sanger sequencing or next-generation sequencing (NGS) as previously described [9]. Disease progression was assessed by reverse transcription quantitative real-time PCR (q-PCR). Statistical analysis was performed using GraphPadPrism and Mann–Whitney U Test.

Results

Fig. 1
Analysis of changes in peripheral blood count that prompted testing for secondary BCR::ABL1-negative MPN or CML. A, 13 patients with CML + BCR::ABL1-negative MPN showed mainly thrombocytosis, while leukocytes were only slightly elevated on average and hemoglobin was in the normal range. B, 43 patients with BCR::ABL1-negative MPN + CML showed mainly leukocytosis, while hemoglobin was slightly decreased on average and platelets were in the upper normal range on average.
Bild vergrößern

Changes of peripheral blood count that prompted testing for secondary BCR::ABL1-negative MPN or CML

We analyzed leukocyte and platelet counts as well as hemoglobin at the time of suspected secondary MPN. Of the patients in the CML + MPN group, blood counts were available for 13 out of 19 patients. These exhibited mainly thrombocytosis with a mean of 535,923 platelets/µl (range 270.000–1.108.000/µl), leukocytes were only slightly elevated with a mean of 10,028 leukocytes/µl (range 5.400–26.200/µl) whereas the mean hemoglobin was 13 g/dl (range 9.9–16.2 g/dl, Fig. 1A). In contrast, 43 out of 55 with peripheral blood counts and differentials were available in the group of patients with MPN + CML and these had a marked leukocytosis of mean 73,144/µl (range 3800–420,270/µl), whereas the mean hemoglobin was slightly reduced with 11.0 g/dl (range 7.2–15.1 g/dl) and the mean platelet count was 381,333 platelets/µl (range 17,000–1,126,000/µl; Fig. 1B).

Gender and age and impact of time between first and secondary diagnosed MPN on development of secondary BCR::ABL1-negative MPN or CML

To address the question of whether there are risk factors for the development of secondary BCR::ABL1-negative MPN or CML, we examined the gender and age distribution of the patients at the time of primarily diagnosed BCR::ABL1-negative MPN or CML. Among patients with CML + MPN, 42.1% were female and 57.9% were male, a similar distribution compared to the control group of CML patients (43.0% female and 57.0% male). Likewise, in the group of patients with MPN + CML, 54.5% were female and 45.5% male, which was comparable to the control group of patients with MPN (50.37% female and 49.63% male; Fig. 2A). Age at primary diagnosis was not significantly different between patients with BCR::ABL1-negative MPN or CML and patients with CML + MPN and MPN + CML, respectively. Patients with CML + MPN had a median age of 66.72 years (range 38.9–78.3 years) at CML diagnosis, which was not significantly different from patients with CML who had a median age of 58.4 years (range 15.8–85.9 years) at CML diagnosis. Similarly, patients with MPN + CML and patients with MPN did not differ in median age at diagnosis of MPN (61.6 years vs. 64.2 years, range 14.3–82.5 years and 22.5–72.8 years, respectively, Fig. 2B).
Fig. 2
Analysis of distribution of sex and age and impact of time between first and secondary diagnosed MPN on development of secondary BCR::ABL1-negative MPN or CML. A, The distribution of sex was similar in the patients with CML + MPN and MPN + CML compared to their control groups. B, There were no significant differences in the age at the time point of first diagnosed CML or BCR::ABL1-negative MPN compared to their control groups (ns not significant). C, Time between first and secondary diagnosed CML or BCR::ABL1-negative MPN had a wide range without a critical time point for frequent diagnoses of secondary BCR::ABL1-negative MPN or CML
Bild vergrößern
A further risk factor for the development of secondary BCR::ABL1-negative MPN or CML could be the time after diagnosis. To address this issue, we analyzed the time between the first and second diagnosis of MPN. The mean time between diagnosis of CML and BCR::ABL1-negative MPN was 4.78 years with a range of 0.27–16.0 years. In the case of a known BCR::ABL1-negative MPN, the mean time to diagnosis of CML was 8.4 years (range 0.7–20.0 years). These results suggest that there is no specific time period for the appearance of secondary BCR::ABL1-negative MPN or CML in either group (Fig. 2C).

Influence of driver mutation, JAK2 mutational burden, and CML remission status on development of secondary CML or BCR::ABL1-negative MPN

Previous publications have shown that the type of driver mutation and a higher VAF of JAK2, CALR, or MPL have an impact on the course of BCR::ABL1-negative MPN [1012]. Therefore, we investigated the distribution of mutations in JAK2, CALR, and MPL in patients with MPN + CML and the mutational burden of JAK2 at the time of secondary diagnosis of CML. The distribution of mutations in JAK2, CALR, or MPL was comparable between patients with MPN + CML and patients with MPN. Most patients had a mutation in JAK2 (MPN + CML: 80.0%, MPN: 86.5%), followed by mutations in CALR (MPN + CML: 14.5%, MPN: 11.1%) and MPL (MPN + CML: 5.5%, MPN: 3.3%). This distribution is consistent with previously published data [13] and indicates that the type of driver mutation is not a risk factor for the development of secondary CML (Fig. 3A). Furthermore, we analyzed details regarding the treatment of BCR::ABL1-negative MPN at the time of secondary CML diagnosis (Supplemental Fig. 2). Data were available for 36 out of 55 patients, all of whom were treated with therapies recommended by the guidelines if therapy was indicated. Due to the small cohort of patients with MPN + CML, we could only analyze the VAF of JAK2 mutation at the time of diagnosis of secondary CML. In patients with MPN + CML, the mean VAF of JAK2 mutation was significantly higher than in patients with MPN (52.6% vs. 29%, p = 0.0307, Fig. 3B). These findings suggest that a higher VAF of the JAK2 mutation could potentially promote the development of secondary CML.
Fig. 3
Influence of kind of driver mutation, mutational burden of JAK2, and remission status of CML on development of secondary CML or BCR::ABL1-negative MPN. A, The distribution of driver mutations was comparable to the control group. B, Patients with BCR::ABL-negative MPN and secondary CML had a significantly higher VAF of JAK2 at the time point of diagnosed CML compared to the control group. C, The portion of patients with MPN + CML that reached MMR under treatment with TKI was similar to the control group. D, In the group of patients with MPN + CML, the time until reaching MMR under treatment with TKI was comparable to the control group. E, The portion of patients with MMR or better in the group of patients with CML + MPN when BCR::ABL1-negative MPN was diagnosed was similar to the control group.
Bild vergrößern
In CML, response to treatment with tyrosine kinase inhibitors (TKI), as measured by BCR::ABL1 transcript levels is known to be the most important prognostic factor [14]. We wondered whether patients with MPN + CML had a worse response to TKI therapy or needed more time to achieve MMR than the control group. After a mean of 12.9 months (range 3–49 months), 69.0% of the patients with MPN + CML achieved MMR or better, which is similar to patients with CML. In this group, 65.2% patients reached MMR or better in a mean time of 15.1 months (range 12.1–166 months, Fig. 3C and D).
Patients with CML who do not achieve MMR on TKI treatment have a worse outcome [15]. Comparable to the higher VAF of JAK2 in patients with BCR::ABL1-negative MPN, the higher BCR::ABL1 transcript level might be a risk factor for secondary BCR::ABL1-negative MPN in patients with CML. Therefore, we investigated the remission status of CML at the time of secondary diagnosis of BCR::ABL1-negative MPN. In total, 68.4% of patients had an MMR or better, which is similar to the control group CML with 65.9% (Fig. 3E).
We wondered if patients with MPN + CML or CML + MPN are more likely to develop BCR::ABL1 mutations. Mutation analysis was performed in 16 cases from our cohort of 74 patients (10 with MPN + CML, 6 with CML + MPN). Mutations were found in 1 case of MPN + CML (E255K and G250E mutations) and in 1 case of CML + MPN (p.Q252H mutation). Due to the small number of patients, we cannot draw profound conclusions from this data.

Dependency of the CML and the JAK2 clones on each other during course of disease and evaluation of treatment of patients with CML + MPN and MPN + CML

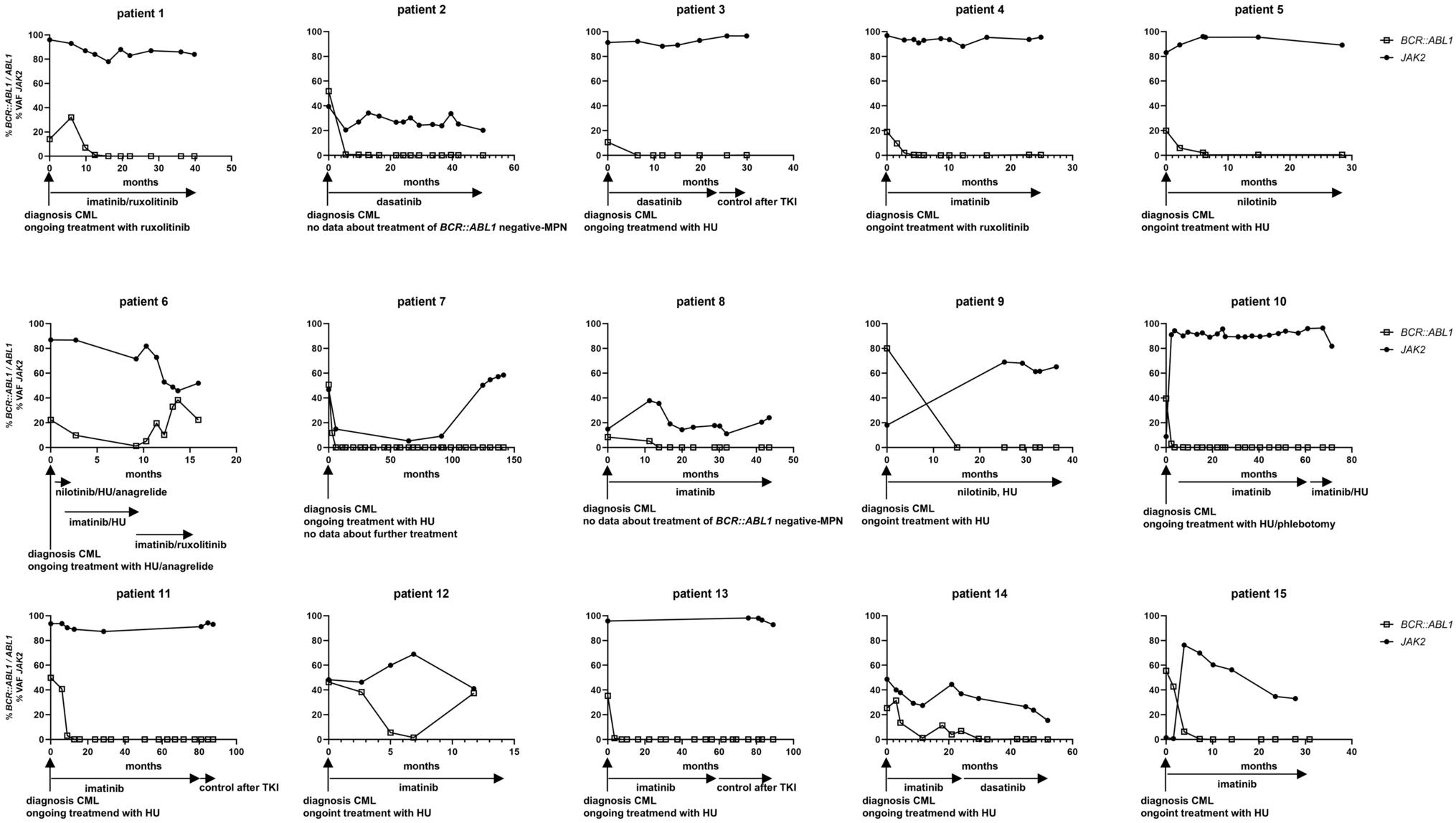
The association between the two different MPN clones in cases of coexisting CML and BCR::ABL1-negative MPN is controversially discussed in the literature [8, 16]. To investigate the connection between the BCR::ABL1 fusion clone and the JAK2-mutated clone, we analyzed the mutational burden of JAK2 at diagnosis of BCR::ABL1-negative MPN and at diagnosis of CML in 7 patients. At the time of diagnosis of CML, 3 patients (pat. no 2, 3, 7) showed a stable VAF of JAK2 mutation, 2 patients (pat. no 1, 4) showed a higher VAF of JAK2 mutation, and 2 patients (pat. no 5, 6) had a lower VAF of JAK2 mutation compared to the VAF at time of diagnosis of JAK2-mutated MPN (Table 1). Furthermore, we analyzed the course of VAF of JAK2 mutations during CML therapy with TKI in 15 patients with MPN + CML. Most patients (n = 10, 67%) showed an independent course of the VAF of JAK2 mutations and BCR::ABL1 transcript levels (pat. no 1–5, 9–13, Fig. 4). While BCR::ABL1 transcript levels decreased with TKI treatment, the VAF of JAK2 was not affected by this therapy or increased during the course of treatment. In these cases, a clear influence of the BCR::ABL1-negative MPN specific therapy (ruxolitinib or hydroxyurea) on JAK2 VAF was not observed. Due to the small number of patients, this observation is limited to patients 1, 9, and 10, who were treated with TKI and ruxolitinib or hydroxyurea. In all other cases (pat. no 6–8, 14, 15), JAK2 VAF decreased after TKI therapy was initiated. Patient 6 was the only one who received treatment of BCR::ABL1-negative MPN with hydroxyurea, followed by ruxolitinib. In all other cases, decreasing JAK2 levels were not induced by BCR::ABL1-negative MPN specific therapy. These data support the theory that the two different MPN clones can be independent of each other, but there are exceptions with a possible dependency of the mutational burden of JAK2 mutation and BCR::ABL1 transcript level.
Table 1
Influence of mutational burden of JAK2 on development of secondary CML.
patient no
time in years between diagnosis of MPN and secondary CML
% BCR::ABL1 ratio
% VAF JAK2
1
3.13
0
31
14.03
56.61
2
5.1
0
19
49.78
22.5
3
5.4
0
82.74
19.98
83
4
5.5
0
49.1
22.29
86.87
5
2.2
0
90.41
39.52
8.9
6
4.1
0
86.39
72.7
8.0
7
1.8
0
23.10
56.25
25
At the time of diagnosis of CML, 3 patients (pat. no 2, 3, 7) showed a stable VAF of JAK2 mutation, 2 patients (pat. no 1, 4) showed a higher VAF of JAK2 mutation, and 2 patients (pat. no 5, 6) had a lower VAF of JAK2 mutation compared to the VAF at time of diagnosis of JAK2-mutated MPN
Fig. 4
Study of dependency of the CML- and the JAK2-clone during course of disease. HU hydroxyurea. Most patients with MPN + CML did not show a connection between the course of BCR::ABL1 transcript level and VAF JAK2 in the follow-up
Bild vergrößern
Furthermore, we analyzed data on the treatment of patients with MPN + CML or CML + MPN following a diagnosis of secondary CML or BCR::ABL1-negative MPN (Supplemental Fig. 3). During follow-up, data from 56 patients (14 patients with CML + MPN and 42 patients with MPN + CML) were available, and all received treatment according to the CML and MPN guidelines if therapy was indicated.

Discussion

In the literature, the sequential occurrence of BCR::ABL1-negative MPN and CML or vice versa is mainly described in case reports [7]. There is only one larger study published by Hochman et al. analyzing data from the MPN registry of the Sidney Kimmel Comprehensive Cancer Center (The Johns Hopkins University School of Medicine, Baltimore, USA). The incidence of secondary CML in case of an existing BCR::ABL1-negative MPN has been reported to be 0.6% [17]. In our study, we did not report the incidence because we cannot exclude the possibility that there are patients with secondary CML or BCR::ABL1-negative MPN in our cohort who were not tested in our laboratory during follow-up. Therefore, we restricted our analysis to the group of patients who were tested for the driver mutations or the BCR::ABL1 fusion during the course of their disease. In this restricted analysis, the incidence of MPN + CML was 5.8%, confirming the data of Hochman et al. and showing that the risk for CML in patients with existing BCR::ABL1-negative MPN is much higher than the risk for CML in the general population [18]. In patients with CML + MPN, a study of 314 CML patients showed an incidence of 2.55% for the concomitant occurrence of a JAK2 mutation [19]. This incidence is lower than in our study because testing for driver mutations was initiated regardless of disease progression. Our data suggest that more CML patients with secondary BCR::ABL1-negative MPN are diagnosed when testing for the JAK2, CALR, and MPL mutation is prompted by emerging changes in the blood count.
As previously published [17, 20], testing for BCR::ABL1 fusion in patients with known BCR::ABL1-negative MPN was prompted by new-onset leukocytosis, whereas testing for driver mutations in patients with known CML was prompted by new-onset thrombocytosis. Our data support that physicians should be alerted to secondary CML or BCR::ABL1-negative MPN in case of new blood count abnormalities suggestive of MPN.
To our knowledge, our study is the first one to analyze the influence of gender and age on the sequential occurrence of secondary CML or BCR::ABL1-negative MPN. Our data did not show an impact of gender or age in this process further studies are needed to confirm these results. Hochman et al. published that the development of CML occurred no less than 10 and up to 36 years after the diagnosis of BCR::ABL1-negative MPN [17], whereas in our study, 0.7–20.0 years elapsed between the diagnoses of both MPNs. Since BCR::ABL1 testing was prompted by a suspected clinical diagnosis of CML rather than being performed routinely during the course of BCR::ABL1-negative MPN, the exact onset of secondary CML cannot be determined and may have occurred earlier than molecularly diagnosed. Consequently, the precise timing of a detectable BCR::ABL1 fusion, and thus the true onset of CML, remains uncertain in our cohort. This limitation may lead to an underestimation of the latency period between the initial diagnosis of BCR::ABL1-negative MPN and the emergence of secondary CML. Consequently, caution is warranted in interpreting the reported duration as a direct reflection of disease biology or progression dynamics. Future prospective studies with molecular monitoring may help to more accurately capture the timing of clonal evolution in such cases. In contrast to our study, Hochman et al. analyzed 4 patients with MPN + CML out of a cohort of 630 patients with BCR::ABL1-negative MPN, whereas we studied 55 patients with MPN + CML. Furthermore, follow-up was done with an average observation time of 4 years post-enrollment in the single-center registry and 9 years after MPN diagnosis. Patients with an earlier diagnosis of secondary CML may have been lost to follow-up. In patients with CML + MPN, the time between first and second diagnosis of MPN ranged from 0.27 to 16.0 years, which is comparable to the patients with MPN + CML in our study.
There is much debate in the literature about the relationship between two MPNs diagnosed at different times [8, 21]. Furthermore, there are publications showing that a higher VAF of JAK2 mutation (> 50%) is associated with increased transformation to myelofibrosis as a sign of higher disease activity [2224]. This is in line with our observation that a higher VAF of JAK2 mutations results more often in secondary CML, implying that a higher activity of a JAK2-mutated MPN may be a driver for secondary CML and that the CML clone depends on the JAK2-mutated clone. In contrast, the response to treatment of CML was not negatively influenced by the higher mutational burden of JAK2-mutated MPN. Furthermore, the occurrence of secondary BCR::ABL1-negative MPN in patients with CML was not dependent on the level of BCR::ABL1 transcript, implying that the activity of CML does not influence the development of secondary BCR::ABL1-negative MPN. Finally, we found no clear correlation between the mutational burden of the JAK2 mutation and the BCR::ABL1 transcript levels at the time of CML diagnosis and during treatment of CML with TKI. These data suggest that in most cases, both MPN clones are independent of each other, but there are exceptions where both MPN clones compete with each other.

Conclusions

Our study is the first one to analyze the sequential occurrence of CML and BCR::ABL1-negative MPN and vice versa in a larger cohort. Our data do not show a clear relationship between two different sequentially developed MPN clones, but patients with BCR::ABL1-negative MPN and a higher VAF of JAK2 mutation more often develop secondary CML. The response to treatment of CML was not negatively influenced by the higher mutational burden of JAK2 in these patients. Finally, physicians should be alerted to the possibility of secondary CML or BCR::ABL1-negative MPN in patients with known MPN when there are new changes in the blood counts. Further studies are needed to better understand the relationship between these related myeloid diseases and to make recommendations for their therapeutic management.

Acknowledgements

The authors thank all MLL Munich Leukemia Laboratory coworkers for their dedicated work and all physicians who provided samples, cared for patients, and collected data.

Declarations

Conflict of interest

WK, CH and TH declare part ownership of Munich Leukemia Laboratory (MLL). KS, ML, MM, and CP are employed by the MLL Munich Leukemia Laboratory.

Ethical approval

All patients had given written informed consent for the use of genetic and clinical data in accordance with the Declaration of Helsinki. The study was approved by our internal institutional review board. This study contains only laboratory data from a large cohort of patients. No clinical trial was performed.
Open Access This article is licensed under a Creative Commons Attribution 4.0 International License, which permits use, sharing, adaptation, distribution and reproduction in any medium or format, as long as you give appropriate credit to the original author(s) and the source, provide a link to the Creative Commons licence, and indicate if changes were made. The images or other third party material in this article are included in the article's Creative Commons licence, unless indicated otherwise in a credit line to the material. If material is not included in the article's Creative Commons licence and your intended use is not permitted by statutory regulation or exceeds the permitted use, you will need to obtain permission directly from the copyright holder. To view a copy of this licence, visit http://creativecommons.org/licenses/by/4.0/.

Publisher's Note

Springer Nature remains neutral with regard to jurisdictional claims in published maps and institutional affiliations.
download
DOWNLOAD
print
DRUCKEN
Titel
Sequential occurrence of BCR::ABL1-negative MPN and CML and vice versa: results from a real world cohort
Verfasst von
Katrin Schweneker
Miriam Lenk
Wolfgang Kern
Claudia Haferlach
Manja Meggendorfer
Christian Pohlkamp
Torsten Haferlach
Publikationsdatum
04.09.2025
Verlag
Springer Nature Singapore
Erschienen in
International Journal of Hematology / Ausgabe 6/2025
Print ISSN: 0925-5710
Elektronische ISSN: 1865-3774
DOI
https://doi.org/10.1007/s12185-025-04046-5

Supplementary Information

Below is the link to the electronic supplementary material.
1.
Zurück zum Zitat Klampfl T, et al. Somatic mutations of calreticulin in myeloproliferative neoplasms. N Engl J Med. 2013;369(25):2379–90.CrossRefPubMed
2.
Zurück zum Zitat Kralovics R, et al. A gain-of-function mutation of JAK2 in myeloproliferative disorders. N Engl J Med. 2005;352(17):1779–90.CrossRefPubMed
3.
Zurück zum Zitat Pikman Y, et al. MPLW515L is a novel somatic activating mutation in myelofibrosis with myeloid metaplasia. PLoS Med. 2006;3(7): e270.CrossRefPubMedPubMedCentral
4.
Zurück zum Zitat Scott LM, et al. JAK2 exon 12 mutations in polycythemia vera and idiopathic erythrocytosis. N Engl J Med. 2007;356(5):459–68.CrossRefPubMedPubMedCentral
5.
Zurück zum Zitat Jelinek J, et al. JAK2 mutation 1849G>T is rare in acute leukemias but can be found in CMML, Philadelphia chromosome-negative CML, and megakaryocytic leukemia. Blood. 2005;106(10):3370–3.CrossRefPubMedPubMedCentral
6.
Zurück zum Zitat WHO. WHO Classification of Tumours Editorial Board. Haematolymphoid tumours [Internet; beta version ahead of print]. WHO classification of tumours series 2022; 5th ed.; vol. 11:[Available from: https://tumourclassification.iarc.who.int/chapters/63.
7.
Zurück zum Zitat Lorenzo M, Grille S, Stevenazzi M. Emergence of BCR-ABL1 chronic myeloid leukemia in a JAK2-V617F polycythemia vera. J Hematol. 2020;9(1–2):23–9.CrossRefPubMedPubMedCentral
8.
Zurück zum Zitat Martin-Cabrera P, et al. BCR-ABL1-positive and JAK2 V617F-positive clones in 23 patients with both aberrations reveal biologic and clinical importance. Br J Haematol. 2017;176(1):135–9.CrossRefPubMed
9.
Zurück zum Zitat Meggendorfer M, et al. SRSF2 mutations in 275 cases with chronic myelomonocytic leukemia (CMML). Blood. 2012;120(15):3080–8.CrossRefPubMedPubMedCentral
10.
Zurück zum Zitat Barbui T, et al. Development and validation of an international prognostic score of thrombosis in world health organization-essential thrombocythemia (IPSET-thrombosis). Blood. 2012;120(26):5128–33.CrossRefPubMed
11.
Zurück zum Zitat Harrison CN, et al. Ruxolitinib versus best available therapy for polycythemia vera intolerant or resistant to hydroxycarbamide in a randomized trial. J Clin Oncol. 2023;41(19):3534–44.CrossRefPubMedPubMedCentral
12.
Zurück zum Zitat Pan Y, et al. The different variant allele frequencies of type I/type II mutations and the distinct molecular landscapes in CALR-mutant essential thrombocythaemia and primary myelofibrosis. Hematology. 2022;27(1):902–8.CrossRefPubMed
13.
Zurück zum Zitat Kim SY, et al. CALR, JAK2, and MPL mutation profiles in patients with four different subtypes of myeloproliferative neoplasms: primary myelofibrosis, essential thrombocythemia, polycythemia vera, and myeloproliferative neoplasm, unclassifiable. Am J Clin Pathol. 2015;143(5):635–44.CrossRefPubMed
14.
Zurück zum Zitat Baccarani M, et al. European LeukemiaNet recommendations for the management of chronic myeloid leukemia: 2013. Blood. 2013;122(6):872–84.CrossRefPubMedPubMedCentral
15.
Zurück zum Zitat Khoury JD, et al. The 5th edition of the World Health Organization classification of haematolymphoid tumours: myeloid and histiocytic/dendritic neoplasms. Leukemia. 2022;36(7):1703–19.CrossRefPubMedPubMedCentral
16.
Zurück zum Zitat Tarantini F, et al. JAK2 V617f in chronic myeloid leukemia: driving force or passive bystander? Hematology. 2022;27(1):842–6.CrossRefPubMed
17.
Zurück zum Zitat Hochman MJ, et al. Chronic myeloid leukemia (CML) evolves from Philadelphia chromosome-negative myeloproliferative neoplasms (MPNs) with unexpected frequency. Int J Hematol. 2023;117(3):456–62.CrossRefPubMed
18.
Zurück zum Zitat Hoffmann VS, et al. The EUTOS population-based registry: incidence and clinical characteristics of 2904 CML patients in 20 European countries. Leukemia. 2015;29(6):1336–43.CrossRefPubMed
19.
Zurück zum Zitat Pieri L, et al. Concomitant occurrence of BCR-ABL and JAK2V617F mutation. Blood. 2011;118(12):3445–6.CrossRefPubMed
20.
Zurück zum Zitat Gattenlohner S, et al. BCR-ABL positive chronic myeloid leukemia with concurrent JAK2(V617F) positive myelodysplastic syndrome/myeloproliferative neoplasm (RARS-T). Am J Hematol. 2009;84(5):306–7.CrossRefPubMed
21.
Zurück zum Zitat De Roeck L, et al. Coexisting driver mutations in MPN: clinical and molecular characteristics of a series of 11 patients. Hematology. 2018;23(10):785–92.CrossRefPubMed
22.
Zurück zum Zitat Lee AJ, et al. Clinical features and outcomes of JAK2 V617F-positive polycythemia vera and essential thrombocythemia according to the JAK2 V617F allele burden. Blood Res. 2021;56(4):259–65.CrossRefPubMedPubMedCentral
23.
Zurück zum Zitat McMullin MF, et al. A guideline for the diagnosis and management of polycythaemia vera. A British Society for Haematology guideline. Br J Haematol. 2019;184(2):176–91.CrossRefPubMed
24.
Zurück zum Zitat Passamonti F, et al. A prospective study of 338 patients with polycythemia vera: the impact of JAK2 (V617F) allele burden and leukocytosis on fibrotic or leukemic disease transformation and vascular complications. Leukemia. 2010;24(9):1574–9.CrossRefPubMed

Neu im Fachgebiet Onkologie

Massiv erhöhtes CA 19-9 weckt falschen Krebsverdacht

Massiver Gewichtsverlust, erhöhte Cholestaseparameter und ein extrem hoher Wert des Tumormarkers CA-19-9 bei einem Diabetiker werden als Zeichen eines Pankreaskarzinoms gedeutet. Doch Krebsangst und Tumorsuche hätten dem Mann erspart werden können.

Erhöht Reflux auch das Risiko für Larynxtumoren?

Gastroösophagealer Reflux ist womöglich auch mit einem erhöhten Risiko für Kehlkopftumoren assoziiert. Dafür sprechen zumindest Teilergebnisse einer aktuellen Metaanalyse. Im Detail ist der Zusammenhang indes weniger klar.

Viel Konservierungsstoffe in der Nahrung – erhöhtes Krebsrisiko

Wer viel Konservierungsstoffe über die Nahrung aufnimmt, muss mit einem erhöhten Krebsrisiko rechnen. Ein solcher Zusammenhang lässt sich primär für nicht antioxidativ wirkende Zusatzstoffe wie Nitrit und Nitrat, aber auch Sorbat und Acetat berechnen.

CAR-T-Zell-Infusion bei B-Zell-Lymphom möglichst am Vormittag?

Bei Menschen mit rezidivierendem großzelligem B-Zell-Lymphom ist das zirkadiane Timing einer CAR-T-Zell-Infusion möglicherweise entscheidend. In einer US-Studie wurde 22 Monate nachbeobachtet, wie sich die Tageszeit der Therapiegabe auf das progressionsfreie Überleben auswirkte.

Update Onkologie

Bestellen Sie unseren Fach-Newsletter und bleiben Sie gut informiert.

Bildnachweise
Blutabnahme /© © Chutipon / Stock.adobe.com (Symbolbild mit Fotomodell), Würste und Spieße auf einem Grill/© NDABCREATIVITY / stock.adobe.com (Symbolbild mit Fotomodellen), Diffus großzelliges B-Zell-Lymphom/© David A Litman / stock.adobe.com