Zum Inhalt

Spatial Pharmacokinetic and Pharmacodynamic Modeling in Airway Mucus

  • Open Access
  • 06.10.2025
  • Original Research Article
Erschienen in:

Abstract

Background and Objectives

Diseases such as cystic fibrosis (CF) and non-CF bronchiectasis can cause extensive mucus formation in the lung, which may affect drug distribution and effects. As such, quantitative understanding of drug distribution in mucus may guide treatment optimization. Here, we aimed to develop a modeling framework to evaluate spatial distribution of drugs in mucus with CF as a proof of concept. In a case study, we demonstrated how spatial PK models can be used to predict spatial antimicrobial pharmacodynamics (PD).

Methods

A spatial pharmacokinetic (PK) model in mucus was developed using discretized partial differential equations. Hypothetical drugs with realistic ranges for molecule/particle size (radius, r), mucin binding affinity, and half-lives were used to evaluate the impact of drug-specific factors on spatial distribution in mucus. Mucin concentration and muco-ciliary clearance were evaluated as biological system-specific factors. We then demonstrated how the spatial PK model can be used to predict antimicrobial drug effects of imipenem against the pathogen Pseudomonas aeruginosa in mucus.

Results

Under intravenous PK profiles, molecular/particle size (r) was found to play a dominant role in mucus drug diffusion, while drug-mucin interactions and muco-ciliary clearance showed a minor impact. Small molecule drugs (r <1 nm) could readily penetrate mucus, whereas large molecules or particles (r >20 nm) showed differential spatial drug distribution. Our case study demonstrates that baseline spatial bacterial organization can impact the treatment outcome of imipenem against mucus-associated infections.

Conclusion

The developed spatial PK modeling framework enabled quantitative description of the spatial distribution of drugs in airway mucus and can be of relevance to guide optimization of treatment strategies.

Supplementary Information

The online version contains supplementary material available at https://doi.org/10.1007/s40262-025-01575-4.
Key Points
A spatial PK model framework was developed to characterize drug distribution across airway mucus.
Under intravenous PK profiles, molecule or particle size and plasma half-life play a predominant role in drug diffusion and retention in mucus, while drug-mucin interactions have a negligible impact.
Spatial PK models can be integrated with population PK and PD models to predict drug effects within airway mucus, which was demonstrated for the antibiotic imipenem.

1 Introduction

Airway mucus is a viscoelastic hydrogel matrix adhering to the apical surface of the respiratory tract. Mucus plays a crucial role in defending the respiratory tract against pathogens and harmful particles. Impaired mucus clearance, together with mucus hypersecretion, is associated with mucus accumulation, which can lead to lung infections and inflammatory responses in muco-obstructive pulmonary diseases [1] such as cystic fibrosis (CF) and non-CF bronchiectasis [2, 3]. In order to optimize antimicrobial and anti-inflammatory therapies in these conditions, quantitative understanding of factors driving drug exposure at the site of action, i.e., the lungs and airway mucus specifically, is essential.
Mucus consists of several components including mucins, water, salt, proteins, DNA, lipids, and cell debris. Among these components, mucins, which form a polymeric and interactive network of the airway mucus gel, are responsible for the rheological properties of mucus [4]. It has been suggested that drugs can bind to mucins, leading to retarded diffusion in airway mucus and suboptimal treatment outcome [57]. The interaction between mucins together with the size filtering of the mucin network are hypothesized to affect drug diffusion in mucus, leading to spatial drug exposure differences in airway mucus, although other studies suggested only a limited impact of mucus on drug diffusion of small molecules [8, 9]. This is particularly relevant to CF patients with lung infections, where it can be hard to attribute the treatment failure of intravenous (IV) administration of antibiotics to either limited lung penetration or microbial resistance. Hence, understanding the role of mucin and airway mucus in the drug distribution and effect is crucial for treatment optimization. However, the majority of related studies are based on in vitro studies only, and as such drug diffusion in in vivo airway mucus remains poorly understood.
Obtaining direct in vivo measurements of drug spatial distribution in mucus at sufficient resolution is challenging. Current approaches to determine lung drug concentrations include minimal invasive microanalysis technique, surgical collection of whole lung tissue and bronchoalveolar lavage [10]. However, these methods often lose detailed information regarding the spatial distribution in the airway mucus. Noninvasive imaging techniques, such as positron emission tomography and magnetic resonance imaging [11], can visualize the spatial distribution of drugs in the whole lung but fail to distinguish between free and bound drugs, and the resolution is not sufficient to analyze the actual distribution within the mucus layer in a specific region of lung.
To gain a better understanding of the drug spatial distribution within airway mucus, in silico approaches can be applied. Spatial modelling employed partial differential equations (PDEs) to describe the spatial and temporal profiles of diffusing molecules and particles. It has been used to describe the pharmacokinetics (PK) of inhaled drugs focusing on the particle deposition along the airway [12, 13] and the traversing of ionic species and virions through mucus layer [1416]. Fewer modelling attempts have been made to characterize the drug penetration through the airway mucus layer following systemic administration, and the role of binding kinetics between therapeutic agents and mucin proteins is not sufficiently addressed. Furthermore, drug efficacy within the mucus layer could also exhibit spatial heterogeneity. Yet, little has been explored via spatial models.
In this study, we aimed to develop a spatial modeling framework to characterize the drug spatial distribution in airway mucus of CF patients and identify its influential factors, with a focus on the interaction between mucins and drugs. We then applied the framework to a case study involving the antimicrobial agent imipenem to demonstrate how the framework can be integrated into standard population PK/pharmacodynamic (PD) modeling workflows.

2 Methods

2.1 Spatial Pharmacokinetic Model in Mucus

2.1.1 Model Assumptions and Structure

The spatial PK model aimed to capture the diffusion kinetics of drugs in the airway mucus layer after IV drug administration. Here, drugs entering the circulatory system diffuse from the blood-mucus interface to the airway-mucus interface. Drug diffusion was modeled while incorporating molecular size of the drug (r), the binding with mucins (M), and mucociliary clearance (kₑ,ₘ). A schematic overview of the spatial model is provided in Fig. 1.
Fig. 1
Schematic representation of the spatial pharmacokinetic model. Following intravenous infusion, drug molecules/particles are transported from blood into the mucus layer and eliminated from the bloodstream (ke,p). Within mucus, the movement of drug molecules/particles is partially governed by its intrinsic diffusive motility, the rate (D) of which is influenced by particle radius (r). The transport is also influenced by binding interactions with mucin (characterized by kon and koff) and by muco-ciliary clearance (ke,m) inherent to the mucus
Bild vergrößern
We assumed that mass transfer from blood to pulmonary mucus occurred instantaneously upon IV administration. The thickness of the mucus layer L was fixed at the value reported in CF patients [5], and it was assumed to be uniform and constant. Fick’s second law [17] (Eq. 1) was employed to describe diffusion processes:
$$\frac{\partial A}{\partial t}=D\cdot \frac{{\partial }^{2}A}{\partial {x}^{2}},$$
(1)
where \(A\) is the drug concentration; \(x\) (\(0\le x\le L\)) denotes the distance of drug in mucus to the blood-mucus interface from 0 to L, the thickness of the mucus layer; \(D\) represents the diffusion coefficient, which describes the rate at which the molecules/particles move through the mucus medium. Drug at the blood-mucus interface and the air-mucus interface correspond to \(x\) = 0 and \(x\) = L, respectively.
2.1.1.1 Diffusion Coefficient
We calculated the diffusion coefficient \(D\) using a modified Stokes-Einstein (SE) equation [18] (Eq. 2):
$$D=\frac{{k}_{B}\cdot T}{6c\pi \upmu r}$$
(2)
where \({k}_{B}\) indicates the Boltzmann’s constant, \(T\) represents the absolute temperature, \(r\) is the hydrodynamic radius of the diffusing molecule, \(c\) denotes the correction factor that equals to 1 when \(r\) \(>\) 1 nm and otherwise 2/3, and \(\upmu\) represents the viscosity of diffusion medium, which was set at the micro-viscosity measured in CF mucus [2]. As the mucus viscosity is reported to be correlated with the mucin concentration [19], we implemented the mucin concentration-dependent viscosity to calculate the diffusion coefficients (Eq. S1). Related parameters and values are shown in Table 1.
Table 1
Parameters for the modeling of mucus spatial PK of a small molecule (r = 1 nm)
Parameters
Description
Unit
Value
\(D\)
Diffusion coefficient
\({\upmu \text{m}}^{2}/\text{s}\)
\({78.6}^{\text{a}}\)
\(k_{\text{on}}\)
Association rate constant
\({\left(\text{M}\cdot \text{sec}\right)}^{-1}\)
\({100}^{\text{b}}\)
\(k_{\text{off}}\)
Disassociation rate constant
\({\left(\text{sec}\right)}^{-1}\)
\({0.1}^{\text{b}}\)
\(L\)
Thickness of mucus layer
\(\upmu \text{m}\)
\({500}^{\text{c}}\)
\(M\)
Total mucin concentration in mucus
\(\text{mol}/\text{L}\)
\({2\text{E}-5}^{\text{d}}\)
\(k_{\text{e,m}}\)
Muco-ciliary elimination rate
\({\left(\text{h}\right)}^{-1}\)
\({0.04}^{\text{e}}\)
PK pharmacokinetic
aCalculated via SE equation
bRealistic values of \(k_{\text{on}}\) and \(k_{\text{off}}\) representing moderate binding affinity with mucin
cObtained from Bhat et al. [5]
dObtained from Henderson et al. [23] and Sanders et al. [24]
eObtained from Gizurarson et al. [26], Hofmann et al. [27], and Robinson et al. [28]
With increasing molecule/particle size, diffusion coefficients \(D\) calculated from the SE equation decreased asymptotically to zero. Small molecule drugs have a molecular size (radius, r) of approximately ≤1 nm, for which the associated diffusion coefficients \(D\) was around 78.6 \({\upmu \text{m}}^{2}/\text{s}\) with the presence of 2e-5 mol/L total mucin concentration. For molecules with sizes around 5 nm (e.g., monoclonal antibodies), \(D\) will be around 10.5 \({\upmu \text{m}}^{2}/\text{s}\). When the radius is 20 ~ 50 nm (e.g., nanoparticles, microparticles and liposomes [2022]), \(D\) was in the range of 1.0 to 2.6 \({\upmu \text{m}}^{2}/\text{s}\). Calculated diffusion coefficients \(D\) were subsequently used in partial differential equations (Eq. 1) to describe the movement of different types of molecules/particles in mucus.
2.1.1.2 Binding with Mucins
Mucins were considered the main component that interacts with drugs in mucus via reversible binding. Due to the steric obstruction in the tangled mucus network, mucins and mucin-drug complex were assumed to be immobile in the direction of diffusion [8]. Thus, only free drugs could diffuse through mucus. The total mucin concentration in CF patients was obtained from literature [23, 24]. As the values of binding rate constant (\({k}_{\text{on}}\) and \({k}_{\text{off}}\)) were not available, we assumed a series of realistic combinations of \({k}_{\text{on}}\) and \({k}_{\text{off}}\) (\({k}_{\text{on}}\)=10, 100, 1000, 10000 (M·sec)−1; \({k}_{\text{off}}\) = 0.1 (sec)−1) based on the reported equilibrium association constants (Ka, Ka=\({k}_{\text{on}}\)/\({k}_{\text{off}}\)) [6, 25].
2.1.1.3 Muco-Ciliary Clearance
Muco-ciliary clearance, the rhythmic beating of cilia cells in the respiratory tract that propels the mucus, could remove the harmful particles as well as the therapeutic agents from out of the lungs. The removal of drugs via muco-ciliary elimination was assumed to follow a linear process and the rate constant was estimated using reported C60% values (percent of initial deposition cleared by ciliary action in 1h) in the peripheral region or small airway region of CF patients [2628]. The impact of molecule/particle size on muco-ciliary clearance was ignored. Elimination rate in mucus was assumed identical for both free and bound drugs [29]. The influence of mucociliary clearance was considered negligible on systemic PK predictions due to the relatively small airway mucus volume (~65 mL) compared to plasma (~3 L). For drugs administered via inhalation and for the compounds with significant pulmonary elimination or accumulation (e.g., norepinephrine [30], lidocaine [31]), incorporating physiological links and mass balance would be crucial for accurate PK predictions.
2.1.1.4 Boundary Conditions and Equations
Plasma drug concentrations were assigned to the drug concentrations at the blood-mucus interface (\(x=0\)) at every time step as boundary conditions. For simplicity, plasma concentration-time profiles were simulated with 1-compartment (1-CMT) models (Eq. 3), and plasma protein binding was ignored so that the fraction of unbound drugs in plasma was assumed to be 1.
The spatial PK model framework in mucus was established using discretized partial differential equations (Eqs. 45):
$${C}_{plasma}=\frac{Dose}{V}\cdot {e}^{-{k}_{e,p}\cdot t}$$
(3)
$$\begin{aligned}\frac{\partial A}{\partial t}&=D\cdot \frac{{\partial }^{2}A}{\partial {x}^{2}}-{k}_{on}\cdot \left(M-{A}^{\prime}\right)\cdot A+{k}_{off}\cdot {A}^{\prime}-{k}_{e,m}\cdot A\\ &\quad \text{at } t=0, A=0 \quad \text{for all } 0\le x\le L\\ & \quad \text{at } x=0, A={C}_{plasma} \text{ for all } t \ge 0\\ &\quad {\text{at}}\;x > 0,A = A\;{\text{ for all }}\;t > 0 \end{aligned}$$
(4)
$$\begin{aligned}\frac{\partial {A}^{\prime}}{\partial t}&={k}_{on}\cdot \left(M-{A}^{\prime}\right)\cdot A-{k}_{off}\cdot {A}^{\prime}-{k}_{e,m}\cdot {A}^{\prime}\\ & \quad \text{at } t=0, {A}^{\prime}=0 \text{ for all } 0\le x\le L\\ & \quad \text{at } x\ge 0, {A}^{\prime}={A}^{\prime} \text{ for all } t>0\end{aligned}$$
(5)
where \(Dose\) is the amount of drug administered intravenously, \(V\) represents the apparent volume of distribution in plasma, \({k}_{e,p}\)is the plasma elimination rate constant; \(A\) is the free drug concentration in mucus, \({A}{\prime}\) denotes the bound drug concentration in mucus, \(L\) indicates the thickness of mucus, \(x\) denotes the distance of drug in mucus to the blood-mucus interface, \(M\) represents the total concentration of mucins in mucus and \({k}_{e,m}\) denotes the muco-ciliary clearance rate constant.

2.1.2 Simulation Scenarios

To illustrate the spatial modeling framework, we first investigated the spatial PK profiles of small molecules in the airway mucus. A 100-mg dose of the small molecule drug was intravenously administered every 8 hours for 24 hours. Corresponding parameters are listed in Table 1.
To identify the influential factors of spatial PK, we performed a series of simulations for 72-h treatments. First, we varied the particle radius (r = 1, 5, 20, 50 nm) to assess size-dependent effects. Next, two separate simulations were conducted for small (r =1 nm) and large molecules (r = 5 nm) to evaluate the influence of drug-specific and biological system-specific factors. To this end, hypothetical drugs varying in plasma half-lives (t1/2 = 3, 6, 12 and 24 h for small molecules and t1/2 = 1, 2, 3 and 4 w for large molecules), mucin-binding affinities (Ka =10, 100, 1000, 10000 M-1) were examined. System-specific factors included mucin concentration (M = 1e-6, 5e-6, 1e-5, 5e-5 M) and muco-ciliary clearance (Ke,m = 0, 0.0036, 0.036, 0.36 h−1). All parameter ranges were chosen based on published literature values and are summarized in Table S1. To assess the individual effect of each factor, the corresponding parameter was varied while other factors were fixed at the values in Table 1.
We also investigated the impact of infusion duration and frequency on drug spatial PK in mucus. To achieve this, 8 and 24 hour interval- intermittent infusions together with a continuous infusion were simulated with a fixed daily dose (300 mg) for small (r = 1 nm) and large (r = 50 nm) molecules/particles.
Four metrics were derived to evaluate drug spatial profiles in mucus: (1) free drug concentration in mucus as the effective concentration, (2) ratio of the free drug concentration in mucus to the plasma concentration as the penetration index, and (3) AUCf as exposure metric, calculated as the double integral of free drug concentration in mucus over time (72 h) and distance (500 \(\upmu \text{m}\)), and (4) spatial heterogeneity of drug distribution, calculated as the coefficient of variation (CV%) of free drug concentration in mucus.

2.2 Spatial Pharmacokinetic/Pharmacodynamic Model in Mucus

To investigate the impact of drug distribution on drug efficacy, we developed a spatial PK/PD model for imipenem in the treatment of lung infections and performed simulations with different baseline spatial distribution patterns of bacteria and dosing regimens.

2.2.1 Model Assumptions and Structure

Imipenem was used as an example drug to demonstrate the spatial bacteria-killing in mucus. To develop a spatial PK/PD model, a plasma PK model and a PD model of imipenem were adopted from literature [32, 33]. In brief, the plasma PK was described by a 2-compartment model to set the boundary conditions for the drug diffusion in mucus. The boundary condition is corrected by the penetration ratio to account for the friction from plasma protein binding and other transport barriers, which may reduce the amount of drug available for the diffusion in airway mucus. The PD model, consisting of susceptible (S) and resistant (R) subpopulations of bacteria [Eqs. S2–S3], described the response of bacteria Pseudomonas aeruginosa to imipenem. In the PD model, bacteria were assumed to be immobile due to their large size and entanglement with the mucin network [34]. Only free drugs could exert antimicrobial effects and bacteria did not absorb drugs. Both uniform (homogeneous) and non-uniform (increasing and decreasing gradient) distributions of bacteria in mucus were considered to represent different patterns of bacteria spatial organization at baseline (Fig. S1). Increasing gradient distribution, characterized by a higher bacterial density near the air-mucus interface relative to the blood-mucus interface, reflected the situation where some aerobic bacteria tend to orient themselves towards oxygen gradients [35]. Conversely, a decreasing gradient, with more bacteria near the blood-mucus interface, is associated with anaerobic bacteria. Parameters and values in the spatial PK/PD model are shown in Table S2.

2.2.2 Simulation Scenarios

In order to identify the influential factors of spatial PD, we performed a simulation study. A series of dosing regimens were investigated, varying in dose (dose = 250, 500, 1000 mg) and infusion strategy (intermittent infusion every 8 hours or continuous infusion). The response of bacteria was simulated under three bacterial baseline spatial distributions in combination with six dosing regimens. Three outcomes were used to characterize drug effects in mucus: (1) total bacteria density in mucus; (2) time to achieve complete bacteria eradication (TTE) from mucus, and (3) spatial heterogeneity of bacteria distribution, calculated as the CV% of bacteria density in mucus.

2.3 Algorithm and Software

This study was performed in R 4.4.1. The development of plasma PK models was carried out using rxode2 package. Data visualization was conducted with ggplot2 package. Spatial PKs were simulated by solving PDEs using a finite difference method. The PDEs were discretized in space and time to enable numerical approximation of the solution. Temporal and spatial step sizes were set to 0.5 s and 25 μm to balance accuracy and computational efficiency. The script for this study was provided in a publicly available repository (https://github.com/vanhasseltlab/spatialPK.git).

3 Results

3.1 Spatial PK Modeling Framework

3.1.1 Diffusion Profiles of Small Molecules in Airway Mucus

The plasma PK and mucus spatial PK profiles for a small molecule drug (Fig. 2) showed limited concentration differences between mucus and plasma, along with minor spatial heterogeneity in drug concentrations within mucus. We found that plasma concentrations (Fig. 2A) and free concentrations in mucus (Fig. 2B) reached similar peak and trough concentrations. In the spatial PK predictions in mucus (Fig. 2B, C), a distance of zero indicates the position of the drug at the blood-mucus interface, while a distance of 500 \(\upmu \text{m}\) represents the position of drug at the surface of mucus. The ratio of free concentration in mucus to plasma concentration reached 1 within 2 hours after every dosing (Fig. 2C). The spatial variability within mucus, characterized by coefficient of variation, occurred early and rapidly decreased to below 3% around 1 hour after every administration (Fig. 2D).
Fig. 2
Plasma PK and spatial PK profiles of a small molecule (r = 1 nm) following 100 mg intravenous administration every 8 h. A Plasma concentration versus time. B Free concentration at different distances in mucus versus time. C The ratio of free concentration at different distances in mucus to plasma concentration versus time. D Spatial heterogeneity (coefficient of variation) of free drug concentrations in mucus versus time. Distance of 0 μm and 500 μm indicate the position of the drug at the blood-mucus interface and at the air-mucus interface, respectively. Colors of the heatmaps represent the mucus free concentration or ratio of the mucus concentration to plasma concentration. Table 1 lists the parameters used for simulation. PK, pharmacokinetics
Bild vergrößern

3.1.2 Influential Factors of Spatial Pharmacokinetics

With an increase of molecular radius (r), the drug concentration at a further distance from the blood-mucus interface decreased (Fig. 3A). For molecules/particles with a radius of 1, 5, 20, 50 nm, the AUCf, calculated as the double integral of free drug concentration over time (72 h) and space (500 \(\upmu \text{m}\)), was found to be 251, 232, 183 and 133 mg*h/L, while the peak CVs after the last administration were 29.9%, 48.6%, 47.5% and 62.9%, respectively, (Fig. 3B, C).
Fig. 3
Impact of molecule/particle size (r) on mucus spatial PK. A Spatial and temporal distribution of free drug concentrations in mucus. Distance of 0 μm and 500 μm indicate the position of the drug at the blood-mucus interface and at the air-mucus interface, respectively. Colors of the heatmaps represent the free concentration of drug in mucus. B Spatial drug exposure (AUCf). AUCf is calculated as the double integral of free drug concentrations in mucus over time and distance. C Spatial heterogeneity (CV). Spatial heterogeneity is expressed as the coefficient of variation of free drug concentrations in mucus. In each simulation, 100 mg of molecules/particles with the radius of 1 nm, 5 nm, 20 nm or 50 nm was administered intravenously every 8 hours for 3 days. CV, coefficient of variation; PK, pharmacokinetics
Bild vergrößern
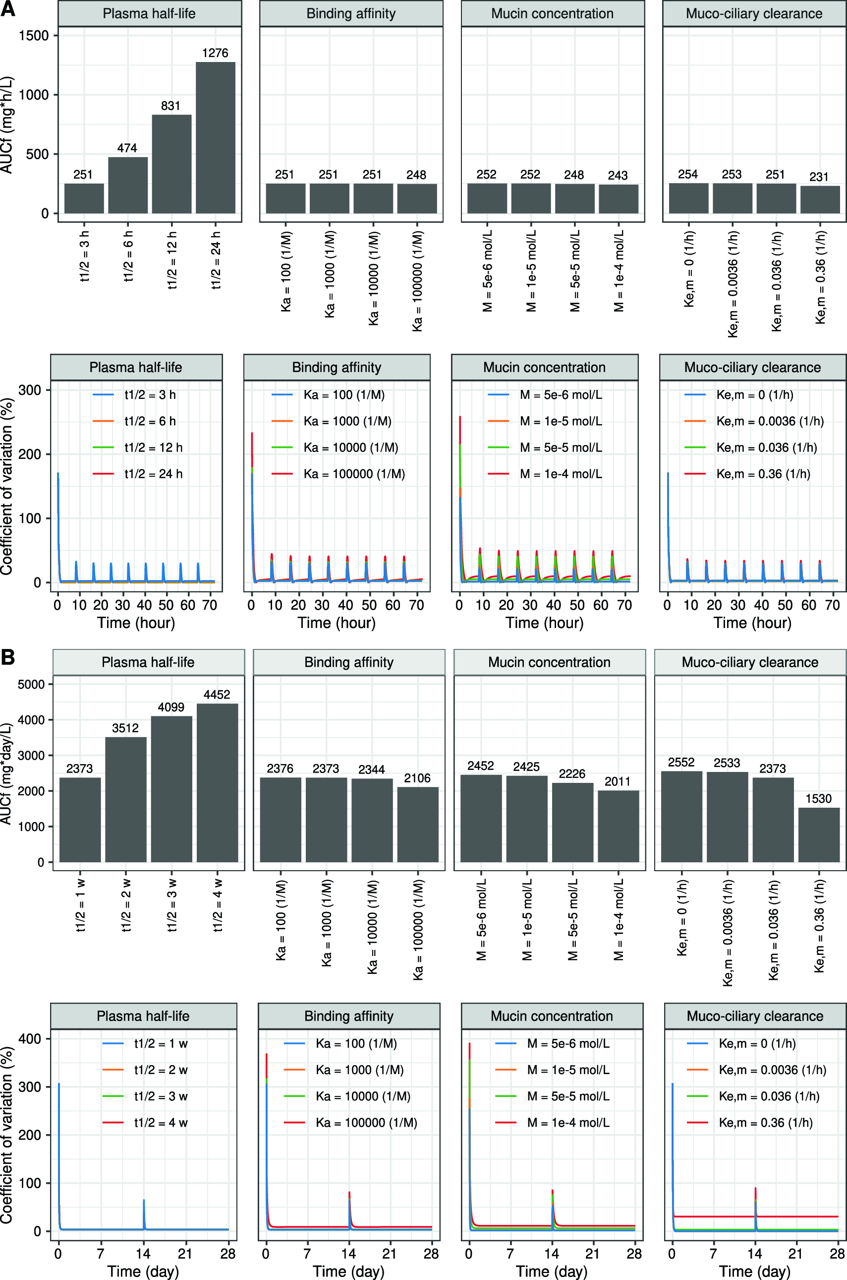
The impact of drug- and biological system-specific factors on the spatial PK were separately investigated for small (r = 1 nm) and large molecules (r = 5 nm) to account for the intrinsic differences in half-lives and dosing schedules (Figs. S2, S3). For both types of drugs, a longer half-life led to a higher drug exposure in mucus (Fig. 4). For small molecules with a half-life of 3, 6, 12, 24 hours, the AUCfs for 72 h were 251, 474, 831 and 1276 mg*h/L, respectively, while for large molecules, half-life of 1, 2, 3, 4 weeks were associated with the AUCf of 2373, 3512, 4099 and 4452 mg*day/L for the 28-day treatment period. The impact of binding affinity, mucin concentration and muco-ciliary clearance had minimal impact on the mucus exposure for small molecules, with AUCfs stabilizing within 231–254 mg*h/L, whereas for large molecules, an increased muco-ciliary clearance led to an obvious reduction in AUCf.
Fig. 4
The impact of drug-specific and biological system-specific factors for A small molecules (r = 1 nm) and B large molecules (r = 5 nm). AUCf is calculated as the double integral of free drug concentrations in mucus over time and distance. Spatial heterogeneity is expressed as the coefficient of variation of free drug concentrations in mucus. Within each simulation, 100 mg small molecules were administered intravenously every 8 hours for 3 days, while 600 mg large molecules were administered every 2 weeks for 4 weeks. In each panel, we assessed the individual effect of each parameter by varying it while fixing the other parameters at their reference values. The reference values are t1/2 = 3 h or 1 w, Ka = 1000 M-1, M = 2e-5 M and Ke,m = 0.036 h−1
Bild vergrößern
In terms of spatial heterogeneity of drug concentration, for both molecules (r = 1, 5 nm), CVs spiked after each administration and leveled off below 10% within 1 hour for small molecules and within 10 hours for large molecules across most tested conditions (Fig. 4). For both molecules, the peak CVs after the last administration decreased with longer half-life but increased with the higher binding affinity, mucin concentration and muco-ciliary clearance. Notably, for large molecules, increasing muco-ciliary clearance raised the plateau CV level from 0.4 to 30.5%.

3.1.3 The Impact of Dosing Schedules on Spatial PK

When we varied the dosing schedules given a fixed total daily dose, small and large particles displayed similar trends of changes in spatial PK (Fig. 5A). For small molecules, the AUCf under 8- and 24-hour intervals intermittent infusions and the continuous infusion was 251, 257 and 241 mg*h/L, respectively. Similarly, those for large particles were 133, 145 and 125 mg*h/L (Fig. 5B). Large particles (r = 50 nm) still reached roughly 53 % of the exposure achieved by small molecules (r = 1 nm). High infusion rates and small molecule/particle sizes increased the exposure and spatial gradient of drugs in mucus.
Fig. 5
The impact of dosing schedule on mucus spatial PK with respect to molecule/particle size. A Spatial pharmacokinetics of free drug concentration in mucus. Distance of 0 μm and 500 μm indicate the position of drug at the blood-mucus interface and at the air-mucus interface, respectively. Colors of the heatmap represent the free concentration in mucus. B Spatial drug exposure (AUCf) of small and large molecules/particles under different dosing regimens. A total intravenous dose of 300 mg was administered daily for each dosing schedule. AUCf , double integral of free drug concentration in mucus over 72 h and 500 μm; PK, pharmacokinetics
Bild vergrößern

3.2 Spatial PK/PD Model of Imipenem in Mucus

The impact of spatial PK on bacterial killing kinetics was studied using imipenem as a case study. To this end, a spatial PK/PD model was constructed by integrating published plasma PK and PD models of imipenem with the spatial model framework. Dose-dependent killing of bacteria was observed following intermittent and continuous infusion administration. With continuous infusion, 250 mg imipenem failed to eradicate bacteria within 72 h, whereas 500 mg and 1000 mg regimens achieved complete eradication of bacteria (Figs. 6, S4). TTEs, the time to achieve complete bacteria eradication in mucus, varied with infusion strategies, dosage and initial bacteria distribution patterns (Table S3). Under different infusion strategies and dosages, the TTEs remained the longest for the increasing gradient bacteria distribution, and the shortest for the homogeneous bacteria distribution. TTEs under intermittent infusion were shorter than those under continuous infusion. In the case of imipenem, intermittent infusion was more efficacious than continuous infusion regardless of bacteria distributions at baseline.
Fig. 6
Spatial PK/PD of imipenem under different infusion doses and durations. A Schematic representation of spatial PK/PD model. B Spatial dynamic of bacteria exposed to imipenem with uniform spatial distribution of bacteria at baseline (Time = 0). C Spatial dynamic of bacteria exposed to imipenem with an increasing gradient of bacteria at baseline (Time = 0). Distance of 0 μm and 500 μm indicate the position of bacteria at the blood-mucus interface and at the air-mucus interface, respectively. Colors of the heatmaps represent the total bacteria density in mucus. CFU, colony forming units, PK pharmacokinetics, PD pharmacodynamics
Bild vergrößern
Bacteria spatial heterogeneity remained stable at baseline levels throughout the treatment period, and a sharp increase in spatial heterogeneity was observed at the point of complete eradication (Fig. S5). At eradication, bacteria were cleared earlier on the side of the blood-mucus interface than the air-mucus interface. In contrast, bacteria regrowth emerged earlier on the side of the air-mucus interface than the blood-mucus interface. While this is only a demonstrative case study, it underscores the feasibility of integrating established PK/PD models with the spatial modeling framework.

4 Discussion

In this study, we developed a spatial PK model informed by realistic physiological ranges of parameters, which allowed to gain quantitative insights into the spatial distribution of drugs and its effect in airway mucus, and identified key drug- and biological system-specific factors that may influence the spatial drug distribution. Furthermore, we demonstrated how the modeling framework can be readily incorporated into established population PK/PD workflows to evaluate dosing strategies, such as demonstrated for imipenem.
Our analysis suggests that molecule/particle size plays a dominant role in the drug diffusion in mucus. For small molecules, the free drug concentration in plasma is likely a reasonable approximation of that in airway mucus. As such, our results provided a quantitative foundation indicating the limited clinical relevance of retarded diffusion of small molecules in mucus, as previously suggested in other studies [6, 7, 36]. In contrast, with increasing molecular/particle sizes, the diffusion in mucus showed varying levels of impairment. This indicates that for large molecules, e.g., monoclonal antibodies [37], or liposome formulations (e.g., liposomal Amphotericin B [38]), reduced efficacy in patients might be linked to impaired diffusion. Interestingly, the spatial heterogeneity for the particles of 20 nm radius (peak CVs = 47.5%) was slightly smaller than that of the molecules of 5 nm radius (peak CVs = 48.6%). A reason may be that due to the slow diffusion, drugs from previous administrations continued penetrating the mucus even during the current administration. This resulted in more oscillations and lower peak CVs compared to smaller molecules.
To estimate the effect of molecule/particle size, we derived diffusion coefficients \(D\) for these modalities, using the modified SE function. Experimentally determined \(D\) values were not used because not all \(D\) values are available for the radius range of interest. However, overall, the magnitude of calculated diffusion coefficients \(D\) was well in agreement with experimentally determined values [39, 40]. Additionally, the current model used the micro-viscosity of airway mucus to derive the diffusion coefficients, which holds for the drug molecule/particle smaller than 140 nm, the pore size of the mucus network [41]. Once the diameter approaches the size of mucus pores, the transport of the drug molecule/particle is greatly affected by steric hinderance from the microstructure of mucus.
We find that interactions between drugs and mucins have a minor impact on free drug distribution in airway mucus. The kinetics of free drug concentration remained at a consistent level when we varied the equilibrium association constant Ka across a plausible range, whereas the bound drug concentration was governed by the binding affinity (Fig. S6). Strong binding affinity resulted in a significant number of drug molecules binding to mucin protein. This is consistent with the experimental studies, which often involve donor and receiver compartments (e.g., dialysis [6] or chamber systems [42, 43]), and have shown that mucins significantly bind to free drug molecules in mucus. However, the free drug molecules showed different kinetics in our result from the in vitro studies. This discrepancy is mainly associated with the boundary conditions. In experimental systems, the drug concentration at boundary decayed over time due to the redistribution into the medium, which is called a “thin source” [44, 45]. However, in our simulation, boundary condition in airway mucus was assumed to be an “infinite source”. This was because the volume of plasma (~3 L) is much larger than that of the airway mucus (~65 mL in disease status [46, 47]), which results in a substantial donor-to-receiver volume ratio. Upon IV administration, plasma was assumed to act as an infinite drug reservoir, maintaining a relatively constant concentration at the blood–mucus interface. Consequently, drug within mucus exhibits reduced spatial heterogeneity compared to the diffusion process with thin source (Fig. S7). Similarly, the effect of mucin binding on free drug concentration was mitigated by a continuous supply from the boundary. Under the thin source condition, the total drug concentration was limited compared to the infinite source. As total drug concentration increases, the effect of binding on free drug levels diminished. Secondly, another key factor that plays a role in binding kinetics is the number of binding sites per mucin molecule n, which is often determined by steady-state fluorescence spectroscopy using Benesi–Hildebrand method [48]. Reported values of n typically range from 0.7 to 2.0 for small molecules such as ceftazidime, CFTR(inh)-172, levofloxacin, and aztreonam [49], as well as for magnetic nanoparticles [50]. Therefore, we used n = 1 in our simulations. However, n is highly dependent on the ligand’s chemistry and binding modality. For example, the hydrophobic probe 1-anilino-8-naphthalene sulfonate was found to bind bovine mucin with the n value of approximately 42 [51]. While this study focused on general molecules and particles, the actual number of binding sites should be considered when investigating the diffusion kinetics of specific drugs. Lastly, the observation durations in in vitro experiments were often not sufficient (4~5 h) to capture the steady state, compared to those of the simulations (3 days). To accurately investigate drug diffusion into mucus following IV administration, experimental setup should reflect the physiological donor-to-receiver volume ratio. Optimized experimental models are needed to provide reliable evidence for investigating drug diffusion in mucus.
In the spatial model, the boundary condition defines the available drug concentration for diffusion. We emphasize here that although the boundary condition is characterized by the plasma drug concentration, this does not mean a drug will directly diffuse from plasma into airway mucus. Rather, this should be regarded as a rapid distribution from the circulatory system to lung tissues with the partition coefficient fixed at 1. Physiological barriers including pulmonary capillaries, interstitial space and epithelia cells can delay the drug transport into airway mucus [52]. Additionally, alveolar macrophages, as part of the phagocyte system in the respiratory tract, are adapted at the uptake of proteins and particles [53] or can trap basic lipophilic drugs in lysosomes [54]. These drug transport mechanisms are drug-specific, and for example determined by pKa and LogP. Accordingly, two scenarios regarding possible boundary conditions can occur: (1) rapid distribution from blood to lung, where the epithelial lining fluid (ELF) concentration profiles are parallel to the plasma profiles at a fixed ratio (e.g., imipenem and levofloxacin [32, 55]); and (2) significantly delayed distribution compared to the plasma concentration (e.g., amikacin and gentamicin [56]). Although delayed distribution for boundary condition reduces CV fluctuations, molecule/particle size still plays a dominant role in shaping spatial drug-concentration gradients (Fig. S8). Alternatively, the boundary concentration can also be derived from a dedicated lung physiologically-based pharmacokinetic (PBPK) model [52] to account for the biological barriers between plasma and mucus. Although not characterized by the current model framework, it is not expected to affect the conclusions drawn in this analysis.
In this study, we addressed a possible role of the spatial orientation of bacteria in the bacteria killing effect of imipenem. Within mucus, the spatial organization of the microbial community is heterogeneous, mainly depending on available oxygen and nutrients [57], and sometimes even pH [58]. Characterization of bacteria distribution patterns in mucus could help in understanding the impact of the spatial effect on the therapeutic outcomes. Although small molecules could readily penetrate the airway mucus, spatial differences in drug effects were observed. In the scenario of homogeneous bacterial distribution, any spatial difference in drug effect would be only induced by the spatial drug distribution. We found that bacteria on the side of the blood-mucus interface were eliminated faster than those near the air-mucus interface. This was because upon IV treatment, drug concentrations were higher, although marginal, on the side of the blood-mucus interface. Besides the homogeneous distribution of bacteria, in this case study we also hypothesized another two possible spatial distributions of bacteria at baseline: an increasing gradient distribution and a decreasing gradient distribution. The gradient patterns would be related to pathogens requiring different levels of oxygen as present in the mucus layer. We found that bacteria were most efficiently killed under the homogeneous baseline distribution, less under the decreasing gradient, and the least under the increasing gradient. The rapid bacterial clearance under homogenous baseline distribution may be explained by the fact that there are fewer spatial regions in mucus with relatively high bacteria density (e.g., 6.26 log10 colony forming units [CFU]/mL), compared to gradient distributions. Compared to the increasing gradient of bacterial distribution, the bacteria under the decreasing gradient were more susceptible as most bacteria were present on the side near the blood-mucus interface, where the drug concentration was relatively higher than the other side.
Current models employed the physiological parameters collected from the airway mucus in the lower respiratory tract. Uniform behavior was assumed across the lower respiratory tract. However, the mucus properties vary with the location in the respiratory tract. For example, the thickness of the mucus layer shows substantial variation with disease severity and lung region [59]. In this study, we studied the diffusion behavior within a 500  μm-thick mucus layer in lower respiratory tracts, which represented an extreme yet clinically relevant scenario, such as the mucus plugging in the bronchi [60]. Simulations across a range of mucus thicknesses (50–500 μm) showed that spatial heterogeneity in drug distribution was mainly influenced by molecule/particle size, and the impact of size-dependent hinderance is more pronounced in thicker mucus layers (Fig. S9). Incorporating a higher-dimensional spatial PK model could represent a next step to provide full spatial lung model for mucus distribution, but current data to support parametrization of such a model is lacking. Instead, the current study aims to provide a general understanding of diffusion process across mucus layer under controlled conditions, and we explored the expected diffusion behavior under a relatively wide range of physiological parameters.
The current spatial modeling framework focused on the impact of drug size, muco-ciliary clearance and the interaction with mucins on drug diffusion. As mucus is secreted and cleared, the turnover of mucins was assumed to be dominated by the update of mucus by mucociliary clearance. While previous studies have reported that certain microbial species can secrete mucolytic enzymes to degrade mucin proteins [61, 62], their contribution was not included in the spatial PK/PD model of imipenem. Additional elements present in mucus may also potentially reduce the free drug concentration, such as DNA, albumin, immunoglobulins, and extracellular polysaccharides. We did not address these factors in the current analysis because the concentration and binding affinity of the above components are either less than that of mucin [63, 64] or lacking. A relatively wide range of binding affinity to mucin and binding capacity were explored in this study. The insignificant effect of binding with mucins suggests that other interactions may not play a crucial role in the diffusion process upon IV administration. While our model effectively supports the systematic analysis of spatial distribution in the airway mucus, direct comparison with experimental measurements remains challenging. This limitation arises from the inherent difficulties in collecting in vivo data of the spatial distribution of drug concentrations or efficacy within mucus.
We view the application of the developed modeling framework in a number of areas. First, the modeling framework can guide either current clinical use or drug development by providing a mechanistic understanding of drug disposition for different therapeutic modalities targeting airway mucus. Our findings suggest that small molecules could readily travel across the mucus layer, indicating that treatment failures are unlikely to be caused by diffusion limitations. In contrast, the diffusion is hindered for large molecules or particles, which may contribute to suboptimal efficacy. For such cases, our modeling framework can be leveraged to explore alternative dosing strategies. For instance, prolonged infusion regimens could help mitigate concentration gradients and enhance drug distribution in airway mucus, depending on the specific properties of the drug. Secondly, our framework can be used to evaluate the potential factors which may lead to inter-individual variability in drug disposition and therefore ultimately treatment outcomes. For example, in the current study we have shown that for a realistic range of system-specific parameters in CF patients, i.e., total mucin concentration, binding affinity and mucociliary clearance, all had a minimal effect on the free drug distribution in airway mucus upon IV administration. We envision that extensions to this framework can be used to explore similar questions for related pulmonary conditions.
The spatial model serves as a flexible component that can be integrated into other modeling frameworks where the diffusion into mucus layer might play a role in the pharmacological and biological processes. If integrated with currently established PBPK models for inhaled drugs [13], the spatial PK model could then be used to support the prediction of inhaled drug absorption by accounting for deposition and dissolution dynamics. For such models, the key additional systems, parameters and processes required would include particle surface area, drug solubility in mucus, and physiological characteristics specific to each lung region or bronchial generation, as inhaled administration affects a wider range of the respiratory tract. By replacing the physiological parameters such as mucin concentration and viscosity, the model can be used to predict the drug distribution in other types of mucus (e.g., gastric or cervical mucus). While we demonstrated imipenem’s spatial antibiotic effects in airway mucus as a case study, the approach is applicable to other therapeutic agents (e.g., anti-inflammatory drugs, mucolytics, and biologics such as bacteriophages) and non-therapeutic agents (e.g., viruses). This flexibility underscores the model’s potential utility in a broad range of therapeutic areas.
In conclusion, we successfully developed a spatial PK model and a spatial PK/PD model of drugs in airway mucus, which could be of relevance to the optimization of lung infection treatment strategies. Under intermittent infusion, molecule/particle size plays a predominant role in the drug diffusion in mucus. Small molecule drugs can readily move across the airway mucus and the impact of drug-mucin interaction and mucociliary clearance seems insignificant. However, for large molecules, the impact of mucociliary clearance is more pronounced. For both molecules/particles, the spatial heterogeneity was reduced under continuous infusion. With imipenem as an example, we have shown the proof-of-concept of using the spatial PK/PD model, to better understand the impact of the spatial drug distribution and treatment outcomes.

Acknowledgements

We would like to thank Dr. Laura Zwep for her valuable advice throughout this research project.

Declarations

Conflict of Interest

Yuchen Guo, Jinqiu Yin, Sirin Yonucu, Catherijne A.J. Knibbe, Tingjie Guo and Coen van Hasselt declare that they have no potential conflicts of interest that might be relevant to the contents of this manuscript. Catherijne A. J. Knibbe is an Editorial Board member of Clinical Pharmacokinetics. Catherijne A. J. Knibbe was not involved in the selection of peer reviewers for the manuscript nor any of the subsequent editorial decisions.

Data Availability

Data sharing is not applicable to this article as no datasets are associated with this study.

Ethics Approval

Not applicable.

Code Availability

The code used in this study is available via the GitHub repository https://github.com/vanhasseltlab/spatialPK.git.

Authors’ Contributions

Conceptualization: J.G. Coen van Hasselt, Jinqiu Yin, Tingjie Guo; Methodology: Yuchen Guo, Tingjie Guo, Sirin Yonucu; Formal analysis and investigation: Yuchen Guo, Tingjie Guo; Writing – original draft preparation: Yuchen Guo; Writing – review and editing: Yuchen Guo, Catherijne A.J. Knibbe, Tingjie Guo, J.G. Coen van Hasselt; Funding acquisition: J.G. Coen van Hasselt; Supervision: J.G. Coen van Hasselt, Tingjie Guo.
Open Access This article is licensed under a Creative Commons Attribution-NonCommercial 4.0 International License, which permits any non-commercial use, sharing, adaptation, distribution and reproduction in any medium or format, as long as you give appropriate credit to the original author(s) and the source, provide a link to the Creative Commons licence, and indicate if changes were made. The images or other third party material in this article are included in the article's Creative Commons licence, unless indicated otherwise in a credit line to the material. If material is not included in the article's Creative Commons licence and your intended use is not permitted by statutory regulation or exceeds the permitted use, you will need to obtain permission directly from the copyright holder. To view a copy of this licence, visit http://creativecommons.org/licenses/by-nc/4.0/.
Download
Titel
Spatial Pharmacokinetic and Pharmacodynamic Modeling in Airway Mucus
Verfasst von
Yuchen Guo
Jinqiu Yin
Sirin Yonucu
Catherijne A. J. Knibbe
Tingjie Guo
J. G. Coen van Hasselt
Publikationsdatum
06.10.2025
Verlag
Springer International Publishing
Erschienen in
Clinical Pharmacokinetics / Ausgabe 12/2025
Print ISSN: 0312-5963
Elektronische ISSN: 1179-1926
DOI
https://doi.org/10.1007/s40262-025-01575-4

Supplementary Information

Below is the link to the electronic supplementary material.
1.
Zurück zum Zitat Boucher RC. Muco-obstructive lung diseases. N Engl J Med. 2019;380:1941–53. https://doi.org/10.1056/NEJMra1813799.CrossRefPubMed
2.
Zurück zum Zitat Lai SK, Wang Y-Y, Wirtz D, Hanes J. Micro- and macrorheology of mucus. Adv Drug Deliv Rev. 2009;61:86–100. https://doi.org/10.1016/j.addr.2008.09.012.CrossRefPubMedPubMedCentral
3.
Zurück zum Zitat Fahy JV, Dickey BF. Airway mucus function and dysfunction. N Engl J Med. 2010;363:2233–47. https://doi.org/10.1056/NEJMra0910061.CrossRefPubMedPubMedCentral
4.
Zurück zum Zitat Ridley C, Thornton DJ. Mucins: the frontline defence of the lung. Biochem Soc Trans. 2018;46:1099–106. https://doi.org/10.1042/BST20170402.CrossRefPubMedPubMedCentral
5.
Zurück zum Zitat Bhat PG, Flanagan DR, Donovan MD. Drug diffusion through cystic fibrotic mucus: steady-state permeation, rheologic properties, and glycoprotein morphology. J Pharm Sci. 1996;85:624–30. https://doi.org/10.1021/js950381s.CrossRefPubMed
6.
Zurück zum Zitat Huang JX, Blaskovich MAT, Pelingon R, et al. Mucin binding reduces colistin antimicrobial activity. Antimicrob Agents Chemother. 2015;59:5925–31. https://doi.org/10.1128/AAC.00808-15.CrossRefPubMedPubMedCentral
7.
Zurück zum Zitat Bos AC, Passé KM, Mouton JW, et al. The fate of inhaled antibiotics after deposition in cystic fibrosis: how to get drug to the bug? J Cyst Fibros Off J Eur Cyst Fibros Soc. 2017;16:13–23. https://doi.org/10.1016/j.jcf.2016.10.001.CrossRef
8.
Zurück zum Zitat Butnarasu C, Caron G, Pacheco DP, et al. Cystic fibrosis mucus model to design more efficient drug therapies. Mol Pharm. 2022;19:520–31. https://doi.org/10.1021/acs.molpharmaceut.1c00644.CrossRefPubMed
9.
Zurück zum Zitat Khanvilkar K, Donovan MD, Flanagan DR. Drug transfer through mucus. Adv Drug Deliv Rev. 2001;48:173–93. https://doi.org/10.1016/S0169-409X(01)00115-6.CrossRefPubMed
10.
Zurück zum Zitat Zeitlinger M, Müller M, Joukhadar C. Lung microdialysis–a powerful tool for the determination of exogenous and endogenous compounds in the lower respiratory tract (mini-review). AAPS J. 2005;7:E600-608. https://doi.org/10.1208/aapsj070362.CrossRefPubMedPubMedCentral
11.
Zurück zum Zitat Yang L, Gradl R, Dierolf M, et al. Multimodal precision imaging of pulmonary nanoparticle delivery in mice: dynamics of application, spatial distribution, and dosimetry. Small. 2019;15:1904112. https://doi.org/10.1002/smll.201904112.CrossRef
12.
Zurück zum Zitat Boger E, Wigström O. A partial differential equation approach to inhalation physiologically based pharmacokinetic modeling. CPT Pharmacomet Syst Pharmacol. 2018;7:638–46. https://doi.org/10.1002/psp4.12344.CrossRef
13.
Zurück zum Zitat Hartung N, Borghardt JM. A mechanistic framework for a priori pharmacokinetic predictions of orally inhaled drugs. PLoS Comput Biol. 2020;16:e1008466. https://doi.org/10.1371/journal.pcbi.1008466.CrossRefPubMedPubMedCentral
14.
Zurück zum Zitat Erickson AM, Henry BI, Murray JM, et al. Predicting first traversal times for virions and nanoparticles in mucus with slowed diffusion. Biophys J. 2015;109:164–72. https://doi.org/10.1016/j.bpj.2015.05.034.CrossRefPubMedPubMedCentral
15.
Zurück zum Zitat McKinley SA, Chen A, Shi F, et al. Modeling neutralization kinetics of HIV by broadly neutralizing monoclonal antibodies in genital secretions coating the cervicovaginal mucosa. PLoS One. 2014;9:e100598. https://doi.org/10.1371/journal.pone.0100598.CrossRefPubMedPubMedCentral
16.
Zurück zum Zitat Lewis OL, Keener JP, Fogelson AL. A physics-based model for maintenance of the pH gradient in the gastric mucus layer. Am J Physiol Gastrointest Liver Physiol. 2017;313:G599–612. https://doi.org/10.1152/ajpgi.00221.2017.CrossRefPubMedPubMedCentral
17.
Zurück zum Zitat Cu Y, Saltzman WM. Mathematical modeling of molecular diffusion through mucus. Adv Drug Deliv Rev. 2009;61:101–14. https://doi.org/10.1016/j.addr.2008.09.006.CrossRefPubMed
18.
Zurück zum Zitat Edward JT. Molecular volumes and the stokes-einstein equation. J Chem Educ. 1970;47:261. https://doi.org/10.1021/ed047p261.CrossRef
19.
Zurück zum Zitat Ponomarchuk O, Boudreault F, Gryczynski I, et al. Nanoscale viscometry reveals an inherent mucus defect in cystic fibrosis. ACS Nano. 2025;19:4637–49. https://doi.org/10.1021/acsnano.4c14927.CrossRefPubMed
20.
Zurück zum Zitat Ju X-J, Chu L-Y. Chapter 9 - Lab-on-a-chip fabrication of polymeric microparticles for drug encapsulation and controlled release. In: Santos HA, Liu D, Zhang H, editors. Microfluidics for Pharmaceutical Applications. William Andrew Publishing; 2019. p. 217–80.CrossRef
21.
Zurück zum Zitat Akbarzadeh A, Rezaei-Sadabady R, Davaran S, et al. Liposome: classification, preparation, and applications. Nanoscale Res Lett. 2013;8:102. https://doi.org/10.1186/1556-276X-8-102.CrossRefPubMedPubMedCentral
22.
Zurück zum Zitat Vert M, Doi Y, Hellwich K-H, et al. Terminology for biorelated polymers and applications (IUPAC Recommendations 2012). Pure Appl Chem. 2012;84:377–410. https://doi.org/10.1351/PAC-REC-10-12-04.CrossRef
23.
Zurück zum Zitat Henderson AG, Ehre C, Button B, et al. Cystic fibrosis airway secretions exhibit mucin hyperconcentration and increased osmotic pressure. J Clin Invest. 2014;124:3047–60. https://doi.org/10.1172/JCI73469.CrossRefPubMedPubMedCentral
24.
Zurück zum Zitat Sanders NN, De Smedt SC, Van Rompaey E, et al. Cystic fibrosis sputum: a barrier to the transport of nanospheres. Am J Respir Crit Care Med. 2000;162:1905–11. https://doi.org/10.1164/ajrccm.162.5.9909009.CrossRefPubMed
25.
Zurück zum Zitat Pontremoli C, Barbero N, Viscardi G, Visentin S. Mucin-drugs interaction: the case of theophylline, prednisolone and cephalexin. Bioorg Med Chem. 2015;23:6581–6. https://doi.org/10.1016/j.bmc.2015.09.021.CrossRefPubMed
26.
Zurück zum Zitat Gizurarson S. The effect of cilia and the mucociliary clearance on successful drug delivery. Biol Pharm Bull. 2015;38:497–506. https://doi.org/10.1248/bpb.b14-00398.CrossRefPubMed
27.
Zurück zum Zitat Hofmann W, Asgharian B. The effect of lung structure on mucociliary clearance and particle retention in human and rat lungs. Toxicol Sci Off J Soc Toxicol. 2003;73:448–56. https://doi.org/10.1093/toxsci/kfg075.CrossRef
28.
Zurück zum Zitat Robinson M, Bye PTB. Mucociliary clearance in cystic fibrosis. Pediatr Pulmonol. 2002;33:293–306. https://doi.org/10.1002/ppul.10079.CrossRefPubMed
29.
Zurück zum Zitat Smith DJ, Gaffney EA, Blake JR. Modelling mucociliary clearance. Respir Physiol Neurobiol. 2008;163:178–88. https://doi.org/10.1016/j.resp.2008.03.006.CrossRefPubMed
30.
Zurück zum Zitat Sole MJ, Drobac M, Schwartz L, et al. The extraction of circulating catecholamines by the lungs in normal man and in patients with pulmonary hypertension. Circulation. 1979;60:160–3. https://doi.org/10.1161/01.cir.60.1.160.CrossRefPubMed
31.
Zurück zum Zitat Jorfeldt L, Lewis DH, Löfström JB, Post C. Lung uptake of lidocaine in healthy volunteers. Acta Anaesthesiol Scand. 1979;23:567–74. https://doi.org/10.1111/j.1399-6576.1979.tb01488.x.CrossRefPubMed
32.
Zurück zum Zitat van Hasselt JGC, Rizk ML, Lala M, et al. Pooled population pharmacokinetic model of imipenem in plasma and the lung epithelial lining fluid. Br J Clin Pharmacol. 2016;81:1113–23. https://doi.org/10.1111/bcp.12901.CrossRefPubMedPubMedCentral
33.
Zurück zum Zitat Guo Y, Yin J, Aulin LBS, et al. Pharmacodynamic modeling of colistin and imipenem against in vitro Pseudomonas aeruginosa biofilms. BbioRxiv. 2024. https://doi.org/10.1101/2024.05.28.596312.CrossRef
34.
Zurück zum Zitat Cu Y, Saltzman WM. Stealth particles give mucus the slip. Nat Mater. 2009;8:11–3. https://doi.org/10.1038/nmat2347.CrossRefPubMedPubMedCentral
35.
Zurück zum Zitat Thar R, Fenchel T. True chemotaxis in oxygen gradients of the sulfur-oxidizing bacterium Thiovulum majus. Appl Environ Microbiol. 2001;67:3299–303. https://doi.org/10.1128/AEM.67.7.3299-3303.2001.CrossRefPubMedPubMedCentral
36.
Zurück zum Zitat Frisch S, Boese A, Huck B, et al. A pulmonary mucus surrogate for investigating antibiotic permeation and activity against Pseudomonas aeruginosa biofilms. J Antimicrob Chemother. 2021;76:1472–9. https://doi.org/10.1093/jac/dkab068.CrossRefPubMed
37.
Zurück zum Zitat Mayor A, Chesnay A, Desoubeaux G, et al. Therapeutic antibodies for the treatment of respiratory tract infections-current overview and perspectives. Vaccines. 2021;9:151. https://doi.org/10.3390/vaccines9020151.CrossRefPubMedPubMedCentral
38.
Zurück zum Zitat Stone NRH, Bicanic T, Salim R, Hope W. Liposomal amphotericin B (AmBisome®): a review of the pharmacokinetics, pharmacodynamics, clinical experience and future directions. Drugs. 2016;76:485–500. https://doi.org/10.1007/s40265-016-0538-7.CrossRefPubMedPubMedCentral
39.
Zurück zum Zitat Desai MA, Nicholas CV, Vadgama P. Electrochemical determination of the permeability of porcine mucus to model solute compounds. J Pharm Pharmacol. 1991;43:124–7. https://doi.org/10.1111/j.2042-7158.1991.tb06647.x.CrossRefPubMed
40.
Zurück zum Zitat Desai MA, Vadgama P. Estimation of effective diffusion coefficients of model solutes through gastric mucus: assessment of a diffusion chamber technique based on spectrophotometric analysis. Analyst. 1991;116:1113–6. https://doi.org/10.1039/AN9911601113.CrossRefPubMed
41.
Zurück zum Zitat Suk JS, Lai SK, Wang Y-Y, et al. The penetration of fresh undiluted sputum expectorated by cystic fibrosis patients by non-adhesive polymer nanoparticles. Biomaterials. 2009;30:2591–7. https://doi.org/10.1016/j.biomaterials.2008.12.076.CrossRefPubMedPubMedCentral
42.
Zurück zum Zitat Falavigna M, Stein PC, Flaten GE, di Cagno MP. Impact of mucin on drug diffusion: development of a straightforward in vitro method for the determination of drug diffusivity in the presence of mucin. Pharmaceutics. 2020;12:168. https://doi.org/10.3390/pharmaceutics12020168.CrossRefPubMedPubMedCentral
43.
Zurück zum Zitat Villa G. Engineering mucus models: from microstructure to drug diffusion analysis. 2016.
44.
Zurück zum Zitat Eng G. Thin-source concentration-dependent diffusion: a full solution. Phys Rev B. 1989;39:1518–29. https://doi.org/10.1103/PhysRevB.39.1518.CrossRef
45.
Zurück zum Zitat Crank J. The mathematics of diffusion. Oxford University Press; 1979.
46.
Zurück zum Zitat Widdicombe JH. Volume of airway surface liquid in health and disease. Am J Respir Crit Care Med. 2002;165:1566–1566. https://doi.org/10.1164/ajrccm.165.11.165111.CrossRefPubMed
47.
Zurück zum Zitat Fröhlich E, Mercuri A, Wu S, Salar-Behzadi S. Measurements of deposition, lung surface area and lung fluid for simulation of inhaled compounds. Front Pharmacol. 2016. https://doi.org/10.3389/fphar.2016.00181.CrossRefPubMedPubMedCentral
48.
Zurück zum Zitat Subramanian DA, Kirtane AR, White GN, et al. Identification and Validation of Small Molecules with Mucin-Selective Regiospecific Binding in the Gastrointestinal Tract. 2025. 2025.03.31.646052.
49.
Zurück zum Zitat Butnarasu C, Barbero N, Pacheco D, et al. Mucin binding to therapeutic molecules: the case of antimicrobial agents used in cystic fibrosis. Int J Pharm. 2019;564:136–44. https://doi.org/10.1016/j.ijpharm.2019.04.032.CrossRefPubMed
50.
Zurück zum Zitat Boya VN, Lovett R, Setua S, et al. Probing mucin interaction behavior of magnetic nanoparticles. J Colloid Interface Sci. 2017;488:258–68. https://doi.org/10.1016/j.jcis.2016.10.090.CrossRefPubMed
51.
Zurück zum Zitat Smith BF, LaMont JT. Hydrophobic binding properties of bovine gallbladder mucin. J Biol Chem. 1984;259:12170–7. https://doi.org/10.1016/S0021-9258(20)71335-9.CrossRefPubMed
52.
Zurück zum Zitat Aulin LBS, Tandar ST, van Zijp T, et al. Physiologically based modelling framework for prediction of pulmonary pharmacokinetics of antimicrobial target site concentrations. Clin Pharmacokinet. 2022;61:1735–48. https://doi.org/10.1007/s40262-022-01186-3.CrossRefPubMedPubMedCentral
53.
Zurück zum Zitat Patel B, Gupta N, Ahsan F. Particle engineering to enhance or lessen particle uptake by alveolar macrophages and to influence the therapeutic outcome. Eur J Pharm Biopharm. 2015;89:163–74. https://doi.org/10.1016/j.ejpb.2014.12.001.CrossRefPubMed
54.
Zurück zum Zitat Ufuk A, Assmus F, Francis L, et al. In vitro and in silico tools to assess extent of cellular uptake and lysosomal sequestration of respiratory drugs in human alveolar macrophages. Mol Pharm. 2017;14:1033–46. https://doi.org/10.1021/acs.molpharmaceut.6b00908.CrossRefPubMed
55.
Zurück zum Zitat Drusano GL, Preston SL, Gotfried MH, et al. Levofloxacin penetration into epithelial lining fluid as determined by population pharmacokinetic modeling and monte carlo simulation. Antimicrob Agents Chemother. 2002;46:586–9. https://doi.org/10.1128/AAC.46.2.586-589.2002.CrossRefPubMedPubMedCentral
56.
Zurück zum Zitat Shin E, Zhang Y, Zhou J, et al. Improved characterization of aminoglycoside penetration into human lung epithelial lining fluid via population pharmacokinetics. Antimicrob Agents Chemother. 2024;68:e0139323. https://doi.org/10.1128/aac.01393-23.CrossRefPubMed
57.
Zurück zum Zitat Uhl PM. Spatiotemporal dynamics of the cystic fibrosis airway microbiome. Ph.D., San Diego State University, 2023.
58.
Zurück zum Zitat Schreiber S, Konradt M, Groll C, et al. The spatial orientation of Helicobacter pylori in the gastric mucus. Proc Natl Acad Sci. 2004;101:5024–9. https://doi.org/10.1073/pnas.0308386101.CrossRefPubMedPubMedCentral
59.
Zurück zum Zitat Verkman AS, Song Y, Thiagarajah JR. Role of airway surface liquid and submucosal glands in cystic fibrosis lung disease. Am J Physiol Cell Physiol. 2003;284:C2-15. https://doi.org/10.1152/ajpcell.00417.2002.CrossRefPubMed
60.
Zurück zum Zitat Martinez S, Heyneman LE, McAdams HP, et al. Mucoid impactions: finger-in-glove sign and other CT and radiographic features. Radiographics. 2008;28:1369–82. https://doi.org/10.1148/rg.285075212.CrossRefPubMed
61.
Zurück zum Zitat Carlson TL, Lock JY, Carrier RL. Engineering the mucus barrier. Annu Rev Biomed Eng. 2018;20:197–220. https://doi.org/10.1146/annurev-bioeng-062117-121156.CrossRefPubMedPubMedCentral
62.
Zurück zum Zitat Aristoteli LP, Willcox MDP. Mucin degradation mechanisms by distinct Pseudomonas aeruginosa isolates in vitro. Infect Immun. 2003;71:5565–75. https://doi.org/10.1128/IAI.71.10.5565-5575.2003.CrossRefPubMedPubMedCentral
63.
Zurück zum Zitat Sanders N, Rudolph C, Braeckmans K, et al. Extracellular barriers in respiratory gene therapy. Adv Drug Deliv Rev. 2009;61:115–27. https://doi.org/10.1016/j.addr.2008.09.011.CrossRefPubMed
64.
Zurück zum Zitat Doroshenko N, Tseng BS, Howlin RP, et al. Extracellular DNA impedes the transport of Vancomycin in Staphylococcus epidermidis biofilms preexposed to subinhibitory concentrations of Vancomycin. Antimicrob Agents Chemother. 2014;58:7273–82. https://doi.org/10.1128/AAC.03132-14.CrossRefPubMedPubMedCentral