Zum Inhalt

Ten-year Durability, Hemodynamic Performance, and Clinical Outcomes after Transcatheter Aortic Valve Implantation Using a Self-expanding Device

  • Open Access
  • 12.05.2024
  • Original Research
Erschienen in:

Abstract

Introduction

The expansion of transcatheter aortic valve implantation (TAVI) to low-risk and younger patients has increased the relevance of the long-term durability of transcatheter heart valves (THV). The present study aims to assess the 10-year durability, hemodynamic performance, and clinical outcomes after TAVI using the CoreValve system.

Methods

An analysis from a prospective registry with predefined clinical and echocardiographic follow-up included 302 patients who underwent TAVI with the CoreValve system between 2007 and 2015. Bioprosthetic valve failure (BVF) was defined as any bioprosthetic valve dysfunction-related death, re-intervention, or severe hemodynamic valve deterioration.

Results

At the time of TAVI, the mean age was 80.41 ± 7.01 years, and the Society of Thoracic Surgeons (STS) score was 6.13 ± 5.23%. At latest follow-up (median [IQR]: 5 [2–7] years), cumulative all-cause mortality rates at 3, 5, 7, and 10 years was 23.7%, 40%, 65.8%, and 89.8%, respectively. Mean aortic valve area and transvalvular gradient post-TAVI and at 5, 7, and 10 years were 1.94, 1.87, 1.69, and 1.98 cm2 (p = 0.236) and 8.3, 9.0, 8.2, and 10.1 mmHg (p = 0.796), respectively. Overall, 11 patients had BVF, of whom six had structural valve deterioration (SVD). The 10-year actual and actuarial freedom from BVF was 96.1% and 78.8%, and from SVD was 97.9% and 80.9%, respectively. Three patients developed significant non-SVD due to severe paravalvular leakage, and two patients were diagnosed with infective endocarditis.

Conclusion

Using an early-generation self-expanding bioprosthesis, we documented durable hemodynamic performance and low rates of BVF and SVD up to 10 years after TAVI.

Supplementary Information

The online version contains supplementary material available at https://doi.org/10.1007/s40119-024-00369-2.
Prior presentation: This study was presented as a poster in the 89th DGK annual conference (12–15. April. 2023).
Key Summary Points
Why carry out this study?
Over the last decade, transcatheter aortic valve implantation (TAVI) has become widely used as an alternative to surgical aortic valve replacement (SAVR).
The current trends toward expanding the indication of TAVI to low-risk and younger patients sheds light on the long-term performance and durability of transcatheter heart valves (THV).
There is paucity of data about 10-year durability and hemodynamic performance of THVs.
What has been learned from the study?
The current study reported a low cumulative incidence rate of bioprosthetic valve failure and structural valve deterioration after implanting the first generation of the self-expanding CoreValve system, as well as durable valve performance up to 10-year follow-up.
Establishment of THV durability is needed before expanding the indication of TAVI to younger and low-surgical-risk patients with severe aortic valve stenosis.

Introduction

Over the last decade, transcatheter aortic valve implantation (TAVI) has become an established alternative to surgical aortic valve replacement (SAVR) for patients with severe symptomatic aortic stenosis who are at a prohibitive or high risk for cardiac surgery [1, 2]. More recent trials have even highlighted the role of TAVI as a valuable alternative to surgery in intermediate [3] and low-surgical-risk patients [4, 5].
Expanding the indication of TAVI for younger and low-risk patients necessitates the establishment of the long-term durability of different TAVI prosthetic valves. Although reassuring signals suggest that the self-expanding CoreValve (Medtronic, Minneapolis, MN, USA) demonstrated relatively low rates of early structural valve deterioration (SVD) [68], definitive documentation of long-term durability is yet to be established [9]. Based on the long experience with surgical biological valves, increasing rates of valve degeneration may appear after a long initial period of good function [10, 11].
Our aim in the current study is to explore the durability and clinical outcomes up to 10 years after TAVI with the first-generation CoreValve system.

Methods

Study Population and Study Outlines

Since September 2007, all patients underwent TAVI procedures at the Heart Centre, Segeberger Kliniken, Bad Segeberg, Germany, have been included in a prospective registry (Post-TAVI registry: NCT03192774) that is approved by the local ethics committee (Ärztekammer Schleswig–Holstein) and conforms to the Declaration of Helsinki. All patients included in this study have provided written consent for enrollment and for systematic follow-up.
Out of 302 patients who received the CoreValve transcatheter heart valves (THV) between September 2007 and February 2015, 267 patients had a complete follow-up (88.4%) and have been included in the present analysis. For descriptive purposes, the total cohort was divided into two groups: (a) survivors at 10 years (n = 17 patients) and (b) non-survivors, who died before completing 10 years after valve implantation (n = 250 patients).
Clinical and echocardiographic follow-up was routinely performed post-TAVI before discharge, at 6 months, and at 1, 2, and 5 years. Additionally, for the sake of the present analysis, all patients surviving beyond 5 years after TAVI were approached and personally interviewed (at the institution or through home visits) for clinical and echocardiographic examinations.
Clinical data, quality of life, and medical history were collected using standardized forms and stored at the Centre for Clinical Research of the Heart Centre, Bad Segeberg, through a secure server in accordance with good clinical practice guidelines. Clinical and echocardiographic follow-up was completed either through an outpatient visit or—in the case of impaired patient mobility—a home visit.

Study Endpoints

The main objectives of the study were to evaluate the 10-year hemodynamic performance (as assessed by echocardiography) and bioprosthetic valve failure (BVF) including structural valve deterioration (SVD) according to the endpoint definitions proposed by the Valve Academic Research Consortium 3 (VARC 3) [12].
According to these definitions, bioprosthetic valve dysfunction (BVD) can be due to SVD, non-SVD, endocarditis, or valve thrombosis, and may be associated with no, moderate, or severe hemodynamic valve deterioration. Severe hemodynamic deterioration is defined as (a) an increase in mean transvalvular gradient ≥ 20 mmHg to ≥ 30 mmHg with a concomitant decrease in effective orifice area (EOA) compared with the early post-TAVI measurements, OR (b) new occurrence, or increase of ≥ 2 grades of intraprosthetic aortic regurgitation (AR) resulting in severe AR.
BVF was defined as any of the following: (i) BVD leading to death; (ii) BVD leading to aortic valve re-intervention (i.e., TAVI-in-TAVI, paravalvular leak closure, or SAVR); or (iii) BVD leading to severe hemodynamic deterioration.

Echocardiographic Analysis

All follow-up echocardiographic image quality was ensured according to a detailed acquisition protocol. Image interpretation was based on a detailed analysis protocol according to current guidelines and standardized VARC-3 endpoint definitions [12].
Evaluation of THV performance included serial assessments of aortic valve (AV) leaflet morphology, mobility, peak velocity, AV peak gradient, AV mean gradient, aortic valve area (AVA), peak velocity in the left ventricular outflow tract (LVOT), and time velocity integrals (TVI). Color and spectral Doppler echocardiography were used to assess severity and origin of AR.

Statistical Analysis

Categorical variables are summarized as frequencies and percentages, while continuous variables are presented as mean ± SD or median [25th–75th quartiles], depending on distribution. Inter-group comparisons were conducted using Student’s t or Mann–Whitney U test for continuous variables, and by chi-square or Fischer’s exact test for categorical variables. The Kruskal–Wallis H test was used to compare serial echocardiographic data. Survival curves were constructed using the Kaplan–Meier method to assess the cumulative rates of all-cause and cardiac mortality. Data analysis was performed using SPSS V.24.0 (IBM Corp., Armonk, NY, USA). Freedom from BVF and SVD were assessed with the Kaplan–Meier method (actuarial analysis) and the cumulative incidence method (actual analysis) adjusted for the competing risk of all-cause mortality. This analysis was performed using STATA 17 software.

Results

Patients and Procedural Characteristics

At the time of TAVI, the mean patient age was 80.4 ± 7.0 years, and 55.8% were female. The mean Society of Thoracic Surgeons (STS) score was 6.1 ± 5.2%, and 21.9% were classified as high risk, 37.4% as intermediate, and 40.7% as low surgical risk. TAVI was performed mostly via trans-femoral access (97.8%). The Medtronic CoreValve was used in all cases, most often using valve size of 29 mm (59.4%) or 26 mm (34.6%). Further baseline and procedural characteristics are listed in Tables 1 and 2.
Table 1
Baseline characteristics
Variable
All patients (n = 267)
Alive at 10 years (n = 17)
Died (n = 250)
P value
Age (years)
80.41 ± 7.01
78.23 ± 5.6
80.54 ± 7.2
0.197
Sex
   
0.076
 Male
118 (44.2%)
4 (23.5%)
114 (45.6%)
 
 Female
149 (55.8%)
13 (76.5%)
136 (54.4%)
 
DM
67 (25.1%)
3 (17.6%)
64 (25.6%)
0.464
HTN
232 (86.9%)
15 (88.2%)
217 (86.8%)
0.865
Hyperlipidemia
157 (58.8%)
13 (76.5%)
144 (57.6%)
0.126
CAD
185 (69.3%)
12 (70.6%)
173 (69.2%)
0.904
 ≥ Two CAD
128 (47.9%)
8 (37%)
120 (48%)
0.981
Complete revasc. before TAVI
95 (35.6%)
7 (41.2%)
88 (35.2%)
0.618
Previous MI
53 (19.9%)
3 (17.6%)
50 (20%)
0.814
PCI on admission
106 (39.7%)
8 (47.1%)
98 (39.2%)
0.522
Previous PCI
146 (54.7%)
8 (47.1%)
138 (55.2%)
0.514
Previous CABG
45 (16.9%)
5 (29.4%)
40 (16%)
0.153
Previous stroke
26 (9.7%)
2 (11.8%)
24 (9.6%)
0.771
PVD
49 (18.4%)
4 (23.5%)
45 (18%)
0.569
COPD
42 (15.7%)
2 (11.8%)
40 (16%)
0.643
pro-BNP
2326 [843–5795]
2598 [296–3175]
2376 [1001–6087]
0.080
STS score (%)
6.13 ± 5.23
3.96 ± 1.39
5.90 ± 4.57
0.154
EuroSCORE II (%)
8.52 ± 5.47
6.29 ± 4.01
8.53 ± 6.12
0.551
Data presented as mean ± standard deviation or number and percentage
BMI body mass index, CABG coronary artery bypass graft, CAD coronary artery disease, COPD chronic obstructive pulmonary disease, DM diabetes mellitus, HTN hypertension, MI myocardial infarction, PCI percutaneous coronary intervention, PVD peripheral vascular disease, STS Society of Thoracic Surgeons
Table 2
Procedural characteristics
Variable
All patients (n = 267)
Alive at 10 years (n = 17)
Died (n = 250)
P value
AVA
0.71 ± 0.28
0.86 ± 0.45
0.69 ± 0.26
0.016
Peak gradient
70.34 ± 27.42
79.53 ± 33.87
69.74 ± 26.73
0.152
Mean gradient
45.19 ± 16.47
51.76 ± 23.20
44.76 ± 15.88
0.237
LV-EF
48.60 ± 14.68
53.88 ± 12.62
48.53 ± 14.75
0.145
PASP (invasive)
47.26 ± 18.34
53.53 ± 13.08
47.17 ± 18.49
0.165
PAP mean (invasive)
41.03 ± 22.60
38.18 ± 16.39
41.24 ± 22.98
0.479
MR > II
18 (6.8%)
0 (0.0%)
18 (7.2%)
0.842
Access
   
0.812
 Femoral
261 (97.8%)
17 (100%)
244 (97.6%)
 
 Trans-subclavian
3 (1.1%)
0 (0.0%)
3 (1.2%)
 
 Transaortic
3 (1.1%)
0 (0.0%)
3 (1.2%)
 
 Valve size
   
0.806
 23 mm
3 (1.1%)
0 (0.0%)
3 (1.2%)
 
 26 mm
92 (34.6%)
5 (29.4%)
87 (34.9%)
 
 29 mm
158 (59.4%)
12 (70.6%)
146 (58.6%)
 
 31 mm
12 (4.5%)
0 (0.0%)
12 (4.8%)
 
Valve-in-valve
25 (9.4%)
1 (5.9%)
24 (9.6%)
0.611
Post-dilatation
105 (39.3%)
3 (17.6%)
102 (40.8%)
0.175
Data presented as mean ± standard deviation or number and percentage
AVA aortic valve area, LV-EF left ventricular ejection fraction, MR mitral regurgitation, PAP pulmonary artery pressure, PASP pulmonary artery systolic pressure
At 10 years post-TAVI, 17 patients were still alive while 250 had died. Patients who died before completing the follow-up showed a trend toward higher baseline pro-BNP levels (2376 [1001–6087] vs. 2598 [296–3175]; p = 0.080) and smaller aortic valve area (0.69 ± 0.26 vs. 0.86 ± 0.45; p = 0.016). Tables 1 and 2 summarize the comparison of baseline and procedural characteristics of survivors and non-survivors up to 10 years.
Table 3 summarizes the 30-day post-procedural outcome, and we observed more acute kidney injury post-TAVI in the group who died before completing the 10 years (0 [0.0] vs. 52 [20.8%]; p = 0.036), and more post-TAVI AR > II (14 [5.8%] vs. 0 [0.0%]; p = 0.043). The temporal trend in the incidence of 30-day complications post-TAVI through four time intervals (2007/2008, 2009/2010, 2011/2012, and 2013–2015) revealed that all-cause mortality, cardiac mortality, and permanent pacemaker rates did not differ significantly among the different time intervals (p = 0.783, p = 0.418, and p = 0.630, respectively), while life-threatening bleeding and major vascular complications declined remarkably at the last interval from 2013 to 2015 (p = 0.020 and p = 0.008, respectively) (Supplementary Figure S1, see supplementary material).
Table 3
30-Day outcome post-TAVI
Variable
All patients (n = 267)
Alive at 10 years (n = 17)
Died (n = 250)
P value
All-cause death
18 (6.7%)
0 (0.0%)
18 (7.2%)
0.252
Cardiovascular death
15 (5.6%)
0 (0.0%)
15 (6.0%)
0.561
Periprocedural MI
3 (1.1%)
0 (0.0%)
3 (1.2%)
0.871
Stroke
17 (6.4%)
0 (0.0%)
17 (6.8%)
0.519
Life-threatening bleeding
26 (9.7%)
0 (0.0%)
26 (10.4%)
0.360
Major bleeding
51 (19.1%)
1 (5.9%)
50 (20%)
0.342
Major vascular complication
25 (9.4%)
0 (0.0%)
25 (10.0%)
0.376
Acute kidney injury
52 (19.5%)
0 (0.0)
52 (20.8%)
0.036
AR > II post-TAVI
14 (5.2%)
0 (0.0%)
14 (5.8%)
0.043
Permanent pacemaker
72 (27.0%)
8 (47.1%)
64 (25.6%)
0.054
Data presented as number and percentage
AR aortic regurgitation, MI myocardial infarction, TIA transient ischemic attack, TAVI transcatheter aortic valve implantation
Clinical follow-up was available in 99.3%, 98.6%, 96.7%, and 88.4% of our patients at 3, 5, 7, and 10 years, respectively. The cumulative rates of all-cause mortality at 3, 5, 7, and 10 years were 23.7%, 40%, 65.8%, and 89.8%, while corresponding rates of cardiac mortality were 13.1%, 24.5%, 35.5%, and 49.5%, respectively (Supplementary Figure S2, see supplementary material). Supplementary Table S1 summarizes univariable and multivariable predictors of all-cause mortality.

Longitudinal Echocardiographic Data

Transthoracic echocardiography before discharge and at 5-, 7-, and 10-year follow-up revealed AVA of 1.94, 1.87, 1.69, and 1.98 cm2, respectively (p = 0.236) (Fig. 1a). Mean and peak transvalvular gradient before discharge and at 5-, 7-, and 10-year follow-up were nearly the same (8.3, 9.0, 8.2, and 10.1 mmHg; p = 0.796; and 15.05, 15.5, 14.6, and 17.6 mmHg; p = 0.493, respectively) (Fig. 1b). The corresponding rates of mild and ≥  ARIII were 47.9%, 45.5%, 46.3%, and 50% and 0.0%, 1.5%, 4.9%, and 10% (p = 0.090), respectively (Supplementary Figure S3, see supplementary material).
Fig. 1
Mean aortic valve area, and peak and mean pressure gradient at 10-year follow-up. Linear chart shows the mean aortic valve area (a) and peak/mean pressure gradient (b) at baseline, post-index procedure, and at follow-up, which demonstrated a nonsignificant difference between post-procedural and during follow-up. N number at risk, TAVI transcatheter aortic valve implantation
Bild vergrößern

Bioprosthetic Valve Dysfunction, Structural Valve Deterioration, and Bioprosthetic Valve Failure

From the total cohort, 30 patients developed BVD, including 11 patients with SVD, 14 with non-SVD, three with infective endocarditis, and two with valve thrombosis (Supplementary Figure S4, see supplementary material).
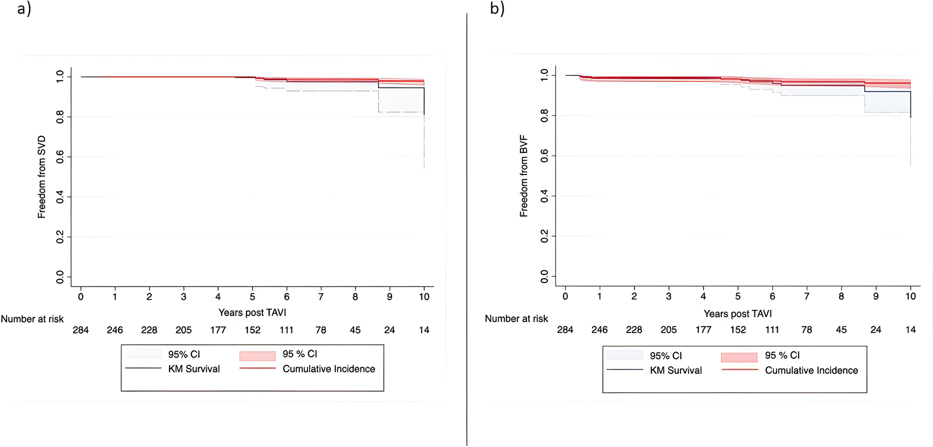
Among those with documented SVD, two patients developed moderate aortic valve stenosis, three had mild and moderate transvalvular aortic insufficiency, and six developed severe SVD. Among those with severe SVD, three patients developed severe bioprosthetic valve stenosis at 72, 104, and 120 months, and the first patient was treated with TAVI-in-TAVI, while the latter two died suddenly. Two patients developed severe transvalvular AR: one at 64 months, treated with TAVI-in-TAVI; and one at 120 months, treated conservatively. One patient had, at 61 months, combined severe stenosis and insufficiency and was managed with TAVI-in-TAVI. The actual rate of freedom from SVD (using the cumulative incidence function) was 99.8%, 98.9%, 98.8%, 98.8%, 98.5%, and 97.9% at 5, 6, 7, 8, 9, and 10 years, respectively. The corresponding actuarial rates (using the Kaplan–Meier method) were 99.2%, 97.6%, 97.6%, 97.6%, 94.6%, and 80.9%%, respectively (Fig. 2a).
Fig. 2
Freedom from BVF and SVD after CoreValve implantation. Cumulative freedom from a SVD and b BVF according to the Kaplan–Meier estimate (blue line; actuarial analysis, 80.9% and 78.8% at 10 years, respectively) and adjusted for the competing risk of all-cause mortality (red line; actual analysis, 97.9% and 96.1% at 10 years, respectively). The pink and blue areas indicate the 95% confidence interval. CI confidence interval, KM Kaplan–Meier curves, SVD structural valve deterioration, TAVI transcatheter aortic valve implantation, BVF bioprosthetic valve failure
Bild vergrößern
Non-structural valve dysfunction was documented in 14 patients: four with mild paravalvular leakage (PVL), seven with moderate PVL, and three patients with severe PVL documented at 9, 54, and 75 months); all severe PVL were treated with TAVI-in-TAVI. BVD due to infective endocarditis was diagnosed in three patients, while valve thrombosis without hemodynamic significance was diagnosed in two patients.
Eleven patients had evidence of BVF. Six patients developed hemodynamically severe SVD, three had significant non-SVD, and two had infective endocarditis. Actual rates of freedom from BVF were 98.6%, 97.9%, 97.2%, 97.1%, 96.8%; and 96.1% at 5, 6, 7, 8, 9; and 10 years, respectively. The corresponding actuarial rates were 97.6%, 95.9%, 95% 94.9%, 91.1%; and 78.8%, respectively (Fig. 2b).

Discussion

The main findings of the present 10-year follow-up after TAVI with the self-expanding CoreValve system are a low actual rate of bioprosthetic valve failure and structural valve deterioration, as well as a signal of durable valve hemodynamic performance.
TAVI has developed rapidly and has become the standard treatment in elderly patients with severe symptomatic aortic valve stenosis who are at high or prohibitive risk for surgery [13]. The universal trend toward expanding TAVI to low-surgical-risk and relatively younger patients raised concerns and questions about the durability of THVs. As low-surgical-risk patients are mostly young with longer life expectancy as well as a higher risk for biological valve degeneration, the issue of durability is most important before deciding to implant THV in those groups of patients [14]. In this study, patients who underwent TAVI with a CoreValve system were followed up to 10 years in order to evaluate the durability of this system.

Bioprosthetic Valve Failure and Structural Valve Deterioration

Experience with early-generation surgical bioprosthetic valves showed that SVD commonly begins 8 years after implantation, with a greatly increased rate of SVD after 10 years [15, 16]. Studies on the performance of surgical valves during the first decade following valve implantation have reported rates of freedom from SVD at 10 years > 85% [1719]. Currently, long-term outcomes with second-generation porcine Hancock II valve (Medtronic) documented survival rates without SVD at 10, 15, and 20 years of 95%, 75%, and 49%, respectively [20]. The present study evaluated the early-generation transcatheter self-expanding CoreValve system and showed an actual survival rate without BVF and SVD at 10 years of 96.1% and 97.9% (actual rate), respectively.
As TAVI has only been widely available since 2007, data concerning long-term durability are limited [9]. A large FRANCE-2 registry, which included 4201 patients after THV implantation, reported a cumulative rate of severe and moderate SVD at 5-year follow-up of 2.5% and 13.3%, respectively [21]. Another study which included only patients who underwent TAVI with the CoreValve system reported a 5-year rate of SVD of 1.4% [6]. Our study reported a lower actuarial rate of SVD at 5 and 6 years compared with the previously mentioned studies, with rates of 0.8% and 2.4%, respectively.
The incidence of SVD 5 to 10 years post-TAVI was described in the UK TAVI registry, where severe SVD occurred in 0.4% at a mean of 5.3 years after implantation, while moderate SVD was reported in 8.7% of patients [22]. Sathananthan et al. performed a 10-year follow-up in high-risk patients who were treated during the early experience of TAVI and found that the rate of SVD at 4, 6, 8, and 10 years was 0.4%, 1.7%, 4.7%, and 6.5%, respectively [23]. Compared with the previously mentioned studies (which used the cumulative incidence to assess the SVD), the present study observed a lower actual rate of SVD and BVF at 10 years of 2.1% and 3.9%, respectively. This difference could be attributed to the implantation of different THV, as a balloon-expandable valve was implanted in 98.3% of patients in the previous study.
The NOTION (Nordic Aortic Valve Intervention) trial is the first to compare only low- risk patients with severe AS who were treated with TAVI using first- and second-generation CoreValve systems versus surgical aortic valve replacement [24]. NOTION reported a low 10-year cumulative incidence of severe SVD of 1.5%, and a 10-year cumulative incidence of BVF of 9.7% [24]. Our study reported an actual rate of severe SVD at 10 years of 2.1% and BVF of 3.2%. We observed a higher rate of severe SVD than that reported in the NOTION trial but a lower BVF rate. We included nearly double the number of patients, which may explain the higher rate of severe SVD in our analysis. The higher rate of BVF reported in the NOTION trial was mainly driven by the higher valve-related death (5%) than in ours. Despite the high all-cause mortality in our study, we reported only three valve-related deaths. The NOTION trial enrolled low-risk patients, in contrast to our study, which included 59.3% of patients with intermediate and high surgical risk.
These findings together raise the question of whether the continuous improvement of newer-generation valves leads to a lower rate of degeneration and failure. In the PARTNER 2A trial, the rate of SVD with the older-generation SAPIEN XT was high (9.5%), but with the newer-generation SAPIEN 3, the 4-year SVD was only 2.5% [9]. It is also recognized that differences in durability exist between different bioprosthetic surgical aortic valve designs and generations [1619]. As newer generations of THV have anti-calcification treatment of leaflets, improvement in leaflets and frames, and the addition of a skirt at the lower part of most valves [9], we assume that the rate of SVD will continue to decline. However, more data are still needed to confirm these results, particularly in low-risk patients.

Long-term Valve Performance and Clinical Outcome

Our study reported a nonsignificant difference in transvalvular gradient and effective orifice area during the 10 years of follow-up. Although these findings were similar to what was documented by the NOTION trial and the study by Sathananthan et al., we should interpret these results with caution due to the high mortality rate [23, 24]. The current analysis reported a high rate of mortality at 10 years (89.8%), which is not surprising because the cohort of our study consisted of a population in their 80s with a relatively limited further life expectancy and multiple comorbidities. We compared the baseline and periprocedural data between patients who were still alive at 10 years and who had died, and we found a trend toward higher pro-BNP, more severe aortic valve stenosis, and a higher rate of significant post-TAVI AR among non-survivors. The higher baseline peak pressure gradient, reduced LV EF, high baseline pro-BNP, and SVD were predictors for all-cause mortality at univariable analysis, while only post-TAVI acute kidney injury was the independent predictor of all-cause mortality. It is notable that our data do not reflect the contemporary outcomes, as they came from early experience. Comparing the periprocedural complications among different time intervals revealed improved rates of life-threatening bleeding and major vascular complications. Despite the improvement in periprocedural complications, the mortality rates did not decline. These findings together indicate that the mortality in the study population was multifactorial and related to the multiple comorbidities.

Study Limitations

Although the follow-up in the current study was 88.4%, the analysis is limited by the high mortality rates at 10 years in an elderly high-risk population. We tried to overcome this problem by computing the cumulative incidence to compete for high all-cause mortality. The main cohort of our study consisted of a population in their 80s with a relatively limited further life expectancy, so the results would be less useful in a younger population with lower procedural risk and fewer comorbidities. Additionally, the echocardiographic follow-up was relatively limited, which might underestimate the incidence of SVD (echocardiography was available in 69.4%, 77.8%, and 82.4% of patients at 5, 7, and 10 years).

Conclusion

The current study presents a 10-year follow-up of patients who underwent TAVI using the early-generation self-expanding CoreValve system. We documented a durable hemodynamic performance and low rates of bioprosthetic valve failure and structural valve deterioration up to 10 years after TAVI. The present study provides insights into the long-term durability and performance of an early experience with self-expanding THV.

Acknowledgements

We thank the participants of the study. In addition, the authors gratefully acknowledge Susanne Sachse, Monika Bahnsen-Maass, Friederike Geyer, Daniela Schuermann-Kuchenbrandt and Wiebke Mohr-toedt for their assistance in data collection. Special thanks to Prof. Ahmad Yosef who previously worked on these data and refined them.

Declarations

Conflict of Interest

Prof. Gert Richardt has received institutional research grants from Biotronik and Medtronic. Dr. Abdelhakim Allali is consultant and proctor for Boston Scientific and consultant for Shockwave Medical. Karim Elbasha, Jatinderjit Kaur, Mohammad Abdelghani, Martin Landt, Sultan Alotaibi, Ahmed Abdelaziz, Mohamed Abdel-Wahab, Ralph Toelg, and Volker Geist have nothing to disclose. Prof. Gert Richardt has a new affiliation to the Center for Cardiovascular and Diabetes Medicine, Asklepios Clinic Bad Oldesloe, Bad Oldesloe, Germany. Dr Ralph Toelg has two new affiliations to the medical Faculty of the Christian-Albrechts-University of Kiel, Kiel, Germany, and to the Center for Cardiovascular and Diabetes Medicine, Asklepios Clinic Bad Oldesloe, Bad Oldesloe, Germany. Gert Richardt is an Editorial Board member of Cardiology and Therapy. Gert Richardt was not involved in the selection of peer reviewers for the manuscript nor any of the subsequent editorial decisions.

Ethical Approval

Data of this work were derived from a prospective registry (Post-TAVI registry: NCT03192774) approved by the local ethics committee (Ärztekammer Schleswig–Holstein) and conforming to the Declaration of Helsinki. All patients included in this study have provided a written consent for participation in the local prospective TAVI registry and for a systematic follow-up.
Open Access This article is licensed under a Creative Commons Attribution-NonCommercial 4.0 International License, which permits any non-commercial use, sharing, adaptation, distribution and reproduction in any medium or format, as long as you give appropriate credit to the original author(s) and the source, provide a link to the Creative Commons licence, and indicate if changes were made. The images or other third party material in this article are included in the article's Creative Commons licence, unless indicated otherwise in a credit line to the material. If material is not included in the article's Creative Commons licence and your intended use is not permitted by statutory regulation or exceeds the permitted use, you will need to obtain permission directly from the copyright holder. To view a copy of this licence, visit http://creativecommons.org/licenses/by-nc/4.0/.
download
DOWNLOAD
print
DRUCKEN
Titel
Ten-year Durability, Hemodynamic Performance, and Clinical Outcomes after Transcatheter Aortic Valve Implantation Using a Self-expanding Device
Verfasst von
Karim Elbasha
Jatinderjit Kaur
Mohammad Abdelghani
Martin Landt
Sultan Alotaibi
Ahmed Abdelaziz
Mohamed Abdel-Wahab
Ralph Toelg
Volker Geist
Gert Richardt
Abdelhakim Allali
Publikationsdatum
12.05.2024
Verlag
Springer Healthcare
Erschienen in
Cardiology and Therapy / Ausgabe 3/2024
Print ISSN: 2193-8261
Elektronische ISSN: 2193-6544
DOI
https://doi.org/10.1007/s40119-024-00369-2

Supplementary Information

Below is the link to the electronic supplementary material.
1.
Zurück zum Zitat Webb JG, Chandavimol M, Thompson CR, Ricci DR, Carere RG, Munt BI, Buller CE, Pasupati S, Lichtenstein S. Percutaneous aortic valve implantation retrograde from the femoral artery. Circulation. 2006;113:842–50.CrossRefPubMed
2.
Zurück zum Zitat Lindman BR, Pibarot P, Arnold SV, Suri RM, McAndrew TC, Maniar HS, Zajarias A, Kodali S, Kirtane AJ, Thourani VH, Tuzcu EM, Svensson LG, Waksman R, Smith CR, Leon MB. Transcatheter versus surgical aortic valve replacement in patients with diabetes and severe aortic stenosis at high risk for surgery: an analysis of the PARTNER Trial (Placement of Aortic Transcatheter Valve). J Am Coll Cardiol. 2014;63:1090–9.CrossRefPubMed
3.
Zurück zum Zitat Leon MB, Smith CR, Mack MJ, Makkar RR, Svensson LG, Kodali SK, Thourani VH, Tuzcu EM, Miller DC, Herrmann HC, Doshi D, Cohen DJ, Pichard AD, Kapadia S, Dewey T, Babaliaros V, Szeto WY, Williams MR, Kereiakes D, Zajarias A, Greason KL, Whisenant BK, Hodson RW, Moses JW, Trento A, Brown DL, Fearon WF, Pibarot P, Hahn RT, Jaber WA, Anderson WN, Alu MC, Webb JG, Investigators P. Transcatheter or surgical aortic-valve replacement in intermediate-risk patients. N Engl J Med. 2016;374:1609–20.CrossRefPubMed
4.
Zurück zum Zitat Forrest JK, Deeb GM, Yakubov SJ, Gada H, Mumtaz MA, Ramlawi B, Bajwa T, Teirstein PS, DeFrain M, Muppala M, Rutkin BJ, Chawla A, Jenson B, Chetcuti SJ, Stoler RC, Poulin MF, Khabbaz K, Levack M, Goel K, Tchetche D, Lam KY, Tonino PAL, Ito S, Oh JK, Huang J, Popma JJ, Kleiman N, Reardon MJ. 3-Year outcomes after transcatheter or surgical aortic valve replacement in low-risk patients with aortic stenosis. J Am Coll Cardiol. 2023;81:1663–74 (Low Risk Trial I).CrossRefPubMed
5.
Zurück zum Zitat Mack MJ, Leon MB, Thourani VH, Makkar R, Kodali SK, Russo M, Kapadia SR, Malaisrie SC, Cohen DJ, Pibarot P, Leipsic J, Hahn RT, Blanke P, Williams MR, McCabe JM, Brown DL, Babaliaros V, Goldman S, Szeto WY, Genereux P, Pershad A, Pocock SJ, Alu MC, Webb JG, Smith CR, Investigators P. Transcatheter aortic-valve replacement with a balloon-expandable valve in low-risk patients. N Engl J Med. 2019;380:1695–705.CrossRefPubMed
6.
Zurück zum Zitat Barbanti M, Petronio AS, Ettori F, Latib A, Bedogni F, De Marco F, Poli A, Boschetti C, De Carlo M, Fiorina C, Colombo A, Brambilla N, Bruschi G, Martina P, Pandolfi C, Giannini C, Curello S, Sgroi C, Gulino S, Patane M, Ohno Y, Tamburino C, Attizzani GF, Imme S, Gentili A, Tamburino C. 5-year outcomes after transcatheter aortic valve implantation with corevalve prosthesis. JACC Cardiovasc Interv. 2015;8:1084–91.CrossRefPubMed
7.
Zurück zum Zitat Gulino S, Barbanti M, Deste W, Imme S, Aruta P, Bottari V, Benvenuto E, Tamburino C, Di Landro A, Liberto D, Santonoceto L, Sicuso R, Di Stefano D, Todaro D, Di Simone E, Indelicato A, Giannazzo D, Sgroi C, Tamburino C. Four-year durability of clinical and haemodynamic outcomes of transcatheter aortic valve implantation with the self-expanding CoreValve. EuroIntervention. 2016;12:e1031–8.CrossRefPubMed
8.
Zurück zum Zitat Sulzenko J, Tousek P, Kocka V, Widimsky P. Transcatheter aortic valve implantation: long-term clinical outcome and valve durability. Expert Rev Med Devices. 2015;12:529–35.CrossRefPubMed
9.
Zurück zum Zitat Dvir D, Bourguignon T, Otto CM, Hahn RT, Rosenhek R, Webb JG, Treede H, Sarano ME, Feldman T, Wijeysundera HC, Topilsky Y, Aupart M, Reardon MJ, Mackensen GB, Szeto WY, Kornowski R, Gammie JS, Yoganathan AP, Arbel Y, Borger MA, Simonato M, Reisman M, Makkar RR, Abizaid A, McCabe JM, Dahle G, Aldea GS, Leipsic J, Pibarot P, Moat NE, Mack MJ, Kappetein AP, Leon MB, Investigators V. Standardized definition of structural valve degeneration for surgical and transcatheter bioprosthetic aortic valves. Circulation. 2018;137:388–99.CrossRefPubMed
10.
Zurück zum Zitat Gao G, Wu Y, Grunkemeier GL, Furnary AP, Starr A. Durability of pericardial versus porcine aortic valves. J Am Coll Cardiol. 2004;44:384–8.CrossRefPubMed
11.
Zurück zum Zitat Grunkemeier GL, Furnary AP, Wu Y, Wang L, Starr A. Durability of pericardial versus porcine bioprosthetic heart valves. J Thorac Cardiovasc Surg. 2012;144:1381–6.CrossRefPubMed
12.
Zurück zum Zitat Genereux P, Piazza N, Alu MC, Nazif T, Hahn RT, Pibarot P, Bax JJ, Leipsic JA, Blanke P, Blackstone EH, Finn MT, Kapadia S, Linke A, Mack MJ, Makkar R, Mehran R, Popma JJ, Reardon M, Rodes-Cabau J, Van Mieghem NM, Webb JG, Cohen DJ, Leon MB, Varc-3 Writing C. Valve Academic Research Consortium 3: updated endpoint definitions for aortic valve clinical research. Eur Heart J. 2021;42:1825–57.CrossRefPubMed
13.
Zurück zum Zitat Vahanian A, Beyersdorf F, Praz F, Milojevic M, Baldus S, Bauersachs J, Capodanno D, Conradi L, De Bonis M, De Paulis R, Delgado V, Freemantle N, Gilard M, Haugaa KH, Jeppsson A, Juni P, Pierard L, Prendergast BD, Sadaba JR, Tribouilloy C, Wojakowski W, Group EESD. 2021 ESC/EACTS guidelines for the management of valvular heart disease. Eur J Cardiothorac Surg. 2021;60:727–800.CrossRefPubMed
14.
Zurück zum Zitat Braghiroli J, Kapoor K, Thielhelm TP, Ferreira T, Cohen MG. Transcatheter aortic valve replacement in low risk patients: a review of PARTNER 3 and Evolut low risk trials. Cardiovasc Diagn Ther. 2020;10:59–71.CrossRefPubMedPubMedCentral
15.
Zurück zum Zitat Wang M, Furnary AP, Li HF, Grunkemeier GL. Bioprosthetic aortic valve durability: a meta-regression of published studies. Ann Thorac Surg. 2017;104:1080–7.CrossRefPubMed
16.
Zurück zum Zitat Foroutan F, Guyatt GH, O’Brien K, Bain E, Stein M, Bhagra S, Sit D, Kamran R, Chang Y, Devji T, Mir H, Manja V, Schofield T, Siemieniuk RA, Agoritsas T, Bagur R, Otto CM, Vandvik PO. Prognosis after surgical replacement with a bioprosthetic aortic valve in patients with severe symptomatic aortic stenosis: systematic review of observational studies. BMJ. 2016;354: i5065.CrossRefPubMedPubMedCentral
17.
Zurück zum Zitat Christ T, Claus B, Borck R, Konertz W, Grubitzsch H. The St. Jude Toronto stentless bioprosthesis: up to 20 years follow-up in younger patients. Heart Surg Forum. 2015;18:129–33.CrossRef
18.
Zurück zum Zitat Bach DS, Kon ND. Long-term clinical outcomes 15 years after aortic valve replacement with the Freestyle stentless aortic bioprosthesis. Ann Thorac Surg. 2014;97:544–51.CrossRefPubMed
19.
Zurück zum Zitat Repossini A, Fischlein T, Santarpino G, Schafer C, Claus B, Passaretti B, Di Bacco L, Giroletti L, Bisleri G, Muneretto C, Grubitzsch H. Pericardial stentless valve for aortic valve replacement: long-term results. Ann Thorac Surg. 2016;102:1956–65.CrossRefPubMed
20.
Zurück zum Zitat David TE, Armstrong S, Maganti M. Hancock II bioprosthesis for aortic valve replacement: the gold standard of bioprosthetic valves durability? Ann Thorac Surg. 2010;90:775–81.CrossRefPubMed
21.
Zurück zum Zitat Didier R, Eltchaninoff H, Donzeau-Gouge P, Chevreul K, Fajadet J, Leprince P, Leguerrier A, Lievre M, Prat A, Teiger E, Lefevre T, Tchetche D, Carrie D, Himbert D, Albat B, Cribier A, Sudre A, Blanchard D, Rioufol G, Collet F, Houel R, Dos Santos P, Meneveau N, Ghostine S, Manigold T, Guyon P, Cuisset T, Le Breton H, Delepine S, Favereau X, Souteyrand G, Ohlmann P, Doisy V, Lognone T, Gommeaux A, Claudel JP, Bourlon F, Bertrand B, Iung B, Gilard M. Five-year clinical outcome and valve durability after transcatheter aortic valve replacement in high-risk patients. Circulation. 2018;138:2597–607.CrossRefPubMed
22.
Zurück zum Zitat Blackman DJ, Saraf S, MacCarthy PA, Myat A, Anderson SG, Malkin CJ, Cunnington MS, Somers K, Brennan P, Manoharan G, Parker J, Aldalati O, Brecker SJ, Dowling C, Hoole SP, Dorman S, Mullen M, Kennon S, Jerrum M, Chandrala P, Roberts DH, Tay J, Doshi SN, Ludman PF, Fairbairn TA, Crowe J, Levy RD, Banning AP, Ruparelia N, Spence MS, Hildick-Smith D. Long-term durability of transcatheter aortic valve prostheses. J Am Coll Cardiol. 2019;73:537–45.CrossRefPubMed
23.
Zurück zum Zitat Sathananthan J, Lauck S, Polderman J, Yu M, Stephenson A, Sathananthan G, Moss R, Cheung A, Ye J, Blanke P, Leipsic J, Wood DA, Webb JG. Ten year follow-up of high-risk patients treated during the early experience with transcatheter aortic valve replacement. Catheter Cardiovasc Interv. 2021;97:E431–7.CrossRefPubMed
24.
Zurück zum Zitat Thyregod HGH, Jorgensen TH, Ihlemann N, Steinbruchel DA, Nissen H, Kjeldsen BJ, Petursson P, De Backer O, Olsen PS, Sondergaard L. Transcatheter or surgical aortic valve implantation: 10-year outcomes of the NOTION trial. Eur Heart J. 2024.

Kompaktes Leitlinien-Wissen Innere Medizin (Link öffnet in neuem Fenster)

Mit medbee Pocketcards schnell und sicher entscheiden.
Leitlinien-Wissen kostenlos und immer griffbereit auf ihrem Desktop, Handy oder Tablet.

Neu im Fachgebiet Innere Medizin

Was wächst diesmal Unterkiefer?

Eine 31-jährige, ansonsten gesunde Frau stellte sich in der Kopf- und Halschirurgie mit einer progredient zunehmenden Raumforderung im linken Unterkieferbereich vor. In der Vorgeschichte war ein pleomorphes Adenom reseziert worden. Worum könnte es sich dieses Mal handeln?

Erhöhte Sterblichkeit bei Brustkrebs durch genetisches BMI-Risiko

Bei postmenopausalen Brustkrebspatientinnen ist ein hoher genetischer Risikoscore für Adipositas mit einer erhöhten Gesamtmortalität assoziiert. Die gute Nachricht: Regelmäßige Spaziergänge können dieses Risiko abmildern.

Vorteile für risikobasiertes Mammakarzinom-Screening?

Mehr verhinderte Brustkrebstodesfälle, weniger falsch positive Wiedereinbestellungen – geht es nach einer US-Simulationsstudie, bieten bestimmte Strategien zur Früherkennung, die das absolute 5-Jahres-Mammakarzinomsrisiko berücksichtigen, Vorteile gegenüber rein altersbasierten Mammografieprogrammen.

Bei Notfallpatienten mit Angioödem routinemäßig endoskopieren?

Bei Notfallpatienten mit RAASi(Renin-Angiotensin-Aldosteron-Inhibitor)-bedingtem Angioödem sagten in einer retrospektiven Studie drei Faktoren einen schweren Verlauf vorher. Der wichtigste: ein Larynxödem.

Update Innere Medizin

Bestellen Sie unseren Fach-Newsletter und bleiben Sie gut informiert.

Bildnachweise
Die Leitlinien für Ärztinnen und Ärzte, Tonsillektomie Operation/© ShvedKristina - stock.adobe.com (Symbolbild mit Fotomodellen), Ältere Frau beim Nordic Walking/© ratmaner / stock.adobe.com (Symbolbild mit Fotomodell), Ärztin betrachtet Mammografie-Befund/© Gorodenkoff / stock.adobe.com (Symbolbild mit Fotomodellen)