Zum Inhalt

Testing the Clinical Dementia Rating Sum of Boxes as an Outcome for Dementia with Lewy Bodies Clinical Trials

  • Open Access
  • 19.09.2025
  • ORIGINAL RESEARCH
download
DOWNLOAD
print
DRUCKEN
insite
SUCHEN

Abstract

Introduction

Dementia with Lewy bodies (DLB), a common cause of dementia, has no FDA-approved therapies, and clinical trials to date have had limited ability to demonstrate efficacy. The lack of validated DLB-specific clinical trial outcomes may hinder these efforts. Here, we test whether the Clinical Dementia Rating (CDR) and other commonly used clinical evaluation tools for Alzheimer’s disease (AD) and Parkinson’s disease (PD) could potentially be used as outcome measures in future DLB clinical trials.

Methods

A retrospective, cross-sectional chart review of 600 patients (359 AD, 241 DLB) who completed a comprehensive clinical, cognitive, functional, and behavioral evaluation over a 10-year period was carried out. Performance of the CDR, its sum of boxes (CDR-SB), and other AD and PD evaluation measures were assessed for stage-wide performance from mild cognitive impairment (CDR 0.5) to moderate-severe dementia (CDR 2).

Results

The CDR and CDR-SB characterize important differences between AD and DLB across different cross-sectional stages of disease severity, with the greatest differences seen at the CDR 0.5 stage. DLB showed greater deficits in commonly used AD functional and behavioral measures at the CDR 0.5 stage, while more DLB-specific measures showed significant differences from AD across the entire disease spectrum. The patient version of the Quick Dementia Rating System showed greater stage-wide impairment in DLB than AD, supporting its use as a patient-reported outcome. The Montreal Cognitive Assessment showed greater stage-wide impairment in AD than in DLB patients, suggesting lack of sensitivity as an outcome measure for DLB clinical trials.

Conclusion

Improved study design and selection of appropriate outcome measures in DLB clinical trials can facilitate demonstration of efficacy. While the CDR-SB could work on a DLB clinical trial, the field would be most advanced by the development of a DLB-specific global rating instrument.
Prior Presentation: This work was presented in part during an oral presentation at the Lewy Body Dementia Association Research Center of Excellence Annual Investigators Meeting on December 11, 2024, in Scottsdale, AZ.
Key Summary Points
Why carry out this study?
Dementia with Lewy Bodies (DLB) is the second most common form of neurodegenerative dementia but has no approved treatments in the US. There are fewer clinical trials for DLB than for Alzheimer’s disease (AD) or Parkinson’s disease (PD), and those that have been completed have largely failed to meet their primary outcome
To date, no specific DLB outcome measures have been validated. Regulatory authorities emphasize the need for measures that accurately capture the functional, cognitive, and global outcomes for AD, and the motor and behavioral outcomes for PD, but guidance is lacking for DLB
We conducted a cross-sectional analysis evaluating the performance of the Clinical Dementia Rating (CDR), its sum of boxes (CDR-SB), and other common outcome measures used in AD and PD research between 241 DLB and 359 AD cases evaluated over a 10-year period
What was learned from the study?
The CDR and CDR-SB characterize important differences between AD and DLB across different cross-sectional stages of progression supporting the use of the CDR-SB as a potential clinical trial outcome for future DLB clinical trials
DLB showed greater deficits in commonly used AD functional and behavioral measures at the CDR 0.5 stage, while more DLB-specific measures showed significant differences from AD across the entire disease spectrum
The patient version of the Quick Dementia Rating System (QDRS) showed greater stage-wide impairment in DLB, while the Montreal Cognitive Assessment (MoCA), a commonly used screening tool that has been used as a primary outcome in DLB clinical trials, showed greater stage-wide impairment in AD. This suggests that the patient QDRS could be used as a patient-reported outcome but that the MoCA may not be a sensitive outcome measure for DLB trials

Introduction

Approximately 1.6 million people in the US are living with Lewy body dementia, which includes both dementia with Lewy bodies (DLB) and Parkinson’s disease (PD) with dementia (PDD) [13]. Lewy body dementia is the second most common cause of neurodegenerative dementia after Alzheimer’s disease (AD). DLB is a clinically challenging disease to diagnose [13], particularly early-stage DLB, which includes mild cognitive impairment due to Lewy bodies (MCI-LB) [4] and mild DLB dementia [5], with patients seeing more than three physicians and experiencing an 18-month delay to diagnosis, with misdiagnoses commonly occurring in > 60% of cases [6]. Patients with DLB experience cognitive decline with features that can sometimes mimic AD [7], motor changes seen in PD [8], neuropsychiatric features that can be mistaken for psychiatric disorders (e.g., schizophrenia, bipolar disorder) [9], numerous constitutional and autonomic features (orthostasis, anosmia, constipation) that are often missed as early warning signs [2, 10], and two symptoms (rapid eye movement sleep behavior disorder (RBD) [11] and cognitive fluctuations [12]) that can be very difficult to detect in the clinic because of the lack of clear clinical rating scales.
Both AD and PD have benefited from longitudinal studies that have advanced research and provided valuable information for designing clinical trials. Examples include the National Institute on Aging Alzheimer’s Disease Research Center (ADRC) program [13, 14] and Alzheimer’s Disease Neuroimaging Initiative (ADNI), where research centers across the US have a standardized approach to the diagnosis and characterization of patients with AD. There are few ADRCs with DLB as a focus, and DLB is not a primary research goal of ADNI. The Parkinson’s Disease Biomarker Program (PDBP) and the Parkinson’s Progression Marker Initiative (PPMI) have fostered similar efforts to study PD. There are several DLB-based projects in PDBP [15], which have mostly replicated biomarker findings in AD and PD, but recent publications have also highlighted the value of synuclein seeding assays as a qualitative marker of disease [16]. Collectively, these efforts have helped facilitate AD and PD clinical trials by either developing outcome measures or incorporating and validating outcome measures and biomarkers that can be used in trials. The lack of research in DLB characterization and quantitative biomarker development has hindered the development of robust clinical trials to test novel therapeutics [1721].
Despite the greater patient impact of DLB due to the faster rates of cognitive decline and disability, lower quality of life, higher caregiver burden, and greater mortality [3, 22], there are no FDA-approved treatments [3, 21]. Current off-label use of medications is solely focused on symptomatic treatment. At the present time, DLB biomarkers are limited, and it is unclear which are the best DLB clinical trial outcomes to demonstrate efficacy [23]. While clinical trials in DLB are now proceeding, there are far fewer randomized clinical trials (RCT) in DLB [19] compared with AD or PD, with fewer defined targets. At present, most DLB trials have failed to meet their primary efficacy outcomes [24].
To date, no specific DLB outcome measures have been validated [25, 26]. Regulatory authorities emphasize the need for measures that accurately capture the functional, cognitive, and global outcomes for AD, and the motor and behavioral outcomes for PD, but guidance is lacking for DLB [21]. The selection of appropriate outcome measures not only affects accuracy and efficacy but also has significant implications for sample size estimations and power calculations [27, 28]. When considering why DLB trials might have failed and preparing this manuscript, we raised the following questions: (1) Did the trial fail because the compound did not work? (2) Did the trial fail because the wrong outcome measures were used?
Many commonly used dementia efficacy outcomes were developed for AD clinical trials, such as the Alzheimer’s Disease Assessment Scale-Cognitive Subscale (ADAS-Cog) [29], Alzheimer’s Disease Cooperative Study Instrumental Activity of Daily Living Scale (ADCS-iADL) [30], and the Alzheimer’s Disease Cooperative Study Clinician Global Impression of Change (ADCS-CGIC) [31]. Similarly, the Movement Disorder Society-Unified Parkinson’s Disease Rating Scale, Part III Motor Examination (MDS-UPDRS-III) [32] was developed for PD. In addition, the Clinical Dementia Rating (CDR) and its sum of boxes (CDR-SB) [33] are commonly used not only for staging cases at baseline in clinical practice and longitudinal studies, but they have also been frequently used as a primary outcome in a variety of dementia RCTs. However, it is uncertain how well these measures perform in DLB as clinical trial efficacy measures or what the expected annual rate of change is. There is also growing interest in composite scores [34] in AD disease-modifying trials, such as the integrated Alzheimer’s Disease Rating Scale (iADRS) [35]; however, there is no information available as to whether such a scale would be sensitive enough to detect disease-specific change and work as a primary efficacy outcome measure in a DLB clinical trial. Although there is work to develop global scales to improve diagnosis [10, 36, 37], no composite yet published captures all the other core or supportive features of DLB such as RBD, motor, autonomic, behavioral, or fluctuations for use as a RCT outcome.
To address these great unmet needs, we conducted a cross-sectional analysis evaluating the performance of the CDR, CDR-SB, MDS-UPDRS-III, and other common outcome measures used in AD and PD research between 241 DLB and 359 AD cases seen in our specialty clinics over a 10-year period.

Methods

Study Design and Participants

This study includes 600 consecutive individuals (359 AD, 241 DLB) who were evaluated by the first author in clinic for a comprehensive clinical, cognitive, functional, and behavioral evaluation over a 10-year period (2015–2025). Participants underwent identical evaluations modeled on the Uniform Data Set (UDS v3.0) [13, 14] from the NIA Alzheimer’s Disease Center program. Their medical records were reviewed as part of a retrospective analysis. Inclusion criteria included community-residing men and women presenting to clinic for evaluation who (1) had completed the full evaluation and received a diagnosis of AD, DLB, or mild cognitive impairment due to AD or DLB; (2) identified a patient advocate to serve as the informant for the CDR interview; and (3) could speak, read, write, and understand English or Spanish (with the use of a certified interpreter). Exclusion criteria were (1) a diagnosis other than AD or DLB, (2) a spoken language other than English or Spanish, and (3) incomplete or missing data on the CDR or other outcome measures. This retrospective chart review study was approved by the University of Miami’s Institutional Review Board (reference no. 20200897) with a waiver of consent. This study was performed in accordance with the Helsinki Declaration of 1964.

Clinical Assessment

Sociodemographic data, primary language, medical history, medications, alcohol/tobacco/substance use history, and family history were collected. A complete physical and neurological examination was completed including the MDS-UPDRS-III [32]. The Timed Up and Go Test (TUG) [38] and mini-Physical Performance Test (mPPT) [39] assessed physical functioning and fall risk. Lying, sitting, and standing blood pressures and pulse were measured to test for orthostasis. The Autonomic Features Inventory from the UDS 3.0 Lewy body dementia module [10] was used to assess 22 individual autonomic features providing a total score. The Epworth Sleepiness Scale (ESS) [40] was used to evaluate daytime sleepiness, and the Mayo Sleep Questionnaire [41] screened for RBD. The Mayo Fluctuations Questionnaire (MFQ) was used to assess cognitive fluctuations [12]. The Neuropsychiatric Inventory Questionnaire (NPI-Q) [42] was used to assess behavior. The Functional Activities Questionnaire (FAQ) [43] was used to assess activities of daily living. The Lewy Body Composite Risk Score (LBCRS) [36] was used to estimate the risk of DLB as the etiology of the dementia syndrome. Study partners completed a semi-structured interview with a clinician to derive the CDR and CDR-SB [33]. The study partners completed the Quick Dementia Rating System (QDRS-informant version) [44], and the participants completed the QDRS-patient version [45] as a global assessment of cognition and function.

Neuropsychological Assessment

The Montreal Cognitive Assessment (MoCA) [46] was administered for a global cognitive screen. The neuropsychological test battery included the UDS v3.0 [14] supplemented with the Hopkins Verbal Learning Task (episodic memory for word lists—immediate, delayed, and recognition) [47] and the Number-Symbol Coding Test (executive function) [48]. The Noise-Pareidolia test was administered as a test of visual perception and misidentification [49]. The Hospital Anxiety and Depression Scale (HADS) was used to rate the presence of mood disturbance [50].

Determination of Cognitive Status

At the completion of the clinical assessment, patient and informant rating scales were combined with cognitive performance to assign individuals to diagnostic categories by the first author based on published criteria for MCI due to AD [51], MCI-LB [4], AD [7], or DLB [5]. MCI-AD and AD cases were combined to represent cognitive impairment due to AD, while MCI-LB and DLB cases were combined to represent cognitive impairment due to DLB. As clinical cases were evaluated as far back as 2015 before the clinical availability of blood-based biomarkers, no biomarkers were used in these analyses.

Statistical Analyses

Statistical analyses were conducted using IBM SPSS v29 (Armonk, NY) and Python 3.10. Data management and analysis were performed using pandas [52] for data manipulation, scipy.stats [53] for statistical testing, and matplotlib [54] for data visualization. Descriptive statistics were used to summarize overall sample characteristics. Parametric tests were used to compare clinical, cognitive, functional, and behavioral outcomes by clinical diagnosis. Non-parametric tests were used for cross-sectional analyses of CDR due to the ordinal nature of the CDR and non-normal distribution of the data observed visually through distribution plots and Shapiro-Wilk tests. Mann-Whitney U tests were used to compare continuous variables between AD and DLB groups, while chi-square tests were used for categorical values. Spearman correlation coefficients were used to examine strength of association. These analyses were conducted both overall and stratified by CDR stage to identify potential demographic confounders in disease progression patterns.
The CDR-SB and the individual CDR box scores (memory, orientation, judgment, community affairs, home/hobbies, personal care) were compared between AD and DLB groups using Mann-Whitney U tests at each CDR stage. For each box score, percentage distributions were calculated to quantify the proportion of participants scoring at each severity level. Stage-specific analyses examined presentation differences in MCI/very mild dementia (CDR 0.5), mild dementia (CDR 1), and moderate dementia (CDR 2). CDR 3 was excluded from group comparisons because of insufficient sample size, and CDR 0 was excluded because of the absence of DLB cases. Cases missing data were excluded pairwise from analyses to maximize available data for each comparison. The pattern of cross-sectional progression was assessed through means and standard deviations of scores at each CDR stage. Error bars were computed to estimate the variability in the scores. Between-group comparisons at each CDR stage used Mann-Whitney U tests for individual CDR box score trajectories, CDR-SB progression, clinical measure progression patterns, neuropsychological test performance, and motor/physical performance trajectories. Spearman correlations were calculated between CDR-SB and clinical, cognitive, functional, behavioral, and motor features. Correlation strengths were compared between AD and DLB groups to identify disease-specific patterns. To demonstrate the LBCRS's ability to discriminate DLB from AD, we performed a receiver-operator characteristic (ROC) analysis to examine the area under the curve (AUC) with 95% confidence intervals. Youden’s index was used to determine the cut-point that provided the best combination of sensitivity and specificity.

Results

Sample Characteristics

The sample included 600 consecutive individuals (359 AD, 241 DLB) who were evaluated by a single experienced cognitive-behavioral neurologist. The sample subjects had a mean age of 77.1 ± 8.2 years with 15.6 ± 3.1 years of education and were 55.3% men. The ethnoracial make-up of the sample was 91.4% non-Hispanic white, 2.7% Black or African American, 5.0% Hispanic, and 1.0% Other ethnoracial groups. The distribution of cases by global CDR included: CDR 0: AD = 5, DLB = 0; CDR 0.5: AD = 224, DLB = 80; CDR 1: AD = 82, DLB = 71; CDR 2: AD = 43, DLB 61; and CDR 3: AD = 5, and DLB = 29. The mean MoCA score was 16.8 ± 6.7, the mean CDR-SB was 5.3 ± 4.4, the mean UPDRS score was 12.5 ± 15.7, and the mean LBCRS score was 3.2 ± 2.5.

Diagnostic Differences in CDR Domains and Clinical Trial Outcomes

Differences in demographic characteristics and outcome measures by diagnostic group are shown in Table 1. There were no educational or ethnoracial differences between AD and DLB patients, but, as expected, the AD group contained more women and the DLB group contained more men (χ2 = 31.2, p < 0.001). Although no overall age differences were found between DLB and AD patients, age differences emerged at later CDR stages with AD patients being older at CDR 1 (79.1 vs 76.3, p = 0.006) and CDR 2 (81.8 vs 78.5, p = 0.04). Overall, the DLB group was more impaired than the AD group for most outcome measures.
Table 1
Sample characteristics
 
AD (n = 359)
DLB (n = 241)
p-value
Age, years
77.2 (8.7)
76.3 (7.5)
0.185
Education, years
15.6 (3.2)
15.8 (3.0)
0.603
Sex, % male
47.4
67.1
< 0.001
Race, % NHW
91.3
91.6
0.862
MoCA
17.9 (6.3)
16.5 (5.9)
0.008
FAQ
7.7 (8.1)
12.5 (9.1)
< 0.001
NPI
6.3 (5.3)
9.3 (5.9)
< 0.001
MFQ
1.2 (1.1)
2.4 (1.2)
< 0.001
Autonomic checklist
3.5 (2.6)
6.4 (3.9)
< 0.001
MDS-UPDRS-Part III
4.9 (8.0)
20.9 (14.6)
< 0.001
TUG
10.4 (5.3)
13.5 (3.1)
< 0.001
mPPT
10.5 (3.1)
9.0 (3.2)
< 0.001
QDRS-Patient
3.5 (3.6)
6.6 (5.0)
< 0.001
QDRS-Informant
5.3 (4.6)
8.4 (5.3)
< 0.001
LBCRS
1.7 (1.3)
5.2 (1.9)
< 0.001
CDR, global
0.8 (0.5)
1.1 (0.6)
< 0.001
CDR-SB
3.9 (3.3)
5.9 (3.7)
< 0.001
CDR-Memory
0.9 (0.6)
1.1 (0.6)
< 0.001
CDR-Orientation
0.6 (0.6)
0.8 (0.7)
< 0.001
CDR-J/PS
0.9 (0.7)
1.3 (0.7)
< 0.001
CDR-CA
0.6 (0.6)
1.0 (0.7)
< 0.001
CDR-H/H
0.6 (0.7)
1.0 (0.8)
< 0.001
CDR-PC
0.3 (0.7)
0.7 (0.8)
< 0.001
The bold values represent significant p-values
Student t-tests, mean (SD) or chi-square, %
AD Alzheimer’s disease, DLB dementia with Lewy bodies, NHW non-Hispanic White, MoCA Montreal Cognitive Assessment, FAQ Functional Activities Questionnaire, NPI Neuropsychiatric Inventory, MFQ Mayo Fluctuations Questionnaire, MDS-UPDRS Movement Disorder Society Unified Parkinson’s Disease Rating Scale, TUG Timed Up and Go, mPPT mini Physical Performance Task, QDRS Quick Dementia Rating System, LBCRS Lewy Body Composite Risk Score, CDR Clinical Dementia Rating, SB sum of boxes, J/PS judgment and problem solving, CA community affairs, H/H home and hobbies, PC personal care

Differences in CDR-SB and Individual Box Scores Between AD and DLB

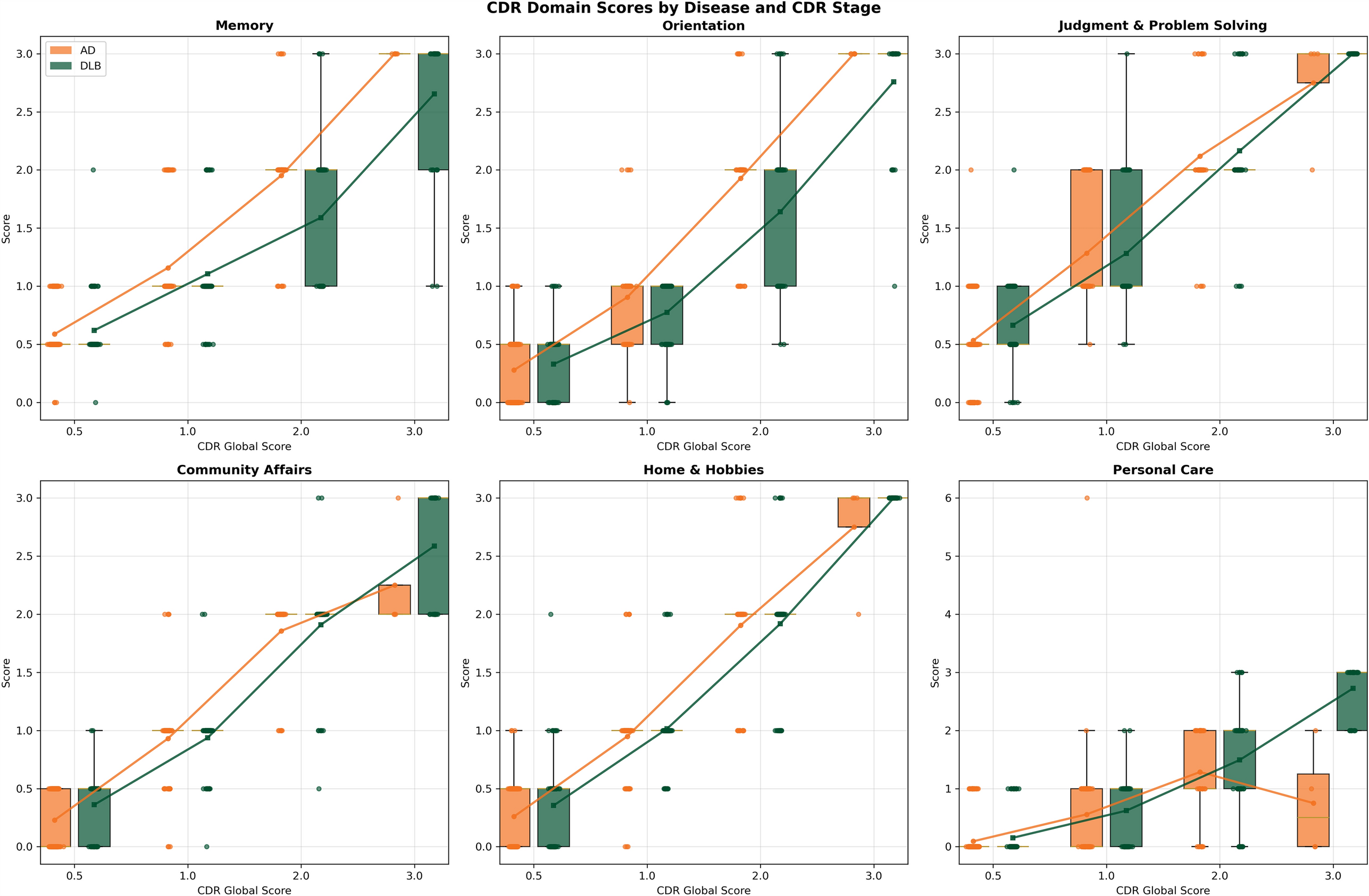
We conducted a stratified analysis comparing AD and DLB by CDR-SB scores and each of the individual CDR domains by global CDR stage (Table 2). While the scoring rules for the global CDR can be complicated and are often driven by the memory domain, the CDR-SB is generated by scoring each of the six domains independently given a continuous severity score. For the CDR-SB, DLB patients had worse impairment than AD patients at the CDR 0.5 stage (2.5 vs 1.9, p < 0.001), but total CDR-SB scores were similar between AD and DLB groups at the CDR 1 and CDR 2 stage (Fig. 1). There were cross-sectional stage-wide differences in scores in all outcome measures with greatest differences between DLB and AD at the CDR 0.5 stage. CDR domain scores (Fig. 2) were worse across CDR stages in both DLB and AD groups, with the earliest changes in DLB characterized by worse scores in judgment and problem solving, community affairs, and home and hobby domains.
Table 2
Stratified analysis of CDR-SB and individual domains by CDR stage and diagnosis
 
CDR 0.5
CDR 1
CDR 2
 
AD (n = 209)
DLB (n = 74)
p-value
AD (n = 78)
DLB (n = 70)
p-value
AD (n = 41)
DLB (n = 56)
p-value
CDR-SB
1.9 (1.1)
2.5 (1.2)
< 0.001
5.7 (1.4)
5.7 (1.4)
0.917
11.1 (1.9)
10.7 (2.1)
0.433
CDR-Memory
0.6 (0.2)
0.6 (0.3)
0.278
1.1 (0.5)
1.1 (0.5)
0.492
1.9 (0.5)
1.6 (0.6)
0.003
CDR-Orientation
0.3 (0.3)
0.3 (0.3)
0.180
0.9 (0.3)
0.8 (0.3)
0.015
1.9 (0.6)
1.6 (0.7)
0.028
CDR-J/PS
0.5 (0.3)
0.7 (0.3)
0.003
1.3 (0.5)
1.3 (0.5)
0.969
2.1 (0.5)
2.2 (0.5)
0.676
CDR-CA
0.2 (0.2)
0.4 (0.2)
< 0.001
0.9 (0.3)
0.9 (0.3)
0.906
1.8 (0.3)
1.9 (0.4)
0.495
CDR-H/H
0.2 (0.3)
0.3 (0.4)
0.016
0.9 (0.4)
1.0 (0.3)
0.275
1.9 (0.6)
1.9 (0.5)
0.910
CDR-PC
0.1 (0.3)
0.1 (0.4)
0.141
0.5 (0.8)
0.6 (0.5)
0.584
1.3 (0.8)
1.5 (0.8)
0.213
Mann-Whitney U tests, means (SD)
Corrected p-value = 0.0071 represented in bold
CDR clinical dementia rating, AD Alzheimer’s disease, DLB dementia with Lewy bodies, SB sum of boxes, J/PS judgment and problem solving, CA community affairs, H/H home and hobbies, PC personal care
Fig. 1
Cross-sectional evaluation of the CDR-SB progression in DLB vs AD. The clinical dementia rating sum of boxes (CDR-SB) was compared between AD (green) and DLB (orange) groups across each of the CDR stages: MCI/very mild dementia (CDR 0.5), mild dementia (CDR 1), moderate dementia (CDR 2), and severe dementia (CDR 3). Box and whisker plots demonstrate individual patient scores for AD and DLB at each global CDR stage, while line plots are provided to demonstrate the differences in group means at each global CDR stage. Patients with DLB had worse impairment than AD at the CDR 0.5 stage (2.5 vs 1.9, p < 0.001). Total CDR-SB scores were similar between AD and DLB at the CDR 1 and CDR 2 stages, with greater differences again seen in DLB at the CDR 3 stage
Bild vergrößern
Fig. 2
Differential pattern of progression in individual CDR domains in DLB vs AD. The clinical dementia rating (CDR) individual box scores (memory, orientation, judgment and problem solving, community affairs, home and hobbies, personal care) were compared between AD (green) and DLB (orange) groups across each of the CDR stages. Box and whisker plots demonstrate individual patient scores for AD and DLB at each global CDR stage, while line plots are provided to demonstrate the differences in group means at each global CDR stage. There was stage-wide worsening in scores across all six CDR domains. The earliest changes in DLB were characterized by worse scores in judgment and problem solving, community affairs, and home and hobby domains at the CDR 0.5 stage. At the CDR 1 stage, orientation was worse in AD compared with DLB. At the CDR 2 stage, memory and orientation were significantly worse in AD than DLB. By the CDR 3 stage, DLB was worse than AD in judgment and problem solving, community affairs, home and hobbies, and personal care
Bild vergrößern
At the CDR 0.5 stage, there were no differences in the Memory, Orientation, or Personal Care boxes. For judgment and problem solving, there was greater impairment in DLB patients (0.66 vs 0.53, p = 0.003) with DLB: 93.7% scoring ≥ 0.5 and 36.7% scoring ≥ 1.0, compared with AD patients: 81.9% scoring ≥ 0.5 and 23.6% scoring ≥ 1.0. For community affairs, there was worse performance in DLB (0.36 vs 0.23, p < 0.001) with DLB: 69.6% scoring ≥ 0.5 and 2.5% scoring ≥ 1.0, compared with AD patients: 45.8% scoring ≥ 0.5 and 0% scoring ≥ 1.0. For home and hobbies, there was a trend toward worse performance in DLB patients (0.35 vs 0.26, p = 0.088) with DLB: 57.0% scoring ≥ 0.5 and 11.4% scoring ≥ 1.0 compared with AD patients: 50.5% scoring ≥ 0.5 and 1.4% scoring ≥ 1.0.
At the CDR 1 stage, Orientation was worse in AD compared with DLB patients (0.91 vs 0.77, p = 0.015) with AD: 98.7% scoring ≥ 0.5 and 72.2% scoring ≥ 1.0, compared with DLB: 95.8% scoring ≥ 0.5 and 59.2% scoring ≥ 1.0. The other CDR boxes showed similar levels of impairment.
At the CDR 2 stage, memory was significantly worse in AD (1.95 vs 1.59, p = 0.003) than DLB patients: for AD 71.4% scoring 2.0 and 11.9% scoring 3.0, while in DLB 47.5% scoring 1.0 and 45.9% scoring 2.0. Orientation was also worse in AD patients (1.93 vs 1.64, p = 0.028). The other CDR boxes showed similar levels of impairment.

Differences in Clinical Measures Between DLB and AD

We next conducted a stratified analysis comparing AD and DLB across clinical measures by global CDR (Table 3). Functional measures (FAQ, QDRS-informant, QDRS-patient) showed steady worsening across CDR stages in both groups with the greatest differences at the CDR 0.5 stage. The QDRS-patient scores showed greater stage-wide differences in DLB compared with AD and greater differences between DLB and AD than the QDRS-informant scores. Motor performance (MDS-UPDRS-III, mPPT, TUG) was worse in DLB across CDR stages. Autonomic symptoms, fluctuations, daytime sleepiness, and behavioral scores were worse in DLB patients across all stages. Depression was slightly more prominent in DLB, but there were no differences in Anxiety between AD and DLB patients. The LBCRS scores were significantly different between DLB and AD at all CDR stages. The AUC for the LBCRS to discriminate DLB from AD was 0.931 (95% CI 0.908–0.954) with a cut point of 3 providing a sensitivity of 0.940 and a specificity of 0.909. This finding confirms the psychometric properties of the LBCRS compared to its original study [36] and supports the use of the LBCRS as a powerful screening tool for DLB.
Table 3
Stratified analysis of clinical outcome measures by CDR stage and diagnosis
 
CDR 0.5
CDR 1
CDR 2
AD (n = 209)
DLB (n = 74)
p-value
AD (n = 78)
DLB (n = 70)
p-value
AD (n = 41)
DLB (n = 56)
p-value
FAQ
3.4 (4.1)
5.2 (6.4)
0.008
11.9 (6.0)
13.9 (7.3)
0.090
21.8 (6.5)
20.1 (7.1)
0.231
NPI
4.9 (4.5)
7.1 (5.6)
0.001
8.2 (5.7)
9.7 (5.7)
0.118
9.8 (6.1)
11.7 (5.8)
0.117
MFQ
1.0 (1.0)
1.9 (1.2)
< 0.001
1.5 (1.0)
2.6 (1.2)
< 0.001
1.7 (1.1)
2.8 (1.7)
< 0.001
Autonomic Checklist
3.2 (2.4)
4.9 (3.3)
< 0.001
3.9 (2.8)
6.7 (3.9)
< 0.001
4.0 (2.8)
7.8 (4.2)
< 0.001
MDS-UPDRS-Part III
3.4 (5.5)
14.9 (11.1)
< 0.001
6.4 (7.1)
20.3 (12.8)
< 0.001
9.2 (15.4)
29.0 (16.3)
< 0.001
TUG
8.9 (3.5)
11.7 (6.8)
0.003
11.0 (4.2)
12.4 (5.3)
0.207
16.6 (9.6)
17.5 (9.4)
0.487
mPPT
11.1 (2.8)
10.2 (2.9)
0.020
9.6 (2.9)
8.9 (3.0)
0.195
8.2 (4.2)
7.3 (3.2)
0.311
QDRS-Patient
2.4 (2.4)
3.3 (2.9)
0.070
4.7 (4.6)
7.1 (4.1)
0.015
6.3 (4.2)
10.3 (5.4)
0.003
QDRS-Informant
3.3 (2.9)
4.4 (3.2)
0.009
7.7 (4.0)
8.7 (4.1)
0.136
11.6 (4.7)
13.1 (5.0)
0.170
LBCRS
1.4 (1.2)
4.1 (1.6)
< 0.001
2.2 (1.3)
5.7 (1.8)
< 0.001
2.5 (1.5)
6.1 (1.9)
< 0.001
HADS-Depression
5.3 (3.3)
6.7 (4.2)
0.004
5.7 (3.6)
7.1 (3.7)
0.025
6.5 (3.3)
8.8 (4.0)
0.028
HADS-Anxiety
5.6 (3.5)
6.4 (3.2)
0.086
5.3 (3.90
6.3 (3.5)
0.095
5.5 (3.5)
7.5 (4.4)
0.220
Epworth Sleepiness Scale
6.2 (4.1)
9.2 (5.6)
< 0.001
6.4 (5.0)
8.9 (4.8)
0.002
7.2 (5.70
10.3 (5.5)
0.009
Means (SD)
Corrected p-value = 0.0038 represented in bold
AD Alzheimer’s disease, DLB dementia with Lewy bodies, FAQ Functional Activities Questionnaire, NPI Neuropsychiatric Inventory, MFQ Mayo Fluctuations Questionnaire, MDS-UPDRS Movement Disorder Society Unified Parkinson’s Disease Rating Scale, TUG Timed Up and Go, mPPT mini Physical Performance Task, QDRS Quick Dementia Rating System, LBCRS Lewy Body Composite Risk Score, HADS Hospital Anxiety and Depression Scale

Differences in Cognitive Measures Between DLB and AD

We then performed a stratified analysis comparing AD and DLB across UDS cognitive measures by global CDR (Table 4). Global performance as measured by the MoCA was similar at the CDR 0.5 stage between AD and DLB, but AD had a greater decline from CDR 1 stage onward. Working memory tasks (numbers Forward and Backward) decline across CDR stages but were not different between AD and DLB. Executive tasks (Trailmaking A, Trailmaking B, NSCT) impairments were greater in DLB across stages with the greatest difference at the CDR 0.5 stage. Episodic memory performance (HVLT) for immediate and delayed recall and recognition was not different between AD and DLB at the CDR 0.5 stage but showed greater impairment in AD at the CDR 1 and 2 stage. Language performance (Animal Naming, MINT) showed greater declines in AD compared with DLB with clinical progression. Finally, DLB tended to make more errors on the Noise Pareidolia test compared to AD.
Table 4
Stratified analysis of cognitive outcome measures by CDR stage and diagnosis
 
CDR 0.5
CDR 1
CDR 2
AD (n = 209)
DLB (n = 74)
p-value
AD (n = 78)
DLB (n = 70)
p-value
AD (n = 41)
DLB (n = 56)
p-value
MoCA
21.1 (3.9)
20.6 (4.1)
0.342
14.2 (5.0)
16.9 (4.5)
< 0.001
8.5 (5.1)
10.9 (4.9)
0.015
Numbers forward
6.7 (1.2)
6.6 (1.5)
0.590
6.1 (1.2)
6.5 (1.4)
0.098
5.4 (1.8)
6.3 (1.4)
0.030
Numbers backward
4.6 (1.3)
4.4 (1.2)
0.363
3.7 (1.5)
3.9 (1.2)
0.247
3.1 (1.4)
3.6 (1.2)
0.221
Trailmaking A (sec)
43.8 (22.6)
53.5 (30.8)
0.004
80.1 (44.6)
82.8 (41.7)
0.355
110.1 (50.8)
126.9 (51.8)
0.156
Trailmaking B (sec)
113.5 (46.2)
134.8 (44.8)
< 0.001
169.9 (27.2)
169.8 (23.1)
0.990
176.9 (7.0)
170.9 (31.5)
0.588
Animal Naming
15.3 (5.3)
14.3 (5.6)
0.172
8.5 (3.8)
10.3 (3.8)
0.004
5.4 (3.3)
7.6 (4.4)
0.008
MINT
19.1 (6.9)
20.8 (8.1)
0.083
14.8 (7.7)
16.9 (6.9)
0.074
9.3 (6.8)
14.7 (5.6)
< 0.001
Number symbol coding
35.0 (10.7)
29.5 (8.8)
0.001
21.6 (8.3)
17.7 (6.2)
0.026
12.5 (7.1)
15.1 (7.6)
0.336
HVLT-Immediate
15.2 (4.8)
14.9 (4.9)
0.667
10.2 (4.7)
11.5 (4.1)
0.081
7.0 (4.1)
7.9 (4.1)
0.326
HVLT-Delayed
3.2 (2.9)
3.3 (2.8)
0.843
0.6 (1.6)
2.2 (2.1)
< 0.001
0.2 (0.5)
0.7 (1.2)
0.013
HVLT-Recognition
8.9 (2.6)
9.2 (2.5)
0.544
5.6 (3.2)
7.3 (3.1)
0.002
3.1 (2.9)
6.0 (3.5)
< 0.001
Noise Pareidolia (errors)
0.8 (1.5)
1.6 (2.2)
0.013
2.1 (3.6)
3.4 (3.6)
0.098
3.2 (3.4)
4.3 (3.6)
0.004
Means (SD)
Corrected p-value = 0.0042 represented in bold
AD Alzheimer’s disease, DLB dementia with Lewy bodies, MoCA Montreal Cognitive Assessment, MINT Multilingual Naming Test, HVLT Hopkins Verbal Learning Task

Strength of Association Between Clinical and Cognitive Variables by Diagnosis, CDR, and CDR-SB Scores

Finally, we examined the Spearman correlations among the clinical, cognitive, motor, and behavioral measures and the CDR and CDR-SB by diagnosis (Table 5). There were strong CDR correlations for both AD and DLB with the FAQ, NPI-Q, MoCA, MFQ, QDRS-Informant, mPPT, NSCT, Numbers Backward, Animal Naming, MINT, HVLT-Immediate, Trailmaking A, Trailmaking B, and TUG. There were also disease-specific patterns. DLB had stronger CDR correlations for the MDS-UPDRS-III, QDRS-Patient, LBCRS, ESS, Autonomic Checklist, and Noise Pareidolia. AD had stronger CDR correlations for Numbers Forward, HVLT-Delayed, and HVLT-Recognition. Weak to no correlation was seen with the HADS-Depression or HADS-Anxiety measures.
Table 5
Strength of association of clinical and cognitive variables by CDR and CDR-SB
Variable
CDR
CDR-SB
AD
DLB
AD
DLB
FAQ
0.724***
0.727 ***
0.786***
0.758***
NPI-Q
0.360***
0.343***
0.431***
0.392***
MFQ
0.271***
0.311***
0.364***
0.384***
Autonomic checklist
0.136
0.219**
0.214**
0.276***
MDS-UPDRS-Part III
0.255***
0.398***
0.249***
0.413***
TUG
0.344***
0.405***
0.417***
0.407***
mPPT
-0.297***
-0.392***
-0.375***
-0.376***
QDRS-Patient
0.427***
0.583***
0.500***
0.621***
QDRS-Informant
0.647***
0.744***
0.727***
0.775***
LBCRS
0.324***
0.484***
0.408***
0.498***
HADS-D
0.411***
0.158*
0.135*
0.180*
HADS-A
0.241**
0.043
-0.051
0.078
Epworth Sleepiness Scale
0.021
0.086
0.014
0.143*
MoCA
− 0.338***
− 0.733***
0.789***
− 0.788***
Numbers forward
− 0.284***
− 0.129
− 0.352***
− 0.156
Numbers backward
− 0.407***
− 0.379***
0.434***
− 0.384***
Trailmaking A (sec)
0.568***
0.616***
0.660***
0.621***
Trailmaking B (sec)
0.497***
0.459***
0.667***
0.475***
Animal naming
− 0.668***
− 0.582***
− 0.726***
− 0.627***
MINT
− 0.475***
− 0.410***
− 0.430***
− 0.427***
Number symbol coding
− 0.636***
− 0.665***
− 0.736***
− 0.714***
HVLT-immediate
− 0.579***
− 0.569***
− 0.687***
− 0.660***
HVLT-delayed
− 0.526***
− 0.393***
− 0.701***
− 0.474***
HVLT-recognition
− 0.585***
− 0.380***
− 0.693***
− 0.507***
Noise Pareidolia (errors)
0.300***
0.420***
0.381***
0.457***
Spearman ρ; ***p < 0.001, **p < 0.01, *p < 0.05
CDR Clinical Dementia Rating, SB sum of boxes, AD Alzheimer’s disease, DLB Dementia with Lewy Bodies, FAQ Functional Activities Questionnaire, NPI Neuropsychiatric Inventory, MFQ Mayo Fluctuations Questionnaire, MDS-UPDRS Movement Disorder Society Unified Parkinson’s Disease Rating Scale, TUG Timed Up and Go, mPPT mini Physical Performance Task, QDRS Quick Dementia Rating System, LBCRS Lewy Body Composite Risk Score, HADS Hospital Anxiety and Depression Scale, MoCA Montreal Cognitive Assessment, MINT Multilingual Naming Test, HVLT Hopkins Verbal Learning Task

Discussion

This study provides evidence that the CDR and CDR-SB characterize important differences between AD and DLB across different cross-sectional stages of progression, supporting the use of the CDR-SB as a potential clinical trial outcome for future DLB clinical trials. The greatest difference in CDR domains in DLB compared to AD patients occurs at the CDR 0.5 stage in judgment and problem solving, community affairs, and home and hobbies boxes, suggesting these domains may be more sensitive to change in DLB clinical trials. In comparison, with greater disease severity, the largest differences in AD are in memory and orientation. In addition to the use of the CDR and CDR-SB in clinical practice and longitudinal research studies, the CDR-SB is often used as a primary outcomes in AD clinical trials. Thus, it was important to demonstrate how the CDR-SB performs across the different stages of dementia severity in DLB. Furthermore, understanding the performance of the CDR-SB in a DLB clinical trial could potentially assist in better interpreting results from AD clinical trials, as many cases of AD will have comorbid DLB pathology.
In other clinical measures studied, DLB showed greater deficits in commonly used AD functional (i.e., FAQ) and behavioral (e.g., NPI-Q, HADS-Depression) measures at the CDR 0.5 stage, while more DLB-specific measures (e.g., MFQ, Autonomic Checklist, MDS-UPDRS-III, LBCRS) showed significant differences from AD across the entire disease spectrum. These findings align well with a recent publication that used systematic reviews, a Delphi survey, and a consensus meeting to identify a common outcome set (COS) that could be used in DLB clinical trials [55]. The COS includes recommendations for eight outcomes: delusions, cognitive fluctuations, attention and arousal, daily function, global cognition, hallucinations, quality of life, parkinsonism, and RBD [55]. The measures from this study that best characterized DLB cover all the recommended COS domains except quality of life.
While both the patient and informant versions of the QDRS captured more complaints and progression in DLB compared with AD, greater differences for the QDRS-patient were seen in DLB with stronger correlations with the CDR and CDR-SB scores. This suggests that patients with DLB may have better preserved insight and are able to better rate their cognitive, functional, and behavioral deficits, potentially supporting the use of the QDRS-patient as a patient-reported outcome in future DLB clinical trials.
For cognitive measures studied here, the MoCA showed greater stage-wide progression in AD than in DLB, suggesting that the MoCA may not be a sensitive outcome measure for DLB clinical trials. Instead, neuropsychological tests that tap into executive function showed greater stage-wide progression in DLB and could be utilized as a clinical trial outcome. We found that memory and language tasks showed a greater cross-stage decline in AD and may not be particularly sensitive to change in DLB. This is important because, in combination with the CDR finding of greater memory and orientation deficits in AD compared with DLB patients, AD clinical trial outcomes such as the ADAS-Cog, which are heavily weighted toward memory, orientation, and language without notable executive tasks, may not be ideal as DLB clinical outcomes. We found that patients with DLB performed significantly better than AD in the HVLT-Recognition component, suggesting that cued recall components of memory tasks may be more sensitive to change in DLB compared with immediate or delayed memory components. Although not used in this study, newer computerized cognitive batteries may also be helpful, particularly those than can adapt to patients’ different baseline motor skills and reaction times and include visuoperceptual and executive attention tasks.

Study Strengths and Limitations

Our study is cross-sectional in nature. We were not able to examine intraindividual patient longitudinal change but rather were limited to study cross-stage decline as defined by the CDR. Future studies should focus on longitudinal analyses. We only had access to tests used in clinical practice that were part of the UDS v3.0—few AD clinical trial outcome measures (e.g., ADAS-Cog, ADCS-ADL) were available. However, several clinical trial outcomes were included, such as the NPI-Q and MDS-UPDRS-III, and other outcomes that capture analogous domains (e.g., FAQ for ADCS-ADL, UDS v3.0 cognitive battery for ADAS-Cog). While the AD and DLB cohorts shared similar sociodemographic characteristics, the sample was highly educated and predominantly non-Hispanic white, which may limit generalizability of findings. Future studies should target recruitment of more diverse and heterogenous samples. No biomarkers were available for analysis. At the time data collection started, no blood-based biomarkers were available for AD, amyloid PET scans were not yet FDA-approved, and no biomarkers of alpha-synuclein were clinically available. While cases were comprehensively evaluated using published clinical criteria, we were unable to confirm the underlying pathology. However, the clinical and cognitive evaluations with AD- and DLB-specific measures showed significant differences between AD and DLB. Strengths of the study include the large sample size of AD and DLB across the disease spectrum and the comprehensive clinical, cognitive, functional, and behavioral assessments completed by a single experienced cognitive neurologist that eliminated inter-rater reliability issues.

Conclusion

With a number of DLB clinical trials failing to meet their primary outcomes, it is critical to improve study design issues that include delayed or inaccurate diagnoses, significant clinical heterogeneity in presentation and progression of symptoms, use of concomitant medications, and selection of appropriate outcome measures [2628, 56]. Without the selection of appropriate outcome measures and a rigorous method to measure efficacy, RCTs can be unrevealing or misleading [23]. Inappropriate or insensitive outcome measures not only could limit the ability to demonstrate efficacy but also could have significant implications for conducting power calculations and developing the statistical analysis plan when designing the trial [27, 28]. The LBCRS performs well for the detection of DLB discriminating cases from AD and could be used for screening and eligibility, but its present/absent structure limits its use as a clinical trial outcome. The QDRS-patient version appears to work well as a patient-reported outcome measures. While the CDR and CDR-SB could work on a DLB clinical trial, the field would be most advanced by the development of a DLB-specific global rating instrument.

Acknowledgements

The authors thank the dedicated research participants and their study partners, faculty, staff, postdoctoral fellows, and trainees at the Comprehensive Center for Brain Health at the University of Miami Miller School of Medicine.

Declarations

Conflict of Interest

Dr. Galvin is the creator of the Quick Dementia Rating System, Lewy Body Dementia Composite Risk Score, and the Number Symbol Coding Test. Dr. Galvin received research grants from the National Institutes of Health and is the Principal Investigator of the Lewy Body Dementia Association Research Center of Excellence at the University of Miami. Mr. Salcedo declares that he has no competing interests. The authors take full responsibility for the data and have the right to publish all data.

Ethical Approval

Dr. Galvin has approval with a waiver of consent from the Institutional Review Board at the University of Miami (reference no. 20200897) for a retrospective chart review. This study was performed in accordance with the Helsinki Declaration of 1964.
Open Access This article is licensed under a Creative Commons Attribution-NonCommercial 4.0 International License, which permits any non-commercial use, sharing, adaptation, distribution and reproduction in any medium or format, as long as you give appropriate credit to the original author(s) and the source, provide a link to the Creative Commons licence, and indicate if changes were made. The images or other third party material in this article are included in the article's Creative Commons licence, unless indicated otherwise in a credit line to the material. If material is not included in the article's Creative Commons licence and your intended use is not permitted by statutory regulation or exceeds the permitted use, you will need to obtain permission directly from the copyright holder. To view a copy of this licence, visit http://​creativecommons.​org/​licenses/​by-nc/​4.​0/​.
download
DOWNLOAD
print
DRUCKEN
Titel
Testing the Clinical Dementia Rating Sum of Boxes as an Outcome for Dementia with Lewy Bodies Clinical Trials
Verfasst von
James E. Galvin
Andres Salcedo
Publikationsdatum
19.09.2025
Verlag
Springer Healthcare
Erschienen in
Neurology and Therapy
Print ISSN: 2193-8253
Elektronische ISSN: 2193-6536
DOI
https://doi.org/10.1007/s40120-025-00822-x
1.
Zurück zum Zitat Lewy Body Dementia Association. Lewy body dementia symptoms, diagnosis, and treatment. http://​www.​lbda.​org. Accessed 24 July 2025.
2.
Zurück zum Zitat Galvin JE. Lewy body dementia: clinical diagnosis and management. Pract Neurol. 2019;18:67–71.
3.
Zurück zum Zitat Galvin JE. Lewy body dementia. Continuum. 2024;30:1673–98.PubMedCrossRef
4.
Zurück zum Zitat McKeith IG, Ferman TJ, Thomas AJ, Blanc F, Boeve BF, Fujishiro H, et al. Research criteria for the diagnosis of prodromal dementia with Lewy bodies. Neurology. 2020;94:743–55.PubMedPubMedCentralCrossRef
5.
Zurück zum Zitat McKeith IG, Boeve BF, Dickson DW, Halliday G, Taylor JP, Weintraub D, et al. Diagnosis and management of dementia with Lewy bodies: fourth consensus report of the DLB Consortium. Neurology. 2017;89:88–100.PubMedPubMedCentralCrossRef
6.
Zurück zum Zitat Galvin JE, Duda JE, Kaufer DI, Lippa CF, Taylor A, Zarit SH. Lewy body dementia: the caregiver experience of clinical care. Parkinsonism Relat Disord. 2010;16:388–92.PubMedPubMedCentralCrossRef
7.
Zurück zum Zitat McKhann GM, Knopman DS, Chertkow H, Hyman BT, Jack CR Jr, Kawas CH, et al. The diagnosis of dementia due to Alzheimer’s disease: recommendations from the National Institute on Aging–Alzheimer’s association workgroups on diagnostic guidelines for Alzheimer’s disease. Alzheimers Dement. 2011;7:263–9.PubMedCrossRef
8.
Zurück zum Zitat Postuma RB, Berg D, Stern M, Adler CH, Bloem BR, Chan P, et al. MDS clinical diagnostic criteria for Parkinson’s disease. Mov Disord. 2015;30:1591–601.PubMedCrossRef
9.
Zurück zum Zitat Cummings JL, Mega M, Gray K, Rosenberg-Thompson S, Carusi DA, Gornbein J. The neuropsychiatric inventory: comprehensive assessment of psychopathology in dementia. Neurology. 1994;44(12):2308–14.PubMedCrossRef
10.
Zurück zum Zitat Galvin JE, Chrisphonte S, Cohen I, Greenfield KK, Kleiman MJ, Moore C, et al. Characterization of dementia with Lewy bodies (DLB) and mild cognitive impairment using the Lewy body dementia module (LBD-MOD). Alzheimers Dement. 2021;17:1675–86.PubMedCrossRef
11.
Zurück zum Zitat Boeve BF, Ferman TJ. REM sleep behavior disorder and alpha-synuclein. Lancet Neurol. 2024;23:1176–8.PubMedPubMedCentralCrossRef
12.
Zurück zum Zitat Ferman TJ, Smith GE, Boeve BF, Ivnik RJ, Petersen RC, Knopman D, et al. DLB fluctuations: specific features that reliably differentiate DLB from AD and normal aging. Neurology. 2004;62:181–7.PubMedCrossRef
13.
Zurück zum Zitat Beekly DL, Ramos EM, Lee WW, Deitrich WD, Jacka ME, Wu J. The national Alzheimer’s coordinating center (NACC) database: the uniform data set. Alzheimer Dis Assoc Disord. 2007;21:249–58.PubMedCrossRef
14.
Zurück zum Zitat Weintraub S, Besser L, Dodge HH, Teylan M, Ferris S, Goldstein FC, et al. Version 3 of the Alzheimer Disease Centers’ neuropsychological test battery in the Uniform Data Set (UDS). Alzheimer Dis Assoc Disord. 2018;32:10–7.PubMedPubMedCentralCrossRef
16.
Zurück zum Zitat Coughlin DG, MacLeod KR, Middleton JS, Bozoki AC, Galvin JE, Irwin DJ, et al. Association of CSF α-synuclein seeding amplification assay results with clinical features of possible and probable dementia with Lewy bodies. Neurology. 2024;103: e209656.PubMedPubMedCentralCrossRef
17.
Zurück zum Zitat Goldman JG, Forsberg LK, Boeve BF, Armstrong MJ, Irwin DJ, Ferman TJ, et al. Challenges and opportunities for improving the landscape for Lewy body dementia clinical trials. Alzheimers Res Ther. 2020;12: 137.PubMedPubMedCentralCrossRef
18.
Zurück zum Zitat Gibson LL, Abdelnour C, Chong J, Ballard C, Aarsland D. Clinical trials in dementia with Lewy bodies: the evolving concept of co-pathologies, patient selection and biomarkers. Curr Opin Neurol. 2023;36:264–75.PubMedPubMedCentralCrossRef
19.
Zurück zum Zitat Abdelnour C, Gonzalez MC, Gibson LL, Poston KL, Ballard CG, Cummings JL, Aarsland D. Dementia with Lewy bodies drug therapies in clinical trials: systematic review up to 2022. Neurol Ther. 2023;12:727–49.PubMedPubMedCentralCrossRef
20.
Zurück zum Zitat Tolea MI, Ezzeddine R, Camacho S, Galvin JE. Emerging drugs for dementia with Lewy bodies: a review of phase II & III trials. Expert Opin Emerg Drugs. 2023;28:167–80.PubMedCrossRef
21.
Zurück zum Zitat Sabbagh MN, Taylor A, Galasko D, Galvin JE, Goldman JG, Leverenz JB, Poston KL, Boeve BF, Irwin DJ, Quinn JF. Listening session with the US Food and Drug Administration, Lewy Body Dementia Association, and an expert panel. Alzheimers Dement (N Y). 2023;9: e12375.PubMedCrossRef
22.
Zurück zum Zitat Desai U, Chandler J, Kirson N, Georgieva M, Cheung HC, Westermeyer B, et al. Epidemiology and economic burden of Lewy body dementia in the United States. Curr Med Res Opin. 2022;38:1177–88.PubMedCrossRef
23.
Zurück zum Zitat Andrade C. The primary outcome measure and its importance in clinical trials. J Clin Psychiatry. 2015;76:e1320-1323.PubMedCrossRef
24.
Zurück zum Zitat Clinical Trials. https://​clinicaltrials.​gov. Accessed 24 July 2025.
25.
Zurück zum Zitat Rodriguez-Porcel F, Wyman-Chick KA, Abdelnour Ruiz C, Toledo JB, Ferreira D, Urwyler P, et al. Clinical outcome measures in dementia with Lewy body trials: critique and recommendations. Transl Neurodegener. 2022;11:24.PubMedPubMedCentralCrossRef
26.
Zurück zum Zitat Patel B, Irwin DJ, Kaufer D, Boeve BF, Taylor A, Armstrong MJ. Outcome measures for dementia with Lewy body clinical trials: a review. Alzheimer Dis Assoc Disord. 2021;6:66.
27.
Zurück zum Zitat Mokkink LB, Terwee CB, Patrick DL, Alonso J, Stratford PW, Knol DL, et al. The COSMIN study reached international consensus on taxonomy, terminology, and definitions of measurement properties for health-related patient-reported outcomes. J Clin Epidemiol. 2010;63:737–45.PubMedCrossRef
28.
Zurück zum Zitat Liu KY, Schneider LS, Howard R. The need to show minimum clinically important differences in Alzheimer’s disease trials. Lancet Psychiatry. 2021;8:1013–6.PubMedCrossRef
29.
Zurück zum Zitat Mohs RC, Knopman D, Petersen RC, Ferris SH, Ernesto C, Grundman M, et al. Development of cognitive instruments for use in clinical trials of antidementia drugs: additions to the Alzheimer’s Disease Assessment Scale that broaden its scope. The Alzheimer’s Disease Cooperative Study. Alzheimer Dis Assoc Disord. 1997;11(Suppl 2):S13-21.PubMedCrossRef
30.
Zurück zum Zitat Galasko D, Bennett D, Sano M, Ernesto C, Thomas R, Grundman M, et al. An inventory to assess activities of daily living for clinical trials in Alzheimer’s disease. The Alzheimer’s disease cooperative study. Alzheimer Dis Assoc Disord. 1997;11(Suppl 2):S33–9.PubMedCrossRef
31.
Zurück zum Zitat Schneider LS, Olin JT, Doody RS, Clark CM, Morris JC, Reisberg B, et al. Validity and reliability of the Alzheimer’s disease cooperative study-clinical global impression of change. The Alzheimer’s disease cooperative study. Alzheimer Dis Assoc Disord. 1997;11(Suppl 2):S22-32.PubMedCrossRef
32.
Zurück zum Zitat Goetz CG, Tilley BC, Shaftman SR, Stebbins GT, Fahn S, Martinez-Martin P, et al. Movement disorder society-sponsored revision of the Unified Parkinson’s Disease Rating Scale (MDS-UPDRS): scale presentation and clinimetric testing results. Mov Disord. 2008;23:2129–70.PubMedCrossRef
33.
Zurück zum Zitat Morris JC. The clinical dementia rating (CDR): current version and scoring rules. Neurology. 1993;43:2412–4.PubMedCrossRef
34.
Zurück zum Zitat Schneider LS, Goldberg TE. Composite cognitive and functional measures for early stage Alzheimer’s disease trials. Alzheimers Dement. 2020;12: e12017.
35.
Zurück zum Zitat Delbecque L, Elliott E, Cleanthous S, Heinrich P, Cano S, Wessels AM, Atkins AS. Qualitative research and literature review support the integrated Alzheimer’s Disease Rating Scale (iADRS) content validity in early symptomatic AD. J Prev Alzheimers Dis. 2025;12: 100101.PubMedPubMedCentralCrossRef
36.
Zurück zum Zitat Galvin JE. Improving the clinical detection of Lewy body dementia with the Lewy Body Composite Risk Score. Alzheimers Dement. 2015;1:316–24.
37.
Zurück zum Zitat Thomas AJ, Taylor JP, McKeith I, Bamford C, Burn D, Allan L, et al. Development of assessment toolkits for improving the diagnosis of the Lewy body dementias: feasibility study within the DIAMOND Lewy study. Int J Geriatr Psychiatry. 2017;32:1280–304.PubMedCrossRef
38.
Zurück zum Zitat Shumway-Cook A, Brauer S, Woollacott M. Predicting the probability for falls in community-dwelling older adults using the timed up & go test. Phys Ther. 2000;80:896–903.PubMedCrossRef
39.
Zurück zum Zitat Wilkins CH, Roe CM, Morris JC. A brief clinical tool to assess physical function: the mini-physical performance test. Arch Gerontol Geriatr. 2010;50:96–100.PubMedCrossRef
40.
Zurück zum Zitat Johns MW. A new method for measuring daytime sleepiness: the Epworth sleepiness scale. Sleep. 1991;14:540–5.PubMedCrossRef
41.
Zurück zum Zitat Boeve BF, Molano JR, Ferman TJ, Lin SC, Bieniek K, Tippmann-Peikert M, et al. Validation of the Mayo Sleep Questionnaire to screen for REM sleep behavior disorder in a community-based sample. J Clin Sleep Med. 2013;9:475–80.PubMedPubMedCentralCrossRef
42.
Zurück zum Zitat Kaufer DI, Cummings JL, Ketchel P, Smith V, MacMillan A, Shelley T, Lopez OL, DeKosky ST. Validation of the NPI-Q, a brief clinical form of the neuropsychiatric inventory. J Neuropsychiatry Clin Neurosci. 2000;12(2):233–9.PubMedCrossRef
43.
Zurück zum Zitat Pfeffer RI, Kurosaki TT, Harrah CH Jr., Chance JM, Filos S. Measurement of functional activities in older adults in the community. J Gerontol. 1982;37:323–9.PubMedCrossRef
44.
Zurück zum Zitat Galvin JE. The quick dementia rating system (QDRS): a rapid dementia staging tool. Alzheimer Dement. 2015;1:249–59.
45.
Zurück zum Zitat Galvin JE, Tolea MI, Chrisphonte S. Using a patient-reported outcome to improve detection of cognitive impairment and dementia: the patient version of the Quick Dementia Rating System (QDRS). PLoS ONE. 2020;15: e0240422.PubMedPubMedCentralCrossRef
46.
Zurück zum Zitat Nasreddine ZS, Phillips NA, Bédirian V, Charbonneau S, Whitehead V, Collin I, Cummings JL, Chertkow H. The Montreal cognitive assessment, MoCA: a brief screening tool for mild cognitive impairment. J Am Geriatr Soc. 2005;53:695–9.PubMedCrossRef
47.
Zurück zum Zitat Shapiro AM, Benedict RH, Schretlen D, Brandt J. Construct and concurrent validity of the Hopkins Verbal Learning Test-revised. Clin Neuropsychol. 1999;13(3):348–58.PubMedCrossRef
48.
Zurück zum Zitat Galvin JE, Tolea MI, Moore C, Chrisphonte S. The Number Symbol Coding Task: a brief measure of executive function to detect dementia and cognitive impairment. PLoS ONE. 2020;15: e0242233.PubMedPubMedCentralCrossRef
49.
Zurück zum Zitat Yokoi K, Nishio Y, Uchiyama M, Shimomura T, Iizuka O, Mori E. Hallucinators find meaning in noises: pareidolic illusions in dementia with Lewy bodies. Neuropsychologia. 2014;56:245–54.PubMedCrossRef
50.
Zurück zum Zitat Snaith RP. The hospital anxiety and depression scale. Health Qual Life Outcomes. 2003;1:29.PubMedPubMedCentralCrossRef
51.
Zurück zum Zitat Albert MS, DeKosky ST, Dickson D, Dubois B, Feldman HH, Fox NC, et al. The diagnosis of mild cognitive impairment due to Alzheimer’s disease: recommendations from the National Institute on Aging–Alzheimer’s association workgroups on diagnostic guidelines for Alzheimer’s disease. Alzheimers Dement. 2011;7:270–9.PubMedCrossRef
52.
Zurück zum Zitat McKinney W. Data structures for statistical computing in python. In: Proceedings of the 9th python in science conference, vol. 445, SCIPY, Austin TX; 2010. p. 56–61.
53.
Zurück zum Zitat Virtanen P, Gommers R, Oliphant TE, Haberland M, Reddy T, Cournapeau D, et al. Scipy 1.0: fundamental algorithms for scientific computing in Python. Nat Methods. 2020;17:261–72.PubMedPubMedCentralCrossRef
54.
Zurück zum Zitat Hunter JD. Matplotlib: a 2D graphics environment. Comput Sci Eng. 2007;9:90–5.CrossRef
55.
Zurück zum Zitat Kane JPM, Fitzpatrick RL, Betzhold S, Daly G, Kalfas E, kinchin I, et al. A common outcome set for trials in dementia with Lewy bodies (DLB COS). Alzheimers Dement (N Y). 2025;11: e70134.PubMedCrossRef
56.
Zurück zum Zitat McGlothlin AE, Lewis RJ. Minimal clinically important difference: defining what really matters to patients. JAMA. 2014;312:1342–3.PubMedCrossRef

Kompaktes Leitlinien-Wissen Neurologie (Link öffnet in neuem Fenster)

Mit medbee Pocketcards schnell und sicher entscheiden.
Leitlinien-Wissen kostenlos und immer griffbereit auf ihrem Desktop, Handy oder Tablet.

Neu im Fachgebiet Neurologie

MS-Therapie: Wann beginnen, wann eskalieren, wann absetzen?

Nicht immer weisen die Leitlinien den Weg zur besten Therapie. Auf dem DGN-Kongress gab es auf Basis aktueller Studien einige Tipps für Grenzfälle.

tDCS sagt Nutzen der tiefen Hirnstimulation vorher

Eine optimale tiefe Hirnstimulation regt bestimmte neuronale Netzwerke im Gehirn an. Diese lassen sich in gewissem Maße auch von außen per Gleichstromstimulation aktivieren. Wer darauf gut anspricht, dem scheint die Hirnstimulation besonders gut zu helfen.

Erfolgschance der Thrombektomie lässt sich am CT ablesen

Wie gut die Chancen von Schlaganfallpatienten stehen, von einer endovaskulären Thrombektomie zu profitieren, lässt sich offenbar bereits am CT ohne Kontrast bei Klinikaufnahme abschätzen. Entscheidend scheint die Wasseraufnahme im Infarktgebiet zu sein.

Bei testikulären Tumoren spukt es manchmal im Gehirn

Plötzlich auftretende Ataxie, Diplopie oder Hörverlust – lassen sich solche Symptome bei Männern nicht erklären, kann sich eine Serumuntersuchung auf neuronale Antikörper lohnen. Die sind mitunter das erste Zeichen eines testikulären Tumors und für den Tumortyp charakteristisch.

Update Neurologie

Bestellen Sie unseren Fach-Newsletter und bleiben Sie gut informiert.

Bildnachweise
Die Leitlinien für Ärztinnen und Ärzte, Gehirn-MRT bei multipler Sklerose/© Springer Medizin Verlag GmbH, Thrombektomie mit Stent-Retriever/© Turowski B & Caspers J / all rights reserved Springer Medizin Verlag GmbH, Mann erleidet Schwindel/© Tunatura / Getty Images / iStock (Symbolbild mit Fotomodell)