Zum Inhalt

The Effect of Systemic Racism and Homophobia on Police Enforcement and Sexual and Emotional Violence among Sex Workers in East London: Findings from a Cohort Study

  • Open Access
  • 12.10.2022
Erschienen in:

Abstract

There is extensive qualitative evidence of violence and enforcement impacting sex workers who are ethnically or racially minoritized, and gender or sexual minority sex workers, but there is little quantitative evidence. Baseline and follow-up data were collected among 288 sex workers of diverse genders (cis/transgender women and men and non-binary people) in London (2018–2019). Interviewer-administered and self-completed questionnaires included reports of rape, emotional violence, and (un)lawful police encounters. We used generalized estimating equation models (Stata vs 16.1) to measure associations between (i) ethnic/racial identity (Black, Asian, mixed or multiple vs White) and recent (6 months) or past police enforcement and (ii) ethnic/racial and sexual identity (lesbian, gay or bisexual (LGB) vs. heterosexual) with recent rape and emotional violence (there was insufficient data to examine  the association with transgender/non-binary identities). Ethnically/racially minoritized sex workers (26.4%) reported more police encounters partly due to increased representation in street settings (51.4% vs 30.7% off-street, p = 0.002). After accounting for street setting, ethnically/racially minoritized sex workers had higher odds of recent arrest (adjusted odds ratio 2.8, 95% CI 1.3–5.8), past imprisonment (aOR 2.3, 95% CI 1.1–5.0), police extortion (aOR 3.3, 95% CI 1.4–7.8), and rape (aOR 3.6, 95% CI 1.1–11.5). LGB-identifying sex workers (55.4%) were more vulnerable to rape (aOR 2.4, 95% CI 1.1–5.2) and emotional violence. Sex workers identifying as ethnically/racially minoritized (aOR 2.1, 95% CI 1.0–4.5), LGB (aOR 2.0, 95% CI 1.0–4.0), or who use drugs (aOR 2.0, 95% CI 1.1–3.8) were more likely to have experienced emotional violence than white-identifying, heterosexual or those who did not use drugs. Experience of any recent police enforcement was associated with increased odds of rape (aOR 3.6, 95% CI 1.3–8.4) and emotional violence (aOR 4.9, 95% CI 1.8–13.0). Findings show how police enforcement disproportionately targets ethnically/racially minoritized sex workers and contributes to increased risk of rape and emotional violence, which is elevated among sexual and ethnically/racially minoritized workers.

Publisher’s Note

Springer Nature remains neutral with regard to jurisdictional claims in published maps and institutional affiliations.

Background

Review evidence suggests that between 18 and 44% of sex workers providing in-person services report physical violence at work in the last year, between 24–54% depression and 5–58% anxiety [1, 2]. This masks extensive diversity within sex-working communities as experience of violence and mental health is shaped by the legal context and structural inequalities in access to housing, health and social services, drug use, adequacy of income support, and the quality of working environments [24]. Inequalities are compounded by criminalization: police enforcement often results in an immediate loss of income, necessitating longer working hours and compromises in pricing, client selection, sexual services, health, and safety [5]. There is an emerging evidence base documenting how repressive policing and poorer health experienced by sex workers is also fuelled by racism, homophobia, and transphobia [5]. Qualitative research shows that sex workers from racialized, sexual and gender minority groups experience more intensive police enforcement as well as physical and sexual violence from police and other perpetrators [68]. Evidence from Canada shows how the legacy of colonial and racist policies contributes to increased marginalization of sex workers identifying as indigenous, with higher prevalence of HIV, greater representation in street-based settings, frequent intergenerational sex work, and having children taken into care [911].
More broadly across the population, ethnic and racialized minorities experience extensive health inequalities and injustices linked to structural racism [12, 13]. Racial discrimination experienced within health care or society can influence how people engage with health services as well as quality of health care access received [13]. Discrimination towards Black and people of color as well as Gypsy, Roma, or Travelers results in poorer mental health outcomes, particularly when experienced as physical violence and verbal abuse from police and the broader community [1416]. There is clear evidence of racism within criminal justice systems. The use of more frequent and excessive force is evidenced by disproportionate fatal police shootings against Black, Indigenous, and people of color in the USA [15, 17]. In England and Wales, Black and Asian minorities are over-represented throughout the criminal justice system: at the point of stop and search; arrests; custodial sentencing; deaths in police custody; and in the prison population, where 27% identify as Black or Asian, relative to 13% of the general population [18]. Similar injustices are observed among Gypsy and Traveler communities who in 2019 made up 6–7% of the prison population (men and women) in comparison to 0.1% of the population as a whole [19]. Institutional homophobia and transphobia can be overt in the form of colonial-era laws criminalizing gender non-conformity and homosexuality in some settings or indirectly manifested in the form of disproportionate incarceration rates among gender and sexual minorities [20, 21]. Similarly, discrimination, fear, hostility, and violence towards trans, lesbian, gay, and bisexual communities have also been evidenced to contribute to minority stress, reduced access to health services, increased sexual and physical violence, and poorer mental health [22].
Existing analytical tools such as the risk environment framework help characterize how structural factors (e.g., law, gender or racial discrimination), workplace conditions (e.g., settings), and interpersonal/individual behaviors (e.g., frequent heroin or crack use) shape health inequalities among sex workers and intersect with sex work criminalization [5, 23, 24]. Intersectionality theory argues that multiple forms of oppression such as those experienced by Black women, sexual and gender minorities are mutually constitutive and interdependent [25]. Stigma and discrimination across the risk environment produce distinct experiences of health care services among women living with HIV depending on their intersecting racial, sexual, gender, and sex worker identities [26]. This can also be seen at a macro-structural level, where interacting contexts produced by multiple forms of criminalization (e.g., of sex work, homosexuality, drugs or anti-immigration laws) and institutional discrimination reduces access to services and increases police violence, disproportionately impacting racially minoritized and marginalized communities [2629]. Research suggests that ethnic or racialized minorities make up a substantial proportion of the sex worker community (9.4–22.8% in the UK and the USA) and up to 18.6% of sex workers identify as LGB [7, 3032]. Less is known about gender diverse sex workers, but estimates from the UK suggest that between 1 and 4% of sex workers identify as transgender [33]. Yet despite this, there has been little quantitative research on the extent to which oppression and discrimination at the intersections of race, gender, and sexual minority identity among sex workers may increase instances of violence and repressive policing. Drawing on data from a prospective cohort study of cis and trans female, male, and non-binary sex workers in London, we examine the extent to which police enforcement practices differ by ethnic or racial identity. It was not possible to look at the association between transgender or gender diverse identity and policing due to the small sample size. We also examined the extent to which racialized and sexual minorities are at risk of recent emotional violence or rape.

Methods

This research was participatory. People with experience of sex work or of working with sex workers, and researchers, co-developed the overarching research question, data collection, analyses, and write up. Methods and key findings from the analyses among cis and trans women have been published previously [34]. Between May 2018 and October 2019, sex workers of all genders were enrolled in a prospective open cohort with two rounds of data collection at baseline and 6-month follow-up. Sex workers who had exchanged in-person sexual services in the last 3 months in East London (or other parts of London for sex workers advertising online), aged ≥ 18 years, were invited to complete a questionnaire. We used time-location sampling of sex workers working on the street and targeted sampling of online profiles. We supplemented recruitment with convenience sampling (e.g., in NHS-clinics, snowball sampling) and expanded baseline recruitment for street-based sex workers.
Participants self-completed a questionnaire on a tablet or online using Open Data Kit software (Open Data Kit version 1.28.4) or read out by interviewers when support was needed. Data were collected on the following: socio-demographic characteristics; sex work organization; access to health and social services; mental health; policing; sexual, physical, and emotional violence from clients, intimate partners, police, and other perpetrators (including residents, strangers, drug dealers). Indicators were drawn from validated measures or developed through findings from a linked qualitative study [29]. The questionnaire was available in English, Romanian, Polish, and Portuguese and took 60 min to complete. Three follow-up attempts of the original baseline sample were made by phone and email, supplemented with street outreach. All participants were offered £20 at baseline data collection as reimbursement. An increased rate of £40 was given at follow-up, in recognition as a more appropriate compensation for working time lost. The study was approved by the London School of Hygiene and Tropical Medicine’s and the NHS Stanmore’s research ethics committee (IRAS ID 231,206).

Outcome Measures

Exposure to direct law enforcement was assessed at baseline and follow-up and included the following: arrest; client arrest; sanctions (cautions, warnings, notices); valuables, condom, drugs or drug paraphernalia confiscation; referral to services; or imprisonment; in the previous 6 months or ever. A single combined variable included all items of recent law enforcement. Unlawful police practices included the following: extortion (police accepted sex or money or other goods in lieu of arrest or to avoid trouble); verbal abuse (being belittled, humiliated or had abusive or insulting language such as racist remarks directed at you); being scared (scared or intimidated, made sexual comments); raped (forced anal, vaginal, oral sex); personal property been damaged; threatened; or actual physical violence. A single combined variable included all items of verbal, physical, or sexual assault by police. Measures of sexual or emotional violence from intimate partners, clients, or others included the following: (i) recent (last 6 months) experience of rape (forced oral, vaginal or anal sex without consent) and (ii) recent emotional violence (being belittled or humiliated or had abusive or insulting language directed towards you such as calling you inappropriate names or making racist remarks, being scared or intimidated).

Explanatory Variables

Ethnic or racial identity was categorized as a binary variable comparing the experiences of those self-identifying as African, Arab, Asian, Asian British, Black, Black British, Caribbean, Middle Eastern, mixed or multiple ethnic groups, Roma, Traveler with white English, Welsh, Scottish, Irish, European, or other sex workers. Sexual identity was categorized as a binary variable by self-identification as lesbian/gay/homosexual or bisexual or straight/heterosexual. We grouped self-identified gender identity into male (including cis and trans male) and female (including cis and trans female). There were too few trans/non-binary participants to examine their experiences separately. For non-binary participants, we examined the gender identity they worked under (which was in all cases cis or trans female or male). We asked about recent (last 6 months) circumstances of sex work including the following: working sector (meeting clients in outdoors settings in past 6 months vs indoors or online); working alone vs working with others; screening of clients (never/sometimes vs always); and time spent in sex work. We categorized those who had not used drugs in the last 4 weeks as non-current drug users and increasing risk related to alcohol use as ≥ 5 on the AUDIT-C scale. Indicators of social exclusion included finding it difficult to meet usual expenses, recent (last 6 months) eviction, and current (last 4 weeks) homelessness, defined as sleeping rough or living in unstable accommodation (e.g., parent’s or friend’s home, sheltered, or homeless accommodation). Migration status was defined in two ways: UK national/permanent residence/indefinite leave to remain versus overseas national/refugee/asylum seek/unknown or being born in the UK versus not. We measured mental health through a validated single composite measure (PHQ-4) with a cut-point of ≥ 6 to indicate symptoms of depression or anxiety [34, 35].

Analyses

We examined differences in socio-demographic characteristics, circumstances of sex work, violence, mental health and access to services by ethnic/racial identity at baseline, using Pearson χ2 tests (categorical variables) and two-sample Wilcoxon Mann–Whitney tests (continuous variables). We assessed associations between ethnic/racial identity and recent or past police enforcement practices adjusting for potential confounders. We examined univariable and multivariable associations between ethnic/racial and sexual identity with the following: (i) recent (last 6 months) rape and (ii) recent emotional violence. We used generalized estimating equation (GEE) logistic regression with an exchangeable correlation matrix in all analyses because the factors potentially associated with violence and police enforcement during follow-up were serial (time dependent) measures. These models also account for the correlation of repeated observations on some participants, so that analyses included all participants irrespective of follow-up. We considered working sector, gender, migration status, and duration in sex work as a priori confounders in all analyses [1, 2, 5, 34]. For sexual and emotional violence outcomes, we also examined the following: current drug use; unstable housing in the form of current homelessness or recent eviction; any recent law enforcement; circumstances of sex work; and difficulty meeting usual expenses as potential confounders. We report unadjusted and adjusted odds ratios (OR) and 95% confidence intervals (CI) of the associations.

Results

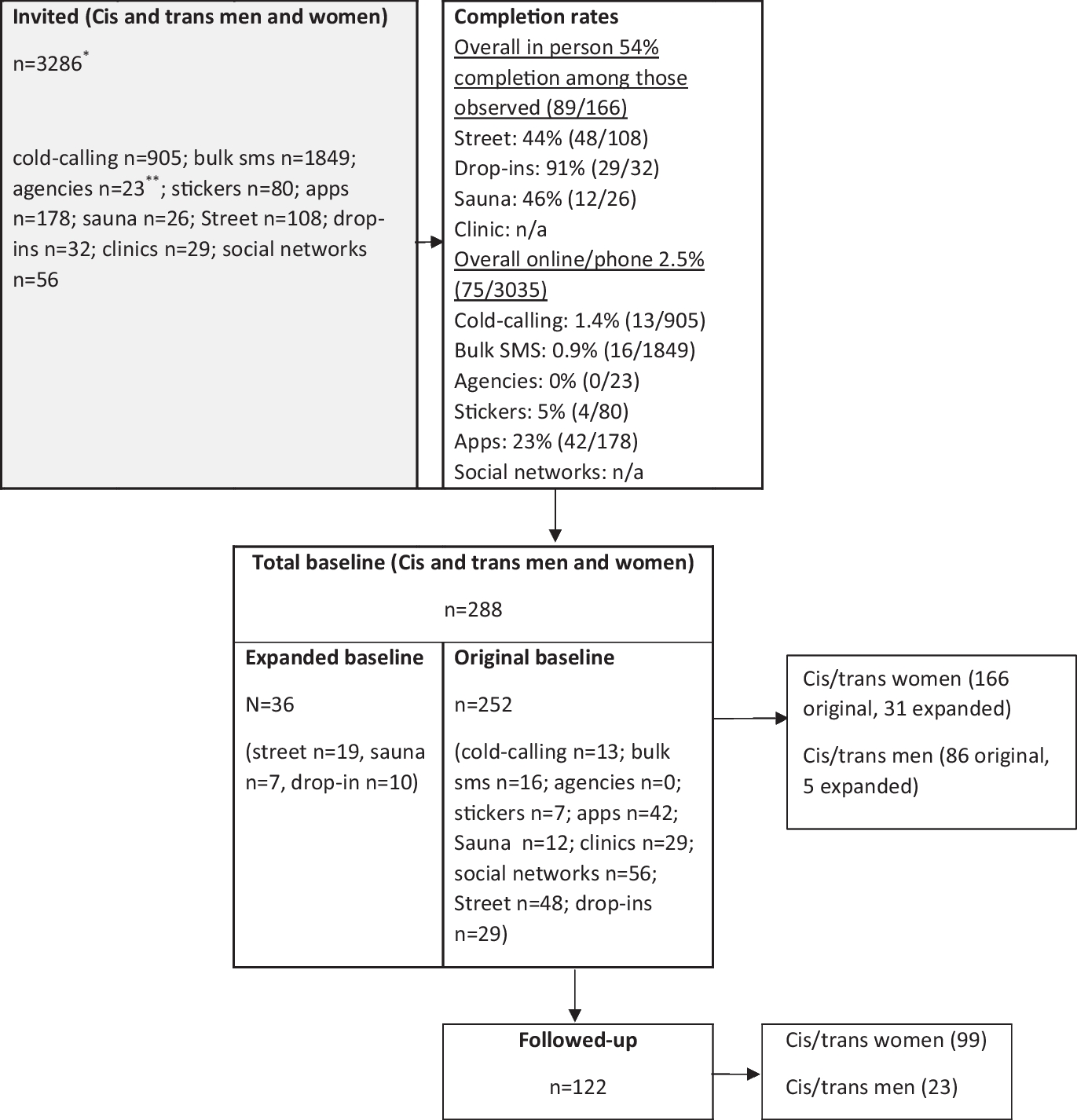
A total of 288 individuals completed baseline surveys (252 original and 36 expanded baseline) (Fig. 1). A total of 274 individuals reported an ethnic/racial identity: 26.4% (n = 72) identified as an ethnic/racialized minority including Asian, Asian British (n = 12, 4.4%), Black/African/Caribbean/Black British (n = 25, 9.1%), mixed or multiple ethnicities (n = 22, 8.0%), or otherwise ethnically or racially minoritized (n = 13, 4.7%) including Traveler or Roma (< 10) and Middle Eastern (< 5). Overall, 73.7% (n = 202) identified as white including British (n = 100, 36.5%), Irish (n = 8, 2.9%), or European (n = 86, 31.4%) and other or unknown (n = 8, 2.9%). Among the sample, 197 (72.2%) identified as female and 76 (27.8%) as male. Within this, fewer than ten individuals overall identified as trans women, trans men, or non-binary. Overall, 55% (n = 143) identified as LGB, 92.4% among cis/trans men, and 41.7% among cis/trans women. In total, 35.9% (n = 103) found clients from street settings, and 34.1% from flats, saunas, or through online advertising, and the majority (60.8%) worked alone. Just under half (47% n = 137) were born outside the UK, and less than a third (28.5% n = 78) were not UK nationals. The median age was 31 years (IQR = 25–39 years), and the median duration in sex work was 6 years (IQR = 3–14 years). Overall, 122 individuals were followed up (retention 58.6%). Retention did not differ by ethnic or racial identity or sector but did differ by gender. Retention was 59.6% (99/169) among cis/trans women and 29.2% (21/72) among cis/trans men (Table 1).
Fig. 1
Flowchart of individuals who completed baseline surveys
Bild vergrößern
Table 1
Characteristics of all participants stratified by ethnic or racial identity at baseline
  
Ethnic or racial identity
p value*
All
Ethnically minoritized
White-identity
n (%)
n (%)
n (%)
Total
274#
72 (26.4%)§
202 (73.7%)
 
Demographic characteristics
Gay, lesbian, homosexual or bisexual⌃
143 (55.4%)
34 (49.3%)
109 (57.7%)
0.230
Cis or trans man**
76 (27. 8%)
19 (27.1%)
55 (27.8%)
0.919
Overseas national
78 (28.5%)
12 (16.9%)
65 (32.7%)
0.012
Born outside the UK
137 (47.7%)
35 (48.6%)
92 (45.5%)
0.654
Education (primary/secondary)
130 (46.9%)
34 (48.6%)
91 (46.4%)
0.758
Age (median years (IQR))
31 (25–39)
33 (27–47)
30 (18–52)
0.007
Circumstances of sex work
Street as main place to find clients
103 (35.9%)
37 (51.4%)
62 (30.7%)
0.002
Median years in sex work (IQR)
6 (3–14)
8 (3–21)
5 (2–12)
 < 0.001
Age of first sex work (median) (IQR))
22 (18–27)
21 (18–27)
22 (19–27)
0.318
Number of clients a week (> 3)
135 (47.4%)
33 (45.8%)
97 (48.0%)
0.750
Mostly work alone
155 (60.8%)
44 (59.1%)
104 (63.8%)
0.501
Mostly work at night
127 (51.4%)
33 (52.4%)
89 (51.4%)
0.899
Sex work as main income
196 (70.5%)
50 (69.4%)
137 (71.0%)
0.807
Always works with CCTV camera
55 (24.9%)
17 (27.9%)
37 (24.3%)
0.638
Always screen clients
110 (44.2%)
28 (41.2%)
80 (46.8%)
0.432
Indicators of social exclusion
Difficulty in making ends meet
174 (60.6%)
49 (68.1%)
116 (57.8%)
0.114
Currently in arrears
122 (53.5%)
29 (49.2%)
90 (55.6%)
0.398
Not receiving benefits
161 (66.0%)
47 (72.3%)
110 (64.0%)
0.225
In unstable housing (in the last 4 weeks)
78 (28.6%)
25 (36.8%)
49 (25.0%)
0.095
Past eviction
67 (25.9%)
17 (25.8%)
47 (26.0%)
0.902
Children taken into care at some point
32 (12.1%)
7 (9.7%)
25 (12.4%)
0.530
Access to services
Registered at a GP practice
197 (68.6%)
58 (80.6%)
132 (65.3%)
0.016
Recently accessed sex worker project
95 (33.1%)
30 (41.7%)
61 (30.4%)
0.076
Unmet mental health need***
90 (34.5%)
33 (47.8%)
53 (28.9%)
0. 005
Alcohol and other drug use
Problematic drinking (Audit-C ≥ 5)
115 (43.1%)
26 (38.2%)
87 (46.3%)
0.252
Current drug use (4 weeks)$
159 (59.6%)
49 (70.0%)
104 (55.3%)
0.033
Daily crack or heroin use
70 (24.4%)
25 (34.7%)
43 (21.3%)
0.023
Ever injected drugs
58 (21.5%)
19 (28.4%)
37 (19.1%)
0.110
Partner supplies drugs
70 (26.8%)
27 (39.7%)
40 (21.6%)
0.007
Violence and mental health
Anxiety/depression (PHQ4)
122 (42.5%)
30 (41.7%)
86 (42.6%)
0.894
Recent rape (6 months)
52 (21.9%)
16 (25.4%)
34 (20.7%)
0.448
Recent emotional violence (6 months)
191 (67.0%)
59 (83.1%)
126 (62.4%)
0.001
*p value derived from Pearson χ2 tests (categorical variables) and two-sample Wilcoxon Mann–Whitney tests (continuous variables)
#Fourteen people did not report an ethnic identity
⌃Gay/homosexual (n = 53), bisexual (n = 71), any other term or do not use a term (n = 9)
**Trans men, trans women (n =  < 10)
***Wanted mental health treatment, had not received it
$Eighty-eight (55%) use heroin or crack; 71 used ecstasy, amphetamines, marijuana, cocaine
§Asian/Asian British (n = 12), Black, African, Caribbean, Black British (n = 25), multiple, mixed, other (including Hispanic, Latino, other Asian) (n = 22), traveler or Roma (< 10), Middle Eastern (< 5)

Characteristics of Sex Workers by Ethnic and Racial Identity

Overall, proportionally, more ethnically/racially minoritized sex workers worked in street-based settings (n = 37, 51.4%) compared to white-identifying sex workers (n = 62, 30.7%). They were also older (33 vs. 30 years) and more likely to be UK nationals, but there was no difference in terms of gender or sexual identity or educational attainment. Other than work setting, most aspects of sex work organization were comparable, although on average ethnically/racially minoritized participants worked in sex work longer (8 vs 5 years). Proportionally, more ethnically/racially minoritized participants were homeless or in temporary accommodation (37.7% vs 25.0%) — which is also more frequent for street-based sex workers [34] — but there was no difference in past eviction (26%). Just under half the sample (53.5%, n = 122) reported being in arrears, two thirds did not receive state benefits (n = 174), and this did not differ by ethnic/racial identity.
Ethnically or racially minoritized participants reported higher prevalence of recent drug use (70.0% vs 55.3%) overall, which is again more frequent among street-based sex workers [34]. Key differences were recorded in daily heroin or crack use (34.7% vs 21.3%), partners supplying drugs (39.7 vs 21.6%), and a history of injecting drug use (28.4% vs 19.1%). Drinking alcohol at levels of increasing risk (≥ 5 on Audit-C) was proportionally lower among ethnically or racially minoritized compared to white-identifying participants (38.2% vs 46.3%).
Proportionally, more ethnically or racially minoritized participants were registered at GPs and accessed specialist sex worker services. A third of the sample reported being denied access to a mental health service when in need and this was higher among ethnically/racially minoritized sex workers (47.8% vs 28.9%). Prevalence of symptoms of anxiety or depression was 42.5% (n = 122) overall, and 21.9% (n = 52) of participants reported being raped in the last 6 months, with no difference by ethnic/racial identity. Proportionally, more ethnically or racially minoritized sex workers reported experiencing emotional violence in the last 6 months (83.1 vs 62.4%).

The Effect of Ethnic/Racial Identity on Experiences of Police Enforcement

Overall, 18.6% (n = 49) of the sample had been arrested in the last 6 months for any reason and 6.8% for sex work. Just over a quarter (26.5%, n = 72) had ever been in prison. Across virtually all unadjusted measures, proportionally more sex workers identifying as ethnically/racially minoritized had been exposed to enforcement compared to white-identifying sex workers. After accounting for working sector, as well as gender, sexual identity, country of birth, and duration of time in sex work, odds of being arrested recently remained significantly higher for ethnically/racially minoritized sex workers (adjusted odds ratio 2.8, 95% CI 1.3–5.8). Odds of past imprisonment also remained higher for this population (aOR 2.3, 95% CI 1.1–5.0).
Among harmful police practices, overall, 32.1% (n = 89) had ever experienced any police violence; 7.0% (n = 18) of participants had experienced extortion; 13.2% (n = 34) had property damaged; 23.5% (n = 61) verbal abuse; and 20.1% had been scared (n = 52) and 4.2% (n = 11) had been raped by police officers. Following adjustment, ethnically/racially minoritized participants were more likely to have experienced extortion (aOR 3.3, 95% CI 1.4–7.8) and rape by police (aOR 3.6, 95% CI 1.1–11.5). There was no difference in the levels of other measures of harmful police practices. These findings are summarized in Table 2.
Table 2
Prevalence of lawful and unlawful police enforcement practices among all sex workers and associations with ethnic or racial identity
 
Ethnic/Racial identity
Odds ratio for ethnically/racially minoritized identity
 
All
Ethnically minoritized
White
Unadjusted
Adjusted*
Police enforcement practice
n/total (%)
n (%)
n (%)
OR (95% CI)
p value
OR (95% CI)
p value
Recent (6 months) practices
Arrested (any reason)
49/264 (18.6%)
22 (31.4%)
24 (13.2%)
3.0 (1.6–5.4)
0.001
2.8 (1.3–5.8)
0.008
Arrested (sex work)
18/264 (6.8%)
4 (5.9%)
14 (7.6%)
0.7 (0.3–2.1)
0.554
0.4 (0.1–1.4)
0.141
Client arrested by the police
32/273 (11.7%)
10 (14.9%)
21 (10.8%)
1.3 (0.6–2.7)
0.453
0.6 (0.2–1.5)
0.262
Sanctioned by police
74/276 (26.8%)
28 (39.4%)
42 (21.8%)
2.2 (1.3–3.7)
0.003
1.6 (0.8–3.2)
0.201
Recently been to prison
18/272 (6.6%)
7 (9.9%)
10 (5.3%)
1.8 (0.7–4.1)
0.203
1.3 (0.5–3.3)
0.552
Referred to services by police
21/265 (7.9%)
8 (11.4%)
11(6.0%)
1.9 (0.9–4.2)
0.111
1.0 (0.4–2.5)
0.929
Items confiscated by police
40/279 (14.3%)
15 (21.1%)
22 (11.2%)
2.4 (1.6–4.6)
0.009
1.5 (0.7–3.4)
0.31
Any law enforcement
103/283 (36.4%)
38 (53.5%)
60 (30.0%)
2.4 (1.5–3.4)
0.001
1.5 (0.8–3.61)
0.242
Past (ever) practices
Arrested (any reason)
113/265 (42.6%)
38 (54.3%)
70 (38.3%)
1.7 (1.1–2.6)
0.016
1.4 (0.6–3.1)
0.422
Arrested (sex work)
51/265 (19.2%)
14 (20.6%)
36 (19.5%)
1.2 (0.6–2.1)
0.602
0.6 (0.3–1.3)
0.183
Client ever arrested by police
57/274 (20.8%)
22 (32.4%)
34 (17.4%)
1.9 (1.1–3.4)
0.022
1.0 (0.5–2.3)
0.91
Ever been sanctioned by police
123/272 (45.2%)
41 (57.7%)
77 (40.7%)
1.9 (1.2–3.0)
0.006
1.5 (0.7–3.3)
0.327
Ever had items confiscated by police
74/275 (26.9%)
23 (32.4%)
46 (24.0%)
1.5 (0.9–2.6)
0.132
1.0 (0.5–1.9)
0.924
Ever been to prison
72/272 (26.5%)
30 (42.3%)
38 (20.1%)
2.4 (1.4–3.9)
 < 0.001
2.3 (1.1–5.0)
0.037
Ever been referred to services
43/260 (16.5%)
13 (18.6%)
28 (15.7%)
1.5 (0.8–2.7)
0.18
0.9 (0.4–1.8)
0.224
Ever experienced any law enforcement
123/280 (43.9%)
39 (54.9%)
79 (40.1%)
1.8 (1.1–2.9)
0.016
1.0 (0.5–2.0)
0.904
Past unlawful police practices
Accepted money, sex in lieu of arrest
18/258 (7.0%)
11 (15.5%)
7 (4.0%)
4.0 (1.7–9.8)
0.002
3.3 (1.4–7.8)
0.008
Verbal abuse
61/260 (23.5%)
19 (27.1%)
40 (22.2%)
1.3 (0.7–2.3)
0.419
0.8 (0.4–1.4)
0.408
Scaring or intimated
52/259 (20.1%)
18 (25.7%)
32 (18.0%)
1.4 (0.8–2.9)
0.134
1.4 (0.7–2.8)
0.304
Rape (anal, vaginal or oral)
11/262 (4.2%)
6 (8.7%)
5 (2.8%)
4.3 (1.4–13.5)
0.012
3.6 (1.1–11.5)
0.032
Threatened or actual physical violence
32/264 (12.1%)
13 (18.8%)
18 (9.8%)
1.9 (1.0.–4.0)
0.053
1.8 (0.9–3.5)
0.112
Damaged personal property
34/258 (13.2%)
17 (24.3%)
17 (9.6%)
2.3 (1.2–4.4)
0.012
1.9 (0.9–3.7)
0.082
Any police violence ever
89/277 (32.1%)
29 (40.8%)
57 (29.2%)
1.5 (0.9–2.5)
0.128
1.1 (0.6–2.0)
0.702
*Univariable and multivariable models are from generalized estimating equation (GEE) logistic regression with an exchangeable correlation matrix. Multivariable models are adjusted for working sector, time in sex work, born in the UK or not, gender, and sexual identity

The Effect of Ethnic/Racial and Sexual Identity on Rape and Emotional Violence

Experiences of Rape

LGB-identifying sex workers were more likely to have been raped by any perpetrator (aOR 2.4, 95% CI 1.1–5.2), but there was no evidence of differences by ethnic/racial identity (aOR 0.9, 95% CI 0.4–1.9). Other factors significantly associated with having been raped included recent law enforcement (aOR 3.6, 95% CI 1.3–8.4), current drug use (aOR 3.8, 95% CI 1.1–10.1), recent eviction (aOR 3.1, 95% CI 1.1–8.4), and not meeting daily expenses (aOR 2.3, 95% CI 1.1–4.5). These effects were significant irrespective of gender identity, working sector or time in sex work.

Emotional Violence

Sex workers identifying as ethnic/racialized minorities were more likely to have experienced recent emotional violence (aOR 2.1, 95% CI 1.0–4.5) compared to white-identifying sex workers, as were those currently using drugs (aOR 2.0, 95% CI 1.1–3.8). There was also evidence that sex workers identifying as LGB were at increased risk of emotional violence (aOR 2.0, 95% CI 1.0–4.0). Sex workers who had experienced any recent law enforcement (aOR 4.9, 95% CI 1.8–13.0) were more likely to have experienced emotional violence than those who had not. Cis or trans men were less likely to have experienced emotional violence (aOR 0.2, 95% CI 0.1–0.5) compared with cis or trans women, as were people working in sex work longer than 15 years (aOR 0.5, 95% CI 0.3–1.0) and those who had only attended school up to secondary level (aOR 0.4, 95% CI 0.2–0.7) (Table 3).
Table 3
Unadjusted and adjusted factors associated with recent rape and emotional violence
 
Rape in the last 6 months
Emotional violence in the last 6 months
 
Unadjusted
Adjusted*
 
Unadjusted
Adjusted**
n/N
%
OR (95% CI)
OR (95% CI)
n/N
%
OR (95% CI)
OR (95% CI)
Ethnicity/race
White
34/164 (20.7%)
1.0
1.0
126/202 (62.4%)
1.0
1.0
Ethnic/racialized minority
16/63 (25.4%)
1.4 (0.8–2.6)
0.9 (0.4–1.9)
59/71 (83.1%)
2.2 (1.2–3.9)
2.1 (1.0–4.5)
Sexual identity
Heterosexual
20/108 (18.5%)
1.0
1.0
86/117 (72.5%)
1.0
1.0
LGB
28/112 (25.0%)
1.2 (0.7–2.2)
2.4 (1.1–5.2)
94/143 (65.7%)
0.7 (0.4–1.1)
2.0 (1.0–4.0)
Gender identity
Cis/trans women
41/179 (22.9%)
1.0
1.0
152/197 (77.2%)
1.0
1.0
Cis/trans men
8/50 (16.0%)
0.7 (0.3–1.4)
1.3 (0.5–3.4)
33/76 (43.3%)
0.3 (0.2–0.4)
0.2 (0.1–0.5)
Migration status
UK citizen
43/164 (26.2%)
1.0
 
136/196 (69.4%)
1.0
 
Non–UK citizen
7/65 (10.8%)
0.3 (0.1–0.7)
NS
48/77 (62.3%)
0.8 (0.5–1.3)
NS
Education
Higher education
24/120 (20.0%)
1.0
 
97/147 (66.0%)
1.0
1.0
Secondary/primary
24/110 (21.8%)
1.3 (0.7–2.2)
NS
87/129 (67.4%)
0.8 (0.5–1.2)
0.4 (0.2–0.7)
Drug use last 4 weeks
No
8/88 (9.1%)
1.0
1.0
53/108 (49.1%)
1.0
1.0
Yes
44/141 (31.2%)
4.9 (2.2–10.8)
3.8 (1.1–10.1)
133/159 (83.6%)
3.9 (2.4–6.3)
2.0 (1.1–3.8)
Sex work sector
Off-street work
32/90 (35.6%)
1.0
1.0
102/182 (56.0%)
1.0
1.0
Street-based
20/147 (13.6%)
4.9 (2.7–8.9)
1.3 (0.5–3.7)
89/103 (86.4%)
4.1 (2.4–6.9)
1.3 (0.6–3.2)
Time in sex work
 < 15 years
26/125 (20.8%)
1.0
1.0
101/145 (69.7%)
1.0
1.0
 > 15 years
25/109 (22.9%)
1.1 (0.6–1.9)
0.9 (0.5–1.8)
89/135 (65.9%)
0.7 (0.5–1.1)
0.5 (0.3–1.0)
Work arrangements
With others
16/85 (18.8%)
1.0
 
68/100 (68.0%)
1.0
 
Alone
33/130 (25.4%)
1.2 (0.7–2.2)
NS
112/155 (72.3%)
1.4 (0.9–2.2)
NS
Screening clients
Never
29/118 (24.6%)
1.0
 
99/139 (71.2%)
1.0
 
Always
19/94 (20.2%)
0.7 (0.4–1.2)
NS
79/110 (71.8%)
0.9 (0.6–1.4)
NS
Current housing
No
23/161 (14.3%)
1.0
 
122/195 (62.6%)
1.0
1.0
Yes
29/73 (39.7%)
3.4 (2.0–5.8)
65/78 (83.3%)
2.4 (1.5–3.8)
1.3 (0.6–2.8)
Recent eviction
No
41/213 (19.2%)
1.0
1.0
169/240 (70.4%)
1.0
 
Yes
8/14 (57.1%)
6.3 (2.5–15.6)
3.1 (1.1–8.4)
14/15 (93.3%)
5.5 (1.63–18.4)
-
Recent enforcement
No
16/148 (10.8%)
1.0
1.0
99/180 (55.0%)
1.0
1.0
Yes
36/89 (40.4%)
6.1 (3.4–11.0)
3.6 (1.3–8.4)
92/103 (89.3%)
6.0 (3.3–11.0)
4.9 (1.8–13.0)
Meet daily expenses
No
13/95 (13.7%)
1.0
1.0
66/112 (58.9%)
1.0
 
Yes
39/142 (27.5%)
2.80(1.5–5.2)
2.3 (1.1–4.5)
125/173 (72.3%)
1.7 (1.1–2.7)
NS
–, only one indicator of unstable housing was adjusted for in the final model
NS non-significant
*GEE model adjusted for ethnic and sexual identity, gender, citizenship status, drug use in the last 4 weeks, sex work sector, duration in sex work, recent eviction, any recent law enforcement, ability to meet daily expenses
**Adjusted for ethnic and sexual identity, gender, education, drug use in the last 4 weeks, sex work sector, duration in sex work, current housing status, any recent law enforcement

Discussion

This is the first study in the UK to highlight the extent to which ethnically or racially minoritized sex workers experience disproportionate police enforcement and to quantify more broadly differences in the experiences of violence by ethnic/racial and sexual identity. Among participants, ethnically or racially minoritized sex workers more frequently worked from street settings and experienced more homelessness, crack, or heroin use and police enforcement. After accounting for street-based work and drug use, they continued to experience disproportionate arrest, imprisonment, extortion, and rape from police. Ethnically or racially minoritized participants were more likely to have experienced emotional violence in the form of abuse and harassment from clients, intimate partners, or other members of the community, and this emotional violence was pervasive across the sample. They were also more likely to have been denied access to mental health services when in need. One in five participants had been raped in the last 6 months, and this was even more likely for LGB participants, irrespective of work sector or drug use.
Findings corroborate other research that illustrates disparities within sex working communities and add evidence of the manifestations of structural racism [36, 37]. Previous evidence demonstrates that ethnically or racially minoritized sex workers are more vulnerable to police enforcement, homelessness, and social exclusion in relation to drug use, through their greater representation in street-based settings [10, 34], yet our research demonstrates that after accounting for these vulnerabilities, odds of arrest, imprisonment, police extortion, or rape remain higher among sex workers identifying as ethnically/racially minoritized. Our findings provide further evidence showing how criminalization of sex work not only is ineffective at protecting sex workers but also increases their vulnerability to violence and exacerbates marginalization of ethnically and racially minoritized groups [5, 30]. Our finding of higher levels of emotional violence, which include racist insults, experienced by ethnically or racially minoritized sex workers, alongside greater likelihood of being denied access to mental healthcare, supports previous evidence that intersecting racism and sex work stigma is linked to worse health outcomes [26, 38].
While there was some evidence that ethnically/racially minoritized participants were more likely to have been raped by police — an important finding itself — we did not identify evidence for any difference for recent rape by clients, intimate partner or others. Other evidence from a comparable sample in Baltimore, USA, found sex workers identifying as Black to have reduced risk of sexual/physical violence from clients compared to White-identifying counterparts, attributed to less frequent drug use or working indoors [30]. Our finding of an association between current drug use and elevated odds of recent rape supports this, alongside previous analyses showing far higher levels of all types of violence perpetrated against cis/trans female sex workers working from street settings than indoors [34]. While we found higher levels of current drug use, including daily heroin or crack use, among ethnically/racially minoritized participants, this is due to their increased representation in street-based settings — where 91% report daily crack or heroin use [34]. Sex workers dependent on crack or heroin are more often targeted by violent perpetrators, and this, combined with the high cost and criminalized context in which these drugs are sold, is a key driver of street-based sex work and social exclusion [34, 39, 40]. We find that sex workers identifying as LGB are at increased risk of both rape from any perpetrator and emotional violence, supporting other research showing the increased vulnerability of the LGB community, and LGB sex workers in particular, to violence [7, 27]. Recent rape is also associated with unstable housing. LGB and young people from ethnically/racially minoritized groups disproportionately experience homelessness in the USA and UK, and this has been linked to increased violence [41, 42]. While current homelessness was no higher among LGB compared to heterosexual-identifying participants (22.6% vs 37%), it was high overall (29%) and particularly among those working in street settings (58.8%) [34] highlighting the intersecting harms of structural racism, homophobia, and related social exclusion.
A substantial proportion of cis/trans women in our sample identified as LGB (41.7%), far higher than among a general population survey in England and Wales (2.4%) [43]. The proportion of participants identifying as ethnically/racially minoritized in our sample (26.4%) is comparable with other studies among sex workers in London (26.9%) but lower than in our study boroughs in London (over 50%) [31]. We found discrepancies within ethnically/racially minoritized participants: with greater proportions of participants identifying as Black or Black British (34%) compared to the population in study boroughs (24%), greater representation of mixed/multiple ethnicities (32% vs. 16%), but lower proportion identifying as Asian/Asian British (17% vs 60%) [44]. This over-representation of participants identifying as Black or mixed race/multiple ethnic groups is suggestive of disparities in employment opportunities in addition to the structural inequalities discussed above. Structural racism limits employment options for ethnic or racialized minorities, leading to their overrepresentation in informal and often criminalized work, as has been evidenced in increased engagement in sex work in the USA among women in drug treatment identifying as African American and among trans-communities identifying as Black, American Indian, or Latina [20, 45].

Strengths and Limitations

The lack of a probabilistic sample and small sample size limits inferences we can make to other sex workers. Generalizability is further restricted by the highly urban and ethnically diverse nature of the study boroughs, limiting comparability to similar urbanized areas. A key limitation is our inability to look at the effect of trans and gender-minority identity on police enforcement practices and emotional or sexual violence, due to the few people identifying as trans or non-binary recruited into our sample (< 10). We have included this population alongside their cis counterparts to include all participants’ responses and as past quantitative research has excluded trans and gender-minority sex workers. However, we acknowledge that this fails to capture the substantial impact of transphobia. International evidence points to increasing violence against trans sex workers by clients and police, made worse by police inaction to respond appropriately, highlighting the imperative to address transphobia within police, other institutions, and broader society and the need for targeted interventions to address the specific needs of gender-minority sex workers [5, 8, 46].
The study was not originally designed to assess differences in police enforcement or violence by ethnic/racial identity, which may have limited the ability to detect whether observed differences are statistically significant. Data show that Black women and those identifying as Gypsy, Roma, or Traveler experience disproportionate custodial remand and sentencing compared to Asian and white women [19, 47]. We recognize the risks of downplaying effects by collapsing ethnic/racial identity into a binary category and inability to document differential needs and experiences within ethnically or racially minoritized groups. However, this exploratory analysis was urgently needed, particularly in the context of limited UK-based research on the experiences of ethnically and racially minoritized sex workers. The sample size also precluded the measurement of the potential modifying effects of working in street settings on police enforcement; further research is needed to understand how these effects manifest for sex workers of different racial/ethnic identities and in different work settings. It is possible that migration status confounded the relationship between race/ethnicity and enforcement or violence. Previous research has suggested few differences in relation to sexual or physical violence or enforcement between migrant and UK-born sex workers working in off-street settings [48], although our and others’ qualitative research demonstrates how migrants are targeted by both police and immigration authorities [29, 49]. Reports of insecure residency were similarly distributed by ethnic/racial identity, and all multivariable models adjusted for migration status. However, we had difficulties in recruiting the minority of migrant women working in street-settings, prohibiting our ability to generalize findings to this population.
Our findings support the growing body of evidence showing that repressive policing disproportionately targets minoritized and marginalized sex workers, has a negative impact on sex workers’ health, and is linked to heightened risk of rape and emotional violence. The extensive police enforcement, violence, arrest, imprisonment, and extortion that land disproportionately on ethnic or racialized minority sex workers further support sex workers’ and human rights organizations’ calls to decriminalize sex work as a matter of racial justice as well as one of broader health and social justice [50]. Participants were most often enforced against for reasons other than sex work, in line with the qualitative study and international evidence which demonstrates how cis and trans women, who work on street and use drugs, are racially minoritized and/or migrants are disproportionately targeted by enforcement and denied access to justice [5, 46]. Decriminalization of sex work must therefore occur concurrently with decriminalizing drug possession and use, and addressing social exclusion and discrimination in relation to sex work, sexual and gender identity, housing, poverty, race, and ethnicity at a young age. Services are needed that can cater to these intersecting oppressions, particularly around preventing and addressing the consequences of sexual and emotional violence. Such interventions are currently inadequate and poorly evidenced [51, 52]. Mainstream and sex worker support services must be actively inclusive of and involve minoritized and marginalized sex workers in the development and delivery of services and receive full investment to do this. This is needed to ensure that sex workers who experience harms and neglect receive the resources and positive outcomes that they are entitled to. In light of these findings and mounting evidence of systemic racism, misogyny, and discriminatory practices within police and public services, we call upon regulatory bodies to evaluate services to ensure that government institutions appropriately respond to the diverse needs of sex workers rather than further entrenching inequalities and perpetuating criminalization, poverty, and stigma.

Acknowledgements

We thank all the participants who were so generous with their time and for sharing their story. Thanks also to Jacqueline Vennard, Fatima Roberts, Ali Coxall, and Angela Costetsos at Open Doors and Kim Leverett at Barts Health NHS Trust, for expert advice and facilitating recruitment. We are also grateful for the expert input from our advisory group including Penny Bevan, Del Campbell, Rosie Campbell, Guy Collings, Alex Feis-Bryce, Gwenda Hughes, Cari Mitchell, Eammon O’Moore, Maryam Shahmanesh, Georgina Perry, Richard Unwin, and Helen Ward. We also thank the broader study team Janet Eastham, Aisling Gallagher, Sarah Creighton, Maggie O’Neil, Luca Stevenson, and Chelsea Ziegler for their time and insightful contributions. The National Institute for Health Research (NIHR) Public Health Research Programme (PHR) funded this study (PHR 15/55/58). Their committee peer reviewed the proposal before funding was approved. Thereafter, the NIHR PHR was entirely independent of the data collection, analysis, and interpretation.
Open AccessThis article is licensed under a Creative Commons Attribution 4.0 International License, which permits use, sharing, adaptation, distribution and reproduction in any medium or format, as long as you give appropriate credit to the original author(s) and the source, provide a link to the Creative Commons licence, and indicate if changes were made. The images or other third party material in this article are included in the article’s Creative Commons licence, unless indicated otherwise in a credit line to the material. If material is not included in the article’s Creative Commons licence and your intended use is not permitted by statutory regulation or exceeds the permitted use, you will need to obtain permission directly from the copyright holder. To view a copy of this licence, visit http://creativecommons.org/licenses/by/4.0/.

Publisher’s Note

Springer Nature remains neutral with regard to jurisdictional claims in published maps and institutional affiliations.
download
DOWNLOAD
print
DRUCKEN
Titel
The Effect of Systemic Racism and Homophobia on Police Enforcement and Sexual and Emotional Violence among Sex Workers in East London: Findings from a Cohort Study
Verfasst von
Lucy Platt
Raven Bowen
Pippa Grenfell
Rachel Stuart
M. D. Sarker
Kathleen Hill
Josephine Walker
Xavier Javarez
Carolyn Henham
Sibongile Mtetwa
James Hargreaves
M.-C. Boily
Peter Vickerman
Paz Hernandez
Jocelyn Elmes
Publikationsdatum
12.10.2022
Verlag
Springer US
Erschienen in
Journal of Urban Health / Ausgabe 6/2022
Print ISSN: 1099-3460
Elektronische ISSN: 1468-2869
DOI
https://doi.org/10.1007/s11524-022-00673-z
1.
Zurück zum Zitat Beattie TS, Smilenova B, Krishnaratne S, Mazzuca A. Mental health problems among female sex workers in low- and middle-income countries: a systematic review and meta-analysis. PLoS Med. 2020;17(9):e1003297.CrossRef
2.
Zurück zum Zitat Deering KN, Amin A, Shoveller J, et al. A systematic review of the correlates of violence against sex workers. Am J Public Health. 2014;104(5):e42–54.CrossRef
3.
Zurück zum Zitat Shannon K, Strathdee SA, Goldenberg SM, et al. Global epidemiology of HIV among female sex workers: influence of structural determinants. Lancet. 2015;385(9962):55–71.CrossRef
4.
Zurück zum Zitat Puri N, Shannon K, Nguyen P, Goldenberg SM. Burden and correlates of mental health diagnoses among sex workers in an urban setting. BMC Womens Health. 2017;17(1):133.CrossRef
5.
Zurück zum Zitat Platt L, Grenfell P, Meiksin R, et al. Associations between sex work laws and sex workers’ health: a systematic review and meta-analysis of quantitative and qualitative studies. PLoS Med. 2018;15(12):e1002680.CrossRef
6.
Zurück zum Zitat Dewey S, St Germain T. “It depends on the cop:” street-based sex workers’ perspectives on police patrol officers. Sex Res Social Policy. 2014;11(3):256–70. CrossRef
7.
Zurück zum Zitat Lyons T, Kerr T, Duff P, Feng C, Shannon K. Youth, violence and non-injection drug use: nexus of vulnerabilities among lesbian and bisexual sex workers. AIDS Care. 2014;26(9):1090–4.CrossRef
8.
Zurück zum Zitat Rhodes T, Simic M, Baros S, Platt L, Zikic B. Police violence and sexual risk among female and transvestite sex workers in Serbia: qualitative study. BMJ. 2008;337:a811-817.CrossRef
9.
Zurück zum Zitat Bingham B, Leo D, Zhang R, Montaner J, Shannon K. Generational sex work and HIV risk among Indigenous women in a street-based urban Canadian setting. Cult Health Sex. 2014;16(4):440–52.CrossRef
10.
Zurück zum Zitat Culhane D. Their spirits live within us—Aboriginal women in Downtown Eastside Vancouver emerging into visibility. Am Indian Q. 2003;27:593–606.CrossRef
11.
Zurück zum Zitat Duff P, Bingham B, Simo A, Jury D, Reading C, Shannon K. The ‘stolen generations’ of mothers and daughters: child apprehension and enhanced HIV vulnerabilities for sex workers of Aboriginal ancestry. PLoS ONE. 2014;9(6):e99664–e99664.CrossRef
12.
Zurück zum Zitat Paradies Y. A systematic review of empirical research on self-reported racism and health. Int J Epidemiol. 2006;35(4):888–901.CrossRef
13.
Zurück zum Zitat Williams DR. Race, Socioeconomic status, and health the added effects of racism and discrimination. Ann NY Acad Sci. 1999;896(1):173–88.CrossRef
14.
Zurück zum Zitat Equality and Human Rights Commission. Healing a divided Britain: the need for a comprehensive race equality strategy. London: Equality and Human Rights Commission; 2016. Available https://www.equalityhumanrights.com/sites/default/files/healing_a_divided_britain_-_the_need_for_a_comprehensive_race_equality_strategy_final.pdf. Accessed 01/07/2022.
15.
Zurück zum Zitat Lett E, Asabor EN, Corbin T, Boatright D. Racial inequity in fatal US police shootings, 2015–2020. J Epidemiol Community Health. 2020;75:394–7.CrossRef
16.
Zurück zum Zitat Lewis TT, Cogburn CD, Williams DR. Self-reported experiences of discrimination and health: scientific advances, ongoing controversies, and emerging issues. Annu Rev Clin Psychol. 2015;2015(11):407–40.CrossRef
17.
Zurück zum Zitat Motley RO Jr, Joe S. Police use of force by ethnicity, sex, and socioeconomic class. J Soc Social Work Res. 2018;9(1):49–67.CrossRef
18.
Zurück zum Zitat Ministry of Justice. Statistics on race and the criminal justice system 2018. London: Ministry of Justice; 2019. Available https://assets.publishing.service.gov.uk/government/uploads/system/uploads/attachment_data/file/849200/statisticson-race-and-the-cjs-2018.pdf. Accessed 01/07/2022.
19.
Zurück zum Zitat The Traveller Movement. A profile of prisoners in the adult prison estate. London: The Traveller Movement; 2020.
20.
Zurück zum Zitat James SE, Herman JL, Rankin S, Keisling M, Mottet L, Anafi M. The report of the 2015 U.S. transgender survey. Washington, D.C.: National Center for Transgender Equality. Available https://transequality.org/sites/default/files/docs/usts/USTS-Full-Report-Dec17.pdf.
21.
Zurück zum Zitat Meyer IH, Flores AR, Stemple L, Romero AP, Wilson BDM, Herman JL. Incarceration rates and traits of sexual minorities in the United States: National Inmate Survey, 2011–2012. Am J Public Health. 2016;107(2):267–73.CrossRef
22.
Zurück zum Zitat Westwood S, Willis P, Fish J, et al. Older LGBT+ health inequalities in the UK: setting a research agenda. J Epidemiol Community Health. 2020;74(5):408.CrossRef
23.
Zurück zum Zitat Rhodes T. Risk environments and drug harms: a social science for harm reduction approach. Int J Drug Policy. 2009;20(3):193–201.CrossRef
24.
Zurück zum Zitat Shannon K, Goldenberg SM, Deering KN, Strathdee SA. HIV infection among female sex workers in concentrated and high prevalence epidemics: why a structural determinants framework is needed. Curr Opin HIV AIDS. 2014;9(2):174–82.CrossRef
25.
Zurück zum Zitat Crenshaw K. Mapping the margins: intersectionality, identity politics, and violence against women of color. Stanford Law Rev. 1993;43(6):1241–99.CrossRef
26.
Zurück zum Zitat Logie CH, James L, Tharao W, Loutfy MR. HIV, gender, race, sexual orientation, and sex work: a qualitative study of intersectional stigma experienced by hiv-positive women in Ontario, Canada. PLoS Med. 2011;8(11):e1001124.CrossRef
27.
Zurück zum Zitat Baral SD, Friedman MR, Geibel S, et al. Male sex workers: practices, contexts, and vulnerabilities for HIV acquisition and transmission. Lancet. 2015;385(9964):260–73.CrossRef
28.
Zurück zum Zitat Crenshaw K, Ritchie A, Anspach R, Gilmer R, Harris L. Say her name. Resisting police brutality against Black Women. New York, NY: Centre for Intersectionality and Social Policy Studies. Available https://scholarship.law.columbia.edu/faculty_scholarship/3226.
29.
Zurück zum Zitat Grenfell P, Stuart R, Eastham J, et al. Policing and public health interventions into sex workers’ lives: necropolitical assemblages and alternative visions of social justice. Crit Public Health. 2022 (in press).
30.
Zurück zum Zitat Footer KHA, Park JN, Allen ST, et al. Police-related correlates of client-perpetrated violence among female sex workers in Baltimore City. Maryland Am J Public Health. 2019;109(2):289–95.CrossRef
31.
Zurück zum Zitat Mc Grath-Lone L, Marsh K, Hughes G, Ward H. The sexual health of female sex workers compared with other women in England: analysis of cross-sectional data from genitourinary medicine clinics. Sex Transm Infect. 2014;90(4):344–50.CrossRef
32.
Zurück zum Zitat Bauer GR. Incorporating intersectionality theory into population health research methodology: challenges and the potential to advance health equity. Soc Sci Med. 2014;110:10–7.CrossRef
33.
Zurück zum Zitat Hester M, Mulvihill N, Matolcsi A, Lanau Sanchez A, Walker S-J. The nature and prevalence of prostitution and sex work in England and Wales today. Bristol: Centre for Gender and Violence Research, University of Bristol; 2019.
34.
Zurück zum Zitat Elmes J, Stuart R, Grenfell P, et al. Effect of police enforcement and extreme social inequalities on violence and mental health among women who sell sex: findings from a cohort study in London, UK. Sex Transm Infect. 2021;98:323–31.CrossRef
35.
Zurück zum Zitat Löwe B, Wahl I, Rose M, et al. A 4-item measure of depression and anxiety: validation and standardization of the Patient Health Questionnaire-4 (PHQ-4) in the general population. J Affect Disord. 2010;122(1):86–95.CrossRef
36.
Zurück zum Zitat Bowen R. Work, money and duality. Bristol: Bristol University Press and Policy; 2021.CrossRef
37.
Zurück zum Zitat Krüsi A, Kerr T, Taylor C, Rhodes T, Shannon K. ‘They won’t change it back in their heads that we’re trash’: the intersection of sex work-related stigma and evolving policing strategies. Sociol Health Illn. 2016;38(7):1137–50.CrossRef
38.
Zurück zum Zitat van Veen MG, Götz HM, van Leeuwen PA, Prins M, van de Laar MJ. HIV and sexual risk behavior among commercial sex workers in the Netherlands. Arch Sex Behav. 2010;39(3):714–23.CrossRef
39.
Zurück zum Zitat El-Bassel N, Witte SS, Wada T, Gilbert L, Wallace J. Correlates of partner violence among female street-based sex workers: substance abuse, history of childhood abuse, and HIV risks. AIDS Patient Care STDs. 2001;15(1):41–51.CrossRef
40.
Zurück zum Zitat Jeal N, Salisbury C. Health needs and service use of parlour-based prostitutes compared with street-based prostitutes: a cross-sectional survey. BJOG Int J Obs & Gynae. 2007;114(7):875–81.CrossRef
41.
Zurück zum Zitat Shelton J, DeChants J, Bender K, et al. Homelessness and housing experiences among LGBTQ young adults in seven U.S. cities. Cityscape. 2018;20(3):9–34.
42.
Zurück zum Zitat The Albert Kennedy Trust. LGBT Youth Homelessness: A UK national scoping of cause, prevalence, response and outcome. London: The Albert Kennedy Trust; 2014. Available https://www.basw.co.uk/system/files/resources/basw_31219-10_0.pdf.
43.
Zurück zum Zitat Geary RS, Tanton C, Erens B, et al. Sexual identity, attraction and behaviour in Britain: the implications of using different dimensions of sexual orientation to estimate the size of sexual minority populations and inform public health interventions. PLOS ONE. 2018;13(1):e0189607.CrossRef
44.
Zurück zum Zitat Office for National Statistics. Regional ethnic diversity. London: Office of National Statistics. Available https://www.ethnicity-factsfigures.service.gov.uk/uk-population-by-ethnicity/national-and-regional-populations/regional-ethnicdiversity/latest#ethnic-groups-by-area. Accessed 01/07/2022.
45.
Zurück zum Zitat Rash CJ, Burki M, Montezuma-Rusca JM, Petry NM. A retrospective and prospective analysis of trading sex for drugs or money in women substance abuse treatment patients. Drug Alcohol Depend. 2016;162:182–9.CrossRef
46.
Zurück zum Zitat Lyons T, Krusi A, Pierre L, Kerr T, Small W, Shannon K. Negotiating violence in the context of transphobia and criminalization: the experiences of trans sex workers in Vancouver Canada. Qual Health Res. 2017;27(2):182–90.CrossRef
47.
Zurück zum Zitat Prison Reform Trust. Counted Out: Black, Asian and minority ethnic women in the criminal justice system. London: Prison Reform Trust; 2017. Available https://prisonreformtrust.org.uk/publication/counted-out-black-asian-and-minority-ethnic-women-in-the-criminal-justice-system/.
48.
Zurück zum Zitat Platt L, Grenfell P, Bonell C, et al. Risk of sexually transmitted infections and violence among indoor-working female sex workers in London: the effect of migration from Eastern Europe. Sex Transm Infect. 2011;87(5):377–84.CrossRef
49.
Zurück zum Zitat McBride B, Goldenberg SM, Murphy A, et al. Protection or police harassment? Impacts of punitive policing, discrimination, and racial profiling under end-demand laws among im/migrant sex workers in Metro Vancouver. SSM Qual Res Health. 2022;2:100048.CrossRef
50.
Zurück zum Zitat Amnesty International. From margin to centre: sex work decriminalization is a racial justice issue. Available https://www.amnestyusa.org/from-margin-to-center-sex-work-decriminalization-is-a-racial-justice-issue/. Accessed 24/06/2022
51.
Zurück zum Zitat Caswell RJ, Ross JDC, Lorimer K. Measuring experience and outcomes in patients reporting sexual violence who attend a healthcare setting: a systematic review. Sex Transm Infect. 2019;95(6):419.CrossRef
52.
Zurück zum Zitat Coulter RWS, Egan JE, Kinsky S, et al. Mental health, drug, and violence interventions for sexual/gender minorities: a systematic review. Pediatrics. 2019;144(3):e20183367.CrossRef