Zum Inhalt

What we see is what we touch? Sex estimation on the skull in virtual anthropology

  • Open Access
  • 30.04.2024
  • Original Article
Erschienen in:

Abstract

Background

The increased use of virtual bone images in forensic anthropology requires a comprehensive study on the observational errors between dry bones and CT reconstructions. Here, we focus on the consistency of nonmetric sex estimation traits on the human skull.

Materials and methods

We scored nine nonmetric traits on dry crania and mandibles (n = 223) of archaeological origin and their CT reconstructions. Additionally, we 3D surface scanned a subsample (n = 50) and repeated our observations. Due to the intricate anatomy of the mental eminence, we split it into two separate traits: the bilateral mental tubercles and the midsagittal mental protuberance. We provide illustrations and descriptions for both these traits.

Results

We obtained supreme consistency values between the CT and 3D surface modalities. The most consistent cranial traits were the glabella and the supraorbital margin, followed by the nuchal crest, zygomatic extension, mental tubercles, mental protuberance, mental eminence, mastoid process and ramus flexure, in descending order. The mental tubercles show higher consistency scores than the mental eminence and the mental protuberance.

Discussion

The increased interchangeability of the virtual modalities with each other as compared to the dry bone modality could be due to the lack of tactility on both the CT and surface scans. Moreover, tactility appears less essential with experience than a precise trait description. Future studies could revolve around the most consistent cranial traits, combining them with pelvic traits from a previous study, to test for accuracy.

Publisher's Note

Springer Nature remains neutral with regard to jurisdictional claims in published maps and institutional affiliations.

Introduction

Sex estimation

In 1970 [1], the occipital protuberance, mastoid process, glabella, supraorbital margin and mental eminence were described among other traits on the human skull for sex estimation. These five traits scored on a scale from 0 to 5 had originally been published by Broca [2]. Acsádi and Nemeskéri (1970) changed the scale from + 2 (hypermasculine) to -2 (hyperfeminine). The five traits were republished by Buikstra and Ubelaker [3], provided with a line drawing and reorganized on a scale of 1 (female) to 5 (male). Score 2 referred to probable female, 3 to ambiguous sex, and 4 to probable male [3]. At the same time, the occipital protuberance was renamed nuchal crest [3]. In 2008, Walker [4] combined the traits further into a method, included different population groups, reworded the trait descriptions slightly and applied statistical tests to quantify the resulting accuracy. Finally, in MorphoPASSE [5] the repeatability of observations was increased by the inclusion of photographic depiction of each trait together with their description. In addition, explicit descriptions of the intermediate scores 2, 3 and 4 were supplied [5].

Imaging techniques in anthropology

The application of imaging techniques within forensic anthropology has become prevalent since the turn of the millennium [614], favored by advantages such as global data accessibility [15] and the non-invasive nature of imaging techniques [16]. While identified osteological collections have traditionally been used for forensic anthropological research [17], they do not always reflect a present-day context, thus potentially distorting the applicability of research output for modern forensic circumstances [18]. Relating to the increasing ethical concern revolving around identified osteological collections and human remains in general [19, 20], more virtual collections, mostly consisting of computed tomography (CT) scans, have been established in recent years [2124]. In parallel, open-source software packages have become available, allowing the analysis of CT scans for forensic anthropological research [21] and the application of sophisticated morphometric protocols [25]. This ongoing trend requires a thorough investigation in the comparability of commonly used methods to estimate the biological profile between the analogous (dry bone) and the virtual modalities. However, a wider ethical consensus regarding data sharing and 3D printing has yet to be agreed upon [24], and data safety and storage must be warranted perpetually [26]. In addition, the lack of tactility on virtual bone reconstructions may influence our perception of a feature [2730]. For instance, dry bones or 3D prints of bone models are more suitable educational material for osteology students than 3D models on a screen [29]. However, the influence of tactility for advanced osteologists as they use virtual bone models for their research is largely unknown and constitutes the target of our study. It is therefore essential to assess the errors associated with methods developed on dry bones when applied to virtual modalities. In this paper, we analyze cranial sex estimation methods to virtual modalities and investigate the interchangeability of modalities [27, 31, 32].
Earlier studies have tested the efficacy of cranial sex estimation methods applied to a virtual environment [11, 3335] without, however, repeating observations on dry bone for direct comparison. Thus, these studies did not focus on the interchangeability of modalities. Other studies have considered modality interchangeability (e.g. the similarity of observations across modalities), comparing dry bones with virtual images, but have used relatively small sample sizes [9, 29, 3638]. To the best of our knowledge, only one study so far was dedicated to the comparison of the dry bone and micro-focus X-ray computed tomography (micro-XCT) on a larger sample (N = 105), although limiting the focus to the mental eminence [27]. Their results suggested a low consistency for the scoring of the mental eminence across the two modalities [27]. Considering this finding, we seek an amelioration of the trait and attempt to divide the traditional mental eminence trait into the bilateral mental tubercles and the midsagittal mental protuberance. We do this in an attempt to improve the consistency of this trait across the modalities.
It is worth stressing that our focus is not the evaluation of possible differences between scoring protocols in their performance of accurately discriminating between sexes. Rather, our concern is establishing which type of error (within and among observer, and between modalities) affects the evaluation of each feature by using, for the first time, an extensive dataset. Thus, the aim of this work is the exploration of the presence and type of deviations in the scoring of sexually dimorphic traits on the cranium and mandible when observed on the analogous (dry bone) and virtual (CT) modalities. As an additional pilot comparison, we added a subsample of 3D surface scans to the study to have an idea of how virtual modalities compare with each other. In particular, this study builds up around three research questions:
a)
What is the error when observing the sex estimation traits on skulls and on CT reconstructions of the same specimens, e.g., are these two modalities interchangeable for the scoring protocols under analysis?
 
b)
As an additional pilot project on a subsample, what is the error when observing the same scoring protocols to 3D surface scans, as compared to dry bones and CT reconstructions?
 
c)
Can we score the mental tubercles and the mental protuberance on the mandible more consistently on the different modalities (dry bone, CT and surface scans) than the traditional mental eminence trait, e.g., are the modalities interchangeable for the two separate traits?
 

Materials and methods

Materials

The forensic database of the Institute of Forensic Medicine (IRM) in Bern consists of postmortem CT (PMCT) datasets and forensic reports; no macerated dry bones are available for analysis. The latter are, however, a prerequisite for a comparison between observation modalities. Considering this issue, and the fact that our focus is not the estimation of sex (which would require an identified sample), but the quantification of the error affecting the scoring of features routinely used to estimate sex, we decided to base our study on a large osteoarchaeological sample. This includes 223 paired crania and mandibles from archaeological burial sites in Switzerland, dating between the seventh and the nineteenth centuries CE (Table 1). For each context, estimates of demographic parameters (age-at-death and sex) are available from previous anthropological reports [3941]. Individuals were included in this study based on their relatively good preservation and estimated age-at-death of ca. 18 years and older. We excluded specimens exhibiting pathologic features possibly affecting the cranial and/or mandibular morphology (e.g., fractures, metabolic conditions, or developmental anomalies).
Table 1
Archaeological sites from which the specimens in our study originate, including chronologies, number of female and male specimen, and modalities (dry bone, CT and surface scans)
Site
Period
F
M
Dry bone
CT
Artec 3D
Bern Grosse Schanze
18th-19th cent
6
13
x
x
 
Biel-Mett Kirche
7th-9th/13th-14th cent
15
14
x
x
 
Büren Chilchmatt
8th-16th cent
8
13
x
x
 
Ins Kirchgemeindehaus
6th-10th cent
23
27
x
x
x
Kallnach Bergweg 95
6th-10th cent
17
20
x
x
 
Köniz Kirche
6th-14th cent
11
0
x
x
 
Miscellaneous
 
2
0
x
x
 
Nidau
16th-17th cent
3
0
x
x
 
Steffisburg
7th-11th cent
8
0
x
x
 
Twann St. Petersinsel
8th-14th cent
9
33
x
x
 
Zweisimmen
8th-16th cent
1
0
x
x
 
Bold: site used for intra- and interobserver, as well as intermodality agreements on all three modalities.

Methods

CT and 3D surface scanning

The crania and mandibles were CT scanned separately, with a Somatom Definition AS 64 (Siemens, Berlin/Munich, Germany) with the following parameters: 140 kV, 118–216 mAs, slice thickness: 0.6 mm, increment: 0.3 mm; 512 × 512 pixel matrix, field of view 200 mm to 400 mm. We exported all raw data from PACS IDS 7 v. 20.2.8.3353 (Sectra, Linköping, Sweden), reconstructing them in Avizo (Thermo Fisher Scientific Inc., Waltham, Massachusetts, USA). Additionally, for a subset of 50 crania and mandibles (23 female, 27 male), we performed surface scans (Table 1), using an Artec Space Spider scanner (Artec 3D, Luxembourg) with a setting of eight frames per second. We reconstructed the scans with Artec Studio 15 software (Artec 3D, Luxembourg). For the scoring of all the 3D models (both CT and surface scans), we used the Artec Studio software.

Scoring protocols

For each specimen, we scored cranial and mandibular traits based on the protocols of Loth and Henneberg [42], Walker [4, 5] and Langley et al. [43]:
The method by Loth and Henneberg [42] attempts to quantify the degree of sexual dimorphism of the mandibular ramus, which is scored based on its relative flexure with respect to the occlusal plane. Accordingly, the left and right ramus can be "flexed" (+ 1) or "straight" (-1), the two scores corresponding to male and female, respectively. Given the known effect of intra vitam tooth loss on mandibular morphology [4446], we scored the ramus flexure only for individuals featuring an Eichner Index [47, 48] of A1 (no intra vitam loss of premolars or molars) and A2 (a maximum of one antagonistic contact in the premolars and molars lost intra vitam).
The method by Walker (2008) encompasses five traits (nuchal crest, mastoid process, supra-orbital margin, glabella, and mental eminence), scored according to an ordinal scale from 1 (female/gracile) to 5 (male/robust), with scores 2 and 4 corresponding to "probably female" and "probably male" morphologies, respectively, and score 3 to "indeterminate". We based our scoring on the criteria listed by Walker (2008) and MorphoPASSE [5]. Considering the finding by Braun et al. (2022), we will divide the mental eminence trait into the mental tubercles and the sagittal mental protuberance in our study, in addition to scoring the traditional mental eminence. With this attempt, we keep two features apart that make the human menton 'much more complex' in its expression [49] than the description in Walker [4] might suggest. To score the expression of the mental tubercles and the mental protuberance, we applied the same scoring protocol (scores 1 to 5), with minimal and maximal expression of the traits corresponding to score 1 and score 5, respectively (Figs. 1 and 2, Table 2).
Fig. 1
CT scans of mental tubercles (black arrows) scores 1 to 5 with increasing expression of the trait, independent from mental protuberance. Individuals Ins Kirchgemeindehaus (3465, 3466, 3469) and Twann (3365 and 3371), respectively
Bild vergrößern
Fig. 2
CT scans of mental protuberance (white arrows) scores 1 to 5 with increasing expression of the trait, independent from mental tubercles. Individuals Ins Kirchgemeindehaus (3543, 3472, 3469, 3529) and Steffisburg (3975), respectively
Bild vergrößern
Table 2
Description for the mental tubercles and mental protuberance
Score
Mental tubercles
Mental protuberance
1
No tubercles detectable visually and tactilely; chin is rounded
No sagittal protuberance detectable; the area between and above the tubercles is not elevated
2
Small tubercles are detectable visually and tactilely
Slight sagittal protuberance in the area between and above the tubercles
3
Intermediate sized tubercles well distinguishable visually and tactilely
Intermediate sized sagittal protuberance, well detectable visually and tactilely
4
Large tubercles, hinting at a squaring of the menton, detectable visually
Large sagittal protuberance, bulging detectable visually
5
Extreme tubercles, delineating a square menton, detectable visually
Extreme sagittal protuberance, detectable visually
We scored the zygomatic extension according to Langley and colleagues [43]. The ordinal scoring scale corresponds to score 1: "an absent ridge or extension" and score 5: a "robust and prominent ridge" [43], with scores 2, 3 and 4 described in detail.
Whenever available, we scored the mastoid process and supraorbital margin on the left side, using the right otherwise. For the zygomatic extension, we scored the right side [43]. We scored the bilateral mental tubercles and ramus flexure on both sides.

Data analysis

Intra- and interobserver agreement

We quantified the intra- and interobserver agreements based on a subsample of 50 skulls. Two observers carried out the observations independently on the dry bone and the virtual modalities. A first observer (SB) scored these 50 specimens twice per modality (Artec 3D surface scans [A], dry bone [B] and CT [C]), at an interval of at least two weeks between observations. A second observer (MM) scored the 50 individuals once per modality (Table 3).
Table 3
Intra- and interobserver, as well as intermodality agreement tests
Agreement test
Modalities
Abbrev
N skulls
Intraobserver
Artec 3D—Artec 3D
AA
50
Intraobserver
Dry bone—dry bone
BB
50
Intraobserver
CT—CT
CC
50
Interobserver
Artec 3D—Artec 3D
AA*
50
Interobserver
Dry bone—dry bone
BB*
50
Interobserver
CT—CT
CC*
50
Intermodality
Artec 3D—dry bone
AB
50
Intermodality
Artec 3D—CT
AC
50
Intermodality
Dry bone—CT
BC
223

Intermodality agreement

We assessed the agreement between the observations on dry bone, CT and surface scan models by comparing the scores assigned to the same specimens on each modality (Fig. 3). For this purpose, we used the data collected by the first observer during the first scoring. Since surface scans are available only for a subset of 50 individuals, the sample size for each comparison differs (Table 3). The intermodality agreement was tested between 3D surface scans and dry bone (abbreviation: AB, n = 50), 3D surface and CT scans (AC, n = 50) and dry bone and CT scans (BC, n = 223).
Fig. 3
Cranium of specimen Ins Kirchgemeindehaus (3484) as dry bone (a), CT scan (b) and 3D surface scan (c)
Bild vergrößern
We applied Cohen's kappa κ [50] tests to calculate the agreements in the scoring of categorical variables [42]. For the traits in Walker [4] and Langley et al. [43], which are ordinally scored, we applied Cohen's weighted κ [50] tests. We set a threshold value for acceptable agreement at κ ≥ 0.6 [30, 51, 52], translating into substantial to almost perfect agreement according to Landis and Koch [53]. We compared out observations with the dry bone modality, which we considered the baseline because the protocols were developed on that environment.

Trait performance

We analyzed the individual traits and their κ-values across all tests in order to analyze the error associated with the comparisons across observers and between the analogous and the virtual modalities.

Consistency and availability

For the trait consistency, we scored a 1 for κ-values greater than 0.6, and a 2 for κ-values below 0.6. Moreover, we also investigated how often a trait was available for observation and combined this analysis with that of trait consistency. If a trait is not readily observable due to fragmentation, its value is questionable even if it exhibits a high degree of consistency. Consequently, we classified the traits into three groups: 1 ('mostly available': availability > 80%), 2 ('fairly often available': availability between 60 and 80%), and 3 ('not readily available': availability < 60%). Thus, traits could vary between a minimum score of 2 for great consistency and availability, and a maximum score of 5 for poor consistency and availability.
For all analyses and figures we used the packages irr [54] for the agreement analyses and fmsb [55] and ggplot2 [56] for the graphics in R (version 4.1.4)

Results

Intraobserver agreements

All mean κ-values for the left and right mandibular ramus flexure were below the acceptable threshold of 0.6 (mean 0.479, standard deviation [SD] 0.131, mean 2.53, SD 0.020 and mean 0.409, SD 0.198). For the 3D surface scan and the CT tests, we obtained κ-values greater than 0.6 (mean 0.702, SD 0.124 for AA and mean 0.642, SD 0.108 for CC). The dry bone comparison (BB) was below 0.6 (mean 0.415, SD 0.188).

Interobserver agreements

In the interobserver agreement tests (AA*, BB*, CC*), the mean κ-values for all three comparisons of ramus flexure and ordinal traits were lower than 0.6.

Intermodality agreements

The negative κ-value (-0.087) in the 3D surface-CT scan (AC) comparison suggests an agreement lower than chance [53]. The highest mean values for the intermodality tests were 0.667 for the categorical and 0.643 for the ordinal traits. The remaining comparisons yielded mean κ-values below 0.6.

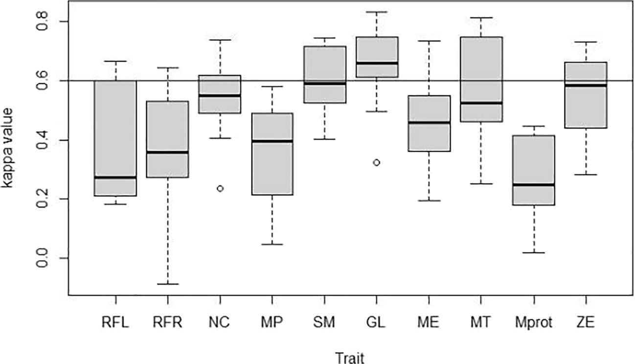
Analysis per trait

The analysis per trait (Fig. 4) shows that only the glabella and the supraorbital margin yield a mean κ-value above the acceptable threshold of 0.6 (mean 0.643, SD 0.138, and mean 0.604, SD 0.105, respectively). All other traits are below this value. We find that the mental tubercles fare better (mean 0.553, SD 0.170) than the mental eminence (mean 0.473, SD 0.149), while the mental protuberance (mean 0.258, SD 0.137) results in an even lower agreement.
Fig. 4
Trait performance for mandibular ramus flexure left and right (RFL/RFR) and ordinal traits of the cranium. Horizontal line indicates κ-value 0.6. RFL = ramus flexure left; RFR = ramus flexure right; NC = nuchal crest; MP = mastoid process; SM = supraorbital margin; GL = glabella; ME = mental eminence; MT = mental tubercles; Mprot = mental protuberance; ZE = zygomatic extension
Bild vergrößern
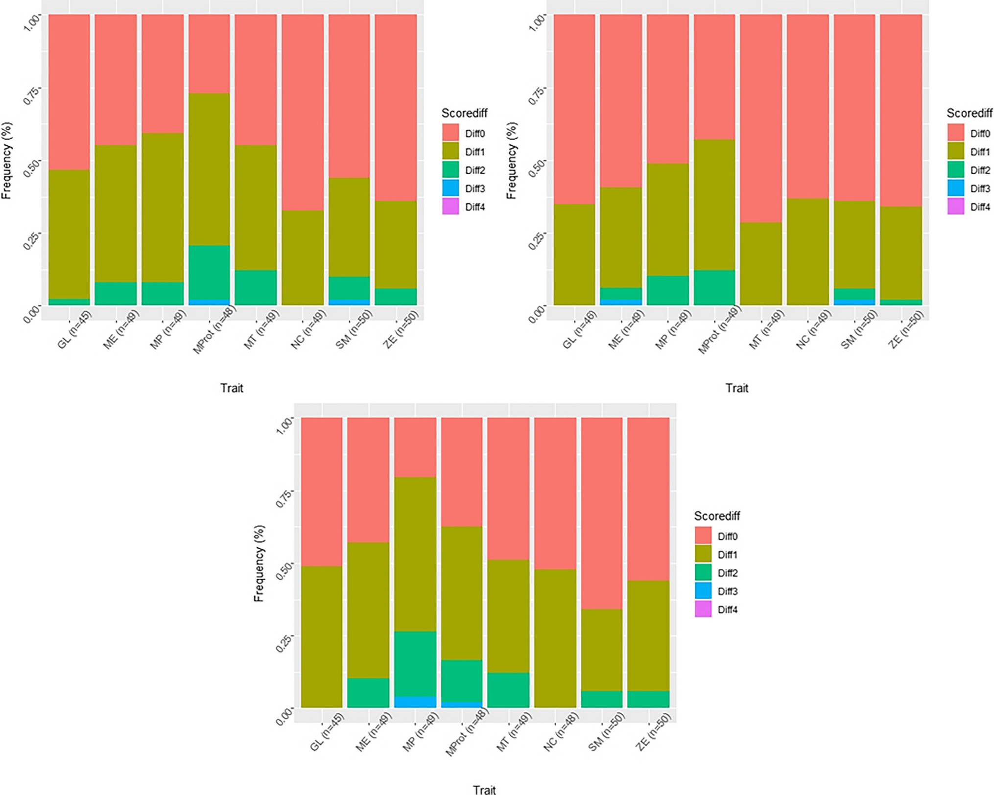
Figure 5 shows the trait performance per modality comparison, highlighting the relative frequency of the differences between scores, with the highest proportion of zero difference between scores (Diff0), and the maximal difference of 4 scores (Diff4) between modalities.
Fig. 5
Plots of the ordinally scored traits of the cranium and the mandible. Comparison top left: surface scan-dry bone (AB); top right: surface scan-CT (AC); bottom: dry bone-CT (BC). Diff0 indicates no difference in scoring, Diff4 the maximum difference in scoring between two scorings (e.g. score 1 and score 5 or vice versa). GL = glabella; ME = mental eminence; MP = mastoid process; Mprot = mental protuberance; MT = mental tubercles; NC = nuchal crest; SM = supraorbital margin; ZE = zygomatic extension.
Bild vergrößern
This comparison clarifies that 3D surface and the CT scans yielded the highest frequency of Diff0 and a lower frequency of Diff2 and Diff3. In none of the instances did we assign maximally different scores in our observation (Diff4).
In order to further explore the differences in trait performance, we evaluated the κ-values established in our study (Table 4). The glabella had the highest number of κ-values greater than 0.6, while the mastoid process and the mental protuberance performed below the acceptable agreement threshold across all tests. The results for the supraorbital margin and the zygomatic extension were intermediate. Moreover, the mental tubercles performed better than the mental eminence.
Table 4
κ-values per trait in descending order per trait; n refers to trait availability for BC comparison (n = 223), in bold. Italic font indicates κ-values < 0.6
RFL
RFR
NC
MP
SM
GL
ME
MT
Mprot
ZE
Mod
(n = 54)
Mod
(n = 58)
Mod
(n = 213)
Mod
(n = 215)
Mod
(n = 217)
Mod
(n = 209)
Mod
(n = 218)
Mod
(n = 217)
Mod
(n = 217)
Mod
(n = 221)
BC
0.667
BC
0.643
AA
0.738
AA
0.583
CC
0.745
AA
0.833
AA
0.737
AA
0.815
CC
0.445
AA
0.732
AA
0.609
CC
0.607
AB
0.680
CC
0.512
AA
0.744
CC
0.754
CC
0.666
AC
0.776
AA
0.431
CC
0.667
AA*
0.600
BB*
0.530
AC
0.619
AC
0.490
BC
0.718
BB*
0.749
AC
0.549
CC
0.749
BB
0.415
BB
0.664
BB*
0.273
CC*
0.530
CC
0.596
BB*
0.474
AC
0.641
AC
0.708
BC
0.521
BC
0.562
AC
0.312
AC
0.654
CC*
0.273
AA*
0.357
BB*
0.558
AB
0.441
AB
0.609
BC
0.694
AB
0.482
AB
0.506
BC
0.252
AB
0.611
BB
0.233
AA
0.348
BC
0.544
AA*
0.353
BB*
0.569
AB
0.627
AA*
0.432
AA*
0.471
AA*
0.181
BC
0.560
CC
0.211
BB
0.273
CC*
0.539
BC
0.221
AA*
0.525
BB
0.612
BB
0.361
BB
0.462
AB
0.178
BB*
0.439
AC
0.182
AB
0.200
AA*
0.406
CC*
0.214
BB
0.518
AA*
0.497
BB*
0.356
BB*
0.395
BB*
0.096
CC*
0.290
AB
0.182
AC
-0.087
BB
0.236
BB
0.048
CC*
0.402
CC*
0.324
CC*
0.195
CC*
0.252
CC*
0.019
AA*
0.282
RFL = ramus flexure left; RFR = ramus flexure right; NC = nuchal crest; MP = mastoid process; SM = supraorbital margin; GL = glabella; ME = mental eminence; MT = mental tubercles; Mprot = mental protuberance; ZE = zygomatic extension. AA = intraobserver agreement on the 3D surface scan modality; BB = intraobserver agreement on the dry bone modality; CC = intraobserver agreement on the CT modality. AA* = interobserver agreement on the 3D surface scan modality; BB* = interobserver agreement on the dry bone modality; CC* = interobserver agreement on the CT modality. AB = intermodality agreement on the 3D surface scan and dry bone modalities; AC = intermodality agreement on the 3D surface and CT scan modalities; BC = intermodality agreement on the dry bone and CT scan modalities.

Consistency and availability

The ramus flexure left and right were available in 54 and 58 of the 223 individuals (24.2% and 26.0%, respectively). In contrast, the nuchal crest, mastoid process, supraorbital margin, glabella, mental eminence, mental tubercles, mental protuberance and zygomatic extension were available in over 80% of cases (Fig. 6).
Fig. 6
Trait availability of the categorical (RFL, RFR) and the ordinal traits on dry bone. Horizontal lines indicate 60% and 80% trait availability. RFL = ramus flexure left; RFR = ramus flexure right; NC = nuchal crest; MP = mastoid process; SM = supraorbital margin; GL = glabella; ME = mental eminence; MT = mental tubercles; Mprot = mental protuberance; ZE = zygomatic extension
Bild vergrößern
We found the highest consistency and availability (score 2) for the traits glabella and supraorbital margin throughout all modality comparisons (Fig. 7). The performance of the other ordinal traits (nuchal crest, mastoid process, mental eminence, mental tubercles, mental protuberance and zygomatic extension) was intermediate (scores 3 and 4). The results indicate poor consistency and availability (score 4 and 5) for the ramus flexure left and right.
Fig. 7
Spiderwebs of trait consistency and availability in the three comparisons (AB = surface scans-dry bone; AC = surface-CT scans; BC = dry bone-CT scans). Scores range from 2 (highest) to 5 (poorest). GL and SM performed relatively well throughout; RF poorest. RFL = ramus flexure left; RFR = ramus flexure right; NC = nuchal crest; MP = mastoid process; SM = supraorbital margin; GL = glabella; ME = mental eminence; MT = mental tubercles; Mprot = mental protuberance; ZE = zygomatic extension
Bild vergrößern

Discussion

We stress that the intention of our study was not to analyze the quality of the applied scoring protocols for their reliability to predict sex. The intention was to analyze how well observers could repeat observations of the protocols on different modalities. The importance being that virtual osteological collections become more numerous alongside the existence of their analogous counterparts [17, 2124].
Our first research question concerned the interchangeability of dry skulls and CT images of the same bones, i.e. the type of error associated with the scoring of the same cranial traits on the two modalities. Results suggested that the two modalities were, for the majority of traits, interchangeable, although with some exceptions.
The highest agreement was for the glabella and the supraorbital margin, the poorest for the ramus flexure trait. Relating to the second research question, an interesting result was the high consistency in the scorings between the two virtual modalities (CT and 3D surface scans), especially when comparing the scorings performed on virtual versus dry bone modality. One possible explanation is the lack of a tactile sensation on both virtual modalities, as opposed to the dry bone modality. Comparing a tactile and a non-tactile modality could thus yield more divergent outcomes than comparing two non-tactile modalities with each other.
We carried out the analysis of the second research question as a pilot study on a subsample of 50 specimens as compared to 223 specimens used for the first research question. Hence, a more extensive analysis focusing on the comparison of virtual modalities with each other is desirable. While the comparison of the two virtual modalities resulted in low agreement for the ramus flexure trait, the agreement for the other traits was acceptable, especially for the nuchal crest, the supraorbital margin, the glabella, the mental tubercles and the zygomatic extension. Comparing the dry bone and the surface scan modalities with each other, we obtained agreements below the acceptable threshold, except for the nuchal crest, the supraorbital margin, the glabella and the zygomatic extension. Overall, we found a superior trait consistency and availability for the glabella and supraorbital margin, an intermediate performance for the other traits (mastoid process, mental eminence, mental protuberance, mental tubercles, nuchal crest and zygomatic extension) and a relative inferior performance of the ramus flexure.
As we did not intend to analyze the traits for their sex prediction quality, but how similar or different traits are perceived in visual-tactile versus visual-only environments, it is interesting to discuss possible reasons why some traits resulted in higher intermodality agreement than others. Before discussing this issue, however, the intra- and interobserver agreements in earlier publications about the sex estimation protocols is interesting to note as it may give an indication as to why they are consistent between modalities or why they are not. Walker's interobserver agreement of the five traits (mastoid process, mental eminence, nuchal crest, glabella and supraorbital margin) yielded overall agreement of 96%, with significant differences in the scoring process for the mastoid process [4]. In the intraobserver agreement, Walker postulated a 99.5% agreement [4]. Other studies found the highest intraobserver agreement for the glabella of 78% [49] and κ values below 0.6 for the mental eminence [57]. When Langley et al. added the zygomatic extension to the above mentioned five traits, it yielded interobserver agreement results second best after the glabella [43].
The superiority of the glabella could be owing to its nature as a discernible contour viewed from a lateral perspective. The good results for the supraorbital margin might be due to the lighting and shadows on the virtual modalities, partially compensating the absence of the tactile sensation. The mastoid process performed with a score 3 in all three comparisons. While this trait was readily available, its κ-values were below 0.6 in all tests. Petaros et al. (2015) reported a similarly unsuccessful analysis of the mastoid process [58], while other studies agreed on its superior performance as a sex indicator [57, 59]. With an amendment of the mastoid process involving (geo)metric measurements [58, 60], repeatability and reproducibility as well as modality consistency could possibly benefit the overall performance of this trait.
The relatively poor performance of the ramus flexure traits might have originated from a general difficulty in discerning the feature. In fact, the trait has raised controversy in the literature; while the authors of the original publication insisted on the repeatability of the ramus flexure trait [42, 61], they did not test its reproducibility. Other groups attempting to reproduce the observations did not succeed [6270]. Our results could indicate a similar difficulty with the trait per se and subsequently with its consistency between the modalities. Hence, we can assume that a sex estimation trait with a precise description tested for intra- and interobserver agreement has a chance of being consistent across modalities. If agreements are not tested and other groups are not able to repeat observations, the quality of the trait for consistency on different modalities is questionable. However, we included the ramus flexure protocol on purpose to investigate the performance of a trait that had not been tested for reproducibility. Overall, our findings indicate that the modality is not as influential on the outcome as the description of the trait [30, 52, 71]. Thus, the question may be directed at finding suitable traits to score [72, 73] that are both accurate in predicting sex as well as applicable to the analogous and the virtual environment. Our study supplies information on the latter question. Further research on the former question could now follow.
The skull is a rather robust skeletal structure, contrasting with ribs, which fracture rather easily. Hence, cranial features were generally observable in 80% to 100% of our specimens. In contrast, the often-fragmented mandibular ramus allowed observations of the ramus flexure trait in approximately a quarter of specimens only. Combined with the poor consistency of this trait between the modalities, the ramus flexure trait might not be worth investigating further.
The intermediate results for the third research question involving the mental eminence corroborated the finding of a previous study, which investigated the consistency of this trait on dry bone and micro-XCT reconstructions of 105 South African individuals from the Pretoria Bone Collection with four observers [27]. Results suggested that the mental eminence was not scored consistently on the analogous (dry bone) and the virtual (micro-XCT) modalities [27]. While a strong expression of the mental tubercles is closely linked to a square, male chin, less pronounced tubercles hint at a more rounded and female chin [44, 7476]. Hence, since it is generally acknowledged that the menton exhibits quantifiable sexual dimorphism [7678], this relative inconsistency between the modalities may be caused by an imprecise trait description of the mental eminence. Earlier descriptions of the mental eminence were unclear as to the exact location [3, 4], and later it was stated that "the mental eminence is also known as the mental protuberance" [5]. The different features constituting the menton shape, e.g. protuberance, tubercles, fossa mentalis and incurvatio mandibularis [79], may be expressed in different degrees, independent from each other. Given this intricate anatomy of the menton [49], a precise description of the trait is indispensable in order to promote its consistent scoring across modalities. At the same time, an imprecise trait definition may also lead to an unreliable sex estimation accuracy [49, 57]. This consideration, in conjunction with earlier results [27] suggested the separation of the mental eminence into two components. This led to a higher agreement for the mental tubercles as compared to the mental eminence and the mental protuberance, encouraging an investigation of that trait concerning the accuracy in predicting sex.
The recent paper investigating the modality interchangeability of sex estimation traits on the human pelvis [30] found the greatest consistency in one nonmetric and six metric traits. The iliac tuberosity [80], together with the greater sciatic notch height (adapted definition), the ischium post-acetabular length, the spino-sciatic length, the spino-auricular length, the cotylo-sciatic breadth and the vertical acetabular diameter [81] had resulted in superior consistency and availability [30]. These traits, combined with the glabella and the supraorbital margin could be merged into a new set of sex estimation traits to be tested for its sex prediction accuracy. If the traits yield satisfactory accuracies, they could be combined into a new set of traits for which the modality interchangeability has already been tested. They could then be confidently used on both the dry bone and the CT modality. Likewise, the group of pelvic (postauricular surface, postauricular space, sciatic notch, composite arch, ischio-pubic proportion, subpubic concavity, acetabulo-symphyseal pubic length, cotylo-pubic width, innominate length and iliac breadth) and cranial (nuchal crest, mastoid process, mental eminence, mental tubercles, mental protuberance and zygomatic extension) traits resulting in intermediate performance could be combined and tested for accuracies in a future study. Moreover, the consistency of age-at-death estimation traits could be another field for investigation in a future study.
Limiting factors of our study were the number of virtual modalities included and the state of bone preservation. Both observers had previous experience with the virtual modalities. Comparisons with a study including an observer without any prior experience with virtual images of bones would be interesting as levels of confidence might vary [82]. Moreover, we used different sample sizes for the analysis of our research questions. While our main focus lay on the dry bone-CT comparison, we consider the addition of 3D surface scans a pilot study, encouraging a more extensive analysis with a larger sample of 3D surface scans.
To the best of our knowledge, no research has been published so far comparing the performance of cranial traits on the analogous and the virtual modalities, encompassing a large sample.

Conclusion

The majority of the investigated traits yielded an acceptable performance across all modalities (dry bone, CT and surface scans). We found a superior performance of the two virtual modalities when compared to each other, as opposed to the dry bone environment. However, the dry bone modality still performed within the acceptable threshold, except for the comparison with CT scans on the ordinally scored traits. Thus, we can partly confirm the modality interchangeability as investigated in this work. The degree of detail in the trait definition plays a bigger role in terms of observational error than the specific observation modality (physical versus virtual). This is likely to influence also the accuracy of the deriving sex estimates.
A combination of consistent traits from the pelvis [30] and the skull, as well as potentially other skeletal elements, should be tested for sex estimation accuracy. Consequently, a new sex estimation method could be proposed including traits that are accurate as well as consistent between the analogous and the virtual modalities.

Acknowledgements

We thank the Archaeological Service Bern (ADB), especially Ms Anja Gerth, for having been extremely helpful, organizing the deliveries of the bones to the IRM and adhering to our ambitious time schedule.

Declarations

Conflicts of interest

None.

Research involving human participants and/or animals

Not applicable.
Not applicable.

Ethical approval

Not applicable.
Open Access This article is licensed under a Creative Commons Attribution 4.0 International License, which permits use, sharing, adaptation, distribution and reproduction in any medium or format, as long as you give appropriate credit to the original author(s) and the source, provide a link to the Creative Commons licence, and indicate if changes were made. The images or other third party material in this article are included in the article's Creative Commons licence, unless indicated otherwise in a credit line to the material. If material is not included in the article's Creative Commons licence and your intended use is not permitted by statutory regulation or exceeds the permitted use, you will need to obtain permission directly from the copyright holder. To view a copy of this licence, visit http://creativecommons.org/licenses/by/4.0/.

Publisher's Note

Springer Nature remains neutral with regard to jurisdictional claims in published maps and institutional affiliations.
Download
Titel
What we see is what we touch? Sex estimation on the skull in virtual anthropology
Verfasst von
Sandra Braun
Nicole Schwendener
Fabian Kanz
Sandra Lösch
Marco Milella
Publikationsdatum
30.04.2024
Verlag
Springer Berlin Heidelberg
Erschienen in
International Journal of Legal Medicine / Ausgabe 5/2024
Print ISSN: 0937-9827
Elektronische ISSN: 1437-1596
DOI
https://doi.org/10.1007/s00414-024-03244-w
1.
Zurück zum Zitat Acsádi G, Nemeskéri J (1970) History of human life span and mortality. Akademiai kiado Budapest
2.
Zurück zum Zitat Broca P (1875) Instructions craniologiques et craniometriques. Mem de la Soc Anthrop de Paris 2: p. 1–203
3.
Zurück zum Zitat Buikstra JE, Ubelaker DH (1994) Standards for data collection from human skeletal remains. Arkansas archaeological survey research series 44
4.
Zurück zum Zitat Walker PL (2008) Sexing skulls using discriminant function analysis of visually assessed traits. Am J Phys Anthropol 136(1):39–50PubMedCrossRef
5.
Zurück zum Zitat Klales AR, Cole SJ (2018) MorphoPASSE: the Morphological Pelvis and Skull Sex Estimation Database Manual. Version 1.0. Topeka, KS: Washburn University
6.
Zurück zum Zitat Brough A et al (2019) The benefits of medical imaging and 3D modelling to the field of forensic anthropology positional statement of the members of the forensic anthropology working group of the International Society of Forensic Radiology and Imaging. J Forensic Radiol Imaging 18:18–19CrossRef
7.
Zurück zum Zitat Obertová Z et al (2019) The Status of Forensic Anthropology in Europe and South Africa: Results of the 2016 FASE Questionnaire on Forensic Anthropology. J Forensic Sci 64(4):1017–1025PubMedCrossRef
8.
Zurück zum Zitat Rowbotham SK, Blau S (2020) The application of medical imaging to the anthropological estimation of sex. In: Klales AR (ed) Sex estimation of the human skeleton. Academic Press, Cambridge, pp 351–369CrossRef
9.
Zurück zum Zitat Uldin T (2016) Virtual anthropology: the forensic approach, in Department of Genetics and Evolution. University of Geneva: Geneva, Switzerland
10.
Zurück zum Zitat Uldin T (2017) Virtual anthropology - a brief review of the literature and history of computed tomography. Forensic Sci Res 2(4):165–173PubMedPubMedCentralCrossRef
11.
Zurück zum Zitat Grabherr S et al (2009) Estimation of sex and age of “virtual skeletons”–a feasibility study. Eur Radiol 19(2):419–429PubMedCrossRef
12.
Zurück zum Zitat Schmidt S et al (2008) Applicability of the skeletal age determination method of Tanner and Whitehouse for forensic age diagnostics. Int J Legal Med 122(4):309–314PubMedCrossRef
13.
Zurück zum Zitat Zech W-D et al (2016) Body height estimation from post-mortem CT femoral F1 measurements in a contemporary Swiss population. Leg Med 19:61–66CrossRef
14.
Zurück zum Zitat Zech WD et al (2012) Sex determination from os sacrum by postmortem CT. Forensic Sci Int 221(1–3):39–43PubMedCrossRef
15.
Zurück zum Zitat Garvin HM, Stock MK (2016) The Utility of Advanced Imaging in Forensic Anthropology. Acad Forensic Pathol 6(3):499–516PubMedPubMedCentralCrossRef
16.
Zurück zum Zitat Zhang M (2022) Forensic imaging: a powerful tool in modern forensic investigation. Forensic Sciences Research 1–8
17.
Zurück zum Zitat Petaros A et al (2021) Technical Note: The Forensic Anthropology Society of Europe (FASE) Map of Identified Osteological Collections. Forensic Sci Int 328:110995PubMedCrossRef
18.
Zurück zum Zitat Thomas RM, Parks CL, Richard AH (2016) Accuracy Rates of Sex Estimation by Forensic Anthropologists through Comparison with DNA Typing Results in Forensic Casework. J Forensic Sci 61(5):1307–1310PubMedCrossRef
19.
Zurück zum Zitat Belcastro MG et al (2022) Scientific and Ethical Aspects of Identified Skeletal Series: The Case of the Documented Human Osteological Collections of the University of Bologna (Northern Italy). Forensic Sci 2(2):349–361CrossRef
20.
Zurück zum Zitat Dedouit F et al (2014) Virtual anthropology and forensic identification using multidetector CT. Br J Radiol 87(1036):20130468PubMedPubMedCentralCrossRef
21.
Zurück zum Zitat Simmons-Ehrhardt T (2021) Open osteology: Medical imaging databases as skeletal collections. Forensic Imaging 26
22.
Zurück zum Zitat Edgar H, Berry S (2019) NMDID: A new research resource for biological anthropology. Am J Phys Anthropol Suppl 168(S68):66
23.
Zurück zum Zitat Stull KE, Corron LK (2022) The Subadult Virtual Anthropology Database (SVAD): An Accessible Repository of Contemporary Subadult Reference Data. Forensic Sci 2(1):20–36CrossRef
24.
Zurück zum Zitat L’Abbé EN et al (2021) The Pretoria Bone Collection: A 21st Century Skeletal Collection in South Africa. Forensic Sci 1(3):220–227CrossRef
25.
Zurück zum Zitat İşcan MY, Steyn M (2013) The human skeleton in forensic medicine. 3rd edition ed. Springfield, Illinois: Charles C. Thomas. 493
26.
Zurück zum Zitat Obertova Z et al (2019) Postmortem imaging of perimortem skeletal trauma. Forensic Sci Int 302:109921PubMedCrossRef
27.
Zurück zum Zitat Braun S et al. (2022) Repeatability of a morphoscopic sex estimation technique for the mental eminence on micro-focus X-ray computed tomography models. Forensic Imaging 28
28.
Zurück zum Zitat Siek T (2015) An exploration of tactile interaction in osteology and material culture. J Grad Stud Anthropol Platforum 14:147–164
29.
Zurück zum Zitat Kuzminsky SC, Snyder TJ, Tung TA (2020) The limited efficacy of 3D models for teaching students sex estimations based on cranial traits: A case for investment in osteology teaching labs. Int J Osteoarchaeol 30(2):275–280CrossRef
30.
Zurück zum Zitat Braun S et al. (2023) What we see is what we touch? Sex estimation on the pelvis in virtual anthropology. Int J Legal Med
31.
Zurück zum Zitat Santos F et al (2019) A method of sexing the human os coxae based on logistic regressions and Bruzek’s nonmetric traits. Am J Phys Anthropol 169(3):435–447PubMedCrossRef
32.
Zurück zum Zitat Garvin HM, Klales AR (2018) A Validation Study of the Langley et al. (2017) Decision Tree Model for Sex Estimation. J Forensic Sci 63(4): 1243–1251
33.
Zurück zum Zitat Ramsthaler F et al (2010) Digital forensic osteology: Morphological sexing of skeletal remains using volume-rendered cranial CT scans. Forensic Sci Int 195(1–3):148–152PubMedCrossRef
34.
Zurück zum Zitat Dereli AK et al (2018) Sex determination with morphological characteristics of the skull by using 3D modeling techniques in computerized tomography. Forensic Sci Med Pathol 14(4):450–459PubMedCrossRef
35.
Zurück zum Zitat Corron LK et al (2022) Agreement and error rates associated with standardized data collection protocols for skeletal and dental data on 3D virtual subadult crania. Forensic Sci Int 334:111272PubMedCrossRef
36.
Zurück zum Zitat Jerkovic I et al (2022) The repeatability of standard cranial measurements on dry bones and MSCT images. J Forensic Sci 67(5):1938–1947PubMedCrossRef
37.
Zurück zum Zitat Abegg C et al (2021) Virtual anthropology: a preliminary test of macroscopic observation versus 3D surface scans and computed tomography (CT) scans. Forensic Sci Res 6(1):34–41CrossRef
38.
Zurück zum Zitat Abegg C et al (2023) Measuring pelvises in 3D surface scans and in MDCT generated virtual environment: Considerations for applications in the forensic context. Forensic Sci Int 352:111813PubMedCrossRef
39.
Zurück zum Zitat Schoch W, Ulrich-Bochsler S (1987) Die Anthropologische Sammlung des Naturhistorischen Museums Bern - Katalog der Neueingänge 1956 bis 1985. Bern, Switzerland: Naturhistorisches Museum Bern
40.
Zurück zum Zitat Ulrich-Bochsler S (2010) Die Anthropologische Sammlung des Naturhistorischen Museums Bern - Katalog der Neueingange 1985 bis 2005. Bern, Switzerland: Naturhistorisches Museum Bern. 176.
41.
Zurück zum Zitat Ulrich-Bochsler S, Cooper C, Baeriswyl A (2016) Karies, Knochenbrüche. Infektionen Berner Zeitschrift für Geschichte 78(4):1–52
42.
Zurück zum Zitat Loth SR, Henneberg M (1996) Mandibular Ramus Flexure: A new morphologic indicator of sexual dimorphism in the human skeleton. Am J Phys Anthropol 99:473–485PubMedCrossRef
43.
Zurück zum Zitat Langley NR, Dudzik B, Cloutier A (2018) A Decision Tree for Nonmetric Sex Assessment from the Skull. J Forensic Sci 63(1):31–37PubMedCrossRef
44.
Zurück zum Zitat Oettlé AC (2014) Effects of dental loss and senescence on aspects of adult mandibular morphology in South Africans, in Department of Anatmy. University of Pretoria, South Africa
45.
Zurück zum Zitat Mays SA (2013) Loss of molar occlusion and mandibular morphology in adults in an ancient human population consuming a coarse diet: Molar Occlusion and Mandibular Morphology. Am J Phys Anthropol 152(3):383–392PubMedCrossRef
46.
Zurück zum Zitat Chrcanovic BR, Abreu MH, Custodio AL (2011) Morphological variation in dentate and edentulous human mandibles. Surg Radiol Anat 33(3):203–213PubMedCrossRef
47.
Zurück zum Zitat Ikebe K et al (2010) Validation of the Eichner Index in relation to occlusal force and masticatory performance. Int J Prosthodont 23(6):521–524PubMed
48.
Zurück zum Zitat Eichner K (1955) Über eine Gruppeneinteilung des Lückengebisses für die Prothetik. Dtsch Zahnarztl Z 10:1831–1834
49.
Zurück zum Zitat Garvin HM, Sholts SB, Mosca LA (2014) Sexual dimorphism in human cranial trait scores: effects of population, age, and body size. Am J Phys Anthropol 154(2):259–269PubMedCrossRef
50.
Zurück zum Zitat Cohen J (1968) Weighted Kappa: Nominal scale agreement with provision for scaled disagreement or partial credit. Psychol Bull 70(4):213–220PubMedCrossRef
51.
Zurück zum Zitat Reneman MF et al (2004) Test-retest reliability of the Isernhagen work systems functional capacity evaluation in healthy adults. J Occup Rehabil 14(4):295–305PubMedCrossRef
52.
Zurück zum Zitat Colman KL et al (2019) The accuracy of 3D virtual bone models of the pelvis for morphological sex estimation. Int J Legal Med 133(6):1853–1860PubMedPubMedCentralCrossRef
53.
Zurück zum Zitat Landis JR, Koch GG (1977) The measurement of observer agreement for categorical data. Biometrics 33(1):159–174PubMedCrossRef
54.
Zurück zum Zitat Gamer M et al. (2019) Various coefficients of interrater reliability and agreement
55.
Zurück zum Zitat Nakazawa M (2022) Package 'fmsb'
56.
Zurück zum Zitat Wickham H et al. (2022) Package 'ggplot2'
57.
Zurück zum Zitat Kruger GC et al (2015) Sexual dimorphism in cranial morphology among modern South Africans. Int J Legal Med 129(4):869–875PubMedCrossRef
58.
Zurück zum Zitat Petaros A et al (2015) Evaluating sexual dimorphism in the human mastoid process: A viewpoint on the methodology. Clin Anat 28(5):593–601PubMedCrossRef
59.
Zurück zum Zitat Lewis CJ, Garvin HM (2016) Reliability of the Walker Cranial Nonmetric Method and Implications for Sex Estimation. J Forensic Sci 61(3):743–751PubMedCrossRef
60.
Zurück zum Zitat Jeong YH et al. (2022) Using 3D images of Korean's mastoid process to estimate sex: A metric study. Forensic Imaging 31
61.
Zurück zum Zitat Loth SR, Henneberg M (1998) Mandibular ramus flexure is a good indicator of sexual dimorphism. Am J Phys Anthropol 105:91–92PubMedCrossRef
62.
Zurück zum Zitat Pretorius E, Steyn M, Scholtz Y (2006) Investigation into the usability of geometric morphometric analysis in assessment of sexual dimorphism. Am J Phys Anthropol 129(1):64–70PubMedCrossRef
63.
Zurück zum Zitat Koski K (1996) Mandibular ramus flexure - Indicator of sexual dimorphism? Am J Phys Anthropol 101:545–546PubMedCrossRef
64.
Zurück zum Zitat Kemkes-Grottenthaler A, Lobig F, Stock F (2002) Mandibular ramus flexure and gonial eversion as morphologic indicators of sex. Homo 53(2):97–111PubMedCrossRef
65.
Zurück zum Zitat Oettlé AC, Pretorius E, Steyn M (2005) Geometric morphometric analysis of mandibular ramus flexure. Am J Phys Anthropol 128(3):623–629PubMedCrossRef
66.
Zurück zum Zitat Donnelly SM et al (1998) Technical Note: A blind test of mandibular ramus flexure as a morphologic indicator of sexual dimorphism in the human skeleton. Am J Phys Anthropol 107:363–366PubMedCrossRef
67.
Zurück zum Zitat Hill CA (2000) Technical Note: Evaluating Mandibular Ramus Flexure as a Morphological Indicator of Sex. Am J Phys Anthropol 111:573–577PubMedCrossRef
68.
Zurück zum Zitat Haun SJ (2000) Brief Communication: A Study of the Predictive Accuracy of Mandibular Ramus Flexure as a Singular Morphologic Indicator of Sex in an Archaeological Sample. Am J Phys Anthropol 111:429–432PubMedCrossRef
69.
Zurück zum Zitat Bidmos MA, Gibbon VE, Strkalj G (2010) Recent advances in sex identification of human skeletal remains in South Africa. S Afr J Sci 106(11–12):1–6
70.
Zurück zum Zitat Inci E et al (2016) Virtual Assessment of Sex: Linear and Angular Traits of the Mandibular Ramus Using Three-Dimensional Computed Tomography. J Craniofac Surg 27(7):e627–e632PubMedCrossRef
71.
Zurück zum Zitat Walrath DE, Turner P, Bruzek J (2004) Reliability test of the visual assessment of cranial traits for sex determination. Am J Phys Anthropol 125(2):132–137PubMedCrossRef
72.
Zurück zum Zitat Garvin HM (2020) Adult sex estimation from cranial morphological traits, in Sex estimation of the human skeleton A.R. Klales, Editor. Academic Press: Cambridge, Massachusetts. 95–112
73.
Zurück zum Zitat Sella Tunis T et al. (2020) Variation in Chin and Mandibular Symphysis Size and Shape in Males and Females: A CT-Based Study. Int J Environ Res Public Health. 17(12)
74.
Zurück zum Zitat Borelli C, Berneburg M (2009) Beauty lies in the eye of the beholder? Aspects of beauty and attractiveness. JDDG: Journal der Deutschen Dermatologischen Gesellschaft. 8(5): 326–330
75.
Zurück zum Zitat Grammer K et al (2003) Darwinian aesthetics: sexual selection and the biology of beauty. Biol Rev 78(3):385–407PubMedCrossRef
76.
Zurück zum Zitat Braun S et al. (2023) Analysis of the hard-tissue menton shape variation in adult South Africans using cone-beam computed tomography (CBCT) scans. Forensic Imaging 32
77.
Zurück zum Zitat Byrnes JF, Kenyhercz MW, Berg GE (2017) Examining Interobserver Reliability of Metric and Morphoscopic Characteristics of the Mandible. J Forensic Sci 62(4):981–985PubMedCrossRef
78.
Zurück zum Zitat Tunis TS et al (2017) Sex estimation using computed tomography of the mandible. Int J Legal Med 131(6):1691–1700PubMedCrossRef
79.
Zurück zum Zitat Netter FH (2014) Atlas of human anatomy, 6th edition. Philadelphia, PA: Saunders Elsevier
80.
Zurück zum Zitat İşcan MY, Derrick K (1984) Determination of sex from the sacroiliac joint: a visual assessment technique. Florida Scientist 47(2):94–98
81.
Zurück zum Zitat Bruzek J et al (2017) Validation and reliability of the sex estimation of the human os coxae using freely available DSP2 software for bioarchaeology and forensic anthropology. Am J Phys Anthropol 164(2):440–449PubMedCrossRef
82.
Zurück zum Zitat Jepps H, Carew RM, Nakhaeizadeh S (2023) Assessing the feasibility of estimating the age and sex from virtual 3D models: A pilot study into virtual forensic anthropology. Forensic Imaging

Neu im Fachgebiet Rechtsmedizin

S2k-Leitlinie Früher Schwangerschaftsverlust im 1. Trimenon

Im Jahr 2025 wurde die S2k-Leitlinie Früher Schwangerschaftsverlust im 1. Trimenon veröffentlicht. In dieser Leitlinie werden sowohl für gestörte Frühgraviditäten als auch Schwangerschaften unklarer Lokalisation mit daraus resultierendem Abort …

Pädiatrische Lymphome: Herausforderungen in der Diagnostik

Lymphome im Kindesalter sind selten – und oft schwer einzuordnen. Die aktuellen Klassifikationen sowie die erstmals erschienene WHO-Klassifikation unterstützen bei der Einteilung. In dieser Übersicht werden die aktuellen Klassifikationen, Biologie und Diagnostik pädiatrischer Lymphome mit Fokus auf seltene indolente Entitäten sowie reaktive, Lymphom-imitierende Läsionen vorgestellt.

Protein kinase-related tumors in the pediatric population

  • Open Access
  • Schwerpunkt: Kinderpathologie: Von früher Plazenta bis Neoplasien

Advanced and widespread molecular techniques have deepened our understanding of mesenchymal lesions, revealing considerable overlap among morphologically defined entities now known to be related to protein kinases (PKs). This paradigm shift is …

Seltene kindliche benigne Tumoren/Läsionen im Kopfbereich

Benigne Tumoren und Läsionen im Kopfbereich bei Kindern sind selten und können eine diagnostische Herausforderung sein. Im Rahmen dieses Artikels werden ausgewählte seltene kindliche, benigne Läsionen im Kopfbereich vorgestellt mit dem Ziel, die …

Bildnachweise
Histologie einer Anaplastische Lymphomkinase mit großzellig-anaplastisches Lymphom/© Bosch-Schips J et al. / all rights reserved Springer Medizin Verlag GmbH